1 Riksmeklerens møtebok

Figur 1.1

Figur 1.2
Undervedlegg a
Til protokollen

Figur 1.3
Undervedlegg b
Hovedtariffavtalen i staten 1. mai 2014 – 30. april 2016

Figur 1.4

Figur 1.5

Figur 1.6

Figur 1.7

Figur 1.8

Figur 1.9

Figur 1.10

Figur 1.11

Figur 1.12

Figur 1.13

Figur 1.14

Figur 1.15

Figur 1.16

Figur 1.17

Figur 1.18

Figur 1.19

Figur 1.20

Figur 1.21

Figur 1.22

Figur 1.23

Figur 1.24

Figur 1.25

Figur 1.26

Figur 1.27

Figur 1.28

Figur 1.29

Figur 1.30

Figur 1.31

Figur 1.32

Figur 1.33

Figur 1.34

Figur 1.35

Figur 1.36

Figur 1.37

Figur 1.38
Undervedlegg c
Hovedlønnstabell

Figur 1.39
Undervedlegg d
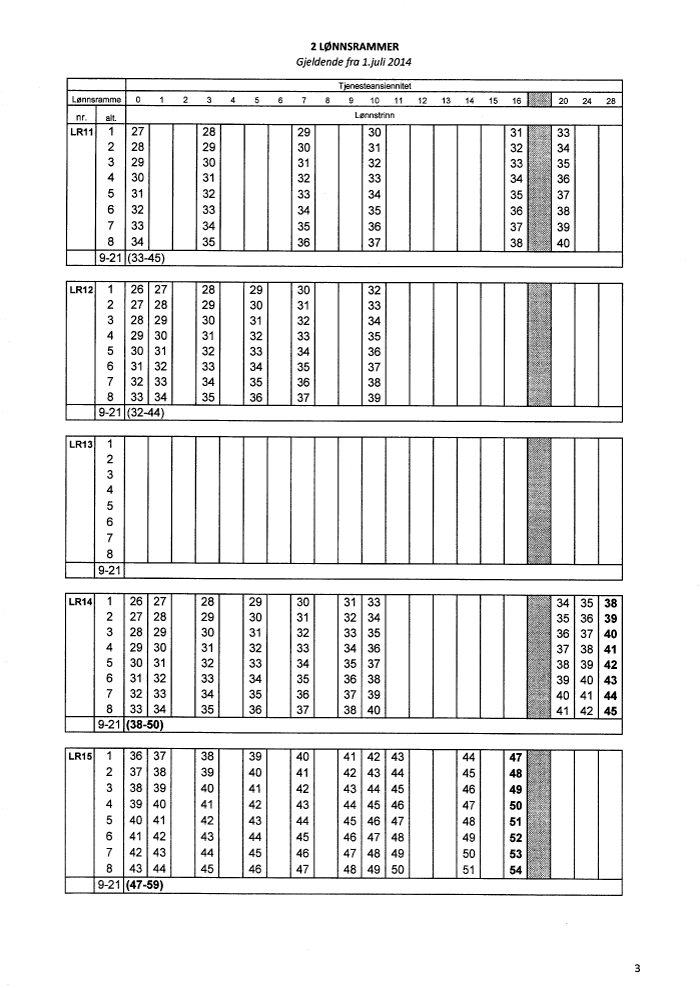
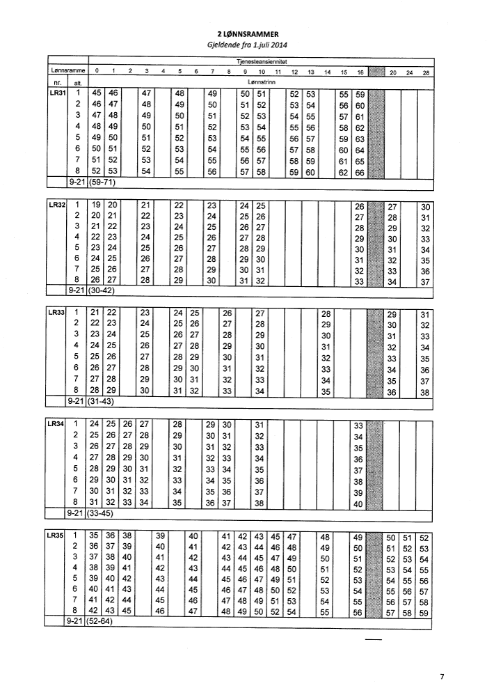
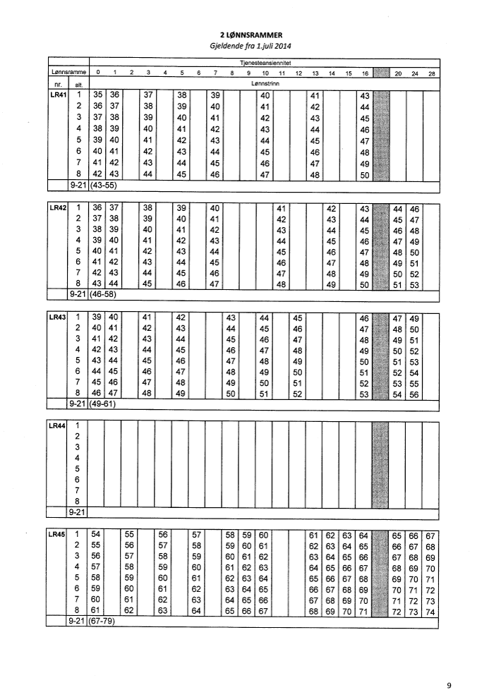
Lønnsrammer

Figur 1.40

Figur 1.41

Figur 1.42

Figur 1.43

Figur 1.44

Figur 1.45

Figur 1.46

Figur 1.47

Figur 1.48
Undervedlegg e
Lønnsplaner

Figur 1.49

Figur 1.50

Figur 1.51

Figur 1.52

Figur 1.53

Figur 1.54

Figur 1.55

Figur 1.56

Figur 1.57

Figur 1.58

Figur 1.59

Figur 1.60

Figur 1.61

Figur 1.62

Figur 1.63
Undervedlegg f
Forhandlingssteder ved lokale forhandlinger i tariffperioden 2014-2016

Figur 1.64

Figur 1.65

Figur 1.66

Figur 1.67

Figur 1.68

Figur 1.69

Figur 1.70

Figur 1.71

Figur 1.72
Undervedlegg g
Intensjonserklæring om omstilling under trygghet

Figur 1.73
Undervedlegg h
Pensjonsgivende variable tillegg

Figur 1.74