4 Kulturminner og kulturmiljøer
Vern og forvaltning av kulturminner og kulturmiljøer handler om å ta vare på kulturarven. Kulturminnene utgjør sammen med naturressursene hovedelementene i en samlet miljø- og ressursforvaltning. De er viktige som kunnskaps- og bruksressurs, og som grunnlag for menneskets livskvalitet. Stabilitet og historisk sammenheng i de fysiske omgivelsene bidrar til trygghet og identitetsfølelse, samtidig som kulturarven representerer store opplevelsesverdier og estetiske verdier.
Kulturminner og kulturmiljøer representerer store samfunnsmessige investeringer. Av den totale realkapitalen i samfunnet, utgjør det bygde miljø 80 %. Det er en utfordring å forvalte disse verdiene på en god måte. Det er bl.a. viktig å finne flere bruksmuligheter for eksisterende bygningsmasse for å redusere total avfallsmengde og energibruk, samt utvikle metoder for vedlikehold, rehabilitering og gjenvinning. Gjennom bevaring av kulturminnene kan vi få tilbake og sikre tapt kunnskap, og på den måten bidra til å finne svar på nye problemstillinger og utfordringer i arbeidet med å utvikle et økologisk bærekraftig samfunn.
Boks 4.5 Mål for bevaring av kulturminner og kulturmiljøer
Strategisk mål:
Mangfoldet av kulturminner og kulturmiljø skal forvaltes og ivaretas som bruksressurser, og som grunnlag for opplevelse og videreutvikling av fysiske omgivelser. Et representativt utvalg av kulturminner og kulturmiljøer skal tas vare på i et langsiktig perspektiv som kunnskapsressurser og som grunnlag for opplevelser.
Nasjonale resultatmål:
Det årlige tapet av kulturminner og kulturmiljøer som følge av fjerning, ødeleggelse eller forfall, skal minimeres, og skal innen år 2008 ikke overstige 0,5 % årlig.
Det representative utvalget av kulturminner og kulturmiljøer skal bevares i en tilstand som tilsvarer 1998-nivå, og fredete bygninger og anlegg skal ha ordinært vedlikeholdsnivå innen år 2010.
Den geografiske, sosiale, etniske og tidsmessige bredde i varig vernede kulturminner og kulturmiljøer skal bedres, slik at svakt representerte og manglende hovedgrupper er representert med flere objekter innen år 2004 i forhold til 1998-nivå.
4.1 Mål
Regjeringen mener det er viktig å synliggjøre et nasjonalt ambisjonsnivå på følgende tre områder i kulturminnepolitikken: Reduksjon i det generelle tapet av kulturminner og kulturmiljøer (totalbestand) som følge av fjerning, ødeleggelse eller forfall, bedring i vedlikeholdstilstanden til kulturminner/kulturmiljøer som er vernet og bedring av representativiteten av de ulike hovedtypene av kulturminner og kulturmiljøer.
Det årlige tapet av kulturminner og kulturmiljøer er beregnet til ca. 1 %. Å redusere dette tapet til det halve innen år 2008, jf. resultatmål 1 i boks 4.1, innebærer et høyt ambisjonsnivå, men Regjeringen anser det nødvendig å bremse tapsfrekvensen kraftig. Når kulturminner og kulturmiljøer ødelegges eller forsvinner, er tapet irreversibelt. I tillegg til de store kulturhistoriske og opplevelsesmessige verdiene, tapes unikt kildemateriale, ofte til vår eldste historie. Dette målet er direkte forankret i kulturminnelovens formålsparagraf. Gjennom internasjonale avtaler og konvensjoner, bl.a. Verdensarvkonvensjonen, Konvensjonen om vern av Europas faste kulturminner og Konvensjonen om vern av den arkeologiske kulturarv, er Norge forpliktet til å forvalte og sikre vår fysiske kulturarv på en forsvarlig måte.
Det er et stort problem at nasjonalt verneverdige kulturminner og kulturmiljøer forfaller . Mange fredete bygninger og kulturmiljøer er i så dårlig forfatning at det kreves en omfattende innsats å sette dem i stand opp til ordinært vedlikeholdsnivå, jf. resultatmål 2 i boks 4.1. Det er i første rekke eiere som har ansvaret for vedlikehold og istandsetting av sine bygninger, også de som er fredet. Dersom det stilles antikvarisk fordyrende krav til restaurering mv., skal kulturminneforvaltningen dekke dette helt eller delvis. Utilstrekkelig vedlikehold over tid har ført til behov for å heve den bygningsmessige standard på mange av disse bygningene opp til et nivå som kun krever vanlig vedlikehold for å holde dem i hevd. Riksantikvaren vil i løpet av 2000 utarbeide en liste over tilstanden på nasjonalt verneverdige kulturminner og kulturmiljøer.
