4 Valgdeltakelsen ved kommunevalg: Bedre enn sitt rykte?
Tor Midtbø Institutt for sammenlignende politikk, UiB
I denne fremstillingen studeres valgdeltakelsen ved norske kommunevalg over tid. Det er imidlertid ikke reduksjonen i nivået på deltakelsen som atter en gang settes under lupen. Spørsmålet er derimot hvordan spredningen i deltakelsen mellom kommunene har utviklet seg. Ikke bare en nedgang, men også en konvergens i valgdeltakelsen bør bekymre tilhengere av et vitalt lokaldemokrati. Undersøkelsen viser imidlertid at valgdeltakelsen har begynt å (sigma-) divergere de senere tiår: Valgdeltakelsen varierer stadig mer mellom kommunegrensene, noe som tyder på at kommunene «spiller en rolle» og at nasjonaliseringsprosessen har stoppet opp. Analysen avsluttes med et tentativt forsøk på å kartlegge hva den nye divergensen består i, og hvordan den kan forklares.
4.1 Introduksjon
Det er velkjent at valgdeltakelsen ved norske kommunevalg både faller over tid, og at den faller betydelig i forhold til deltakelsen ved stortingsvalg (se f.eks. Aardal 2002). Selv om forklaringene på fenomenet ikke er like uomtvistelige, synes flere sentrale årsaksvariabler å være identifisert (se f.eks. Hansen et al. 2002). Men én ting er å studere nivået på valgdeltakelsen, en helt annen er å ta for seg den longitudinelle variasjonen i valgdeltakelsen kommunene imellom. Det er dette siste perspektivet som danner utgangspunkt for denne analysen: Er de lokale variasjonene i valgdeltakelsen i ferd med å viskes ut? Oppmerksomheten rettes mot «valgvindens retning», eller i hvilken grad endringene i valgdeltakelsen har blitt mer ensartet på tvers av kommunegrensene. Dersom endringene avtar over tid, dvs. at valgdeltakelsen konvergerer på tvers av kommunegrensene, må vi anta at det er felles underliggende årsaker som driver frem standardiseringsprosessen. Disse årsakene vil sannsynligvis ligge utenfor lokalpolitikken, blant annet i rikspolitikken. Følgende spørsmål vies oppmerksomhet:
Blir mobiliseringen i én kommune sterkere knyttet til mobiliseringen i andre kommuner? Konvergerer eller divergerer valgdeltakelsen?
Er spredningen i valgdeltakelsen større ved kommunevalg enn ved andre typer valg?
Hvilke kommuner mobiliserer mest (eller demobiliserer minst)?
Sammenfaller spredningen i den kommunale valgdeltakelsen over tid med trender i andre politiske variabler?
Analysen fokuserer på kommunene, som også utgjør enhetene i analysen. Fylkes- og stortingsvalgene benyttes bare som sammenligningsgrunnlag. Interessen er knyttet til den geografiske variasjonen i en sentral politisk variabel: valgdeltakelse. Tilnærmingen har dermed mye til felles med Rokkan og Valens (1962) klassiske studie som også var basert på økologiske data. I motsetning til senere økologiske analyser som har forsøkt å isolere den direkte effekten av riksvalg på lokalvalg (Gitlesen og Rommetvedt 1994, Thomsen 1998) vil de nasjonale effektene her bli vurdert i form av generelle konvergensmål. Hensikten er altså ikke å isolere en spesifikk rikspolitisk effekt på den lokale deltakelsen – en oppgave som er vanskelig, kanskje også umulig (Bjørklund 1999).
4.2 Hvorfor er dette en interessant problemstilling?
Den generelle nedgangen i valgdeltakelsesnivået vil av mange oppfattes som et lokaldemokratisk problem (se for eksempel Pettersen 1988). Men ikke bare nivået på deltakelsen er viktig. Dersom det skulle vise seg at også spredningen i valgdeltakelsen kommunene imellom avtar over tid, forsterkes det lokaldemokratiske problemet ytterligere ettersom det kommunalpolitiske særpreget blekner: «Et levende lokaldemokrati (fører) uvergelig til lokale variasjoner» (Bjørklund og Saglie 2005:8). I et slikt perspektiv er ulikhet bedre enn likhet. Dersom det nasjonale fortrenger det lokale, bør ikke bare valgdeltakelsen være lavere ved kommunevalg enn ved stortingsvalg - noe den uomtvistelig er – men også variasjonen kommunene imellom forventes å avta. Jo større avvik mellom den lokale og nasjonale deltakelsen, og jo mindre avvik kommunene imellom, desto større grunn til bekymring for tilhengere av et vitalt lokaldemokrati. Hvis både deltakelsesnivået og deltakelsesvariasjonen synker, er det ikke bare færre som deltar, men det er også færre som deltar med utgangspunkt i et lokalpolitisk engasjement.
Figur 4.1, som viser en hypotetisk valgdeltakelse i tre kommuner over to valg, kan illustrere poenget. Situasjonen i figuren til venstre er ille nok. Den beskriver en fallende gjennomsnittlig tendens i valgdeltakelsen for alle tre kommuner fra det første valget til det neste. Det er da også denne utviklingen, dvs. den gjennomsnittlige nedgangen i valgdeltakelsen, som bekymrer valgforskere, politikere og massemedier. Men om utviklingen i figuren til venstre er gal, er utviklingen i figuren til høyre enda verre. Også her er det snakk om en generell nedgang i deltakelsen, men nå reduseres dessuten avstanden kommunene imellom. Sett i et lokaldemokratisk perspektiv bør konvergensen være like ille som nedgangen. I det ekstreme tilfellet av total konvergens og et totalt fravær av variasjon - noe som i figuren ville tilsi at de tre prikkene faller sammen til én - ville lokalvalg fremstå som overflødige. For å sette det på spissen: 1 Dersom det ikke finnes variasjoner i det politiske engasjementet kommunene imellom, hva er da vitsen med å ha dem? Ville det ikke da være nok å avholde rikspolitiske valg alene (der valgdeltakelsen dessuten er høyere og noenlunde stabil), og eventuelt bare beholde kommunene som rene administrative enheter? Men siden dette er et normativt spørsmål og den fallende lokalpolitiske deltakelsen er en kjensgjerning, vil resten av fremstillingen fokusere på det empiriske spørsmålet om hvorvidt og eventuelt hvorfor, den norske lokale valgdeltakelsen konvergerer over tid.

Figur 4.1 Fra galt til verre: En tenkt utvikling i valgdeltakelsen i tre kommuner over to valg.
