2 Regulering av pensjonar m.m. i 2025
2.1 Regler for regulering
Frå og med 2022 vert alderspensjon under utbetaling regulert i tråd med nye reglar for regulering av alderspensjon vedtekne av Stortinget våren 2022, jf. Prop. 41 L (2021–2022) Endringer i folketrygdloven, lov om Statens pensjonskasse og enkelte andre lover (endret regulering av alderspensjon under utbetaling). Alderspensjon under utbetaling skal frå og med 2022 regulerast med gjennomsnittet av lønns- og prisvekst. Grunnbeløpet regulerast i samsvar med lønnsveksten. Alderspensjon under opptening, uføretrygd og andre ytingar som vert regulerte i tråd med endringar i grunnbeløpet, vert dermed også regulerte i samsvar med lønnsveksten. Minste pensjonsnivå og garantipensjon og andre lovfesta pensjonsytingar som har same reguleringsføresegner som folketrygda, eller som viser direkte til reguleringsføresegner i folketrygda vert regulert med gjennomsnitt av lønns- og prisveksten.
Til grunn for den årlege reguleringa ligg den pårekna lønnsveksten i reguleringsåret, justert for eventuelle avvik mellom pårekna og faktisk lønnsvekst dei siste to åra. Den pårekna lønnsveksten i reguleringsåret set ein lik anslaget for gjennomsnittleg årslønnsvekst i revidert nasjonalbudsjett (RNB). Faktisk lønnsvekst dei siste to åra set ein til årslønnsveksten for lønnstakarar under eitt, som går fram av nasjonalrekneskapen som Statistisk sentralbyrå (SSB) publiserer. Veksten i konsumprisane frå revidert nasjonalbudsjett vert lagd til grunn for årets prisvekst, og ein korrigerer for eventuelt avvik i pårekna prisvekst og faktisk prisvekst i det føregåande året. Faktisk prisvekst for året før reguleringsåret vert fastsett av SSB. Departementet viser til forskrift 6. mai 2011 nr. 465 om beregning av lønnsveksten som skal benyttes ved regulering av grunnbeløpet og alderspensjon i folketrygden. Forskrifta følgjer som vedlegg 1.
AFP i privat sektor vert regulert i tråd med dei gamle reglane, altså med lønnsveksten og deretter trekt frå ein fast faktor på 0,75 prosent.
I pensjonsavtalen som blei inngått på Stortinget 29. februar 2024 heiter det:
«Minsteytelsene i pensjonssystemet skal reguleres i tråd med forslaget i Meld. St. 6 (2023–2024) – Et forbedret pensjonssystem med en styrket sosial profil. Forslaget innebærer at minstesatsene G-reguleres. Alle løpende pensjoner reguleres med snitt av lønns- og prisvekst. G-regulering av minstesatsene sikrer at minsteytelsene følger velstandsveksten i samfunnet. Regulering med snitt av lønns- og prisvekst etter uttak, sikrer at de som mottar minsteytelsene i likhet med andre pensjonister, får økt kjøpekraft når lønnsmottagerne får det.»
Avtalen inneber at minsteytingane framover skal regulerast i samsvar med grunnbeløpet (G). Sidan det er lønnsutviklinga som ligg til grunn for reguleringa av G, vil det seie at minsteytingane skal regulerast i tråd med lønnsveksten. Samtidig skal løpande pensjonar framleis regulerast med eit gjennomsnitt av lønns- og prisveksten. Departementet jobbar med eit høyringsnotat som konkretiserer endringane som pensjonsforliket har einast om.
2.2 Regulering frå 1. mai 2025
Ved den årlege reguleringa skal ein som nemnt leggje til grunn forventa lønnsvekst i reguleringsåret og justere for eventuelle avvik mellom forventa og faktisk lønnsvekst dei siste to åra. Veksten i konsumprisane frå revidert nasjonalbudsjett vert lagd til grunn for årets prisvekst.