En representativ del av kulturarven fra bl.a. alle samfunnslag, samfunnsområder og tidsepoker skal sikres og dokumenteres, jf. resultatmål 3 i boks 4.1. Dette innebærer at landets og befolkningens historie sikres. I dag er sammensetningen av fredete anlegg, objekter og områder ikke dekkende i forhold til et slikt mål. Det er også nødvendig med bedre systematisering og oversikt over de ulike typene kulturminner og kulturmiljøer. Riksantikvaren vil i løpet av år 2000 systematisere fredete kulturminner og -miljøer i hovedtyper og gjennom dette avdekke mangler. Dette innebærer også utarbeiding av kriterier for prioritering og utvelgelse av nye fredningsobjekter.
4.2 Tilstand og måloppnåelse
De siste 20–30 årene har arbeidet med kulturminner utviklet seg fra vern av enkeltstående bygninger og monumenter til bevaring av større helhetlige miljøer hvor det blir lagt vekt på å ta vare på verdifulle bygninger og anlegg i sitt opprinnelige miljø. I tillegg til fredninger av enkeltobjekter, er det satt i gang 15 kulturmiljøfredninger som etter planen sluttføres innen 2006. Fredningene spenner fra Grünerløkka i Oslo til Neiden i Finnmark. Tidlig på 1990-tallet ble verneplaner som arbeidsform innført i kulturminneforvaltningen, bl.a. plan for tekniske og industrielle kulturminner, kystens kulturminner og NSBs bygninger. Slike planer gir et helhetsbilde av bestemte typer kulturminner eller kulturmiljøer, og innebærer et mer forutsigbart bilde for berørte parter i fredningsarbeidet og i plan- og byggesaker etter plan- og bygningsloven.
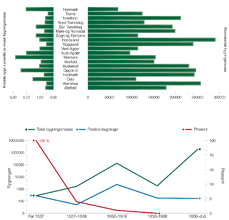
Stående bygninger i hele landet fra perioden 1537 til 1900 (i Finnmark og Troms før 1940) er SEFRAK-registrerte. Denne registreringen omfatter ca. 550 000 bygninger. Den omfatter ikke landets ca. 1 300 kirker. Stikkprøver i utsatte områder viser at tapet av SEFRAK-registrerte bygninger er ca. 10 % på 10 år, dvs. et årlig svinn på ca. 1 %, jf. figur 4.1. Det er i dag registrert og avmerket på Økonomisk kartverk til sammen 300 000 automatisk fredete kulturminner (dvs. kulturminner/anlegg fra før 1537). Tapstallene er ca. 1 % pr. år også for disse. Det er derfor behov for å styrke innsatsen for å nå resultatmål 1, jf. boks 4.1.

Figur 4.1

Figur 4.2 Årsak til skade på ØK-registrerte kulturminner (automatisk fredete) i perioden 1965–1997, basert på undersøkelser i utvalgte fylker.
Kilde: Riksantikvaren
En av de viktigste årsakene til tapet av automatisk fredete kulturminner er økt utbyggingspress med påfølgende fysiske inngrep og arealbruksendringer jf. figur 4.2. Tapstallet er f.eks. mye høyere i pressområder nær større bysentre enn i utkantområder og spredtbygde områder. En stor del av tapet skyldes utbygging av infrastruktur som veier, jernbaner og havner. Den store nydyrkingsaktiviteten i jordbruket på 60- og 70-tallet, samt mekanisering i landbruket, har ført til tap av automatisk fredete kulturminner. Bevisstheten rundt disse problemene har blitt bedre de siste årene, og Landbruksdepartementet og Miljøverndepartementet har i fellesskap utarbeidet en forskrift om nydyrkingstiltak og kulturminner.

Figur 4.3 Representativitet i fredete kulturminner. Geografisk og tidsmessig fordeling av fredete kulturminner.
Kilde: Riksantikvaren
Totalt er ca. 2 900 bygninger og områder fredet etter kulturminneloven . Dette utgjør 0,1 % av total antall bygninger. Alle stavkirkene har nå fått installert brannsikringsanlegg som er operative til enhver tid. Istandsettingen av de profane middelalderbygningene i tre er avsluttet, og 255 bygninger er satt i stand. Store deler av den fredete bygningsmassen, stavkirkene og middelalderruinene er i en svært dårlig forfatning . I enkelte stavkirker er det begynnende konstruksjonsskader. Istandsetting, konservering og vedlikehold må derfor styrkes for at resultatmål 2, jf. boks 4.1, skal nås.
