7 Bærekraftig utvikling
7.1 Regjeringens strategi for bærekraftig utvikling
I 1987 beskrev Verdenskommisjonen for miljø og utvikling (Brundtland-kommisjonen) en bærekraftig utvikling som følger: «En bærekraftig utvikling skal ivareta den nåværende generasjons behov uten å ødelegge mulighetene til kommende generasjoner til å tilfredsstille sine behov.»
Verdenssamfunnet har gjennom FN kommet langt i retning av enighet om hva som er hovedutfordringene for en bærekraftig utvikling. I Johannesburg-erklæringen fra 2002 framgår det blant annet at «de overordnete mål og avgjørende forutsetninger for bærekraftig utvikling er utryddelse av fattigdom, endring av forbruks- og produksjonsmønstre og bevaring av naturressurser for sosial og økonomisk utvikling. Den store forskjellen mellom rike og fattige samfunn og det økende gapet mellom industriland og utviklingsland utgjør en alvorlig trussel mot global velferd, sikkerhet og stabilitet.»
I regjeringspartienes politiske plattform fra Soria Moria ble det varslet en ambisiøs politikk for bærekraftig utvikling. Regjeringen arbeider nå med å lage en oppdatert nasjonal strategi som skal presenteres i Nasjonalbudsjettet 2008. Prosessen skal være grundig og inkluderende. Som ledd i denne prosessen har Regjeringen bedt svenske myndigheter evaluere vårt arbeid med bærekraftig utvikling.
Nasjonalbudsjettet 2007 utgjør en mellomstasjon i arbeidet med strategien. Etter å ha innhentet synspunkter og råd i en internetthøring og på andre måter har Regjeringen trukket noen hovedkonklusjoner om tema og struktur for strategien. Videre har Regjeringen gått gjennom Bondevik II-regjeringens nasjonale indikatorsett for bærekraftig utvikling, og sluttet seg til dette. Målene i bærekraftstrategien bør etter Regjeringens syn være knyttet sammen med indikatorene. Indikatorene må derfor vurderes nærmere i forbindelse med utarbeidelsen av strategien. Statistisk sentralbyrå har en sentral rolle i arbeidet med indikatorene og presenterte i august oppdaterte tall. Departementene benytter indikatorsettet i sin rapportering om arbeidet med bærekraftig utvikling.
I tråd med tidligere praksis og hva som gjøres i andre land legger Regjeringen her fram sine prinsipper for arbeidet med bærekraftig utvikling, jf. boks 7.1. Disse prinsippene vil utgjøre en del av strategien som legges fram i Nasjonalbudsjettet 2008.
Boks 7.1 Regjeringens prinsipper i arbeidet med bærekraftig utvikling
Behovet for en bærekraftig utvikling
Bærekraftig utvikling er satt på dagsorden fordi det er vedvarende fattigdom i mange utviklingsland, samtidig som presset på jordens økosystemer øker. Klimaendringer, overbeskatning av naturressurser og tap av biologisk mangfold er synlige tegn på dette. Vi har bare en klode. De rikeste delene av jordas befolkning belaster miljøet og ressursene så sterkt at andre ikke får rom for velstandsvekst uten at miljøets tålegrenser overskrides. På flere områder er disse grensene allerede overskredet. Miljø- og fattigdomsutfordringene krever endringer i produksjons- og forbruksmønstre for å kople miljøbelastning fra økonomisk aktivitet. Forvaltningen av naturressursene må ivaretas gjennom en økosystemtilnærming. Økonomiske, sosiale og miljømessige hensyn må ses i sammenheng på tvers av sektorer og beslutningsnivåer. Hensynet til bærekraftig utvikling må ivaretas på alle politikkområder.
Prinsipper for handling
Det er Regjeringens syn at en politikk for bærekraftig utvikling må bygge på:
Rettferdig fordeling
Vårt verdigrunnlag krever rettferdig fordeling både mellom de som lever i dag og mellom nåværende og framtidige generasjoner. Vi vil føre en politikk som bidrar til fortsatt økonomisk vekst. Veksten må skje innenfor rammen av en bærekraftig utvikling, slik at ikke kommende generasjoners muligheter til å dekke sine behov blir undergravet. Regjeringen vil føre en politikk for å bekjempe fattigdom og redusere ulikhetene både i det norske samfunnet og internasjonalt. Regjeringen vil videreutvikle det norske velferdssamfunnet ved å satse på fellesskapsløsninger.
Internasjonal solidaritet
Fattigdommen i verden er en krenkelse av menneskeverdet, og kampen mot fattigdom og for økonomisk utvikling, demokrati og menneskerettigheter er helt sentralt. Verdens land har et felles, men differensiert ansvar for å motvirke de globale miljøproblemene. De rike land har hovedansvaret for slike problemer og størst økonomiske ressurser. Men ingen land, heller ikke de fattige, kan la være å ta miljøhensyn. Det skal være en nær sammenheng mellom det vi gjør nasjonalt og Norges innsats internasjonalt. Regjeringen vil fremme prinsippet om «tenk globalt – handle lokalt».
Føre-vâr-prinsippet
Miljøpolitikken skal bygge på føre-vâr-prinsippet om at der det er vitenskaplig usikkerhet, skal tvilen komme naturen til gode. Dette er i tråd med et langsiktig perspektiv som respekterer naturens tålegrenser. Det er avgjørende for å sikre en bærekraftig utvikling at en unngår alvorlige, irreversible miljøendringer.
Prinsippet om at forurenseren betaler
Priser bør gjenspeile kostnadene ved skade på mennesker og miljø slik at forurenserne betaler for skaden de forvolder. Politikken bør nå miljømål på en kostnadseffektiv måte. Det at forurenseren betaler, kan både redusere miljøbelastning og bedre utnyttelsen av samfunnets øvrige ressurser.
Felles innsats
Bærekraftig utvikling angår ikke bare myndighetene, men alle i samfunnet og krever en god dialog og felles innsats fra innbyggerne. Det er avgjørende at vi som forbrukere og deltakere i næringslivet velger miljøvennlig. Miljø og bærekraftig utvikling må tas opp i barnehage og skole, slik at barn og unge tidlig kan tilegne seg kunnskap om temaet. Det er også vesentlig å styrke relevant forskning, for å sikre et godt kunnskapsgrunnlag for forvaltning, forbrukere og næringsliv. Myndighetene har et ansvar for å ta i bruk gode virkemidler, gi informasjon og legge til rette for miljøvennlige valg.
7.1.1 Regjeringen vil lage en oppdatert strategi for bærekraftig utvikling
Bondevik II-regjeringen la fram en nasjonal strategi for bærekraftig utvikling rett før FN-toppmøtet i Johannesburg høsten 2002. Strategien ble fulgt opp med en nasjonal handlingsplan for bærekraftig utvikling i Nasjonalbudsjettet 2004. Fokuset har siden vært på handlingsplanen. Oppfølgingen av handlingsplanen har vært omtalt i nasjonalbudsjettene for 2005 og 2006. Med bakgrunn i handlingsplanen ble det satt i gang et arbeid for å etablere et nasjonalt indikatorsett for bærekraftig utvikling. Etter en bred og faglig grundig prosess ble forslaget presentert i Nasjonalbudsjettet 2006.
Handlingsplanen inneholder gode analyser, og det har vært relativt bred enighet om virkelighetsbeskrivelsen og fokuset i planen. Den bærer imidlertid preg av å bare være en plan for statens egen virksomhet. Det er et behov for et dokument som bedre bidrar til bred deltakelse i arbeidet for bærekraftig utvikling.
Handlingsplanen er verken så overordnet at den inviterer til debatt om de sentrale spørsmålene knyttet til bærekraftig utvikling, eller så detaljert at den kan gi et godt grunnlag for virkemiddelbruk og politikk i den enkelte sektor. Internasjonalt er det vanlig med strategier og ikke handlingsplaner for bærekraftig utvikling. Strategiene gir en overordnet retning for arbeidet. Oppfølgingen av strategiene skjer gjennom mer detaljerte planer og meldinger for ulike sektorer og politikkområder. Dette synes å være en hensiktsmessig arbeidsdeling.
Det er Regjeringens syn at Norge bør ha en kortfattet strategi som presenterer de overordnede og langsiktige målene knyttet til bærekraftig utvikling med tilhørende tidsfrister. En overordnet og tydelig strategi, med klare mål knyttet sammen med indikatorer vil være et viktig verktøy for en politikk for bærekraftig utvikling, for synliggjøring av de utfordringene vi står overfor og dermed for å skape oppslutning om tiltak og virkemidler. Strategien, som skal legges fram i Nasjonalbudsjettet 2008, vil bli fulgt opp i nasjonalbudsjettene, i meldingen om Regjeringens miljøvernpolitikk og rikets miljøtilstand og i andre meldinger på de enkelte politikkområdene.
Regjeringen er enig med Bondevik II-regjeringen i at Finansdepartementet bør ha en koordinerende rolle i arbeidet med bærekraftig utvikling. Etter Regjeringens syn er det viktig at arbeidet med bærekraftig utvikling er en del av sentrale økonomisk-politiske prosesser, og omtales i Regjeringens viktigste planleggingsdokument – nasjonalbudsjettet.
Tema
Handlingsplanen som Bondevik II-regjeringen la fram, fokuserte på syv politikkområder:
Internasjonalt samarbeid for bærekraftig utvikling og bekjempelse av fattigdom
Klima, ozonlaget og langtransporterte luftforurensninger
Biologisk mangfold og kulturminner
Naturressurser
Helse- og miljøfarlige kjemikalier
Bærekraftig økonomisk utvikling
Samiske perspektiver i miljø- og ressursforvaltningen
Bondevik II-regjeringen pekte på at temaområdene ble valgt i lys av hva bærekraftig utvikling baserer seg på og på hovedutfordringer for bærekraftig utvikling. Bærekraftig utvikling baserer seg på tre hovedpilarer: den økonomiske, den sosiale og miljøet. Miljøet står i en spesiell stilling fordi overskridelser av naturens tålegrenser kan være irreversible. Dette gjelder i særlig grad på områdene klima, biologisk mangfold og miljøgifter.
Produksjons- og forbruksmønstret i industrilandene er ikke økologisk bærekraftig. Klodens økologiske kapasitet vil kraftig overskrides hvis store deler av verdens befolkning skulle ha vårt forbruksmønster. Arbeidet med bærekraftig produksjon og forbruk, og det å redusere miljøbelastning fra økonomisk aktivitet, er en sentral del av arbeidet med bærekraftig utvikling.
I FNs arbeid med bærekraftig utvikling er det et sterkt fokus på å bevare kulturarven og sikre urbefolkningens rettigheter som en del av arbeidet med å ivareta verdens mangfold.
Det er stor grad av enighet mellom denne regjeringen og den forrige om valg av tema. Regjeringen vil imidlertid i større grad inkludere sosiale forhold i tema 6. Den vil vektlegge de gode sidene ved den samfunnsmodellen vi har og som vi i stor grad deler med andre nordiske land. «Den nordiske modellen» bidrar til lav arbeidsledighet og små inntektsforskjeller og legger godt til rette for at samfunnet skal kunne omstille seg i møtet med nye utfordringer. Det gjelder også omstillingene som er knyttet til miljø og globalisering. Det er økt interesse internasjonalt for denne modellen, som er omtalt nærmere i avsnitt 3.6.
De nordiske land har både høy sysselsetting og offentlige budsjettoverskudd. Lav arbeidsledighet og gode velferdsordninger bidrar til at landene har høyere fødselstall enn resten av Europa. De scorer høyt på bærekraftsindikatorer knyttet til yrkesdeltakelse, levealder og utdanningsnivå. De nordiske landene har et større innslag av effektive økonomiske instrumenter i miljøpolitikken enn de fleste andre europeiske land og ligger også på topp når det gjelder bistand som andel av BNI.
Internetthøring
Arbeidet med strategien skal være en inkluderende prosess. I tråd med dette er det gjennomført konsultasjoner med ulike organisasjoner og avholdt en nasjonal konferanse om bærekraftig utvikling. I april–mai i år ble det gjennomført en internetthøring om Regjeringens opplegg for arbeidet med deltakelse fra universitets- og forskningsinstitusjoner, arbeidslivsorganisasjoner og miljø- og utviklingsorganisasjoner. Høringsuttalelsene gir viktige innspill til det videre arbeidet med strategien.
Mange høringsinstanser stiller seg positive til Regjeringens forslag om en overordnet strategi som følges opp i nasjonalbudsjett og ulike meldinger på enkeltområder. Forum for Utvikling og Miljø (ForUM) og Kommunenes Sentralforbund (KS) mener at en bør ha en handlingsplan i tillegg til strategien. Senter for utvikling og miljø ved Universitetet i Oslo er skeptisk til at en ikke reviderer den eksisterende handlingsplanen fra Bondevik II-regjeringen. NHO tror strategien som Regjeringen legger opp til, kan gi et noe snevert perspektiv på områdene som dekkes. Enkelte høringsinstanser mener at det ikke er mangel på strategier og handlingsplaner, men på handling og økonomiske virkemidler.
Forslaget til temaområder får støtte blant høringsinstansene. Flere mener at det bør være mål knyttet til bærekraftig produksjon og forbruk, inklusive grønne offentlige innkjøp. Ulike høringsinstanser vektlegger det internasjonale perspektivet og behovet for å redusere fattigdom. ForUM, blant andre, peker på at det er viktig å belyse Norges bidrag til den høye ressursbruken globalt. Greenpeace etterlyser ambisiøse mål. LO er enig i at «den nordiske modellen» løftes fram og peker på at om norsk energieffektiv industri flyttes ut av landet, økes global forurensing.
Mange mener at det gjeldende indikatorsettet er hensiktsmessig og har bare mindre forslag til justeringer av settet. Flere etterlyser likevel indikatorer som bedre viser om Norge bidrar til en bærekraftig utvikling i et globalt perspektiv. ForUM ønsker blant annet bruk av «økologisk fotavtrykk» og naturindeks. KS og enkelte andre høringsinstanser mener det er viktig at indikatorer kan brytes ned til regionalt eller kommunalt nivå. Forbrukerrådet ønsker indikatorer som inspirerer mer til endring av handlingsmønstre for hver enkelt av oss. Noen høringsinstanser trekker fram at de ulike aktørene må få et eierskap til indikatorene. Statistisk sentralbyrå legger vekt på at antallet indikatorer ikke bør bli for omfattende.
Mange av høringsinstansene ønsker å samarbeide med myndighetene om bærekraftig utvikling og foreslår opprettelse av arbeidsgrupper mellom myndighetene og andre. Flere mener at myndighetene må informere mer om temaet, men peker også på at frivillige organisasjoner har et betydelig ansvar for å informere gjennom sitt apparat. Flere savner en internettportal for bærekraftig utvikling. HSH mener at næringslivet bør inviteres til å drøfte hvordan oppgavene best kan løses i fellesskap. LO og NHO etterlyser en finansieringsordning for ulike aktørers informasjonstiltak. Mange av enkeltpersonene som deltok i høringen, mener at språket som brukes må være lett forståelig og vinklet på hva hver enkelt kan gjøre. Flere har foreslått at det gjennomføres en nasjonal klimakampanje.
7.1.2 Prosessen framover
Basert på konferanser, kontakt med organisasjoner og internetthøringen er det bred støtte for at det i Nasjonalbudsjettet 2008 skal presenteres en overordnet nasjonal strategi for bærekraftig utvikling, med mål knyttet sammen med indikatorer. Det er også relativ bred enighet om hva som er viktige temaområder og indikatorer, samtidig som det er kommet mange innspill som må vurderes nærmere.
Strategien bør omfatte prinsippene som ligger til grunn, en kort analyse av de viktigste langsiktige utfordringene, mål med tilknyttede indikatorer gruppert under temaområder, noen av de viktigste handlingene for oppfølging og prosessene for disse. Utkastet til strategi vil bli sendt på offentlig høring sommeren 2007.
En ekstern evaluering av arbeidet med bærekraftig utvikling i Norge kan være et viktig bidrag til arbeidet med strategien og gir en god mulighet for erfaringsutveksling. Det har tidligere vært varslet at Regjeringen ønsker en evaluering av arbeidet med bærekraftig utvikling fra andre land, en «peer review». Svenske myndigheter har sagt seg villige til å gjennomføre en peer review av Norge. Evalueringen vil ha fokus på organisering av arbeidet med bærekraftig utvikling, på hvordan Norge har avgrenset temaet bærekraftig utvikling og på status i arbeidet. Klima- og energipolitikk, deler av arbeidet med biodiversitet, samt bistand og handelspolitikk overfor fattige land, vil være viktige tema i gjennomgangen. Det tas sikte på å trekke inn et utviklingsland i den delen av evalueringen som er knyttet til bistand og handel.
7.2 Indikatorer for bærekraftig utvikling
Bakgrunn
Som en oppfølging av handlingsplanen for bærekraftig utvikling ble det 5. desember 2003 oppnevnt et ekspertutvalg som fikk i mandat å foreslå et sett med indikatorer for bærekraftig utvikling. Etter en bred og faglig grundig prosess avga utvalget sin innstilling til Finansdepartementet i mars 2005 i NOU 2005: 5 Enkle signaler i en kompleks verden – Forslag til et nasjonalt indikatorsett for bærekraftig utvikling. Regjeringen Bondevik II sluttet seg i Nasjonalbudsjettet 2006 til ekspertutvalgets forslag med enkelte justeringer. Regjeringen har også bestemt seg for å benytte det foreslåtte indikatorsettet. Settet består av 18 indikatorer som skal belyse om samfunnsutviklingen på ulike områder går i bærekraftig retning. Indikatorene er nærmere beskrevet i Nasjonalbudsjettet 2006. I forbindelse med at den oppdaterte strategien for bærekraftig utvikling presenteres i Nasjonalbudsjettet 2008 vil Regjeringen vurdere justeringer i indikatorsettet.
Statistisk sentralbyrå bør ha et hovedansvar for årlig å oppdatere og presentere indikatorene. Dette avsnittet presenterer utviklingstrekk i indikatorene basert på Statistisk sentralbyrås oppdatering og analyse publisert den 15. august 2006. I SSBs analyse pekes det på at dersom dagens utviklingstrekk fortsetter, vil det være særlige utfordringer på områdene klimagassutslipp, offentlige finanser og utstøting av mennesker fra arbeidslivet. Det trekkes også fram at Norge bidrar lite til global inntektsutjamning gjennom samhandel med de fattigste landene. Nedenfor er omtalen av indikatorene ordnet etter politikkområdene i arbeidet med bærekraftig utvikling.