4.3 Teoretisk utgangspunkt
Den norske lokalpolitikken er ofte beskrevet som en ren avspeiling av rikspolitikken (se Bjørklund 2005:42). Selv om velgerne stemmer lokalt, skal de tenke nasjonalt. Lokale valg fremstår som nasjonale valg i miniatyr, eller «store riksgalluper» (se Gitlesen og Rommetvedt 1994:13). Ifølge Nilson (1991:223) er da dette heller ikke til å unngå så lenge lokal- og stortingsvalg er satt til faste intervaller hvert fjerde år og lokalvalgene legges på samme tid i hele landet. Nilson mener også å finne støtte hos nestoren i norsk valgforskning, Henry Valen, som skal ha sagt at det økende rikspolitiske innslaget i lokalvalgene nærmest har gjort det unødvendig å analysere disse uavhengig av stortingsvalgene. Det har for øvrig også kommet forslag fra sentrale politikere om å legge lokale og nasjonale valg til samme tidspunkt, blant annet ut fra begrunnelsen om at lokalvalg bare fungerer som protestvalg mot den sittende regjering (se Gitlesen og Rommetvedt 1994:10).
Pionerenes syn på saken
Ideen om lokalpolitikkens forvitring er ikke ny. Allerede tidlig på 1960-tallet beskrev Rokkan og Valen (1962) en nasjonaliseringsprosess med lokalpolitikkens oppløsning som endestasjon. Med de nasjonale partienes inntog i lokalpolitikken i den tidlige etterkrigsperioden skulle den nasjonale konflikstrukturen legge seg over, og langt på vei skjule, de lokale stridsspørsmål. De lokalpolitiske forskjellene som fortsatt eksisterte var ifølge Rokkan og Valen (Ibid.:112) bare et resultat av ulike tidsetterslep i velgermobiliseringen. Velgerne i periferien evnet ikke å utnytte sine demokratiske rettigheter til fulle. Kolonisering av lokalpolitikken ville derfor ikke skje umiddelbart. Store fysiske avstander og geografisk fragmentering var årsaken til at prosessen i Norge skulle gå tregere enn i andre land. Men det hele var kun et spørsmål om tid: Selv om kommunene i periferien ikke helt hadde forlatt den «prepolitiske» fase, ville favntaket fra de nasjonale partiene bare bli strammere.
Den bakenforliggende faktor, nasjonsbyggingsprosessen, ville med andre ord sørge for at periferien ble stadig likere sentrum. Og når lokalpolitikken ble omfavnet av rikspolitikken, måtte også politikken i én kommune bli likere politikken i andre kommuner. Dette gjaldt ikke bare for politikken generelt, men også for valgdeltakelsen spesielt. Rokkan og Valen forklarte den økte valgdeltakelsen – for da var det økningen , ikke nedgangen, som skulle forklares – i form av en slags catch-up prosess der periferien uvergelig ble underlagt sentrum. Den økte valgdeltakelsen var synonymt med økt deltakelse i periferien . Mobiliseringen ville føre til både en økning og en konvergens i deltakelsen.
Ifølge Rokkan og Valen (1962) var politiseringsprosessen initiert av de nasjonale politiske partiene. Hjellum (1967) hevder på sin side at også selve industrialiseringsprosessen og den påfølgende mobilisering av arbeiderklassen på tvers av kommunegrensene kan ha forsterket denne tendensen. Men også Hjellum deler oppfatningen om en sentralt initiert mobiliseringsprosess: Jo mer standardisering, desto mer mobilisering. De nasjonale partienes engasjement gjør konkurransen skarpere, alternativene klarere og valgdeltakelsen høyere. Når den lokalpolitiske deltakelsen øker, er det fordi betydningen av lokalpolitikken avtar (Aars og Ringkjøb 2005:164)! Mindre lokalpolitikk fører til mer lokalpolitisk engasjement.
Deltakelsesparadokset
Senere forskning har fulgt i sporene til pionerene. Fortsatt synes det å være enighet om at den politiserte lokalpolitikken i kombinasjon med en økonomisk og sosial standardisering har gjort det vanskelig å skille kommunene fra hverandre. Partipolitiseringen av lokalpolitikken har da også vært åpenbar, blant annet illustrert ved at de landsdekkende partiene gjennom etterkrigstiden har lagt beslag på mer enn 95 prosent av stemmene ved kommunevalg (Hansen et al. 2002:54). Standardiseringsprosessen skal løpe parallelt med utbyggingen av velferdsstaten som arbeidsgiver og tilbyder av offentlige tjenester, med en påfølgende homogenisering av befolkningens behov på tvers av kommunegrensene (Bjørklund og Saglie 2005:29). Det snakkes i denne forbindelse om et deltakelsesparadok s der deltakelsen ved lokale valg har gått ned selv om kommunene er blitt stadig viktigere som arbeidsplass og tilbyder av offentlige goder (se Aardal 2002:22). Omtrent hver femte yrkesaktive er ansatt i kommunen (Bjørklund 2002:69-70). Men sett i internasjonal målestokk er den kommunale sektoren i Norge ikke bare stor, den er også utsatt for sterk sentral kontroll og regulering for å sikre uniforme tjenester på tvers av kommunegrensene (Sørensen 2003:173). Hansen (2000:210) finner en klar tendens til standardisering av de kommunale utgiftsbeslutningene over tid – en standardisering som i stor grad, men ikke utelukkende, har sin bakgrunn i statlige reguleringer. De lokale rammene bestemmes i stadig større grad nasjonalt.
Gitt at mye av lokalpolitikken er begrenset til implementering av statlige målsettinger, er det kanskje ikke så rart at rikspolitikerne nå dominerer den lokale valgkampen. Mediedekningen kjenntegnes ved riksdekkende aviser og fjernsyn som fremhever et fåtall rikspolitiske saker og partiledere på bekostning av et utall lokalpolitiske stridsspørsmål og kandidater. Tendensen mot flere riksdekkende medier (selv om de lokale mediene langt fra er forsvunnet) og et mer homogent skoletilbud kan trekke i retning av en mer nasjonalisert lokalpolitikk. En synkende valgdeltakelse er dessuten blitt knyttet til økt geografisk mobilitet på tvers av kommunegrensene (se Aardal 2002:25). Denne mobiliteten trenger ikke bare å ha svekket deltakelsen; den kan også ha ført til en geografisk utjevning kommunene imellom.
Har standardiseringsprosessen stoppet opp?
Argumentet om lokalpolitikkens endelikt har imidlertid ikke bare sine tilhengere. Som Gitlesen og Rommetvedt (1994:7) bemerker, bør «den forutinntatte oppfatningen om rikspolitikkens dominans (over lokalpolitikken) problematiseres og nyanseres.» De viser blant annet til undersøkelser i Danmark, Sverige og Storbritannia der den rikspolitiske effekten på lokalvalg fremstår som svakere enn forventet (ibid. 161). Standardiseringsprosessen i Kommune-Norge er da heller ikke entydig. Hva tjenesteyting angår, eksisterer det fortsatt betydelige forskjeller kommunene imellom (se for eksempel Hansen et al. 2002:51). Og selv om statlige overføringer utgjør en voksende andel av kommunenes inntekter, er det iøyefallende variasjoner i kommunale inntekter og forbruk (Sørensen 2003:174-175).
