Aktiver Javascript i nettlesaren din for ei bedre oppleving på regjeringen.no
For å endre skriftstorleiken, hald Ctrl-tasten nede (Cmd-tasten på Mac) og trykk på + for å forstørre eller - for å forminske.
Utvalde hurtiglenker
Finn tema
Finn dokument
Aktuelt
Departementene
Regjering
Del
Kjelde
Referansen blir henta automatisk frå sida og kan mangle informasjon eller innehalde feil.
Lenkeverktøy er aktivert, trykk på lenkeikon ved siden av overskrift/avsnitt for å kopiere lenke.Slå av lenkeverktøy
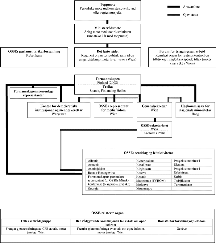
Figur 1.1 Organisasjonskart: OSSEs organisasjon og institusjonar
Gir mulighet for å kopiere lenke til et spesifikt kapittel/avsnitt