Figur 7.1 Offisiell norsk bistand som andel av BNI
Kilde: NORAD og Statistisk sentralbyrå.
7.2.1 Internasjonalt samarbeid for en bærekraftig utvikling og bekjempelse av fattigdom
Indikator 1. Offisiell norsk bistand som andel av bruttonasjonalinntekt
De viktigste utfordringene i forhold til å fremme en bærekraftig utvikling er knyttet til miljøtrusler og internasjonal fattigdom. Langsiktig bistand reduserer fattigdommen i land med god økonomisk politikk og gode institusjoner. FNs mål er at giverlandene skal yte 0,7 pst. av bruttonasjonalinntekten (BNI) i bistand. Basert på foreløpige tall har Norge rapportert til OECD at bistanden var på 0,93 pst. av BNI i 2005, jf. figur 7.1. Se videre omtale av norsk bistand i avsnitt 7.3.1.

Figur 7.2 Handel med afrikanske land, fordelt på MUL og andre afrikanske land. Import i mill. kroner (faste 2005-priser)
Kilde: Statistisk sentralbyrå.
Indikator 2. Import fra afrikanske land og MUL i Afrika
Handel er sentralt for utviklingslandenes inntekter, produktivitetsvekst og sysselsetting. Selv om samlet import til Norge fra utviklingsland økte fra 2004 til 2005, har det vært lite utvikling i omfanget av samhandel med de minst utviklede landene (MUL). I 2005 utgjorde importen fra MUL 890 mill. kroner i alt, tilsvarende 0,2 pst. av all import til Norge. Importen fra MUL i Afrika, i alt 34 land, utgjorde kun 390 mill. kroner, jf. figur 7.2. De afrikanske landenes andel av den norske importen ligger rundt 1 pst. Importen fra MUL i Afrika har i perioder vært dominert av norsk import av brukte skip fra Liberia.
7.2.2 Klima, ozon og langtransporterte luftforurensinger
Indikator 3. Norske utslipp av klimagasser relatert til Kyotomålet
De foreløpige regnskapstallene for 2005 viser norske utslipp av klimagasser på 54,8 mill. tonn CO2-ekvivalenter. Dette er 9 pst. eller 4,5 mill. tonn høyere årlig enn Kyotokvoten for perioden 2008 – 2012. Utslippene gikk ned med 1 pst. fra 2004 til 2005, jf. figur 7.3. Dette skyldtes i første rekke reduserte utslipp fra industriprosesser og mindre forbruk av fyringsoljer og parafin. Avsnitt 7.4 gjengir framskrivinger av utslipp til luft fram til 2020.

Figur 7.3 Norske utslipp av klimagasser relatert til Kyotomålet
Kilde: Statistisk sentralbyrå og Statens forurensningstilsyn.
Indikator 4. Andel av Norges areal der tålegrensen for forsuring er overskredet
Utslippene av forsurende gasser i Europa er redusert. Dermed har belastningen på norsk natur avtatt. Siden 1980 har andelen av Norges areal der tålegrensen for forsuring er overskredet, falt fra 30 pst. til 13 pst., jf. figur 7.4. Dersom alle land oppfyller forpliktelsene under Gøteborg-protokollen innen 2010, vil overskridelsene etter hvert avta til 7 pst. Göteborg-protokollen setter tak for utslipp av fire gasser i 2010. Tre av gassene, NOX, SO2 og NH3, har forsurende virkninger. Tilførselen av svovel og nitrogen til Norge har falt med henholdsvis 65 pst. og 40 pst. mellom 1980 og 2003. Det kreves store reduksjoner i NOX-utslippene fram mot 2010 for at Norge skal overholde utslippsforpliktelsen, jf. avsnitt 7.4.

Figur 7.4 Andel av Norges areal der tålegrensen for forsuring er overskredet
Kilde: Norsk institutt for vannforskning (NIVA).
7.2.3 Biologisk mangfold og kulturminner
Indikator 5. Bestandsutviklingen for hekkende fugl i økosystemer på land
Utviklingen i fuglebestander er vurdert å gi en god indikasjon på økosystemets tilstand, da fuglene representerer forskjellige nivåer i næringskjeden. I fjellområdene er det en vekst i hekkebestanden, noe som er en forventet utvikling ved mildere klima og fortetting av fjellskogen. Tallene for skogsarter viser store variasjoner mellom år og ingen entydig trend, jf. figur 7.5. Datagrunnlaget er mangelfullt for alle tre serier og ikke representativt for landet som helhet. Et overvåkingssystem som skal sikre representative data fra hele landet, er under oppbygging.
Indikator 6. Vannsystemer med god eller svært god økologisk status, ferskvann
Indikator 7. Vannsystemer med god eller svært god økologisk status, kystvann

Figur 7.5 Bestandsutvikling for hekkende fugl
Kilde: Direktoratet for naturforvaltning.
Indikatorene reflekterer tilstanden til økosystemene i ferskvann og langs kysten. Det biologiske mangfoldet bestemmer hvilken status vannforekomsten får. Statistisk sentralbyrå viser til at tilstanden ser ut til å være dårlig i østlige regioner, særlig i kystvann, jf. figurene 7.6 og 7.7. Mange av de undersøkte vannforekomstene med usikker økologisk status vil imidlertid trolig bli kategorisert med god status etter nærmere vurdering.

Figur 7.6 Andel vannforekomster1 (ferskvann) med åpenbar god økologisk status, etter region. 2004
1 Antall undersøkte lokaliteter er angitt i parentes.
Kilde: Direktoratet for naturforvaltning og Statens forurensningstilsyn.