Heller ikke på den partipolitiske arenaen er nasjonaliseringsprosessen entydig. Ifølge Aars og Ringkjøb (2005:161) har lokalpolitikken blitt revitalisert den senere tid. Selv om nasjonale partier fortsatt dominerer lokalt, skal de lokale listene ha gjort seg sterkere gjeldende fra 1990-tallet, med unntak av 2003-valget da omfanget på ny ble redusert. Og selv om de landsomfattende partiene på mange måter har styrket grepet i utkantkommunene, blant annet i form av partilister i stadig flere kommuner (Bjørklund 2005:204), er det totale antallet partimedlemmer i nedgang og velgernes partilojalitet svekket. Dermed kan selve motoren i standardiseringsprosessen, den nasjonale partipolitikken, ha mistet noe av sin kraft. Dette kan i sin tur ha ført til større variasjon i deltakelsen mellom kommunene.
4.4 Metodiske spørsmål
Lokalpolitisk mobilisering kan studeres fra flere innfallsvinkler. Den enkleste måten er vel rett og slett å sammenligne de aggregerte tallene for ulike valg. For eksempel skulle bare det faktum at valgdeltakelsen er lavere, og sterkere avtakende, i lokalvalg enn stortingsvalg tilsi at den lokalpolitiske mobiliseringen er på vikende front (Bjørklund 1999:115). En alternativ tilnærming vil være å spørre velgerne direkte hvor viktig nasjonale faktorer er for lokalpolitisk deltakelse og stemmegivning. Surveyanalyser viser at andelen velgere som lar rikspolitiske saker styre stemmegivningen på lokale partier faktisk er lavere i 2003 enn i 1995, og at andelen som legger vekt på lokale saker øker (se Bjørklund og Saglie 2005:37). Gitlesen og Rommetvedt (1994:159) finner utfra en lignende tilnærming at det særlig er velgere i de små kommunene som er opptatt av kommunevalget og de personlige egenskapene til lokalpolitikerne.
En tredje tilnærming består i å isolere den direkte effekten av nasjonalpolitikk på lokalpolitikk ved hjelp av aggregerte data fra henholdsvis lokalvalg og stortingsvalg, og eventuelt meningsmålinger (Gitlesen og Rommetvedt 1994; Thomsen 1998). Dette er imidlertid ingen enkel – og ifølge noen nærmest en umulig – oppgave (Bjørklund 1999:110). Ett av problemene er at en styrking av nasjonalpolitikken ikke alltid trenger å føre til mindre lokalpolitisk variasjon. Bjørklund mener at alkoholforbudet i mellomkrigstiden er et eksempel i så måte: En nasjonal sak aksentuerte sentrum-periferi konflikten som i sin tur førte til større , ikke mindre, lokale forskjeller.
Sammenlignet med den sistnevnte tilnærmingsmåten, er metoden her både enklere og mer vidtfavnende. Spørsmålet er rett og slett om den lokale valgdeltakelsen er blitt likere på tvers av kommunegrensene, uten at det gjøres noe systematisk forsøk på å isolere betydningen av nasjonale valg for denne variasjonen. Som vi har sett, trenger ikke en eventuell konvergens i valgdeltakelsen å skyldes rikspolitikken alene. Avtakende variasjon kan også tilskrives grunnleggende samfunnsmessige endringer som har ført kommunene som sådan, og ikke bare den kommunale valgdeltakelsen, nærmere hverandre. Når det er sagt, er det likevel nærliggende å anta at en eventuell synkende varians i valgdeltakelsen på tvers av kommune i stor grad må være nasjonalpolitisk bestemt. Dette gjelder ikke minst i senere tid der de geografiske skillelinjene er blitt svekket - med EU-saken som unntaket som bekrefter regelen. Mange av de resterende nasjonale påvirkningsfaktorene som nasjonale medier, offentlige velferdstjenester, og kanskje også inntektsutviklingen (som det dessverre mangler gode diakrone data for) bør også bidra til mindre variasjon kommunene imellom. Svekkingen av partiene vil på den annen side være en nasjonal faktor som taler mot en konvergensprosess.
Mål på konvergens
Det finnes flere definisjoner og alternative økonometriske teknikker for å fange opp graden av konvergens. Her benyttes de to mest enkle og vanlige definisjonene innenfor litteraturen, nemlig betakonvergens og sigmakonvergens (se Sala-I-Martin 1996:1020). I vårt tilfelle forekommer (absolutt) betakonvergens dersom kommuner med en opprinnelig lav valgdeltakelse har en sterkere positiv vekst i deltakelsen enn kommuner med en høy deltakelse i utgangspunktet. Denne typen konvergens kan identifiseres ved å definere valgdeltakelsen i startåret (her rett etter annen verdenskrig) som en uavhengig variabel og endringen fra startåret til sluttåret som den avhengige variabel. Dersom effekten er negativ (dvs. at kommuner med lav valgdeltakelse i startåret har den sterkeste positive, eller svakest negative, veksten), er utviklingen konvergerende. En slik utvikling er i tråd med forventningene til Rokkan og Valen (1962) og Hjellum (1967). Er effekten derimot positiv – dvs. at kommuner med opprinnelig høy deltakelse har en sterkere vekst enn kommuner med en opprinnelig lav deltakelse – er det snakk om betadivergens.
Den andre typen av konvergens, sigmakonvergens, finner sted dersom spredningen i valgdeltakelsen mellom kommunene avtar over tid. Spredningens utvikling kan måles ved å sammenligne variasjonskoeffisienten (som ikke er annet enn standardavviket delt på gjennomsnittet) for den kommunale valgdeltakelsen over suksessive valg. Dersom variasjonskoeffisienten avtar, er det en indikasjon på konvergens. Skulle den derimot øke, er prosessen divergerende.
Beta- og sigmakonvergens er selvfølgelig nært beslektet. Hvis valgdeltakelsen varierer mindre over tid mellom kommunene, må veksten i deltakelsen i kommuner med opprinnelig lav deltakelse være høyere enn i kommuner med opprinnelig høy deltakelse. Betakonvergens er en nødvendig forutsetning for sigmakonvergens. Betakonvergens er likevel mulig uten sigmakonvergens. Selv om veksten er høyere i lavdeltakelseskommunene – noe som fører til betakonvergens – kan veksten være så sterk at disse kommunene passerer det som i sin tid var høydeltakelseskommunene. Da vil vi få en divergens fordi styrkeforholdet mellom de to gruppene av kommuner blir snudd på hodet. Som vi skal se, er det nettopp dette som ser ut til å ha skjedd med den kommunale valgdeltakelsen.
