Part 2
Detailed presentation of the management of the Government Pension Fund
2 Analysis of the return and risk associated with the management of the Government Pension Fund
2.1 Introduction
When evaluating the management performance of the Government Pension Fund it is useful to distinguish between the return and risk resulting from general developments in the markets in which the Fund is invested, and the return and risk caused by the investment choices made by the manager in its active management effort. The general investment strategy for Norges Bank’s management of the Government Pension Fund – Global is expressed in the form of a benchmark portfolio defined by the Ministry. It follows from the analysis below that the Ministry’s decisions as to the investment strategy of the Fund are the main determinants of both the returns on the Fund and the variations in such returns. Until yearend 2007, the Ministry stipulated the strategy for Folketrygdfondet’s management of the Government Pension Fund – Norway in the form of general limits on investments in equities and fixed-income securities, whilst the more detailed benchmark portfolio for the measurement of return and risk was defined by the Board of Directors of Folketrygdfondet. As a result of the recent changes to the formal framework for Folketrygdfondet’s management of the Government Pension Fund – Norway, the Ministry has with effect from 1 January 2008 established general investment limits through its choice of benchmark portfolio, as is being done for the Government Pension Fund – Global; see the more detailed discussion in Section 1.5.
Norges Bank and Folketrygdfondet can, in their management of the Government Pension Fund, deviate from the defined benchmark portfolio for purposes of generating excess return, within a limit for permitted tracking error. The analysis below shows that Norges Bank has generated excess returns through its active management every year since 1998, with the exception of 2007. Folketrygdfondet’s management performance for the Government Pension Fund – Norway shows that it has achieved an excess return for the period 1998–2007 as a whole, although the return on the Fund has in some years been lower than the return on the benchmark portfolio.
The objective that the Fund should act as a financial investor applies to both the Government Pension Fund – Global and the Government Pension Fund – Norway. The investment universe of the Global part of the Fund is much broader than that of the Pension Fund – Norway, which is primarily invested in the Norwegian securities market. The fact that Folketrygdfondet is, in its capacity of manager of the Fund’s assets, a large player in a relatively small capital market may impose certain limitations as far as the scope for major changes to the composition of the portfolio over short periods of time is concerned.
The Government Pension Fund has a long investment horizon and a well-entrenched investment strategy. Consequently, short-term market fluctuations are of minor importance. This is discussed in more detail in Chapter 1. The Ministry therefore emphasises performance developments for the Fund over time in its analysis.
The performance analysis in this chapter is based on nominal return data, since one wanted to compare the management performance with the return on a benchmark portfolio, for which purpose adjusting the return data for inflation would not have provided much additional information; see Section 1.2. For purposes of the statistical analyses in the performance discussion below, the average return on the Government Pension Fund – Global and the Government Pension Fund – Norway has in this chapter been calculated as an arithmetic average, based on monthly return data. In Section 1.2 the return was calculated geometrically, in line with the return data reported in the annual reports of Norges Bank and Folketrygdfondet.
2.2 Management performance for the Government Pension Fund – Global 1
2.2.1 Developments in the benchmark portfolio of the Government Pension Fund – Global
The benchmark portfolio of the Government Pension Fund – Global is a broad-based portfolio of equities and bonds that are spread across many geographical regions and sectors. Consequently, the return on the benchmark portfolio reflects general price developments in the international securities markets. The actual composition of the benchmark portfolio consists of indices from the providers FTSE and Lehman Brothers for equities and bonds, respectively. 2
The return on the Government Pension Fund – Global can be measured in both Norwegian kroner and in the Fund’s currency basket. 3 The return as measured in Norwegian kroner is influenced by how the Norwegian krone exchange rate develops relative to the currencies in which the Fund is invested. If the Norwegian krone exchange rate depreciates, on average, as against these currencies, the return on the Fund as measured in kroner will be higher than the return on the Fund as measured in the Fund’s currency basket. This is because there will arise, when converting the foreign exchange value of the Fund to Norwegian kroner, a gain as measured in kroner as the result of the depreciation of the Norwegian krone. At the same time, the variations in the return as measured in kroner will normally be more pronounced than the variations in the return as measured in local currency, which reflects the fact that the variations in any individual currency will typically exceed the fluctuations in a basket of currencies. 4
Table 2.1 Average annual return and annual standard deviation of returns on the benchmark portfolio of the Government Pension Fund – Global, as measured nominally in local currency. Per cent
| 1998–2007 | 2003–2007 | 2005–2007 | 2007 | |
|---|---|---|---|---|
| The benchmark portfolio | ||||
| Average return per year | 5.59 | 8.27 | 7.22 | 4.46 |
| Standard deviation | 5.02 | 3.66 | 3.30 | 3.30 |
| The equity benchmark | ||||
| Average return per year | 7.10 | 14.78 | 13.68 | 5.90 |
| Standard deviation | 13.91 | 9.00 | 8.26 | 9.02 |
| The fixed-income benchmark | ||||
| Average return per year | 4.96 | 3.95 | 3.11 | 4.21 |
| Standard deviation | 3.08 | 3.10 | 2.59 | 2.68 |
Source Ministry of Finance and Norges Bank
Since the international purchasing power of the Fund remains unaffected by changes to the Norwegian krone exchange rate, the performance evaluation below focuses on the return as measured in local currency. Table 2.1 shows that the average return on the benchmark portfolio of the Government Pension Fund – Global over the last five years was 8.3 pct., as measured in the Fund’s currency basket, which is clearly higher than the average return for the period 1998-2007 as a whole (5.6 pct.).
Developments in the equity benchmark have been particularly strong over the last five years, with an average return of close to 15 pct., which is about twice the average annual return over the period 1998-2007. The benchmark portfolio for fixed-income securities has registered relatively low returns over the same period (almost 4 pct.), when compared to both normal returns in the fixed-income market and the return in the stock market.

Figure 2.1 The risk associated with the Government Pension Fund – Global. Rolling twelve months standard deviations of returns for the benchmark portfolios of the Fund. Local currency. Per cent
Source Ministry of Finance and Norges Bank
The relatively high return on the benchmark portfolio for equities over the last few years reflects, inter alia , the increase in stock prices internationally over this period. At the same time, the fluctuations in the stock market have been relatively modest, cf. Figure 2.1. Calculations based on return sets that cover long time periods indicate that the normal volatility of the stock market is about 15 pct., as measured by the annual standard deviation of returns.
Analyses of contributions to risk, as distributed across asset classes and countries, show that developments in the stock markets in six countries drive most of the variations in the return on the Fund; see the more detailed discussion in Box 2.1. This is closely related to the size of these markets, and the fact that the risk associated with equities is higher than that associated with investments in fixed-income instruments.
Textbox 2.1 Decomposition of the risk associated with the benchmark portfolio
Decompositions of risk provide information on, for example, what asset classes, regions and countries make the largest contributions to the risk of a portfolio. Various methods of decomposition have been established, with one of the methods ( marginal decomposition ) being characterised by the sum of the risk contributions being equal to the overall volatility of the portfolio. The contribution from an asset class, region or country depends on the volatility on each individual decomposition segment, the correlations between the returns on the various segments, and the weight carried by each segment in the benchmark portfolio. Everything else being equal, the risk contribution will increase with increasing weight and volatility.
This type of decomposition can be interpreted in the following manner: Assume that all segments of the portfolio are adjusted up or down by a small amount. The decomposition shows how much of the increase (reduction) in risk resulting from the adjustment can be attributed to the various segments in the portfolio.
The Government Pension Fund – Global
The strategic benchmark portfolio of the Government Pension Fund – Global comprises 60 pct. equities and 40 pct. bonds. Table 2.2 shows what contributions these asset classes make to the overall risk associated with the benchmark portfolio, which is estimated at 9.8 pct. based on historical simulations on data for the period 1900 – 2006, cf. Table 3.1 in Chapter 3. 1.3 percentage points of this can be attributed to the bond portfolio, whilst the remainder can be attributed to the equity portfolio. Equities carry a weight of 60 pct. in the benchmark portfolio, but account for 86 pct. of the overall risk associated with the portfolio. The high risk contribution from the equity portfolio reflects the facts that the volatility in the stock market is considerably higher than in the bond market.
Table 2.2 Contributions from asset classes to the overall risk associated with the Government Pension Fund – Global. Local currency
| Asset classes | Percentage points | Relative share |
|---|---|---|
| Bonds | 1.3 | 13.6 |
| Equities | 8.5 | 86.4 |
| Total | 9.8 | 100.0 |
Source Ministry of Finance
Table 2.3 shows the regional weights for the equity and bond portfolios and for the overall Fund. It follows from the Table that just over half of the overall investments of the Fund are made in Europe, whilst 11 pct. is invested in Asia and 35 pct. in the Americas. Table 2.4 shows how the risk associated with the Fund is distributed across regions. It follows from Tables 2.3 and 2.4 that there is a good match between the regional weights and the risk contributions from the various regions.
Table 2.3 Regional distribution of investments for the Government Pension Fund – Global. Local currency
| Regional weights | Total | Equities | Bonds |
|---|---|---|---|
| Asia | 11.0 | 15.0 | 5.0 |
| Americas | 35.0 | 35.0 | 35.0 |
| Europe | 54.0 | 50.0 | 60.0 |
| Total | 100.0 | 100.0 | 100.0 |
Source Ministry of Finance
Table 2.4 Risk contributions from different regions to the Government Pension Fund – Global. Local currency
| Regions | Percentage points | Relative share |
|---|---|---|
| Asia | 1.0 | 10.0 |
| Americas | 3.5 | 35.8 |
| Europe | 5.3 | 54.2 |
| Total | 100.0 | 100.0 |
Source Ministry of Finance
It follows from Table 2.5 that a third of the overall risk associated with the Fund relates to the stock and bond markets in the US. Close to 20 pct. of the overall risk can be attributed to the stock and bond markets in the UK. The Table shows that the exposure of the benchmark portfolio to six countries contributes more than 80 pct. of the absolute volatility of the portfolio. One interpretation of this is that developments in the stock markets in these six countries are the primary drivers behind most of the variation in the returns on the Fund.
Table 2.5 Risk contributions from selected countries to the Government Pension Fund – Global. Local currency
| Country | Percentage points | Relative share |
|---|---|---|
| Japan | 0.7 | 7.3 |
| US | 3.2 | 33.1 |
| France | 0.9 | 8.8 |
| Germany | 0.9 | 8.7 |
| Italy | 0.5 | 4.6 |
| UK | 1.9 | 19.2 |
| Total | 8.0 | 81.8 |
Source Ministry of Finance
The return on the benchmark portfolio of the Fund can be calculated as the sum of the return on the equity benchmark, weighted with the equity portion, and the return on the fixed-income benchmark, weighted with the bond portion. However, the risk associated with the benchmark portfolio is lower than the weighted sum of the risk associated with the equity benchmark and the risk associated with the fixed-income benchmark, which is a reflection of the fact that there has been a relatively low degree of covariation between returns in the stock and fixed-income markets. This effect is referred to as a diversification benefit, which crudely can be estimated to around 3 percentage points. 5
The statistical characteristics of the rate of return are of key importance to the performance evaluation in terms of, inter alia , the issue of whether the standard deviation of returns is a good measure of risk, and whether one thus can make probability statements on the basis of the standard deviation. This is discussed in more detail in Box 2.2.
Textbox 2.2 Return, risk and the normal distribution
Risk is a measure that says something about the probability of an event and the consequence thereof (in the form of, for example, a loss or gain). There are various dimensions to risk. One dimension distinguishes between risk that can be quantified and risk that is more difficult to quantify. One example of the former is the quantification of the market risk associated with investments in the securities market, which is relatively well developed (but nevertheless requires discretionary assessments to be made). Another dimension has to do with time. One example is an investment that generates a future and uncertain cash flow over several time periods.
An investment may, generally speaking, have an unlimited number of outcomes, from an infinitely large gain to the loss of the entire investment, with a positive probability attaching to all combinations between these two extremes. The entire distribution of possible outcomes for the future returns on an investment is in principle of relevance to an investor in his assessment of the future return and risk. The choice between uncertain investment alternatives will therefore be a choice between different probability distributions.
A number of statistical probability distributions have been established, which are described through mathematical expressions. When an investor is to make a choice between various investment alternatives, the investor’s degree of risk aversion will be of decisive importance to such a choice. Consequently, investment choice is based on an interlinkage between subjective probabilities and risk preferences.
The standard deviation of returns is one way of quantifying the risk associated with an investment, and is determined by potential future outcomes and the probability that the various outcomes will occur. It is a good measure of risk in those cases where the sample space for future returns is symmetrically distributed around the expected return. The standard deviation is also a risk measure that is consistent with a specific type of risk preferences, which implies that the specific form of the probability distribution of the return is of no importance. If an investor has the choice between two investments that offer the same expected return, but have different standard deviations, an rational and risk adverse investor would opt for the investment with the lowest standard deviation.
The most widely known statistical probability distribution is the normal distribution, which is characterised by the fact that the entire distribution can be described by way of the elements expectation and variance. If the expected return and standard deviation on the investment are known, one can compute the probability of observing a given return that is lower than a given level (for example 5 pct.), or the probability that the return will fall within a specific range (for example between 5 and 15 pct.). The normal distribution is symmetric around the expectation, which implies, for the case where the expected return is nil, that the probability of observing a future return that is positive is equal to the probability of observing a return that is negative.
For certain types of investments it will be the case that there is a higher probability of observing very high rates of return, whilst the opposite may be the case for other types of investments. The concept of skewness (the third element of a distribution) is used to describe this aspect of the probability distributions, in addition to expectation and variance. The normal distribution is symmetric, and consequently exhibits no skewness. In other words, the estimated skewness for the normal distribution will always be equal to nil. When there is a higher (lower) probability of observing low than high future rates of return, the skewness measure will be negative (positive). Investors will, ceteris paribus , prefer investments featuring probability distributions that are skewed to the right, i.e. that the probability of good and very good returns is high, whilst the probability of large losses is low.
Empirical analyses of returns in the securities markets indicate that very low and very high returns occur more frequently than one would expect if the rates of return were normally distributed. This characteristic is described through the concept of kurtosis (the fourth element of the probability distribution). The kurtosis of the normal distributions can be computed at 3, thus implying that probability distributions with a computed kurtosis in excess of 3 are said to exhibit excess kurtosis. Low and high rates of return occur more frequently for such probability distributions than one wouldnormally expect. This phenomenon is often referred to as ”fat tails”, since such distributions exhibit more weight (probability mass) at the tails than does the normal distribution.
The empirically observed fat tails are often registered in connection with shocks in the securities markets, whilst skewness to the left can be explained by these shocks being asymmetric. Consequently, negative excess kurtosis implies that the probability distribution has slimmer tails than does the normal distribution, or that the probability of observing low and high rates of return is lower than it would be under a normal distribution. Investors will, ceteris paribus , prefer probability distributions that are characterised by slim tails, because more weight is attached to low returns than high returns (i.e. risk aversion).
Figure 2.2 illustrates three different probability distributions; one normal distribution, one distribution that is skewed to the right and one distribution that features more weight at the tails than does the normal distribution.

Figure 2.2 Probability distributions
Source Ministry of Finance
It follows from the chart that the distribution which is skewed to the right exhibits a limited downside and a large upside. Furthermore, the distribution with fat tails exhibits the same expectation as the normal distribution, but a considerably higher probability of both high and low returns.
If the return can be described by way of the normal distribution, the standard deviation will provide an adequate measure of risk. One can in such a case estimate the probability of all potential outcomes on the basis of the estimated standard deviation. In those cases where the distribution of returns exhibits skewness or has fat tails, the standard deviation will not provide an adequate risk measure since it will be difficult to give good estimates on the probability of observing the various outcomes.
When modelling the risk associated with an investment, the normal distribution will often be adopted as a frame of reference. Nevertheless, the normal distribution will only provide an approximation that offers a more adequate description of returns during some periods than during others, and that is appropriate for certain types of financial instruments, but less suitable for others. For example, the returns on options and securities featuring inherent optionality do not match the normal distribution, since an option is a right, and not an obligation. Consequently, an option will exhibit an asymmetric return structure. Another example of returns that cannot be described by the normal distribution is provided by so-called investment grade bonds, where the potential for appreciation in value is limited, whilst one can at the same time risk losing the entire investment if the enterprise (that has issued the bond) goes into liquidation. Consequently, the return distribution for this type of investment tends to be skewed to the left.
There exists no unique measure of the risk associated with an investment. The risk associated with an investment should therefore be illuminated by way of different methods in order to create a more comprehensive impression. The analysis of the return and risk associated with an investment portfolio uses, inter alia , methods like the standard deviation of returns, Value-at-Risk (VaR), stress tests, scenario building and historical simulation. Stress testing involves the computation of the effect of significant declines in the value of individual risk factors, for example the stock or bond market globally, regionally or locally. Historical simulations compute the effect on the value of the portfolio if negative historical events, for example the Depression in the 1930s or the stock market crash in 1987, were to be experienced anew, cf. Box 1.2 in Chapter 1.
The realised risk, as measured by the standard deviation of returns, provides a good description of the risk associated with the benchmark portfolio of the Fund if the rates of return are normally distributed. Figure 2.3a shows the monthly rates of return on the benchmark portfolio of the Government Pension Fund – Global plotted in a histogram, in which has also been drawn a normal distribution curve with the same average return and risk as the benchmark portfolio. The chart indicates that the returns have been skewed to the left and has fat tails.
Figure 2.3b shows the monthly rates of return of the overall benchmark plotted in a so-called QQ plot (quantile-to-quantile). If the rates of return are normally distributed, one would expect them to plot along a straight line from the lowest to the highest observed return. The chart indicates that the assumption of normally distributed rates of return is not justified, inasmuch as the lowest observed rates of return are lower than one would normally expect. Statistical tests confirm that there are signs of skewness to the left for the benchmark portfolio of the Fund and for the equity benchmark for the entire period as a whole. There are also indications of fat tails in the return on the equity benchmark for the entire period as a whole. Statistical tests for the assumption of normality (Jarque-Bera) show that the null hypothesis of normally distributed rates of return can be rejected for the benchmark portfolio of the Fund and for the equity benchmark for the entire period as a whole, but not for the fixed-income benchmark. However, another test for normality (Lilliefors) shows that one cannot reject the hypothesis of normally distributed rates of return. An overall assessment suggests, against this background, that one should be somewhat cautious about basing probability statements concerning the risk associated with the overall benchmark of the Fund and the equity benchmark on the standard deviation.
It is common to find that the assumption of normally distributed rates of return fits better when returns are measured over longer periods. The assumption is, for example, more appropriate for annual return data than for monthly return data.
In principle, one would like to make use of the full probability distribution of the rates of return to shed light on the risk associated with the benchmark portfolio of the Fund. Figure 2.3c shows the empirical cumulative probability distribution of returns on the benchmark portfolio and the two sub-benchmarks. The minimum return on the Fund is calculated at about -4 pct. and the maximum monthly return at about 3.5 pct. The variance is considerably higher for the equity benchmark, whilst it is a bit smaller for the fixed-income benchmark. The chart illustrates that the return on the overall benchmark has been lower than -2 pct. in 10 pct. of all months. 6

Figure 2.3 Distribution characteristics of the monthly nominal return (measured in local currency) on the benchmark portfolio of the Government Pension Fund – Global.
Source Ministry of Finance and Norges Bank
The information in the above chart can also be presented in a percentile diagram, cf. Figure 2.3d. The chart makes it easier to attach probabilities to various outcomes. The chart shows e.g. that the return on the benchmark portfolio of the Fund has been no higher than -2 pct. in 10 pct. of the months, whilst the return on the equity benchmark has been no higher than -5 pct. in 10 pct. of the months, as compared to -1.5 pct. on the fixed-income benchmark.
The autocorrelation of the rates of return describes how the rates of return on the benchmark portfolio of the Fund are related over time, i.e. whether it is the case that a high (low) return in a given month is followed by a high (low) return over the subsequent months. The analysis assumes that monthly risk figures, as measured by the standard evaluation of returns, can be annualised by way of the square root formula. Such scaling implies that linear independency over time is assumed for the rates of return.
Calculations made by the Ministry suggest that there is a relatively low degree of time dependence in the rates of return on the benchmark portfolio and the sub-benchmarks of the Fund. Statistical tests for autocorrelation (Ljung-Box) show that the hypothesis of linear independence over time in the rates of return cannot be rejected for any of the periods or sub-benchmarks. This is discussed in more detail in a separate documentation memorandum, which will be been posted on the Ministry of Finance’s website (www.government.no/spf).
2.2.2 Developments in the actual portfolio of the Government Pension Fund – Global
The actual portfolio of the Government Pension Fund – Global deviates somewhat from the benchmark portfolio defined by the Ministry. The discrepancies mainly reflect active investment decisions on the part of Norges Bank, the objective of which is to achieve a higher return on the actual portfolio than on the benchmark portfolio, within the limits represented by the permitted tracking error. 7 The return on, and the risk associated with, the Government Pension Fund – Global may therefore deviate from the return and risk associated with the benchmark portfolio of the Fund.
Table 2.6 shows that the average annual return on the Government Pension Fund – Global over the five-year period 2003-2007 was 8.7 pct., which is noticeable higher than the average annual return for the last decade as a whole. At the same time, the fluctuations in the return on the Fund have been on a low level when compared to what was the norm for the period 1998-2007.
Table 2.6 Average annual return and annual standard deviation of returns on the Government Pension Fund – Global, as measured nominally in local currency. Per cent
| 1998–2007 | 2003–2007 | 2005–2007 | 2007 | |
|---|---|---|---|---|
| Actual portfolio | ||||
| Average return per year | 5.99 | 8.65 | 7.53 | 4.24 |
| Standard deviation | 5.15 | 3.82 | 3.60 | 3.74 |
| The equity portfolio | ||||
| Average return per year | 7.85 | 15.59 | 14.66 | 7.03 |
| Standard deviation | 14.12 | 9.24 | 8.70 | 9.36 |
| The fixed-income portfolio | ||||
| Average return per year | 5.05 | 3.98 | 2.89 | 2.95 |
| Standard deviation . | 3.05 | 3.04 | 2.45 | 2.35 |
Source Ministry of Finance and Norges Bank
The return on the equity portfolio has been relatively high over the last five years. The last five years saw an average annual return of 15.6 pct., which is about twice the average return over the period from 1998 until 2007. The return on the fixed-income portfolio has been relatively low over the last five years (4 pct. when measured as an annual average).
It follows from Tables 2.1 and 2.6 that the average return on the actual portfolio is somewhat higher than the return on the benchmark portfolio for the period 1998-2007 as a whole, cf. Figure 2.4. At the same time, the risk, as measured by the standard deviation of returns, has been somewhat higher for the actual portfolio than for the benchmark portfolio. The excess return on the Fund, which is the difference between the return on the actual portfolio and that on the benchmark portfolio, is discussed in more detail in Section 2.2.3.

Figure 2.4 Accumulated return on the Government Pension Fund – Global. Local currency. Index by yearend 1997 = 100
Source Ministry of Finance and Norges Bank
The high degree of correlation between the return and risk associated with the Fund and the return and risk associated with the benchmark portfolio is illustrated in Figures 2.5 and 2.6. Both the level of returns and the variations in returns are about the same for the two portfolios.

Figure 2.5 Returns on the Government Pension Fund – Global and the benchmark portfolio of the Fund. Monthly return data, 1998–2007. Local currency. Per cent
Source Ministry of Finance and Norges Bank

Figure 2.6 Rolling twelve-months standard deviations of returns for the Government Pension Fund – Gloal and the benchmark portfolio of the Fund. 1998–2007. Local currency. Per cent
Source Ministry of Finance and Norges Bank
The charts indicate that both the return and the variations in the return on the Fund are mainly determined by the decisions relating to the establishment of the general investment strategy of the Fund, as operationalised through the formulation of the benchmark portfolio. Analyses show that between 90 and 95 pct. of the return on the Fund may be attributed to the choices made by the Ministry in designing the investment strategy of the Fund, whilst the remaining 5-10 pct. may be attributed to the investment choices made by Norges Bank within the guidelines laid down by the Ministry. Moreover, the correlation between the return on the Fund and the return on the benchmark portfolio has been very close to 1 (perfect positive correlation), and the variations in returns on the benchmark portfolio have explained more than 99 pct. of the variations in returns on the Fund. These analyses are discussed in more detail in Boxes 2.3 and 2.4.
Textbox 2.3 The relationship between the return on the Fund and the return on the benchmark portfolio
The relationship between the return and risk associated with the investments of the Pension Fund and the return and risk associated with the benchmark portfolio can be analysed in several ways. A frequently used method is to calculate the portfolio’s tracking error, which describes the variation in excess returns. A low tracking error will normally indicate that the Fund and the benchmark portfolio comprise more or less the same securities, and that the various securities carry more or less the same weight in the portfolios. The actual portfolio and the benchmark portfolio will in such case have relatively similar statistical characteristics, which results in a low tracking error.
Another method is to estimate the absolute volatility of the two portfolios, and to thereafter compare the two levels. If the level of absolute volatility of the actual portfolio is approximately the same as the level of absolute volatility of the benchmark portfolio (at a given date and over time), this will indicate that the two portfolios also share relatively similar characteristics. It may, at the same time, indicate that there is limited covariation between the return on the active positions and the return on the benchmark portfolio.
A third method of analysis is to calculate the correlation between the return on the Fund and the return on the benchmark portfolio. A high correlation implies that the return on the Fund is high (low) when the return on the benchmark portfolio is high (low). If the correlation coefficient equals 1, the degree of covariation is said to be perfectly positive.
The relationship between the two portfolios can also be analysed by way of a fourth method, which is arrived at by bringing together the second and the third method. The method is based on the so-called beta (i.e. a statistical and financial concept), which is defined as the product of the ratio between the volatility of the actual portfolio and the volatility of the benchmark portfolio and the correlation between the return on the two portfolios. Since the correlation coefficient cannot be higher than 1, a covariation between the two portfolios of less than 1 implies that the Fund’s beta relative to the benchmark portfolio will also be less than 1, unless the volatility of the Fund exceed the volatility of the benchmark portfolio. When beta equals 1, there are indications of equality between the two portfolios.
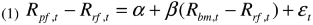
A fifth method, based on the above four methods, involves estimating a linear relationship between the return on the Fund and the return on the benchmark portfolio by way of statistical methods, cf. equation (1) below. The dependent variable features on the left side of the equation, and is represented as the difference between the return on the portfolio (Rpf,t ) and a so-called risk-free rate of interest (Rrf,t ).

The explanatory variable on the right side of (1) is defined as the difference between the return on the benchmark portfolio (Rbm,t ) and the risk-free rate of interest. Both the dependent and the independent variable are assumed to be known. The two parameters a (alpha) and b (beta) can be estimated by way of, for example, the method of least squares. e (epsilon) is the error component of the equation, and expresses how ”well” the return on the benchmark portfolio explains the return on the Fund.
Beta is the slope of a straight line. A portfolio comprising various securities such that beta is higher than 1, will on average achieve a higher return than the benchmark portfolio in periods of strong price development in the securities markets, with the opposite being the case in periods of relatively weak market development. The relationship is the opposite when the beta is lower than 1.
Alpha represents the intercept of the straight line with the y-axis, and is a measure of the excess return achieved after adjustment for the Fund’s (beta-) exposure to the benchmark portfolio. The so-called capital asset pricing model (CAPM) allows one to calculate alpha as a measure of the Fund’s risk adjusted excess return, which can thereby be used as a measure of the skilfulness characterising active management.
The statistical model represented by equation (1) assumes a linear relationship between the return on the Fund and the return on the benchmark portfolio. Furthermore, only one explanatory factor is assumed. There is in financial theory a degree of agreement that the expected return on securities and portfolios of securities will normally depend on other factors in addition to the market return, for which corrections should be made when calculating the risk-adjusted return. However, the relevant risk factors have not been unambiguously identified, nor has there been established any clear theoretical explanation for why certain risk factors are priced in equilibrium (i.e. are relevant as an explanatory factor), whilst others are not.
The contributions of small-cap companies to the excess return
Empirical surveys show that small-cap companies have at times achieved higher returns than have large-cap companies. Financial theory has sought to link this observation to equilibrium models for the pricing of financial assets. The intuition behind this the relationship is that the marginal utility of consumption is high (low) when growth in the economy is low (high). Small-cap companies have a higher probability of going into liquidation in times of weak economic growth when compared to large-cap companies. Consequently, small-cap companies do not provide investors with any income supplement during those periods when there is the greatest need for income transfers, whilst they provide an income supplement during periods when there is less of a need for such transfers. Consequently, investments in small-cap companies serve to reinforce the variations in the consumption of households. Financial theory argues that a price is put on this characteristic in equilibrium. In order for investors to be willing to invest in such equities, the expected return on the equity investment has to be higher than the return on the market in general, and on large-cap companies in particular.
The following equation can be estimated on this basis:

The left side of the equation expresses the difference between the return on the actual portfolio in a given month and a risk-free rate of interest for the same month. The first explanatory factor is the difference between the return on the benchmark portfolio and the risk-free rate of interest in a given month. The second explanatory factor is the difference between the return on a portfolio comprising small-cap companies and a portfolio comprising large-cap companies.
Textbox 2.4 Factor analysis for the Government Pension Fund – Global
Figure 2.7 shows the relationship between the return on the actual portfolio of the Government Pension Fund – Global and the benchmark portfolio of the Fund. There is a clear positive relationship between the rates of return, and the distance between the dots and the straight line is short. Thus, the variation in the return on the benchmark portfolio explains a significant part of the variation in the return on the Fund.

Figure 2.7 The relationship between the return on the Government Pension Fund – Global and the return on the benchmark portfolio of the Fund. 1998-2007. Local currency. Per cent
Source Ministry of Finance and Norges Bank
Table 2.7 summarises the regression findings for the overall Fund and for the two sub-portfolios. The first row of the Table shows the average annual excess return as measured in basis points (1 basis point = 0.01 pct.). Thereafter follow the alpha and beta estimates. The beta of the Fund is calculated on the basis of monthly rates of return for the period January 1998 – December 2007, and can be estimated at 1.02 (which is significantly higher than 1). The Table further shows that the variations in the return on the benchmark portfolio explain more than 99 pct. of the variations in the return on the Fund (see the estimate for R-squared). The actual tracking error is calculated at 0.42 pct. (41,87 basis points), whilst the standard deviation of the error components from the regression is estimated at 0.40 pct. (40,25 basis points). The difference between these two variables is a measure as to how much of the excess return on the Fund is explained by the regression. In these cases the regressions explains a very limited part of the variations in the excess return.
Table 2.7 Regression findings under the 1-factor model for the Government Pension Fund – Global. Basis points (1 basis points = 0.01 pct.)
| Total portfolio | Equity portfolio | Fixed-income portfolio | |
|---|---|---|---|
| Average excess return per year | 39.46 | 74.17 | 9.52 |
| Alpha per year | 34.37 | 69.19 | 11.19 |
| t-value alpha | 2.66 | 2.50 | 1.02 |
| Beta | 1.023 | 1.013 | 0.990 |
| t-value beta | 3.10 | 2.31 | -1.03 |
| R-squared | 99.39 | 99.62 | 98.77 |
| Standard deviation of error component | 40.25 | 86.66 | 33.98 |
| Standard deviation of excess return . | 41.87 | 88.61 | 34.13 |
Source Ministry of Finance and Norges Bank
Alpha is estimated at 0.34 pct. (34,37 basis points). This is a measure as to how much higher the return on the Fund has been than the return on a (fictitious) index-managed portfolio with a beta of 1.02. The estimate for alpha is statistically significantly larger than nil.
Table 2.8 shows how large a part of the portfolios’ tracking error can be attributed to the difference between the beta of the Fund and the beta of the benchmark portfolio. 8 pct. of the tracking error for the overall Fund can be attributed to the beta discrepancy. The residual is caused by other factors, hereunder other systematic factors (cf. below).
Table 2.8 The contribution of the beta discrepancy to the tracking error of the Government Pension Fund – Global.
| Risk contribution | Total portfolio | Equity portfolio | Fixed-income portfolio |
|---|---|---|---|
| Relative share beta discrepancy | 0.08 | 0.04 | 0.01 |
| Relative share residual | 0.92 | 0.96 | 0.99 |
| Total tracking error (basis points) | 41.9 | 88.6 | 34.1 |
Source Ministry of Finance
The performance contribution from the beta discrepancy between the Fund and the benchmark portfolio (which has a beta of 1 by definition) is presented in Figure 2.8. The accumulated beta contribution is computed as the sum of the monthly beta contributions up to a given date, and is estimated at about 0.5 pct. (50 basis points) for the Government Pension Fund – Global. This is relatively low when compared to the alpha contribution, which can be estimated, as an approximation, at about 3.5 pct. (350 basis points).

Figure 2.8 Accumulated beta contributions for the Government Pension Fund – Global. Index by yearend 2007 = 0
Source Ministry of Finance and Norges Bank
It follows from Figure 2.8 that the accumulated beta contribution decreased for the period from 2000 to 2003, which has to do with the fact that the market return over this period was lower than the risk-free rate of interest. Developments in the contributions have been the opposite after the market strengthened during 2003.
The beta of the Government Pension Fund – Global has varied somewhat over time, and seems to have been higher in the second half of the period than in the first, cf. Figure 2.9. The calculations of time-varying beta are not directly comparable to the regression calculations presented above, as a result of the estimate for time-varying beta being based on data for the period from 1999 until yearend 2007. The first twelve observations are used to compute the beta for January 1999.

Figure 2.9 Time-varying beta for the Government Pension Fund – Global
Source Ministry of Finance and Norges Bank
There is little variation in the beta contributions to the excess return, because the beta is relatively stable and relatively low, cf. Figure 2.10. The standard deviation of the beta contributions is estimated at 0.18 pct. (18 basis points). The standard deviation of the excess return (actual tracking error) has previously been estimated at 0.42 pct. (42 basis points). It follows from the chart that there are greater variations in the beta contributions during the last part of the period than during the first, which reflects the beta estimate being higher for the last half of the observation period than for the first.

Figure 2.10 The beta contributions to the excess return on the Government Pension Fund – Global
Source Ministry of Finance and Norges Bank
The relatively small beta discrepancies drive relatively little of the Fund’s tracking error, cf. Figure 2.11. This shows that there is, in the main, little difference between the overall tracking error and the tracking error, given a neutral beta exposure.

Figure 2.11 Contributions to the tracking error for the Government Pension Fund – Global
Source Ministry of Finance and Norges Bank
The contributions of small-cap companies to the excess return
Figure 2.12 shows developments in the value of large- and small-cap companies over the period from 1999 until 2007. Small-cap companies have over this period experienced considerably stronger development than have the large-cap companies. The average annual return on large-cap companies has been just below 6 pct., whilst the standard deviation of returns (absolute volatility) has been 14 pct. The small-cap segment has over the same period registered an average annual return of about 13 pct., whilst the attendant standard deviation was 15 pct.

Figure 2.12 Developments in the value of large-cap and small-cap companies. Index by yearend 1998 = 100
Source Ministry of Finance and Norges Bank
If one had at the beginning of each month acquired small-cap companies and funded the acquisition by going short in large-cap companies, one would have achieved an average annual return of just over 7 pct. The standard deviation of returns would have been about 7 pct.
Table 2.9 shows the findings from two regression runs for the equity portfolio. The statistical calculations show an estimate for beta relative to the benchmark portfolio of 1.02 (significantly higher than 1, in the statistical sense, in both cases). The SMB beta is estimated at 0.06 in the 2-factor model (significantly higher than nil, in the statistical sense). This indicates that the equity portfolio has both had a general market exposure in excess of that resulting from the benchmark portfolio, and an overexposure to small-cap companies relative to large-cap ones.
Table 2.9 Regression findings under the 2-factor model for the Government Pension Fund – Global. Basis points
| 1999–2007 | 2-factor model | 1-factor model |
|---|---|---|
| Average excess return per year | 84.40 | 84.40 |
| Alpha | 32.74 | 78.81 |
| t-value alpha | 1.30 | 3.26 |
| Beta – benchmark portfolio | 1.021 | 1.019 |
| t-value beta – benchmark portfolio | 3.94 | 3.51 |
| Beta – SMB | 0.06 | |
| t-value beta – SMB | 6.23 | |
| R-squared | 99.72 | 99.6 |
| Standard deviation of error term | 71.60 | 83.78 |
| Standard deviation of excess return | 87.30 | 87.30 |
Source Ministry of Finance and Norges Bank
The 2-factor model has a somewhat higher explanatory power than the 1-factor model (see Table 2.7). The standard deviation of the error components in the 2-factor model is considerably lower than in the 1-factor model.
Because the return on investments in small-cap companies has been higher than in large-cap companies, and as a result of the return on the benchmark portfolio having exceeded the risk-free rate of interest, the estimated alpha is considerably lower than the unadjusted excess return.
Table 2.10 shows how the actual tracking error can be split between the beta exposure and the unexplained residual. Under the 2-factor model, the two exposure factors explain a total of 33 pct. of the actual tracking error, whilst the beta discrepancy in the 1-factor model explains 4 pct. of the variations in the excess return.
Table 2.10 Decomposition of actual tracking error for the Government Pension Fund – Global
| 2-factor model | 1-factor model | |
|---|---|---|
| Beta | 0.09 | 0.04 |
| SMB-beta | 0.24 | |
| Residual | 0.67 | 0.96 |
| Actual tracking error (basis points) | 87.3 | 87.3 |
Source Ministry of Finance and Norges Bank
1 The following indices are used: FTSE Small Cap and FTSE Large Cap for the period 1999-2006. FTSE Small Cap and FTSE Large Cap/Mid Cap have been used for 2007.
2 The findings for the 1-factor model cannot be compared directly to those results presented above. This is because the calculations in the former case cover the period from 1998, whilst those in the latter case cover the period from 1999.
The factor analysis in Box 2.4 provides a basis for evaluating the skilfulness of asset management. The analyses show that the equity portfolio of the Global part of the Pension Fund has, inter alia , been overexposed to small-cap companies relative to large-cap companies. The Ministry will in future seek to expand the factor analysis by including other systematic risk factors.
There are indications of skewness to the left in the rates of return on both the actual portfolio and the equity portfolio for the entire period as a whole. There are also suggestions of fat tails in the rates of return on the equity portfolio for the entire period. One of the tests for normality shows that the hypothesis of normally distributed rates of return for both the total portfolio and the equity portfolio for the entire period as a whole can be rejected, whilst the other statistical test shows the opposite outcome. Furthermore, statistical tests show no indications of autocorrelation in the rates of return on the actual portfolio.
2.2.3 Developments in the difference portfolio of the Government Pension Fund – Global
The return on the difference portfolio of the Government Pension Fund – Global is defined as the return on the actual portfolio of the Fund less the return on the benchmark portfolio. The excess return provides a measure of the magnitude of the contribution made by Norges Bank’s active management effort to the overall return on the Fund.
When using the return on the benchmark portfolio to assess the outcomes from Norges Bank’s active management, one has, at the same time, to be aware that one would not necessarily have managed to achieve the return on the benchmark portfolio by just managing the Fund close to index. Pure index management would incur transaction costs whenever the composition of securities in the benchmark portfolio changed, when there was an inflow of capital to the Fund and when there were changes to the Fund’s investment strategy. At the same time, index management may generate relatively high lending income from securities in the portfolio. Such lending income may in large part cancel out the regular transaction costs associated with index management.
Table 2.11 shows the average excess return and the standard deviation of the excess return (actual tracking error) over the period 1998–2007, measured in kroner. 8 It follows from the Table that Norges Bank has achieved an excess return both for the entire period as a whole and for each individual year of the period, with the exception of 2007, cf. Figure 2.13. In 2007, there was a negative excess return of 0.24 percentage points, which is the weakest active management performance registered since 1998. There has since 1998 been achieved an average annual excess return of 0.39 percentage points, which is, in statistical terms, significantly higher than nil. Alpha is a measure of the excess return as adjusted for the beta exposure, cf. Box 2.3. The alpha of the Fund is, as follows from Box 2.4, estimated to be significantly higher than nil, in statistical terms in the 1-factor model.