Figur 7.7 Andel vannforekomster1 (kystvann) med åpenbar god økologisk status, etter region. 2004
1 Antall undersøkte lokaliteter er angitt i parentes.
Kilde: Direktoratet for naturforvaltning og Statens forurensningstilsyn.
Indikator 8. Tilstandsgraden i fredede bygg
Indikatoren er under utvikling. Den fredede bygningsmassen skal deles inn i fire kategorier etter tilstandsgrad med tilhørende tiltaksbehov. Kulturminnebasen er supplert med en modul for registrering av tilstand på bygninger, og et pilotprosjekt med Nordland og Akershus var i gang høsten 2005. Riksantikvaren tar sikte på å ferdigstille tilstandsregistreringene i alle fylker i løpet av 2008. I tillegg utvikler Riksantikvaren en metode for å beregne totale utbedringskostnader for alle privateide fredete bygninger.
7.2.4 Naturressurser
Indikator 9. Samlet energibruk pr. enhet brutto nasjonalprodukt
Indikatoren fanger opp utviklingen i effektiviteten i samfunnets bruk av energiressurser over tid, men påvirkes også av endringer i næringsstrukturen. Med et par unntak har Norge hatt en sterkere vekst i verdiskaping (BNP) de siste 30 årene enn i innenlandsk energiforbruk, selv om energiforbruket har økt vesentlig, jf. figur 7.8. Fra 1976 til 2004 økte BNP med 139 pst. i alt og samlet energiforbruk med 67 pst. Veksten i bruk av fornybar energi var noe større enn veksten i bruk av ikke-fornybar energi.
Indikator 10. Gytebestandens størrelse i forhold til gytebestandens «føre vâr» grenseverdi for nordøstarktisk torsk
Bærekraftig forvaltning av fiskeressursene innebærer et nivå på bestanden over tid som gir et vedvarende høyt og forutsigbart utbytte. Indikatoren måles i forhold til føre vâr-grenseverdien for gytebestanden, som er det nivået som er nødvendig for å sikre jevn rekruttering. Gytebestanden av nordøstarktisk torsk, beregnet til rundt 520 000 tonn i 2006, ligger noe over føre var-nivået, jf. figur 7.9.
Indikator 11. Irreversibel avgang av produktivt areal
Produktivt areal er en kritisk ressurs, men det foreligger foreløpig ikke data til en brukbar indikator.

Figur 7.8 Samlet energibruk pr. enhet brutto nasjonalprodukt (BNP1), og energibruk fordelt på fornybare og ikke-fornybare kilder
1 BNP i faste 2002-priser.
Kilde: Statistisk sentralbyrå.
7.2.5 Helse- og miljøfarlige kjemikalier
Indikator 12. Bruk av helse- og miljøfarlige kjemikalier i husholdningene
Helse- og miljøfarlige stoffer kan ha irreversible langtidskonsekvenser for natur og mennesker. Indikatoren gir informasjon om de mest vanlige helse- og miljøfarlige kjemikaliene i husholdningene. Regjeringen mener at indikatoren må utvides til å dekke offentlig virksomhet og næringsliv. Statistisk sentralbyrå er derfor i gang med å videreutvikle en indikator som baseres på omsatte mengder av helse- og miljøskadelige stoffer. Forbruket av kreftfremkallende, arvestoff- eller reproduksjonsskadelige produkter gikk ned med over 60 pst. fra 1999 til 2001, jf. figur 7.10. Forbruket av produkter med allergiframkallende virkning økte med 14 pst. og helseskadelige produkter med 9 pst. i samme periode.
7.2.6 Bærekraftig økonomisk og sosial utvikling
Indikator 13. Netto nasjonalinntekt pr. innbygger fordelt på kilder
Nasjonalformuen er et uttrykk for den samlede nasjonale ressursbasen som består av menneskelig kapital, natur- og miljøkapital, realkapital og netto fordringer på utlandet. Nasjonalinntekten kan betraktes som den markedsmessige avkastningen av nasjonalformuen. Indikatoren viser at menneskelige ressurser og miljøkapital har dominerende betydning for økonomisk velferd. Inntekten har økt fra alle kilder i perioden 2001–2005 sammenliknet med nivået i forrige femårsperiode, jf. figur 7.11. Betydningen av utvinning av ikke-fornybare naturressurser har økt sterkt siden 1985.

Figur 7.9 Gytebestandens størrelse i forhold til gytebestandens «føre vâr» grenseverdi for nordøstarktisk torsk
Kilde: Havforskningsinstituttet og ICES.
Indikator 14. Petroleumskorrigert sparing
Petroleumskorrigert sparing beregnes som disponibel inntekt for Norge fratrukket konsum og ressursrente fra olje- og gassutvinning, pluss beregnet avkastning av gjenværende petroleumsformue. Positiv sparing indikerer at konsumet er opprettholdbart over tid. Petroleumskorrigert sparing har vært positiv i hele beregningsperioden, selv uten avkastningen fra gjenværende petroleumsformue, jf. figur 7.12. Den petroleumskorrigerte sparingen er anslått til nær 60 000 kroner pr. innbygger i 2005.

Figur 7.10 Forbruk av helse- og miljøfarlige produkter i husholdningene. Produkter1 klassifisert som miljøskadelige og akutt giftige (kg), allergiframkallende, CMR2 og kronisk (tonn) og helseskadelige (1000 tonn). 1999 – 2001
1 Noen produkter kan inngå i flere av fareklassene, men telles bare med i én.
2 CMR = Kreftframkallende, arvestoffskadelig, reproduksjonsskadelig.
Kilde: Finstad og Rypdal 2003.
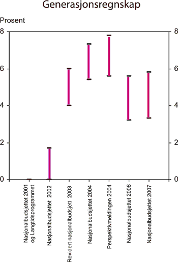
Indikator 15. Generasjonsregnskapet: innstrammingsbehov i offentlige finanser som andel av brutto nasjonalprodukt
Generasjonsregnskapet belyser de generasjonsmessige fordelingsvirkningene av å videreføre dagens budsjettpolitikk, når en tar hensyn til demografiske utviklingstrekk og de forpliktelsene som er innebygd i dagens folketrygdsystem. For at finanspolitikken skal være opprettholdbar på lang sikt må nåverdien av de ressursene som står til rådighet for offentlig sektor være om lag like stor som nåverdien av utbetalingene over tid. Det er gjort nærmere rede for denne indikatoren i avsnitt 3.3, der bærekraften i offentlige finanser er drøftet i et bredere perspektiv.

Figur 7.11 Kilder til inntekt, vist ved dekomponering av gjennomsnittlig netto nasjonalinntekt (NNI1) pr. innbygger
1 NNI i faste 2000-priser.
Kilde: Statistisk sentralbyrå.

Figur 7.12 Petroleumskorrigert sparing, beregnet avkastning av petroleumsformuen, petroleumsrente og sparing for Norge. Tusen kroner pr. innbygger, faste priser (2005-kroner)
Kilde: Finansdepartementet og Statistisk sentralbyrå.
Figur 7.13 viser at det beregnede innstrammingsbehovet økte betydelig fra Nasjonalbudsjettet 2001 til Perspektivmeldingen. Denne utviklingen må ses i sammenheng med flere forhold. Nye befolkningsframskrivinger fra Statistisk sentralbyrå bidro til å svekke generasjonsregnskapet med om lag 25–30 mrd. kroner fra Nasjonalbudsjettet 2002 til Nasjonalbudsjettet 2003. I tillegg økte bruken av petroleumsinntekter kraftig. Veksten i folketrygdens utgifter og i utgiftene til pleie og omsorg var særlig sterk. Siden det vil bli langt flere pensjonister i årene framover, bidrar en økning i utgangsnivået for disse utgiftene i særlig grad til å svekke generasjonsbalansen. De siste års oppjusteringer av statens netto kontantstrøm fra oljevirksomheten har på den annen side bidratt til å styrke generasjonsbalansen. Innstrammingsbehovet ifølge generasjonsregnskapet anslås nå om lag som i Nasjonalbudsjettet 2006, men noe lavere enn i Perspektivmeldingen.

Figur 7.13 Innstrammingsbehov i offentlige finanser som prosent av BNP. Generasjonsregnskapsberegninger publisert i ulike styringsdokumenter i perioden 2001 – 20061.
1 Det er gjort beregninger av ulike forutsetninger om trendmessig reallønnsvekst og innstrammingsbehovet er derfor oppgitt som et intervall.
Kilde: Finansdepartementet.

Figur 7.14 Antall personer 16 år og over, fordelt etter høyeste utdanning
Kilde: Statistisk sentralbyrå.
Dersom oljeprisen utvikler seg som forutsatt i denne meldingen, antyder generasjonsregnskapsberegningene nå at innstrammingsbehovet i offentlige finanser er på mellom 50 og 90 milliarder kroner, eller tilsvarende mellom 3¼ pst. og 5¾ pst. av BNP for Fastlands-Norge
Indikator 16. Befolkningen fordelt etter høyeste utdanning
Befolkningens utdanningsnivå er en indikator for tilbudet av kvalifisert arbeidskraft til offentlig og privat sektor. Utdanning har betydning for økonomisk vekst og den sosiale og personlige utviklingen. Utdanningsnivået har steget markant. Andelen av befolkningen med universitets- eller høyskoleutdanning økte fra 7 pst. i 1970 til 24 pst. i 2004, jf. figur 7.14.
Indikator 17. Uførepensjonister og langtidsledige som andel av arbeidsstyrken
For den enkelte gir sysselsetting inntekt, tilhørighet og trivsel og er en viktig del av det å delta i samfunnslivet. At en stor andel av befolkningen i arbeidsdyktig alder står utenfor arbeidslivet, er en trussel mot opprettholdelse av den menneskelige kapital. I 2005 var det registrert 27 000 langtidsledige og over 300 000 uførepensjonister, jf. figur 7.15. Det var flere uførepensjonister blant kvinner, men flest langtidsledige menn, jf. nærmere omtale i avsnitt 3.6 om sysselsettingspolitikken.

Figur 7.15 Langtidsarbeidsledige og uførepensjonister som andel av befolkningen i aldersgruppen 18 – 66 år
Kilde: Statistisk sentralbyrå.
Indikator 18. Forventet levealder ved fødselen
Forventet levealder ved fødselen er en indikator som fanger opp viktige forhold knyttet til helse og velferd. Levealderen har økt i Norge i snart to hundre år, jf. figur 7.16. Forventet levealder ved fødselen for menn er nå 77,7 år, mens den for kvinner er 82,5 år. En viktig grunn til økningen er at dødeligheten blant spedbarn og barn har sunket. Også nedgangen i dødeligheten i høyere aldersklasser har bidratt.