Norge har ratifisert UNESCOs Verdensarvkonvensjon. For å oppfylle våre forpliktelser i forhold til de fire norske områdene på Verdensarvlisten (Bryggen i Bergen, Røros bergstad, Urnes stavkirke og helleristningene i Alta), er det igangsatt et systematisk arbeid for å få oversikt over tilstand, tiltak som må iverksettes og istandsettingskostnader for alle fire områdene. Spesielt Bryggen i Bergen er i svært dårlig forfatning med et beregnet totalt investeringsbehov på over 200 mill. kroner. Situasjonen kan fort utvikle seg på en måte som gjør at det kan reises spørsmål om Norge oppfyller sine forpliktelser i forhold til konvensjonen.
Brann er en av de største truslene mot den fredete bygningsmassen. Siden 1992 er 42 kirker påtent eller forsøkt påtent. I tillegg er manglende vedlikehold en alvorlig trussel. Dårlig vedlikehold skyldes såvel mangel på kunnskap, kompetanse og kapasitet, som for små økonomiske ressurser. Generelt manglende kunnskap og liten bevissthet i befolkningen og hos beslutningstakere om det verdi- og kunnskapspotensiale kulturminnene representerer, er kanskje den mest grunnleggende årsaken til tapet av kulturminner og kulturmiljøer. Manglende kunnskap om tradisjonell byggeteknikk, om materialbruk og om de nedbrytingsprosesser som ødelegger vår bygningsarv, reduserer muligheten til å ta vare på bygninger.
Det er i dag 162 eldre fartøyer som har vernestatus. Antallet er lavt sett på bakgrunn av den kulturhistoriske betydning fartøyene har hatt for norsk næringsliv, samferdsel og samfunnsutvikling. Fartøyvernet er i stor grad basert på initiativ og aktiv innsats fra frivillige organisasjoner og enkeltpersoner.
Om lag 1 % av landets verneverdige bygninger er fredet. Vedtaksfredningene omfatter for en stor del bygninger fra landbruket og kulturminner fra de bedre stilte lag av befolkningen som ofte framstår som iøynefallende og estetisk tiltalende byggverk. Den vedtaksfredete bygningsmassen avspeiler i for liten grad kulturminner fra ulike næringsveier, kystkulturen og det samiske samfunnet. Kun et fåtall større sammenhengende områder er fredet etter kulturminneloven. Først i de senere årene har fokus vært rettet mot vedtaksfredning av bysentre, bydeler, tettsteder og landskap som viser utviklingen over en lengre tidsperiode. Listen over vedtaksfredete objekter og områder framstår derfor som skjev og til dels mangelfull, jf. figur 4.3. De vedtaksfredete objekter og områder må derfor komplementeres på flere områder før resultatmål 3, jf. boks 4.1, kan nås.

Figur 4.4 Levetid og vedlikehold av kulturminner. Sammenheng mellom investering og tilstanden for bygninger.
Kilde: Riksantikvaren
4.3 Virkemiddelbruk og tiltak
Regjeringen vil:
gjennomgå kulturminnepolitikken,
gjennomgå skatte- og avgiftsregelverket for å identifisere ordninger som motvirker privat verneinnsats,
forsere arbeidet med å sette i stand fredete bygninger og anlegg opp til ordinær vedlikeholdssituasjon,
styrke istandsetting av Bryggen i Bergen,
styrke fylkeskommunen som regional kulturminnemyndighet ved informasjons- og opplæringstiltak.
Det er behov for en grundig gjennomgang av hele kulturminnepolitikken . Regjeringen oppnevnte derfor våren 1999 et offentlig utvalg som skal utrede strategier, mål og virkemidler i kulturminnepolitikken. Utvalget skal utrede og videreutvikle perspektivet på kulturminner som en viktig dimensjon ved bærekraftbegrepet, og som ressurs i samfunnsutviklingen. Utvalget vil særlig fokusere på situasjonen for eiere av fredete og bevaringsverdige kulturminner, på hvilken rolle frivillige organisasjoner skal ha innen kulturminnearbeidet og på organiseringen regionalt og kommunenes framtidige rolle i kulturminneforvaltningen. Identifisering av flaskehalser og angivelse av forbedringspunkter i eksisterende systemer og arbeidsformer blir også en viktig del av utredningen. Utvalget skal legge fram sin innstilling våren 2001.