Selv om sigmakonvergens er bedre egnet for å identifisere vendepunkter i konvergens/divergens prosessen, ligger det i betakonvergens et mer direkte uttrykk for mobilisering – et sentralt begrep hos valgforskerne. Denne typen konvergens beskriver med andre ord i hvilken grad de dårlig stilte kommunene har evnet å mobilisere ressurser relativt til de tidlig mobiliserte kommunene.
Dataene er hentet fra Kommunedatabasen hos NSD. 2 Kommuneinndelingen er satt til 2005, noe som gir ialt 433 kommuner. Selv om fokuset er på kommunevalg, presenteres også utviklingen for fylkestings- og stortingsvalg. Fordelen ved å foreta en slik sammenligning, er at vi får et inntrykk av hvor mye politikk har å si for spredningen i valgdeltakelsen. Ettersom alle valgene finner sted innenfor tilnærmet samme økonomiske og sosiale kontekst, nemlig kommunen på et gitt tidspunkt, er det kun politiske faktorer som kan forklare variasjonene valgene imellom. Forskjellene kan med andre ord ikke skyldes sosial, økonomisk, kulturell eller geografisk konvergens siden disse er nærmest konstante for alle tre valgene.
4.5 En analyse av konvergens i den kommunale valgdeltakelsen
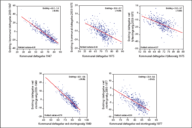
Vi begynner med å analysere omfanget av betakonvergens i den kommunale valgdeltakelsen. Spørsmålet er altså om deltakelsen har økt sterkest i kommuner der den opprinnelig var lavest. Figur 4.2 sammenligner graden av konvergens i valgdeltakelsen ved kommunevalg med konvergensen i fylkestingsvalg og stortingsvalg for to ulike starttidspunkt, 1949 og 1975/77 (da fylkestingsvalgene ble innført) og ett sluttidspunkt (2003/2005). Figuren viser en klar konvergens i valgdeltakelsen for alle typer valg, selv med 1975 som utgangspunkt. Det er ingen tvil om at kommunene som før, dvs. enten i 1949 eller 1975/77, hadde lav valgdeltakelse har mobilisert betydelig sterkere enn kommuner som i utgangspunktet hadde høy valgdeltakelse. Resultatet gir en klar støtte til hypotesen om en standardisering av den lokale valgdeltakelsen.
Bildet er likevel nyansert. For det første er konvergensprosessen markert svakere etter 1975/77 for både kommune- og stortingsvalgene. Mye av catch-up tendensen fant altså sted allerede tidlig i etterkrigsperioden. For det andre er konvergensprosessen hele tiden sterkere for kommunevalg enn for stortingsvalg, selv om den også der er sterk. Kommuner som hadde ett prosentpoeng lavere valgdeltakelse ved kommunevalget i 1949 fikk ifølge modellen dette nøyaktig kompensert ved valget i 2003 (jfr. en ustandardisert regresjonskoeffisient lik -1). For eksempel var valgdeltakelsen 75 prosent for Vennesla og 74 prosent for Kongsvinger i 1949. Ifølge modellen forventes valgdeltakelsen i Kongsvinger å ha avtatt med 13.4 prosentpoeng, mens reduksjonen for Vennesla forventes å ha vært ett prosentpoeng høyere: 14.4.

Figur 4.2 Betakonvergens i valgdeltakelsen etter 1945. Ustandardiserte regresjonskoeffisienter. T-verdier i parentes. N=433.
Med en R2 på hele 0.81, har modellen for kommunevalgene svært god forklaringskraft. Likevel er det noen få kommuner som skiller seg ut. Dette gjelder ikke minst Fedje som kan vise til en økning i valgdeltakelsen på hele 51.8 prosentpoeng fra 1947 til 2003 selv om modellen «bare» predikerte en økning på 35.5 prosentpoeng. Alt i alt er konvergenstendensen markert for alle tre valg, om enn aller sterkest for kommune- og fylkestingsvalgene. Mobiliseringsprosessen har med andre ord vært sterkest i den lokale valgdeltakelsen.
Sigmakonvergens
Sigmakonvergens sier som nevnt noe om hvorvidt spredningen mellom enhetene, her målt gjennom variasjonskoeffisienten, forandrer seg over tid. Dersom variasjonskoeffisienten er fallende, blir forskjellene i valgdeltakelsen kommunene imellom mindre, slik Rokkan og Valen (1962) og Hjellum (1967) predikerte.
Selv om utviklingen i betakonvergensen er i tråd med mobiliseringsprosessen beskrevet av pionerene, gjelder ikke det samme for sigmakonvergensen (se Figur 4.3). Riktignok er det en tydelig prosess mot mindre spredning i den kommunale valgdeltakelsen i hele etterkrigstiden frem til 1980-tallet. Men etter den tid har prosessen snudd. I løpet av de senere tiår har den kommunale valgdeltakelsen begynt å divergere. En periode med stadig større likhet, er blitt erstattet med en periode der forskjellene begynner å øke.
Etterkrigsperioden kan altså deles i to: I den første perioden frem til midten av 1980-tallet var det en klar sigmakonvergens i den kommunale valgdeltakelsen. Selv om variasjonene hele tiden har vært større enn ved stortingsvalgene, var den negative endringstakten sterkere. Variasjonen i den kommunale valgdeltakelsen har med andre ord hele tiden vært størst, men den har også avtatt sterkest. Figur 4.3 levner likevel ingen tvil om at variasjonen i den lokale valgdeltakelsen hele tiden er større enn for stortingsvalg. Det er med andre ord slik at valgdeltakelsen varierer mer mellom kommuner når velgerne stemmer eller kunne ha stemt på lokale partier (og politikere) enn når de stemmer eller kunne ha stemt på nasjonale partier. Dette er ikke overraskende: Når det er snakk om nasjonale valg bør tross alt de nasjonale faktorene være viktigere enn de lokale.
Men i motsetning til valgdeltakelsen ved stortingsvalg, som etter en kort periode med divergens på 1980 siden bare har fortsatt å konvergere, har utviklingen ved kommunevalg vært preget av en stadig økende divergens fra midten av 1980-tallet. Mens nivået i deltakelsen ved stortingsvalg bare fortsetter å bli likere og likere på tvers av kommunegrensene, har valgdeltakelsen ved kommunevalg begynt å variere stadig sterkere (riktignok med en viss utflating ved de aller siste valgene). Faktisk begynner forskjellen mellom kommunevalg og stortingsvalg å nærme seg det den var rett etter krigen, bare med motsatt fortegn. Variasjonen kommunene imellom er for øvrig aller stekest ved fylkestingsvalg. Dette er overraskende, og i strid med Gitlesen og Rommetvedts (1994:160) argument om at det egentlig bare er kommunevalgene som lever opp til betegnelsen lokalvalg.