Figur 7.16 Forventet levealder ved fødselen etter kjønn. 1815 – 2003
Kilde: Statistisk sentralbyrå (Brunborg 2004).
7.3 Rapportering av arbeidet med bærekraftig utvikling
Nedenfor rapporteres Regjeringens arbeid med bærekraftig utvikling med utgangspunkt i de 7 temaområdene. Det fokuseres både på oppfølgingen av målformuleringer og ambisjonsnivå i Soria Moria-erklæringen og på indikatorene for bærekraftig utvikling.
7.3.1 Internasjonalt samarbeid for bærekraftig utvikling og bekjempelse av fattigdom
Regjeringen vil være en pådriver for global fattigdomsbekjempelse og har som mål å bli et ledende land på internasjonalt miljøsamarbeid. Noen hovedlinjer for Norges arbeid framover vil være satsing på å beskytte naturgrunnlaget i nordområdene, fortsatt innsats for å minske langtransportert forurensing i vår del av verden, arbeid for å holde temperaturøkningen ved klimaendringer under 2 grader, gjennomføring av det globale målet om å stanse tapet av arter innen 2010 og å fase ut utslipp av alle globale miljøgifter. Utviklingsbistanden styrkes, og det gjennomføres tiltak for å øke import fra de fattigste landene.
Forvaltnings- og miljøsamarbeidet i nordområdene skal styrkes bl.a. med utgangspunkt i helhetlig forvaltningsplan for Barentshavet og havområdene utenfor Lofoten. Forskning om havområdet styrkes, særlig når det gjelder klima og miljøgifter, og det settes i gang en egen utredning om konsekvensene av klimaendring. For å styrke beredskapen mot ulykker og utslipp innføres påbudt seilingsled Vardø-Røst. Den felles norsk-russiske overvåkingen av sjøtransporten i nord skal styrkes. Bærekraftig utvikling blir blant hovedprioriteringene for Norges formannskap i Arktisk råd, som innledes i oktober 2006. Under det norske formannskapet vil også oppfølging av Arktisk råds klimarapport fra 2004 (ACIA-rapporten) bli høyt prioritert.
Samarbeidet med EUs nye medlemsland gjennom EØS-finansieringsordningene videreutvikles. Bærekraftig utvikling er en overordnet målsetting for ordningene. Det er utviklet egen veiledning og sjekkliste for å sikre at ordningene faktisk bidrar til å fremme en bærekraftig utvikling.
På globalt nivå vil Norge bygge videre på det gode samarbeidet med FNs miljøorganisasjon, UNEP, og samarbeide med andre land om å styrke UNEPs og FNs rolle. Norge støtter økt samarbeid mellom ulike FN-organer og miljøavtaler.
Handlingsplanen for miljørettet utviklingssamarbeid
I innstilling om St.meld. nr. 35 (2003–2004) «Felles kamp mot fattigdom» ba utenrikskomiteen om at det utarbeides en handlingsplan for den samlede miljøinnsatsen i norsk utviklingssamarbeid. Soria Moria-erklæringen har som mål at Norge skal bli et ledende land innen miljørettet utviklingssamarbeid. Den norske satsingen bygger på erkjennelsen av en klar sammenheng mellom fattiges livsvilkår og lokale og globale miljøforhold.
Handlingsplan for miljørettet utviklingssamarbeid ble ferdigstilt i juni 2006. Planen legger opp til forsterket norsk innsats for forvaltning av biologisk mangfold og natur- og vannressurser, løsninger for tilgang til drikkevann, bedring av sanitære forhold samt innsats innen områdene energi og klima. Tiltak for å redusere bruk og spredning av miljøgifter omfattes også av planen.
Olje for utvikling
Gjennom 40 år med petroleumsproduksjon har Norge høstet viktige erfaringer for effektiv verdiskaping og håndtering av store petroleumsinntekter. Mange utviklingsland ønsker å lære av norske erfaringer. Petroleumsforvaltning og godt styresett gjøres derfor til et satsingsområde i norsk utviklingssamarbeid. Målet er å bidra til at petroleumsproduserende utviklingsland utnytter inntektene fra petroleumsvirksomhet til å bedre levekårene for befolkningen og redusere fattigdommen samt ivareta miljøhensyn. Gjennom Olje for Utvikling bidrar Regjeringen til at disse landene blir bedre i stand til å utnytte og forvalte petroleumsressursene på en bærekraftig måte.
Nivået på utviklingsbistand
Bærekraftsindikator 1 er Offisiell norsk bistand som andel av bruttonasjonalinntekt (BNI). I Soria Moria-erklæringen sies det at bevilgningene til utviklingssamarbeid skal nå 1 pst. av BNI og at innsatsen deretter trappes ytterligere opp i stortingsperioden. Regjeringens budsjettforslag for 2007 innebærer offisiell utviklingsbistand (ODA) på 20 750 mill. kroner, tilsvarende 0,97 pst. av anslått BNI. Dette tilsvarer en økning på om lag 2 227 mill. kroner i forhold til saldert budsjett for 2006. I saldert budsjett 2006 utgjorde bistanden 0,96 pst. av anslått BNI.
Import fra fattige land
Indikator 2 er Import fra afrikanske land og minst utviklete land (MUL) i Afrika. Norge har i flere år hatt en ordning med toll- og kvotefri adgang for alle varer fra de minst utviklede land til det norske markedet. Denne «null for MUL»-ordningen er en del av den norske tollpreferanseordningen for utviklingsland (GSP). Botswana og Namibia nyter også godt av «null for MUL». Den norske GSP-ordningen skal gjennomgås med sikte på å foreslå forenklinger og forbedringer. Resultatene av gjennomgangen forventes å foreligge i 2006.
«Null for MUL» – ordningen har ikke hatt nevneverdig virkning på importen fra MUL i Afrika. Markedsadgang er ikke nok. Det kreves utvikling av produkter og infrastruktur. Regjeringen har videreført utviklingsbistanden på disse områdene både gjennom multilaterale og bilaterale kanaler. Det er gitt støtte til produksjon av enkelte landbruksvarer i noen afrikanske MUL med sikte på eksport til Norge. Det legges til rette for en vesentlig opptrapping av denne bistanden i 2007. Tiltak rettet mot norske importører, bl.a. for å gjøre u-landsvarer mer tilgjengelige i norske dagligvarebutikker, er også videreført.
Norge har nylig gjennom EFTA avsluttet forhandlinger med SACU (Southern African Customs Union, dvs. Sør-Afrika, Botswana, Lesotho, Namibia og Swaziland) om en handelsavtale. Avtalen skal tre i kraft 1. januar 2007. Norge har gjennom avtalen bundet seg til å videreføre lave tollsatser. Dessuten har Norge gitt Botswana og Namibia en tollfri kvote storfekjøtt på 500 tonn. SACU-landene har oppnådd bedre og mer forutsigbare vilkår for sin eksport av landbruksprodukter til Norge. Norge har også forpliktet seg til å bistå dem med å bygge kompetanse på ulike handelsrelaterte områder slik at de skal bli i stand til å bruke mulighetene avtalen åpner for.
7.3.2 Klima, ozonlaget og langtransporterte luftforurensninger.
Klima
Klimaproblemet er trolig den største miljøutfordringen verden står overfor i dag. Den globale innsatsen gjennom Klimakonvensjonen søker å stabilisere konsentrasjonen av klimagasser på et nivå som er lavt nok til å hindre farlig, menneskeskapt påvirkning av klimasystemet. Regjeringen har besluttet at Norge, i likhet med EU, i internasjonale fora skal arbeide for at den globale økningen i temperatur ikke blir større enn 2 °C i forhold til førindustriell tid.
FNs klimapanel vil komme med en ny rapport på området i 2007. Det er ikke noe som tyder på at situasjonen er mindre alvorlig enn det panelet tidligere har ment. «ACIA-rapporten», som ble lagt fram høsten 2004, viser at klimaendringene i Arktis de siste tiårene er alvorlige, og at endringene i nordområdene er i ferd med å bli mer omfattende enn en har trodd før.
Kyoto-protokollen fra 1997 er et viktig første steg mot målet om å unngå farlige, menneskeskapte klimaendringer. Protokollen trådte i kraft 16. februar 2005. Norge arbeider for en klimaavtale med ytterligere reduksjoner etter 2012, der alle land med store utslipp påtar seg utslippsforpliktelser.
Etter lengre stillstand med skjerpede fronter mellom industriland og utviklingsland ble det gjort noen små framskritt under klimaforhandlingene i Montreal i desember 2005. Det ble etablert prosesser som kan åpne for nye og mer omfattende globale utslippsforpliktelser etter Kyotoprotokollens første periode 2008 – 2012. I de videre forhandlingene vil Norge arbeide for at utslipp fra internasjonal skips- og luftfart begrenses, og for å få sterkere fokus på klimautfordringene i Arktis.
Indikator 3 er Norske utslipp av klimagasser relatert til Kyotomålet. Stortinget har vedtatt en klimakvotelov for perioden 2005 – 2007. Myndighetene har også et samarbeid med EU-kommisjonen, med sikte på å kople det norske kvotehandelssystemet til EUs system. Regjeringen har åpnet for at dette kan skje gjennom at EUs kvotedirektiv innlemmes i EØS-avtalen. Det arbeides nå med å videreutvikle det norske kvotesystemet for perioden 2008 – 2012 med dette utgangspunktet. Gjeldende kvoteregler ble utformet i dialog med industriens organisasjoner. I 2004 ble det enighet med prosessindustrien om et opplegg for betydelige utslippsreduksjoner i perioden fram til 2007, samtidig som prosessindustriens utslipp forblir avgiftsfrie.
Avgifter utgjør, sammen med omsettelige utslippskvoter og direkte reguleringer, de mest aktuelle virkemidlene som myndighetene kan benytte for å redusere miljøproblemer. Riktig utformede økonomiske virkemidler gir incentiver til at utslippsreduksjonene gjennomføres der hvor det er billigst.
I Soria Moria-erklæringen ble det varslet en omlegging av bilavgiftene for å stimulere til sikrere og mer miljøvennlige biler. I budsjettet for 2007 foreslås det å erstatte slagvolum med CO2-utslipp som beregningsgrunnlag for engangsavgiften. Det foreslås i tillegg å utvide grunnlaget for autodieselavgiften til også å omfatte fritidsbåter. Forslagene blir nærmere omtalt i St.prp. nr. 1 (2006 – 2007) Skatte-, avgifts- og tollvedtak.
CO2-avgiften ble innført i 1991 og omfatter CO2-utslipp fra mineralolje, bensin og forbrenning av olje og gass på kontinentalsokkelen. I Soria Moria-erklæringen ble det varslet en gjennomgang av systemet for CO2-avgiften for å hindre at bruk av gass til oppvarmingsformål utkonkurrerer mer miljøvennlige alternativer. Det foreslås å innføre CO2-avgift på innenlandsk bruk av gass til oppvarming mv. i boliger og næringsbygg fra 1. juli 2007. I tillegg foreslås det, som varslet i St.meld. nr. 2 (2005 – 2006) Revidert nasjonalbudsjett 2006, fritak fra CO2-avgift for andel bioetanol i bensin. Endringene er nærmere omtalt i St.prp. nr. 1 (2006 – 2007) Skatte-, avgifts- og tollvedtak.
Sluttbehandlingsavgiften ble innført i 1999 og skal prise miljøkostnader ved sluttbehandling av avfall og stimulere til økt gjenvinning og reduserte avfallsmengder. På bakgrunn av en miljøfaglig gjennomgang som Statens forurensningstilsyn (SFT) har foretatt av avgiftssatsene, foreslås det å endre avgiftssatsene for krom og CO2, jf. nærmere omtale i St.prp. nr. 1 (2006 – 2007) Skatte-, avgifts- og tollvedtak.