Figure 2.13 Excess return of the Government Pension Fund – Global, measured nominally in Norwegian kroner. Per cent.
Source Ministry of Finance and Norges Bank
The information ratio, as set out in Table 2.11, is calculated as the ratio between the average excess return and the actual tracking error. The information ratio is in some contexts used as an indicator of the quality of active management. The ratio expresses how large the excess return has been for each unit of risk involved, and can be used for comparing different managers, and for assessing developments over time for the same manager. The information ratio for the last decade was, according to the Table, an average of 0.93. This is relatively high when compared to many other funds. 9
Table 2.11 Excess return and standard deviation of the excess return (tracking error) on the Government Pension Fund – Global, as measured nominally in Norwegian kroner. Percentage points and per cent1
| 1998–2007 | 2003–2007 | 2005–2007 | 2007 | |
|---|---|---|---|---|
| The overall portfolio | ||||
| Average excess return per year | 0.39 | 0.38 | 0.30 | -0.24 |
| Standard deviation | 0.42 | 0.42 | 0.51 | 0.68 |
| Information ratio | 0.93 | 0.91 | 0.58 | -0.34 |
| The equity portfolio | ||||
| Average excess return per year | 0.74 | 0.82 | 0.98 | 1.10 |
| Standard deviation | 0.89 | 0.76 | 0.89 | 0.83 |
| Information ratio | 0.83 | 1.07 | 1.10 | 1.32 |
| The fixed-income portfolio | ||||
| Average excess return per year | 0.09 | 0.03 | -0.23 | -1.27 |
| Standard deviation | 0.34 | 0.38 | 0.47 | 0.72 |
| Information ratio | 0.27 | 0.07 | -0.49 | -1.77 |
1 Annual excess return is computed as the difference between the average monthly return on the Fund and that on the benchmark portfolio, as annualised by multiplying with 12. This is specified in percentage points in the Table. The actual tracking error is computed as the standard deviation of the monthly excess return, as annualised by multiplying with the square root of 12.
Source Ministry of Finance and Norges Bank
However, the information ratio should be interpreted with care. A manager with a portfolio that does not deviate much from the benchmark portfolio will register low tracking error, and even a small excess return may result in a high information ratio. It is also the case that one would expect the information ratio to vary across different types of active management. An investor should primarily be concerned with maximising the excess return as measured in kroner or in percent at a given risk level, and not with maximising the information ratio, cf. the more detailed discussion below in connection with the review of developments in the accumulated excess return from fixed-income management.
Developments in actual tracking error are shown in Figure 2.14. Over the period from January 2001 and until yearend 2004, the Fund had a tracking error of about 0.25 pct. During the course of 2005, the tracking error increased markedly, and reached 0.5 pct for a brief period in the summer of 2006. The Fund’s tracking error was more than halved from the summer of 2006 until the summer of 2007, before rebounding significantly in the second half of 2007. The increase in tracking error was particularly pronounced for the fixed-income portfolio. The actual tracking error for the entire period as a whole is calculated at 0.42 pct. Part of this risk may be attributed to a beta that differs somewhat from 1, cf. Box 2.4.

Figure 2.14 Developments in actual tracking error. Rolling twelve-month standard deviation of the excess return. 1998–2007. Per cent.
Source Ministry of Finance and Norges Bank
The expected tracking error shall not exceed 1.5 pct. of the overall portfolio, pursuant to the limit stipulated by the Ministry. Thus far, Norges Bank has exploited less than one third of the allocated limit.
The actual portfolio of the Government Pension Fund – Global may be analysed as comprising two portfolios; the benchmark portfolio and the difference portfolio. Consequently, the risk associated with the Fund will depend on the risk associated with the benchmark portfolio, the risk associated with the difference portfolio (tracking error) and the covariation between the return on the benchmark portfolio and that on the difference portfolio.
The small difference between the absolute risk associated with the Fund and that associated with the benchmark portfolio as presented in Figure 2.6 is caused, inter alia , by a low correlation between the excess return and the return on the benchmark portfolio. For the period 1998–2007, this correlation coefficient is calculated as 0.12.
Table 2.11 also shows the excess return from equity and fixed-income management, respectively. Equity management has delivered a positive excess return for the period 1998–2007 (0.74 percentage points). The excess return associated with the equity investments was particularly high in 2005 (1.89 percentage points) and 2007 (1.10 percentage points). At the same time, the tracking error has been calculated at 0.89 pct. as an annual average for the period 1998-2007.
Active fixed-income management has generated a positive average annual excess return when looking at the entire period as a whole (0.09 percentage points). Last year, fixed-income management delivered, for the first time since 1998, a significant negative excess return (-1.27 percentage points). This resulted in a negative excess return on the Fund as a whole for that year, despite a high excess return within equity management.
From January 2002 to June 2007, the average annual excess return within the fixed-income management was close to 0.36 percentage points. The actual tracking error for the same period was calculated at almost 0.12 pct. The information ratio for fixed-income management for the same period can be estimated at about 3, which is unusually high. The excess return is calculated at close to -1.4 percentage points for the second half of 2007, whilst the actual tracking error is estimated at 0.82 pct.
An excess return of just under 0.10 percentage points per year was achieved for the entire period from January 2002 to December 2007, with an actual tracking error of 0.34 percent. The information ratio for the entire period is estimated at close to 0.3. These developments are illustrated in Figure 2.15a, which shows a significant decline in the accumulated excess return during the course of the second half of 2007. Moreover, it follows from Figure 2.15b that the aggregate value generated within fixed-income management, as measured in kroner, is negative for the entire period as a whole, in an amount close to NOK 3 billion. This implies that the accumulated excess return achieved over the period from 1998 until the summer of 2007 is more than counterbalanced by the losses incurred during the second half of last year. The fact that the decline in accumulated excess return is somewhat larger when measured in kroner (Figure 2.15b) than in percent (Figure 2.15a) has to do with the Fund having grown rapidly over this period, thus implying that the percentage loss in 2007 is computed on the basis of a much higher amount than are the gains reaped earlier in the period. Figure 2.15c shows corresponding developments within equity management, as measured in kroner. It follows from the chart that the events in the summer of 2007 had less impact on the accumulated excess return within equity management.
The developments illustrated in the chart within fixed-income management have much in common with the earnings of an insurance company that sells insurance against events that occur very rarely. For as long as the event does not occur, the accumulated return grows ever larger without much variation around the trend. Once the event occurs, after several years, the accumulated return is reduced considerably. A possible explanation for the developments in the accumulated excess return on the fixed-income portfolio is that one has during the period from January 2002 until the summer of 2007 gained from, inter alia , reaping various liquidity and credit premiums, which is analogous to selling insurance in relation to liquidity and credit crises. The crises that occurred in the credit markets in the autumn of 2007 resulted in large losses on these positions, and can be interpreted analogously to an insurance company that has to pay out insurance proceeds to the policyholders when misfortune strikes.

Figure 2.15 Accumulated excess return of the Government Pension Fund – Global.
Source Ministry of Finance and Norges Bank
This type of active management strategy illustrates the importance of adopting a long time horizon when evaluating erformance. Furthermore, it seems obvious that the information ratio is unsuitable as an evaluation criterion for this type of strategies.
Active equity management has throughout the period proven to be significantly more risky than active fixed-income management. Computations show that the relative risk associated with equity management accounts for most of the overall relative risk associated with the Fund.
It is difficult to draw any clear conclusions from Figure 2.16a to the effect that the excess return has been skewed to the left, but there are indications of fat tails. This is confirmed by Figure 2.16b, which shows that there are clear indications to the effect that the assumption of normally distributed rates of excess return is not viable, inasmuch as one observes rates of excess return that are both much lower and much higher than one would normally expect.
Statistical tests show that there are indications of skewness to the left for the Fund as a whole, and the value of the test statistic is significant for the sub-periods since 2003. Furthermore, the tests show that the excess returns on the equity portfolio are skewed to the right (and significant) for the entire period as a whole, whilst the excess returns on the fixed-income portfolio are skewed strongly to the left (and significant) for almost all sub-periods. There also clear indications of fat tails in the excess returns on the overall Fund, the equity portfolio and the fixed-income portfolio for the entire period as a whole, and (with the exception of the equity portfolio) for the two sub-periods 2003-2007 and 2005-2007. Statistical tests for the assumption of normality show that the hypothesis of normally distributed rates of excess return can be rejected for the overall Fund and for the fixed-income portfolio, whilst the findings in respect of the equity portfolio are more mixed. Consequently, one should be very cautious about basing probability statements on the risk associated with the difference portfolio for the fund as a whole (in general), and the fixed-income difference portfolio in particular, exclusively on the standard deviation. When defining a risk budget for active management it will be appropriate to take into account any deviations from the assumption of normality.
According to Figure 2.16c, which shows the empirical cumulative probability distributions of the rates of excess return, the minimum excess return on the Fund is calculated at about -0.4 pct. and the maximum annual return at 0.4 pct. The chart illustrates that the excess return on the Fund’s has been lower than -0.15 pct. in 10 pct. of the months. The percentile chart in Figure 2.16d shows that the excess return on the Fund has in 10 pct. of the months been lower than, or equal to, -0.15 pct., whilst the excess return on the equity portfolio has been lower than, or equal to, -0.25 pct., and -0.10 pct. for the fixed-income portfolio.

Figure 2.16 Distribution characteristics of the monthly nominal rates of excess return on the Government Pension Fund – Global. Norwegian kroner
Source Ministry of Finance and Norges Bank
The evaluation of active management performance and the determination of a limit for permitted risk deviations (tracking error) are based on the assumption that the risk is linearly independent over time. It is therefore of key importance to investigate the extent to which the rates of excess return are correlated over time. Statistical tests for autocorrelation show that the hypothesis of independence over time in the rates of return cannot be rejected for any of the periods or any of the sub-benchmarks, with the exception of the fixed-income portfolio as far as the last five years are concerned.
2.2.4 External evaluation of the management performance for the Government Pension Fund – Global
The Ministry receives reports from Mercer Investment Consulting and CEM Benchmarking Inc. regarding the management of the Government Pension Fund – Global on an annual basis, cf. Box 2.5. The Ministry has commissioned Mercer to verify and analyse the return on the Pension Fund – Global. In the annual report for 2007, Mercer shows that its independent computations of return and market value for the Fund are in conformity with the computations of Norges Bank. Where returns do not confirm, a satisfactory explanation for the difference has been provided.
Comparison of the performance of the Pension Fund – Global and that of other large institutional managers forms an important part of the analyses of Norges Bank’s active management effort. According to the analyses from CEM, the excess return on the Pension Fund – Global is somewhat lower than that of comparable funds. The analyses show that the tracking error is clearly less than that of other funds. However, such comparisons are problematic because the scope for generating excess return will vary with the investment limits and guidelines laid down in respect of the funds. Both the Pension Fund – Global and other funds have benchmark portfolios that do not include all the types of assets in which the funds may invest. Normally, it is easier to achieve excess return relative to such a benchmark than if one was to measure returns against a more comprehensive benchmark that more accurately reflects developments in the value of all types of assets in which the Fund may invest.
Textbox 2.5 Comparison of the returns and costs associated with the management of the Government Pension Fund – Global and those associated with other large pension funds
The Ministry of Finance has commissioned CEM Benchmarking Inc. (“CEM”) to prepare an extensive annual rapport that compares the returns, excess returns and management costs associated with the Pension Fund – Global and those associated with other large funds. The reference group comprises the largest funds in the CEM survey (13 US, 3 Canadian and 3 European funds). In addition, the return on the Fund is compared to the return on 25 European funds. The median size of European funds is about 19 billion euros, as compared to about 77 billion euros for the reference group. The average market value of the Pension Fund in 2006 was 193 billion euros. The data set is based on self-reporting from the funds that purchase services from CEM.
Excess return
A comparison over time of the actual return on the Government Pension Fund – Global and the return on the benchmark portfolio shows the excess return generated by Norges Bank. Figure 2.17 shows the average excess return on, and tracking error of, the Government Pension Fund – Global and the various reference groups over the 5-year period 2002– 2006. It follows from the chart that the Pension Fund – Global has, like the majority of the other funds, achieved positive excess returns over this period. It may also be noted that the Pension Fund – Global differs from most other funds inasmuch as there is less variation in its excess return, i.e. less tracking error.

Figure 2.17 Average annual excess return on, and tracking error for, the Government Pension Fund – Global and other funds. 2002–2006. Per cent.
Source CEM Benchmarking Inc.
CEM has calculated that the Pension Fund – Global achieved, over the 5-year period until 2006, an average annual excess return of 0.5 percentage points. In comparison, the most typical excess return (the median) was 0.6 percentage points for the European funds and 0.8 percentage points for the reference group. At the same time, the analyses show that the excess return on the Pension Fund – Global has been generated by assuming considerably less active risk (tracking error) than the other funds.
Both the reference group and the European funds have generated excess returns in asset classes in which the Pension Fund – Global is not invested. Comparison of the excess returns from the fixed-income and equity management effort with those from the fixed-income and equity management efforts of other funds therefore provide a better illustration as to how Norges Bank has succeeded in comparison with other managers. The average excess return from the equity management effort over the five-year period was 0.6 percentage points, whilst the median for the reference group was 0.5 percentage points. The average excess return from the fixed-income management effort over the period was 0.4 percentage points, whilst the median return on the reference group was 0.6 percentage points. The analyses also show that both the fixed-income and the equity management effort of the Pension Fund – Global are characterised by lower variations in the excess return than is typical for other funds.
Management costs
The CEM report shows that Norges Bank’s overall management costs in 2006 for the Government Pension Fund – Global were 0.098 pct. of the average capital under management. These are the lowest management costs of all the funds from which CEM gathers data. Since the overall management costs in large part reflect the asset structure of the funds, which structure follows from the Ministry of Finance’s investment strategy as far as the Pension Fund – Global is concerned, such comparisons do not fully clarify whether Norges Bank’s management effort is cost effective.
CEM has therefore prepared a cost benchmark based on the asset structure of the Pension Fund – Global. The cost benchmark indicates which costs the reference group – the world’s largest pension funds – would have incurred with the same asset structure as the Pension Fund. The analysis shows that actual management costs in 2006 were 0.01 percentage points lower than the cost benchmark. This is primarily caused by Norges Bank having chosen more internal management than has the reference group. Internal management is considerably less expensive than external management.
The return on the benchmark portfolio
The Ministry of Finance has established a benchmark portfolio for the Government Pension Fund – Global. The analyses of CEM show that the average annual return on the benchmark portfolio of the Pension Fund – Global over the 5-year period until 2006 was 6.5 pct. as measured in the currency basket of the benchmark portfolio. Correspondingly, the median return was 9.2 pct. and 7.6 pct. for the reference group and the European funds, as measured in the home currency of each fund.
Comparison of aggregate returns between funds is difficult because different funds hold assets denominated in different currencies and have different benchmark currencies. Exchange rate fluctuations imply that the return will depend on the benchmark currency one uses. For example, the return on the Fund’s benchmark portfolio was 3.0 pct. as measured in euros, whilst it was 11.5 pct. as measured in USD, over the 5-year period until 2006. The large difference was caused by a significant depreciation of USD as against euros over this period.
Differences in the returns on the benchmark portfolios will also result from differences in terms of asset classes and regional composition. The Pension Fund – Global has thus far differed from other large pension funds by way of a lower equity portion and by way of the Fund not being invested in real estate and unlisted equities. CEM has calculated that if the other funds had featured the same asset class composition as the Pension Fund over the 5-year period until 2006, their annual indexed return would have been reduced by 0.7 percentage points for the reference group and 1.4 percentage points for the European funds. This difference is attributable to the fact that other funds have featured higher allocations to listed and unlisted equities and to real estate. In historical terms, this 5-year period has been a good period as far as the property market is concerned. The Pension Fund – Global also differs from other funds inasmuch as its investments are spread across many markets and currencies, whilst most of the pension funds in the reference group hold the main part of their investments in their domestic markets.
The investment strategy underpinning the composition of the benchmark portfolio is based on trade-offs between long-term expectations concerning return and risk in the capital markets, cf. Chapter 3. In such a perspective, a 5-year period is short. If the comparisons had been made for a different 5-year period, the findings might have been different.
A summary of the analyses for 2006 is published on the Ministry of Finance’s website (www.government.no/fin).
Management costs
The CEM report shows that Norges Bank’s overall management costs in 2006 for the Government Pension Fund – Global were 0.098 pct. of the average capital under management. These are the lowest management costs of all the funds from which CEM gathers data. Since the overall management costs in large part reflect the asset structure of the funds, which structure follows from the Ministry of Finance’s investment strategy as far as the Pension Fund – Global is concerned, such comparisons do not fully clarify whether Norges Bank’s management effort is cost effective.
CEM has therefore prepared a cost benchmark based on the asset structure of the Pension Fund – Global. The cost benchmark indicates which costs the reference group – the world’s largest pension funds – would have incurred with the same asset structure as the Pension Fund. The analysis shows that actual management costs in 2006 were 0.01 percentage points lower than the cost benchmark. This is primarily caused by Norges Bank having chosen more internal management than has the reference group. Internal management is considerably less expensive than external management.
The return on the benchmark portfolio
The Ministry of Finance has established a benchmark portfolio for the Government Pension Fund – Global. The analyses of CEM show that the average annual return on the benchmark portfolio of the Pension Fund – Global over the 5-year period until 2006 was 6.5 pct. as measured in the currency basket of the benchmark portfolio. Correspondingly, the median return was 9.2 pct. and 7.6 pct. for the reference group and the European funds, as measured in the home currency of each fund.
Comparison of aggregate returns between funds is difficult because different funds hold assets denominated in different currencies and have different benchmark currencies. Exchange rate fluctuations imply that the return will depend on the benchmark currency one uses. For example, the return on the Fund’s benchmark portfolio was 3.0 pct. as measured in euros, whilst it was 11.5 pct. as measured in USD, over the 5-year period until 2006. The large difference was caused by a significant depreciation of USD as against euros over this period.
Differences in the returns on the benchmark portfolios will also result from differences in terms of asset classes and regional composition. The Pension Fund – Global has thus far differed from other large pension funds by way of a lower equity portion and by way of the Fund not being invested in real estate and unlisted equities. CEM has calculated that if the other funds had featured the same asset class composition as the Pension Fund over the 5-year period until 2006, their annual indexed return would have been reduced by 0.7 percentage points for the reference group and 1.4 percentage points for the European funds. This difference is attributable to the fact that other funds have featured higher allocations to listed and unlisted equities and to real estate. In historical terms, this 5-year period has been a good period as far as the property market is concerned. The Pension Fund – Global also differs from other funds inasmuch as its investments are spread across many markets and currencies, whilst most of the pension funds in the reference group hold the main part of their investments in their domestic markets.
The investment strategy underpinning the composition of the benchmark portfolio is based on trade-offs between long-term expectations concerning return and risk in the capital markets, cf. Chapter 3. In such a perspective, a 5-year period is short. If the comparisons had been made for a different 5-year period, the findings might have been different.
A summary of the analyses for 2006 is published on the Ministry of Finance’s website (www.government.no/gpf).
2.3 The performance of the Government Pension Fund – Norway 10
2.3.1 Developments in the benchmark portfolio of the Government Pension Fund – Norway
Until yearend 2007, the Ministry stipulated general investment limits for the Government Pension Fund – Norway, whilst the more detailed benchmark portfolio for the measurement of return and risk was defined by the Board of Directors of Folketrygdfondet. This was changed, as mentioned above, with effect from 1 January 2008, thus implying that the Ministry will from now on establish general investment limits through its choice of benchmark portfolio and the limits on the permitted tracking error, as is being done for the Government Pension Fund – Global; see Chapter 1.5 for a description of the new benchmark portfolio for the Government Pension Fund – Norway.
The return on the Government Pension Fund – Norway depends, to a large extent, on market developments for the benchmark portfolio. The benchmark portfolio for equity investments in Norway is represented by the main index of the Oslo Stock Exchange (OSEBX), whilst VINX Benchmark (CMVINXBXINN) is used as the benchmark portfolio for equity investments in Denmark, Finland and Sweden. 11 The Nordic equity benchmark was established in 2007, and replaced the index FTSE NOREX30 that was used previously. In 2007, the benchmark portfolio for Norwegian fixed-income investments consisted of a composite index that reflects developments in the Norwegian fixed-income market, whilst the benchmark portfolio for investments in Nordic fixed-income securities comprised bonds included in the index Lehman Global Aggregate Scandinavia.
The overall benchmark portfolio of the Government Pension Fund – Norway is a composite of the abovementioned benchmark sub-portfolios. As per yearend 2007, the benchmark portfolio for investments in Norwegian equities carried a weight of about 51 pct. in the overall portfolio, the benchmark portfolio for investments in Nordic equities carried a weight of 9 pct., whilst the bond benchmark carried a weight of 40 pct. (34 pct. in Norway and 6 pct. in the other Nordic countries).
The performance discussion in this Report addresses the returns and risks associated with the Norwegian equity and fixed-income portfolios and the Nordic equity portfolio, as well as the Pension Fund – Norway as a whole, but not the investments in Nordic fixed-income securities (since such investments were not made until February 2007).
The returns and risks associated with the overall benchmark and the sub-benchmarks for various periods are set out in Table 2.12. The average annual return on the benchmark portfolio of the Fund was 11.3 pct. over the last five years, which is significantly higher than the return over the period 1998-2007 as a whole. The return on the overall benchmark has been gradually reduced over the last few years, and in 2007 it was in line with the average return for the entire period as a whole.
Table 2.12 Average annual return and annual standard deviation of returns on the benchmark portfolio for the Government Pension Fund – Norway, as measured nominally in Norwegian kroner. Per cent
| 1998–2007 | 2003–2007 | 2005–2007 | 2007 | |
|---|---|---|---|---|
| The overall benchmark portfolio | ||||
| Average return per year | 7.36 | 11.27 | 9.11 | 7.26 |
| Standard deviation | 4.99 | 5.39 | 5.50 | 7.31 |
| Equity benchmark – Norway | ||||
| Average return per year | 11.99 | 30.86 | 25.75 | 11.72 |
| Standard deviation | 21.71 | 17.75 | 15.69 | 13.37 |
| Equity benchmark – Nordic region | ||||
| Average return per year | 7.68 | 21.53 | 15.97 | 1.14 |
| Standard deviation | 22.18 | 15.65 | 13.72 | 12.58 |
| Fixed-income benchmark – Norway | ||||
| Average return per year | 5.55 | 5.26 | 2.52 | 3.20 |
| Standard deviation | 2.94 | 3.19 | 2.11 | 1.73 |
1 The time period is June 2001-2007 for the equity investments in the Nordic region.
Source Ministry of Finance and Folketrygdfondet
The risk associated with the benchmark portfolio of the Fund, as measured by the standard deviation of returns, has varied from 3 pct. to 8 pct. over the period 1998-2007, cf. Figure 2.18. The fluctuations in the return on the overall benchmark have primarily been driven by significant volatility in the Norwegian and Nordic stock markets. The risk associated with the overall benchmark was 5.4 pct. over the last five-year period, measured as an annual average, which is somewhat higher than the normal variation over the period 1998-2007. 12

Figure 2.18 The risk associated with the Government Pension Fund – Norway. Rolling twelve-months standard deviations of returns for the benchmark portfolio of the Fund, measured in Norwegian kroner. Per cent
Source Ministry of Finance and Folketrygdfondet
Returns on the Norwegian stock market have been considerably higher than returns on the Nordic stock market, as measured by the average annual return, for the entire period as a whole. The average return on the Norwegian stock market over the last five years was close to 10 percentage points higher than the return on the Nordic stock market. From 2003 to 2006, the returns in the stock markets in Norway and the Nordic region were very high. The risks associated with the two stock markets have, at the same time, been relatively similar over the period 1998-2007 as a whole. This has changed somewhat over the last few years, and the fluctuations in the Norwegian stock market over the five-year period 2003-2007 were somewhat higher than those in the Nordic stock market.
The return on the Norwegian fixed-income benchmark was 5.6 pct. when measured as an annual average over the period 1998-2007. This is just over 6 percentage points lower than the return on the Norwegian equity benchmark over the same period. The return on the fixed-income benchmark has been gradually reduced since 2003. The risk associated with the Norwegian fixed-income benchmark has been relatively low over the period 1998-2007, and the level has been further reduced in recent years.
It follows from Figure 2.19a that it is difficult to draw any clear conclusions to the effect that the returns on the benchmark portfolios of the Fund have been skewed or has fat tails. Nor does Figure 2.19b show any clear indication that the assumption of normality is untenable. Nevertheless, the statistical tests indicate skewness to the left and fat tails in the rates of return for the entire period as a whole. One of the tests for normality (Jarque-Bera) shows that the hypothesis of normally distributed rates of return can be rejected, whilst the other test for normality (Lilliefors) delivers the opposite conclusion. Tests for autocorrelation show that there appears to be a relatively low degree of time dependence in the rates of return on the overall benchmark of the Fund.
The minimum return on the benchmark portfolio of the Fund is estimated at about -5 pct., and the maximum monthly return at 4 pct., in line with the empirical cumulative probability distribution in Figure 2.19c. The variance is much greater for the Norwegian and the Nordic equity benchmark, whilst it is smaller for the Norwegian fixed-income benchmark. The percentile chart in Figure 2.19d shows that the return on the overall benchmark has been lower than, or equal to, -1.5 pct. in 10 pct. of the months, whilst the return on the Norwegian equity benchmark has been lower than, or equal to, -7 pct., and less than -0,5 pct. for the Norwegian fixed-income benchmark in 10 pct. of the months.

Figure 2.19 Distribution characteristics of the monthly return (measured nominally in Norwegian kroner) on the benchmark portfolio of the Government Pension Fund – Norway
Source Ministry of Finance and Folketrygdfondet
2.3.2 Developments in the actual portfolio of the Government Pension Fund – Norway
The actual portfolio of the Government Pension Fund – Norway deviates somewhat from the benchmark portfolio, which can primarily be attributed to active investment decisions on the part of Folketrygdfondet. The objective of such deviations is to achieve a higher return on the actual portfolio than on the benchmark portfolio, within the defined risk limit. The return on, and the risk associated with, the actual portfolio will therefore deviate somewhat from the return on, and the risk associated with, the benchmark portfolio. The Fund’s return and risk are presented in Table 2.13.
Table 2.13 Average annual return and annual standard deviation of returns on the Government Pension Fund – Norway, as measured nominally in Norwegian kroner. Per cent
| 1998–2007 | 2003–2007 | 2005–2007 | 2007 | |
|---|---|---|---|---|
| Actual overall portfolio | ||||
| Average return per year | 7.52 | 10.89 | 9.68 | 9.59 |
| Standard deviation | 4.56 | 4.91 | 5.29 | 6.88 |
| Actual equity portfolio – Norway | ||||
| Average return per year | 13.04 | 29.79 | 24.73 | 16.04 |
| Standard deviation | 20.30 | 16.99 | 13.90 | 12.57 |
| Actual equity portfolio – Nordic region | ||||
| Average return per year | 7.72 | 21.61 | 16.62 | 3.60 |
| Standard deviation | 22.04 | 15.42 | 13.40 | 12.00 |
| Actual fixed-income portfolio – Norway | ||||
| Average return per year | 5.21 | 4.53 | 2.34 | 2.91 |
| Standard deviation | 2.42 | 2.32 | 1.59 | 1.61 |
1 The time period is June 2001-2007 for the equity investments in the Nordic region.
Source Ministry of Finance and Folketrygdfondet
It follows from Tables 2.12 and 2.13 that the average return on the actual portfolio has been somewhat higher than that on the benchmark portfolio for the period 1998-2007 as a whole, cf. also Figure 2.20. At the same time, the risk associated with the actual portfolio has been somewhat lower than the risk associated with the benchmark portfolio over the same period. The average return on, and the level of the volatility associated with, the actual portfolio have been somewhat lower than for the benchmark portfolio over the last five-year period, with the exception of 2007, when the return on the actual portfolio was significantly higher than the return on the benchmark portfolio, whilst, at the same time, the risk associated with the actual portfolio was somewhat lower than that associated with the benchmark portfolio.

Figure 2.20 Accumulated total return on the Government Pension Fund – Norway, measured in Norwegian kroner. Index 1997=100
Source Ministry of Finance and Folketrygdfondet
Figures 2.21 and 2.22 illustrate that there has been a relatively high degree of correlation between the return and risk associated with the actual portfolio and the return and risk associated with the benchmark portfolio over the period 1998-2007 as a whole. Whilst the level of returns has been more or less the same for the two portfolios, the level of volatility has at times been somewhat lower for the actual portfolio than for the benchmark portfolio, hereunder during the period 2004-2006. This can be attributed to the fact that the risk associated with the Norwegian fixed-income portfolio over this period has been significantly lower than the risk associated with the Norwegian fixed-income benchmark, and the low-beta profile of the Norwegian equity portfolio.

Figure 2.21 Rolling twelve-months standard deviations of returns for the Government Pension Fund – Norway and the benchmark portfolio of the Fund. 1998–2007. Per cent
Source Ministry of Finance and Folketrygdfondet

Figure 2.22 Returns on the Government Pension Fund – Norway and the benchmark portfolio of the Fund. Monthly return data, measured nominally in Norwegian kroner.1998–2007. Per cent
Source Ministry of Finance and Folketrygdfondet
The charts indicate that the decisions relating to the general investment strategy of the Fund, as operationalised through the formulation of the benchmark portfolio, are the primary determinants of both the return and the variations in the return on the Fund. The Ministry’s computations show that more than 95 pct. of the return on the Fund can be attributed to the choices made in defining the general investment framework for the Fund, whilst the remainder can be attributed to the investment choices made by Folketrygdfondet within the guidelines laid down by the Ministry. Moreover, the computations show that the variations in the return on the benchmark portfolio explain about 94 pct. of the variations in the return on the Fund. This illustrates that the Ministry’s general investment strategy, as expressed through the investment limits laid down in the Regulations governing the management of the Government Pension Fund – Norway, and as operationalised in the benchmark portfolio selected for the Fund by the Board of Directors, largely determine developments in the return on the actual portfolio, cf. Box 2.6. Furthermore, Box 2.7 illustrates that the risk associated with the Fund is driven by a limited number of positions.
Textbox 2.6 Factor analysis for the Government Pension Fund – Norway
Figure 2.23 shows the relationship between the return on the Government Pension Fund – Norway and the return on the benchmark portfolio of the Fund. Each dot in the chart shows the return on the Fund (less the risk-free rate of interest) and the return on the benchmark portfolio (less the risk-free rate of interest) for the same month. The return on the actual portfolio of the Fund can be read along the y-axis, whilst the return on the benchmark portfolio can be read along the x-axis. There is, as can be seen from the chart, a clear positive relationship between the rates of return on the two portfolios. The variation in the returns on the benchmark portfolio explains a major part of the variation in the returns on the Fund.

Figure 2.23 The relationship between the return on the Government Pension Fund – Norway and the return on the benchmark portfolio of the Fund. 1998-2007. Per cent
Source Ministry of Finance and Folketrygdfondet
Table 2.14 summarises the findings from the statistical analysis for the overall Fund and for three sub-portfolios. This analysis is based on monthly data over the period from January 1998 to December 2007. The Table shows the average annual excess return as measured in basis points (1 basis point represents 0.01 per cent). The beta of the Fund can be estimated at 0.88, which is significantly lower than 1. The Table shows that R-squared for the overall Fund is estimated at 93.85, which implies that the variation in the returns on the benchmark portfolio explains almost 94 pct. of the variation in the returns on the Fund. It further follows from the Table that the actual tracking error is calculated at just over 1.27 pct., whilst the standard deviation of the error components from the regression is estimated at 1.13 pct. The difference between these two variables is a measure as to how much of the excess return on the Fund is explained by the regression.
Table 2.14 shows that the alpha of the portfolio is estimated at just below 0.47 pct. (46,86 basis points). This is a measure as to how much higher the return on the Fund has been than the return on a fictive index-managed portfolio with a beta of 0.88. However, the estimate for alpha is not statistically significant.
Table 2.15 shows how much of the tracking error for the portfolio is caused by the difference between the beta estimates and the beta of the benchmark portfolio (which here equals 1), and is termed the ”beta discrepancy”. 20 pct. of the tracking error for the Fund as a whole can attributed to the beta discrepancy, whilst 80 pct. is caused by other factors (e.g other systematic factors).
The performance contribution from the beta discrepancy relative to the benchmark portfolio (which has, by definition, a beta of 1) is presented in Chart 2.24.
(which has, by definition, a beta of 1) is presented in Figure 2.24.

Figure 2.24 Accumulated beta contributions for the Government Pension Fund – Norway. Index by yearend 1997 = 0.
Source Ministry of Finance and Folketrygdfondet
The performance contribution from the beta discrepancy can be considered in two different ways. Firstly, the principal can regard a negative beta contribution as a cost associated with the failure of the manager to adapt the beta of the actual portfolio to the beta of the benchmark portfolio. Alternatively, the beta contribution can be used to adjust the excess return, thus permitting the active management performance to be compared to the return on a portfolio with the same beta as in the actual portfolio. In this case the manager is ”compensated” for negative beta contributions, and not ”penalised” for operating a low-beta profile. However, such an approach is conditional upon the principal not attaching decisive weight to achieving the beta exposure of the benchmark portfolio.
Table 2.14 Regression findings from the 1-factor model for the Government Pension Fund – Norway. Basis points
| Total portfolio | Norwegian equity portfolio | Nordic equity portfolio | Norwegian fixed-income portfolio | |
|---|---|---|---|---|
| Average excess return per year | 15.51 | 105.22 | 3.71 | -33.73 |
| Alpha per year | 46.86 | 167.51 | 6.14 | -13.44 |
| t-value alpha | 1.28 | 1.27 | 0.24 | -0.84 |
| Beta | 0.88 | 0.92 | 0.99 | 0.78 |
| t-value beta | -5.49 | -4.84 | -2.00 | -13.47 |
| R-squared | 93.85 | 95.89 | 99.92 | 95.00 |
| Standard deviation of error component | 113.30 | 412.83 | 64.38 | 49.83 |
| Standard deviation of excess return . | 127.07 | 452.23 | 66.05 | 79.58 |
Source Ministry of Finance and Folketrygdfondet
Table 2.15 Risk contributions from the tracking error of the Government Pension Fund – Norway
| Risk contribution | Total portfolio | Norwegian equity portfolio | Nordic equity portfolio | Norwegian fixed-income portfolio |
|---|---|---|---|---|
| Relative share beta discrepancy | 0.20 | 0.17 | 0.05 | 0.61 |
| Relative share residual | 0.80 | 0.83 | 0.95 | 0.39 |
| Total tracking error (basis points) | 127.1 | 452.2 | 66.1 | 79.6 |
Source Ministry of Finance and Folketrygdfondet
The chart illustrates that the accumulated beta contribution increased until late 2002, which reflects the fact that the market return during this period was lower than the risk-free rate of interest. The beta contributions have moved in the opposite direction after market developments improved. The cost associated with adopting a low-beta profile has been significant over this period.
The beta of the Government Pension Fund – Norway has varied over time. This reflects the fact that the relationship between the volatility of the actual portfolio and the benchmark portfolio and the correlation between the returns on the two portfolios has changed over time. Figure 2.25 shows developments in the ratio between the standard deviations of the Fund and the benchmark portfolios and the correlation between the returns on the two portfolios. The Fund has been characterised by lower risk than the benchmark portfolio for large parts of the period from 1999 until 2007. At the same time, the correlation has at times been considerably lower than 1, in particular during the period from 2000 until 2002.

Figure 2.25 Volatility and correlation for the Government Pension Fund – Norway.
Source Ministry of Finance and Folketrygdfondet
Beta is calculated as the product of the ratio between the level of standard deviation associated with the two portfolios and the correlation, and is shown in Figure 2.26. It follows from the chart that the beta of the Fund has varied a lot over time, and that it has at times been considerably lower than 1. There has been a certain increase in the beta over the last few years.

Figure 2.26 Time-varying beta of the Government Pension Fund – Norway.
Source Ministry of Finance and Folketrygdfondet
There will, since the beta of the Fund and the return on the benchmark portfolio vary over time, also be large variations in the beta contributions to the excess return, cf. Figure 2.27. The average annual beta contribution is calculated at minus 0.26 pct. (26 basis points), and the standard deviation of the beta contributions is estimated at 0.73 pct. (73 basis points). The standard deviation of the excess return or actual tracking error has previously been estimated at 1.27 pct. (127 basis points).

Figure 2.27 Beta contributions to the excess return on the Government Pension Fund – Norway. Per cent
Source Ministry of Finance and Folketrygdfondet
The low-beta profile of the Government Pension Fund – Norway explains parts of the active risk (tracking error) associated with the Fund, as shown in Figure 2.28. If the Fund had a beta approximately equal to the beta of the benchmark portfolio, developments in the actual tracking error would have traced the red curve. The difference between the two curves is a measure of the increase in tracking error resulting from the beta discrepancy.

Figure 2.28 Beta contributions to the tracking error of the Government Pension Fund – Norway.
Source Ministry of Finance and Folketrygdfondet
Figure 2.29 shows developments in two indices relating to the Oslo Stock Exchange. One of the indices has here been used as a proxy for the return on the small-cap segment, whilst the other index is assumed to represent the large-cap segment. It follows from the chart that small-cap companies have over this period registered considerably better developments than have large-cap companies. The average annual return has for large-cap companies been about 13 pct., whilst the standard deviation of returns (absolute volatility) has been about 22 pct. The small-cap segment has registered an average annual return of just below 18 pct., and an attendant standard deviation of 23 pct.

Figure 2.29 Developments in small-cap and large-cap indices on the Oslo Stock Exchange. Index 1998 = 100.
Source Ministry of Finance
Figure 2.30 shows the difference between the return on the small-cap segment and the large-cap segment on the Oslo Stock Exchange. The return difference is labelled SMB (”small minus big”). If one had acquired small-cap companies at the beginning of every month and funded the acquisition by going short in large-cap companies, one would have achieved an average annual return of close to 4.6 pct. The standard deviation of returns would have been about 14 pct. These return differences represent the second factor in equation (1) in Box 2.3.