Våren 1999 ble det foreslått endringer i kulturminneloven for å styrke vernet av våre verdifulle kulturminner, jf. Ot.prp. nr. 50 Om endringer i lov av 9. juni 1978 nr. 50 om kulturminner. Forslaget innebærer bl.a. at kommuner som mottar rive- eller ombyggingssøknader for bygninger oppført før 1850 må varsle kulturminneforvaltningen før saken sluttbehandles i kommunen. Grensen for den automatiske fredningen for stående byggverk flyttes fra 1537 til 1650. Forslaget omfatter i tillegg forenkling av regler for å frede statlige bygninger av nasjonal betydning, og at løse kulturminner fra oldtid og middelalder skal kunne sikres for allmenne formål gjennom forkjøpsrett for det offentlige ved auksjonssalg eller ved ekspropriasjon. Det innføres også adgang til å frede verneverdige båter. I statsbudsjettet for 2000 har Regjeringen foreslått enkelte endringer i skattesystemet for å stimulere til økt privat verneinnsats for kulturminner. Det foreslås å utvide det gjeldende unntaket fra prosentligning for fredete boliger (som medfører at eieren kan velge direkte ligning av boligen i stedet for prosentligning) til også å gjelde boliger i områder regulert til spesialområdet bevaring etter plan- og bygningsloven. Samtidig foreslås det at bindingstiden for direkte ligning avvikles og erstattes med vanlige regler for overgang mellom direkte ligning og prosentligning.
God forvaltning av kulturminner og kulturmiljøer avhenger i betydelig grad av innsatsen i de ulike samfunnssektorene. Sektoransvaret for miljøet innebærer i denne sammenheng å ta ansvaret for å bevare kulturminner og kulturmiljøer som tilhører egen sektor, samt å innrette virksomheten i sektoren slik at den tar tilstrekkelig hensyn til kulturminner og kulturmiljøer for øvrig. En bredere kompetanse når det gjelder kulturminne- og kulturmiljøforvaltning bygges nå opp hos samferdselsetatene. Regjeringen legger vekt på å utvikle samarbeidet om utarbeiding av verneplaner, konsekvensvurderinger, oppbygging av kulturminnefaglig kompetanse i sektorene og oppbygging og bruk av kulturminneregistre.
Økt kulturminnefaglig kompetanse og kunnskap i kommunene er nødvendig for å få til en bedre forvaltning av kulturminne- og kulturmiljøverdiene gjennom kommunale arealplaner og håndheving av planene gjennom kommunens byggesaksbehandling. Riksantikvaren arbeider med en tiltakspakke overfor kommunal sektor. I tillegg støtter Miljøverndepartementet et utviklings- og prøveprosjekt i Aust-Agder for å få kommunene mer aktivt inn i kulturminneforvaltningen.
De mange ulike databasene med kulturminne- og miljøinformasjon skal samles i en overordnet kulturminnebase. Bedre tilgjengelighet av data vil være viktig i dette arbeidet. I 2000 vil arbeidet med å forberede sentrale registre til dette formålet, og gjøre data tilgjengelig for Nasjonalt bygningsregister/GAB og AREALIS, bli prioritert. Arbeidet med Register for økonomisk kartverk (register over automatisk fredete kulturminner) vil bli forsert, slik at det kan koples med GAB-registreringen innen 2003. GAB-registrering vil føre til at utbyggere og andre tiltakshavere på et tidlig tidspunkt kan få opplyst om det er kulturminner på eiendommen, og dermed kunne innrette seg etter dette tidlig i planprosessen. Riksantikvarens interne registre over vedtaksfredete og automatisk fredete kulturminner fra middelalder og nyere tid skal oppdateres og utvikles for bruk på internett. Det blir også viktig å videreutvikle samarbeidet mellom kultur- og miljøvernforvaltningen – særlig i forhold til museenes informasjons- og holdningsskapende arbeid.
Som ledd i å desentralisere myndighet og ansvar til politiske beslutningsnivåer, ble fylkeskommunen fra 1990 etablert som regional kulturminnemyndighet. Det er behov for å styrke fylkeskommunens mulighet til å følge opp dette ansvaret, herunder veiledning og råd til kommuner og eiere av kulturminner. For å fremme en slik utvikling skal det satses på økt informasjon og faglig utviklings- og opplæringsvirksomhet rettet både mot forvaltning og eiere av kulturminner.