Arbeidet med å følge opp politikken for CO2-håndtering er kommet i gang. Regjeringen har styrket innsatsen for utvikling av teknologi som reduserer utslipp av CO2 og andre klimagasser gjennom oppretting av Gassteknologifondet.
Det er satt i gang et arbeid med sektorvise klimahandlingsplaner. Det er et mål å identifisere og gjennomføre kostnadseffektive utslippsreduksjoner som ikke blir gjennomført med dagens virkemiddelbruk. Planene skal legges fram for Stortinget våren 2007.
Regjeringen har fastsatt et samlet mål på 30 TWh økt fornybar energi og energieffektivisering over perioden 2001 – 2016 og doblet fondet Enova skal forvalte avkastningen av. Regjeringen har lagt fram nye energikrav i byggeforskriften til plan- og bygningsloven, som en oppfølging av Soria Moria-erklæringens mål om å redusere bruken av elektrisitet til oppvarming, stimulere til økt bruk av nye, fornybare energikilder og gjøre lavenergiboliger til standard. Bygningsmassen i Norge står for ca. 40 pst. av landets totale energibruk, og bidrar på den måten betydelig til de samlede CO2-utslippene. Energiøkonomisering i bygg er i SFTs tiltaksanalyse utpekt som ett av de mest lønnsomme tiltakene for å oppfylle våre Kyoto-forpliktelser.
Lavutslippstvalget skal vurdere hvordan Norge kan utvikles til et «lavutslippssamfunn», med sikte på utslippsreduksjoner tilsvarende 50 – 80 pst. innen 2050. Utvalget vil avgi sin innstilling tidlig i oktober 2006. Regjeringen vil vurdere langsiktige, nasjonale mål for reduksjon av klimagassutslipp, bl.a. på basis av denne rapporten.
Langtransporterte luftforurensninger
Pga. våre nasjonale forsuringsproblemer har Norge stått i første rekke i arbeidet med å utvikle forpliktende internasjonale avtaler om reduksjon av langtransportert luftforurensning. Indikator 4 er Andel av Norges areal der tålegrensen for forsuring er overskredet. Gjennomføringen av Göteborg-protokollen vil bidra til vesentlige reduksjoner i utslippene av svovel og nitrogenoksider (NOX) i Europa. Forsuringsbelastningen i Norge kan dermed reduseres betydelig.
Norge har forpliktet seg til å redusere de årlige utslippene av NOX til maksimalt 156 000 tonn. Dette en av de store miljøutfordringene Norge står overfor de nærmeste årene. I budsjettet for 2007 foreslås det derfor å innføre avgift på utslipp av NOX fra 1. januar 2007. Avgiften blir sett i sammenheng med kompensasjoner til enkelte berørte næringer. Dette er nærmere omtalt i St.prp. nr. 1 (2006 – 2007) Skatte-, avgifts- og tollvedtak og St.prp. nr. 1 (2006 – 2007) Statsbudsjettet. Det ventes at avgiften skal gi reduserte utslipp fra skip og fiskefartøy, både gjennom rensetiltak og ved overgang til gassdrift.
SFT arbeider med å sette utslippskrav til energianleggene på sokkelen og til industrien, i tråd med EU-direktivet om integrert forurensningskontroll (IPPC-direktivet). For utslipp som omfattes av avgiften, vil imidlertid avgiftsnivået være styrende for hvilke utslippsreduserende tiltak som utløses. Regjeringen styrker NOxRED-ordningen for å redusere utslipp av NOX fra skip og vil opprette et eget NOxRED-program for fiskebåter.
7.3.3 Biologisk mangfold og kulturminner
Biologisk mangfold
Norge har forpliktet seg til å stanse tapet av det biologiske mangfoldet innen 2010. For å nå målet er det satt i verk en rekke tiltak, og Regjeringen tar sikte på å fremme en ny lov om naturmangfold i 2007.
Det er etablert et nasjonalt program for kartlegging og overvåking av biologisk mangfold. Artsdatabanken vil gjøre de viktigste data om biologisk mangfold tilgjengelig. Data fra overvåking av naturtyper og viktig areal for truede arter vil gi en indikasjon på om Norge klarer å stanse tapet av det biologiske mangfoldet. Indikator 5 er Bestandsutviklingen for hekkende fugl i økosystemer på land.
Landbruksdepartementet opprettet i 2006 et nasjonalt genressurssenter på Ås. Det globale sikkerhetslageret for frø, «The Svalbard Global Seed Vault» vil starte driften høsten 2007.
I tråd med St. meld. nr. 21 (2004 – 2005) vil det i perioden 2005 – 2010 bli utarbeidet handlingsplaner for utvalgte naturtyper, artsgrupper og arter.
Resultater fra Det nasjonale overvåkingsprogrammet for sjøfugl viser at flere sjøfuglarter langs Norskekysten har hatt en urovekkende tilbakegang. For å styrke kunnskapen om sjøfugl startet Miljøverndepartementet og Olje- og energidepartementet sjøfuglprogrammet SEAPOP våren 2005.
Norge er det eneste landet i Europa som har intakte høyfjellsøkosystemer med bestander av villrein. Villreinen skal ha en sentral plass i norsk fjellfauna også i framtiden. Arten er under sterkt press og dens leveområder må derfor sikres, jf. St.meld. nr. 21 (2004 – 2005).
Ved utbygging av vannkraft vil hensynet til naturmangfold, friluftsliv og landskap bli styrket gjennom nye retningslinjer og fylkesvise planer for små kraftverk.
I Soria Moria-erklæringen er det varslet at norsk vannforvaltning skal bli mer helhetlig og økosystembasert. Forskrift om rammer for vannforvaltningen, som nettopp har vært på høring fra SFT, blir et viktig verktøy for å oppnå dette. Forskriften skal gjennomføre EUs rammedirektiv for vann i norsk rett. Målet for arbeidet er å oppnå «god tilstand» i alle vannforekomster, både med hensyn til forurensning (kjemisk tilstand) og naturmangfold (økologisk tilstand). Indikatorene 6 og 7 er Vannsystemer, hhv. ferskvann og kystvann, med god eller svært god økologisk status. Det pågår for tiden en omfattende kartlegging av miljøtilstanden i norske vannforekomster. Dette arbeidet vil danne grunnlag for å bedre kvaliteten på rapporteringen på de to indikatorene.
Det arbeides med å etablere et nettverk av marine verneområder og øvrige beskyttede områder, for å sikre et representativt utvalg av de ulike marine naturtypene. En stortingsproposisjon om styrket vern av villaksen og ferdigstilling av nasjonale laksevassdrag og laksefjorder vil bli lagt fram i løpet av 2006.
Det er planlagt vernevedtak for Trillemarka-Rollag østfjell i løpet av 2006. Arbeidet med frivillig skogvern videreføres i samarbeid med Skogeierforbundet, og det er planlagt vern av flere områder i 2006, bl.a. i kystgranskog. Satsingen på vern av skog på statsgrunn videreføres.
Spredning av fremmede arter er en av de største truslene mot det biologiske mangfoldet. En nasjonal strategi mot fremmede organismer vil bli lagt fram i løpet av 2006.
Det pågår forhandlinger om et internasjonalt regime om rettferdig fordeling under FN-konvensjonen om biologisk mangfold. Norge har gått inn for at det utvikles en juridisk bindende protokoll som bl.a. skal sikre utviklingslandenes rettigheter som opphavsland ved kommersiell utnytting av genetisk materiale.
Vi mangler fortsatt grunnleggende kunnskap om langsiktige helse- og miljøeffekter ved bruk av genmodifisert mat. Dette tilsier en fortsatt restriktiv holdning på området. For å bidra til økt kunnskap går Regjeringen inn for at Institutt for genøkologi (GenØk) blir et nasjonalt kompetansesenter for trygg bruk av genteknologi.
Det nye nasjonale regelverket for genmodifiserte produkter som trådte i kraft høsten 2005, er i tråd med EUs regelverk på området. Regjeringen er i forhandlinger med EU om innlemmelse av EUs regelverk for utsetting av genmodifiserte organismer (GMO) i miljøet og om genmodifisert mat og fôr under EØS-avtalen. Det er et mål å sikre at Norge kan forby enkeltprodukter selv om EU godkjenner dem, dersom norske myndigheter anser at det foreligger alvorlig helse- eller miljørisiko.
Cartagenaprotokollen om GMO skal sikre at handel og bruk av levende GMO ikke skader biologisk mangfold eller helse. Partsmøter har styrket reglene for merking og identifisering av GMO ved transport over landegrensene. Norge og EU er pådrivere for ytterligere å styrke protokollen, særlig når det gjelder merking og identifikasjon av GMO og regler om ansvar og erstatning.
Kulturminner
I Soria Moria-erklæringen står det at et sterkt kulturminnefond og en forutsigbar politikk for vern av kulturminner vil bidra til å sikre de kulturhistoriske verdiene.
Fondskapitalen for Norsk kulturminnefond er økt fra 400 til 800 mill. kroner i 2006. Regjeringen foreslår en ytterligere økning på 200 mill. kroner i 2007.
Indikator 8 er Tilstandsgraden i fredede bygg. Indikatoren er under utvikling. For 2006 er det avsatt knapt 26 mill. kroner til bygninger og ruiner fra middelalderen, herunder steinkirkene og stavkirkene. Dette er en økning på 4,8 mill. kroner fra året før. Stavkirkene omfattes av et flerårig program for å sikre en god bygningsmessig stand og for å sikre verdifullt interiør og kirkekunst.
Brann er den største trusselen mot uerstattelige, nasjonale kulturverdier. Målet er at ingen slike uerstattelige verdier skal gå tapt som følge av brann. Utfordringen ligger i brannsikring av landets 180 kartlagte verneverdige trehusmiljøer. Direktoratet for samfunnssikkerhet og Riksantikvaren vil i løpet av 2006 utarbeide innsatsplaner.
7.3.4 Naturressurser
Produksjon og forbruk av energi
Indikator 9 er Samlet energibruk pr. enhet brutto nasjonalprodukt.
Regjeringen vil sikre en bærekraftig forvaltning av vassdragsnaturen og samtidig fremme en effektiv og miljømessig akseptabel utnyttelse av vannressursene. For å bevare verdifull vassdragsnatur skal det legges til rette for en bedre utnyttelse av eksisterende struktur og satses på en økt, men skånsom bruk av små-, mini- og mikrokraftverk. Som en del av Regjeringens satsing på fornybar energi er det besluttet å utforme en støtteordning for fornybar elektrisitet. Ordningen skal finansieres innenfor Enovas rammer.
For å bedre vurderingen av de samlede virkninger av flere potensielle utbygginger innenfor en region, og sikre mer effektiv og forutsigbar konsesjonsbehandling, ønsker Regjeringen at det gjennomføres regionvis samordnet behandling av konsesjonssøknader. Det utarbeides nå retningslinjer for hvordan fylkeskommunene kan utarbeide fylkesdelplaner for vindkraftanlegg.
Økt satsing på vindkraft kan virke inn på bestandsutviklingen av hekkende fugl. Dette vil derfor være et viktig hensyn under konsesjonsbehandlingen.
Det ble i St.meld. nr. 38 (2003 – 2004) Om petroleumsvirksomheten fastlagt at det for helårig petroleumsvirksomhet i området Lofoten – Barentshavet ikke skal være utslipp til sjø av produsert vann, borekaks eller boreslam ved normal drift. Med normal drift menes all planlagt virksomhet. Dette kravet vil bli fulgt opp i forbindelse med petroleumsvirksomheten i Barentshavet.