Figure 2.30 Return differences between small-cap and the main index of the Oslo Stock Exchange. Per cent
Source Ministry of Finance
Table 2.16 shows the findings from the two regression analyses. The findings from the statistical analyses show a beta of about 0.9 as against the benchmark portfolio (significantly lower than 1 in both cases). The SMB-beta is estimated at -0.1 in the 2-factor model (significantly lower than nil). This indicates that the Norwegian equity portfolio has both had less general market exposure and an overexposure to large-cap companies as opposed to small-cap ones. One could, in other words, have achieved a higher return by being ”neutral” as far as the exposure to large-cap and small-cap companies is concerned, and by operating with the same general market exposure as the benchmark portfolio. The ”cost” associated with the low beta as against the benchmark portfolio is estimated as close to 0.7 pct. per year, whilst the ”underexposure” to small-cap companies has reduced the annual return by about 0.45 pct. The two-factor model has a somewhat higher explanatory power than does the one-factor model, and the standard deviation of the error components is also correspondingly lower.
Table 2.16 Regression findings from the 2-factor model for the Government Pension Fund – Norway. Basis points
| 2-factor model | 1-factor model | |
|---|---|---|
| Average excess return per year | 105 | 105 |
| Alpha | 218 | 168 |
| t-value alpha | 1.72 | 1.27 |
| Beta | 0.91 | 0.92 |
| t-value beta | -5.51 | -4.84 |
| SMB-beta | -0.10 | |
| t-value SMB-beta | -3.60 | |
| R-squared | 96.3 | 95.9 |
| Standard deviation of residual | 392 | 413 |
| Standard deviation of excess return | 452 | 452 |
Source Ministry of Finance and Folketrygdfondet
Estimates as to the ”cost” incurred as the result of the Norwegian equity portfolio having been characterised by lower general market exposure and overexposure to large-cap companies, respectively, need to be interpreted with caution. Some of the small-cap companies included in the index for the small-cap segment are not included in the benchmark portfolio of the Fund, which implies that the cost estimate of 0.45 pct. is likely to exaggerate the effect of underexposure to small-cap companies. Furthermore, an exposure to small-cap companies may entail higher management costs, hereunder in relation to transactions in companies that are illiquid and in relation to corporate governance efforts, which are not reflected in the above estimates.
Because the return on investments in small-cap companies has been higher than the return on large-cap companies, and as a result of the positive return on the benchmark portfolio (over and above the risk-free rate of interest), the estimated alpha is considerably higher than the unadjusted excess return. Given the low ”systematic” risk exposure of the portfolio, one may say that the manager has performed better than one could have expected.
Table 2.17 shows how the actual tracking error can be attributed to the beta exposure, and how much remains unexplained. The two factor exposures in the 2-factor model explain 25 pct. of the actual tracking error, whilst the beta discrepancy in the 1-factor model explains 17 pct. of the variation in the excess return.
Table 2.17 Decomposition of the actual tracking error for the Government Pension Fund – Norway
| 2-factor model | 1-factor model | |
|---|---|---|
| Beta | 0.18 | 0.17 |
| SMB-beta | 0.07 | |
| Residual element | 0.75 | 0.83 |
| Actual tracking error (basis points) | 452 | 452 |
Source Ministry of Finance and Folketrygdfondet
Statistical tests offer some indications of skewness to the left and fat tails in the rates of return on the actual portfolio for the entire period as a whole. One of the tests for normality (Jarque-Bera), show that the hypothesis of normally distributed rates of return can be rejected, whilst the other test for normality (Lilliefors) delivers the opposite conclusion. Moreover, there are no indications that the rates of return on the actual portfolio are correlated over time.
Textbox 2.7 Decomposition of risk – the Government Pension Fund – Norway
Table 2.18 Contributions from asset classes to the overall risk associated with the Government Pension Fund – Norway
| Decomposition of risk | Percentage points | Relative share |
|---|---|---|
| Danish bonds | 0.05 | 0.35 |
| Swedish bonds | 0.07 | 0.47 |
| Norwegian bonds | 1.03 | 6.46 |
| Danish equities | 0.13 | 0.82 |
| Swedish equities | 0.83 | 5.21 |
| Norwegian equities | 13.76 | 86.70 |
| Risk | 15.87 | 100.0 |
Source Ministry of Finance and Dimson, Marsh and Stauton
Table 2.18 shows how the risk associated with the benchmark portfolio is distributed, in percentage points and in relative terms, across Danish, Swedish and Norwegian bonds and equities, respectively.1
The benchmark portfolio includes 60 pct. equities, whilst the calculations show that the equity portfolio accounts for more than 90 pct. of the overall risk associated with the benchmark portfolio. The Norwegian markets account for 85 pct. of the benchmark portfolios for both equities and bonds, whilst the Nordic ones (excepting Norway and Iceland) account for 15 pct. About 93 pct. of the overall risk can be attributed to the Norwegian securities markets, which reflects the fact that the volatility of the Norwegian stock market is higher than the volatility of the other Nordic stock markets.
The Norwegian equity portfolio is the main risk contributor. Consequently, it is of interest to take a closer look at this portfolio to determine which companies account for the largest risk contributions. The calculations are based on data for the last five years because the company composition of the benchmark portfolio changes at regular intervals. This is a period characterised by relatively low volatility, which cannot be compared to the period 1900-2006. The absolute volatility of the benchmark portfolio for this period is estimated at 17.3 pct. Table 2.19 shows the 15 companies that contribute the most risk to the equity benchmark. In total, these account for 13.1 percentage points of the 17.3 pct. risk, which represents 75 pct. of the total. StatoilHydro contributes close to 20 pct. on account of its size, despite the standard deviation of returns on this company being relatively low when compared to a number of the other companies included in the benchmark portfolio. The five largest contributors make an aggregate contribution of almost 50 pct.
Table 2.19 Risk contributions from various companies to the Government Pension Fund – Norway
| Name | Percentage points | Relative share |
|---|---|---|
| StatoilHydro ASA | 3.4 | 19.34 |
| Telenor ASA | 1.5 | 8.50 |
| Orkla ASA | 1.4 | 8.02 |
| Acergy ASA | 1.1 | 6.44 |
| Norsk Hydro ASA | 1.1 | 6.12 |
| DnB NOR ASA | 0.9 | 5.04 |
| Seadrill Ltd | 0.7 | 4.32 |
| Yara International ASA | 0.5 | 2.84 |
| Storebrand ASA | 0.4 | 2.54 |
| Petroleum Geo-Services | 0.4 | 2.38 |
| Tandberg ASA | 0.4 | 2.26 |
| Fred Olsen Energy ASA | 0.4 | 2.12 |
| Marine Harvest | 0.3 | 2.01 |
| Prosafe SE | 0.3 | 1.92 |
| Aker Kværner | 0.3 | 1.51 |
Source Ministry of Finance
1 The computation is based on data over the period 1900-2000, which is a period characterised by relatively high volatility in the equity and bonds markets. Data for the Finnish markets have not been available.
2.3.3 Developments in the difference portfolio of the Government Pension Fund – Norway
Folketrygdfondet may, in its management of the Government Pension Fund – Norway, deviate from the benchmark portfolio within a defined risk limit. Both return and risk contributions from such active management are measured on an ongoing basis. Table 2.20 shows the average excess return, the standard deviation of the excess return (actual tracking error) and the information ratio for various periods, in respect of the overall Fund, the equity portfolios for Norway and the Nordic region, respectively, as well as for the Norwegian fixed-income portfolio.
Table 2.20 Excess return1 and the standard deviation of the excess return (tracking error) on the Government Pension Fund – Norway, as measured nominally in Norwegian kroner. Percentage points and per cent
| 1998–2007 | 2003–2007 | 2005–2007 | 2007 | |
|---|---|---|---|---|
| The overall portfolio | ||||
| Average excess return per year | 0.16 | -0.38 | 0.57 | 2.33 |
| Standard deviation | 1.27 | 1.33 | 1.24 | 1.35 |
| Information ratio | 0.12 | -0.29 | 0.46 | 1.73 |
| The Norwegian equity portfolio | ||||
| Average excess return per year | 1.05 | -1.08 | -1.02 | 4.31 |
| Standard deviation | 4.52 | 3.59 | 4.12 | 2.59 |
| Information ratio | 0.23 | -0.30 | -0.25 | 1.67 |
| The Nordic equity portfolio2 | ||||
| Average excess return per year | 0.04 | 0.08 | 0.65 | 2.47 |
| Standard deviation | 0.66 | 0.74 | 0.76 | 0.86 |
| Information ratio | 0.06 | 0.11 | 0.85 | 2.86 |
| The Norwegian fixed-income portfolio | ||||
| Average excess return per year | -0.34 | -0.72 | -0.18 | -0.29 |
| Standard deviation | 0.80 | 1.03 | 0.64 | 0.26 |
| Information ratio | -0.42 | -0.70 | -0.29 | -1.08 |
1 Annual excess return is computed as the difference between the average monthly return on the Fund and that on the benchmark portfolio, as annualised by multiplying with 12. This is specified in percentage points in the Table. The actual tracking error is computed as the standard deviation of the monthly excess return, as annualised by multiplying with the square root of 12. This is specified in pct. in the Table.
2 The figures for the Nordic equity portfolio are from the period May 2001 until yearend 2007.
Source Ministry of Finance and Folketrygdfondet
The Government Pension Fund – Norway adopts a long investment horizon. The Fund is a long-term investor, and will maintain a large portfolio of equities in the Norwegian market. In line with this perspective, the Ministry focuses on developments in the Pension Fund over time in its follow-up of Folketrygdfondet’s performance.
Folketrygdfondet has achieved an average annual excess return of 0.16 percentage points over the period 1998-2007. However, there have been significant variations in excess returns over time, cf. Figure 2.31. Excess returns were particularly high in 2006 and 2007, which were caused by, inter alia , very good performance as far as Norwegian equity management was concerned.

Figure 2.31 Excess return of the Government Pension Fund – Norway. Per cent.
Source Ministry of Finance and Folketrygdfondet
The excess return on the Fund deviates from a weighted average of the excess return on the sub-portfolios. This can be attributed to tactical allocation decisions, i.e. that Folketrygdfondet has at times been over- or underweighted in the various asset classes (Norwegian equities, Nordic equities, Norwegian fixed-income securities) relative to the asset class weights featured by the overall benchmark portfolio.
Table 2.20 shows that the information ratio has been positive for the period 1998-2007 as a whole (0.12). The information ratio has been negative for the most recent five-year period, whilst it has been positive and growing over the last three years. It has been explained in more detail in Section 2.2.3 how caution needs to be exercised in interpreting the information ratio, and how it may vary across different styles of active management.
Since Folketrygdfondet began investing in Denmark, Finland and Sweden in 2001, its management of the Nordic equity portfolio has, in aggregate over these years, contributed a modest positive excess return. The excess return was relatively high during 2007. A negative excess return has been registered in the management of the Norwegian fixed-income portfolio for the period 1998-2007 as a whole, as well as for all sub-periods.
Developments in the actual tracking error for the total portfolio are set out in Figure 2.32. The actual tracking error has varied between 0.8 pct. and 1.7 pct. The highest levels were registered during the first half of 2004. The actual tracking error for the entire period as a whole is calculated at 1.27 pct. It follows from the chart that the level of the tracking error has been highest for the Norwegian equity portfolio, by a considerable margin. Much of this risk may be attributed to a beta that deviates somewhat from 1, cf. Box 2.6.

Figure 2.32 Developments in actual tracking error. Rolling twelve-months standard deviations of the excess return. 1998–2007. Per cent.
Source Ministry of Finance and Folketrygdfondet
The total tracking error for the Fund for the entire period is lower than the weighted average of the tracking errors for the equity and fixed-income portfolios. This is explained by a relatively low covariation between the rates of excess return from equity and fixed-income management, cf. Figure 2.33. The covariation between the rates of excess return of the Norwegian equity portfolio and the Norwegian fixed-income portfolio was 0.14 over the period 1998-2007 as a whole, whilst the covariation between the rates of excess return of the Norwegian and the Nordic equity portfolios was 0.11 over the period 2001-2007. At the same time, the covariation between Norwegian fixed-income management and Nordic equity management has been negative (-0.15) over the period 2001-2007.

Figure 2.33 Correlation between the rates of excess return on the Government Pension Fund – Norway
Source Ministry of Finance and Folketrygdfondet
The histogram in Figure 2.34a shows that it is difficult to draw any clear conclusions to the effect that the excess return on the Fund has been skewed or has fat tails. It follows from Figure 2.34b that there are no clear indications that the assumption of normality is untenable. Statistical tests show no indications of skewness to the left and fat tails in the rates of excess return for the overall Fund over the period 1998-2007 as a whole. Both tests for normality (Jarque-Bera and Lilliefors) show that the hypothesis of normally distributed rates of excess return cannot be rejected for the overall Fund. However, there are clear indications that the assumption of normality in the rates of excess return on the Norwegian fixed-income portfolio is untenable. Tests for autocorrelation show that the nil hypothesis of independence over time in the rates of excess return cannot be rejected for any of the periods or sub-portfolios.

Figure 2.34 Distribution characteristics of the monthly rates of return on the Government Pension Fund – Norway
Source Folketrygdfondet and the Ministry of Finance
3 Investment strategy
3.1 The basis of the investment strategy of the Fund
The Government has high ambitions for the management of the Government Pension Fund. The objective is for the Government Pension Fund to be the best managed fund in the world. This implies that one shall seek to adopt best practice within international asset management in efforts relating to the Fund. At the same time, what constitutes a good investment strategy will depend on the characteristics of the Fund, the purpose of the investments, the attitude of the owner to risk, and one’s views as to how the financial markets work.
3.1.1 Characteristics of the Fund
The Government Pension Fund is, as discussed in Section 1.1, an instrument for general savings. The Fund belongs to the people, and the Storting has in the Act relating to the Government Pension Fund resolved that the Ministry of Finance is responsible for the management thereof. Allocations to, and withdrawals from, the Fund are fully integrated with the Fiscal Budget. In view of the potential for a continuation of high petroleum revenues and a responsible fiscal policy that limits the Fund’s expenditure to the expected long-term real return on the Government Pension Fund – Global, and with the return on the Government Pension Fund – Norway being reinvested in the Fund, one can expect the Fund to have a very long investment horizon.
In addition to the Fund being large and having a long lifespan, it is not, unlike traditional pension funds, earmarked for specific liabilities. The capital of the Fund is fully funded by equity. In other words, the State has not made any borrowings to raise capital for the Fund. There is little risk that the owner of the Fund will make large withdrawals over a short period of time. Generally speaking, the Fund can therefore be said to have a greater risk bearing capacity than do other funds to which it is appropriate to compare it.
There is broad political support for the investment strategy of the Fund. Particularly important is the broad political support for the level of risk established for the overall investments in the Fund. Furthermore, there is broad political agreement that the Fund shall be broadly diversified, with a clear financial objective. The support for the investment strategy of the Fund provides a democratic underpinning, and represents an important contribution to actually maintaining the strategy over time. At the same time, this desire for democratic underpinning may result in a decision process that is time-consuming and characterised by the desire for a comprehensive consensus. Such aspects will present more and more of a challenge when one moves from the general strategic issues to issues relating to the actual implementation of operational management. This is part of the background against which Norges Bank and Folketrygdfondet have been charged with implementing the operational management of the two parts of the Fund.
Investment activities are about assuming carefully calculated risk in order to achieve a return on invested capital. The challenge is therefore to facilitate the making of good investment decisions, at both the general and the more detailed level. The objective of the investments is to achieve the maximum possible return, given a moderate level of risk. One way of formulating this is as follows:
Maximise overall return (measured in international currency for the Government Pension Fund – Global and in kroner for the Government Pension Fund – Norway), taking into consideration
market risk that is acceptable to the owners, who are the Norwegian people as represented by political authorities . The Storting’s deliberation of Report No. 24 (2006-2007) to the Storting and its support for the Government’s plans for an increase in the equity portion to 60 pct. for the Global part, after having quite recently experienced a historical downturn in the stock market over the period 2000-2002, provide an important grounding for the assessment as to what constitutes acceptable market risk for the Fund.
operational risk , i.e. the risk of financial loss or loss of reputation as the result of defective internal processes, human error, systems error or other loss caused by external circumstances that are not a consequence of the market risk associated with the portfolio. Considerable weight is attached to ensuring that the asset management framework stimulates good risk management, but one must be prepared, as a matter of statistical probability, for undesired events to occur sooner or later.
the size and characteristics of the Fund . These factors impose certain limitations as far as concerns the scope for swift changes to the general investment strategy and to active management practise, since a large player may influence the market prices and thereby make certain investments less profitable. On the other hand, the size of the Fund will represent an advantage in other contexts. Economies of scale imply that the costs incurred in spreading the investments of the benchmark portfolio represent a small fraction of their value. On a more general note, large size makes it easier to justify labour-intensive efforts within active management, illiquid asset classes and the opportunity to gain experience with new asset classes.
restrictions laid down by the Fund’s ethical guidelines . Corporate governance efforts and the exclusion of individual companies shall promote compliance with the ethical obligations of the Fund.
fundamental governance principles . The actual organisation of the activities should be characterised by a clear distribution of responsibility in order to stimulate good decisions. Consequently, decisions as to the management of the Fund have to be based on knowledge and professionalism. Furthermore, openness is a prerequisite for maintaining confidence in the current model for the management of the Fund, whilst making, at the same time, an important contribution to ensuring well-functioning financial markets – inasmuch as it means that there is no major uncertainty on the part of other market participants when it comes to the modus operandi of as large participant as the Government Pension Fund.
3.1.2 Views concerning how the markets work
Only a few things are known for certain when it comes to how the financial markets work. Financial theory is a rather young subject, and pricing in the financial markets does not adhere to established laws of nature. The experience has often been that before one is able to determine, based on an analysis of historical returns, relationships with a reasonable degree of certainty, the nature of such relationships has changed. This means that a robust investment strategy has to be based on fundamental attitudes and assumptions as to how the financial markets work. The investment strategy of the Fund is premised on the following fundamental perspectives:
The theory of efficient financial markets was generally accepted in the 1970s. This theory assumed that new information was swiftly reflected in the prices of financial assets, and that prices were generally “correct”. The theory has subsequently been challenged through studies of historical returns that have demonstrated deviations from efficient outcomes. However, it remains uncertain whether such findings can be utilised to predict future market movements such as to achieve a higher risk-adjusted return than would otherwise be realised.
The types of changes to the investment strategy of the Fund that are submitted to the Storting are subject to a decision-making process that contributes to ensuring a robust strategy. The decision-making process is, at the same time, time-consuming, and therefore less suitable for decisions where time is of the essence. The size of the Fund also limits how swiftly one can implement major adjustments to the composition of the Fund without the market repercussions imposing considerable transaction costs on the Fund. Changes to the general investment strategy of the Fund will therefore not be based on an expectation that one can identify in advance any period during which markets or market segments will seem, in retrospect, “cheap” or “expensive”. At the same time, the possibility that there may exist strategies that offer profitable deviations from a benchmark portfolio is consistent with the provision for some degree of active management on the part of Norges Bank and Folketrygdfondet. Active management is premised, by its very nature, on the existence of erroneous pricing, and the assumption that good management can generate a return in excess of the market return.
One expects, in line with generally accepted theory and practise, a higher average return on equity investments than on investments in fixed-income securities, because the risk associated with equities is higher. However, the magnitude of such excess return remains uncertain.
If the returns from different markets and market segments do not move in line with each other, one may achieve a better trade-off between return and risk by spreading the investments across several markets and segments. This is the background against which the benchmark portfolio of the Government Pension Fund is spread across a broad range of geographical regions, countries, sectors and companies. The benchmark index for equities comprises almost 7,000 companies across 27 countries. The benchmark index for bonds comprises more than 9,800 securities across the currencies of 21 countries. The benchmark portfolio of the Government Pension Fund – Norway is also a broad composite of equities and bonds in Norway and other Nordic countries.
Experience shows that the selection of, and control over, the manager is of greater importance if parts of the investments are made in less liquid markets in which it is not easy to trade securities without influencing prices. It will normally be relatively straightforward for an investor to achieve the market return in liquid markets, whilst performance in illiquid markets depends, to a significantly higher extent, on the skills of the manager. It will therefore be necessary, when transferring the Fund’s investments from liquid to less liquid markets, to attach more weight to the quality of control systems and the structuring of incentives, for example in relation to fees.
On the one hand, the desire to seek a consensus as to the investment strategy of the Fund may reduce the return on the Fund. That will, for example, be the case if the Fund is systematically late when it comes to investing in new market segments or in markets in which it turns out, in retrospect, that investors could have reaped a premium by making early investments.
On the other hand, the desire for a consensus may also represent an advantage in purely financial terms if it results in the strategy being based on fundamental views concerning the market. There are several examples of funds that have incurred losses because they have failed to invest in accordance with fundamental principles as to how the financial markets work, for example by refraining from having investments in the stock market during long periods of surprisingly high returns, because analyses of historical prices gave the impression that prices in the stock market were high to begin with. Furthermore, broad-based support for the strategy contributes to the robustness of such strategy during periods of volatility.
The Ministry intends to report to the Storting on a regular basis, with the main emphasis being on the annual Report to the Storting in the spring. One purpose of the annual reviews of the strategy is, from the perspective of the Ministry, to serve the need for maintaining such strategy. At the same time, the strategic choices shall be made on the premise that such choices are to remain unchanged for a long period of time. More frequent reviews of the investment strategy is therefore not considered to be appropriate.
3.1.3 The effort ahead
The investment strategy of the Government Pension Fund – Global reflects the fact that many important strategic choices have already been made, concerning, inter alia , the allocation between equities and fixed-income securities, the scope of the equity and fixed-income portfolios and the risk limit for active management. These decisions have established a level for the market risk associated with the Fund. The Ministry’s future efforts to evolve the investment strategy will be premised on how to achieve a further improvement in the trade-off between return and risk by further spreading the investments and better utilising the special characteristics of the Fund without any significant changes to the overall level of risk. The investment strategy of the Government Pension Fund – Global will, in line with this, be evolved through more and smaller decisions.
Some of these decisions will be of a more technical and operational nature, like issues such as the phase-in of the increased equity portion, the design and establishment of control systems for new asset classes (for example real estate), etc. Other decisions may entail minor adjustments to the investment strategy, such as the ability to invest in pre-IPO companies (see below), but without having any material effect on the overall level of risk associated with the Fund or being reasonably expected to involve any conflict with the Fund’s ethical guidelines. The Ministry is of the view that this type of decision falls within the scope of the general framework as defined on the basis of deliberations by the Storting. The Storting will, in line with previous practise, be kept informed of such changes to the guidelines through reporting in the annual Reports on the activities of the Fund and, if applicable, in the National Budget as well. Decisions relating to the investment strategy that are more comprehensive in scope, and that are expected to have a material impact on the risk associated with the Fund, will be submitted to the Storting prior to the implementation of any changes.
The sources from which the return on the Fund has thus far originated are primarily to do with the following:
one has reaped returns by assuming market risk in relatively liquid markets (through holding equities and fixed-income securities);
one has gradually expanded and diversified the benchmark portfolio, particularly in the Global part of the Fund;
one has gradually expanded the investment universe and granted more degrees of freedom as far as the active management effort is concerned; and
one has achieved a positive excess return through the active management of the Fund, with a limited increase in the overall risk associated with the Fund.
It is appropriate for the effort relating to the investment strategy ahead to focus on evolving the investment strategy such as to utilise, in the best possible manner, the characteristics of the Government Pension Fund, cf. the above discussion. Natural types of evolvement of the investment strategy may be:
further diversification of risk by, for example, including more countries or asset classes in the benchmark portfolio of the Fund. Reference is in this context made to the proposal in this Report (see Section 3.6) for the inclusion of new emerging markets in the benchmark portfolio of the Fund for equities.
to consider investments that benefit from the Fund’s size, creditworthiness, long-term perspective, and ability to hold less liquid assets. It is particularly appropriate to consider changes to the strategy that can provide compensation in the form of somewhat higher expected returns in exchange for reduced tradability (liquidity). Investments in unlisted real estate, as proposed in this Report (see Section 3.5), may be an example of an adaptation of the strategy that delivers both an improved diversification of risk and the scope for reaping liquidity premiums over time.
The Government Pension Fund – Global represents about 95 pct. of the overall Fund, and this share will increase with the inflow of future petroleum revenues. It will therefore be appropriate for much of the evolvement of the strategy to take part in the Global part of the Fund. Comparisons between the investments of the Government Pension Fund – Global and those of other large funds internationally show that these funds hold a lower portion of nominal bonds, and that part of their capital is invested in alternative asset classes like real estate, unlisted equities, etc. An evolvement of the investment strategy of the Government Pension Fund in line with that outlined above may result in an allocation between asset classes that is more similar to the composition of these funds.
A basic premise of the effort to evolve the strategy will be the need for adequate limits on other types of risk than market risk, such as operational risk. By operational risk is here meant the risk of financial loss or loss of reputation as the result of defective internal processes, human error, systems error or other loss caused by external circumstances that are not a consequence of the market risk associated with the portfolio. The development of the strategy also needs to have regard for the ethical guidelines, and the significant need for accumulating knowledge and skills that will arise if one allows for new investment areas to be utilised. Furthermore, weight will be attached to ensuring that the framework for active management stimulates appropriate risk-taking behaviour on the part of the operational manager. The follow-up of the operational management shall, like at present, contribute to the interests of managers and other counterparties being aligned with the purpose of the general investment strategy of the Fund.
3.2 Follow-up of changes to the investment strategy that have been resolved previously
The Ministry wrote, in Report No. 24 (2006-2007) to the Storting, that one intended to increase the equity portion of the benchmark portfolio for the Government Pension Fund – Global. One also presented plans to increase the number of companies invested in through the inclusion of small-cap companies in the benchmark portfolio for equities. The Ministry has, as discussed in the National Budget for 2008, resolved, following the Storting’s deliberation of Report No. 24 (2006-2007) to the Storting, to, inter alia , change the equity portion of the strategic benchmark portfolio of the Fund to 60 pct., and to include the segment for listed small-cap equities by changing the benchmark portfolio for equities from FTSE All-World to FTSE All Cap.
A gradual adaptation to the new benchmark portfolio is planned, in consultation with Norges Bank. The assessment of alternative procedures for adaptation to the new guidelines has primarily attached weight to two factors: transaction costs and the increased expected return resulting from the higher equity portion.
Transaction costs are costs associated with the implementation of the investments in the market. These transaction costs can be divided into two categories: direct and indirect. The direct costs are relatively straightforward to estimate. These primarily comprise government taxes incurred in connection with the purchase and sale of securities and commissions that are paid to brokers. The indirect costs are considerably more challenging to estimate, both in advance and in retrospect. The most important indirect cost can be termed the market repercussion cost. When purchasing a security, the actual purchase itself will tend to make the security more expensive. When the purchase has been completed, the price reverts to the original level. This effect is assumed to be most pronounced for illiquid equities, and more significant for small-cap companies than for large-cap ones. The market repercussions also vary with the total turnover amount and with the magnitude of the fluctuations in market price (the volatility level).
The expected return on equity investments is higher in the long run than that on bond investments because equities are more risky. If the equity portion is increased rapidly, the expected return on the Fund during the transition period will be higher than if the phase-in had been effected over a long period of time.
The expected return on the Fund is higher if the increase in the equity portion is implemented over a short period of time. At the same time, this will mean higher expected market repercussion costs. This is because the size of the equity acquisitions is expanded, and large volumes have a more pronounced effect on prices than have small volumes. These concerns therefore have to be balanced against each other. Some weight has also been attached to arguments of a more qualitative nature, such as considerations to do with operational risk, the desire to avoid additional market repercussions through visibility in the market and concerns relating to the use of external management resources.
A more detailed account of the adaptation to the new benchmark portfolio will, in conformity with the practise in relation to previous changes to the benchmark portfolio of the Government Pension Fund – Global, be provided after the transactions have been completed.
In November 2007, Norges Bank finalised adaptation to another change in the benchmark portfolio. The risk assumed by the Government Pension Fund – Global is limited through the extensive use of diversification. Certain large federal credit institutions in the US (agencies) form a relatively large part of the US bond market, and of the benchmark index on which the investments of the Government Pension Fund – Global are premised.
In order to ensure adequate spread of risk and prevent individual issuers from carrying a dominant weight in the benchmark portfolio, the mortgaged-backed bonds issued by these institutions have been underweighted in the benchmark portfolio of the Fund. It was announced in the National Budget for 2006 that one was working on amendments to this underweighting rule, and that one would examine, in particular, whether the underweighting rule should also apply to unsecured bonds.
In January 2007, the Ministry adopted, on the basis of, inter alia , input from Norges Bank, a new rule under which the sub-sector “Agency” and the main sector “securitised bonds” in USD-part of the benchmark portfolio for fixed-income instruments are both scaled back to 50 pct. of market value. Norges Bank has now finalised adaptation to this rule.
3.3 The risk associated with the return on the Government Pension Fund
The risk associated with the return on the investments of the Pension Fund can be described in various ways. This section illustrates the risk associated with Fund on the basis of both historical returns in the equity and bond markets and a simulation model that describes potential future developments in the Fund. The risk can also be illustrated by way of a third method, which is based on estimating return on the Fund under what may be referred to as crisis scenarios. This method is labelled historical scenario generation , and is described in more detail in Section 1.2.
The analysis of historical returns in Section 3.3.1 is labelled historical simulation . The purpose is to illustrate what fluctuations in the return on the Fund can be expected within a one-year time horizon. Nominal returns would seem to be more relevant over such a short time horizon than over periods of many years. The historical simulations are therefore based on nominal returns as measured in the currency basket of the Fund.
The model-based simulations in Section 3.3.2 are based on estimates for expected returns, volatility and correlations between various asset classes over long time horizons. The computations primarily focus on real returns over time, but also refer, to some extent, to nominal returns. Since the aim of the investments of the Government Pension Fund – Global is to achieve the maximum possible international purchasing power for the assets of the Fund, and given the long investment horizon of the Fund, the main emphasis when determining the investment strategy of the Fund can be placed on long-term real returns as measured in the currency basket of the Fund. Consequently, the findings in Section 3.3.2 are comparable to the analyses that formed part of the documentation presented for purposes of assessing the equity portion of the Fund in Report No. 24 (2006-2007) to the Storting.
The analyses presented herein are premised on the current composition of the benchmark portfolio of the Fund. The Ministry will later be presenting analyses that illustrate, to a greater extent, how good the chosen composition is, by shedding light on various aspects of the trade-off between the return on, and the risk associated with, the Fund.
3.3.1 Historical simulation
The historical simulations are based on annual rates of nominal return for the stock and bond markets over the period 1900-2006. 13
The Government Pension Fund – Global
The Ministry has determined a strategic benchmark portfolio for the Government Pension Fund – Global containing 60 pct. equities and 40 pct. bonds, which securities are spread across a large number of the world’s stock and bond markets. Figure 3.1 shows the computed annual return for the period 1900-2006, given the equity and bond composition of the benchmark portfolio. Although last century was characterised by a number of crises, developments in the financial markets as a whole have nevertheless been very good. The Pension Fund – Global would, as illustrated in the chart, have registered positive returns in the vast majority of years within that period. The chart also shows that the highest rates of return for the good years are considerably higher than the corresponding weak rates of return for years of poor performance.

Figure 3.1 Historical simulated volatility for the Government Pension Fund – Global. Per cent.
Source Ministry of Finance and Dimson, Marsh and Staunton
The returns over this historical period have been unusually high. The Ministry is of the view that it would not be appropriate to assume that developments will be equally favourable over the next one hundred years. The historical average return provides also, in the statistical sense, a relatively imprecise estimate for the expected future return. However, the historical standard deviation, which is a measure of the variation in historical returns, provides a better basis for assessing future risk than do historical returns for assessing future returns. Since this discussion is concerned with the variation in returns and, especially, the variation during the periods of particularly weak performance, historical developments will form a good basis for this type of analyses.
Table 3.1 shows simulated historical average returns per year, and the standard deviation of such returns, for the overall Fund and for the equity and bond portfolios. The historical simulated standard deviation for the Fund is calculated at just below 10 pct. As per yearend 2007, the market value of the Fund was about NOK 2,000 billion. Given a expected nominal return at 6 pct., a change in the value of the Fund within a range from NOK -76 billion to NOK +316 billion within two of three years, will consequently be consistent with normal price fluctuations in the securities markets. In addition, there are the fluctuations in the value of Norwegian kroner as against the currency basket of the Fund. However, these fluctuations will not influence the international purchasing power of the Fund.
Table 3.1 Historical simulation of the return on, and risk associated with, the Government Pension Fund – Global. Annual average 1900-2006. Local currency. Per cent
| Fund | Equities | Bonds | |
|---|---|---|---|
| Average | 9.9 | 12.5 | 6.0 |
| Standard deviation | 9.8 | 14.6 | 6.5 |
Source Ministry of Finance and Dimson, Marsh and Staunton
The level of the variations in returns will normally change over time. Figure 3.2 shows simulated historical volatility for the Government Pension Fund – Global through the 20th century. The volatility is calculated by way of two methods. The first method registers large fluctuations relatively swiftly (the GARCH method), the other method (rolling standard deviation over 10 years) features a slower reaction mechanism. The chart shows that the volatility of returns on the Fund would have varied from about 5 pct. to almost 20 pct., and that there is a reasonable degree of conformity between the findings from the two methods. Consequently, the variations in the value of the Fund may be significantly greater than suggested above during particularly volatile periods.

Figure 3.2 Historical simulation for the Government Pension Fund – Global. Annual nominal returns, measured in local currency. Per cent.
Source Ministry of Finance and Dimson, Marsh and Staunton
It is normally assumed that the most recent return observations are more relevant for the assessment of future volatility than are older observations. Calculations of volatility can take such differences in emphasis into consideration by attaching more weight to the most recent observations than to the older observations. Table 3.2 shows estimates for the volatility of the Fund based on equal weights (i.e. equal weights are assigned to all the return observations) and two different decay factors. The case of a decay factor of 0.94 results in the volatility of the Fund increasing from 9.8 pct. to 10.8 pct., and reflects the fact that considerably more weight is assigned to the most recent observations than is the case under identical weights and under a decay factor of 0.97.
Table 3.2 Historical simulation of volatility for the Government Pension Fund – Global. 1900-2006.
| Historical standard deviation | Pct. | “Half-life“ | 5 pct. weight |
|---|---|---|---|
| Equal weights | 9.8 | ||
| Decay factor of 0.97 | 10.5 | 23 years | 98 years |
| Decay factor of 0.94 | 10.8 | 11 years | 48 years |
Source Ministry of Finance and Dimson, Marsh and Staunton
Figure 3.2 shows that the volatility is higher during the last part of the period than during the first part. Half-life is a measure showing how many years back in time one needs to go in order for the rate of return associated therewith to be assigned a weight equal to 50 pct. of the weight assigned to the most recent observation for purposes of calculating volatility. With a decay factor of 0.94, the 11-year old observation would have carried a weight equal to 50 pct. of the weight assigned to the observation from 2006 (which is the most recent observation), whilst the half-life would be 23 years with a decay factor of 0.97. A weight corresponding to 5 pct. of the weight assigned to the most recent observation is assigned to the 48-year old observation if the decay factor is 0.94, whilst one has to go 98 years back in time to register a weight of 5 pct. if the decay factor is 0.97.
Figure 3.3a shows that it is difficult to draw any unequivocal conclusions as to whether historical simulated returns are skewed or has fat tails. The statistical estimate shows that there are indications of skewness to the left and somewhat fatter tails than featured by the normal distribution, but the estimates are not statistically significant.
The assumption of normality is of considerable importance, because it enables one to make pronouncements as to the probability of observing a specific event, for example the probability of losing more than 10 pct. (which is equal to the historical simulated standard deviation) of the value of the portfolio. Figure 3.3b shows that the historical simulations deliver lower minimum values than one would normally expect. There is a higher degree of consistency between the normal distribution and historical simulated returns for high values. Statistical tests do not justify rejection of the hypothesis that simulated returns have been normally distributed. Consequently, the standard deviation may be a fairly good measure of the risk associated with the Fund.
An investor will normally wish to shed light on the risk associated with an investment by way of more measures than the standard deviation of returns, for example the entire historical probability distribution. The minimum return on the Fund is estimated at about -20 pct. and the maximum annual return at about 35 pct, as can be seen from Figure 3.3c. The variance of the equity portfolio is considerably higher, whilst the variance of the bond portfolio is considerably lower. The chart shows that the simulated return on the Fund has, in total, been lower than -4 pct. in 10 pct. of all years.

Figure 3.3 Distribution characteristics of historical simulated annual nominal returns on the benchmark portfolio of the Government Pension Fund – Global. Local currency
Source Ministry of Finance and Dimson, Marsh and Staunton
The information in the preceding chart can also be presented in a percentile chart, cf. Figure 3.3d. The 10th percentile can be interpreted as follows: The annual simulated return on the Fund has been lower than, or equal to, -4 pct. in 10 pct. of the years. The corresponding figure for the equity portfolio is -8 pct., whilst it is -0.3 pct. for the bond portfolio. This can be expressed as an historical 4 pct. Value-at-Risk for the Fund at the 90 pct. confidence level, corresponding to about NOK 80 billion. This implies that one would historically have lost more than NOK 80 billion of the portfolio value in one out of every ten years. In addition, there are the variations resulting from fluctuations in the value of Norwegian kroner relative to the value of the currencies held by the Fund.
The Value-at-Risk estimates are, to a considerable degree, influenced by the very high returns observed over the last century. In Table 3.3, the average return level is replaced by an expected nominal return of 6 pct. One would, according to the historical simulations, in one out of every one hundred years (99 pct. Value-at-Risk) have expected to lose 20 pct. or more of the value of the portfolio, whilst one could have expected to lose 12 pct. or more in five out of every one hundred years. In one out of every 10 years (90 pct. Value-at-Risk) one could have expected to lose 8 pct. or more.
Table 3.3 Value-at-Risk based on historical simulations for the Government Pension Fund – Global.
| Expected return = 6 pct. | Historical simulation |
|---|---|
| Worst outcome | -22.9 |
| 99 pct. VaR | -20.1 |
| 95 pct. VaR | -11.9 |
| 90 pct. VaR | -8.1 |
| 84 pct. VaR | -4.1 |
Source Ministry of Finance and Dimson, Marsh and Staunton
The Government Pension Fund – Norway
The benchmark portfolio of the Government Pension Fund – Norway comprises 60 pct. equities and 40 pct. bonds. 85 pct. of the portfolio is invested in Norwegian equities and bonds, whilst the remainder is invested in Swedish, Danish and Finnish equities and bonds. The return on the benchmark portfolio of the Fund would, according to the historical simulation, have been positive in most years during the period from 1900 to 2006.
Table 3.4 shows the historical simulated average returns per year and the standard deviations of returns for the Fund as a whole and for the equity and bond portfolios. The historical simulated standard deviation for the Fund is calculated at about 16 pct. As per yearend 2007, the market value of the Fund was close to NOK 120 billion. Given an expected nominal return at 6.5 pct., a change in the value of the Fund within the range from NOK -11 billion to NOK +27 billion during two out of three years will consequently be consistent with normal variations in price developments in the securities markets.
Table 3.4 Historical simulation of the return on, and risk associated with, the Government Pension Fund – Norway. Annual average 1900-2006. Per cent
| Fund | Equities | Bonds | |
|---|---|---|---|
| Average | 9.4 | 11.6 | 6.0 |
| Standard deviation | 15.9 | 25.1 | 8.5 |
Source Ministry of Finance and Dimson, Marsh and Staunton
Figure 3.5 shows the historical simulated volatility of the Government Pension Fund – Norway through the 20th century. The volatility of the Fund would have varied from about 5 pct. to almost 40 pct. Consequently, one can expect the value of the Fund to vary considerably more than suggested by the above variation range during particularly volatile periods.
Table 3.5 shows estimates for the volatility of the Fund when identical weights are assigned to all previous observations and estimates based on two different weight discounting rules. The case of a decay factor of 0.94 results in the volatility of the Fund increasing from 16 pct. to 20 pct., which illustrates (as does the Chart) the importance of the choice of historical time period as far as the level of the risk estimates is concerned.

Figure 3.4 Historical simulation of annual returns on the Government Pension Fund – Norway. Per cent
Source Ministry of Finance

Figure 3.5 Historical simulation of volatility for the Government Pension Fund – Norway. Annual average 1900-2006. Per cent
Source Ministry of Finance and Dimson, Marsh and Staunton
Table 3.5 Volatility for the Government Pension Fund – Norway, as estimated by historical simulation.
| Pct. | |
|---|---|
| Equal weights | 15.9 |
| Decay factor of 0.97 | 19.0 |
| Decay factor of 0.94 | 20.2 |
Source Ministry of Finance and Dimson, Marsh and Staunton
Figure 3.6a shows clear indications of skewness to the right, which is confirmed by the statistical tests. This suggests that the historical simulations may generate Value-at-Risk estimates that are more positive than is justified. Extremely poor outcomes have not been registered during the historical period. Figure 3.6b confirms this impression, and shows that the historical simulations generate considerably higher maximum values than one would normally have expected. For low values there is, on the other hand, a reasonable degree of consistency between returns under the normality assumption and historical simulated returns. The hypothesis of normally distributed rates of return can be rejected on the basis of the findings from statistical tests.