Lønnsveksten i 2025 vart i revidert nasjonalbudsjett anslått til 4,4 prosent. Ved reguleringa i 2024 vart det lagt til grunn ein forventa lønnsvekst i 2024 på 5,2 prosent. Ifølgje førebelse tal frå nasjonalrekneskapen vart årslønnsveksten 5,6 prosent i 2024. Det ligg dermed føre eit positivt avvik eit år tilbake i tid på 0,4 prosentpoeng som det skal takast omsyn til i årets regulering. Lønnsvekst for 2023 er fastsett til 5,2 prosent, og det ligg ikkje føre avvik to år tilbake i tid. Dette gir ein samla årleg lønnsvekst i 2025 (vekst i gjennomsnittleg grunnbeløp) på 4,82 prosent. Veksten i grunnbeløpet frå 1. mai vert 4,94 prosent.
På bakgrunn av desse anslaga vert det gjennomsnittlege grunnbeløpet auka frå 122 225 kroner i 2024 til 128 116 kroner i 2025. Nytt grunnbeløp frå 1. mai 2025 er 130 160 kroner.
Veksten i konsumprisane i 2025 er anslått til 2,8 prosent i revidert nasjonalbudsjett. Faktisk prisvekst i 2024 er fastsett til 3,1 prosent av Statistisk sentralbyrå. Det er eit negativt avvik i prisveksten for 2024 på 0,8 prosentpoeng som skal takast omsyn til i årets regulering.
Samla prosentvis prisvekst i 2025 er 1,98 prosent. Gjennomsnittet av lønns- og prisvekst er 3,40 prosent. Den prosentvise auken i alderspensjon under utbetaling og satsane for minste pensjonsnivå og garantipensjon er 3,71 prosent frå 1. mai.
Sjå boks 2.1 og boks 2.2.
Boks 2.1 Utrekning av vekst i alderspensjon frå 1. mai 2025
|
2024 |
2025 |
|
|---|---|---|
|
Lønnsvekst: |
||
|
Pårekna lønnsvekst for inneverande år |
5,20 % |
4,40 % |
|
Pårekna lønnsvekst for i fjor |
5,20 % |
5,60 % |
|
Pårekna lønnsvekst for to år sidan |
4,30 % |
5,20 % |
|
Samla (1) |
5,15 % |
4,82 % |
|
Prisvekst: |
||
|
Anslag for inneverande år |
3,90 % |
2,80% |
|
Prisvekst for i fjor |
5,50 % |
3,10 % |
|
Samla (2) |
4,00 % |
1,98 % |
|
Gjennomsnitt av lønns- og prisvekst |
4,58 % |
3,40% |
|
Prosentvis auke i alderspensjon frå 1. mai |
2,76 % |
3,71% |
Samla prosentvis årslønnsvekst i 2025:
Den samla prosentvise årslønnsveksten (sl) som skal brukast ved reguleringa, skal reknast ut etter følgjande formel:
sl = ((1 + a1/100) · (1 + a2/100) · (1 + f/100) – 1) · 100
Faktorane a1 og a2 er avviket i prosentpoeng mellom forventa og faktisk lønnsauke eitt og to år tilbake i tid, noko som i 2025 vil seie 0,40 prosentpoeng for 2024 og 0,0 prosentpoeng for 2023. Faktoren f er forventa lønnsvekst i 2025, anslått til 4,40 prosent.
((1 + 0,40/100) · (1 + 0,0/100) · (1 + 4,40/100) – 1) · 100 = 4,82 prosent
Samla årleg lønnsvekst i 2025 (vekst i gjennomsnittleg G) vart på denne bakgrunnen utrekna til 4,82 prosent.
Vekst i grunnbeløp frå 1. mai 2025:
Nytt grunnbeløp frå 1. mai vert fastsett slik at den prosentvise veksten i det gjennomsnittlege grunnbeløpet frå 2024 til 2025 vert lik den samla årslønnsveksten.
(124 028 · 4 + 130 160 · 8) : 12 = 128 116
Grunnbeløpet aukar frå 124 028 kroner til 130 160 kroner.
Vekst i grunnbeløpet frå 1. mai er 4,94 prosent
Vekst i alderspensjon under utbetaling frå 1. mai 2025:
Alderspensjon under utbetaling vert regulert med gjennomsnittet av lønns- og prisvekst. Samla årleg lønnsvekst i 2025 på 4,82 prosent og samla prisvekst på 1,98 prosent gjev eit gjennomsnitt av lønns- og prisvekst på 3,40 prosent. Ein årsvekst på 3,40 prosent gjev ein prosentvis auke i alderspensjon frå 1. mai på 3,71 prosent, sjå boks 2.2.