Det er Regjeringens mål at helse, miljø og sikkerhet innen oljeindustrien skal være verdensledende. Det er også et mål at Norge skal bli verdensledende i miljøvennlig bruk av gass. Regjeringen vil bidra til utvikling av framtidsrettede og effektive teknologier for CO2-håndtering. Det satses på forskning, utvikling og demonstrasjon av miljøvennlige gasskraftteknologier. Regjeringen har iverksatt et opplegg for å få til CO2-håndtering og vurderer verdikjeder for transport og injeksjon av CO2.
Gassco har i samarbeid med Petoro og Gassnova, identifisert mulige verdikjeder for fangst og lagring av CO2, og leverte i juni 2006 en første rapport. Rapporten identifiserte 12 mulige verdikjeder og seks felt på norsk sokkel som mulige kandidater for bruk av CO2 til økt oljeutvinning. Det er ikke identifisert noen verdikjeder som viser en positiv nåverdi basert på forutsetningene som legges til grunn.
I Soria Moria-erklæringen er det satt som mål å redusere bruken av elektrisitet til oppvarming, stimulere til økt bruk av nye, fornybare energikilder og gjøre lavenergiboliger til standard. Regjeringen foreslår at byggeforskriftens energikrav skjerpes med ca. 30 pst. Det foreslås også en egen bestemmelse i byggeforskriften om bruk av ny, fornybar energi der dette er lønnsomt i et livsløpsperspektiv. Skjerpingen gjelder alle typer nye bygg, også fritidsboliger over 80 m2. Dette vil resultere i at det årlige energiforbruket på landsbasis over tid kan reduseres med 500 millioner KWh, tilsvarende årlig energiforbruk for ca. 25 000 boliger.
Det er en forutsetning for tildeling av grunnlån i Husbanken at miljøeffektene av boligen er vurdert og tatt hensyn til. Husbanken og Enova satser på lavenergiboliger. Dette har bidratt til at det de siste årene er bygd minst 3 000 boliger med et energibehov på ca. 100 KWh/m2 år. Interessen for lavenergihus blant husbyggere er sterkt økende.
Betinget fornybare naturressurser
Regjeringen la våren 2006 fram St.meld. nr. 8 (2005 – 2006) Helhetlig forvaltning av det marine miljø i Barentshavet og havområdene utenfor Lofoten. Forvaltningsplanen skal legge til rette for verdiskaping gjennom bærekraftig bruk av ressurser i Barentshavet og havområdene utenfor Lofoten, og samtidig opprettholde økosystemenes struktur, virkemåte og produktivitet. Planen klargjør de overordnede rammene for eksisterende og ny virksomhet i området. Planen understreker betydningen av å videreføre og styrke omlegging til økosystembasert ressursforvaltning. Erfaringene fra arbeidet med forvaltningsplanen vil danne grunnlag for forvaltningsplaner i øvrige norske havområder.
I Soria Moria-erklæringen står det at fiskeressursene må forvaltes med sikte på høyest mulig langsiktig ressursuttak innenfor bærekraftige rammer, og et mest mulig stabilt uttak fra år til år. Indikator 10 er Gytebestandens størrelse i forhold til gytebestandens «føre vâr» grenseverdi for nordøstarktisk torsk.
Den blandede norsk-russiske fiskerikommisjon avtalte i 2002 en fangstregel som første gang kom til anvendelse ved fastsetting av kvoten for 2004. Det internasjonale råd for havforskning, ICES, anser reglen for å være i samsvar med «føre vâr» -tilnærmingen. Kvoten for 2006 er i samsvar med rådet fra ICES og intensjonen bak indikatoren for bærekraftig utvikling i den nordøstarktiske torskebestanden.
Det store UUU-fisket (Ulovlig, urapportert og uregulert) er en betydelig usikkerhetsfaktor for bestandsutviklingen. Det er lagt ned et stort arbeid i å få bukt med dette fisket. Fiskeridirektoratet og Kystvakta er styrket. Regjeringen har styrket arbeidet med elektronisk kontroll, informasjonsutveksling og felles inspeksjoner med andre land, økt samarbeidet mellom ulike etater (politi, skatt, toll, Kystvakt, Fiskeridirektoratet) og bedret kvaliteten av inspeksjoner.
Sikring av verdifulle jordbruksarealer og kulturlandskap er prioritert. Indikator 11 er Irreversibel avgang av produktivt areal. Indikatoren er under utvikling.
Regjeringens har som mål å halvere den årlige omdisponeringen av de mest verdifulle jordressursene. Den arbeider for å oppnå god dokumentasjon og forvaltning av spesielt verdifulle kulturlandskap innen 2010 og for at områder som gror igjen med skog, må skjøttes med tanke på næring og rekreasjon.
For å styrke jordvernet har Regjeringen gitt Statens jordbruksforvaltning innsigelsesrett mot kommunale planvedtak. I Jordbruksavtalen i år er det tiltak for å øke beiting, ivareta kulturlandskapet og styrke virkemidlene langs hele verdikjeden for økologisk jordbruk.
7.3.5 Helse- og miljøfarlige kjemikalier.
Indikator 12 er Bruk av helse- og miljøfarlige kjemikalier i husholdningene. I Soria Moria-erklæringen tas det til orde for å arbeide for en giftfri hverdag. En stortingsmelding om miljøgifter og kjemikaliebruk skal legges fram høsten 2006. I denne meldingen vil det bli redegjort for Regjeringens politikk på området.
Medlemslandene i Verdens helseorganisasjon i Europa vedtok i 2004 en handlingsplan for barns miljø og helse. Norge forpliktet seg gjennom vedtaket til å utvikle en nasjonal plan på området. Den vil foreligge innen utgangen av 2006 og vektlegge vannkvalitet, luftkvalitet, kjemikalier, støy og sosiale faktorers innvirkning på barns helse.
7.3.6 Bærekraftig økonomisk og sosial utvikling.
Hovedlinjene i Regjeringens økonomiske politikk er omtalt i kapittel 1 og kapittel 3 i denne meldingen. Det framgår der at Regjeringen vil følge retningslinjene for en gradvis innfasing av petroleumsinntektene i økonomien. Retningslinjene innebærer at statens netto kontantstrøm fra petroleumsvirksomheten i sin helhet overføres til Statens pensjonsfond – Utland, mens bruken av petroleumsinntekter over tid skal tilsvare forventet realavkastning av fondet, anslått til 4 pst. På den måten får også kommende generasjoner nyte godt av petroleumsformuen.
De siste årene har bruken av petroleumsinntekter vært betydelig høyere enn 4 pst. av fondskapitalen ved inngangen til året. Dette må bl.a. ses i sammenheng med konjunkturtilbakeslaget i norsk økonomi i 2002. Budsjettopplegget for 2007 innebærer imidlertid en markert reduksjon i merbruken av petroleumsinntekter. For 2007 anslås nå det strukturelle budsjettunderskuddet til 71 mrd. kroner, som er om lag på linje med den forventede avkastningen av kapitalen i Statens pensjonsfond – Utland. Indikator 14 er Petroleumskorrigert sparing. Indikatoren viser at det er en betydelig sparing i Norge samlet sett.
Retningslinjene for budsjettpolitikken innebærer en gradvis økning i bruken av petroleumsinntekter framover, i takt med veksten i fondskapitalen. Avkastningen fra et voksende fond kan gjøre det lettere å møte den framtidige oppgangen i statens utgifter til pensjoner, helse og omsorg som følger av en aldrende befolkning etter 2010. Indikator 15 er Generasjonsregnskapet: innstrammingsbehovet i offentlige finanser som andel av brutto nasjonalprodukt. For å sikre bærekraftige offentlige finanser er det nødvendig med ytterligere tiltak, jf. omtale i avsnitt 3.3 og avsnitt 7.2.6 i denne meldingen.
Forvaltningen av Statens pensjonsfond – Utland
De etiske retningslinjene for Statens pensjonsfond – Utland ble fastsatt 19. november 2004. Samtidig ble Etikkrådet for fondet opprettet. Finansdepartementet fatter beslutninger om å utelukke selskaper fra fondet etter tilråding fra Etikkrådet. Pensjonsfondet – Utland skal ikke investeres i selskaper hvis det er en uakseptabel risiko for at fondet medvirker til uetiske handlinger eller unnlatelser som for eksempel krenkelser av grunnleggende humanitære prinsipper, grove eller systematiske krenkelser av menneskerettighetene, grov korrupsjon eller alvorlige miljøskader. Pr. utgangen av august hadde Finansdepartementet utelukket 19 selskaper fra fondet. Finansdepartementet har delegert utøvelsen av eierrettigheter i fondet til Norges Bank. Det overordnede målet for Norges Banks utøvelse av eierrettigheter er å sikre fondets finansielle interesser. Utøvelsen av eierrettigheter skal bygge på at fondet har en lang investeringshorisont, og at investeringene er bredt plassert i de markedene som fondet kan investere i. Hensynet til langsiktig finansiell avkastning vil ofte trekke i samme retning som andre etiske hensyn.
Høyere utdanning
Indikator 16 er Befolkning fordelt etter høyeste utdanning. Et høyt utdanningsnivå i befolkningen er en forutsetning for en bærekraftig økonomisk utvikling i et moderne kunnskapssamfunn. Både Soria Moria-erklæringen og St.meld. nr. 20 (2004 – 2005) Vilje til forskning legger vekt på behovet for å styrke realfagsundervisningen og rekrutteringen til realfag. Regjeringen har oppnevnt et utvalg som skal utrede den videre utviklingen i norsk høyere utdanning (Stjernø-utvalget) med et tidsperspektiv på 10 – 20 år. Utvalget skal avgi sin innstilling innen 31. desember 2007.
For å sikre et godt grunnlag for høy kvalitet på norsk forskning i framtiden er det behov for å styrke rekrutteringen. Regjeringen går inn for å øke antall doktorgradsstillinger og postdoktorstillinger. Dette er bl.a. fulgt opp med 350 nye doktorgradsstillinger høsten 2006.
Inkluderende arbeidsliv
Arbeid for et mer inkluderende arbeidsliv, herunder tiltak for å redusere antall uførepensjonister og langtidsledige, omtales i avsnitt 3.6. En viktig reform på området er opprettelsen av Arbeids- og velferdsetaten (NAV) som ble etablert 1. juli 2006. Etaten overtok ansvarsområder og oppgaver som tidligere tilhørte Aetat, trygdeetaten og NAV interim. Indikator 17 er Uførepensjonister og langtidsledige som andel av arbeidsstyrken.
Helse
Indikator 18 er Forventet levealder ved fødselen. Regjeringen vil i 2007 legge fram en stortingsmelding om sosial ulikhet i helse. Helseforskjeller som følger utdannings-, yrkes- og inntektskategorier i befolkningen er betydelige og trolig økende i Norge. Meldingen skal gi overordnede føringer for arbeidet innenfor en rekke samfunnssektorer med å redusere sosial ulikhet i helse.
7.3.7 Samiske perspektiver i miljø- og ressursforvaltningen
Tradisjonelle samiske næringer er nært knyttet til naturen. Norske myndigheter har rettslige forpliktelser når det gjelder vern av det materielle grunnlaget for samisk kultur, bl.a. gjennom FN-konvensjonen om sivile og politiske rettigheter. Konvensjonens art. 27 setter grenser for arealinngrep som er til skade for samenes kultur og dens naturgrunnlag. I ILO-konvensjon nr. 169 Om urfolk og stammefolk i selvstendige stater heter det: «I samarbeid med vedkommende folk skal myndighetene treffe tiltak for å verne og bevare miljøet i de områder der de lever.» Konvensjonen innebærer også at regjeringen har en plikt til å konsultere med samene i saker som kan få direkte betydning for dem. Konvensjonen om biologisk mangfold har bestemmelser om urfolk. Sentrale miljøutfordringer i forhold til samiske næringer og kultur er knyttet bl.a. til klimaendringer, overfiske og arealvern for reindriften.