Figure 3.6 Distribution characteristics of historical simulated annual nominal returns on the benchmark portfolio of the Government Pension Fund – Norway.
Source Ministry of Finance and Dimson, Marsh and Staunton
The empirical cumulative probability distributions of returns on the overall Fund and on the equity and bond portfolios are presented in Figure 3.6c. The minimum return on the Fund is calculated at about -23 pct., and the maximum annual return at about 90 pct. The variance of the equity portfolio is considerably higher, whilst the variance of the bond portfolio is considerably lower. The skewness to the right in the return distribution is clearly illustrated in the chart.
The Value-at-Risk estimates in Table 3.6 are computed under the assumption that the expected return in a given year equals 6,5 pct. The Table shows that one would, under the said assumption, expect to lose 21 pct. or more of the value of the portfolio in one out of every one hundred years (99 pct. Value-at-Risk), 14 pct. or more of the value in five out of every one hundred years, and 10 pct. or more of the value in one out of every ten years (90 pct. Value-at-Risk).
Table 3.6 Historical Value-at-Risk simulation for the Government Pension Fund – Norway. Per cent
| Expected return = 6.5 pct. | Historical simulation |
|---|---|
| Worst outcome | -25.8 |
| 99 pct. VaR | -21.7 |
| 95 pct. VaR | -13.7 |
| 90 pct. VaR | -10.5 |
| 84 pct. VaR | -3.7 |
Source Ministry of Finance and Dimson, Marsh and Staunton
3.3.2 Market expectations and simulation for the Government Pension Fund – Global
The Ministry of Finance’s analyses and assessments of the investment strategy of the Government Pension Fund – Global have previously been based on Norges Bank’s estimates for expected long-term returns, volatility and correlations. 14 The Ministry has recently carried out a review of these estimates, which has resulted in certain minor adjustments and simplifications. The long-term analysis of returns and risks in this Report is, apart from these minor changes, in conformity with the analysis that was presented in last year’s report to the Storting on the management of the Government Pension Fund, cf. Report No. 24 (2006-2007) to the Storting.
Amongst the most important simplifications to the long-term analysis is aggregation of national and regional markets into a global market for equities, bonds and real estate, respectively. This simplifies the analysis of the characteristics of the portfolio, especially as far as the assessment of characteristics of new asset classes is concerned. Consequently, it is easier to assess the effects on important variables, like expected returns on bonds, equity premiums and premiums in the property market, as well as the expected risks and correlations associated with these three markets. Exchange rate fluctuations are disregarded for purposes of the long-term analysis. Such a simplification will not seem unreasonable when the return is measured in a currency basket that reflects the regional exposure of the Fund, whilst the investment horizon is, at the same time, very long.
Another key simplification is that the long-term expectations have not been corrected for any imbalances in the markets, which has to do with the fact that such imbalances can be difficult to quantify. The Ministry therefore reports long-term expectations in this Report, as opposed to expectations that have been calibrated for the coming 15-year period (as is the case with Norges Bank’s previous market reports).
A third simplification is that alternative economic scenarios are not defined explicitly. Norges Bank’s market report from 2006 analysed, in contrast, one main scenario and two alternative scenarios (deflation and stagflation). Moreover, separate sets of expectations were prepared for these three scenarios. The Ministry of Finance will focus on one long-term scenario in the analysis presented in this Report. The relevance of alternative scenarios, as illustrated by, for example, stress tests, is an issue the Ministry will revert to in more detail.
The assumptions concerning expected long-term return, net of management costs, and risk, as well as correlations between equities, bonds and real estate, are summarised below. It is emphasised that considerable uncertainty attaches to specific estimates presented below. In actual fact, specific estimates represent the central value of confidence intervals or a given probability distribution. Estimates for correlations will in the following be presented both as probable intervals and as specific estimates (central value in the intervals). This estimate uncertainty is to some extent taken into consideration in the model simulations of the expected return on, and risk associated with, the Fund.
Expected long-term return
Government and corporate bonds
The Ministry is of the view that it would seem reasonable to assume a short-term real rate of interest of 2 pct. If the long-term inflation rate is assumed to be in line with the inflation target of the central bank (i.e. about 2 pct. weighted for Europe, the US and Japan), the nominal long-term natural interest rate can be estimated at 4 pct. If the maturity premium for a government bond portfolio with a duration of about five years is 0.5 pct., a reasonable estimate for the long-term nominal return on global government bonds would consequently be 4.5 pct. (geometric). The Ministry believes this estimate to be well matched with the assumptions adopted by other large international funds.
The Ministry further assumes a credit premium for corporate bonds of 0.8 pct. Given the portion of non-government guaranteed bonds in the benchmark portfolio for bonds, the Fund’s expected long-term nominal return on bonds can, against this background, be estimated at 4.7 pct. (geometric), i.e. a real return of about 2.7 pct.
The equity premium
The Ministry is of the view that it remains reasonable to adopt the previous estimate for the expected long-term equity premium, i.e. the excess return compared to government bonds, of 2.5 pct. (geometric). This assumption is supported by recent research findings, which indicate that the market expectation for the equity premium lies in the range from 3.0 to 3.5 pct. (geometric), as compared to short-term bonds. 15 This conforms well with an assumed 2.5 pct. equity premium when compared to long-term bonds. An expected risk premium of 2.5 pct. is, incidentally, about 0.5 percentage point lower than the median value of the risk premium expected amongst CFOs in the US. 16
The real estate premium
The expected long-term real estate premium, in excess of the return on government bonds, has previously been estimated at 1.0 pct. (geometric). This would still seem to be a reasonable assumption. The expected return on real estate investments is thereby between the expected return on bonds and the expected return on equities, which is a widely held assumption. The estimate is, in the experience of the Ministry, in the lower part of the range of expected returns on real estate, when compared to bonds, as observed among other large funds. There is a particular high degree of uncertainty attached to this estimate.
Expected long-term volatility
Government and corporate bonds
The expected long-term bond volatility is in this Report estimated at 6 pct., which represents a certain increase relative to previous estimates. Previous estimates were in large part characterised by experience from the last 20 years. This period has seen a structural decline in inflation expectations, which contributed to high returns and low volatility in the bond markets when viewed from a historical perspective. The Ministry is of the view that it seems unreasonable to assume corresponding developments in coming years. Besides, this estimate for the expected long-term bond volatility also appears to be reasonable when compared to the assumptions adopted by other international market participants.
Equity volatility
As far as equities globally are concerned it would seem reasonable, in the view of the Ministry, to somewhat reduce the previous estimate of equity volatility for countries and regions. This has to do with the fact that a diversified portfolio of global equities will be characterised by a somewhat lower volatility than are individual portfolios comprising national or regional stock markets. 17 The expected long-term volatility of real returns from global equity investments is estimated, against this background, at 15 pct., which conforms well with the assumptions adopted by other large international funds.
One has assumed, as with the model simulations presented in Report No. 24 (2006-2007) to the Storting, a weak degree of mean reversion in the returns on equities. This assumption, to the effect that the return over time tends to revert towards long-term “mean levels”, or equilibrium levels, is based on analyses of historical returns. This assumption implies that the volatility associated with equity investments is somewhat lower in the long run than would otherwise be the case.
Real estate volatility
The Ministry assumes a long-term volatility for a global real estate portfolio of 12 pct. , which represents an increase relative to previous estimates. The estimate reflects, inter alia , a need for taking into account a higher degree of leverage, and is otherwise based on assessments of the assumptions adopted by other large international funds in respect of their real estate portfolios.
Expected long-term correlations
Correlation between bonds and equities
One assumes a long-term correlation of 0.3 – 0.5 (specific estimate 0.4) between real returns on equities and bonds, which is higher than previous estimates. The increase in the correlation estimate reflects three considerations. Firstly, it would seem reasonable to assume that the correlation between equities and bonds is higher in the long run than in the short run (“horizon effects”). 18 Secondly, previous estimates, based on the correlation over the last 20 years, suggest a relatively low correlation when compared to observations over longer time periods. The low correlation the last 20 years reflects, in large part, a steep decline in the correlation over the last decade, which again seems likely to reflect falling inflation expectations. The Ministry is of the view that it is not reasonable to expect inflation expectations to continue falling by as much as during the said period. A correlation estimate of 0.3 – 0.5 conforms well with what would appear to be a common assumption amongst other players, to the effect that there is weak positive correlation between equities and bonds. 19
Correlation between equities and real estate
The Ministry is of the view that it seems reasonable to assume a positive correlation between equities and real estate, and for such correlation to be somewhat higher than that between equities and bonds. The correlation between equities and real estate in the long run is estimated at 0.5 – 0.7 (point estimate 0.6), which is in line with previous estimates. The estimate also conforms well with what other large funds seem to expect.
Correlation between bonds and real estate
One assumes a positive correlation between the real return of bonds and real estate, but the correlation is assumed to be lower than the two other correlations. The expected correlation between bonds and real estate is assumed to be in the range 0.2 – 0.4 (point estimate 0.3), which represents a moderate increase when compared to previous estimates (0.2).
Summary – market assumptions
The Ministry’s estimates as to expected long-term real returns (geometric), risks and correlations are set out in Tables 3.7 and 3.8. The Ministry of Finance’s Advisory Council on Investment Strategy has in a letter of 3 March 2008 to the Ministry of Finance stated that these market assumptions are suitable. The letter is available at the Ministry’s website (www.government.no/spf).
Table 3.7 Long-term real return and volatility estimates for global bonds, real estate and equities (geometric).1 Per cent
| Global bonds | Global real estate | Global equities | |
|---|---|---|---|
| Expected real return | 2.7 | 3.5 | 5.0 |
| Expected volatility | 6.0 | 12.0 | 15.0 |
1 Global bonds include a portion of corporate bonds equal to that of the bond portfolio of the Government Pension Fund – Global.
Source Ministry of Finance
Table 3.8 Specific estimates for the expected long-term correlations between the real return of global bonds, real estate and equities.1
| Global bonds | Global real estate | Global equities | |
|---|---|---|---|
| Global bonds | 1 | 0.3 | 0.4 |
| Global real estate | 1 | 0.6 | |
| Global equities | 1 |
1 Global bonds include a portion of corporate bonds approximately equal to that of the bond portfolio of the Government Pension Fund – Global.
Source Ministry of Finance
Simulation for the benchmark portfolio of the Government Pension Fund – Global
The characteristics of the benchmark portfolio of the Government Pension Fund – Global can be analysed on the basis of the estimates for expected long-term returns, volatility and correlations, by way of a stochastic simulation model (Monte Carlo simulation). The model simulates a large number (here 6,000) of asset price trajectories that describe potential developments in the total return indices (real) for the various asset classes of the portfolio. 20 The stochastic process is described by so-called correlated geometric Brownian motions, which is a normal assumption concerning the price trajectory for a number of financial assets. 21 However, the assumption of mean reversion in the stock markets implies that a different stochastic process is required for the equity indices. The present analysis is based on the so-called Ornstein-Uhlenbeck process, which is frequently used for this type of analyses. Simulations of trajectories for exchange rates have not been carried out, because of the focus on global asset classes. 22 The simulations have also taken into account the current rebalancing regime for the Government Pension Fund – Global.
Table 3.9 shows the expected real rate of return (geometric) on, and risk associated with, the benchmark portfolio of the Government Pension Fund – Global over a 15-year period, under the assumption of an asset composition featuring 60 pct. equities and 40 pct. bonds. Moreover, the chosen period length is the same as was used in Report No. 24 (2006-2007) to the Storting, thus implying that the findings are directly comparable. The chosen period length is of relevance to the findings because of the assumption of mean reversion in the stock markets. This implies that the risk associated with the stock market declines gradually over time, as compared to the risk associated with the bond market.
Table 3.9 Expected real long-term return on, and risk associated with, the benchmark portfolio of the Government Pension Fund – Global.1
| Portfolio (share equities/ bonds) | Average annual real return (geometric) over 15-year periods (pct.) | Standard deviation of annual real return (pct.) | Standard deviation of average real return over 15 years (pct.) | Probability of negative accumulated real return after 15 years (pct.) | Probability of annual (geometric) real return < 4 (pct.) | Sharpe ratio2 |
|---|---|---|---|---|---|---|
| 60/40 | 4.2 | 9.2 | 2.4 | 3.7 | 46.8 | 0.29 |
1 A composition characterised by 60 pct. equities and 40 pct. bonds over a random 15-year period is assumed.
2 The Sharpe ratio is calculated as the ratio between the expected arithmetic real return (not shown in the Table) in excess of the “risk-free” real rate of interest (estimated at 2 pct.) and volatility (as measured by the standard deviation of annual real returns).
Source Ministry of Finance
The findings from the simulations show an estimated average annual real return on the Fund is 4.2 pct. geometrically (6.3 pct. nominally). 23 An expected volatility of 9.2 pct. implies that there is a 68 pct. probability that the fluctuations around the expected return will be within a range from -9.2 pct. to +9.2 pct. (i.e. this can be expected to be the case in two out of every three years).
Estimates as to the expected return are subject to considerable uncertainty, and historical experience shows that the return may vary a great deal. This uncertainty is so pronounced that the current estimate of 4 pct., which forms the basis for the fiscal policy rule, has to encompass expectations of average real returns of 3, 4 as well as 5 pct. Only if the achieved return over many years turns out to be significantly higher or significantly lower than 4 pct. would it be appropriate to assess whether the estimate of 4 pct. represents too high or too low an expectation as far as future returns are concerned.
The results in Table 3.9 do not show any material difference from the findings discussed in last year’s Report to the Storting. The expected effect from increasing the equity portion from 40 pct. to 60 pct. is also about the same as was pointed out last year.
3.4 Planned changes to the investment strategy
In the current Report, the Ministry presents several changes to the investment strategy of the Government Pension Fund – Global. The changes are a result of the Ministry’s systematic effort to evolve the investment strategy of the Fund. One intends to initiate a long-term effort to establish a separate real estate allocation. Furthermore, one intends to include several new markets in the Fund’s benchmark portfolio for equities. Both these changes may contribute to further diversify the risk associated with the investments of the Fund. One also intends to modify the requirement for a maximum ownership stake of 5 pct. in individual companies, without any change to the fact that the investments of the Fund are of a financial nature.
The Ministry will also be contemplating expansions to the Government Pension Fund – Global’s investment universe for equities. The equity investments of the Fund are currently limited to instruments listed in regulated and recognised market places. Norges Bank proposes, in a letter of 1 February 2008 to the Ministry of Finance, that one allows for investments in unlisted equities when the company has applied, or specifically plans to apply, for listing in a regulated and recognised market place. The letter is enclosed as Appendix 3 to this Report.
Section 3.1.3 provides a description of the considerations to which weight will be attached in future efforts relating to the investment strategy of the Fund. The Ministry’s preliminary assessment is that Norges Bank’s proposal for investments in securities planned for listing is in conformity with the desire to better utilise the special characteristics of the Government Pension Fund. Nor will this result in a material increase in the level of risk associated with the Fund, provided that such investments constitute a small portion of the overall investments of the Fund.
The Ministry will now be evaluating the proposal to permit investments in the equities of companies planning a listing in a regulated and recognised market place. In particular, an emphasis must be placed on good systems for reporting and risk management for investments that are not traded regularly on a stock exchange. It may also be appropriate to consider this in the general context of potential investments in unlisted equities. Any changes to the guidelines in this respect will be reported as part of the regular reporting to the Storting.
3.5 Investments in real estate on the part of the Government Pension Fund – Global
3.5.1 Real estate as an asset class
Real estate investments represent ownership interests in land, buildings or parts of buildings. A number of different types of buildings, like, for example, office buildings, shopping centres, industrial buildings and housing, are included in the asset class. There are two ways to invest in real estate. Direct investments involve the investor acquiring real estate without intermediaries, whilst indirect investments involve the investor acquiring units of a fund or equities of a real estate company, which then invests directly in one or more properties. An indirect investment may also be organised through a joint venture.
Fund units and equities of real estate companies may or may not be listed on a stock exchange. The Government Pension Fund – Global already includes listed fund units and listed equities of real estate companies. In addition, the benchmark portfolio for bonds includes fixed-income securities issued against security interests in property. The matter that has now been deliberated is whether to establish, in addition to the above, real estate as a separate asset class of the Fund, with investments in unlisted real estate as well.
Historical data show that returns on real estate investments have been somewhat higher than for bonds, but lower than for equities. Analyses of historical returns in the property market are complicated by the fact that actual costs involved in the management of a real estate portfolio are higher than those involved for equities and bonds. Nevertheless, the additional costs incurred through real estate investments are deemed to be outweighed by the positive effects such investments are expected to have on the overall return on, and risk associated with, a fund.
Historical data also show that the risk associated with real estate investments was between the level of risk associated with equity investments and that associated with bond investments. However, the effect of real estate investments on the overall risk associated with the Government Pension Fund depends not only on the risk associated with real estate investments, but also on whether the returns on real estate develop in correlation with the returns on equities and bonds. Analyses of available time series for these three asset classes show that the returns on real estate investments, on the one hand, and those on equity and bond investments, on the other hand, are correlated only to a limited degree. The characteristics of real estate investments imply that the risk associated with a portfolio comprising equities, bonds and real estate is expected to be somewhat lower than the risk associated with a portfolio comprising equities and bonds, for a given level of expected return.
The effect on the risk associated with the Fund may be different when evaluated over periods of several decades. No data sets exist that are of sufficient quality to establish how the returns on real estate and equity investments will covary over periods of a great many years, but it would be reasonable to assume that the covariation increases when returns are measured over long time horizons. This would imply that gains in the form of better diversification of risk will be lower over long time horizons. Real estate investments are, on the other hand, investments in real assets. The same applies to equity investments, but not to bond investments. This means that investments in real estate and equities offer exposure to means of productions like buildings and machinery, etc., that generate future revenues, and to real estate, that generates rent income, respectively. Investments in real estate, instead of in nominal bonds, may therefore contribute to protecting the long-term purchasing power of a portfolio.
Observations of actual real estate investments on the part of other large funds internationally show that their portfolios are partly comprised of investments in existing buildings with relatively predictable cash flows and partly of investments in development projects with less predictable outcomes. The return will in both cases be partly caused by developments in the underlying property market and partly by skilful active management. Another observation is that the investments are characterised by significant leveraging. It is not uncommon for the investments in a real estate portfolio to take the form of an equity contribution to a portfolio with an average debt to asset ratio of 50 pct. In such a portfolio the investment will assume the character of an equity contribution, which means that the level of risk, as measured by annual fluctuations, is more in line with the level of risk associated with equity investments than that associated with bond investments.
Box 3.1 shows the findings from a survey of real estate investments amongst US institutional investors. The survey confirms the return and risk characteristics that are described above and that underpin the Ministry’s analyses of real estate investments.
Textbox 3.1 Assessment of real estate investments on the part of other investors
The closest one can get to an explanation as to what has been decisive for the real estate investments of other funds is probably to ask investors themselves. Professors Goetzmann and Dhar of Yale University have interviewed, in a survey published in 20061 , 202 institutional investors in the US as to what factors have been decisive for their decisions relating to investments in the property market. About 70 pct. of these institutions held real estate investments. The survey shows, inter alia , that:
Both expected returns and risks are expected to be somewhat higher than for bonds, and somewhat lower than for equities. The survey also confirms that the costs associated with real estate management are higher than those associated with equity and bond investments.
Diversification and inflation protection are by far the two most frequently cited explanations when investors are asked to specify the most important reasons for investing in real estate.
Four factors distinguish themselves as the most important ones when investors are instead asked about the most important factors underpinning their own real estate allocations. About half of those who submitted responses under the survey stated that they had attached weight to analyses of historical and expected returns and risks, respectively. The funds that responded that they held no real estate investments were also those attaching the least weight to analyses of historical and expected returns and risks in the property market.
Furthermore, the survey shows that advice from external consultants and belief in one’s ability to select the best external real estate managers were of decisive importance to funds’ decisions. Other explanatory factors, like what other leading institutions have done, market trends and the economic outlook, appear to be of less importance.
The institutions were also requested to identify the most important risk factors associated with real estate investments. The most interesting aspect of the responses was that market risk, as measured by return fluctuations (volatility), appeared to be of minor importance. Not many more than 10 pct. of those who submitted responses under the survey emphasised this type of risk. Instead, the risk factors ranked as the most important ones were the risk of being unable to sell an unwanted investment when desiring to do so (liquidity), the risk of trading properties at a price that deviates from their actual value, and the risk associated with unreliable historical valuation data.
Both liquidity risk and the risk of paying too much are closely related to the degree of efficiency in the property market. The emphasis on these factors is therefore consistent with investors ranking the property market as less efficient than the equity and bond markets.
The authors conclude that statistical analyses of returns and risks are of decisive importance to the real estate investment decisions of other funds. The survey shows, at the same time, that other forms of uncertainty are also important. A number of the highlighted sources of uncertainty are closely related to a perception that the property market is less efficient than the equity and bond markets. This is consistent, again, with investors’ belief that it is possible for good managers to achieve a return that is better for the average investor. It may be, given such perception, that investors are basing their expected return analyses on a higher expected return that would be suggested by analyses of historical returns in the property market as a whole.
1 Dhar, R. and W.N. Goetzmann (2006), “Institutional Perspectives on Real Estate Investing”, The Journal of Portfolio Management, Summer 2006.
3.5.2 The Ministry’s evaluation of real estate as an asset class
The Ministry of Finance discussed the effort to evaluate investments in real estate on the part of the Government Pension Fund – Global in the National Budget for 2008. The Ministry discussed, inter alia , the advice that had been received from Norges Bank and the Strategy Council concerning a separate allocation for real estate. In a letter of 20 October 2006 to the Ministry of Finance, Norges Bank proposed that investment of up to 10 pct. of the assets of the Fund in real estate and infrastructure be defined as a long-term strategic objective. The reasons given by the Bank for its recommendation were that real estate investments contribute to improved diversification of the risk associated with the Fund, and that investments in illiquid markets like real estate may give rise to a liquidity premium in the form of a higher expected return than could otherwise have been achieved. The Ministry of Finance’s Advisory Council on Investment Strategy advised the Ministry to define, to begin with, an objective to the effect that 5 pct. of the assets of the Fund be invested in real estate. The Strategy Council expressed the view that it is primarily the long-term return and risk characteristics of real estate, and the desire to invest a larger portion of the Fund in real assets in particular, that count in favour of such investments, as opposed to bonds.
The Ministry of Finance pointed out, in the National Budget for 2008, that the recommendations received were unambiguously in favour of investing a portion of the Fund in real estate. One recommendation pointed out that any such investments will in large part be made in unlisted and illiquid markets, and that this poses challenges relating to, inter alia , the measurement of return and risk. The Ministry therefore deemed it necessary to devote further effort to, inter alia , the preparation of an appropriate mandate, the operationalisation of ethical concerns and the use of different instruments and corporate structures.
The Ministry has now concluded, based on the analyses of Norges Bank and the Strategy Council, as well as its own analyses, that part of the assets of the Government Pension Fund – Global should be allocated to a designated portfolio for real estate investments. These investments are to be offset by a reduction in the portion of bond investments. The Ministry attached weight to the following concerns in these deliberations:
Equities and bonds are the two largest and most important asset classes that are available to financial investors. Real estate is the third largest. It is difficult to obtain precise estimates for the aggregate market value of the investable part of the property market. It is estimated that the value of investable commercial property is about 5-15 pct. of the overall value of equities, bonds and real estate globally (the world market portfolio) 24 . It would seem appropriate for a broadly diversified and global portfolio like that of the Government Pension Fund – Global to also include exposure to as large an asset class as real estate.
Most large institutional investors have made significant investments in the property market. The real estate portfolios of funds that are similar to the Pension Fund, in terms of size and the nature of their activities, represented on average 7 pct. of their total assets as per yearend 2006, of which 4 percentage points were in the form of unlisted real estate investments. Having gained ten years’ experience with investments in listed and relatively liquid instruments in the benchmark portfolio of the Government Pension Fund, it is difficult to see why the strategy of the Fund should in future deviate so markedly from the strategies of other large international funds.
The quality of historical return data for the property market is inferior to the quality of those for the stock and bond markets. Analyses as to how real estate investments will influence the overall return on, and risk associated with, the Government Pension Fund – Global should therefore be interpreted with care. Nevertheless, the Ministry is of the view that one would be justified to conclude, based on the available data material, that the correlation between the return on real estate and that on equities and bonds, respectively, is limited. Real estate investments may therefore contribute to an improved diversification of the risk associated with the Fund.
The paucity of data makes it difficult to estimate the characteristics of real estate investments in the long run. Nevertheless, it is probable that the correlation between the returns on investments in real estate and equities is higher in the long run than in the short run. The main attraction of real estate investments over long time horizons is therefore the fact that they are investments in real assets. The purpose of the investments of the Pension Fund is to achieve the maximum possible international purchasing power from its assets. If real estate investments offer better prospects for the international purchasing power of the Fund in the long run than do bond investments, that is an attractive characteristic.
Returns are improved as a result of the expected return on real estate being higher than that on bonds. Both indications that real estate investments give access to a separately priced risk factor, as well as the scope for illiquidity premiums in unlisted real estate investments, are highlighted as possible explanations for the excess return relative to bonds.
The Ministry’s analyses show that the effects on the overall risk associated with, and the return on, the Fund will to some extent depend on how the investments are implemented. A portfolio of leveraged real estate, through, for example, unlisted fund investments, may offer a higher contribution to the expected return on the Fund than would an unleveraged real estate portfolio. The leveraged real estate portfolio will, at the same time, contribute somewhat more to the overall risk associated with the Fund. Nevertheless, the effect of a 5-pct. allocation to real estate, instead of bond investments, on the risk associated with the Fund over periods of 15 years will be limited, even with a certain leveraging of the real estate included in the portfolio. This is to some extent the result of limited correlation with equities and bonds, but also reflects the portion invested in real estate being limited to 5 pct. See Box 3.2 for a more detailed discussion of these issues.
Textbox 3.2 Model computations of the effects on return and risk
The quality of historical return data for the property market is inferior to the quality of data for the stock and bond markets. Nor does there exist a global real estate index that can indicate what the past returns on the real estate investments of the Government Pension Funds would have been if the Fund had already been invested in this asset class. The paucity of historical data also makes it more challenging to establish estimates for the future returns on, and risks associated with, real estate as an asset class. Moreover, characteristics like the degree of leveraging, the allocation of investments on existing buildings and buildings under construction, and the allocation between developed and emerging markets, will, for a specific real estate portfolio, also influence what is a reasonable estimate for the expected return and risk. Consequently, quantifying the effects from including real estate in the Government Pension Fund is subject to considerable uncertainty. In other words, the findings from such calculations should be interpreted cautiously.
Table 3.10 presents the findings from simulations of the return on, and risk associated with, the Fund over periods of 15 years, as estimated both with and without real estate. The computations are made on the basis of the assumptions described in Section 3.3.2. The assumptions are intended to represent returns and risks for the three asset classes over measurement periods of several years. It is assumed, as discussed in Section 3.5.2, that the covariation between real estate and equities is higher in the long run than in the short run. This means that gains in the form of diversification of risk as the result of real estate investments will be larger over short time horizons than is indicted in Table 3.10.
Table 3.10 Expected real long-term return on, and risk associated with, the benchmark portfolio of the Government Pension Fund – Global, assuming a 5 pct. real estate investment
| Share equities/pct. bonds/pct. real estate/ pct. | Average annual real return (geometric) over 15-year periods (pct.) | Standard deviation of annual real returns (pct.) | Standard deviation of average real return over 15 years (pct.) | Probability of negative accumulated real return after 15 years (pct.) | Probability of annual geom. real return < 4 (pct.) | Sharpe ratio |
|---|---|---|---|---|---|---|
| 60/35/5 | 4.3 | 9.4 | 2.4 | 4.0 | 46.3 | 0.29 |
| 60/40/0 | 4.2 | 9.2 | 2.4 | 3.7 | 46.8 | 0.29 |
Source Ministry of Finance
The calculations in Table 3.10 show small changes to the overall expected return and risk as the result of real estate investments. The standard deviation of average real returns over 15 years is, for example, 2.4 in both cases, and the estimated 4 pct. probability for negative accumulated real returns after 15 years is only somewhat higher than the 3.7 pct. estimated with only equities and bonds in the portfolio. These findings are not surprising. It would be hard to establish a major change to the overall return on, and risk associated with, the Fund on the basis of a 5 pct. allocation. The improvements to the trade-off between return and risk for the overall Fund will be small.
On the other hand, even marginal improvements to the expected return on the Fund may represent considerable amounts over periods of 15 years. Based on a fund value of NOK 2,000 billion, and assuming that no more capital is contributed to the Fund, the estimated median value of the Fund after 15 years is NOK 21 billion higher with an allocation of 5 pct. to real estate.
Alternatively, the analysis of return and risk can seek to establish what distribution between equities, bonds and real estate would result in the optimal calculated trade-off between return and risk. The findings from such calculations are highly sensitive to the underlying assumptions. The outcome of such analysis would, based on the same assumptions as above, be that the optimal trade-off between return and risk for the overall Fund is achieved with a much higher real estate portion than the 5 pct. now proposed for the Government Pension Fund – Global. The portion on 5 pct. has been chosen on the basis of other concerns than purely financial ones, such as the need for a gradual evolvement of the portfolio, as well as restrictions resulting from the size of the Fund and available liquidity in the market.
In practise, developments in the value of unlisted real estate investments will appear to be less variable than is the case. This is because the value of a real estate portfolio will primarily be determined on the basis of appraisals of the underlying properties. Valuations of real estate will therefore not be made as frequently, and the appraisals will not reflect new information as swiftly, as do market value computations for equities and bonds, which are traded in liquid markets on a daily basis. This may in practise result in a stabilisation of reported performance, without the reported fluctuations necessarily reflecting the variations in the actual value of the properties.
Compared to the market for real estate, the size of the market for infrastructure investments remains modest. The Ministry has, in line with previous practise, emphasised a gradual and cautious entry into new investment areas. One has therefore deemed it appropriate to prioritise the effort to establish a well-diversified real estate portfolio without at the same time establishing a portfolio of infrastructure investments. Such cautiousness also seems compatible with the assessments presented by the Strategy Council in its letter of 19 June 2007.
There has in recent years been considerable demand for real estate investments, and a number of market participants are arguing that the prices in the property market are relatively high at present. Analyses of expected returns on real estate are included in Norges Bank’s analyses from 2006, which form the basis for its recommendation that one should allow for a strategic allocation to real estate and infrastructure of up to 10 pct. of the assets of the Fund. The Ministry has not, apart from these analyses, attached decisive weight to analyses of current pricing in the property market. The most important reason for this is that it will take many years to establish a portfolio of this size, even if the go-ahead for a real estate allocation is given now.
To begin with, Norges Bank will need sufficient time to establish a management organisation with the necessary systems and skills. The Government Pension Fund is already large relative to the size of the property market, and the Fund is expected to be growing rapidly for many years to come. A 5-pct. allocation to real estate should therefore be considered a very ambitious target within a reasonable time horizon.
At the same time, the market for unlisted real estate investments is illiquid. If an investor like the Government Pension Fund proceeds too quickly in such a market, it may trigger reduced returns due to adverse market impact. Moreover, if the implementation takes place over a long period of time, there is a lower probability that the capital will be invested at a time that turns out, in retrospect, to have been unfavourable. This risk is also reduced as a result of the fact that part of the inflow of new capital will for many years to come be invested in real estate in step with the growth in the Fund.
3.5.3 The effort relating to a real estate investment mandate
Solutions to a number of control-related challenges need to be found before the planned real estate investments can be embarked upon. One will to begin with define an investment mandate that specifies the required rate of return, valuation requirements, risk limits and reporting requirements. The Ministry will attach weight to finding solutions that offer the appropriate incentives for Norges Bank as manager, in terms of the returns, risks and costs involved in the management of real estate.
The choice of benchmark return will be a key issue in defining the mandate of Norges Bank. The manner in which the equity and bond portfolios of the Government Pension Fund – Global are managed at present, with a benchmark portfolio and an upper limit on tracking error, will not be directly applicable to a portfolio comprising real estate investments, irrespective of how such management is organised. In the listed markets it is possible to select a benchmark portfolio of investable assets that covers large parts of the market, is priced frequently, is well documented and clearly defined, and that can be managed passively. However, such indices do not exist for real estate. The real estate indices only encompass a low share of investable real estate in the various markets, and no comprehensive global index exists. Furthermore, the indices are non-investible, and they are based on real estate appraisals and not on actual transactions. These facts make it difficult to use the indices as precise management tools for real estate investments. Nevertheless, the return targets of institutional investors that have the main part of their portfolios invested in countries with well-developed real estate indices, like the UK and the US, are often based on real estate indices. The absence of good global real estate indices has resulted in many institutional investors that hold international real estate investments having refrained from adopting real estate-related return targets, and having instead opted for a real rate of interest or an interest yield with an added risk premium. In a letter of 22 August 2007, Norges Bank wrote to the Ministry of Finance that it recommended an absolute required rate of return during an accumulation period, and that the Bank would be reverting with a proposal for such a requirement.
The Ministry will consider whether to stipulate other requirements for the diversification of the portfolio instead of a benchmark portfolio and an upper limit on the tracking error. One may, for example, consider imposing limits on variables like the degree of borrowing, proportions invested in individual sectors, proportions invested in emerging markets, the proportion of projects presumed to involve high risk, etc. In its letter of 22 August 2007 to the Ministry of Finance, Norges Bank wrote that requirements as to the diversification of risk should only be implemented after an investment period, and that the Bank would be reverting with proposals for such requirements. The Bank will also have to explain how investment processes for investments in unlisted markets will be organised, and how the Bank will be implementing independent measurement of returns and analysis of risks. Furthermore, the accounting and auditing set-up will have to be reviewed.
The Ministry will continue its effort to define a mandate. This effort will be based, inter alia , on advice and explanations already rendered by Norges Bank. An agreement has also been formed with an external independent consultant that has been commissioned to prepare a draft mandate. The mandate will be published on the Ministry’s website (www.government.no/spf) when defined, and the Storting will be informed of further progress in the future discussions concerning the Government Pension Fund. The Ministry envisages that the accumulation of a real estate portfolio may commence at some point during 2008 if adequate solutions have been found in respect of the challenges involved in defining the mandate.
3.5.4 Ethical concerns and restrictions relating to closed jurisdictions
The ethical guidelines of the Fund will, generally speaking, also apply to investments in new asset classes like real estate. In the National Budget for 2008, the Ministry discussed one specific issue to do with whether the leasing of real estate to companies that were excluded from the equity portfolio would, in itself, qualify for exclusion from a real estate portfolio. In a letter of 7 September 2007 to the Ministry of Finance, the Council on Ethics wrote, in this context, that the leasing of real estate to companies that have been excluded on the basis of the ethical guidelines will normally not qualify for exclusion from the Fund, and that exclusion needs to be contemplated specifically in each individual case. The letter was printed as an Appendix to the National Budget for 2008, and is available at the Ministry’s website (www.government.no/gpf). The Ministry agreed with this conclusion and wrote, at the same time, that one will be examining how environmental concerns can be incorporated into a mandate for real estate investments.
The overarching objective of Norges Bank’s investments in real estate is to safeguard the financial interests of the Fund. The Fund adopts a long time horizon for its investments, and the investments of the Fund are broadly diversified. The Ministry take the view that there is a linkage between sustainable economic development and sustainable social and environmental development.
The design and operation of buildings has a major impact on the environment. The UN climate panel (IPCC) has estimated that annual CO2 -emissions from the buildings sector, including emissions resulting from energy consumption, represented about 1/4 of overall emissions in 2004. 25 Norges Bank as a manager may, through large ownership stakes in parts of its real estate management, exercise greater influence on the requirements imposed on the underlying assets of the portfolio than it does through the management of the equity and fixed-income portfolios. This suggests that real estate management should be subjected to special environmental concerns. This will apply to the areas of energy efficiency, water consumption and waste treatment, in particular.
The Government Pension Fund – Global should adhere and contribute to the development of best practise within the integration of environmental concerns in the management of real estate. The Ministry intends for Norges Bank to be subjected to a requirement that it shall participate actively in the efforts pursued internationally to accommodate special environmental considerations. Furthermore, it should follow from Norges Bank’s internal guidelines for the management of the real estate portfolio how environmental concerns are integrated into the investment process.
The guidelines for the management of Government Pension Fund – Global define the Fund’s investment universe for equity and bond investments under reference to what market places the equities are traded in and what currency the bonds are denominated in. The investment universe is restricted to regulated and recognised market places where listing implies, inter alia , that minimum requirements as to transparency and reporting have been met. This delimitation of the scope for investment in equities and bonds also follows from market practise, since the Fund’s index providers classify companies and other issuers included in the indices used to define to benchmark portfolio of the Fund in the same manner.
When the Ministry now intends to allow for investments in real estate companies and funds that are not listed, market places cannot be used as a criterion for delineating the investment universe. It is nevertheless desirable to limit the investment universe, and it will then be appropriate to link the scope for investment to where real estate companies and funds are incorporated.
Real estate companies and funds may be incorporated in other countries than those in which the relevant properties are located. Indirect ownership of real estate is organised to attend to a number of concerns, hereunder limitation of liability and access to expertise. Furthermore, many international institutional investors, like pension funds and insurance companies, are, like the Pension Fund – Global, exempted from taxation in their home countries. Unlisted real estate funds and companies are often incorporated in jurisdictions that offer tax regimes that result in most of the return being taxable in the home country of the investor, in order to enable the institutional investors to benefit from the favourable tax rules in their home countries.
Local tax rules and tax levels in relation to investments vary considerable, and the localisation of real estate companies and funds is of major importance to the overall tax burden. These concerns are of particular relevance to the organisation of real estate investments, since such investments are in many cases effected through newly established structures tied to specific investment purposes.
Some states seek to attract establishment through low taxes, whilst also offering legislation that aims for a low degree of transparency and information exchange. Some of these jurisdictions can be criticised for being so-called closed financial centres – jurisdictions characterised by inadequate transparency and information exchange.
The Ministry intends, against this background, for unlisted real estate funds and companies included in the portfolio of the Fund to be incorporated in countries that are either OECD countries, or with which Norway has established tax treaties or other agreements that provide sufficient disclosure, or with which Norway has formed a special Tax Information Exchange Agreement (“TIEA”), based on the OECD model. In addition, the country must not be listed as a “non-cooperating jurisdiction” by the OECD.
The Ministry has in its assessment of this restriction attached particular weight to the following:
The criteria are objective, and are based on the principles defined by the OECD.
No other fund with which it is reasonable to compare the Government Pension Fund – Global has, as far as the Ministry of Finance has ascertained, imposed corresponding restrictions on their investments. The Government Pension Fund would therefore appear to be the most restrictive fund in this respect.
By relating the restriction to countries with which Norway has exchange of information agreements in tax matters, the restriction is linked to an indicator of the general willingness of the jurisdictions to engage in openness and cooperation. At present, tax treaties with provisions for the exchange of information or TIEA’s have been formed with 83 jurisdictions, but there are specific plans to negotiate for TIEA’s with several more jurisdictions in the foreseeable future. Restrictions on the real estate investments will serve to emphasise Norway’s attitude in these negotiations.
The Ministry is of the view that this restriction in relation to the real estate investments is practicable, without entailing significant management disadvantages. It would, at the same time, be problematic to further restrict the investments of the Fund, because one may then be prevented from engaging many of the best real estate managers. The choice of manager is of particular importance to returns within real estate management, since the difference between the performance of good and mediocre real estate managers is large, and considerably more pronounced than in the stock and bond markets.
3.5.5 Conclusion
The Ministry intends, based on the recommendations of Norges Bank and the Strategy Council, as well as its own analyses, to establish an objective to the effect that up to 5 pct. of the capital of the Government Pension Fund – Global be invested in real estate. The recently adopted increase in the equity portion to 60 pct. will not be affected by such decision, thus implying that the real estate investments will be offset by a corresponding reduction in the portion of bonds.
An investment mandate specifying the required rate of return, risk limits and reporting requirements shall be prepared before the planned investments in real estate can commence. The mandate shall be premised on a wish to provide appropriate incentives to the manager as far as returns, risk taking and cost control are concerned. One will also aim to continue a high degree of openness in relation to the investments, and the Government Pension Fund – Global shall practise at least as much openness in the management of the real estate portfolio as do other large funds. The regulation of ethical and jurisdictional concerns shall be incorporated into the mandate of Norges Bank in line with the discussion in Section 3.5.4 above.
Investments in the unlisted property market are a new form of activity for both the Ministry of Finance and Norges Bank. A 5-pct. allocation is a very ambitious objective within a reasonable time horizon, and it will take many years to establish a large real estate portfolio. The establishment process shall take into consideration the need for skills and systems, the need to avoid unnecessary transaction costs through market impact, and the desire to spread the timing of acquisitions in order to reduce the risk of investing a large portion of the portfolio at a point of time that turns out, in retrospect, to have been unfavourable. All these concerns point to the need to devote many years to the effort to establish a real estate portfolio.
3.6 Emerging stock markets
3.6.1 Background
The equity portfolio of the Government Pension Fund – Global is broadly diversified across both regions and countries. An important purpose of such diversification is to achieve exposure to the stock markets globally, in order to thereby attain the best possible trade-off between return and risk on the part of the Fund. The exposure of the benchmark portfolio to emerging stock markets has thus far been limited to a relatively small number of markets. The Ministry of Finance is examining anew, against this background, whether additional emerging stock markets should be included in the benchmark portfolio of the Fund. Emerging bond markets differ from emerging stock markets along several dimensions. The Ministry will undertake an assessment of emerging bond markets at a later date.
The stock markets in Brazil, Mexico, Turkey, Taiwan and South Korea were included in the benchmark portfolio for equities of the Government Pension Fund – Global as from January 2001. The change to the benchmark portfolio was made on the basis of assessments as to settlement risk, supervision systems, legislation, market size and liquidity, openness to foreign investors, return and risk, as well as political and macroeconomic stability.
The National Budget for 2004 included new evaluations of emerging markets for equities and bonds. It was decided, on the advice of Norges Bank and based on criteria corresponding to those applied previously, to delete the Turkish stock market because the freely transferable part of that market was deemed to be too small. It was decided, at the same time, to include South Africa in the benchmark portfolio for equities. The plans did not encompass the inclusion of emerging markets in the benchmark portfolio for bonds. In formal terms the benchmark portfolio was changed in 2004.
As from 1 January 2004, the list of permitted stock markets was extended to include Chile, the Philippines, India, Israel, Indonesia, China, Malaysia, Poland, the Czech Republic and Hungary. Thailand was already included on the list. The markets in these countries do not form part of the benchmark portfolio, but Norges Bank was permitted to invest some of the Fund’s capital in these markets as part of the Bank’s active management. The same applied to bonds issued in the currencies of Iceland, Cyprus, Poland, Hungary, the Czech Republic, Mexico, South Korea and South Africa, provided that the issuer had an adequate credit rating.
The Ministry of Finance referred, in Report No. 24 (2006-2007) to the Storting, to a letter from Norges Bank dated 11 March 2005, in which it was argued that it was not necessary, from the perspective of the overall risk associated with the Fund, for the Ministry to regulate in detail what countries the Fund can be invested in. Norges Bank primarily recommends, in a letter dated 1 September 2006, that one changes to an arrangement without any explicit list of permitted markets and currencies, under which it is up to the Bank to prepare internal guidelines governing what markets the Fund may be invested in outside the benchmark portfolio. The Ministry of Finance concluded, based on an overall assessment, that it would be appropriate to delete the list of approved markets and currencies from Section 4 of the Regulations. In formal terms this change was implemented in the summer of 2007. The Ministry wrote the following in the Report:
“The Ministry of Finance would therefore require Norges Bank to have completed, prior to the implementation of investments in new countries, a thorough process, which would in each individual case provide the bank with an overview of relevant issues relating to valuation, return measurement, as well as the management and control of risks associated with investments in each individual market and currency. Such effort would be required to include an assessment against the requirements implied by the Regulations and the supplementary guidelines, and to be documented. Provided that these requirements are met, the Ministry is of the view that there is no need for the detailed regulation of permitted markets on the part of the Ministry, as far as the management of the overall risk level of the Fund is concerned.”
It is emphasised, in a letter dated 3 May 2007 to the Storting from the Minister of Finance in connection with the deliberation of Document 8:57 (2006-2007), that it is appropriate for the Ministry to assess, at regular intervals, what markets should be included in the benchmark portfolio. The following is also stated in the letter:
“I will under any circumstance revert to the Storting with a new assessment as to what stock and bond markets should be included in the benchmark portfolio of the Fund. It would be appropriate for the largest emerging markets outside the benchmark portfolio; China, India, Malaysia and Russia, to be included in such assessment. In view of the fact that Report No. 24 (2006-2007) to the Storting proposes an increase in the number of companies included in the benchmark portfolio for equities, and in view of the fact that one is facilitating an increase in the number of permitted markets and currencies, it would also be appropriate to assess what criteria should be used for purposes of analysing what markets and currencies should be included in the benchmark portfolio for the Government Pension Fund – Global.”
The following is stated in a letter dated 4 June 2007 to the Storting from the Minister of Finance:
“I intend to present a new assessment as to what markets should be included in the benchmark portfolio of the Fund in connection with the next annual Report to the Storting on the management of the Government Pension Fund, which will be submitted in the spring of 2008. It will be appropriate for the Ministry to present, in the context of such review, practises on the part of other large funds, and to present a new assessment of the method thus far applied in the selection of markets and currencies for the benchmark portfolio of the Government Pension Fund – Global.”
It is also emphasised in the letter that the Ministry of Finance will, like before, be requesting professional advice from Norges Bank and the Strategy Council for purposes of the effort to evaluate new emerging stock markets for the benchmark portfolio of the Fund.
3.6.2 Definition of emerging stock market
The term emerging stock market designates a market that is in a transition phase inasmuch as it is growing in size or activity, or is in the process of becoming more sophisticated. It is common practise to define a market as emerging if one of two general criteria are met:
the market is located in a country with low or lower-middle income as defined by the World Bank; or
the investable part of the market is small relative to the Gross National Product of the country.
Standard & Poor’s categorised, on the basis of data from 2005, countries with a Gross National Product per capita of less than USD 10,726 as belonging to the low- and middle-income groups, whilst countries with a higher income than that were defined as high-income countries.
The investable part of emerging stock markets is relatively small relative to the national income of the country in question. The market value of equities that are not available to foreign investors is discounted for purposes of the calculation of investability. Non-investable equities encompass, inter alia , the part of the share capital of companies that is held by (local) investor groups and that is not for sale, and the equities that are not available to foreign investors as the result of various types of investment restrictions.
Stock markets characterised by investment restrictions like maximum limits on foreign ownership and capital controls, or by extensive government ownership and other statutory restrictions on market activities (in particular in relation to foreign investors), are often categorised as emerging markets. It is commonly argued that comprehensive restrictions on foreign ownership should not be a characteristic of developed stock markets, and that the existence of such limits is an indication that the market is not yet developed.
Emerging stock markets are distinguished from developed stock markets by a number of qualitative characteristics as well. These include, inter alia , operational efficiency, settlement and clearing systems, quality of market regulation, supervision and enforcement, corporate governance, the rights of minority shareholders, transparency and openness, accounting standards, etc.
3.6.3 Size and liquidity of the market
As per yearend 2006, the value of all emerging stock markets accounted for about 19 pct. of the aggregate market value of emerging and developed stock markets. 26 This calculation is made on the basis of the full market value of each individual market. There is, as far as most stock markets are concerned, a difference between the investable part of the market, i.e. the part of the market that is available to foreign investors, and the total market capitalisation. This difference is typically much more pronounced for emerging markets than for developed markets.
The difference between the investable part and total market capitalisation is discussed in more detail below. The total market value provides an indication of the potential market for foreigners in the absence of investment restrictions, etc.
Figure 3.7 shows developments over time in the distribution of market values between developed and emerging stock markets. In 1997, the emerging markets accounted for just under 10 pct. of aggregate market capitalisation. The portion was reduced somewhat in 1998, but has grown steadily since then.

