4 Holdning til gravferd
Av Statistisk sentralbyrå*
* Tabellene har fått nytt nummer i samband med publiseringen som vedlegg her. For øvrig er rapporten fra SSB ikke endret.
Del 1: Tabellrapport
Under er svarene i undersøkelsen fordelt på kjønn, aldersgruppe1, utdanningsnivå2, husholdningsinntekt3, kommunens sentralitet4, landsdel og innvandrerbakgrunn5. Flesteparten av tabellene viser svarene på enkeltspørsmål i undersøkelsen. Unntakene er tabell 4.6, 4.7 og 4.8 som i viser svarfordelingene på henholdsvis Gravf6, Gravf7 og Gravf8. Disse spørsmålene ble ikke stilt til personene som svarte Nei på Gravf5, men disse personene er allikevel inkludert i tabellene. Resultatene av spørsmålene Gravf9 og Gravf10 er rapportert samlet i tabell 4.9.
Tabell 4.1 Andel som har ønsker å ta beslutninger om egen gravferd eller overlate til de etterlatte fordelt på befolkningsgrupper. Prosent
Vil overlate til de etterlatte | Vil ta beslutninger selv | Vet ikke | Nekter | Antall | |
|---|---|---|---|---|---|
Alle | 54 | 37 | 9 | 0 | 1 155 |
Kjønn | |||||
Mann | 57 | 34 | 8 | 1 | 588 |
Kvinne | 51 | 40 | 9 | 0 | 563 |
Aldersgruppe | |||||
16–24 år | 54 | 34 | 12 | 0 | 186 |
25–44 år | 53 | 35 | 12 | 0 | 376 |
45–66 år | 53 | 40 | 7 | 0 | 443 |
67–79 år | 58 | 35 | 4 | 3 | 150 |
Utdanningsnivå | |||||
Uoppgitt eller ingen | 27 | 45 | 27 | 0 | 33 |
Grunnskole | 50 | 41 | 8 | 1 | 237 |
Videregående | 57 | 34 | 8 | 1 | 490 |
Universitet/høyskole | 54 | 37 | 9 | 0 | 395 |
Husholdningsinntekt | |||||
under 200 000 kr | 48 | 45 | 7 | 0 | 58 |
200 000–399 999 | 54 | 39 | 8 | 0 | 119 |
400 000–599 999 | 55 | 36 | 8 | 0 | 179 |
600 000–799 999 | 48 | 43 | 9 | 1 | 186 |
800 000 kr eller mer | 60 | 33 | 7 | 0 | 425 |
Vet ikke/ vil ikke oppgi | 47 | 36 | 15 | 2 | 188 |
Sentralitet | |||||
Minst sentrale kommuner | 60 | 32 | 6 | 2 | 111 |
Mindre sentrale kommuner | 68 | 25 | 7 | 0 | 57 |
Noe sentrale kommuner | 54 | 36 | 9 | 1 | 191 |
Sentrale kommuner | 52 | 39 | 9 | 0 | 796 |
Landsdel | |||||
Akershus og Oslo | 52 | 37 | 10 | 0 | 279 |
Hedmark og Oppland | 57 | 36 | 5 | 1 | 96 |
Østlandet ellers | 48 | 45 | 8 | 0 | 220 |
Agder og Rogaland | 55 | 34 | 11 | 0 | 170 |
Vestlandet | 55 | 36 | 8 | 1 | 188 |
Trøndelag | 59 | 31 | 7 | 2 | 108 |
Nord-Norge | 60 | 30 | 11 | 0 | 94 |
Innvandrerbakgrunn | |||||
Ikke innvandrerbakgrunn | 55 | 36 | 8 | 0 | 1 047 |
Innvandrerbakgrunn | 42 | 45 | 13 | 0 | 108 |