Sametinget skrev i sin årsmelding for 2003: «Sametinget har uttrykt motstand mot at verneplanarbeidet skjer uten at internasjonal miljørett og internasjonal urfolks rett sees i en nødvendig og helhetlig sammenheng. Vern i samiske områder må innebære en likeverdig deltakende verneprosess, et verneinnhold og forvaltningsregimer som ikke virker fremmedgjørende, men styrkende for samisk kultur med næringer og samfunnsliv. Sametinget har også bedt om at det utarbeides klare retningslinjer for hvordan verneprosesser skal gjennomføres for å sikre en likeverdig samisk deltakelse.»
I etterkant av dette er det inngått avtale om prosedyrer for konsultasjoner mellom statlige myndigheter og Sametinget. Prosedyrene ble fastsatt ved kgl. res. 1. juli 2005. Ordningen bygger på følgende grunnelementer:
Sametinget må ha fullstendig informasjon om relevante forhold i den aktuelle saken så tidlig som mulig, og på alle stadier i behandlingen av en sak.
Sametinget må gis tid til å vurdere aktuelle spørsmål og til å gi tilbakemelding.
Det skal legges til rette for at konsultasjonsprosessene ikke avsluttes så lenge Sametinget og staten antar det er mulig å oppnå enighet om saken.
Siden inngåelsen av avtalen om konsultasjonsprosedyrer er det blitt avholdt konsultasjoner med Sametinget i en rekke saker. Miljøverndepartementet og Sametinget arbeider nå også for å fastsette nærmere retningslinjer for konsultasjoner i saker om utarbeidelse av verneplaner innenfor rammene av den generelle konsultasjonsavtalen.
7.3.8 Tverrgående oppfølging
Mange aktiviteter har betydning for flere av de syv temaområdene samtidig og rapporteres nedenfor.
Opplæring i bærekraftig utvikling i barnehage og skole
Barnehageloven, som trådte i kraft 1. januar 2006, sier at barnehagens verdigrunnlag omfatter å fremme forståelse for bærekraftig utvikling hos barna. Dette er videreført i rammeplanen som trådte i kraft 1. august 2006. Rammeplanen regulerer barnehagens innhold og oppgaver, og stadfester at det er et mål at barn skal få en begynnende forståelse av betydningen av en bærekraftig utvikling. Utdanningsdirektoratet har på oppdrag fra Kunnskapsdepartementet utarbeidet et utkast til et nasjonalt dokument for utdanning for bærekraftig utvikling i grunnopplæringen. Dokumentet er under behandling i departementet. Departementet samarbeider med Barne- og likestillingsdepartementet og Miljøverndepartementet om oppfølgingen av FNs utdanningstiår for bærekraftig utvikling (2005 – 2014).
Miljøbevisste offentlige innkjøp
Miljøbevisste offentlige innkjøp er et prioritert område internasjonalt. Offentlig sektor kjøpte inn varer og tjenester for 256 mrd. kroner i 2004. Statens andel var ca 100 mrd. kroner. Ved innkjøp og bruk av varer og tjenester er det et stort potensial for reduserte miljøbelastninger. Økt etterspørsel etter miljøvennlige løsninger fra offentlig sektor kan gi rimeligere og bedre miljøvennlige produkter og teknologi som kommer resten av samfunnet til gode. I Soria Moria-erklæringen sies det at det offentlige må gå foran som ansvarlig forbruker og etterspørre miljøvennlige varer og varer tilvirket med høye etiske og sosiale standarder.
Høsten 2005 nedsatte Miljøverndepartementet et treårig rådgivende Panel for miljøbevisste offentlige innkjøp. Det har bl.a. medlemmer fra Fornyings- og administrasjonsdepartementet, SFT, Statsbygg, NHO og LO. Det har nylig anbefalt en forsterket satsing på området. GRIP er et kompetansesenter som arbeider med å gjøre det enklere for offentlige virksomheter å ta miljøhensyn ved innkjøp.
Prosjektet Grønn stat har hatt som mål å innføre et enkelt system for miljøledelse i statlige virksomheter. Miljøbevisste innkjøp har vært et av fire fokusområder. Prosjektet ble avsluttet i 2005, og i løpet av 2006 vil resultatene fra prosjektet i sin helhet bli evaluert.
Bedriftenes samfunnsansvar
Bedrifters samfunnsansvar (Corporate Social Responsibility-CSR) blir et stadig viktigere tema. Bedrifter bør ta miljø- og sosiale hensyn, og det er utarbeidet ulike retningslinjer for rapportering på området. Regjeringen legger i sitt arbeid internasjonalt stor vekt på kamp mot korrupsjon og for å bedre menneskerettigheter og miljø. Norske bedrifter har en viktig rolle å spille gjennom sine investeringer og forretningsaktivitet.
Regjeringen prioriterer dialogen med næringsliv og andre aktører på området høyt, blant annet gjennom Utenriksdepartementets bredt sammensatte Kompakt-utvalg.
Miljøinformasjon til forbrukere
I Soria Moria-erklæringen står det at Regjeringen vil legge til rette for en tettere sammenheng mellom forbruker- og miljøspørsmål og gjøre det enklere for folk å være miljøvennlig i hverdagen. Regjeringen vil også styrke miljøinformasjonen og gjøre miljømerker bedre kjent i offentligheten. Den vil:
Øke kunnskapen om miljøbelastninger til produkter i livsløpsperspektiv, samt sikre at det eksisterer systemer for miljøinformasjon knyttet til de mest miljøbelastende produktområdene.
Styrke den nordiske miljømerkeordningen Svanen, samt bidra til at Svanen og EUs miljømerke Blomsten samordnes i arbeidet med miljøkriterier for ulike produktgrupper.
Lokalforvaltningens rolle
Kommunene er sentrale i miljøarbeidet. Gjennom reformen for helhetlig kommunalt miljøvern (MIK-reformen) og arbeidet med lokal Agenda 21 foreligger mye kunnskap og erfaring fra lokalt utviklingsarbeid på miljøområdet. Det er inngått en 5-årig samarbeidsavtale mellom Miljøverndepartementet og KS om programmet «Livskraftige kommuner – kommunenettverk for miljø og samfunnsutvikling». Avtalen er en oppfølging av Bondevik II-regjeringens varslede satsing på lokalt miljøvern og bærekraftige lokalsamfunn i St.meld. nr. 21 (2004 – 2005) Regjeringens miljøvernpolitikk og rikets miljøtilstand. Regjeringen har videreført og forsterket satsingen. I programmet som går fra 2006 til 2010, er det fokus på tema som støtter opp under det nasjonale arbeidet med bærekraftig utvikling. De deltakende kommunene vil arbeide med:
Klima og energi
Arealpolitikk
Friluftsliv, livskvalitet og folkehelse
Framtidsrettet produksjon og forbruk. Miljøbasert næringsutvikling
Kulturminner og kulturmiljø
Samarbeid med lokalsamfunn i sør og øst
Utvikling av indikatorer for bærekraftig utvikling på lokalt nivå vil ses i sammenheng med tilsvarende arbeid nasjonalt og blant annet danne grunnlag for videreutvikling av KOSTRA. Erfaringer fra programmet skal bringes inn i konsultasjonsordningen mellom KS og staten for å videreutvikle nasjonale virkemidler som støtter opp under det lokale arbeidet.
Forskning på energi og miljø
Soria Moria-erklæringen har ambisiøse mål for forskningsinnsatsen i årene framover, og forskning i skjæringsfeltet mellom energi, miljø og klima framheves som særlig viktig. Klimaforskning, spesielt forskning på regionale effekter av klimaendringene i Arktis, og marin forskning er blant feltene som skal styrkes. I St.meld. nr. 20 (2004 – 2005) Vilje til forskning, som nå følges opp, er energi og miljø en av fire tematiske prioriteringer.
Innovasjon Norge og miljøprosjekter i industrien
Innovasjon Norge har de siste årene bevilget betydelige midler til miljøprosjekter. I 2005 gikk 374 mill. kroner til prosjekter som vurderes som miljøtiltak. De siste tre årene har mellom 8 og 14 pst. av Innovasjon Norges samlede tilsagn gått til miljøprosjekter.
Bærekraftig utvikling og forsvaret
Forsvaret arbeider med å styrke integrering av miljøhensyn i alle plan- og beslutningsprosesser, inklusive innkjøp av varer og tjenester. Forsvaret utarbeider planer for mer effektiv bruk av energi, reduksjon av utslipp av klimagasser og NOx. I forvaltningen av naturressursene spiller Forsvaret, representert i første rekke ved Kystvakten, en viktig rolle i norsk myndighetsutøvelse og ved sitt nærvær i nord.
7.4 Utviklingen i miljøskadelige utslipp til luft
7.4.1 Utslipp av klimagasser
Global oppvarming som følge av menneskeskapte klimagassutslipp er en av de største miljøutfordringene verdenssamfunnet står overfor. Regjeringen legger derfor stor vekt på å føre en politikk som sikrer at Norge oppfyller forpliktelsene under Kyotoprotokollen. Norge skal etter Kyotoprotokollen sørge for at klimagassutslippene i perioden 2008 – 2012 i gjennomsnitt ikke overskrider summen av de kvoter Norge ble tildelt i Kyotoprotokollen og de kvoter Norge skaffer via de såkalte Kyoto-mekanismene, herunder kjøp av utslippskvoter og utslippsreduksjoner i andre land.
Tabell 7.1 Utslipp av klimagasser. Millioner tonn CO2-ekvivalenter og årlig prosentvis endring
| Årlig prosentvis endring | |||||||
|---|---|---|---|---|---|---|---|
| 1990 | 2004 | 2010 | 2020 | 1990 – 2004 | 2004 – 2010 | 2010 – 2020 | |
| Sum klimagasser | 49,8 | 54,9 | 59,2 | 59,2 | 0,7 | 1,3 | 0,0 |
| CO2 | 34,8 | 44,0 | 48,4 | 48,5 | 1,7 | 1,6 | 0,0 |
| Andre klimagasser | 15,0 | 10,9 | 10,8 | 10,7 | -2,2 | -0,2 | -0,1 |
| CH4 | 4,8 | 4,8 | 4,7 | 4,5 | 0,1 | -0,2 | -0,5 |
| N2O | 4,7 | 4,6 | 4,6 | 4,6 | -0,2 | 0,0 | 0,1 |
| HFK | 0,0 | 0,4 | 0,5 | 0,5 | .. | 3,7 | 0,9 |
| PFK | 3,4 | 0,9 | 0,9 | 0,9 | -9,1 | 0,2 | 0,0 |
| SF6 | 2,2 | 0,3 | 0,1 | 0,1 | -13,8 | -16,4 | 0,9 |
| Memo: | |||||||
| Anslåtte utslipp utenom allerede gjennomførte tiltak | 49,8 | .. | 69,01 | .. | |||
1 Virkningen av allerede gjennomførte tiltak siden 1990 ble i 4. nasjonale kommunikasjon til FN under Klimakonvensjonen oppgitt til mellom 8,5 og 11,1 mill. tonn CO2-ekvivalenter i 2010. I tabellen er midtpunktet i intervallet benyttet.
Kilde: Statistisk sentralbyrå, Statens forurensningstilsyn og Finansdepartementet.
I Kyotoprotokollen fikk Norge tildelt en årlig kvotemengde som i gjennomsnitt er 1 pst. høyere enn utslippene i 1990. Kvotene tildeles for 5-årsperioden under ett. Med utgangspunkt i nye regnskapstall fra Statistisk sentralbyrå og Statens Forurensningstilsyn kan dette gjennomsnittet anslås til 50,3 mill. tonn CO2-ekvivalenter.
Siden 1990 har de norske utslippene av klimagasser økt med om lag 10 pst. Ifølge regnskapstall fra Statistisk sentralbyrå og Statens Forurensningstilsyn var utslippene på 54,9 mill. tonn CO2-ekvivalenter i 2004, jf. tabell 7.1. Foreløpige regnskapstall for 2005 tyder på en liten nedgang i utslippene, til 54,2 mill. tonn CO2-ekvivalenter. Veksten i utslippene av klimagasser etter 1990 skyldes høyere utslipp av CO2, først og fremst fra petroleumsvirksomhet og transport, herunder veitrafikk og skipsfart. Utslippene av andre klimagasser enn CO2 er derimot kraftig redusert i samme periode. Dette skyldes i hovedsak lavere utslipp av PFK fra produksjon av aluminium og lavere utslipp av SF6 fra produksjon av magnesium.