Figure 3.7 Market shares – emerging and developed stock markets
Source Standard & Poor’s
The aggregate value of all stock markets in the world has grown by almost 10 pct. annually over the period from 1997 to 2006. The corresponding growth rate for developed markets is calculated at about 8.5 pct., whilst the value of emerging markets grew by about 19 pct. per year. 27 Fluctuations in market capitalisation growth rates have been considerably more pronounced for emerging markets than for developed markets, which in large part reflect higher volatility in the returns on investments in emerging markets than in developed markets.
A considerable share of aggregate market capitalisation in emerging markets can be attributed to a relatively limited number of countries, cf. Figure 3.8. Brazil, Taiwan, Korea, Mexico and South Africa are included in the existing benchmark portfolio. China, India and Russia are the largest remaining markets. The market in Saudi Arabia is ostensibly large in size, but this market is classified as non-investible. The market value of the 5 largest countries is just below 56 pct. of the market value of all emerging markets, whilst the 10 largest account for about 78 pct. of aggregate market capitalisation. The 5 countries that are already included in the benchmark portfolio encompass 31 pct. of the aggregate capitalisation of emerging stock markets. The practical implication of this is that investments in 8 emerging markets are sufficient to gain virtually full exposure to the emerging market group.

Figure 3.8 Market shares by country as per yearend 2006
Source Standard & Poor’s
Emerging stock markets account for about 12 pct. of overall turnover in the world’s stock markets. 28 This is lower than their share of aggregate market capitalisation, and may be an indication that a higher proportion of the equities in emerging markets are subject to a long-term binding with a specific set of investors than is the case in developed markets.
The overall turnover in the world’s stock markets increased by 15.3 pct. annually over the period from 1998 to 2006. Turnover growth in the developed markets was just below 15.7 pct., as compared to 12.9 pct. in emerging markets. Variations in annual turnover growth have been somewhat more pronounced in emerging than in developed markets. Nevertheless, this difference is considerably less than the difference when it comes to the growth in total market value.
Most of the turnover in the world’s stock markets takes place in a limited number of markets, cf. Figure 3.9. The turnover distribution is affected by the fact that the share attributed to Saudi Arabia is heavily inflated (see the below discussion of free flow- adjusted turnover).

Figure 3.9 Turnover shares by country as per yearend 2006.
Source Standard & Poor’s
The five countries with the highest turnover account for close to 72 pct. of overall turnover, whilst the 10 largest account for 89 pct. of the turnover in all emerging markets. Turnover is more concentrated than is market capitalisation. The five emerging markets that are included in the current benchmark portfolio have a total turnover that accounts for 35 pct. of all emerging market turnover.
The asset turnover ratio is a measure of the liquidity in a market, and is defined as the ratio between the turnover in a given year and the average market capitalisation for the same year. The asset turnover ratio expresses how many times the total market value is turned over during the course of a year. The asset turnover ratio is high in several of the emerging markets, but the impression is somewhat different after adjustment for free flow. The average asset turnover ratio for emerging markets (94 pct. in 2006) is considerably lower than that for developed markets (149 pct.).
The number of listed limited companies in the world has increased by almost 10,000 over the period from yearend 1997 until yearend 2006, cf. Figure 3.10. The increase is more or less equally distributed between companies in emerging and developed markets.

Figure 3.10 Number of listed limited companies in the world
Source Standard & Poor’s
There is a large number of listed companies in, inter alia , India, Korea, China and Taiwan, also relative to the number of listed companies in developed markets. The average company size is considerably larger in developed markets (USD 1,685 million in 2006) than in emerging markets (USD 431 million).
In developed markets the average turnover per company in 2006 was estimated at USD 2,305 million, whilst it was USD 333 million in emerging markets. This reflects the fact that aggregate turnover is, in relative terms, lower in emerging than in developed markets, whilst the number of companies is higher in relative terms.
3.6.4 Openness to foreigners
Standard & Poor’s operates with three sets of indices for emerging markets, IFCG, IFCI and IFC Frontier. The first index (IFCG) is investable for local investors, whilst the second index is investable for foreign investors (IFCI). The third index (IFC Frontier) shows the status in countries where the stock markets are much less developed than in other emerging markets.
Standard & Poor’s Global Stock Markets Factbook from 2007 operates with 86 emerging stock markets. The main difference between the IFCG and IFCI indices is that the latter is corrected for free flow and restrictions on the ability of foreigners to own equities in the local market. Whilst the IFCG index encompasses 35 markets, the IFCI index encompasses 22 markets. 29 The markets included in the IFCG index represent about 88 pct. of the total market value of all 86 emerging markets (as measured per yearend 2006), whilst the IFCI countries represent 58 pct. of total market value. This implies that 42 pct. of the total market value of emerging markets is deemed to be non-investable for foreign investors. The largest markets included in the IFCI index are Brazil, Mexico, China, India, Korea, Malaysia, Taiwan, Russia and South Africa. In aggregate, these countries account for 84 pct. of the market value of the countries covered by the IFCI index. The IFCG companies account for about 78 pct. of the total turnover. The corresponding figure for the IFCI companies is 43 pct. The turnover in Brazil, Mexico, China, India, Korea, Taiwan, Russia and South Africa represents, in aggregate, 86 pct. of the overall turnover of the IFCI companies.
When corrected for free flow, the number of companies in emerging markets that are available to foreign investors is reduced significantly. A number of small-cap companies are disqualified, and the average size of companies is increased. There is considerably less difference between the average sizes of the companies in the two segments after the free flow corrections. This implies that the number of small-cap companies included in the benchmark portfolio of the Fund after the addition, if any, of further emerging markets will not increase by very much as compared to the present situation.
3.6.5 The FTSE indices
The FTSE Group is one of the world’s largest index providers, and is owned by the Financial Times and the London Stock Exchange. The FTSE equity indices form the basis for the equity portion of the benchmark portfolio of the Government Pension Fund – Global. In order for the stock market of a country to be included in the FTSE GEIS indices, the relevant country or market has to meet a number of criteria 30 :
It has to be open for direct equity investments from foreign investors.
Data (equity prices, number of equities, etc.) need to be available within reasonable time limits.
Investors cannot be subject to significant exchange controls that make it difficult to repatriate capital following the sale of equities or the receipt of dividends.
There has to be significant international investor interest in investments in the market.
The market needs to offer adequate liquidity.
There is a high degree of overlap between these criteria and the criteria previously adopted by the Ministry of Finance for purposes of evaluating emerging stock markets.
FTSE classifies the various markets into developed, advanced emerging and secondary emerging markets. A set of primary factors and a set of secondary factors are utilised for classification purposes. It is a prerequisite that the equities are listed or otherwise traded in another organised market place. In addition, weight is attached to economic stability, social and political stability, as well as corporate governance practice.
The primary factors are focused on data quality (availability and timeliness), free flow of foreign exchange, GDP per capita, market breadth (number of limited companies), market depth (number of sectors), quality of securities pricing, stock market capitalisation relative to GDP, as well as restrictions on foreign ownership. The secondary factors include the efficiency of settlement systems, market liquidity and maturity, membership of international economic organisations or currency unions, as well as total market capitalisation.
FTSE divides the world into 7 regions. The (full) market value of all qualified companies is summarised for each one of these regions. The companies that are amongst the 2 pct. of companies with the lowest market capitalisation within each region are disqualified. The remaining companies are subjected to three different screening mechanisms: market value, liquidity and free flow. Amongst the free-flow restrictions adjusted for are cross ownership, long-term ownership linked to entrepreneurs and their families, government ownership, certain types of employee ownership, restrictions on foreign investors’ ownership and traditional portfolio investments that are locked in over time through agreements or clauses.
Generally speaking, markets are evaluated relative to the size of international investors’ portfolios. The reason for this is that the market would have to justify the cost of including such market in the benchmark portfolio. FTSE publishes a watch list of countries whose status may be up- or downgraded, in order to enable investors to anticipate changes to the indices. FTSE seeks to limit changes to indices in order to keep the costs incurred through index adaptations at a low level. New countries are phased in over time. Upgrades will only take place when a given market has met the required criteria over a given period of time. International investors need to be able to invest in, and divest from, companies reasonable swiftly and with reasonable certainty. The quality of the market is an important factor in the classification of the various countries.
The FTSE GEIS index encompasses 48 countries. The stock markets of 25 of these countries are classified as developed, whilst 7 of the countries are characterised as advanced emerging. The remaining 16 countries are classified as secondary emerging markets. The market in Israel will formally be included amongst the developed markets in June 2008. The markets in Hungary and Poland will at the same time be upgraded to advanced emerging markets.
Table 3.11 shows the classification subsequent to the abovementioned changes. The watch list currently contains the markets in China, Greece, Pakistan, South Korea and Taiwan. The latter two are under assessment for upgrading to developed markets. China “A” equities are under assessment for classification as a secondary emerging market, whilst the Greek market is under assessment for reclassification from a developed to an advanced emerging market. Pakistan is under observation for possible deletion from the index universe. It may be noted that South Korea, Taiwan and Chinese “A” equities were also on the watch list in 2004. Any changes will be notified six months prior to implementation. The watch list will be reviewed again in September 2008.
Table 3.11 The FTSE market classification
| Developed markets | Australia, Austria, Belgium/Luxembourg, Canada, Denmark, Finland, France, Germany, Greece, Hong Kong, Ireland, Israel (from June 2008), Italy, Japan, the Netherlands, New Zealand, Norway, Portugal, Singapore, Spain, Sweden, Switzerland, UK, US |
| Advanced emerging | Brazil, Hungary (from June 2008), Mexico, Poland (from June 2008), South Africa, South Korea, Taiwan |
| Secondary emerging | Argentina, Chile, China, Colombia, the Czech Republic, Egypt, India, Indonesia, Malaysia, Morocco, Pakistan, Peru, the Philippines, Russia, Thailand, Turkey |
Source FTSE
The benchmark portfolio of the Government Pension Fund – Global currently encompasses 95 pct. of the total market value of developed, advanced and secondary emerging markets as classified under the FTSE index. Coverage would be increased to 95.4 pct. by including Hungary and Poland, which will be reclassified as advanced markets as from the summer of 2008. Coverage would be expanded to 98.7 pct. of the FTSE index if the markets in China, India and Russia are also included.
The market value of the Pension Fund as per yearend 2007 was about NOK 2,000 billion. It has previously been resolved that the equity portion shall be increased to 60 pct., which implies that the value of the equity portfolio upon the completion of that adaptation will be about NOK 1,200 billion. If the benchmark portfolio is changed to include all countries in the FTSE universe, some 5.1 pct. of NOK 1,200 billion will be invested in the new countries. This corresponds to NOK 62 billion. If the changes to the benchmark portfolio are limited to the inclusion of five new emerging markets (Hungary, Poland, India, China and Russia, as well as Israel), the Fund’s investments in new countries are limited to NOK 48 billion. Investments in only Hungary and Poland (and Israel) would amount to NOK 9 billion, based on the current holdings of the Fund.
The current benchmark portfolio of the Fund encompasses 95 pct. of the overall investment universe, as defined by FTSE. Expanding it by a further 5 emerging markets would result in 98.7 pct. coverage. Complete coverage would imply investments in an additional 12 markets. The average investment for this group of 12 additional markets can be estimated at just below NOK 1.2 billion. The smallest investment would be made in Morocco (NOK 0.2 billion) and the largest in Turkey (NOK 3.2 billion). The investments would be less than NOK 1 billion for six of the countries.
3.6.6 Return and risk
Table 3.12 shows the average annual return for the entire period (last 5 years) and for the most recent year. Returns in the emerging markets have been markedly higher than in the developed ones. Returns have also been considerably higher when measured in USD than when measured in local currency, which indicates that the USD has depreciated relative to the local currencies over the period. 31
Table 3.12 Average annual returns under various market indices. Per cent
| Annual return (as measured in USD) | Entire period | Most recent year |
|---|---|---|
| Advanced EMG | 34.3 | 49.9 |
| Secondary EMG | 40.1 | 61.4 |
| EMG All Cap | 36.3 | 54.6 |
| EMG EUR | 40.7 | 36.7 |
| MEA All Cap | 34.3 | 42.9 |
| Latin Am All Cap | 47.4 | 60.0 |
| APAC All Cap | 33.2 | 59.0 |
| FTSE Global All Cap | 20.4 | 23.3 |
| FTSE Developed | 19.2 | 20.0 |
| Annual return (as measured in local currency) | Entire period | Most recent year |
| Advanced EMG | 26.7 | 28.4 |
| Secondary EMG | 35.4 | 41.8 |
| EMG All Cap | 29.6 | 34.0 |
| EMG EUR | ||
| MEA All Cap | 26.9 | 24.1 |
| Latin Am All Cap | 14.9 | 11.0 |
| APAC All Cap | 27.5 | 38.8 |
| FTSE Developed | 15.4 | 9.0 |
Source FTSE and Ministry of Finance
Figure 3.11 shows index developments for different market aggregates. Accumulated returns have been considerably higher in emerging markets than in developed markets over the last five years. Furthermore, developments in secondary emerging markets have been more positive than those in advanced emerging ones.