Reguleringsfaktoren etter folketrygdloven § 19-14 andre ledd og § 20-18 andre ledd frå 1. mai 2025 er dermed 3,71 prosent.
Vekst i minste pensjonsnivå og garantipensjon frå 1. mai 2025
Minste pensjonsnivå og garantipensjonen vert regulert på same måte som alderspensjon under utbetaling over minstenivået.
Boks 2.2 Frå årsvekst til vekst frå 1. mai
Årsvekst
Årsveksten for alderspensjon under utbetaling finn ein med gjennomsnittet av lønns- og prisvekst, som forklart i boks 2.1. Samla prosentvis årslønnsvekst i 2025 på 4,82 prosent og ein samla prosentvis prisvekst i 2025 på 1,98 prosent gjev eit gjennomsnitt av lønns- og prisvekst på 3,40 prosent.
(4,82 + 1,98) : 2 = 3,40 prosent.
Årsveksten i alderspensjon under utbetaling skal altså vere 3,40 prosent.
Vekst frå 1. mai:
Når ein veit kva årsveksten skal vere, kan ein rekne seg bakover for å finne veksten som må gjelde frå 1. mai. Under følgjer departementet sin formel for avleiing av vekst frå 1. mai når ein veit årleg vekst.
-
Z1 = nivå på årleg alderspensjon frå 1. januar 2024
-
Z2 = nivå på årleg alderspensjon frå 1. mai 2024
-
Z3 = nivå på årleg alderspensjon frå 1. mai 2025
-
P1 = prosentvis vekst i alderspensjon frå 1. mai 2024
-
P2 = prosentvis vekst i alderspensjon frå 1. mai 2025
-
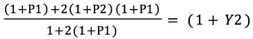
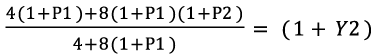
Y2 = prosentvis årleg vekst i alderspensjon frå 2024 til 2025
Nivå på årleg alderspensjon i 2024:
4 · Z1 + 8 · Z2 = 4 · Z1 + 8 · (1 + P1) · Z1
Nivå på årleg alderspensjon i 2025:
4 · Z2 + 8 · Z3 = 4 · (1 + P1) · Z1 + 8 · (1 + P1) · (1 + P2) · Z1
Prosentvis årleg vekst er altså:
Og dette må vere lik 1 + Y2, altså:
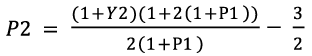
Kan skrivast:
Kan skrivast:
Deretter kan ein løyse for P2, prosentvis vekst i alderspensjon frå 1. mai 2025, som er det ein er ute etter:
Til slutt kan ein setje inn tala for Y2 og P1, som ein allereie kjenner, noko som gjev P2:
-
Y2 = prosentvis årleg vekst i alderspensjon frå 2024 til 2025 = 3,40 prosent
-
P1 = prosentvis vekst i alderspensjon frå 1. mai 2024 = 2,76 prosent
Prosentvis vekst i alderspensjon under utbetaling frå 1. mai er 3,71 prosent.
Forskrift 23. mai 2025 nr. 837 om grunnbeløp, reguleringsfaktorer, satser for minste pensjonsnivå og satser for garantipensjon i folketrygden frå 1. mai 2025 og virkningstidspunkt for regulering av kravet til minsteinntekt for rett til ytelser etter folketrygdloven kapitlene 4, 8, 9 og 14 vart fastsett ved kongeleg resolusjon 23. mai 2025. Denne forskrifta følgjer som vedlegg 2.
Boks 2.3 viser utrekning av vekst i minste pensjonsnivå frå 1. mai 2025.
Boks 2.3 Utrekning av vekst i minste pensjonsnivå og garantipensjon frå 1. mai 2025
Vekst i minste pensjonsnivå frå 1. mai 2025:
Satsane for minste pensjonsnivå og garantipensjon vert regulerte med gjennomsnittet av lønns- og prisvekst, på same måte som alderspensjon under utbetaling over minstenivået.
Døme på minste pensjonsnivå etter ordinær sats:
223 358 · (1 + 3,71/100) = 231 645
Minste pensjonsnivå etter ordinær sats aukar frå 223 358 kroner til 231 645 kroner.
Vekst i minstesatsane frå 1. mai er 3,71 prosent.