Figur 7.17 Utslipp av klimagasser pr. enhet BNP i utvalgte land. 1990 = 1
Kilde: OECD, UNFCCC og Finansdepartementet.
Siden 1990 har utslippene av klimagasser i Norge vokst langt mindre enn aktiviteten i økonomien. Dette er også tilfelle for de aller fleste andre vestlige land, jf. figur 7.17, men Norge er et av landene hvor nedgangen i utslipp i forhold til BNP (utslippsintensiteten) har vært mest markert. Den lavere utslippsintensiteten kan bl.a. tilskrives tiltak i miljøpolitikken, teknologisk framgang og endringer i næringsstrukturen. For eksempel vil utslippene av klimagasser normalt reduseres i forhold til BNP etter hvert som tjenesteytende næringer utgjør en større del av økonomien. Ved sammenlikninger mellom land må en ta hensyn til at endringen over tid for det enkelte land vil avhenge av startåret for sammenlikningen, samt av landets utslippsintensitet i utgangspunktet. For eksempel hadde USA både i 1990 og 2003 høyere klimagassutslipp pr. enhet BNP enn andre vestlige land.
De oppdaterte framskrivingene av utslipp til luft er basert på de makroøkonomiske framskrivingene i denne meldingen, jf. boks 7.1. Det er knyttet usikkerhet til forutsetninger og modellsammenhenger som har betydning for framskrivinger av den økonomiske utviklingen, for utviklingen i sammensetningen av produksjon og forbruk og for den teknologiske utviklingen. Tilsvarende er det grunn til å understreke at utslippsframskrivingene er usikre, og usikkerheten er større jo lengre fram i tid analysen strekker seg.
I tråd med internasjonale retningslinjer for rapportering bl.a. under Klimakonvensjonen er framskrivingene basert på gjeldende politikk. Videre er det lagt til grunn enkelte beregningstekniske forutsetninger. Framskrivingene kan dermed verken betraktes som uttrykk for Regjeringens mål eller som prognose for utviklingen framover.
Framskrivingene er basert på stiliserte forutsetninger om utviklingen i den norske kraftbalansen. Gjennomgående er det lagt til grunn forsiktige forutsetninger på forbrukssiden. Forutsetningene om tilgangen på ny produksjonskapasitet kan vurderes som noe mer optimistiske. Selv med de forutsetninger som er lagt til grunn gir imidlertid framskrivingen økt nettoimport til 2020.
Framskrivingen er basert på uendret forbruk av elektrisitet i kraftkrevende industri på lang sikt. Det er videre forutsatt bare en svært begrenset økning i leveransene av elektrisitet til petroleumssektoren og en relativt moderat vekst i forbruket i alminnelig forsyning. Særlig kan elektrisitetsforbruket i petroleumssektoren bli vesentlig høyere enn det som er lagt til grunn i framskrivingen.
Hvordan det norske forbruket av elektrisitet dekkes opp vil ha betydning for utslippene av klimagasser. Økningen i kraftforbruket kan møtes gjennom utbygging av gasskraft, vannkraft, andre fornybare energikilder eller økt import. Hva som realiseres av utbygginger avhenger av rammebetingelser, utviklingen i kraftmarkedet og prisene på råvarer som kull, gass og olje. Ulike kombinasjoner av kraftutbygging og import vil gi ulike fordelinger på utslipp i Norge og i utlandet. I framskrivingen er det lagt til grunn en moderat utbygging av vannkraft, men en mer omfattende utbygging av vindkraft. I tillegg er det lagt inn ett gasskraftverk med CO2-håndtering. Det er som en beregningsteknisk forutsetning ikke lagt inn annen gasskraft med leveranser til overføringsnettet i framskrivingene. Utslippene av CO2 vil øke dersom en reduserer importen av elektrisk kraft ved å etablere flere gasskraftverk.
Utslippene av klimagasser er anslått til 59,2 mill. tonn CO2-ekvivalenter både i 2010 og i 2020. Veksten i utslippene er dermed noe sterkere fra 2004 til 2010 enn fra 1990 til 2004, mens det ikke anslås ytterligere vekst i utslippene fra 2010 til 2020. Dette forløpet må ses i sammenheng med at utslippene fra petroleumsvirksomheten ventes å avta etter 2008, jf. tabell 7.3. Regjeringens forslag til omlegging av bilavgiftene og satsing på bioetanol i budsjettet for 2007 vil isolert sett bidra til lavere utslipp av klimagasser. Dette er ikke innarbeidet i framskrivingene, siden forslagene ennå ikke er vedtatt av Stortinget. Det understrekes at framskrivingene er usikre.
I framskrivingene overskrider utslippene av klimagasser Kyoto-kvoten med 8,9 mill. tonn CO2-ekvivalenter som årlig gjennomsnitt for perioden 2008 – 2012. Dette er noe lavere enn anslått i Perspektivmeldingen 2004 fra Regjeringen Bondevik og i siste rapportering til FN under Klimakonvensjonen og Kyotoprotokollen.
Boks 7.2 Makroøkonomiske forutsetninger
Framskrivingene av utslipp til luft er basert på de makroøkonomiske anslagene i denne meldingen. Tabell 7.2 oppsummerer de makroøkonomiske forutsetningene som ligger til grunn for utslippsframskrivingene. Den gjennomsnittlige årlige veksten i samlet BNP anslås til 2,4 pst. fra 2004 til 2010 og 1,6 pst. fra 2010 til 2020. Avdempingen må ses i sammenheng med avtakende olje- og gassutvinning, samt en normalisering av veksten i fastlandsøkonomien.
Tabell 7.2 Hovedtall for den økonomiske utviklingen. Mrd. kroner og årlig prosentvis endring
| Mrd. kroner | Årlig prosentvis endring | |||
|---|---|---|---|---|
| 2004 | 1990 – 2004 | 2004 – 2010 | 2010 – 2020 | |
| Faste priser: | ||||
| Bruttonasjonalprodukt (BNP) | 1716,9 | 3,2 | 2,4 | 1,5 |
| Utenriks sjøfart og oljevirksomhet | 384,6 | 4,7 | 0,9 | -2,5 |
| Fastlands-Norge | 1332,3 | 3,0 | 2,8 | 2,2 |
| Primærnæringer | 24,0 | 2,3 | 0,9 | 0,9 |
| Industri og bergverk | 165,9 | 1,3 | 1,9 | 2,1 |
| Bygge og anleggsvirksomhet | 68,2 | 0,9 | 3,0 | 1,2 |
| Tjenesteyting | 907,9 | 3,2 | 3,0 | 2,2 |
| Privat og offentlig konsum | 1131,7 | 3,2 | 2,8 | 2,6 |
| Investeringer i fast kapital | ||||
| Fastlands-Norge | 227,0 | 3,9 | 4,1 | 1,8 |
| Utenriks sjøfart og oljevirksomhet | 82,8 | 0,5 | 1,1 | -2,5 |
| Memo: | ||||
| Antall sysselsatte (1000 personer) | 2301,9 | 0,8 | 1,0 | 0,3 |
| Petroleumsutvinning (mrd. Sm3) | 264 | 5,8 | 0,9 | -2,1 |
Kilde: Statistisk sentralbyrå og Finansdepartementet.
Siden begynnelsen av 1990-tallet er det gjennomført en rekke tiltak i Norge som har bidratt til å redusere utslippene av klimagasser. Dette omfatter bl.a. CO2-avgiften, tiltak rettet mot avfallssektoren og den frivillige avtalen med aluminiumssektoren om reduksjon av SF6-utslippene. I Norges siste rapportering til FN under Klimakonvensjonen ble det anslått at allerede gjennomførte tiltak isolert sett vil bidra til å redusere utslippene av klimagasser i 2010 med mellom 8½ og 11 mill. tonn CO2-ekvivalenter.
7.4.2 Langtransporterte luftforurensinger
Göteborgprotokollen av 1999 setter tak for utslippene av nitrogenoksider (NOX), svoveldioksid (SO2), flyktige organiske forbindelser utenom metan (VOC) og ammoniakk (NH3) i 2010. Nedenfor presenteres oppdaterte framskrivinger av utslippene av NOX, SO2 og VOC, jf. tabell 7.4. Framskrivingene er basert på de makroøkonomiske anslagene i denne meldingen.
Tabell 7.3 Utslipp av klimagasser etter sektor. Millioner tonn CO2-ekvivalenter og årlig prosentvis endring
| Årlig prosentvis endring | |||||||
|---|---|---|---|---|---|---|---|
| 1990 | 2004 | 2010 | 2020 | 1990 – 2004 | 2004 – 2010 | 2010 – 2020 | |
| Utslipp fra forbrenning mv. | 29,2 | 38,3 | 43,0 | 42,9 | 2,0 | 1,9 | 0,0 |
| Olje- og gassutvinning | 7,3 | 13,6 | 16,0 | 11,8 | 4,5 | 2,7 | -3,0 |
| Petroleumsraffinering | 1,9 | 1,9 | 1,9 | 2,1 | -0,2 | 0,0 | 1,0 |
| Elektrisitetsprod. mv. | 0,3 | 0,5 | 0,7 | 0,8 | 3,0 | 4,7 | 1,8 |
| Industriproduksjon | 3,5 | 3,8 | 4,1 | 4,4 | 0,7 | 1,1 | 0,7 |
| Transport | 11,8 | 14,7 | 16,5 | 19,7 | 1,6 | 2,0 | 1,7 |
| Andre sektorer1 | 4,4 | 3,8 | 3,8 | 4,2 | -1,0 | 0,0 | 0,9 |
| Samlede prosessutslipp2 | 20,5 | 16,6 | 16,2 | 16,3 | -1,5 | -0,4 | 0,0 |
| Industrielle prosesser | 14,0 | 10,6 | 10,3 | 10,4 | -2,0 | -0,4 | 0,0 |
| Jordbruk | 4,6 | 4,4 | 4,4 | 4,4 | -0,3 | -0,1 | 0,0 |
| Avfall | 1,9 | 1,6 | 1,5 | 1,5 | -1,4 | -0,8 | 0,1 |
| Total | 49,8 | 54,9 | 59,2 | 59,2 | 0,7 | 1,3 | 0,0 |
1Inkluderer tjenesteytende næringer og jordbruk, skogbruk og fiske.
2Utenom prosessutslipp fra olje- og gassvirksomheten og kullutvinning.
Kilde: Statistisk sentralbyrå, Statens forurensningstilsyn og Finansdepartementet.
Tabell 7.4 Utslipp av langtransporterte luftforurensinger. Tusen tonn og årlig prosentvis endring1
| Årlig prosentvis endring | |||||||
|---|---|---|---|---|---|---|---|
| 1990 | 2004 | 2010 | 2020 | 1990 – 2004 | 2004 – 2010 | 2010 – 2020 | |
| NOX | 224,1 | 214,7 | 203,6 | 164,8 | -0,3 | -0,9 | -2,1 |
| SO2 | 52,5 | 25,2 | 25,4 | 26,6 | -5,1 | 0,1 | 0,5 |
| VOC | 294,8 | 265,3 | 170,2 | 144,0 | -0,8 | -7,1 | -1,6 |
1 Framskrivinger av NH3 er ikke oppdatert.
Kilde: Statistisk sentralbyrå, Statens forurensningstilsyn og Finansdepartementet.
Utslippene av NOX avtok med vel 9000 tonn fra 1990 til 2004. I 2004 sto sjøfart og fiske for om lag 40 pst. av de samlede utslippene av NOX, mens olje- og gassvirksomheten sto for 16 pst. Utslippene av NOX ventes å avta med ytterligere 11 000 tonn til 2010 og 50 000 tonn til 2020. Dette må ses i sammenheng med stadig strengere avgasskrav til kjøretøy og en økende andel kjøretøy med katalysatorer. Også utslipp fra olje- og gassvirksomheten ventes å avta som følge av lavere aktivitet.
Norge er i henhold til Göteborgprotokollen forpliktet til å redusere de årlige utslippene av NOX til 156 000 tonn i 2010. Utslippene de siste årene har ligget på om lag 215 000 tonn, og anslås i beregningene til 203 600 tonn i 2010. For å oppfylle NOX-forpliktelsen er det nødvendig med ytterligere tiltak. Den nye NOX-avgiften som Regjeringen foreslår innført i 2007, vil bidra til å redusere utslippene. Regjeringen foreslår at avgiftssatsen settes til 15 kroner pr. kg NOX-utslipp fra 1. januar 2007. Ifølge analyser fra SFT kan en slik avgiftssats over tid føre til ytterligere utslippsreduksjoner på opp mot 25 000 tonn.
Utslippene av SO2 er mer enn halvert siden 1990. Industrien står fortsatt for de største utslippene. Nedgangen i utslippene fra industrien ventes å fortsette i framskrivingsperioden. Dette oppveies imidlertid av en anslått økning i utslippene fra bl.a. innenriks sjøfart. Anslaget for 2010 innebærer noe høyere utslipp enn forpliktelsen i Göteborgprotokollen på 22 000 tonn. Gjennomføringen av nye utslippskrav i industrien som følge av intensjonsavtalen mellom myndighetene og Norsk Industri vil imidlertid bidra til å redusere utslippene sammenliknet med framskrivingene i denne meldingen.
Prosessutslipp fra olje- og gassutvinning står for de største utslippene av VOC. Siden 1990 er de samlede VOC-utslippene redusert med 10 pst. Framskrivingen viser lavere utslipp av VOC i 2010 enn forpliktelsen i Göteborgprotokollen på 195 000 tonn. Vedtatte utslippskrav for lagring og lasting av olje og kondensat offshore ventes å bidra til en kraftig nedgang i utslippene til 2010. Lavere aktivitet innenfor olje- og gassutvinning, samt lavere utslipp fra veitrafikk, ventes å redusere utslippene ytterligere fram mot 2020.