Figure 3.11 Index developments for various market indices
Source FTSE and the Ministry of Finance
Table 3.13 shows the annual standard deviations of returns as computed on the basis of monthly rates of return. The standard deviation of returns is a measure of realised risk or normal variations in returns over time. The last five years were characterised by low volatility in the stock markets. The volatility in developed stock markets is normally about 17 pct. annually, whilst it has been computed at less than 10 pct. for the most recent five-year period. It follows from the Table that the volatility in emerging markets has been considerably higher than that level, and has been computed at 14-17 pct. for the global aggregates. It follows from the Table that the volatility as measured in local currency is (for most index aggregates) lower than when measured in USD. The difference in volatility is particularly pronounced for the Latin American aggregate, but only marginal for FTSE developed markets.
Table 3.13 Average annual standard deviations of returns for various market indices. Percent
| Standard deviations of annual returns (as measured in USD) | Entire period | Most recent year |
|---|---|---|
| Advanced EMG | 17.1 | 13.0 |
| Secondary EMG | 17.4 | 17.2 |
| EMG All Cap | 16.7 | 14.4 |
| EMG EUR | 24.0 | 16.6 |
| MEA All Cap | 19.2 | 15.0 |
| Latin Am All Cap | 20.8 | 17.4 |
| APAC All Cap | 17.7 | 16.0 |
| FTSE Global All Cap | 9.4 | 7.7 |
| FTSE Developed | 9.1 | 7.5 |
| Standard deviations of annual returns (as measured in local currency) | Entire period | Most recent year |
| Advanced EMG | 14.6 | 12.6 |
| Secondary EMG | 15.5 | 17.0 |
| EMG All Cap | 14.3 | 13.8 |
| EMG EUR | . | . |
| MEA All Cap | 13.2 | 10.8 |
| Latin Am All Cap | 8.9 | 10.1 |
| APAC All Cap | 16.3 | 17.7 |
| FTSE Developed | 8.8 | 9.2 |
Source FTSE and the Ministry of Finance
The effect from including additional emerging stock markets in the Fund’s benchmark portfolio for equities is illustrated below. Calculations are made for four alternative expansions to the benchmark portfolio, cf. Table 3.14.
Table 3.14 Alternative expansions to the benchmark portfolio of the Government Pension Fund – Global
| Portfolio 1 | Current equity benchmark |
| Portfolio 2 | Current + Hungary/Poland |
| Portfolio 3 | Current + China/India/Russia |
| Portfolio 4 | Current + Hungary/Poland/China/India/Russia |
| Portfolio 5 | All developed and all advanced and secondary emerging |
Source Ministry of Finance
Table 3.15 shows the average annual return and standard deviation for the five portfolios shown in Table 3.14. The difference in historical returns between portfolios 1 and 5 is about one percentage point. However, there is considerable statistical uncertainty associated with the estimates for average historical returns. There is less uncertainty associated with the estimates for standard deviations, etc., and these historical estimates are therefore better suited as a basis for assessing future volatility than are the historical returns as a basis for assessing future returns.
Table 3.15 Annual return on, and risk associated with, the benchmark portfolio of the Government Pension Fund – Global under alternative expansion assumptions. Local currency. Per cent
| Portfolio 1 | Portfolio 2 | Portfolio 3 | Portfolio 4 | Portfolio 5 | |
|---|---|---|---|---|---|
| Average return | 19.95 | 20.08 | 20.80 | 20.88 | 20.92 |
| Standard deviation | 9.32 | 9.37 | 9.48 | 9.51 | 9.53 |
| Average T value | 16.30 | 16.32 | 16.72 | 16.72 | 16.72 |
| Simplified S fraction | 2.14 | 2.14 | 2.19 | 2.20 | 2.20 |
| Max. monthly return | 8.77 | 8.78 | 8.79 | 8.80 | 8.74 |
| Min. monthly return | -3.77 | -3.82 | -3.93 | -3.96 | -4.10 |
Source FTSE and the Ministry of Finance
The standard deviation will increase by 0.2 percentage points to 9.5 pct. if all emerging markets in the FTSE Advanced Emerging and Secondary Emerging aggregates are included in the Fund’s benchmark portfolio for equities. It follows from the Table that the difference in risk between portfolios 3, 4 and 5 is close to zero. The differences in standard deviation between the various portfolios must, generally speaking, be characterised as very minor, and do not differ significantly from each other in the statistical sense.
A more detailed analysis of returns and risks in emerging markets is presented in a separate documentation memorandum (see www.government.no/spf).
3.6.7 Country risk
In addition to market risk, it is necessary to undertake a more general evaluation of country risk when examining new emerging markets. Country risk is commonly divided into political risk, economic risk and financial risk. These risk factors suggest something about the ability and willingness of a country to meet its financial obligations as against foreign investors.
Several companies and institutions have specialised in the analysis of country risk, hereunder Political Risk Services (PRS), which publishes the International Country Risk Guide (ICRG). 32 The index covers political, financial and economic risk, as well as a composite risk.
Table 3.16 summarises ICRG’s political, economic, financial and composite country risk indices for 25 developed stock markets in the index series FTSE Developed Markets (Israel is included, since the country will be included amongst the FTSE Developed Markets as from June 2008), and for the five emerging markets that are included in the current strategic benchmark portfolio for equity investments. These are compared to the indices for Poland and Hungary (which will be classified as FTSE Advanced Emerging in June 2008), the indices for China, India and Russia (FTSE Secondary Emerging), and the indices for the remaining (and smaller) secondary emerging markets. The figures are from July 2007. 33
Table 3.16 Country risk
| ICRG country risk | Political | Economic | Financial | Composite |
|---|---|---|---|---|
| 24 developed + Israel | VL | VL | L | VL |
| Minimum | M | L | M | L |
| Current 5 emerging | L | VL | VL | L |
| Minimum | M | L | L | L |
| Poland + Hungary | L | L | L | L |
| Poland | L | L | L | L |
| Hungary | L | M | M | L |
| China + India + Russia | M | VL | VL | L |
| China | M | VL | VL | L |
| India | M | L | VL | L |
| Russia | M | VL | VL | L |
| Other secondary emerging | M | L | L | L |
| Argentina | L | VL | L | L |
| Chile | VL | VL | VL | VL |
| Colombia | H | L | L | M |
| Czech Republic | VL | L | L | L |
| Egypt | M | M | VL | M |
| Indonesia | M | L | VL | M |
| Malaysia | L | VL | VL | VL |
| Morocco | L | M | VL | L |
| Pakistan | VH | M | L | H |
| Peru | M | VL | VL | L |
| Philippines | M | L | L | M |
| Thailand | H | L | VL | M |
| Turkey | M | L | M | M |
Figures from 2007. “VL” means very low risk; “L” means low risk; “M” means moderate risk; “H” means high risk, “VH” means very high risk.
Source Political Risk Services, International Country Risk Guide
The 24 developed markets in the equity benchmark, as well as Israel, have on average very low political risk. Furthermore, these countries have very low economic risk on average, whilst the average financial risk is low. The composite risk index indicates very low risk (the highest risk, in Israel, is still low).
The five emerging markets that are already included in the equity benchmark have, on average, low political risk (the highest risk category is moderate). Economic risk is at the same low level as in the developed markets, whilst financial risk is at a lower level than in the developed markets. Furthermore, composite risk is low.
Poland and Hungary both have low risk in all four risk categories, apart from the fact that Hungary has moderate economic and financial risk. It follows from this that the country risk associated with the Fund will only be marginally increased as the result of Poland and Hungary being included in the benchmark portfolio.
China, India and Russia are the three largest countries amongst the secondary emerging markets. Political risk in these three countries is higher than in the countries discussed above (moderate risk). However, economic and financial risk is very low (with the exception of India, where such risk is low). Consequently, composite risk is low, and in line with that in the five emerging markets already included in the equity benchmark.
The remaining twelve secondary emerging markets have, on average, moderate political risk (from very low in the Czech Republic and Chile, to very high in Pakistan) and low economic and financial risk on average (from very low risk in several countries to moderate risk in Egypt, Morocco, Pakistan and Turkey). The composite risk is low on average, but somewhat higher than for the other groups discussed, and ranges from very low (Chile and Malaysia), via moderate (Colombia, Egypt, Indonesia, the Philippines, Thailand and Turkey), to high (Pakistan). This indicates that the country risk will increase somewhat if these countries are included in the benchmark portfolio.
It is emphasised that assessments as to future country risk are subject to considerable uncertainty. Moreover, different methods of analysis and country risk indices will result in different conclusions.
3.6.8 Economic growth and expected returns
A number of empirical studies have been carried out concerning the relationship between economic growth and realised returns in the stock market. This issue is of particular relevance to equity investors in emerging markets where economic growth may be very high. However, these studies show a negative relationship between real long-term economic growth per capita and realised real returns on equity investments. The average correlation is -0.27 for 16 countries over the period 1900 – 2002 according to Dimson, Marsh and Staunton (2002), 34 and -0.37 according to Ritter (2005). 35
There may be several explanations for the negative covariation findings. Ritter (2005) refers, inter alia , to Siegel (1998) 36 , who argues that high expected economic growth has been reflected in the pricing of the stock markets throughout the period in the form of relatively high P/E (Price/Earnings) ratios, which has again resulted in relatively low realised returns. Another explanation that has been suggested is that weak corporate governance results in improper utilisation of capital (“empire building”) and too low dividends for investors (LaPorta, 2000) 37 . A third explanation that has been invoked is that strong economic growth, which can be related to a high savings rate and a plentiful supply of manpower, will not necessarily benefit existing equity investors, as the result of competition and the emergence of new companies, industries or sectors (Ritter, 2005). Furthermore, economic growth that can be attributed to increased productivity and technological progress will typically benefit the consumer to a greater extent than it benefits the investor, as the result of competition (Siegel, 1999). 38
Ritter (2005) argues that expected long-term returns in the stock markets, hereunder in emerging markets, depend on valuations (dividend/price and earnings per share), and not on expected economic growth.
Nor do classical pricing models like for example the capital asset pricing model (CAPM) suggest that expected economic growth is of relevance to expected excess returns, over and above the risk-free rate of interest, in the stock markets. Systematic risk is what is being priced in equilibrium under the CAPM. The well-known Fama and French 3-factor model includes, in addition to a valuation factor (measured as the ratio between book value and market value), size as an explanatory factor. Moreover, Bansal and Dahlquist (2002) find that the CAPM can be further improved through the inclusion of a country risk factor (“selectivity risk”). 39 It would therefore appear that financial theory within this area remains a work in progress.
Standard theoretical models for economic growth (Solow, Ramsey and Diamond) are premised on the return on capital being a function of economic growth. However, the models are based on a number of assumptions and simplifications, hereunder the savings rate remaining fixed (the Solow model). Diamond (1999) argues that there is a certain correlation (but much lower than one-to-one) between economic growth and the return on financial investments. 40
It can therefore be argued that empirical studier do not seem to support the hypothesis that high economic growth results in high returns in the stock market. That hypothesis is supported by certain theoretical models, but these models are not consistent with other theoretical models.
3.6.9 Comparable funds
Most large institutional managers invest parts of their equity portfolios in emerging markets. CEM Benchmarking has defined a reference group for the Pension Fund – Global, comprising 19 of the largest pension funds in the world. 13 of these funds reported to CEM what portions they had allocated to emerging stock markets. On average, these 13 funds had 53 pct. of their overall portfolios invested in listed equities, of which 2.9 percentage points were invested in emerging markets. The highest allocation to emerging stock markets in the reference group was 5 pct. of the overall portfolio.
Some of the world’s largest pension funds have recently resolved to increase their allocations to emerging stock markets. The strategic allocation of the largest Dutch pension fund, ABP, to emerging stock markets represents 5 pct. of its overall portfolio and 16 pct. of the listed equity portfolio. ABP uses the MSCI Emerging Markets index as its benchmark index for investments in emerging markets, but has not opened up for direct investments in all the countries included in that index.
The largest US pension fund, CalPERS, has recently resolved to let market capitalisation weights determine the country composition of the listed equity portfolio. Emerging markets account for about 12 pct. of the equity portfolio under the new investment strategy, whilst it previously accounted for 7 pct. CalPERS has previously prepared a country list, but is now opening up for investments in all emerging markets included in the FTSE All Emerging Index. CalPERS invests in emerging markets through external managers. The change implies that the external managers can now invest in five countries that were not previously included in the country list; China, Colombia, Egypt, Pakistan and Russia. There is a requirement that the external managers shall examine several specific issues relating to the countries and the companies prior to making investments in emerging markets.
3.6.10 The assessments of Norges Bank
In a letter dated 16 November 2007, the Ministry of Finance requested input from Norges Bank for a renewed assessment of the role of emerging stock markets in the benchmark portfolio of the Government Pension Fund – Global. The Bank has provided such an assessment in a letter dated 5 February 2008 to the Ministry of Finance. The letter is enclosed as Appendix 1 to this Report.
The recommendation from Norges Bank is worded as follows:
“Norges Bank recommends that the benchmark portfolio for equities in the Government Pension Fund – Global be expanded to include all of the countries classified at any given time as Developed, Advanced Emerging or Secondary Emerging in the FTSE Global All Cap Index. The Bank is of the opinion that the assessments performed by FTSE when classifying markets is robust and sufficient for these countries to be included in the benchmark portfolio for the Fund. Drawing on the index supplier’s established annual review processes will simplify and improve the monitoring and maintenance of approved countries. The criteria used by FTSE are transparent and are considered by Norges Bank to be sufficient for classifying markets’ suitability for international investors. Changes in the indices are announced in good time in order to minimise market impact.
At the same time, Norges Bank recommends that the current requirements for an adequate approval process for all new countries before investment is made in a new market be retained. Besides an additional independent assessment of many important criteria already covered by FTSE, this process ensures that NBIM has procedures, processes and systems which can handle these equity investments satisfactorily. Norges Bank has paid particular attention to settlement and clearing systems and to issues related to market regulation and financial markets legislation in its assessment of the criteria for the inclusion of emerging markets in the Government Pension Fund – Global’s equity benchmark portfolio.
The inclusion of emerging markets in the benchmark portfolio will not affect the Fund’s risk and return characteristics to any significant degree. This is due to their relatively low weight in the benchmark portfolio and some diversification gains. However, there is reason to believe that, in time, emerging markets will account for a more significant share of the equity market universe, and it may therefore be appropriate for the Fund to have exposure to these markets at as early a stage as possible. As part of its everyday management activities, NBIM will make a number of judgements in order to replicate the benchmark index. These judgements concern, among other things, transaction costs, settlement risk, legal risk, macroeconomic conditions, and the degree to which deviations from the benchmark portfolio will help to exploit the limit for active risk.”
Norges Bank points out that there may arise situations in which a country included in the FTSE index fails to pass the internal approval process of the Bank, thus implying that no capital will be invested in such country. Norges Bank emphasises that such deviations may give rise to tracking error, and that the Bank will itself have to assume such risk within the upper limit on active management as stipulated by the Ministry of Finance.
It is further suggested that corporate governance criteria should not be decisive for purposes of the inclusion or exclusion of markets in or from the investment universe or the benchmark portfolio. The Bank is of the view that the best corporate governance effects are achieved through presence and active involvement, and that such effects will in large part concern company-specific matters. Norges Bank does not anticipate any major practical corporate governance difficulties as the result of any expansion of the number of countries included in the benchmark portfolio.
3.6.11 The assessments of the Strategy Council
The Strategy Council points out that FTSE has a well-defined process for inclusion and exclusion of new markets in and from its index series. Furthermore, it notes that the markets that are not included in the indices are either not investable for foreign investors, too small, have poor liquidity or are inadequate in terms of more qualitative risk factors. The Council emphasises that a consequence of adopting the FTSE framework would be that upgrades and downgrades will influence the benchmark portfolio of the Fund with immediate effect, and that there will consequently be no need for the Ministry of Finance to carry out, on a regular basis, new evaluations as to what stock markets should be included in the benchmark portfolio. Moreover, the Strategy Council emphasises that the FTSE methodology is also favourable in terms of the costs incurred as the result of changes to the benchmark portfolio, because, inter alia , changes are made relatively seldom and announced six months in advance.
The letter concludes as follows:
“The Strategy Council recommends that the Fund’s benchmark portfolio for equities be expanded to include countries classified as either developed, advanced emerging or secondary emerging in the FTSE All Cap benchmark. This means that the benchmark portfolio will be adjusted in line with changes in FTSE’s country classifications over time. The actual investments of the GPFG should, as recommended by Norges Bank, be subject to the approval of each market based on the Bank’s internal approval process for new markets.
The Council has based its recommendation on the following:
FTSE’s rules for selecting markets for use in the global benchmark offer a thorough and transparent methodology for selecting a benchmark portfolio comprising both developed and emerging markets. At the same time, this change offers continuity, since FTSE’s criteria contain minimum requirements within areas that have also been of concern in earlier reviews of emerging markets in relation to the benchmark portfolio of the Fund.
The principles underpinning the investment strategy of the GPFG are that the Fund shall be well-diversified and adopt a long time horizon. One thereby achieves the maximum possible expected return at a moderate level of risk in the long run. Expanding the benchmark portfolio for equities to encompass all emerging stock markets included in the FTSE All Cap benchmark is consistent with the fundamental principles underpinning the investment strategy.
The effect on the total risk associated with, and the return on, the GPFG is expected to be small.
If the emerging stock markets are going to grow more rapidly than the developed ones, it will be an advantage for the GPFG to have an early presence in these markets.
The Council has taken note of the fact that some very large international funds have recently increased their investment allocations for emerging stock markets. These funds have opted for more broad-based benchmark portfolios for equities than has the GPFG, through a larger allocation for equities in emerging markets. This investment strategy supports the Council’s view that an expansion of the benchmark portfolio of the GPFG can be based of the FTSE methodology.”
The letter from the Strategy Council is enclosed as Appendix 4 to this Report.
3.6.12 The assessments of the Council on Ethics
In a letter dated 7 February 2008, the Council on Ethics pointed out that a further expansion of the benchmark portfolio would result in the Council having to both monitor and examine more companies. The letter is enclosed as Appendix 5 to this Report. The Council has received confirmation to the effect that one of the information providers would be able to monitor the new benchmark portfolio, both for purposes of identifying companies that manufacture weapons which would qualify for exclusion from the Fund and for purposes of identifying companies that may be engaged in other activities that violate the ethical guidelines.
The Council further points out that experience from the previous expansion of the benchmark portfolio shows that the general amount of information received from the information provider will not necessarily increase in proportion with the number of companies included in the portfolio. It is emphasised that the access to information pertaining to small-cap companies and companies in emerging markets may be more limited than the access to information pertaining to large-cap companies in developed markets. The Council suggests that this may be compensated for by more extensive use of consultants with regional affiliation and more external examiners to investigate specific cases. The Council emphasises that this may be somewhat more expensive than the traditional monitoring effort. It is furthermore pointed out that one has no basis for evaluating whether the access to information pertaining to the new companies under such measures will be as good as that pertaining to the companies previously included in the portfolio. Finally, it is emphasised that use of this type of services, as well as a general increase in cases requiring further examination, will result in increased costs on the part of the Council on Ethics.
3.6.13 The assessments of the Ministry of Finance
Between 80 and 90 of the world’s stock markets are categorised as emerging markets. Most of these will for various reasons not qualify for inclusion in the benchmark portfolio of the Fund. Key factors in this regard are the limited size of the market, poor liquidity, inadequate settlement systems, unsatisfactory legislation and last, but not least, restrictions on the ability of foreign investors to invest in the market.
The index provider FTSE classifies the markets into advanced and secondary emerging markets. Both types of markets are considered investable for foreign investors. Other markets are considered not investable for foreigners, and are by several index providers referred to as “frontier markets”. The 22 emerging markets included in the FTSE universe meet a set of criteria that have much in common with the criteria adopted by the Ministry for purposes of previous evaluations. Five of the markets are already included in the benchmark portfolio of the Fund. One alternative would be to base the benchmark portfolio of the Fund on the markets included in the FTSE index series.
Seven markets will be categorised as advanced with effect from June 2008, with the remaining fifteen being categorised as secondary emerging markets. A second alternative would be to include all markets belonging to the former group, but none of the markets in the latter group. The benchmark portfolio would under this alternative be expanded to include the markets in Hungary and Poland.
A third alternative would be to include all advanced emerging markets, but only the largest of the secondary markets (India, China and Russia), in addition to Hungary and Poland. This would result in a 98.7 pct. coverage of the overall market value of the FTSE universe.
The Ministry’s analyses show that the market risk characteristics of the various alternative benchmark portfolios are virtually identical. The reason for this is that the Fund already encompasses about 95 pct. of the world’s stock markets, as defined by FTSE.
The analyses further suggest that there is limited country risk associated with investments in Poland and Hungary. Investments in China, India and Russia involve moderate political risk, but low composite risk (political, economic and financial). Investments in the remaining twelve secondary emerging markets can be expected to involve moderate political risk, but low composite risk. There is, however, considerable variance within the last-mentioned group of countries, and half of these are expected to involve moderate composite risk (of which two involve high political risk).
Generally speaking, the settlement risk associated with emerging markets is higher than that associated with developed ones. Furthermore, the legal framework is less satisfactory. The Ministry shares Norges Bank’s view that the combination of ongoing evaluation and monitoring underpinning the index provider’s efforts within this area and Norges Bank’s own objectives and control measures, means that there is no need for establishing a set of minimum requirements within this area.
Norges Bank emphasises that there shall for all markets be established a legal framework that governs the financial market and created supervision arrangements that ensure monitoring of markets and market players in such a manner that it is deemed appropriate for the Bank to invest in such markets. The Ministry agrees with the said assessment.
The Ministry of Finance is of the view that the corporate governance and ethical concerns can be attended to in an adequate manner even after an expansion of the benchmark portfolio to encompass all advanced and secondary emerging markets.
Comparable funds allocate a not insignificant part of their capital to emerging stock markets. Several funds let index providers’ selections of countries be decisive for purposes of the country compositions of their benchmark portfolios.
Norges Bank and the Strategy Council recommend that the benchmark portfolio for equities of the Government Pension Fund – Global be expanded to encompass all the countries that are at any given time classified as either Developed, Advanced Emerging or Secondary Emerging within the FTSE universe.
The Ministry of Finance deems it most appropriate, against the background of these assessments, to include all of the advanced and secondary emerging stock markets, as defined by FTSE at any given time, in the benchmark portfolio of the Fund. This offers objectivity, consistency and predictability, and is in line with the recommendations of both Norges Bank and the Strategy Council.
3.7 The limit on ownership stakes for the Government Pension Fund – Global
3.7.1 Background
The Ministry of Finance has stipulated in Section 6 of the Regulations relating to the Government Pension Fund – Global that the investments cannot be concentrated in such a way that the Fund achieves an ownership stake in excess of 5 pct. of the voting shares of any given company. The Regulations further stipulate that the overarching objective of the corporate governance effort is to safeguard the financial interests of the Fund.
The limit on ownership stakes reflects the Ministry’s desire to make it clear that the Fund is a financial investor. The Pension Fund – Global is well diversified, holding investments in several thousand companies internationally, and its average ownership stake in the various regions is less than 1 pct. The somewhat higher limit on ownership stakes is primarily related to the need for providing Norges Bank with room for manoeuvre, to enable it to meet the objective of generating excess returns relative to the benchmark portfolio stipulated by the Ministry of Finance.
The background to the increase in the limit on ownership stakes from 1 pct. to 3 pct. for the then Petroleum Fund was described in the Revised National Budget for 2000, and the increase from 3 pct. to 5 pct. was discussed in the National Budget for 2006. The Ministry wrote in the National Budget for 2006 that:
“Further growth in the Fund and changes to the investment strategy of the Fund within other areas may influence the premises underpinning the ownership stake decision. Any renewed assessment of the limit on ownership stakes can then be based on the experience accumulated in respect of a 5 pct. limit on ownership stakes.”
The Ministry has deemed it appropriate to embark on a renewed assessment of the limit on ownership stakes in view of the continued strong growth in the capital of the Fund, the increase in the equity portion, the expansion of the benchmark portfolio to include listed small-cap equities, and concern for Norges Bank’s active management effort. The Ministry announced, in Report No. 24 (2007-2007) to the Storting, in connection with the expansion of the benchmark portfolio to include listed small-cap equities, that one would revert with a renewed assessment of the limit on ownership stakes.
Norges Bank was invited, in that context, to update the information and assessments presented in the Bank’s letter of 11 March 2005, in which it was recommended that the limit on ownership stakes be increased from the then 3 pct. limit to 10 pct., as well as to communicate new experience, analyses and assessments that may be of relevance. Furthermore, one requested Norges Bank to examine the issue of whether the Fund’s limit on ownership stakes should also be considered from the perspective of the regulatory framework for the management of Norges Bank’s foreign exchange reserves. The Ministry pointed out that a key consideration is that the Fund shall act, and be perceived, as a financial investor, thus implying that it may be appropriate to consider an assessment of the limit on ownership stakes from the perspective of the Bank’s overall ownership stake in a company.
3.7.2 The advice from Norges Bank
In its letter of 1 February 2008, Norges Bank points to developments that are of relevance to an assessment of the limit on ownership stakes:
“The value of the Government Pension Fund – Global is undergoing strong and continuous growth. When Norges Bank submitted its proposal to increase the maximum permitted ownership interest in 2005, the Fund’s equity portfolio had a value of NOK 427 billion. In the National Budget for 2008, the Ministry of Finance is recommending an inflow of new capital into the Fund of NOK 265 billion in 2008. The Guidelines for the Management of the Government Pension Fund – Global have been amended to increase the allocation to equities in the benchmark portfolio to 60 per cent, and this change is currently being phased in. The Fund’s equity portfolio will soon be four times larger than when Norges Bank originally proposed raising the ownership limit to 10 per cent.
Another important development is that the benchmark portfolio now includes small-cap companies. This means that the number of companies in the benchmark portfolio has grown from around 2,400 to 6,900. This in itself necessitates larger ownership interests, because investments here will be more concentrated.”
Norges Bank emphasises, in its recommendation as to a higher limit on ownership stakes, the desirability of more room for manoeuvre in its active management effort:
“On balance, Norges Bank believes that there is a strong need to increase the limit on permitted ownership for equity investments in the Government Pension Fund – Global, and that this would most appropriately be set at 15 per cent.
One important element of Norges Bank’s investment strategy for achieving excess returns has been to make a large number of independent and uncorrelated investment decisions. As part of this strategy, a large number of internal and external managers are used, where each manager is awarded an investment universe restricted geographically and/or to one or more sectors. To prevent breaches of the Regulation, the individual managers have to be awarded quotas, which must also contain a certain safety margin. Taken together, this entails considerable operational challenges and a reduction in the risk which can be allocated to each sub-portfolio.
When purchasing external management services, Norges Bank has to impose restrictions on holdings in individual companies which are not commonplace in the market. To be able to comply with these restrictions, external managers must often allocate a smaller share of Norges Bank’s portfolio to individual companies than they do for other clients. External managers are therefore forced to treat Norges Bank differently to other clients, which also makes the return difficult to compare in retrospect with that achieved for other clients. In addition, the portfolio currently has a smaller allocation to external mandates and lower overall risk exposure than it would with a higher limit on permitted ownership.
From time to time, Norges Bank may also wish to participate in relatively large capital expansions at individual companies wishing to recapitalise. With a low ownership limit, Norges Bank can put up only a limited amount at an early stage of such a recapitalisation process.”
Furthermore, the Bank points out that funds with which it is appropriate to make comparisons do not have the same limit on ownership stakes, and that a certain increase will not conflict with what is deemed to constitute market practise for financial investors:
“The largest funds in Europe with which it is natural to compare the Fund do not have any restrictions on ownership levels. Dutch funds ABP and PGGM and Britain’s Hermes have not set any upper limits on holdings in individual companies.
Through the external management of the Fund, Norges Bank is in contact with a large global network of portfolio managers. It is standard practice in the market for financial investors to use 15 or 20 per cent as an internally imposed limit on ownership.”
Norges Bank shall, in its capacity of manager of the Government Pension Fund – Global, act as a financial investor, and operates on the assumption that the employees and representatives of the Bank shall not allow themselves to be appointed to the governing bodies of the companies. The Bank points out that references to the Fund in the recent international debate on so-called Sovereign Wealth Funds appear to have been, generally speaking, positive, and it argues that this has more to do with openness about its investment strategy and corporate governance efforts than the size of its ownership stakes in individual companies:
“As can be seen from previous statements and assessments concerning the maximum permitted level of ownership in the Government Pension Fund – Global, the key consideration behind this limit has been to ensure that the Fund remains a financial investor and does not exercise strategic ownership. As mentioned in our letter of 11 March 2005, the Bank is of the opinion that it is not the percentage limit on ownership which is crucial to the difference between a strategic investor and a financial investor, but the investor’s objectives for his investments and how, through his actions, he uses the influence he has as a larger shareholder.
There has recently been an international debate about the role of sovereign wealth funds – see, for example, the proposal from US Secretary of the Treasury Henry Paulson in October 2007 concerning the need to establish a code of best practice for funds of this kind. In the debate about sovereign wealth funds, questions have been asked particularly about the lack of transparency about these funds’ investment strategy and exercise of ownership rights, and what it means to have these funds come in as owners. It has been claimed, for example, that a lack of transparency gives some sovereign wealth funds a corresponding lack of predictability. The level of ownership in individual companies has not in itself been highlighted as problematic. Opinions of the Government Pension Fund – Global seem to be largely positive 41 . Importance is attached to owner and manager providing a greater degree of insight into investment strategy and ownership than is usual among Sovereign Wealth Funds. (…)
Norges Bank also manages the investment portfolio in its foreign exchange reserves, which had a value of NOK 214 billion at the end of 2007. The Bank’s corporate governance principles apply to both funds. If the limit on ownership in the Government Pension Fund – Global is raised to 15 per cent, Norges Bank’s combined ownership could be as high as 20 per cent. Given the significantly smaller size of the investment portfolio and the similar investment strategy, combined ownership on this scale is unlikely. Norges Bank does not intend to raise the limit on ownership which applies to the investment portfolio in its foreign exchange reserves.”
The letter from Norges bank is enclosed as Appendix 2 to this report.
3.7.3 The assessment of the Ministry
The main purpose of the limit on ownership stakes is to make it clear that the Fund is a financial investor. It is stated in the Revised National Budget for 2000 that:
“It is important to maintain that the Petroleum Fund shall be a financial investor, and not a strategic ownership vehicle. This is important for several reasons. Firstly, it will ensure good diversification of the Fund’s investments, which will serve the need for secure placement of government assets and the desire for maximum possible returns at a given level of risk. Secondly, the investments will be liquid and thereby simple to realise if there is a need for making withdrawals from the Fund. Thirdly, it will be easier to evaluate the management of the Petroleum Fund inasmuch as the return on the Fund is comparable to the returns on recognised benchmark portfolios and the returns achieved by other financial investors. In addition, there may be a political risk associated with strategic ownership on the part of the State.”
In the recent international debate concerning so-called Sovereign Wealth Funds, cf. the discussion in Section 1.6, the well-defined role of the Fund as a financial investor has been a contributing factor to it having escaped significant negative attention or special initiatives that may threaten the financial interests of the Fund.
Although the distinction between “strategic” and “financial” investors does not depend solely on their percentage ownership stake in a company, but has instead to do with the objective of the investor in making its investments and how the investor utilises, through its actions, the influence it wields, it is still deemed appropriate to have a limit on ownership stakes to reinforce the fact that the Fund is not a strategic investor.
The issue of determining a suitable limit on ownership stakes must, at the same time, be considered from the perspective of the costs the Fund may incur as the result of the limit impairing performance. The Ministry of Finance aims for the Fund to be the best managed fund in the world, which implies that one shall seek to adopt best practise internationally in operating the Fund. Norges Bank has over the last decade achieved an average annual excess return of 0.4 percentage points through its active management efforts. Even small differences in the rate of return may, because of the magnitude of the Fund, represent large amounts for society.
If one looks at other funds with which it is appropriate to make comparisons, there would seem to be room for a certain increase in the limit on ownership stakes for the Government Pension Fund – Global, without such increase altering its role as a financial investor. Norges Bank points out that the largest funds in Europe with which it is appropriate to make comparisons, have no limit on ownership stakes. If one looks at, for example, the Swedish AP 1-4 funds, which are somewhat smaller, these have a 10 pct. limit on ownership stakes. The Government Pension Fund – Norway, which is also a financial investor, has, on its part, a 15 pct. limit on ownership stakes for its equity investments in Norway, and 5 pct. for its investments in the remainder of the Nordic region.
The Ministry of Finance intends to, on the basis of a comprehensive assessment, weighting concern for the return on the Fund against concern for broad-based confidence in the fund structure, that the limit on ownership stakes for the Government Pension Fund – Global be increased from 5 pct. to 10 pct. The Ministry would like to emphasise, at the same time, that this does not affect the role of the Fund as a financial investor.
One would like to point out that this limit on ownership stakes applies to listed equities held by the Pension Fund – Global. Other rules would have to be stipulated for any investments in unlisted real estate companies and other unlisted equities.
4 Ethics and exercise of ownership rights
4.1 Introduction
It is an overarching objective for the management of the Government Pension Fund to achieve a high return on the Fund’s investments over time. The capital of the Government Pension Fund – Global originates from the oil and gas revenues of the State. It would not be fair if the wealth from the oil and gas reserves only were to benefit those few generations that happen to experience the extraction thereof. The wealth needs to be safeguarded for posterity. This is an ethical obligation in itself. As an investor we share, at the same time, ethical responsibility for how the companies in which the Fund invests are conducting themselves, for what they are producing and for how they are treating their environment. The managers of the Pension Fund can exercise, through their active ownership effort, influence over companies on matters relating to good corporate management, as well as in relation to social and environmental issues. The production or activities of a company will in some cases be of such a grossly unethical nature that the Fund cannot run the risk of contributing thereto through its investments. The Ministry of Finance will in such cases determine that the Fund should divest its holdings in the relevant company.
Both the Government Pension Fund – Global and the Government Pension Fund – Norway are governed by ethical guidelines. The Ministry of Finance laid down ethical guidelines for the Global part of the Pension Fund on 19 November 2004, based on the report and proposal of the Government-appointed Graver Committee (NOU 2003:22 Green Paper). The same year, the Executive Board of Folketrygdfondet introduced ethical guidelines for the management of the Government Pension Fund – Norway. The guidelines for the two parts of the Government Pension Fund may to a large extent be characterised as founded on a joint ethical platform. At the same time, the tools deployed are somewhat different in view of differences in terms of, inter alia , the sizes and investment strategies of the funds.
The Government Pension Fund – Global is in its entirety invested in securities abroad. The investment strategy of the Fund is reflected in a benchmark portfolio comprising broad equity and bond indices. As per yearend 2007, the Fund held equity investments in more than 7,000 companies. Norges Bank’s average ownership stake in these companies is about 0.8 pct. The tools used in the integration of ethical concerns are adapted to this strategy. The ethical guidelines of the Government Pension Fund – Global prescribe active ownership and the exclusion of companies as tools to promote the financial interests and the ethical commitments of the Fund, cf. the more detailed discussion under Section 4.2.
The Government Pension Fund – Norway is primarily invested domestically. The benchmark index for the equity investments of the Fund comprises the main index of the Oslo Stock Exchange and the Nordic equity index VINX Benchmark. As per yearend 2007, the Fund held ownership stakes in a total of 48 companies listed on the Oslo Stock Exchange and 124 companies in Denmark, Finland and Sweden. Folketrygdfondet’s average ownership stake in Norwegian companies is about 5 pct. Its average ownership stake in other Nordic companies is about 0.2 pct.
In its management of the Government Pension Fund – Norway, Folketrygdfondet emphasises positive selection of the companies in which its capital is to be invested, and thereafter the exercise of ownership rights in the same companies. This has to do with the fact that the investment universe is well-defined and comprised of a relatively limited number of companies.
Exercise of ownership rights
The basic principles governing their active ownership efforts are the same for the Government Pension Fund – Global and the Government Pension Fund – Norway; see the more detailed discussion in Box 4.1. Norges Bank and Folketrygdfondet have formulated their own principles for the exercise of ownership rights, which are founded on these basic principles. The corporate governance efforts of Norges Bank and Folketrygdfondet are discussed in more detail in Section 4.2.
Textbox 4.1 Basic principles for the exercise of ownership rights
The principles governing the exercise of the ownership rights of the Government Pension Fund are based on the UN Global Compact, the OECD Principles of Corporate Governance and the OECD Guidelines for Multinational Enterprises. Norges Bank and Folketrygdfondet have, on the basis of these principles, defined their own principles governing the exercise of the ownership rights of the Government Pension Fund – Global and the Government Pension Fund – Norway, respectively. The Bank and Folketrygdfondet present and discuss these principles in their respective annual reports.
The UN Global Compact
The UN Global Compact defines ten universal principles derived from the Universal Declaration of Human Rights, the ILO’s Declaration on Fundamental Principles and Rights at Work and the Rio Declaration on Environment and Development. The principles are general in nature and say, inter alia , that businesses should respect human rights and make sure that they are not complicit in human rights abuses, uphold the freedom of association and collective bargaining, as well as eliminate all forms of forced and compulsory labour, child labour and discrimination in respect of employment and occupation, support a precautionary approach to environmental challenges, as well as promote greater environmental responsibility and the development and diffusion of environmentally friendly technologies, work against all forms of corruption, including extortion and bribery.
3,700 companies and organisations in more than 120 countries have joined the UN Global Compact. The members are encouraged to report annually on their own compliance with the principles.
OECD Principles of Corporate Governance
These are very extensive principles that mainly address the basis for an effective corporate governance framework, the rights of shareholders and key ownership functions, the equitable treatment of shareholders, transparency and disclosure, and the responsibilities and liabilities of boards of directors.
OECD Guidelines for Multinational Enterprises
The guidelines are voluntary principles and standards for responsible business practises in many different areas in accordance with laws applicable to multinational companies. The guidelines represent the only multilaterally recognised and detailed regulatory framework that governments are obliged to promote. They contain recommendations on, inter alia , public disclosure of company information, working environment and employee rights, environmental protection, combating bribery, consumer interests, the use of science and technology, competition, as well as tax liability.
Exclusion of companies
Companies shall be excluded from the investment universe of the Government Pension Fund – Global, pursuant to the ethical guidelines for the Fund, if they are involved in production or undertakings that imply an unacceptably high risk that the Fund contributes to grossly unethical activities. The Ministry of Finance has since 2002 excluded 27 companies from the Government Pension Fund – Global pursuant to the criteria stipulated in the ethical guidelines, based on recommendations from the Council on Ethics. The mechanism for exclusion of companies is discussed in more detail in Box 4.4 below.
Issues relating to investments in Burma (Myanmar)
In the spring of 2007, the Government decided, against the background of measures adopted by the EU and other countries against Burma, to amend the guidelines for the investments of the Fund in such a way as to explicitly bar Norges Bank from investing the Pension Fund’s capital in bonds issued by the state of Burma. This decision supplements the mechanism for the exclusion of equities and bonds issued by specific companies. In November 2007, Norway joined expanded international measures affecting, inter alia , certain types of investments in Burma. These include a prohibition against the funding of, or new acquisitions or expansions of, capital interests in listed Burmese state-owned enterprises. Furthermore, the measures include a prohibition against the funding of, or investments or participation in, listed Burmese enterprises that are engaged in the extraction of timber, metals, minerals and gemstones. The prohibitions affect in excess of 1,200 enterprises. The Government Pension Fund – Global does not have, nor shall it have in future, any holdings in any of these companies.
The Council on Ethics and Norges Bank have, in view of the deteriorating situation in Burma in the autumn of 2007, placed a special focus on companies engaged in activities there. The Ministry of Finance received a letter from the Council on Ethics on 11 October 2007, in which the Council explains its assessment of the risk that the Fund may contribute to gross or systematic violations of human rights through investments in companies engaged in activities in Burma. The Council on Ethics has announced possible recommendations for the exclusion of companies that form contracts for the construction of major infrastructure projects in the country. There is every reason to believe that such construction projects will entail an unacceptable risk of future contribution to human rights violations. In 2007, Norges Bank contacted 10 companies in the portfolio of the Fund to query their activities in the country. These are companies that may run a risk of contributing to human rights violations or expose themselves to other types of risk. Norges Bank is aiming for a dialogue with these companies to ensure that it has the best available information on the situation.
The Government intends for the Fund to refrain from investing in companies that sell weapons and weapons technology to regimes that are included in the list of countries in whose government bonds the Government Pension Fund – Global is excluded from investing. This means that the Fund shall refrain from investing in companies that sell weapons to the Burmese regime. A preliminary review indicates that there are currently no such companies in the portfolio of the Fund. The Council on Ethics for the Fund will monitor the companies in the portfolio with a view to establishing whether the Fund may in future run the risk of holding such investments and, if applicable, render a recommendation to the Ministry of Finance for the exclusion of the relevant companies.
4.2 Efforts relating to ethical guidelines
4.2.1 Norges Bank’s efforts relating to the exercise of ownership rights
Norges Bank has adopted, in line with the ethical guidelines for the Government Pension Fund – Global, its own guidelines for the exercise of ownership rights. These guidelines are based on the premise that the companies in which the Fund is invested shall conduct themselves in conformity with the UN Global Compact and the OECD principles for corporate governance and for multi-national companies, cf. Box 4.1. The guidelines imply that a number of requirements are imposed in relation to the companies in which the Fund is invested, as far as responsible business conduct and transparency are concerned. Furthermore, the principles imply that there are requirements as to the companies’ form and structure of governance, as well as to their long-term sustainability, inasmuch as the companies need to take into account effects of their own activities on the environment and on society in general.
Norges Bank has committed considerable resources to establishing robust and targeted corporate governance activities Ten person-years were devoted to the exercise of ownership rights as per yearend 2007, as compared to six person-years in 2006. The Bank’s objective for the coming three-year period is to become acknowledged as one of the world’s most prominent and professional active owners.
Norges Bank has deemed it necessary to prioritise certain selected areas of commitment where there is a close correlation between ethics and long-term financial returns. These areas of commitment are deemed to be of relevance to investors in general, and to the Fund’s portfolio in particular. The areas of commitment are also well suited for dialogue with companies and regulatory bodies, which improves the prospects for achieving results in individual cases.
Efforts within selected areas of commitment
Key areas of commitment in the exercise of ownership rights are:
good corporate management, with a main emphasis on owners’ rights to nominate and appoint directors, to exercise their voting rights, to trade in their equities and to exercise influence over anti-takeover mechanisms, and to receive transparent and timely information;
children’s rights and health, hereunder the battle against child labour, with a main emphasis on the value chains of multi-national companies; and
corporate lobbying in relation to long-term environmental problems, hereunder climate changes.
Corporate management
Good corporate management is a key prerequisite of all active ownership activities. Norges Bank attaches considerable importance to safeguarding the rights of shareholders and their scope for exercising ownership rights, which are of fundamental importance to achieving real influence over, and dialogue with, the companies. The ownership rights are also a prerequisite for efforts relating to social and environmental issues, and can therefore not be considered separately from efforts relating to ethical issues (broadly defined).
Cross-border voting can be resource-intensive and costly, and in many cases difficult to implement. The Bank has in 2007 continued a voting research project that was initiated in 2006, in cooperation with the Tuck School of Business at Dartmouth College in the US. The project involves surveying players, market practises and regulations of relevance to voting in the most important markets in which the Fund is invested. The purpose of this survey is to identify better methods and practises for effective voting internationally.
The most important corporate management issue in the US last year concerned the ability of shareholders to nominate their own candidates for directorships. Norges Bank has, together with other large European investors, pursued a dialogue, through meetings and letter, with the Chairman and members of the U.S. Securities and Exchange Commission (“SEC”), concerning the importance of establishing regulations that ensure the shareholders real influence over the appointment of directors of US companies. The Bank deems progress thus far to be inadequate, and will continue to follow up on this issue in 2008.
Norges Bank will in most cases take a negative view of explicit or implicit poison pills introduced by companies. Norges Bank considers a minimum requirement to be that arrangements to protect against takeovers are approved by the shareholders.
Norges Bank aims to ensure that companies provide their shareholders with sufficient information to clearly communicate what strategies companies are pursuing and what consequences these may be expected to have. Companies should be required to provide relevant information as to how their activities affect social and environmental conditions, and the consequences thereof for the company. In addition, shareholders should be able to communicate directly with directors, since they are the shareholders’ company representatives. In 2007, Norges Bank supported more than 60 shareholder proposals in matters relating to transparent and timely information. The Bank will, as a main rule, vote against proposals submitted by a company if the information provided by the company is obviously insufficient, thus implying that one does not have sufficient information to properly evaluate the proposal.
Norges Bank voted against the proposals recommended by management in 25 pct. of the cases relating to remuneration. The Bank did not support the approval of remuneration plans that were not linked to actual performance, that permitted the repricing of options, that resulted in a relatively high degree of dilution of the ownership stakes of existing owners, and that were allotted at a price much lower than the market price, or that involved exaggerated pension schemes, as well as pension bonuses for Directors and auditors. Norges Bank also voted against a number of remuneration plans as the result of inadequate information.
Child labour
The battle to safeguard the rights and health of children is of relevance to the financial return of an investor with a long time horizon. This issue is also closely related to the international standards on which the corporate governance efforts of the Fund are based. The battle to safeguard the rights and health of children is in itself a moral imperative. In many countries national legislation, and compliance therewith, is inadequate when it comes to child labour and protection of the rights of children, which makes the measures adopted by companies in this respect especially important. The rights and health of children is an issue that has not received much investor attention in the past. The reputational and economic risks of failing to safeguard the rights and health of children can, at the same time, be considerable.
Norges Bank has placed a particular focus on developing the skills, knowledge and methods required to achieve real influence, as well as on communicating the Bank’s expectations and requirements to individual companies concerning the rights and health of children. An important aspect of the effort is analyses of markets and companies. Thus far, more than 200 companies in the Fund’s portfolio have been analysed, with a main emphasis on multinational companies engaged in activities in selected countries in Asia, Latin America and Africa.
Norges Bank had as per yearend 2007 established or continued contact with about 60 companies on issues relating to social matters, with a focus on child labour and the rights of children. The companies that form the target group for the Bank’s efforts within this area are companies within so-called risk sectors in countries where child labour is common. In 2007, Norges Bank has embarked on more comprehensive processes with companies that are leading within the sectors of agriculture and metals, and that are facing significant challenges when it comes to avoiding contributions to gross and dangerous child labour and violations of the rights of children. The dialogue with a total of eight companies within these two sectors will continue in 2008.
The Bank has prepared a document titled “NBIM Investor Expectations on Children’s Rights”, in order to highlight Norges Banks expectations to companies in this area. The document is based on the UN Convention on the Rights of the Child, as well as the ILO conventions on child labour. The expectations are also in conformity with the OECD guidelines for multinational enterprises and the UN Global Compact, which form part of the foundation for the active ownership strategy of the Government Pension Fund.
Norges Bank has thus far identified two needs as being particularly important in relation to the monitoring of child labour and the rights of children: 1) cooperation between companies within the same sector and region concerning codes of conduct, monitoring and auditing, and 2) quality assurance in respect of external monitoring and auditing. This requires more follow-up on the part of both individual companies and all companies in cooperation.
Textbox 4.2 Focus on the rights of children and on the environment in the active ownership efforts of the Government Pension Fund – Global
One of the objectives of Norges Bank in its active ownership effort in relation to the Government Pension Fund – Global has been to influence companies to safeguard the rights and health of children in their value chains, and to ensure that companies in their lobbying of government authorities support effective legislation aimed at reducing the risk of serious negative economic repercussions of climate change.
The rights and health of children
In 2006, Norges Bank invited a number of Norwegian organisations and individuals with expertise in relation to the rights of children and child labour to provide feedback on the Bank’s efforts within this area. This group includes, inter alia , representatives of UNICEF, Save the Children and Childwatch. In 2007, the group has provided input concerning issues, individual cases and prioritisations on the part of Norges Bank in relation to the safeguarding of the rights and health of children. The group participants have also submitted comments on a document titled NBIM Investor Expectations on Children’s Rights, which the Bank has prepared in order to make it clear to companies what expectations it, as an investor, has within this area. The document is aimed, in particular, at companies that operate in areas, or within sectors, where the risk of violating the rights of children is high.
Norges Bank also aims for other professional investors to become involved in efforts relating to child labour and the rights of children. The Bank uses, inter alia , the platform provided by the UN Principles for Responsible Investment (UN-PRI) to encourage other investors to make use of the NBIM Expectations on Children’s Rights in their dialogues with companies. In 2007, the Bank has participated, through the same platform, in the so-called Iron and Steel Initiative. The Initiative coordinates communication with companies, whereby companies are asked about their knowledge of, and measures to combat, slave labour, including possibly child labour, within the Latin American coal industry. The dialogue with the companies is being continued in 2008.
Norges Bank will in its dialogue with multinational companies emphasise improvements to guidelines, control systems and public reporting in relation to child labour. It is also emphasised that multinational companies must influence their national cooperation partners and local authorities.
Norges Bank seeks to contribute to more uniform guidelines and, in the longer run, a more coordinated control system for companies within the same sector, for example the agricultural sector. This will strengthen the battle against child labour, and enhance the prospects for market practises that will also apply to the national companies within this industry.
In 2007, Norges Bank focused on selected companies in Latin America that operate within the mining sector. This sector features some of the worst forms of child labour. The Bank visited five companies in October 2007, initiating a dialogue with key persons within the companies, and in several cases also with the Chief Executive Officer or representatives for the Board of Directors. As per yearend, one of the five companies had decided to join the UN Global Compact, and another one is actively contemplating such a step. All five companies will be followed up on in 2008 with, inter alia , requirements as to their financial reporting and auditing.
One multinational company, which is amongst the largest in the world within its sector, and which has not previously reported on the risk of child labour, now reports on what measures the company has implemented to uncover and prevent child labour on the part of its suppliers. The company indicates that the dialogue with Norges Bank has been important for the prioritisation of this issue within the company.
The environment
Maybe the most important contribution companies can make to the prevention of dramatic environmental changes globally is to contribute to – or at least refrain from opposing – necessary political measures. Large companies play key roles in the formulation of environmental policy in a number of countries, through their lobbying. Norges Bank has, against this background, initiated a dialogue with selected companies in the portfolio that operate within relevant sectors, hereunder some of the companies that have the highest greenhouse gas emissions in the world. The Bank is surveying how these companies seek, through their contact with government authorities, to influence future climate legislation.
It is of importance to a long-term investor whether companies work with or against government authorities when it comes to establishing binding climate legislation that results in significant reductions in greenhouse gas emissions. Norges Bank will therefore promote, amongst relevant companies in the portfolio, with a main emphasis on the energy sectors and on energy-intensive sectors, the formation of strategies that support sustainable economic and ecologic development.
In 2007, a number of companies in Norges Bank’s portfolio have changed their public attitude to climate regulations. Many of them have made changes to the way in which they communicate with national authorities, and changed the manner in which they facilitate new technology. Norges Bank considers itself to be one of several contributions to this process. It will be of decisive importance to the formulation of future climate measures what positions the companies take on the climate proposals that will be deliberated in individual countries, as well as on the international processes that will, inter alia , lead up to the international climate change conference in Copenhagen in 2009.
In 2007, Norges Bank visited the Chairman of the Board of a large electricity producer to discuss, inter alia , the development of climate-related legislation. The Chairman, who is also the Group Chief Executive Officer and in active contact with legislators, subsequently visited Oslo at his own initiative to continue the discussion with Norges Bank management. The dialogue is continuing in 2008. This is 1 of 16 ongoing dialogues pertaining to climate-related legislation.
It is probably difficult to measure performance within this area of commitment. The effort is partly about enhancing awareness, and partly about long-term strategy on the part of the various companies. When outcomes are realised it will therefore not always be clear which are direct results of the efforts of Norges Bank. However, this does not mean that this area is of less importance than the other areas on which the Bank maintains a particular focus. In 2008, the Bank will continue the dialogue discussed herein. Potentially decisive debates concerning major climate measures will be conducted in 2008 and into 2009, particularly in the US, but also in a number of other jurisdictions. The companies with which Norges Bank has initiated a dialogue are amongst the main contributors to these debates. The Bank plans to pursue the dialogue with the companies both alone and in consultation with other investors.
The environment
In line with the ethical guidelines for the Government Pension Fund, it is natural to consider the economic impact of environmental sustainability for a long-term global investor, not least in view of the threat posed by climate changes. There is an increasing degree of scientific consensus to the effect that the costs associated with taking effective measures against global warming will be outweighed by the detrimental effect on global economic growth from continuing without other measures than those currently deployed National and international regimes for curtailing greenhouse gas emissions, like pricing or quota mechanisms and technology development, are necessary instruments for reducing or removing such threat. Norges Bank has chosen, for purposes of contributing to this process, to focus on company lobbying of government authorities as far as long-term climate changes are concerned. This approach may also be of relevance to other environmental issues.
In 2007, Norges Bank has followed the international climate change debate, including the discussion on post-Kyoto regulation, the legislation process in the US, the evolvement of the climate quota system within the EU, as well as recent research. The Bank has in that context held meetings with researchers within the area.
Last year, Norges Bank analysed more than 100 companies in the Fund’s portfolio to seek to identify the companies that are the most active when it comes to contact with government authorities on climate issues. The Bank has approached 20 companies, and held meetings with 15 of these. All these companies are engaged in activities within the sectors of oil, coal, gas, electricity and transport, and make significant contributions to the emission of greenhouse gases. In the dialogue with the companies emphasises technology development and adaptation to new emission and tax rules, in addition to company positioning when it comes to contact with government authorities.
Norges Bank seeks to concentrate resource deployment in a manner than results in a reduction in the overall level of emissions, which requires legislation and international agreements. There is reason to assume that the necessary technological developments will be closely related to legislation that contributes to making such technologies profitable.
Norges Bank’s further dialogue with companies on environmental matters is based on the premise that there will be continued international developments to bring about comprehensive climate solutions over the period 2008 – 2010 as well. In such a process it is important for Norges Bank, as an investor with long-term financial interests and a global investment portfolio, to present companies with financial arguments that support sustainable solutions.
The Ministry is supportive of Norges Bank’s ownership strategy, and it believes that the rights of children and the protection of the environment are amongst the important, fundamental ethical norms that the corporate governance practises should contribute to safeguarding. The objective in both areas is to ensure that the investor supplements and complements, in the best possible manner, the efforts that are, in any case, the responsibility of national and international authorities. According to the view of the Ministry, it is important for the companies in which the Fund is invested to be appraised of the Fund’s interest in ensuring that climate risk is reduced through measures that are as effective and universally applied as possible, and in ensuring the companies’ lobbying activities do not conflict with such interest.
Tools for the exercise of ownership rights
Voting
Voting rights are a key tool in the exercise of ownership rights. Norges Bank exercises the voting rights associated with a large portion of the equity portfolio, thereby seeking to attend to key concerns within the areas of corporate management, social matters and the environment.
In 2007, Norges Bank voted on a total of 38,862 matters, in a total of 4,202 shareholders’ meetings, which represented 89 pct. of the meetings held by companies included in the Fund’s portfolio. In accordance with the active ownership principles, the Bank has supported matters that promote the following attitudes:
that the company has a clearly defined business strategy, vested in its board of directors;
that the company discloses sufficient information respecting its economic and financial position, and other relevant circumstances;
that internal management and control systems that are tailored to the business have been established;
that the board of directors of the company attends to the interests of all shareholders;
that the board of directors comprises a sufficient number of directors holding relevant and sufficient qualifications, the majority of whom are independent;
that the board of directors shall be accountable for its decisions; and
that the company reports transparently about attitudes and actions in relation to the observance of human rights and the company’s impact on the environment and local societies.
Shareholder proposals accounted for 2 pct. of the cases in respect of which Norges Bank cast votes in 2007. The support for shareholder proposals has increased over the last few years. This is particularly the case as far as proposals to hold company boards of directors accountable are concerned. However, support for shareholder proposals has also increased within areas like social and environmental issues. There is, in addition to reporting requirements, an increase in the number of shareholder proposals that require companies to introduce guidelines for social responsibility and sustainability. A shareholder proposal will normally be submitted by investors who do not have opportunities or resources for engaging in a dialogue with corporate management, or because they wish to highlight specific cases.
Norges Bank has published its company voting record for 2007, and will continue to disclose its voting record on individual cases on an annual basis. More detailed voting information is published on the Norges Bank website. The Ministry is supportive of this degree of openness concerning voting behaviour, which must be characterised as high compared to that of many other large funds.
Dialogue with companies
Norges Bank has, during the course of 2007, initiated or continued contact with about 95 companies in the Fund’s portfolio, as part of its active ownership effort. Such contact has primarily been concerned with issues relating to the Bank’s areas of commitment and voting follow-up. A direct dialogue has been pursued with about 30 companies in the form of meetings with company directors, or with representatives appointed by them. In those cases where Norges Bank identifies a company that it wishes to influence, it prepares a plan of action that defines, inter alia , the purpose of the dialogue, the timetable, the resource commitment, etc. The exercise of ownership rights and the influencing of individual companies can often be time-consuming processes, which may in certain cases last for several years.
Cooperation with other investors
Norges Bank participates in formal and informal networks with other investors for purposes of ensuring that its ownership interests carry more weight, and to contribute to enhanced appreciation of the attitudes of Norges Bank on the part of co-investors. Investor networks are important arenas for exchanging views, disseminating knowledge and formulating representative views for presentation to regulatory authorities and amongst companies.
Norges Bank has contributed to the development of the UN-initiated “The Principles for Responsible Investment”. These are principles which are all based on the premise that environmental and social conditions, as well as corporate management systems, may influence investment returns. The principles were launched in 2006, and enjoy broad support amongst investors worldwide. The Bank has presented and discussed the principles in a number of meetings with other large investors, and premises its corporate governance efforts and interaction with other investors thereon.
Norges Bank is a member of the International Corporate Governance Network (ICGN), a worldwide network for investors, and a service provider within the areas of corporate governance and corporate management. The network discusses, inter alia , key issues within owner involvement and corporate management through, inter alia , holding global and regional meetings and organising professional activities under various committees. The ICGN efforts is aimed at national and supranational authorities and other key market players.
In 2007, the Bank was also involved in more informal network building amongst large global investors. Norges Bank has submitted, together with the large Dutch pension funds ABP and PGGM and the British fund Hermés, joint statements to the U.S. Securities and Exchange Commission (“SEC”) respecting the scope of investors for influencing the appointment and replacement of directors of US enterprises.
The international Extractive Industries Transparency Initiative (“EITI”) aims to combat corruption and contribute to enhanced transparency in countries with major natural resources. Norges Bank supports the Investors" Statement on Transparency in the Extractives Sector, which emphasises that it is the interest of managers to conduct operations within a commercial environment characterised by stability, openness and fundamental respect for laws and regulations. Norges Bank also supports the Carbon Disclosure Project (“CDP”). The CDP is a non-profit organisation that seeks to gather and publish information on corporate emissions of greenhouse gases, as well as other information relating to corporate handling of greenhouse gas challenges. The project provides investors with quality information concerning the emission and handling of greenhouse gases, and Norges Bank’s participation in the project is a contribution to the effort to ensure more transparency and momentum in the effort to reduce greenhouse gas emissions.
External communication
Norges Bank participates actively in the public and academic debates on active ownership, with a main emphasis on good corporate management and key social and environmental standards. The Bank has held meetings with a number of special interest organisations and voluntary organisations in 2007. Furthermore, the Bank has held meetings with a group of specialists on the rights of children and child labour, and has also established cooperation with UNICEF, the UN Global Compact and other FN bodies to ensure good follow-up of, and good networks in relation to, the Bank’s ownership initiatives.
4.2.2 The efforts relating to the exercise of ownership rights on the part of Folketrygdfondet
The Executive Board of Folketrygdfondet has laid down guidelines for the exercise of ownership rights on the part of the Government Pension Fund – Norway. The guidelines are based on the Norwegian Code of Practice for Corporate Governance and the UN Global Compact, as well as the OECD principles for corporate governance and for multi-national companies; see Box 4.1 for a more detailed discussion.
The overarching objective of the ownership effort of Folketrygdfondet is to safeguard the financial interests of the Fund. To ensure that the Fund’s portfolio will contribute, to the maximum possible extent, to promoting long-term growth, Folketrygdfondet has defined ethical principles for its investment activities, which form an integrated part of the corporate governance guidelines.
Key corporate governance themes
Good corporate governance and corporate management shall promote the rights of owners and other stakeholders as against the companies, as well as ensure that the management mechanisms of the companies work appropriately. Important principles underpinning Folketrygdfondet’s corporate governance effort are:
Ensuring the establishment of clear ethical principles and ethical guidelines;
Ensuring the equal treatment of the shareholders;
Safeguarding the rights of shareholders and their scope for promoting corporate governance;
Ensuring that the appointment of directors is well prepared, related to defined competency requirements and vested in the shareholders; and
Ensuring the establishment of remuneration models that are goal-oriented and prudent, and which do not impair shareholder value.
In following up the ethical principles, Folketrygdfondet attaches particular weight to examining whether the company does itself, or through entities controlled by it, produce weapons that violate fundamental humanitarian principles in their normal use. It also examines whether the company bases its business on actions or omissions that involve the violation of human rights, child labour, environmental damage, corruption and other violations of fundamental ethical norms. During such examinations Folketrygdfondet looks at, inter alia ,:
what products are manufactured;
what production methods are used;
where the production takes place and the company’s customer relations;
the company’s corporate culture and management culture;
the company’s ownership structure; and
the company’s ownership interests.
In December 2007, the Executive Board of Folketrygdfondet adopted new ethical principles for the management of the Government Pension Fund – Norway, which are based on the ethical principles that were stipulated in 2004, cf. Box 4.3.
Textbox 4.3 Ethical principles underpinning the investment activities of the Government Pension Fund – Norway
Folketrygdfondet shall not make investments entailing an unacceptable risk that the Government Pension Fund contributes to unethical actions or omissions. Such contributions would impair sustainable development and long-term value creation, and might thereby reduce the returns achieved by Folketrygdfondet over time.
Folketrygdfondet is a selective investor, seeking to invest in companies with high quality operations and management. This also includes high quality in terms of companies’ ethical attitudes and behaviour.
Folketrygdfondet expects the businesses in which it invests to comply with applicable laws and regulations.
Folketrygdfondet expects the companies to observe internationally recognised conventions, like the UN Global Compact and the OECD Guidelines for Multinational Companies.
Folketrygdfondet evaluates businesses’ management and practises in relation to human rights, child labour, corruption and the environment. These matters are evaluated in view of the products manufactured, actual production process, location of production, customer relations, corporate culture/management culture, company ownership structure and ownership interests. Folketrygdfondet examines, inter alia , whether companies produce, themselves or through entities controlled by them, weapons that violate fundamental humanitarian principles in their normal use.
Folketrygdfondet makes evaluations on the basis of information available to the general public and information disclosed by the companies themselves. The evaluations attach weight to the attitude of management, and to the company’s awareness and control of the abovementioned issues.
As far as investments in Norwegian equities are concerned, Folketrygdfondet makes use of positive selection and corporate governance efforts to contribute to adequate quality of the ethical attitudes and behaviour of the companies in which it has invested. Folketrygdfondet may divest its holdings in the company if necessary changes are not implemented.
Folketrygdfondet monitors all fixed-income investments. Companies that violate the ethical principles of Folketrygdfondet are excluded from the investment universe unless the violations are remedied.
As far as investments in Nordic equities or fixed-income securities issued by Nordic companies are concerned, Folketrygdfondet takes into account the decisions made by the Ministry of Finance on the basis of the recommendations rendered by the Council on Ethics for the Government Pension Fund – Global. Folketrygdfondet will therefore refrain from investing in companies that the Ministry of Finance has decided to exclude from investment.
Folketrygdfondet shall publish, on an annual basis, the outcome of its efforts relating to ethically sound investments. The reporting shall be done with due care and discretion, and no company-sensitive information shall be published.
The assessments made by Folketrygdfondet are based on information available in the public domain, and on information disclosed by the company itself. Through its corporate governance efforts, Folketrygdfondet aims to increase the companies’ awareness of these themes.
In order to safeguard shareholder value, Folketrygdfondet deems it important to follow up on the managerial salary policies of the companies. This involves, inter alia , evaluating whether managerial salary schemes are structured in such a manner as to actually contribute to more effective and performance-oriented corporate management. Folketrygdfondet also examines any option schemes, and what these imply in terms of value transfer from the shareholders to companies’ management teams.
Folketrygdfondet may be represented on the boards of representatives, corporate assemblies and appointment committees of companies, but is not represented on their boards of directors. Folketrygdfondet seeks to utilise its voting rights in the shareholders’ meetings of the companies, and it may appoint proxies in those cases where it is unable to participate directly.
If there arises a situation to suggest that the conduct of a company in which Folketrygdfondet is invested may be put into question, the issue shall be raised with the company. If appropriate, Folketrygdfondet will also cooperate with other investors to attend to its shareholder interests and ensure that its views prevail, with the company being influenced to rectify any unacceptable practises. Folketrygdfondet may also dispose of its holdings in the company if the necessary changes are not made. 42
The guidelines imply that Folketrygdfondet shall evaluate, on an ongoing basis, the companies included in the Fund’s portfolio, as well as relevant issues that are to be evaluated on the basis of the established active ownership principles.
Folketrygdfondet will report annually on its exercise of ownership rights. The report will detail the activities carried out by Folketrygdfondet for purposes of attending to its ownership interests, and will, inter alia , address the following:
Special matters deliberated in the shareholders’ meetings;
Relevant matters raised by Folketrygdfondet with the companies; and
The number and type of offices held by employees of Folketrygdfondet.
Information gathering and company dialogue
In order to ensure the most objective and precise assessment attainable as to the ethical attitudes and actions of the companies, Folketrygdfondet has adopted a methodology based on a combination of open sources like annual reports, information in the media and on the Internet, and information gathered directly from the companies through a survey of all the Norwegian companies in which the Fund holds ownership interests.
The first phase of the assessments reviews companies’ own reporting in the form of annual reports, sustainability reports, Internet searches, etc. Folketrygdfondet tailors, on the basis of such information, its standardised questionnaire to each company, before the questionnaire is sent to the company for completion. This questionnaire addresses matters pertaining to the company’s general principles and guidelines on ethical issues, its distribution of responsibility, its communication and organisation of its ethics effort, as well as senior management’s attitudes concerning the environment, human rights, corruption and unethical conduct. Good corporate management is deemed to be premised on interplay between attitudes, principles and guidelines, within a framework defined by a clear distribution of responsibility and control systems. Consequently, Folketrygdfondet attaches particular weight to these three main aspects when contacting the companies.
In the autumn of 2006, Folketrygdfondet distributed a questionnaire to 41 Norwegian companies in which the Fund holds ownership interests. Folketrygdfondet received responses from 32 of the companies. The findings are discussed in Folketrygdfondet’s Ownership Report for 2007.
The survey and the assessments of Folketrygdfondet as to the ethical aspects of corporate management and practise give a generally favourable impression of the attention levels, standards and practises on the part of the companies that responded to the questionnaire. A significant part of the variation in companies’ replies to the various questions can be attributed to the nature and size of such companies and the challenges facing them. For example, companies within the energy sector with extensive global activities have more well-developed standards and practises when it comes to corruption, human rights and child labour than do service-providing companies within the technology sector.
Folketrygdfondet will follow up on companies’ further efforts and developments relating to the integration and handling of environmental and social matters, and will initiate additional discussions should the need arise. Folketrygdfondet will now continue to seek a dialogue with the companies that failed to respond to the questionnaire in 2006. It wishes to thereby keep companies’ efforts in relation to ethical issues in focus, thus contributing to enhanced awareness within that area.
4.2.3 Exclusion of companies through
Companies may be excluded from the Fund pursuant to the ethical guidelines for the Government Pension Fund – Global through:
negative screening to identify companies producing weapons that violate fundamental humanitarian principles in their normal use; and
ad hoc exclusion of companies if an investment entails an unacceptable risk of contributing to actions or omissions that must be deemed grossly unethical.
The Council on Ethics for the Government Pension Fund – Global renders recommendations on screening and exclusion, but the decision as to whether a company shall be excluded lies with the Ministry of Finance. The Ministry of Finance bases its decision on, inter alia , the Council’s assessment, but will normally also attach weight to Norges Bank’s views as to whether the Bank may, through its corporate governance effort, reduce the risk of grossly unethical conduct.
The Council on Ethics deliberates matters of its own accord or at the behest of the Ministry of Finance. When the Ministry of Finance requests the assessment of a specific case, the Council will always render a recommendation for or against the exclusion of the company. Cases assessed at the Council’s own accord will as a main rule only result in a recommendation to the Ministry of Finance if the Council finds that there are grounds for recommending that the company be excluded from the Fund.
The Council on Ethics has five members and maintains its own six-person secretariat. The secretariat conducts surveillance of companies and prepares matters for the Council.
Negative screening
The Revised National Budget for 2004 lists what types of weapons the Fund shall not contribute to the production of. These include weapons that are prohibited pursuant to international law, as well as cluster munitions and nuclear arms. The Council on Ethics has formed agreements with two information providers that monitor, on an ongoing basis, whether companies in the Fund’s portfolio produce such weapons. In addition, the Council carries out its own searches in open sources and in databases like Jane’s Information Group (one of the world’s largest information sources on defence materials). When the Council deems it likely that a company produces weapons that would merit filtration, the company is approached and asked to comment on the Council’s assessment. If the company confirms the information invoked by the Council, the Council will render an exclusion recommendation. Companies that to not reply when approached are recommended for exclusion if the documentation in the possession of the Council shows that there is a high probability that the company produces weapons that violate the filtration criteria.
This procedure offers a reasonable degree of assurance that companies producing weapons that violate the filtration criteria will be excluded from the Fund. Nevertheless, it cannot be guaranteed that all companies will at all times be correctly filtered through the Council’s monitoring system.
Ad hoc exclusion
Whilst filtration relates to the products of the companies, exclusion relates to the production methods and conduct of the companies. There exists no single overview of companies’ complicity in human rights violations, environmental damage, corruption or other infringements of ethical norms. Nor do companies themselves disclose such information. The Council therefore conducts its own investigations to identify companies that may be in violation of norms.
The Council also has an agreement with an information provider for the monitoring of all companies in the Fund’s portfolio for purposes of uncovering possible violations of norms. The information provider conducts daily searches of a number of information sources, and provides the Council with a monthly summary of cases that may be of relevance under the Fund’s ethical guidelines. Matters are also brought to the attention of the Council through requests from national and international voluntary organisations, or through research reports, media coverage or its own Internet searches. Nevertheless, it is likely not possible to expect to be able to identify all companies at all times that are complicit in serious violations of norms worldwide.
In its selection of cases, the Council on Ethics will, inter alia , attach weight to how serious the violations of norms are, whether a company is accused of several counts of unethical conduct, whether it is likely that such conduct will continue, and the scope for documenting the conduct of which the company is accused. The intention is to identify companies where there is an unacceptable risk that violations of the ethical guidelines are taking place and are expected to continue.
Many cases deliberated by the Council on Ethics will be closed already after preliminary investigations. Companies that are subjected to a full evaluation the first time round may nevertheless be subjected to renewed evaluation later, if one becomes aware of additional circumstances at a later date. The Council prioritises those cases that are the most likely to result in an exclusion recommendation.
There is often a need for supplementary information to shed light on cases beyond what is available from public access sources. In this work, the Council on Ethics makes use of consultancy firms, research institutions and voluntary organisations, and these are often based in the country where the company in question is accused of the violations of norms. This may involve fieldwork and assessments of companies’ documentation. The Council attaches considerable weight to ensuring quality and confidentiality in this work.
A company that the Council on Ethics considers for exclusion will, in accordance with the guidelines, be requested to comment on the grounds on which the exclusion recommendation is based. The companies may also be invited to reply to specific questions. The Council on Ethics emphasises detailed description of the grounds underpinning the exclusion recommendation, and the provision of thorough documentation. Any allegations made are supported by specific source references, often from several sources. When approached, companies will also be informed of the ethical guidelines, and of the fact that the company in question is considered for exclusion pursuant thereto. The companies are invited to reply within a specific deadline. The secretariat of the Council has is several cases attended meetings with companies that have wished to provide additional information. The exclusion criteria and companies that are excluded on the basis thereof are discussed in more detail in Box 4.4.
Textbox 4.4 Exclusion of companies through filtration and ad-hoc exclusion
Filtration
Companies shall be excluded from the Government Pension Fund – Global if they are deemed, pursuant to the ethical guidelines for the Government Pension Fund – Global, to produce “ weapons that through normal use may violate fundamental humanitarian principles”.
The Revised National Budget for 2004 provides a list of weapons that are currently classified as belonging to this category of weapons: chemical weapons, biological weapons, anti-personnel mines, undetectable fragmentation weapons, incendiary weapons, blinding laser weapons, cluster munitions and nuclear arms. The Fund shall not invest in companies that develop and produce key components for this type of weapons. The Ministry of Finance has excluded 20 companies from the Fund under this criterion.
Ad-hoc exclusion
Furthermore, companies shall be excluded from the Fund if their acts or omissions contribute to the Fund becoming complicit in:
“Serious or systematic human rights violations, such as, for example, murder, torture, deprivation of liberty, forced labour, the worst forms of child labour and other child exploitation;
Serious violations of individuals’ rights in situations of war or conflict;
Severe environmental damage;
Gross corruption; or
Other particularly serious violations of fundamental ethical norms.”
Seven companies have been excluded due to a risk of complicity in serious or systematic human rights violations or complicity in severe environmental damage, respectively.
Table 4.1 Companies that are excluded from the benchmark portfolio of the Government Pension Fund – Global on the basis of negative filtration
| Product | Date | Company |
|---|---|---|
| Anti-personnel land mines | 26 April 2002 | Singapore Technologies Engineering |
| Cluster munitions | 31 August 2005 | Alliant Techsystems Inc, General Dynamics corporation, L3 Communications Holdings Inc., Lockheed Martin Corp., Poongsan Corp., Raytheon Co., Thales SA |
| 30 November 2006 | Poongsan Corporation | |
| 31 December 2007 | Hanwha Corporation | |
| Nuclear arms | 31 December 2005 | BAE Systems Plc, Boeing Co., EADS Co, EADS Finance BV, Finmeccanica Sp. A., Honeywell International Corp., Northrop Grumman Corp., Safran SA., United Technologies Corp |
| 31 December 2007 | Gen Corp. Inc. Serco Group Plc. |
The company EADS was first excluded on 31 August 2005 because the company was involved in the production of cluster munitions. EADS no longer produces cluster munitions. However, the company is involved in the production of nuclear arms, and the Ministry of Finance upheld the exclusion on this basis on 10 May 2006.
Source Ministry of Finance
Table 4.2 Companies that are excluded from the benchmark portfolio of the Government Pension Fund – Global on the basis of negative filtration
| Product | Date | Company |
|---|---|---|
| Anti-personnel land mines | 26 April 2002 | Singapore Technologies Engineering |
| Cluster munitions | 31 August 2005 | Alliant Techsystems Inc, General Dynamics corporation, L3 Communications Holdings Inc., Lockheed Martin Corp., Poongsan Corp., Raytheon Co., Thales SA |
| 30 November 2006 | Poongsan Corporation | |
| 31 December 2007 | Hanwha Corporation | |
| Nuclear arms | 31 December 2005 | BAE Systems Plc, Boeing Co., EADS Co, EADS Finance BV, Finmeccanica Sp. A., Honeywell International Corp., Northrop Grumman Corp., Safran SA., United Technologies Corp |
| 31 December 2007 | Gen Corp. Inc. Serco Group Plc. |
The company EADS was first excluded on 31 August 2005 because the company was involved in the production of cluster munitions. EADS no longer produces cluster munitions. However, the company is involved in the production of nuclear arms, and the Ministry of Finance upheld the exclusion on this basis on 10 May 2006.
Source Ministry of Finance
Process and time use
The process involved in recommending a company for exclusion consumes considerable time and resources. The continuous monitoring carried out by the Council on Ethics encompasses all companies in which the Fund is invested. In 2007, a preliminary review was conducted in respect of about 80 companies. Only a limited number of these cases will result in a recommendation to exclude a company. It will normally be many months from a case is first opened until the Council submits a final recommendation to the Ministry of Finance. The Ministry will thereafter carry out its own independent assessment as to whether the company should be excluded. If the Ministry decides to exclude a company, such decision, and the attendant recommendation from the Council on Ethics, will only be made public after Norges Bank has sold its securities in the company. The assessment carried out by the Ministry implies, together with the disposal period, that it will usually be several months from a recommendation has been made until the exclusion of a company is made public.
The Council on Ethics will routinely examine whether the grounds for excluding a company remain in place, and may on the basis of new information recommend to the Ministry of Finance that an exclusion decision be lifted.
4.2.4 Evaluation of the ethical guidelines for the Government Pension Fund – Global
Objective and process
The Government announced, in Report No. 24 (2006-2007) to the Storting, that it would undertake an evaluation of the ethical guidelines for the Government Pension Fund – Global. This process has now been commenced, and will continue until the end of 2008. The findings from the evaluation will be presented to the Storting in the report on the management of the Government Pension Fund in the spring of 2009.
The main objective of the evaluation is to ensure that the ethical guidelines work as intended, and maintain broad-based political support, as well as to gather any feedback that may contribute to strengthening the ethical profile of the Fund. It shall also be examined whether there is a need for further harmonisation of the ethical guidelines for the Government Pension Fund – Global and the Government Pension Fund – Norway.
On 16-17 January, the Ministry of Finance held an international conference in Oslo on the integration of ethical concerns in asset management, which marked the commencement of the evaluation process. The conference provided useful feedback on a number of themes that will be addressed as part of the ensuing process. A public hearing will be held in connection with the evaluation. The Ministry will conduct a public hearing, involving a wide group of stakeholders in the spring of 2008. One intends to invite these stakeholders to an information meeting in connection with the distribution of this paper.
The evaluation will include an external assessment of the efforts of Norges Bank and the Council on Ethics, in line with their mandates as laid down in clauses 3 and 4 of the ethical guidelines. The Ministry of Finance is also commissioning an updating of a former assessment of the economic consequences of so-called positive selection, i.e. the integration of other considerations than purely financial aspects into the actual investment decision. Positive selection is not an unambiguous term, but normally indicates that the manager searches for investment objects on the basis of ethical criteria. This may be effected through, for example, selecting a specific share of the most ethical companies within an industry, or by overweighting investments in industries that are perceived as being particularly ethical.
The external assessments will form part of the basis for the consultation paper, and feedback in respect thereof will be invited from the stakeholders.
Particular issues that will be addressed within the context of the evaluation
A relatively broad range of themes will be addresses during the evaluation process, based on accumulated experience and feedback received by the Ministry. The Ministry will, inter alia , be evaluating what products should result in negative screening from the portfolio. Of particular importance in that context is to maintain broad-based political agreement as to the relevant criteria, in order to ensure that these reflect, to the maximum possible extent, the will of the owners of the Fund; the Norwegian people.
The Ministry will also be taking a closer look at the active ownership effort, and examine how this can best be strengthened and rendered visible. The scope for interaction between the ownership and exclusion of companies is also a theme that will be addressed in more detail. The Ministry is assuming that the threat of exclusion may in itself increase the prospects for influencing companies through active engagement.
Positive selection of companies prior to an investment was not recommended as a tool for the Fund when the Graver Committee submitted its proposal for the current ethical guidelines. There are several reasons for this, hereunder that the number of companies the Fund would be able to invest in might be significantly reduced, and that the ability of the Fund to spread risk might be impaired. Furthermore, it might result in a need for increasing the ownership stakes in each company, whilst the scope for purchasing and selling freely would at the same time be curtailed. The Committee deemed the exercise of ownership rights to be a better tool than positive selection for achieving positive changes within various areas. The Ministry of Finance will embark on a renewed assessment of this issue within the context of the evaluation of the ethical guidelines, based on the external analysis mentioned above. Financial and ethical implications of setting aside a small proportion of the Fund as a separate fund using positive selection as a tool in relation to environmental investments will be examined specifically.
Upholding principles
The Government attaches considerable weight to upholding important elements and principles of the current system, which has worked well. It is important to maintain a high degree of openness in the management of the Fund and the implementation of the ethical guidelines. Furthermore, it is important for the mechanism for the exclusion of companies to be premised on a desire to avoid own contributions to grossly unethical conduct. Weight will, generally speaking, be attached to ensuring that the documentation on which all decisions are made is of a high quality. The corporate governance effort has to be focused on a few selected areas in order to ensure effectiveness and scope for cooperation with other investors.
The Fund is a tool for savings for future generations. No investments with a clear support or subsidy element will be channelled through the Fund. Such support would have to be appropriated in the Fiscal Budget, and weighted against other causes through the budget process.
The ethical guidelines and the implementation thereof receive the attention both of other managers and of companies, both nationally and internationally. This means that the effects thereof are broader in scope than the efforts pursued through the Government Pension Fund, which again implies an important responsibility for ensuring transparency, thoroughness and credibility.
The investments of the Fund shall be as well diversified as possible in order to contribute to the investments carrying a moderate level of risk, in line with the stipulations of the Storting. This implies that the Fund will, as a main rule, invest in virtually all listed companies of a certain size worldwide, numbering more than 7,000 companies in total. Consequently, there will always be a risk that the Government Pension Fund – Global is invested in companies that may, for various reasons, merit criticism. There is a high degree of openness about all aspects of the Fund’s activities, hereunder full disclosure of all investments held by the Fund. A desired implication of this is that feedback will be received from voluntary organisations, media and others concerning potentially blameworthy circumstances on the part of individual companies. Such feedback is useful as, inter alia , part of the informational basis for the corporate governance efforts of Norges Bank and for the activities of the Council on Ethics. At the same time, it will not be possible or desirable to accommodate all requests for intervention. An important strength of the ethical guidelines lies with their implementation in a predictable and credible manner over time. This means that Norges Bank and the Council on Ethics need sufficient time to complete processes and evaluations in relevant cases, hereunder that the companies have to be given an opportunity to present their version of the matter, or to adopt the necessary measures. Only through such thorough processes will the ethical guidelines be able to carry weight with, and impact on, other investors, and thus take on relevance beyond the direct effect on the Fund’s own investments.
5 The management framework
5.1 Introduction
The management of the Government Pension Fund – Global is governed by Act of 21 December 2005 No. 123, Regulations of 22 December 2005 No. 1725, guidelines with supplementary provisions, and a management agreement between the Ministry of Finance and Norges Bank. The main elements of the framework are as follows: an investment universe, a benchmark portfolio (cf. the discussion in Chapter 3) and a risk budget for active management, ethical guidelines (cf. the discussion in Chapter 4) and requirements pertaining to risk management, valuation and performance measurement.
Norges Bank shall, pursuant to Section 7 of the Regulations, ensure the existence of satisfactory risk management systems and control procedures in the management of the Fund. The framework requires the management, measurement and control of risk to be in accordance with best practise and internationally recognised methods. Over the period 2006-2007, the Ministry drew on external resources to survey “best market practise” and “internationally recognised standards” for different types of risk within asset management. This survey forms part of the Ministry’s effort on the operationalisation of the changes to the management framework that were discussed in the National Budget for 2006, cf. Section 5.3. Furthermore, there has been carried out an external evaluation of risk management within Norges Bank’s investment management, cf. Sections 5.4 – 5.6.
Folketrygdfondet manages the Government Pension Fund – Norway on behalf of the Ministry of Finance. Folketrygdfondet was established as a separate company by special statute on 1 January 2008, cf. the Storting’s deliberation of Proposition No. 49 (2006-2007) to the Odelsting; On the Act relating to Folketrygdfondet. During the autumn of 2007, the Ministry was working on the implementation of the changes to the framework for Folketrygdfondet, as laid down by the new Act relating to Folketrygdfondet. The implementation of these changes is described in more detail in Section 1.5. In Section 5.8 can be found a more detailed account of the implications of the new framework in terms of new requirements pertaining to, inter alia, risk management, internal control and reporting, and the handling hereof in connection with the Ministry’s follow-up of the operational management effort.
5.2 Risk-based supervision of Norges Bank’s management of the Government Pension Fund – Global
The capital of the Government Pension Fund is growing rapidly. At the same time, the investment strategy of the Fund is undergoing continuous development. This is taking place alongside major changes to the supervision of risk management in financial institutions as a result of new rules both in Europe (EU Directive) and globally (Basel II). 43 The Ministry deems it important to ensure, as part of the follow-up of the operational management effort, that the framework for the management of the Government Pension Fund is adapted to these developments on an ongoing basis.
The risk/ return-profile (ex ante) of the Pension Fund is largely determined by the Ministry’s investment guidelines, cf. the more detailed discussion in Chapter 2. Norges Bank’s active management has also contributed significantly to the overall return on the Fund, but the risk assumed in active management has only to a limited degree increased the market risk of the Fund beyond the level implied by the benchmark portfolio. This is illustrated in Figure 5.1. The limited contribution to overall risk has to do, inter alia, with the management effort being structured in such a manner that there is low correlation between the return on the active positions and the return on the benchmark portfolio. The Ministry has defined a risk budget for Norges Bank’s active management in the form of an upper limit on the tracking error at fund level. No specific limits have been stipulated at lower levels like, for example, individual asset classes. The optimal allocation of the risk budget between the individual strategies and mandates is therefore a key value driver in Norges Bank’s active management.
The Ministry of Finance resolved to expand the investment universe of the Government Pension Fund – Global with effect from 1 January 2006, cf. the discussion in the National Budget for 2006. Based on advice from Norges Bank, as set out in its letter of 11 March 2005, the investment universe was expanded by way of, inter alia, the abolition of the minimum rating criteria for bonds and the interval for the duration of the fixed-income portfolio. Furthermore, general authority was granted to make use of financial instruments that are inherently associated with permitted assets, hereunder fund units and commodity derivatives. Subsequently, the universe for investing in emerging markets has also been expanded.