Frå 1. mai 2025 auka særskild sats til einslege med 6000 kroner. Vekst i særskild sats til einslege frå 1. mai er 5,98 prosent.
Minste pensjonsnivå, kroner
|
1. mai 2020 |
1. mai 2021 |
1. mai 20211 |
1. juli 2021 |
1. mai 2022 |
1. mai 2023 |
1.mai 2024 |
1. mai 2025 |
|
|---|---|---|---|---|---|---|---|---|
|
Låg sats (ektefelle har pensjon) |
158 621 |
166 242 |
167 125 |
167 125 (166 242) |
173 025 |
187 801 |
192 984 |
200 144 |
|
Ordinær sats (ektefellen har uføretrygd eller årleg inntekt over 2 G) |
183 587 |
192 408 |
193 429 |
193 429 (192 408) |
200 257 |
217 359 |
223 358 |
231 645 |
|
Høg sats (pensjonist med ektefelle som har inntekt under 2 G, og som ikkje har pensjon eller trygd) |
193 188 |
202 470 |
203 545 |
203 545 (202 470) |
210 730 |
228 726 |
235 039 |
243 759 |
|
Særskild sats (einsleg pensjonist) |
208 690 |
218 717 |
219 878 |
224 8782 (223 717) |
232 816 |
257 0403 |
264 134 |
279 9334 |
|
Særskild sats (forsørgjer ektefelle over 60 år og fyller vilkåra for rett til ektefelletillegg) |
300 704 |
315 152 |
316 825 |
316 825 (315 152) |
328 009 |
356 021 |
365 847 |
379 420 |
1 Særskild omregulering for 2021 med verknad frå 1. mai 2021.
2 Frå 1. juli 2021 auka særskild sats til einslege med 5 000 kroner. Den særskilde omreguleringa for 2021 med verknad frå 1. mai 2021 gav eit nytt nivå som auken skulle ha teke utgangspunkt i. Tala i parentes viser nivået før omreguleringa for 2021.
3 Frå 1. januar 2023 auka særskild sats til einslege med 4 000 kroner.
4 Frå 1. mai 2025 auka særskild sats til einslege med 6 000 kroner.
Garantipensjon, kroner
|
1. mai 2020 |
1. mai 2021 |
1. mai 20211 |
1. mai 2022 |
1. mai 2023 |
1. mai 2024 |
1.mai 2025 |
|
|---|---|---|---|---|---|---|---|
|
Ordinær sats (ektefellen har uføretrygd, alderspensjon, AFP eller årleg inntekt over 2 G) |
177 724 |
186 263 |
187 252 |
193 862 |
210 418 |
216 226 |
224 248 |
|
Høg sats (einsleg pensjonist og pensjonist med ektefelle som har inntekt under 2 G, og som ikkje har pensjon eller trygd) |
192 125 |
201 356 |
202 425 |
209 571 |
227 468 |
233 746 |
242 418 |
1 Særskild omregulering for 2021 med verknad frå 1. mai 2021.
2.3 Drøftingar med organisasjonane om talgrunnlaget
Talgrunnlaget for utrekning av lønnsveksten som vert brukt ved regulering av grunnbeløpet og pensjonar, skal gåast gjennom og drøftast med organisasjonane til pensjonistane, dei funksjonshemma og arbeidstakarane før den samla lønnsveksten vert fastsett. Dette følgjer av forskrift 6. mai 2011 nr. 465 om beregning av lønnsveksten som skal benyttes ved regulering av grunnbeløpet og alderspensjon i folketrygden § 4.
Drøftingsordninga er formalisert i avtale av 20. juni 2022 mellom regjeringen og pensjonistenes, de funksjonshemmedes og arbeidstakernes organisasjoner om regulering av folketrygdens grunnbeløp og pensjoner. Avtalen regulerer formålet med drøftingane, kva organisasjonar som skal vere representerte på møta, talet på møtedeltakarar frå kvar organisasjon og gjennomføringa av møta. Sjå vedlegg 3.
Det følgjer av avtalen at formålet med drøftingane er å sikre, så langt det er mogleg, ei felles forståing mellom partane om føresetnadene som skal leggjast til grunn for reguleringa. Partane skal også vurdere om det ligg føre særlege tilhøve som har påverka lønnsutviklinga for einskildgrupper, og om effekten av dette skal haldast utanfor ved fastsetjinga av lønnsveksten.