Legg også merke til at 1963-valget – som ofte er fremstilt som det første virkelige nasjonale lokalvalget - ikke skiller seg spesielt ut, men kun faller inn i en generell nedadgående trend. Den kraftige økningen i nivået på valgdeltakelsen ved kommunevalget i 1963, som jo var preget av (den nasjonale) Kings Bay saken, skulle ifølge Nilson i stor grad ha sammenheng med innføringen av fjernsynet og dets mobiliserende kraft. Men om det fant sted en økning i valgdeltakelsen i 1963, var det ingen tegn til noen usedvanlig standardisering av valgdeltakelsen, noe vi skulle forvente så lenge en nasjonal sak og et nasjonalt massemedium bidro til mobiliseringen. Det er for øvrig også interessant å registrere hvordan konvergensprosessen tok en midlertidig pause ved stortingsvalget i 1993. Det at spredningen økte ved dette valget er i tråd med argumentet til Bjørklund (1999) om at nasjonale saker – i dette tilfellet EU-saken – faktisk kan fremme, ikke bare hemme, den lokale variasjonen.

Figur 4.3 Sigma-konvergens i valgdeltakelsen. Variasjonskoeffisienten over tid.
4.6 Den nye divergensen: Hva består den av?
Selv om lavdeltakelseskommunene har tatt igjen høydeltakelseskommune og spredningen i valgdeltakelsen kommunene imellom har avtatt gradvis i nærmere 40 år, har altså variasjonene i den kommunale valgdeltakelsen begynt å øke den senere tid. For å komme litt under de generelle tallene, kan vi begynne med å sammenligne utviklingen i den kommunale valgdeltakelsen for de ti kommunene med lavest valgdeltakelse rett etter krigen med de ti kommunene med høyest deltakelse på samme tidspunkt (se Figur 4.4). 3

Figur 4.4 Utviklingen i valgdeltakelsen for ti kommuner med henholdsvis lavest og høyest valgdeltakelse i 1951.
Som vi ser av figuren, har utviklingen i de to kommunegruppene gått i nesten motsatt retning. De ti kommunene med høyest valgdeltakelse i 1951 (stort sett store kommuner på Østlandet) har hatt en jevn nedgang i valgdeltakelsen siden 1963, mens de ti kommunene med lavest deltakelse i 1951 (alle på Vestlandet og i Nord-Norge) har kunnet vise til en økning i valgdeltakelsen helt frem til 1983, da veksten flatet ut for så å avta. Nedgangen har imidlertid vært svakere enn for de opprinnelige høydeltakelseskommunene. Valgdeltakelsen til lavdeltakelseskommunene passerte valgdeltakelsen til høydeltakelseskommunene i 1995.
Vi kan også sammenligne de ti kommunene med henholdsvis den mest positive og den mest negative utviklingen i valgdeltakelsen i løpet av etterkrigsperioden. I den første gruppen bestående av tre kommuner på Vestlandet (Fedje, Modalen og Utsira) og resten fra Nord-Norge (Kautokeino, Vevelstad, Rødøy, Bindal, Tysfjord, Røst, Herøy) har det vært en gjennomsnittlig oppgang i valgdeltakelsen på 26.5 prosentpoeng. De ti kommunene med den mest negative utviklingen – alle fra Oslofjord og Indre Østlandet (Askim, Ringsaker, Spydeberg, Drammen, Svelvik, Hamar, Fredrikstad, Halden, Lom og Nittedal) - har hatt en gjennomsnittlig nedgang på 27.2 prosentpoeng. Den første gruppen av kommuner er faktisk ikke spesielt unik. Så mange som 114 av 433 kommuner kan faktisk vise til en oppgang i valgdeltakelsen fra 1951 til 2003. Antall kommuner med fremgang i perioden 1947-2003 er, ikke overraskende, enda høyere; 139.
Gitt at de perifere kommunene gjerne også er småkommuner, kan det være interessant å sammenligne deltakelsen i store versus små kommuner. Basert på en todeling av kommunene etter kommunestørrelse (målt i form av antall stemmeberettigede) i 2005, er resultatet at den ene halvdelen (216) av store kommuner har hatt en gjennomsnittlig nedgang i valgdeltakelsen fra 1951 til 2003 på 11.8 prosentpoeng, mens den andre halvdelen av (217) mindre kommuner nærmest har stått på stedet hvil, med en beskjeden nedgang på 0.9 prosentpoeng. 43.3 prosent av disse mindre kommunene har faktisk hatt en oppgang i deltakelsen i løpet av perioden 1951-2003, mens det tilsvarende tallet for de store kommunene bare er 9.3 prosent: Mer enn ni av ti store kommuner kan vise til en nedgang i valgdeltakelsen, mens det samme gjelder for bare litt over én av to småkommuner.
Resultatet bør ikke sjokkere: Allerede Rokkan og Valen (1962:112) bemerket at politiseringsprosessen i de små utkantkommunene fant sted samtidig med en tiltakende depolitiseringsprosess og svakere mobilisering i de større byene (se også Torgersen 1962:166). Resultatet er dessuten i tråd med undersøkelsen til Gitlesen og Rommetvedt (1994:19) som finner at avvikene fra den rikspolitiske tendensen er sterkere i småkommuner enn i de større kommunene (selv om de ser tegn til at også de større byene avviker fra den nasjonale tendensen). Resultatet samsvarer også med Bjørklunds (2002:73-74) observasjon om en pendelbevegelse i deltakelsen. På 1970-tallet var det ikke lenger noen forskjeller å spore i nivået på valgdeltakelsen mellom tettbygde og grisgrendte kommuner, og i den påfølgende perioden er deltakelsen konsekvent høyere i de grisgrendte strøkene. Ifølge Bjørklund er det slik at dersom perioden før 1963 har vært kjennetegnet ved en mobilisering av periferien, så må den etterfølgende perioden beskrives som en demobilisering av sentrum og en stabilisering av periferien.
Konvergens kan ikke bare knyttes til variasjon mellom kommuner og fylker, men også til variasjon mellom landsdeler . Territoriale motsetninger generelt, og sentrum-periferi konflikter spesielt, har lenge satt preg på norsk politikk (Valen 1981:75). Det har vært vanlig å skille mellom to typer av periferier: Den sørvest-norske periferi der motkulturene har stått sterk og den nord-norske periferi der de sosialistiske partiene tradisjonelt har dominert. Hva valgdeltakelsen angår, er det velkjent at den har vært lavere i Nord-Norge enn i resten av landet (Pettersen 1988:295). Faktisk har de tre nordligste fylkene hatt lavere valgdeltakelse enn resten av landet helt tilbake til 1859, det første året hvor data foreligger (Rokkan og Valen 1962:117). Denne forskjellen må i stor grad tillegges det faktum at mange nord-norske kommuner er små og avsidesliggende. Også vestlandsfylkene, Hordaland og Sogn og Fjordane, hadde lenge lav deltakelse. Figur 4.5 viser imidlertid at mens Nord-Norge fortsatt mobiliserer færre velgere enn i resten av landet, passerte Vestlandet landsgjennomsnittet i 1991 og har ligget over siden.