Figure 5.1 Illustration of total market risk assumed by the Government Pension Fund – Global, divided into strategic asset allocation and active management budget
Source Ministry of Finance.
The expansions to the investment universe offer Norges Bank more degrees of freedom in its active management. The additional degrees of freedom have therefore been supplemented by the guidelines stipulating more stringent requirements in relation to risk management, valuation, performance measurement and reporting. The Ministry’s requirements as to the control of market, counterparty and operational risk, as laid down in the guidelines, are based on overarching principles to the effect that Norges Bank should adhere to “best market practise” and “internationally recognised standards”. The guidelines do not permit utilisation of the expanded investment universe unless it can be documented that the Bank is, at a minimum, adhering to internationally recognised standards and methods:
“Valuation, performance measurement and the management, measurement and control of risk shall adhere to internationally recognised standards and methods. The Fund shall not invest in markets, asset classes or instruments unless compliance with these requirements can be documented.”
The Ministry has previously announced, in connection with the expansions to the investment universe, that it would introduce risk-based supervision of Norges Bank’s asset management. In the National Budget for 2006 it is stated, inter alia, that:
“Norges Bank operates a specialised asset management regime. By imposing reporting requirements, the ministry will be better placed to identify areas where, with the help of external expertise, it can evaluate Norges Bank’s compliance with instructions set out in the regulatory framework. The ministry plans regular due diligences of the fund, and particularly the bank’s risk management, in collaboration with consultants possessing suitable expertise.”
The first risk-based due diligence project on the basis of the new requirements in the framework relating to Norges Bank’s active management was initiated in the autumn of 2006. Following prior competitive tendering, the Ministry of Finance chose an international team from Ernst &Young LLP (London/Zurich/New York) to review the risk management and control procedures of Norges Bank. The project comprised the following milestones:
Propose a reference framework for best market practice and internationally accepted standards within relevant areas such as, inter alia, operational risk and the modelling of market, credit and counterparty risk.
Design a questionnaire to be used by Norges Bank for self assessment of the risk management and control procedures within its asset management operation.
Perform a third-party evaluation of Norges Bank’s systems for handling risk in its asset management operation, based on Norges Bank’s self assessment and further follow-up work.
Prepare a final report, with recommendations and a list of areas that the Ministry should prioritise in its further follow-up of the asset management.
It follows from Chapter 1 that the fund mechanism and the fiscal rule for the phase-in of government petroleum revenues into Norwegian economy are motivated by important stabilisation and monetary policy concerns, cf. Box 1.1. Furthermore, the Government emphasises a broad-based political consensus as to the investment strategy for the large sums managed by the Fund. These considerations imply that the Government Pension Fund – Global differs somewhat from other large international funds when it comes to the inflow of capital and the organisation of the management thereof.
The differences between the Government Pension Fund – Global and other funds mean that it can be difficult to define a relevant reference group for the Fund. The Ministry deems it appropriate, due to the considerable degrees of freedom in relation to active management and Norges Bank’s extensive use of international asset managers, to adopt best practise amongst large international asset managers and investment banks as a basis for the operationalisation of risk management and control requirements in the framework. Ernst & Young was therefore requested to define the frame of reference for the project on the basis thereof.
The Ministry of Finance received the final report from this project in July 2007. The report is available at the Ministry of Finance’s website.
5.3 The reference framework for best market practise and internationally recognised standards adopted by the Ernst & Young report
In its report, Ernst & Young describes how risk management is organised on the part of leading financial institutions, what are the main areas involved, as well as the principles for best practise within each of the main areas. This description is summarised below.

Figure 5.2 A system for risk management along three lines of defence
Source Ernst & Young and the Ministry of Finance.
Risk management organisation
It is common, according to Ernst & Young, for financial institutions that are subject to mandatory supervision to organise the distribution of roles and responsibilities within their risk management systems on the basis of a “3 Lines of Defence model”, cf. the illustration in Figure 5.2:
1st line of defence: This refers to the control activities carried out by business line management.
2nd line of defence: This refers to the control activities carried out by the central Risk Management Function.
3rd line of defence: This refers to independent assurance activities carried out by a Risk Assurance function (normally Internal Audit)
Normally, responsibility for the organisation of these three lines of defence will lie with a “governing body”. This may, depending on the organisational form, be the Board of Directors, group management, steering committees or other governing bodies within an asset management institution. This will, in respect of an individual institution, be assessed on the basis of which unit meets the following criteria:
Has a formally delegated responsibility for the management of the Fund.
Is able to provide independent oversight over the day-to-day running of the Fund.
Is responsible for the development, implementation and communication of comprehensive, board-approved policies outlining all key principles surrounding of the risk framework.
Is responsible for the implementation and effectiveness of the 3 lines of defence model.
Ensures that suitably detailed Risk Appetites (or tolerances) are set which accurately reflects the organisation’s appetite for risk in all material areas. The requirements of key stakeholders will be considered in the setting of these Risk Appetites (tolerances).
The body which ensures that set Risk Appetite (tolerances) are not breached through ensuring the existence of an adequate monitoring and reporting framework.
Figure 5.3 illustrates normal delegation of responsibility from higher to lower levels of the organisation, and the attendant measures for monitoring and reporting in the opposite direction. Whoever delegates a task to lower levels of the organisation will retain performance responsibility, and must therefore ensure sufficient follow-up and monitoring of the underlying units.

Figure 5.3 Illustration of normal division of duties between the involved organisational units when determining risk limits and implementing attendant follow-up and monitoring measures
Source Ernst & Young and the Ministry of Finance.
Figures 5.4 and 5.5 provide an overview of typical key functions embedded in the 2nd and 3rd line of defence, respectively.

Figure 5.4 Typical key functions of the 2nd line of defence
Source Ernst & Young and the Ministry of Finance.

