Tilbake


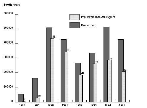
Figur 3.5
Ordremasse ved norske skisverft fra 1980-1995