Tabell 4.2 Andel som har tatt beslutninger om sin egen gravferd i ulike befolkningsgrupper. Prosent
Ja | Nei | Vet ikke | Nekter | Antall | |
|---|---|---|---|---|---|
Alle | 29 | 72 | 0 | 0 | 425 |
Kjønn | |||||
Mann | 23 | 76 | 1 | 0 | 199 |
Kvinne | 34 | 66 | 0 | 0 | 226 |
Aldersgruppe | |||||
16–24 år | 13 | 86 | 2 | 0 | 63 |
25–44 år | 23 | 77 | 0 | 0 | 133 |
45–66 år | 31 | 69 | 0 | 0 | 176 |
67–79 år | 57 | 43 | 0 | 0 | 53 |
Utdanningsnivå | |||||
Uoppgitt eller ingen | 7 | 93 | 0 | 0 | 15 |
Grunnskole | 30 | 70 | 0 | 0 | 97 |
Videregående | 30 | 69 | 1 | 0 | 167 |
Universitet/høyskole | 29 | 71 | 0 | 0 | 146 |
Husholdningsinntekt | |||||
under 200 000 kr | 23 | 77 | 0 | 0 | 26 |
200 000–399 999 | 41 | 59 | 0 | 0 | 46 |
400 000–599 999 | 40 | 60 | 0 | 0 | 65 |
600 000–799 999 | 29 | 71 | 0 | 0 | 80 |
800 000 kr eller mer | 23 | 77 | 0 | 0 | 141 |
Vet ikke/ vil ikke oppgi | 24 | 75 | 1 | 0 | 67 |
Sentralitet | |||||
Minst sentrale kommuner | 34 | 66 | 0 | 0 | 35 |
Mindre sentrale kommuner | 29 | 71 | 0 | 0 | 14 |
Noe sentrale kommuner | 33 | 65 | 1 | 0 | 69 |
Sentrale kommuner | 27 | 73 | 0 | 0 | 307 |
Landsdel | |||||
Akershus og Oslo | 27 | 73 | 0 | 0 | 104 |
Hedmark og Oppland | 20 | 80 | 0 | 0 | 35 |
Østlandet ellers | 36 | 63 | 1 | 0 | 98 |
Agder og Rogaland | 22 | 78 | 0 | 0 | 58 |
Vestlandet | 28 | 72 | 0 | 0 | 68 |
Trøndelag | 29 | 71 | 0 | 0 | 34 |
Nord-Norge | 36 | 64 | 0 | 0 | 28 |
Innvandrerbakgrunn | |||||
Ikke innvandrerbakgrunn | 29 | 70 | 0 | 0 | 376 |
Innvandrerbakgrunn | 24 | 76 | 0 | 0 | 49 |
Tabell 4.3 Andel som ønsker å bli kremert og gravlagt i urne, bli begravet eller få asken spredd på havet eller et annet sted når de dør i ulike befolkningsgrupper. Prosent
Kremert og gravlagt i urne | Gravlagt i kiste | Få asken spredd | Vet ikke | Nekter | Antall | |
|---|---|---|---|---|---|---|
Alle | 31 | 42 | 11 | 16 | 1 | 1 155 |
Kjønn | ||||||
Mann | 29 | 42 | 11 | 17 | 1 | 588 |
Kvinne | 33 | 43 | 10 | 14 | 1 | 567 |
Aldersgruppe | ||||||
16–24 år | 23 | 47 | 12 | 18 | 0 | 186 |
25–44 år | 30 | 43 | 12 | 15 | 1 | 376 |
45–66 år | 35 | 39 | 10 | 16 | 1 | 443 |
67–79 år | 32 | 44 | 7 | 14 | 3 | 150 |
Utdanningsnivå | ||||||
Uoppgitt eller ingen | 6 | 45 | 15 | 33 | 0 | 33 |
Grunnskole | 25 | 47 | 12 | 15 | 1 | 237 |
Videregående | 32 | 43 | 9 | 15 | 1 | 490 |
Universitet/høyskole | 35 | 39 | 11 | 15 | 1 | 395 |
Husholdningsinntekt | ||||||
under 200 000 kr | 31 | 40 | 17 | 12 | 0 | 58 |