Figure 5.5 Typical key functions of the 3rd line of defence
Source Ernst & Young and the Ministry of Finance.
Main areas of risk management
It would seem appropriate, on the basis of Ernst & Young’s experience within the financial sector, to define an asset manager’s risk management system into six main areas, cf. Figure 5.6:

Figure 5.6 Main areas of a risk management system
Source Ernst & Young and the Ministry of Finance.
Overall Governance : In its application to risk management, ‘governance’ refers to the framework and protocols devised by the Governing Body and senior management to ensure that the risks of the organisation are identified and that there are appropriate processes, procedures, systems and controls within the organisation to identify, assess, measure, monitor, manage and report on those risks.
Risk Identification : The process by which structured and consistent consideration is given to what risks may arise within the organisation (‘what can go wrong?’).
Risk Assessment and Measurement : The models, structures and methods by which identified risks are ranked as to their relative significance to the organisation.
Risk Monitoring and Management : Risk Monitoring is the process by which the ongoing status of risks and of the controls put in place to minimise these risks, is checked and validated. Risk Management refers to the process by which decisions are made to either accept or control risks once they have been assessed and measured.
Supporting Technology : Technology which standardises or otherwise aids the processes of risk identification, assessment, measurement, monitoring or management.
Risk Reporting and Management Information : The processes by which information on the risk profile of the organisation (eg status of risks and controls), are consolidated and reported to the organisation as well as to the Governing Body.
Principles of best market practise
Ernst & Young has summarised best market practise by defining a set of risk management principles that should be adhered to. Box 5.1 features some selected examples of such principles. Reference is made to the report from Ernst & Young for a more detailed description thereof.
Textbox 5.1 Selected principles of best market practise
Governance
Principle: A Governing Body should be composed of individuals with appropriate skills and expertise to oversee the effectiveness of the risk framework, set risk appetite limits, and establish and maintain suitable monitoring procedures for any breaches or exceptions to the risk appetite limits.
Principle: The risk appetite limits should include practically measurable expressions of risk for all major risk classes.
Operational risk
Principle: The framework should include a documented methodology to identify operational risk. Risk assessments should be made both “bottom up” and “top down”.
Principle: Losses should be captured, assessed, and analysed so that a "lessons learned" feedback loop is established, and the loss data can provide assurance on the accuracy of the risk and control assessments.
Market risk
Principle: Standard assessment and measurement processes which consider the key drivers of market risk should be in place within the organisation. Assessment methodologies are normally expected to include models such as VaR, marginal VaR and Tracking Error where appropriate. In addition, other risk factors such as “event risk” which lead to large movements of market risk factors over a small time interval, “liquidity risk” and “prepayment risk” should be considered where appropriate.
Principle: The assessment process should also include the performance of appropriate stress testing and sensitivity analysis (e.g. changes in market value of a position/ entire portfolio by movements of market risk factors, changes in market value of the portfolio by simultaneously movements of several market risk factors).
Credit risk
Principle: Elements of credit risk should be clearly defined and identified at a transactional, counterparty and portfolio level.
Principle: In order to administer efficiently its portfolio, the organisation should have information systems and analytical techniques that enable its management to effectively measure all dimensions of Counterparty and Concentration Risks.
Performance and valuation
Principle: Clear definition should exist around suitability and appropriateness of price sources (including consideration of these for new instruments) and well defined and approved procedures should exist to identify unexpected price movements.
Principle: Sourcing and validation of security prices should be undertaken by an operational function with reporting lines that are entirely independent from the Front Office.
5.4 Ernst & Young’s comments relating to risk management within Norges Bank’s asset management operation
Ernst & Young points out that Norges Bank has been charged with a highly complex task. The Bank has been mandated to develop a professional management organisation for a fund that is growing very rapidly, whose investment universe is being gradually expanded, and which deploys ever more sophisticated strategies to achieve excess returns. The report notes that Norges Bank has delivered consistently good financial performance within the limit on tracking error stipulated by the Ministry. One of the main purposes of the Ministry’s comparison of Norges Bank’s risk management operation with best market practise amongst financial institutions internationally is to identify areas offering a potential for improvement. It follows from this that the recommendations in the report focus, in particular, on the Bank’s potential for improvement.
Below can be found a summary of the recommendations within the following five areas: I) governance, II) operational risk, III) market risk, IV) credit risk, as well as V) performance and valuation.
I) Governance
The management model for the Government Pension Fund – Global is based on a clear division of duties between the Ministry of Finance and Norges Bank. Applying the frame of reference for risk management, as described in Section 5.3, therefore posed a particular challenge inasmuch as identifying the governing body for the Fund was concerned. Ernst & Young concluded with the following description:
“Five different Governing Bodies are relevant to NBIM"s risk management and governance framework:
Parliament (“the Storting”), which approves the major strategic decisions and guidelines that define most of the expected return and the Market and Credit Risks of the Fund. Parliament has delegated the management of the Fund to the Ministry.
The Ministry, which defines the most important aspects of the Fund"s management including the setting of benchmarks, maximum deviation expected from the benchmark and other specific guidelines for the management of the Fund (including investment universe criteria). The management of the Fund is delegated by the Ministry to the Executive Board of Norges Bank.
The Supervisory Council, reporting directly to the Storting, which supervises Norges Bank"s activities and ensures that the rules governing the operations of the Bank are observed. The Council comprises fifteen members, all elected by the Storting. Its responsibilities include formal approval of the Bank"s financial statements, adoption of the Bank"s budget and arrangements for the hiring of and the instructions to the Central Bank"s auditor, Norges Bank Audit.
The Executive Board of Norges Bank. The Governor (who is also Chairman of the Board) has delegated the management of the Fund to NBIM, the fund management unit of Norges Bank. NBIM also manages the bulk of Norges Bank"s currency reserves and the Petroleum Insurance Fund. The Executive Board issues directives on subject matters that are common to the entire Norges Bank organisation, including internal control principles and IT security. Some of the risk control requirements NBIM is subject to are therefore a part of the Bank"s common framework. The Board determines the strategic plans and goals of NBIM, proposes the annual budgets and action plans to the Supervisory Council and monitors NBIM"s results and key organisational developments against plans and budgets.
The NBIM Executive Management team (NBIM Management), who has the delegated responsibility for many of the detailed guidelines underlying GPFG"s operations, including Operational Risk.”
13 recommendations are made in relation to governance. These are set out in Table 5.1.
Table 5.1 Ernst & Young’s recommendations in relation to governance
| Area/Recommendations |
|---|
| Roles and Responsibilities |
| Responsibilities of each of the Governing Bodies with respect to Market, Credit and Operational Risks should be described and documented at a more granular level. |
| Risk monitoring and reporting requirements for each Governing Body should be described more specifically. These should be aligned to the defined risk management responsibilities. |
| The reporting should be sufficient (in content and frequency) to allow each Governing Body to routinely demonstrate that it is operating within a formal framework that provides adequate oversight and monitoring of its respective risk management role and responsibilities. |
| The rapid growth of assets under management and the growing complexity of the investment portfolio make the adequate supervision and governance of the Fund an increasing challenge. Ernst & Young therefore believes that it is key for the Governing bodies to have access to adequate and independent investment management technical expertise. The strengthening of Norges Bank"s Audit function should provide a useful access to this expertise. Ernst &Young would also recommend the establishment of an international panel of experts, available to the Ministry and/or the Supervisory Council to provide independent leading practice advice and challenge on supervisory and risk management matters related to NBIM. |
| Risk Policy |
| Ernst & Young recommends a more detailed definition of escalation procedures for each risk class setting out, amongst others, the criteria under which and how significant matters of exception should be reported directly to the relevant Governing Body. |
| The escalation protocols and thresholds for reporting and monitoring Operational Risks should be expressly defined and approved by the relevant Governing Bodies. "Matters of significance" should be formally defined by Norges Bank"s Executive Board and NBIM Senior Management, and communicated throughout the business lines. |
| Ernst & Young recommends regular independent reviews of the escalation process across risk classes in order to ensure its effectiveness and efficiency. |
| Risk appetite (tolerance) limits |
| Risk appetite for each risk class, (Operational, Market and Credit) should be formally defined and approved by the Governing Body with primary responsibility for that relevant risk class. |
| Ernst & Young recommends that clear and specific Operational Risk appetite statements are developed as part of the roll-out of the new Operational Risk framework |
| Ernst & Young recommends that Market Risk and Credit Risk appetites are more tightly defined, including for instance limits on stress positions. This is particularly relevant in the context of a potentially extended use of the entire authorised investment universe, which allows investment in riskier OTC products and a strategy with more emphasis on active management and absolute return. |
| Assurance and reporting |
| Ernst & Young welcomes the fact that NBIM has undertaken to strengthen its “Second Line of Defence” through the recruitment of a dedicated Chief Financial Officer (“CFO”) and a dedicated Chief Risk Officer (“CRO”). Ernst & Young strongly endorses this initiative, as Ernst & Young believes it is key to the development of a robust support infrastructure for NBIM going forward. |
| Ernst & Young believes that the RPA function should be given a higher profile and a broader mandate around the independent monitoring and reporting of risk positions, to include more detailed and comprehensive reporting requirements. More management horsepower provided by the new CFO and/or CRO combined with a broader mandate, should allow NBIM to hire and retain a critical mass of suitably skilled risk analysts able to provide constructive and independent challenge to the business. |
| Ernst & Young welcomes the changes to the audit structure, which should provide the audit function with access to appropriate investment management subject matter expertise and, therefore, an increased ability to identify risk issues and challenge the business. In addition, Ernst & Young recommends that the scope and depth of the review by the Audit function of the internal control framework be enhanced in line with internationally recognised SAS 70 standards and protocols. |
Source Ernst & Young and the Ministry of Finance
II) Operational risk
Norges Bank was in the process of preparing an entirely new operational risk framework at the time of the Ernst & Young review. The Ministry did not deem it appropriate to devote resources to evaluating the existing system, since said system was phased out during the course of 2007.
15 recommendations are made in relation to the new operational risk framework, which the Bank implemented in 2007. Reference is made to the report from Ernst & Young for a more detailed account.
III) Market risk
Ernst & Young emphasises that NBIM’s risk reporting on the organisation’s intranet is in line with best market practise in terms of both online functionality and content. However, it is noted that, in Norges Bank, functions that should typically be allocated to a completely independent risk management unit (see the description of the 2nd line of defence in Chart 5.4) are not only performed by the RPA unit (i.e. the independent unit for Risk, Performance and Accounting), but also by units for support and analysis functions under the control of Chief Operating Officers within each of the business areas. Ernst & Young is questioning whether the latter risk management operations take place sufficiently independent from the business areas. The background to this is that each Chief Operating Officer has double lines of reporting: most reporting is made to the head of the business area in question, whilst reporting in respect of the risk management functions takes place directly to the head of NBIM.
Furthermore, it was pointed out that the resources available to the independent risk management unit, RPA, were not optimal at the time of the Ernst & Young review, since several employees in this unit had recently resigned. Although Ernst & Young appreciates that NBIM had, as an interim measure, to use manpower hired from an external consultancy firm, it is emphasised that a key strategic control function like RPA should not be outsourced to an external provider.
10 recommendations are made in relation to market risk. These are set out in Table 5.2.
Table 5.2 Ernst & Young’s recommendations in relation to market risk
| Area/Recommendations |
|---|
| Governance |
| Given the relative small size of the Alpha portfolio today, the Tracking Error limit set by the Ministry as the main risk limit seems to provide an appropriate guideline. Should the size of the Alpha portfolio expand in the future, Ernst & Young recommends that the set of risk limits be enhanced to include more granular requirements to allow for more transparency on the risks incurred. These requirements could include limits on VaR and exposure with regards to geography, rating classes, yield curve components, relevant instrument types and systematic relevant risk factors such as credit spreads and FX rates, as well as stress limits. |
| Whatever limits are defined, the integrity of the reporting against these limits should be subject to the control of a truly independent quality assurance function capable of validating the timeliness, accuracy and completeness of the information reported. Ernst & Young therefore recommends that the RPA function is strengthened with the appropriate mandate, number of resources and technical skill-set, in order to challenge effectively both the modelling approach and the valuation data used by the Portfolio Managers. NBIM Management should also ensure that the RPA function is fully independent from the Front Office in its access to valuation data or modelling expertise. |
| Ernst & Young believes that NBIM Management is aware of these limitations and has undertaken to re-build the RPA function. The recruiting of new risk analysts is accompanied by a number of organisational changes, including the recruiting of a new CFO (already on board) and that of a fully dedicated CRO. |
| Risk identification |
| Ernst & Young recommends that the New Product/Activity Approval (“NPA”) process be formally “owned” by the CFO/CRO functions going forward. |
| In view of the potential for use of the entire allowed investment universe, which allows investment in riskier OTC products to support a strategy with more emphasis on active management and absolute return, the NPA should include the definition of specific sets of limits (including stress limits) tailored to this new environment. |
| Risk assessment and measurement |
| Ernst & Young recommends the implementation of a more formal and systematic stress testing framework based on pre-defined scenarios. Ernst & Young recommends that the Risk Management function and the Front Office develop a set of relevant stress scenarios compatible with existing scenario analysis system capabilities, to assess the impact of stressful conditions on the Fund"s risk profile. The stress analysis should be used among others in the context of the Fund"s risk appetite definition, for example by introducing separate exposure and VaR limits under stress. |
| Ernst & Young appreciates that liquidity risk is a secondary concern to GPFG. Indeed, the long term nature of the fund, the steady inflow of cash and the mandate given to NBIM imply that Liquidity Risk resulting from sudden changes in strategy or "forced sale" scenarios is relatively low. Ernst & Young therefore agrees that the need for reporting Liquidity Risk for NBIM is less important than for more traditional types of investment managers. |
| However, Ernst & Young believes that reporting VaR numbers without any indication on the liquidity exposure of the fund is incomplete and can be misleading. VaR numbers do not contain any information on the risk of loss related to a sale of assets in illiquid markets but are designed to imply potential loss in terms of market value from a sale at the end of the risk horizon. Ernst & Young believes that due to its relative size in the market, the Fund is likely to incur positions large enough to cause significant price shifts in such scenarios if liquidated within the time horizon chosen for the VaR calculation. As a consequence, a VaR report can easily be misinterpreted as a “maximum loss” (with the usual conditions on time horizon and confidence level) whereas realised losses in case of liquidation could be significantly higher. |
| Ernst & Young therefore recommends that Liquidity Risk information is included into the reports to the relevant Governing Bodies, including the Ministry, differentiating the liquidity risk related to the benchmark portfolio and that related to active management. Ernst & Young would also recommend that a note is added to the VaR number for the attention of the less-educated reader, to highlight the limitations of and assumptions behind this number. |
| Risk monitoring and management |
| Based on the size of the Fund today, its rapid growth and expansion into new products and locations, as well as the challenges presented by a rapidly increasing headcount, Ernst & Young recommends the establishment of clearer, more detailed definitions of Market Risk accountabilities. Ernst & Young notes that the recently updated job descriptions and mandates for the CIOs and the COOs, as well as the new job description for the Head of RPA, are moving in the right direction. Ernst & Young believes however that further improvements can be made in documenting the cascade of risk management accountabilities. |
| The forecasted expansion of the Fund highlights the importance of a robust, independent and appropriately skilled RPA function to ensure the integrity of the Market Risk monitoring process and continuous quality in the management of the Fund. As previously stated, we therefore recommend that the RPA function is re-built and strengthened as soon as possible, with the appropriate mandate, number of resources and technical skill-set. |
| Supporting technology |
| None |
| Risk reporting and Management Information |
| Ernst & Young recommends that the formal requirements for RPA risk reports are enhanced to ensure that they reflect the level of reporting required to provide NBIM"s ED with an independent perspective on the Fund"s current risk profile and outlook. |
| Should the expanded use of the full allowed investment universe include assets for which indices are either not available or do not provide a meaningful benchmark, we recommend enhancing the set of risk parameters reported to the Ministry. This could be done by including information on Expected Shortfall or VaR information for all portfolios. This would provide the investor with a more meaningful analysis of the absolute, risk adjusted performance. Dependent on the complexity of such (exotic) products, reporting should also include information on utilisation of specific risk and stress limits. |
Source Ernst & Young and the Ministry of Finance
IV) Credit risk
It is pointed out, as a general observation, that the current guidelines for credit risk management are adequate, given the mandate and the limited utilisation of the degrees of freedom authorised for the management operation. However, it is pointed out that the NBIM risk monitoring system only registers changes in credit spreads, and ignores potential default of borrowers. The system is therefore particularly well suited for monitoring short-term positions in liquid bonds. Using a more fully-fledged credit portfolio system is recommended for purposes of more comprehensive investment strategies within corporate bonds and appurtenant derivatives.
NBIM’s planned introduction of a new system for counterparty risk is cited as a considerable improvement relative to the present situation within this area.
10 recommendations are made in relation to credit risk. These are set out in Table 5.3.
Table 5.3 Ernst & Young’s recommendations in relation to credit risk
| Area/Recommendations |
|---|
| Governance |
| Ernst & Young recommends a more comprehensive definition of the Credit Risk terminology within the Executive Director’s Guidelines. |
| Should NBIM increase its use of the allowed investment universe to include greater absolute return strategies resulting in substantial Issuer Credit Risk in addition to current CCR exposure, the set of definitions should be enhanced to allow for identification, measurement and management of Credit Risk: a. The minimum set should contain definitions for counterparty default probability (PD), expected recovery in event of a default (or, equivalently, expected loss given default) as well as exposure at default. b. Furthermore we recommend the adoption of an absolute risk measure such as expected shortfall or Credit VaR for portfolio Credit Risk. It should be noted that the investment universe for which a meaningful benchmark exists is only a subset of the full authorised investment universe. For those investments with no benchmark, alternative risk measures should be used. c. Ernst & Young recommends that the overall set of risk definitions include constraints on stressed numbers. RPA should develop a set of relevant stress scenarios so as to be able to include stress testing results in periodic reports. |
| Risk identification |
| None |
| Risk assessment and measurement |
| Ernst & Young recommends a more systematic use of credit portfolio models and specific Credit VaR measures for investments that are illiquid or held over a long period of time. |
| Should the use of the allowed investment universe increase to include the use of non-linear instruments such as derivatives, credit derivatives as well as credit risky securities, we recommend that the current mark-to-market plus add on approach to exposure measurement be replaced by a robust quantitative PFE model, in line with leading industry practice. Ernst & Young therefore endorses the efforts undertaken by GPFG to that effect. |
| In recognition of the fact that Credit VaR numbers derived from models have in the past proven inadequate in times of crisis, stress testing is becoming a standard industry practice tool for Credit Risk management. Currently, FIBA is utilising stress scenarios and credit stress loss limits for portfolio management. Ernst & Young recommends that a formal set of pre-defined and approved stress scenarios are applied across both EBL and FIBA. |
| Risk monitoring and management |
| Ernst & Young endorses the implementation of a more secure and sophisticated technology platform leveraging on RiskMetrics" functionalities, within the nearest possible future. |
| Supporting technology |
| Ernst & Young recommends the enhancement of the credit monitoring functionalities currently available and endorse NBIM"s continuous efforts to leverage fully on its technology platform. |
| Risk reporting and management information |
| Should NBIM"s use of the allowed investment universe increase, the sophistication of the management information around Credit Risk should be enhanced to include: |
| 1. Information on obligor ratings migration and changes in PD or recovery information. 2. Individual and aggregate PFE segmented along counterparties, products, regions and industries. 3. Portfolio concentration information in terms of ratings and portfolio risk measures such as Credit VaR and Expected Shortfall. |
Source Ernst & Young and the Ministry of Finance
V) Performance and valuation
Ernst & Young’s recommendations within this area are set out in Table 5.4.
Table 5.4 Ernst & Young’s recommendations in relation to performance and valuation
| Recommendations |
|---|
| Ernst & Young recommends a more granular description and documentation of the procedures and protocols to value securities and investments for which no market price is available from an external source. The new protocols should include clear guidance and examples of valuation methodologies for non-linear instruments, in order to ensure a consistent application of the guidelines across the EBL and FIBA business lines. This should provide more transparency in the valuation process and ensure that a systematic, independent validation of all prices and valuations feeding the management reporting system. |
| In conjunction with the recommendation above, Ernst & Young refers to previous comments on the role, resourcing and profile of the RPA function. Ernst & Young believes that this function should be strengthened so that it has the capabilities to challenge effectively the model designs and assumptions used to value products which do not have a publicly available price. As mentioned earlier, Ernst & Young believes that NBIM is aware of the current limitations of the RPA function and has initiated a series of projects to address them. |
| NBIM Management might want to consider more systematic intra-month valuations for selected material exposures. |
Source Ernst & Young and the Ministry of Finance
5.5 Norges Bank’s comments in respect of the Ernst & Young report
The Executive Board and the Supervisory Council of Norges Bank have, in two letters dated 13 December 2007 and 19 December 2007, respectively, rendered comments in respect on the contents of the Ernst & Young report. The letters are enclosed as Appendices to this Report.
Norges Bank agrees that the frame of reference adopted by Ernst & Young (see Section 5.3) provides a good basis for an operationalisation of the framework for the Government Pension Fund – Global, but takes the view that it is necessary to adapt the principles to the special circumstances applicable to the Fund. The Executive Board of the Bank writes as follows:
“The report from Ernst & Young refers to governance principles and frameworks for monitoring and reporting risk in financial institutions. Norges Bank believes that these principles form a good point of departure for what best practice in the field should be. However, the principles need to be tailored to the unique management model for Norges Bank and the management of the Fund which results from the Norges Bank Act, the Government Pension Fund Act and the associated Regulations and Guidelines. This needs to be taken into account if these principles are to be used for further operationalisation of the framework for the Fund.”
The Bank’s comments in respect of Ernst & Young’s specific observations are presented below.
I) Governance
The Executive Board of Norges Bank writes that:
“Norges Bank will consider whether there is a need for more detailed determination of responsibilities, documentation and reporting in terms of the Bank’s governing bodies.”
The Supervisory Council writes that it agrees with the views of the Executive Board in this respect.
The Bank agrees that it is important for the governing bodies of the Bank to have access to adequate and independent know-how within international asset management. In its letter, the Executive Board refers to its appointment, in 2006, of an Advisory Board on Investment Management, comprising four internationally recognised advisers with extensive experience from large investment management institutions. The Supervisory Council refers to the commencement, in 2005, of an evaluation of the Bank’s audit arrangements, aimed at, inter alia, meeting the challenges faced within asset management. The adopted changes were described in the Supervisory Council’s statement of 28 February 2008, which is reproduced in the Bank’s annual report for 2007:
“Changes in the Bank’s audit arrangements
Norges Bank has undergone substantial changes in recent years and is facing considerable challenges, not least as a result of its tasks relating to the management of the Government Pension Fund – Global. These tasks entail considerable challenges for the Bank’s governing bodies relating to control and supervision of these activities.
To meet these challenges, substantial changes in the Bank’s audit arrangements were made in 2007 based on decisions made by the Supervisory Council and the Executive Board in 2006. A new internal audit unit that reports to the Audit Committee of the Executive Board has been established. The role of the Central Bank Audit as the Bank’s statutory external auditor has been emphasised.
The Supervisory Council has further appointed Deloitte AS as a central bank audit cooperation partner for the audit of the investment management operation. The instructions to the Central Bank"s auditor and the Supervisory Council’s terms of reference have been updated accordingly.
The implemented changes have, in the opinion of the Supervisory Council, contributed to strengthening the control and supervision arrangements of both the Supervisory Council and the Executive Board, not least in relation to investment management. The changes also involve an adaptation to internationally recognised principles of corporate governance and control.”
Furthermore, the Supervisory Council states that the confirmations currently rendered by Central Bank Audit to the Ministry of Finance do not cover the scope proposed by Ernst & Young:
“One of the recommendations in the Ernst & Young report is to develop and adapt Central Bank Audit’s independent statement concerning the Bank’s internal control so that it complies with auditing standard “SAS 70”. This will be a considerable extension of Central Bank Audit"s and the collaborative partner"s remit (…). In general, the Supervisory Council is positive to this and supports the Executive Board’s view of evaluating the possibility of a development in this direction.”
Norges Bank supports Ernst & Young’s recommendation that a document describing risk limits, escalation procedures, control measures and reporting to the governing bodies of the Bank should be prepared.
II) Operational risk
The Bank subscribes to Ernst & Young’s recommendations, and confirms that the project for the introduction of a new operational risk management framework was finalised as planned.
III) Market risk
Norges Bank agrees that the principles outlined by Ernst & Young for the control of market risk can be used for the more detailed operationalisation of the framework defined for the Fund. The Bank makes the following observation in relation to Ernst & Young’s proposal that the Ministry of Finance’s risk budget for active management should be fenced in more thoroughly than is the case under the current system with a maximum expected tracking error supplemented by quantitative restrictions at asset class level:
“Any expansion of the scope of investment restrictions by the Ministry of Finance should not take place without thorough assessment of the degree to which this might entail unnecessary and/or inconsistent restrictions for the Fund which would be difficult to operationalise and could have a negative impact on the Fund’s return.”
The Bank believes that the use of tracking error as the most important risk measure must be interpreted as an expression of a long-term risk level and not as an expression of the most realistic short-term maximum loss.
The Bank further states that:
“RPA was substantially reinforced in 2007 and is now fully manned with 16 employees. Staffing levels were low in the first half of 2007, but acceptable reporting and controls were still maintained, thanks in part to resources contracted in.”
Systems support has also been improved. In addition, it is expected that an ongoing project for independent pricing will contribute to improved data integrity for measurement and reporting purposes.
IV) Credit risk
Norges Bank agrees that the principles outlined by Ernst & Young for the control of credit risk can be used as a basis for the more detailed operationalisation of the framework defined for the Fund. The Bank supports the recommendation for additional detailing of the credit risk measurement parameters in guidelines laid down by the head of NBIM. The letter from the Executive Board states that:
“Norges Bank agrees that credit risk should be measured and assessed with supplementary risk measures. This applies particularly to more complex non-linear exposures, and expansion of the Fund’s investment universe to include less liquid assets will also require more extensive measurement and monitoring of credit risk. NBIM has launched a project to introduce more sophisticated measurement methods for credit risk, and will assess the appropriateness of establishing pre-defined stress tests for the Fund’s credit exposure. We would also refer to NBIM’s planned new system for monitoring counterparty risk mentioned above.(…) Implementation is expected to take place in 2008.”
V) Performance and valuation
Norges Bank supports Ernst & Young’s recommendation for detailed documentation of the procedures for the valuation of instruments in respect of which no external sources exist. The Bank writes that these considerations will be catered for through the project Independent Pricing, which shall also ensure that all positions are priced or verified independently from those making investment decisions. The Bank writes that:
“NBIM has sufficient resources and expertise to monitor pricing of the more complex instruments. To date, responsibility for this pricing has rested mainly with NBIM’s first line of defence under the COOs. Following recent recruitment to RPA, this group also now has sufficient expertise to perform the necessary valuations and challenge the model tool and assumptions underlying the pricing of unlisted (OTC) instruments.”
5.6 The Ministry’s assessments
It follows from the Ernst & Young report and the comments of Norges Bank in respect thereof, that the Bank has over the period 2006-2008 implemented, or is in the process of implementing, a number of projects to evolve the Bank’s risk management:
the establishment of the Audit Committee for the Executive Board;
the establishment of a separate internal audit department;
strengthening of external auditing through cooperation with Deloitte AS;
creation of the executive positions of Chief Financial Officer and Chief Risk Officer;
significant reinforcement of the independent risk management function, RPA; and
new framework for operational risk and projects for the implementation of new systems for counterparty risk and for the pricing and verification of all positions independently of those who make investment decisions.
The Bank agrees, for all intents and purposes, with all the recommendations from Ernst & Young. The Ministry has noted that the Bank does not subscribe to Ernst & Young’s comment as to whether risk management has been sufficiently independent in relation to the business areas for equity and fixed-income management. However, NBIM has been reorganised with effect from 1 March 2008, and a new unit for Control and Compliance has been established with a direct reporting line to the head of NBIM. The Ministry bases its assessment on the fact that the requirement for risk management independence under any circumstance will be met through the new structure.
Norges Bank agrees that the principles outlined by Ernst & Young for the control of credit risk can be used as a basis for the more detailed operationalisation of the framework defined for the Fund. The Bank supports the recommendation for additional detailing of the credit risk measurement parameters in guidelines laid down by the head of NBIM. The Bank has initiated a project to make use of more sophisticated measurement methods for credit risk, and will consider the appropriateness of establishing predefined stress tests for the Fund’s credit exposure, cf. the discussion in Section 5.5.
The Ministry deems it appropriate, against this background, to also review the regulation of credit risk in the framework for the Government Pension Fund – Global, as part of the more detailed operationalisation of the framework. For investments in corporate bonds characterised by high liquidity and moderate credit risk it will be deemed sufficient to consider credit risk as part of the market risk, and to measure it by way of systems premised on credit spreads. For other investments it will be appropriate to require systems that model credit risk more comprehensively in line with the recommendations of Ernst & Young. At present, such investments are governed by the general qualitative risk management requirements stipulated in the framework.
Norges Bank agrees that Ernst & Young’s frame of reference forms a good basis for the further operationalisation of the provisions included in the framework, but believes that the principles have to be adapted to the special governance model for Norges Bank and the management of the Fund as laid down by the Central Bank Act and the Act relating to the Government Pension Fund, with appurtenant regulations and supplementary provisions. Ernst & Young paid little heed to the fact that the Fund is managed by a ministry of finance and a central bank. This has to do with the Ministry emphasising, when formulating the assignment, that Ernst & Young should regard Norges Bank as a regular asset manager governed by an ordinary regulatory framework for asset management activities that are subject to mandatory supervision as practised by the Financial Services Authority (FSA) in the UK. The purpose was to highlight the areas in which Norges Bank’s asset management operation deviates from the requirements that are normally imposed on private asset managers. To the extent that Ernst & Young’s principles for risk management on the part of private financial firms are not compatible with the current legislation governing the Fund and the central bank, the Ministry will carefully examine whether adaptations should be made to the risk management principles or to the legislation.
5.7 Public hearing of proposed amendments of the accounting and auditing clauses in the Central Bank Act
The Ministry of Finance is of the view that the strong growth in the assets of the Fund, the increased complexity of the management of the Government Pension Fund – Global and the concern for good management control over central bank duties make it necessary to continue evolving the management and control structure of the Bank.
The establishment of a new internal audit unit and the cooperation with Deloitte AS within external audit of the bank’s investment management operation have contributed to strengthening the control and supervision arrangements. These actions have been implemented within the framework of today’s Central Bank Act. The Ministry of Finance deems it appropriate to consider changes in the accounting and auditing clauses of the Central Bank Act in order to further strengthening the control and supervision arrangements. The Ministry will therefore be circulating the following proposed amendments to the Central Bank Act for comments:
Replace the arrangement for a designated central bank audit department by an arrangement whereby the Supervisory Council appoints an external auditor for Norges Bank.
Establish legal authority for regulations on what accounting principles Norges Bank should observe.
Lay down rules on the scope of the audit and the contents of the auditors’ report or establish legal authority for regulations thereon (at present, the Supervisory Council stipulates an audit code for the Bank).
One should in this context consider whether the auditors should, in addition to performing a financial audit of the accounts, be given a so-called certification assignment within certain areas, for example in relation to the assessment of systems for internal control. One aims to submit draft amendments to the Central Bank Act in the autumn.
5.8 Details concerning the new management framework for the Government Pension Fund – Norway
The framework for Folketrygdfondet’s management of the Government Pension Fund – Norway was amended during the course of 2007 as a result of the reorganisation of Folketrygdfondet as a company by special statute. The Ministry also reviewed, in the context of such reorganisation, the rest of the framework for Folketrygdfondet. This has resulted in a new management framework for the Government Pension Fund – Norway, governed by the Act of 29 June 2007 No. 44 relating to Folketrygdfondet, the Regulations of 7 November 2007 No. 1228 relating to the Management of the Government Pension Fund – Norway, guidelines stipulating supplementary provisions, as well as a management agreement between the Ministry of Finance and Folketrygdfondet.
Risk management and control procedures
The Board of Directors of Folketrygdfondet shall, in line with Section 7 of the Regulations, ensure that the management of the Government Pension Fund – Norway is subject to satisfactory risk management and control procedures. The supplementary guidelines to the Regulations specifically require the management, measurement and control of risk to be in conformity with best international practise and internationally recognised methods. This has to do with the fact that the Government aims for the Government Pension Fund to be the best managed fund in the world, which makes it necessary to aim for best international asset management practise in efforts relating to the Fund, cf. Chapter 1. Consequently, the purpose of these requirements is to bring the framework more closely in line with best practise for this type of activities. Stricter qualitative risk management requirements, etc., need to be considered in the context of the additional degrees of freedom granted to Folketrygdfondet, through the new framework, when it comes to the Government Pension Fund – Norway, hereunder in relation to the use of financial instruments. At the same time, recent national and international events in the financial markets are a strong reminder of the importance of maintaining adequate systems for the management and control of risk. It has been documented by a number of studies that considerable losses incurred by financial institutions can often be attributed to inadequate risk management and internal control. 44
The Ministry has examined, in its effort to operationalise the changes to the management framework for the Government Pension Fund – Norway, what forms of risk, etc., are of relevance to the asset management operation, and has at the same time surveyed what requirements it would be appropriate to impose in relation to the handling of various risks based on best international practise and internationally recognised methods. The Ministry has identified the following main risk groups in the management of the Government Pension Fund – Norway: market risk, credit risk, counterparty risk, exchange rate risk and operational risk. It is a requirement in respect of all the risk groups that the measurement, management and control of various risks be in conformity with best international practise and internationally recognised methods. Furthermore, Folketrygdfondet is required to define principles for pricing and performance measurement in relation to various financial instruments. There are also strict requirements relating to internal control on the part of the company, hereunder requirements as to the distribution of duties between the Board of Directors and senior management and other controlling functions, as well as a requirement for the establishment of a structure within Folketrygdfondet that ensures the necessary independence between controlling functions and the front office.
The management agreement entered into between the Ministry of Finance and Folketrygdfondet imposes detailed requirements as to the contents of the regular reporting to the Ministry on the Fund’s performance, in line with the requirements laid down in supplementary guidelines as to the measurement, management and control of risk. Regular meetings are planned with Folketrygdfondet as part of the Ministry’s effort relating to operational management follow-up, during which the reporting of return and risk will be addressed specifically.
The new framework involves considerably stricter requirements than before, hereunder in relation to the measurement, management and control of risk, as well as reporting, which necessitate a significant investment in new control systems on the part of Folketrygdfondet, hereunder risk measurement systems. The Ministry is of the view that such an investment is required to ensure that Folketrygdfondet has adequate risk management and control systems, in conformity with the requirements stipulated in the new framework. This will, at the same time, involve a considerable increase in expenditure on the part of Folketrygdfondet in 2008 in connection with the implementation of new control systems. It is expected, in line with the agreement formed between the Ministry of Finance and Folketrygdfondet concerning the management of the Government Pension Fund – Norway in 2008, that the operating expenses of Folketrygdfondet will increase, from 2007 to 2008, by about NOK 40 million (i.e. from close to NOK 52 million (excl. depreciation) to almost NOK 92 million). A major part of the increase in expenses will be of a non-recurring nature, but it must nevertheless be expected that the level of expenses will in future be higher than has previously been the case, due to, inter alia, higher expenses incurred in the operation of control systems.
The Ministry would like to note that Folketrygdfondet will, with new systems for risk management, control and reporting, receive significantly better managerial information in relation to the asset management operation. This will make the company better equipped to perform such management operation. The Ministry is planning to closely monitor cost developments on the part of Folketrygdfondet, and the implementation of new control systems will be followed up separately through quarterly meetings in 2008.
Accounting rules
The Act of 21 December 2005 No. 123 does not directly regulate accounting standards for the Government Pension Fund – Norway. The Ministry will assess the needs for further regulations of this issue. Such assessment will be related to possible changes in the regulation of accounting standards for the Government PensionFund – Globel, cf. above.
Footnotes
The performance analysis is based on data from Norges Bank and calculations using such data, carried out by the Ministry of Finance.
The benchmark portfolio comprises equities included in the index FTSE Global Equity Index Series All Cap. A modified version of this index is used for management purposes, encompassing 27 countries. The benchmark portfolio furthermore comprises bonds included in the indices Lehman Global Aggregate and Lehman Global Real. The benchmark indices for bonds encompass the currencies of 21 countries.
When the return is measured in foreign currency, the return in individual currencies is weighted together in accordance with the weights the benchmark portfolio of the Fund.
See Box 2.6 in Report No. 24 (2006-2007) to the Storting for a more detailed analysis of the difference between the return on the Fund as measured in local currency and in kroner, based on figures for the period 1998-2006.
See Box 2.7 in Report No. 24 (2006-2007) to the Storting for a more detailed calculation of the diversification benefit of the Government Pension Fund – Global.
It is difficult to convert these findings into annual effects by, for example, increasing the monthly effects by a factor of 12. This is because it is unlikely that one would observe 12 identical empirical probability distributions (unless one adopts the assumption that the rates of return are perfectly autocorrelated, which the realised values demonstrate not to be the case).
There may also be more technical reasons for the discrepancies, hereunder that it is difficult to achieve a composition of the actual portfolio that is at all times identical to the benchmark portfolio, as well as transaction costs implying that it will not always be desirable to have a composition of the actual portfolio that is identical to the benchmark portfolio.
The Ministry defines the benchmark portfolio of the Fund, and carries the exchange rate risk associated therewith. Norges Bank is responsible for the difference in exchange rate exposure between the actual portfolio and the benchmark portfolio. It is therefore relevant, for purposes of evaluating management performance, to focus on the excess return as measured in kroner.
See Box 2.4 in Report No. 24 (2006-2007) to the Storting for a more detailed discussion.
The performance analysis is based on data from Folketrygdfondet and calculations using such data, carried out by the Ministry of Finance.
Companies that are listed in Iceland or in Norway, and that are included in VINX Benchmark, have been removed from the index base.
The increased risk associated with the overall Fund in 2007 needs to be seen in the context of the abolition of the sight deposit arrangement for the Fund in December 2006, and the fact that the equity portfolio represents a larger portion of the overall total portfolio since then. Consequently, one needs to be prepared for greater annual fluctuations in the return on the Pension Fund – Norway in future than have been registered historically. Based on certain simple computations referred to in Report No. 24 (2006-2007) to the Storting, the risk associated with the Fund has been more or less doubled as the result of the termination of the sight deposits. The standard deviation of the total portfolio can be expected to increase significantly.
The simulations are based on data from Dimson, Marsh og Staunton at London Business School.
See Norges Bank (2005), “Long-term outlook for fixed income and equity return”, Staff Memo 2005/10 , and Norges Bank (2006), “Long-term market outlook”, Staff Memo 2006/7 .
See Dimson, E., P. Marsh and M. Staunton (2008), Global Investment Returns Yearbook 2008 .
See Graham, J.R. and C.R. Harvey (2007), “The Equity Risk Premium in January 2007: Evidence from the Global CFO Outlook Survey”. Available on http://ssrn.com/abstract=959703.
The total return index FTSE World has since 1986 featured an average annual volatility of 13.9 pct. for the world portfolio of large-cap and medium-cap equities, whilst it has been 14.4 pct., 16.1 pct. and 20.3 pct. for the US, Europe and Japan, respectively (Source: Datastream).
Horizon effects arise if the returns on equities and bonds share joint components in a stochastic trend (cointegration), for example driven by macroeconomic variables like economic growth.
The correlation is generally assumed to be positive, but lower than 0.5.
The analysis simulates uncertainty concerning the estimates for expected returns by drawing expected values (drift) from a normal distribution with a mean value equal to the point estimate and an estimated standard deviation. The standard deviation of the periodic return will thereby increase marginally (i.e. by about 0.2 pct.).
If the pricing process of an asset class is modelled as geometric Brownian motions, one has implicitly assumed that the geometric returns on such asset class are normally distributed (this does not apply, however, to the a portfolio of such asset classes). Consequently, so-called fat tails (“excess kurtosis”), like for example higher downside risk relative to the normal distribution, will not be modelled. However, over long time horizons, like for example the 15-year periods chosen for purposes of this simulation, the error introduced by assuming normal distribution will decline in magnitude.
The portfolio volatility will thereby be somewhat underestimated. However, the error is minor, since most interest attaches to the expected return and risk as measured in a currency basket, and the weights in such currency basket are aligned with (but not identical to) the foreign exchange exposure of the Fund. A more detailed simulation featuring national/regional divisions (five countries/regions), with attendant stochastic exchange rates, shows that the annual volatility is underestimated by about 20 basis points.
Inflow of new funds is disregarded, as these are not included in this analysis.
See Hoesli, M. and C. Lizieri: “Real Estate in the Investment Portfolio.” A report prepared for the Investment Strategy Council of the Ministry of Finance. The report is available at www.government.no/spf.
Levine, M., D. Ürge-Vorsatz, K. Blok, LO. Geng, D. Harvey, S. Lang, G. Lvermore, A. Mongameli Mehlwana, S. Mirasgedis, A. Novikova, J. Rilling, H. Yoshino, 2007: Residential and commercial buildings. In Climate Change 2007: Mitigation, Contribution of Working Group III to the fourth Assessment Report of the Intergovernmental Panel on Climate Change [B. Metz, O.R. Davidson, P.R. Bosch, R. Dave, L.A. Meyer (eds)], Cambridge University Press, Cambridge, United Kingdom and New York, NY, USA.
Standard & Poor’s Global Stock Markets Factbook 2007 .
Calculated as geometric average. Much of the growth resulted from increases in the value of existing companies. Some of the growth can also be attributed to an increase in the number of listed companies.
The figures are not adjusted for free flow. The investable part of the turnover is commented on below.
These are Argentina, Brazil, Chile, Mexico, Peru, China, India, Indonesia, Korea, Malaysia, the Philippines, Taiwan, Thailand, the Czech Republic, Hungary, Poland, Russia, Turkey, Egypt, Israel, Morocco and South Africa.
GEIS: Global Equity Index Series.
The value of a foreign investment will increase (as calculated in USD) for a USD-based investor when the US dollar depreciates. Each local currency unit will be worth more USD units.
See Coplin, W.D., and M.K. O’Leary (1994), “The Handbook of Country and Political Risk Analysis”, Political Risk Services, for a more detailed description.
The political risk index operates on a scale from 0 to 100 (0-49.9: Very high risk; 50.0-59.9: High risk; 60.0-69.9: Moderate risk; 70.0-79.9: Low risk; 80.0-100: Very low risk). The economic and financial risk indices operate on a scale from 0 to 50 (0-24.9: Very high risk; 25.0-29.9: High risk; 30.0-34.9: Moderate risk; 35.0-39.9: Low risk; 40.0-50.0: Very low risk). The scale for the composite risk index ranges from 0 to 100 (0-49.9: Very high risk; 50.0-59.9: High risk; 60.0-69.9: Moderate risk; 70.0-79.9: Low risk; 80.0-100: Very low risk).
Dimson, E., P. Marsh and M. Staunton (2002), Triumph of the Optimists: 101 Years of Global Investment Returns , Princeton University Press.
Ritter, J.R. (2005), “Economic Growth and Equity Returns”, Pacific-Basin Finance Journal 13, pp. 489-503.
Siegel, J.J. (1998), Stocks for the Long Run , second edition, McGraw Hill.
La Porta, R., F. Lopez-de-Silanes, A. Shleifer and R.W. Vishny (2000), “Agency Problems and Dividend Policies Around the World”, Journal of Finance 55, pp. 1-33.
Siegel, J.J. (1999), “The Shrinking Equity Premium: Historical Facts and Future Forecasts”, Journal of Portfolio Management 26, pp. 10-17.
Bansal, R. and M. Dahlquist (2002), “Expropriation Risk and Return in Global Equity Markets”, Working paper.
Diamond, P.A. (1999), “What Stock Market Returns to Expect for the Future? An Issue in Brief”, Center for Retirement Research at Boston College, no. 2.
A footnote to Appendix III to the US Treasury’s semi-annual Report to Congress on International Economic and Exchange Rate Policies in June 2007 states: “Norway’s Government Pension Fund – Global is broadly recognized as exemplifying best practices in transparency.”
Folketrygdfondet has decided that the ethical principles shall apply to both the Fund’s equity investments and to its fixed-income investments, although the latter do not carry ownership rights.
This development is described, inter alia, in Chapter 12, “Risk-based supervision – development of new tools”, in the anniversary publication “Experiences and Challenges – 20 Years as an Integrated Supervisory Authority” of Kredittilsynet (the Financial Supervisory Authority of Norway).
Cf. the »Framework for internal control systems in banking organisations» study published by the Basle Committee on Banking Supervision in September 1998, which documents that a number of cases in which banks have incurred considerable losses can be attributed to inadequate internal control systems. Furthermore, Hull (2006) presents, in the book “Options, Futures and other Derivates”, several examples of financial institutions that have over the last two decades incurred considerable losses as the result of speculation in the derivatives markets, and which clearly illustrate the need for imposing strict requirements on risk management and control systems.