Figur 4.5 Valgdeltakelsen i Nord-Norge og på Vestlandet sammenlignet med resten av landet.
Selv om den aktiviseres fra tid til annen, synes sentrum-periferi konflikten etter hvert å ha mindre betydning for partistemmegivningen. Spørsmålet er derfor om vi finner samme konvergens/divergens prosesser mellom landsdelene som mellom kommunene. Figur 4.6 viser endringen i variasjonskoeffisienten basert på deltakelsesnivået i seks landsdeler (Oslofjorområdet, Indre Østlandet, Sørlandet, Vestlandet, Trøndelag og Nord-Norge).

Figur 4.6 Spredning i valgdeltakelsen mellom landsdeler: Variasjonskoeffisienten.
Som vi ser av figuren, er tendensen til konvergens tydeligere og jevnere når landsdelene, og ikke kommunene, benyttes som enheter. Valgdeltakelsen har altså blitt stadig likere mellom landsdelene, men stadig mer ulik mellom kommunene den senere tid: Selv om den mobiliserende kraften til de regionale skillelinjene synes å ha blitt svekket, øker likevel de lokale forskjellene.
4.7 Sammenfaller spredningen i den lokale valgdeltakelsen med trenden i andre variabler?
Gitt et lavt antall tidsenheter og høyt aggregerte data er det ikke mulig å forklare konvergens eller divergens i form av rigorøse statistiske modeller. Likevel kan det være interessant å se hvorvidt tendensen i valgdeltakelsen sammenfaller med utviklingen i det som må antas å være relaterte variabler. Selv om slike variabler langt fra kan «forklare» valgdeltakelsen innenfor en empirisk tilnærming som denne, vil de - kombinert med de mønstrene som allerede er beskrevet – i det minste kunne gi en viss pekepinn om kildene til den gamle konvergensen og den nye divergensen.
Konvergens i den kommunale partioppslutningen?
Selv om kausalitetsretningen er usikker, er det grunn til å tro at hvorvidt velgerne stemmer er forbundet med hva de stemmer (se for eksempel Midtbø og Strømsnes 1996:392). La oss derfor begynne med å se spredningen i partioppslutningen. Tabell 4.1 og 4.2 viser sigmakonvergens for syv nasjonale partier ved henholdsvis kommune- og stortingsvalg i etterkrigstiden. Vi ser for det første at variasjonskoeffisienten konsekvent er høyere for partiene ved kommunevalg enn ved stortingsvalg, noe som er naturlig blant annet tatt i betraktning den varierende betydningen av lokale lister ved kommunevalgene. Mer interessant er det å registrere at mens utviklingen i spredningen for partioppslutningen ved stortingsvalg er utydelig for å si det mildt – om enn med en viss antydning til en generell konvergens – er spredningen i den kommunale partioppslutningen forbausende lik spredningen i den kommunale valgdeltakelsen.
Tabell 4.1 Variasjonskoeffisienter for syv partier ved kommunevalg i 433 kommuner.
| År | DNA | V | SP | KRF | H | SV | FRP |
| 1947 | 46,50 | 129,03 | 156,15 | 133,19 | 205,88 | . | . |
| 1951 | 46,33 | 119,49 | 137,96 | 126,12 | 161,32 | . | . |
| 1955 | 45,11 | 116,60 | 124,82 | 108,57 | 128,28 | . | . |
| 1959 | 44,44 | 106,27 | 105,98 | 102,77 | 115,23 | . | . |
| 1963 | 43,15 | 106,25 | 95,25 | 96,04 | 102,14 | 191,69 | . |
| 1967 | 40,41 | 81,58 | 81,12 | 92,55 | 90,09 | 131,41 | . |
| 1971 | 39,97 | 86,70 | 71,05 | 82,98 | 93,42 | 189,72 | . |
| 1975 | 41,20 | 121,93 | 72,59 | 67,38 | 87,70 | 110,51 | 335,00 |
| 1979 | 39,35 | 96,37 | 71,28 | 65,83 | 50,08 | 119,71 | 233,36 |
| 1983 | 34,44 | 91,44 | 76,05 | 72,55 | 46,81 | 103,39 | 160,16 |
| 1987 | 32,85 | 94,51 | 80,49 | 78,24 | 48,36 | 96,51 | 143,29 |
| 1991 | 34,88 | 111,71 | 68,74 | 80,93 | 57,04 | 71,27 | 113,50 |
| 1995 | 36,94 | 114,89 | 64,29 | 85,67 | 62,71 | 83,37 | 130,06 |
| 1999 | 37,67 | 113,11 | 74,96 | 86,46 | 64,76 | 95,37 | 99,29 |
| 2003 | 42,17 | 128,77 | 81,34 | 100,26 | 72,07 | 80,24 | 80,47 |
Tabell 4.2 Variasjonskoeffisienter for syv partier ved stortingsvalg i 433 kommuner.
| År | DNA | V | SP | KRF | H | SV | FRP |
| 1949 | 33,3427 | 67,22 | 93,77 | 93,69 | 77,94 | . | . |
| 1953 | 32,1377 | 69,61 | 77,42 | 70,46 | 68,00 | . | . |
| 1957 | 32,1019 | 72,51 | 70,43 | 66,70 | 65,96 | . | . |
| 1961 | 32,6840 | 72,89 | 67,69 | 73,61 | 66,93 | 176,31 | . |
| 1965 | 32,7148 | 65,22 | 66,08 | 81,77 | 60,88 | 63,84 | . |
| 1969 | 32,9755 | 63,78 | 60,48 | 77,60 | 66,20 | 75,10 | . |
| 1973 | 35,7264 | 88,58 | 52,16 | 60,69 | 62,91 | 63,39 | 56,95 |
| 1977 | 33,4237 | 78,86 | 58,03 | 57,70 | 48,79 | 63,30 | 66,52 |
| 1981 | 33,5226 | 61,15 | 61,26 | 61,90 | 33,11 | 61,01 | 63,08 |
| 1985 | 29,7722 | 58,77 | 65,96 | 66,14 | 36,22 | 65,55 | 64,27 |
| 1989 | 28,2323 | 60,77 | 68,32 | 65,26 | 38,64 | 41,76 | 38,01 |
| 1993 | 28,2226 | 61,97 | 40,02 | 65,10 | 49,12 | 48,28 | 59,70 |
| 1997 | 27,5597 | 72,00 | 55,25 | 43,39 | 47,07 | 51,78 | 36,98 |
| 2001 | 33,7179 | 71,15 | 67,95 | 46,92 | 44,04 | 34,90 | 33,06 |
| 2005 | 28,3170 | 52,50 | 65,14 | 71,68 | 48,79 | 41,83 | 29,48 |
Spesielt Arbeiderpartiet og Kristelig Folkeparti, men også Venstre (med unntak av hoppet etter partisplittelsen på 1970-tallet) og delvis Senterpartiet og Høyre har en tilnærmet kurvelineær utviklingen i partioppslutningen over tid. Trenden i partioppslutningen sammenfaller altså med trenden i valgdeltakelsen. Ikke bare mobiliseringen, men også stemmegivningen, har begynt å variere mer mellom kommunegrensene.