Etter at talgrunnlaget er drøfta med organisasjonane, fastset Kongen, med heimel i folketrygdloven § 1-4, 4-4, 19-14 og 20-18, reguleringsfaktorar og satsar for minste pensjonsnivå.
Pensjonistforbundet (SAKO-samarbeidet1), Seniorsaken, Forsvarets seniorforbund, Landsforbundet for offentlige pensjonister, Funksjonshemmedes Fellesorganisasjon, Samarbeidsforumet av funksjonshemmedes organisasjoner, Landsorganisasjonen i Norge (LO), Unio, Yrkesorganisasjonens Sentralforbund (YS) og Akademikerne deltek i drøftingsmøta. Finansdepartementet er også representert. Arbeids- og inkluderingsministeren leier møta.
I forkant av sjølve drøftingsmøta vart det 4. april 2025 halde eit møte mellom organisasjonane og Arbeids- og inkluderingsdepartementet der rapporten «Grunnlaget for inntektsoppgjørene 2025» frå det tekniske utrekningsutvalet for inntektsoppgjera vart gjennomgått. Protokollen frå møtet følgjer som vedlegg 4.
Drøftingsmøta vart gjennomførte 19. og 22. mai 2025. Det vart slått fast at anslaget for lønnsveksten i 2025 i revidert nasjonalbudsjett er 4,4 prosent. Det vart også slått fast at faktisk lønnsvekst for 2024 er utrekna til 5,6 prosent. Det ligg dermed føre eit positivt avvik på 0,4 prosentpoeng eit år tilbake i tid som det skal takast omsyn til. Lønnsvekst i 2023 vert fastslått til 5,2 prosent. Det ligg ikkje føre avvik to år tilbake i tid. Det låg ikkje føre «særlege tilhøve» som skulle takast omsyn til ved berekninga av lønnsveksten. Veksten i konsumprisane er anslått til 2,8 prosent i revidert nasjonalbudsjett. Faktisk prisvekst i 2024 er fastslått til 3,1 prosent. Prisveksten vart i 2024 anslått til 3,9 prosent og det ligg føre eit negativt avvik på 0,8 prosentpoeng for 2024 det skal korrigerast for.
Det var semje om talgrunnlaget.
Pensjonistforbundet (SAKO) og SAFO meiner at trygdeoppgjeret manglar ein sosial profil og at Stortinget må ta ansvar. Organisasjonane meiner den ordinære pensjonsreguleringa dei siste 10 åra (2015–2024) ikkje har vore tilstrekkeleg til å halda oppe kjøpekrafta til pensjonistane. Organisasjonane krev at pensjonistane får eit kronetillegg som kjem i tillegg til den ordinære oppreguleringa, og foreslår at tillegget blir øyremerkte eit løft av dei lågaste pensjonane, slik låglønnstillegg fungerer i lønnsoppgjera. Alle som har ein pensjon under fattigdomsgrensa (EU60) må givast eit løft. Organisasjonane er skuffa over at gjenlevendetillegget frå og med fjorårets trygdeoppgjer ikkje lenger skal auka på lik linje med resten av pensjonen, og krev at gjenlevendetillegget skal auka på lik linje med resten av pensjonen. Organisasjonane krev også at det blir innført ei etterlatenpensjonsordning for alderspensjonistar fødd i årskulla omfatta av pensjonsopptening etter nytt regelverk. Organisasjonane krev også etterbetaling av skjermingstillegget til uføre.
Unio, FFO, LO, Akademikerne, YS, Forsvarets seniorforbund, Senior Norge og LOP legg til grunn at resultatet er i samsvar med reguleringsreglane, og krev at det i trygdedrøftingane for 2025 skal takast omsyn til eit avvik i lønnsveksten i 2024 på 0,4 pst og eit avvik i prisveksten på -0,8 pst.
Protokollen frå møta følgjer som vedlegg 5.
Fotnotar
SAKO-samarbeidet er ein samarbeidskomité med representantar frå pensjonistutvalet i LO Stat, Telepensjonistenes Landsforbund, Fagforbundet sitt sentrale pensjonistutval, Postens Pensjonistforbund, Politiets Pensjonistforbund, Jernbanepensjonistenes Forbund og Statens vegvesens pensjonistforbund.