De store ikke-kvantifiserbare kulturhistoriske og samfunnsmessige verdier knyttet til de fredete bygningene, vil bli ødelagt hvis ikke vedlikeholdsstandarden forbedres og opprettholdes, jf. figur 4.4. Regjeringen legger i statsbudsjettet for 2000 opp til å starte arbeidet med å innhente det store etterslepet for gradvis å komme over i en ordinær vedlikeholdssituasjon for fredete bygninger og anlegg. Arbeidet vil omfatte restaurering og vedlikehold, istandsetting, konservering samt skjøtsel og informasjonsarbeid. Fylkeskommunen har en sentral oppgave med å lede arbeidet for vedtaksfredete bygninger og anlegg. Dette skal skje i samarbeid mellom grunneiere, kommunene og Riksantikvaren, og må ses i et 10–15 års perspektiv. En slik satsing vil være et viktig bidrag til å bedre situasjonen for eiere av fredete bygninger og anlegg, private så vel som offentlige. Dette vil erfaringsmessig også utløse en sterkere privat verneinnsats. Satsingen har i tillegg en klar distriktsprofil og vil bidra til lokal/regional næringsutvikling (håndverksbedrifter og materialprodusenter). Erfaring viser at den kompetanse om tradisjonell byggeteknikk og materialbruk som bygges opp i forbindelse med slike konsentrerte satsninger, blir etterspurt langt utover det marked som den fredete bygningsmassen utgjør.
Eiere av stavkirkene står overfor store vedlikeholdsoppgaver. Disse oppgavene stiller spesielle krav både til materialbruk og håndverksutførelse, noe som gjør det umulig for mange kirkeeiere å gjennomføre arbeidene uten vesentlige statlige tilskudd. Det er også viktig å øke og spre kunnskapen om hvordan stavkirkene er bygget og vedlikeholdt, og sørge for at det finnes lokal kompetanse hos eiere og håndverkere til å gjøre framtidig vedlikehold. Regjeringen vil prioritere istandsetting av stavkirkene. Som en del av arbeidet vil det bli utarbeidet vedlikeholdsavtaler mellom staten og eierne av stavkirkene. Arbeidene vil også føre til at aktivitetene kan utnyttes til å skape interesse og tilknytning i lokalmiljøet og som attraksjon i reiselivsvirksomhet.
Det er nødvendig å sette i verk omfattende istandsetting av Bryggen i Bergen for at den skal kunne forsvare sin posisjon på Verdensarvlisten. Det er gjennomført en utredning som kartlegger tilstand, kalkulerer istandsettingskostnader og beskriver gjennomføring. Regjeringen legger opp til at Bryggen i Bergen i løpet av 10–15 år skal settes i forsvarlig stand.
I løpet av de siste 25 årene har det skjedd en akselererende nedbryting av bergkunsten i Norge. Årsakene er flere og sammensatte. I 1996 satte Riksantikvaren i gang Bergkunstprosjektet for bl.a. å få dokumentert og tilstandsvurdert 300 av de 1 100 kjente bergkunstlokalitetene i Norge. Prosjektet innebærer et betydelig internasjonalt samarbeid. Oppdatert statusrapport og plan for sluttføring skal framlegges i år 2000 på grunnlag av erfaring og kunnskapsoppbygning.
Det er økende bevissthet om at det i bykjernene og sentrumsdannelsene er kulturhistoriske verdier nedfelt i bygninger og infrastruktur som er viktige for utviklingen av attraktive og gode tettsteder og sentrumsmiljøer. Planlegging i og omkring bymiljøer skal ivareta både vern og utvikling. I forvaltningen av kulturminnene står vi overfor utfordringen: Hvordan ta vare på og formidle det viktigste fra fortiden, samtidig som det legges til rette for gode løsninger for å dekke dagens og morgendagens behov gjennom utvikling og nyskaping av fysiske omgivelser og offentlige rom med høy kvalitet.
Stadig flere norske byer arbeider med utviklingsstrategier basert på omforming og ny bruk av allerede bebygde områder. Dette fører ofte til konflikter mellom ønsket om å rive eller endre eksisterende strukturer og bebyggelse og ønsket om å bevare verdifulle bygnings- og kulturmiljøer. I forbindelse med Samarbeidsforum for storbyutvikling , hvor ni departementer og de seks største byene deltar, er det igangsatt et samarbeid mellom Riksantikvaren og byene om utvikling av bedre samarbeidsprosesser mellom kulturvern- og planmyndigheter og analysemetoder for bedre tolkning og forståelse av de fysiske omgivelsene og prinsipper for omforming av byområder.
I bistandsarbeidet er det lagt særlig vekt på at kulturarven er viktig for identitet, forståelse for eget kulturelt ståsted og som kilde til kunnskap om egen historie og utvikling. Regjeringen vil vurdere hvordan vern av kulturminner kan utnyttes bedre i dette arbeidet som et potensiale i forhold til utfordringer knyttet til demokratibygging, menneskerettigheter, utdanning og næringsutvikling.