Utviklingen i oppslutningen om lokale lister
Kan kombinasjonen av svekkede regionale konfliktlinjer og økende forskjeller kommunene imellom tilskrives kommunene selv? En indikator på lokalpolitikkens autonomi, og dermed en mulig kilde til lokalpolitisk variasjon, er oppslutningen om lokale lister. Slike lister reflekterer ofte ulike geografiske interesser innenfor og mellom kommuner og fylker. De lokale sakene går gjerne på tvers av de etablerte nasjonale skillelinjene (Bäck et al. 2005:360). For at det skal være noen sammenheng mellom den nye divergensen i valgdeltakelsen og de lokale listene, bør vi kunne forvente 1) at omfanget av lokale lister har økt den senere tid og 2) at den lokale aktiviteten er relatert til valgdeltakelsen. Begge deler synes å være tilfellet. For det første, og som det fremgår av Figur 4.7, følger trenden i oppslutningen om de lokale listene stort sett den samme trenden som sigmakonvergensen i valgdeltakelsen, om enn først og fremst for de små kommunene. For det andre viser Aars og Ringkjøb (2005:176-177) at korrelasjonene mellom støtten til lokale lister og valgdeltakelse – selv etter å ha kontrollert for kommunestørrelse - går fra å være klart negative på femti- og sekstitallet til å bli klart positive fra og med 1990-tallet. Christensen og Midtbø (2001:412) har dessuten funnet en sammenheng mellom valgdeltakelse og kandidatstemmegivning : I løpet av det siste tiåret har sammenhengen mellom andel rettede stemmer på listen og deltakelse blitt stadig mer positiv. I de kommunene hvor de lokale kandidatene står i fokus, er valgdeltakelsen høyere enn i kommuner hvor de ikke gjør det: «At sammenhengen først har kommet til syne i løpet av det siste tiåret, kan nok sees i sammenheng med svekkelsen av partiidentifikasjonen blant norske velgere. Striden mellom kandidatene har delvis erstattet den passive lojaliteten til partienes som en mobiliserende kraft» (Christensen og Midtbø 2001:412).
Disse resultatene antyder i det minste at noe av variasjonen mellom kommunene kan tillegges variasjoner i de lokalpolitiske tilbudet i form av lokale lister og lokale kandidater, noe som igjen kan tenkes å påvirke etterspørselen i form av stemmegivning og valgdeltakelse.

Figur 4.7 Opplutningen om lokale lister i henhold til kommunestørrelse. Små kommuner mindre enn 2500 innbyggere, store mer enn 20,000 innbyggere.
Kilde: Aars og Ringkjøb (2005:172).
Er den lokale deltakelsen drevet frem av den nasjonale deltakelsen?
Nasjonalisering av lokalpolitikken bør føre til en sterkere konvergens i valgdeltakelsen (og partioppslutningen for den del) så lenge den ikke aktiverer regionale og lokale motsetninger. For å gjøre det enkelt (se Gitlesen og Rommetvedt 1994, Thomsen 1998 for mer utførlige analyser), presenteres to suksessive og bivariate regresjonsmodeller der valgdeltakelsen ved kommunevalg predikeres av henholdsvis den lokale valgdeltakelsen ved forrige kommunevalg (for fire år siden) og forrige stortingsvalg (for to år siden). Dersom den rikspolitiske mobiliseringen skal ha hatt en effekt for den nye divergensen i valgdeltakelsen ved kommunevalg, bør effekten av den nasjonale valgdeltakelsen ha avtatt over tid. Figur 4.8 sammenligner den ustandardiserte regresjonskoeffisienten for henholdsvis den lokale og nasjonale effekten på valgdeltakelsen ved kommunevalg.

Figur 4.8 Effekten av deltakelse ved tidligere kommune- og stortingsvalg på deltakelse ved kommunevalg. Ustandardiserte regresjonskoeffisienter.
Figuren viser få klare tendenser, men vi ser at effekten av nasjonal valgdeltakelse har falt noe siden 1987, samtidig som effekten av tidligere deltakelse ved kommunevalg har styrket seg relativt til den nasjonale deltakelsen fra begynnelsen av 1990-tallet, med unntak av valget i 2003. Resultatet tyder uansett på at effekten av rikspolitikken ikke har økt de siste par tiårene. Dette kan igjen være med på å forklare hvorfor valgdeltakelsen ved kommunevalg har kunnet divergere i samme tidsrom.
4.8 Konklusjon
Selv om valgdeltakelsen ved kommunevalg faller over tid, har spredningen i deltakelsesnivået blitt større: En periode med konvergens er blitt etterfulgt av en periode med divergens. Det lokalpolitiske engasjementet er fallende, men samtidig mer variert. Sett i et lokaldemokratisk perspektiv bør det siste til en viss grad kunne oppveie for det første. Variasjonen i valgdeltakelsen viser at kommunen som sådan «spiller en rolle» selv om den totale interessen for lokalpolitikk (i den grad valgdeltakelsen er et uttrykk for en slik interesse) er på vei nedover.
Det er vanskelig å identifisere faktorene bak den økende spredningen, men ved å sammenholde en rekke mer eller mindre stiliserte fakta kan vi få en viss forståelse for noe av bakgrunnen for utviklingen. Det denne og andre analyser blant annet har vist er følgende:
Valgdeltakelsen ved kommunevalg er lavere, og den avtar sterkere over tid enn stortingsvalg.
Antall medlemmer i de nasjonale partier er synkende over tid, og det er også velgernes partilojalitet.
Mobiliseringen av kommuner med opprinnelig lav valgdeltakelse har vært mye sterkere enn i kommuner med opprinnelig høy deltakelse.
Variasjonen i valgdeltakelsen mellom kommunene er større ved kommune- og fylkestingsvalg enn ved stortingsvalg.
Mens forskjellene i valgdeltakelsen mellom kommunene blir mindre ved stortingsvalg, har forskjellene mellom kommunene ved kommunevalg økt de senere år.
Variasjonene i den kommunale valgdeltakelsen bare fortsetter å avta mellom landsdelene.
På samme måte som for den kommunale valgdeltakelsen, har den kommunale oppslutningen om de etablerte partiene begynt å variere mer de senere årene.
Valgdeltakelsen har ikke avtatt like sterkt i de små kommunene. Faktisk har valgdeltakelsen økt i en rekke av disse kommunene når etterkrigstiden ses under ett.
Sammenfallende med overgangen fra konvergens til divergens i den lokale valgdeltakelsen, har det skjedd et oppsving i både antall lokale lister og i personstemmegivningen. Begge disse faktorene synes å være korrelert med valgdeltakelsen i senere valg.
Effekten av valgdeltakelsen ved tidligere stortingsvalg har ikke blitt sterkere den senere tid.
Den nye divergensen i den kommunale valgdeltakelsen skyldes sannsynligvis tendenser på forskjellige nivåer. På mikronivå kan en stadig mer flytende velgermasse ha skapt konvergens ved å svekke de geografiske skillelinjene. Det kan faktisk også tenkes at flyktigheten i velgeratferden etterhvert har gjenspeilt seg i større forskjeller også mellom de enkelte kommunene. Ikke bare velgernes, men også kommunenes atferd, kan ha blitt mindre forutsigbar. På mesonivå er det tegn til en politisering av kommunene blant annet i form av et oppsving for de lokale listene, økt retting på listene og økende variasjonen i partioppslutningen på kommunalt nivå. Dette kan ha bidratt til en større spredning komunene imellom. Både det at variasjonen er så sterk knyttet til kommunestørrelse og at konvergensen bare fortsetter ved stortingsvalg, kan tyde på at egenskapene ved kommunene selv er viktige for å forklare spredningen i valgdeltakelsen. På makronivå kan svekkelsen av partiene ha ført til en svakere standardiseringsprosess selv om de nasjonale mediene kanskje kan ha motvirket noe av denne tendensen. Heller ikke den økonomiske og sosiale standardiseringen som har fulgt i kjølvannet av velferdsstatsutbyggingen har vært sterk nok til å motvirke en tiltakende ulikhet i kommunenes mobilseringsevne.
Litteratur:
Bäck, Henry, Audun Offerdal og Jacob Aars (2005): «Partikommunens uppgång och fall», i (red.) Marie Demker og Lars Svåsand, Partiernas århundrade . Stockholm: Santérus
Bjørklund, Tor (1999): Et lokalvalg i perspektiv . Oslo: Tano Aschehoug
Bjørklund, Tor (2002): «Den synkende valgdeltakelsen ved lokalvalg – noen årsaker og konsekvenser». I (red.) Bernt Aardal, Valgdeltakelse og lokaldemokrati . Oslo: Kommuneforlaget.
Bjørklund, Tor (2005): «Lokalvalget 2003. På ny et velferdsvalg». I (red.) Jo Saglie og Tor Bjørklund, Lokalvalg og lokalt folkestyre , Oslo: Gyldendal
Bjørklund, Tor og Jo Saglie (2005): «Valgresultatet i 2003. Bakgrunn og perspektiver». I (red.) Jo Saglie og Tor Bjørklund, Lokalvalg og lokalt folkestyre , Oslo: Gyldendal
Christensen, Dag Arne og Tor Midtbø (2001): «Norsk valgdeltakselse i et makro-perspektiv», NOU, 2001:3: Velgere, valgordning, valgte . Oslo: Statens forvaltningstjeneste.
Gitlesen, Jens Petter og Hilmar Rommetvedt (1994): Lokalvalg i møtet mellom riks- og lokalpolitikk . Oslo: Kommuneforlaget.
Hansen, Tore (2000): «Kommunal autonomi – hvor stort er spillerommet?, I (red.) Harald baldersheim og Lawrence E. Rose, Det kommunale laboratorium . Bergen: Fagbokforlaget.
Hansen, Tore, Ingunn Opheim Ellis og Anne Lise Fimreite (2002): »Spiller egenskaper ved kommunene noen rolle for valgdeltakelsen ved kommunevalg?» I (red.) Bernt Aardal, Valgdeltakelse og lokaldemokrati . Oslo: Kommuneforlaget.
Hjellum. Torstein (1967): «The Politicization of local government: Rates of change, conditioning factors, effects on political culture», Scandinavian Political Studies , pp. 69-93.
Midtbø, Tor og Kristin Strømsnes (1996): «Voter Turnout in Norway: Time, Space, and Causality», Scandinavian Political Studies , 19, pp. 379-400.
Nilson, Sten Sparre (1991): «Må politikken bli snever og kortsynt?», Norsk Statsvitenskapelige Tidsskrift , 7, pp. 221-229.
Pettersen, Per Arnt (1988): «Hjemmesitterne: Hvor – Hvem og Hvorfor», Norsk Statsvitenskapelig Tidsskrift , 4, pp. 291-316.
Rokkan, Stein og Henry Valen (1962): «The Mobilization of the Periphery: Data on Turnout, Party Membership and Candidate Recruitment in Norway, Acta Sociologica , 6, pp. 111-158.
Sala-I-Martin, Xavier (1996):«The Classical Approach to Convergence Analysis», Economic Journal , 106, pp. 1019-1036.
Sørensen, Rune (2003): «The Political Economy of Intergovernmental grants: The Norwegian Case«, European Journal of Political Research , 42, pp.163-195.
Thomsen, Søren Risbjerg (1998):«Impact of National Politics on Local Elections in Scandinavia», Scandinavian Political Studies , 21, pp. 325-345.
Torgersen, Ulf (1962): «The Trend Towards Political Consensus: The Case of Norway», Acta Sociologica , 6, pp. 159-184.
Valen, Henry (1981): Valg og Politikk . Oslo: Forbruker- og adminstrasjons-departementet. NKS-Forlaget.
Aardal, Bernt (2002): «Demokrati og valgdeltakelse – en innføring og en oversikt». I (red.) Bernt Aardal, Valgdeltakelse og lokaldemokrati . Oslo: Kommuneforlaget.
Aars, Jacob og Hans-Erik Ringkjøb (2005): «Party Politiciation Reversed? Non-partisan Alternatives in Norwegian Local Politics», Scandinavian Political Studies , 28, pp.161-181.
Fotnoter
Argumentet settes på spissen ved å fokusere deltakelsen, ikke stemmegivningen.
NSD er ikke ansvarlig for bruken eller tolkningen av dataene.
1951 er basisår. De ti kommunene med lavest valgdeltakelse i 1951 er Herøy, Kautokeino, Fedje, Målselv, Træna, Røst, Solund, Modalen, Rødøy og Smøla. De ti kommunene med høyest deltakelse er Moss, Askim, Holmestrand, Halden, Hamar, Grong, Drammen, Alvdal, Spydeberg og Tinn.