200 000–399 999 | 27 | 46 | 14 | 12 | 1 | 119 |
400 000–599 999 | 29 | 44 | 11 | 15 | 1 | 179 |
600 000–799 999 | 31 | 43 | 9 | 16 | 1 | 186 |
800 000 kr eller mer | 36 | 40 | 9 | 14 | 0 | 425 |
Vet ikke/ vil ikke oppgi | 23 | 44 | 9 | 22 | 3 | 188 |
Sentralitet | ||||||
Minst sentrale kommuner | 15 | 58 | 7 | 18 | 3 | 111 |
Mindre sentrale kommuner | 23 | 54 | 5 | 18 | 0 | 57 |
Noe sentrale kommuner | 32 | 42 | 8 | 16 | 2 | 191 |
Sentrale kommuner | 33 | 40 | 12 | 15 | 1 | 796 |
Landsdel | ||||||
Akershus og Oslo | 39 | 32 | 13 | 15 | 1 | 279 |
Hedmark og Oppland | 36 | 41 | 5 | 17 | 1 | 96 |
Østlandet ellers | 30 | 43 | 12 | 15 | 0 | 220 |
Agder og Rogaland | 20 | 55 | 8 | 16 | 1 | 170 |
Vestlandet | 29 | 41 | 13 | 15 | 1 | 188 |
Trøndelag | 27 | 47 | 6 | 19 | 1 | 108 |
Nord-Norge | 29 | 49 | 6 | 15 | 1 | 94 |
Innvandrerbakgrunn | ||||||
Ikke innvandrerbakgrunn | 32 | 42 | 10 | 15 | 1 | 1 047 |
Innvandrerbakgrunn | 19 | 46 | 15 | 20 | 0 | 108 |
Tabell 4.4 Andel i ulike befolkningsgrupper der noen i nærmeste familie har blitt kremert. Prosent
Ja | Nei | Vet ikke | Nekter | Antall | |
|---|---|---|---|---|---|
Alle | 44 | 54 | 2 | 0 | 1 155 |
Kjønn | |||||
Mann | 44 | 54 | 2 | 0 | 588 |
Kvinne | 45 | 54 | 2 | 0 | 567 |
Aldersgruppe | |||||
16–24 år | 35 | 61 | 4 | 0 | 186 |
25–44 år | 40 | 57 | 3 | 0 | 376 |
45–66 år | 50 | 49 | 1 | 0 | 443 |
67–79 år | 49 | 49 | 2 | 0 | 150 |
Utdanningsnivå | |||||
Uoppgitt eller ingen | 27 | 67 | 6 | 0 | 33 |
Grunnskole | 42 | 55 | 3 | 0 | 237 |
Videregående | 44 | 54 | 1 | 1 | 490 |
Universitet/høyskole | 47 | 50 | 3 | 0 | 395 |
Husholdningsinntekt | |||||
under 200 000 kr | 36 | 59 | 5 | 0 | 58 |
200 000–399 999 | 50 | 49 | 2 | 0 | 119 |
400 000–599 999 | 43 | 55 | 1 | 1 | 179 |
600 000–799 999 | 41 | 58 | 1 | 0 | 186 |
800 000 kr eller mer | 48 | 51 | 1 | 0 | 425 |
Vet ikke/ vil ikke oppgi | 39 | 55 | 4 | 1 | 188 |
Sentralitet | |||||
Minst sentrale kommuner | 23 | 73 | 2 | 2 | 111 |
Mindre sentrale kommuner | 32 | 67 | 2 | 0 | 57 |
Noe sentrale kommuner | 43 | 56 | 1 | 0 | 191 |
Sentrale kommuner | 48 | 50 | 2 | 0 | 796 |
Landsdel | |||||
Akershus og Oslo | 56 | 42 | 2 | 0 | 279 |
Hedmark og Oppland | 51 | 48 | 1 | 0 | 96 |
Østlandet ellers | 50 | 47 | 3 | 0 | 220 |
Agder og Rogaland | 29 | 69 | 1 | 0 | 170 |
Vestlandet | 38 | 59 | 3 | 0 | 188 |
Trøndelag | 40 | 57 | 2 | 1 | 108 |
Nord-Norge | 32 | 67 | 1 | 0 | 94 |
Innvandrerbakgrunn | |||||
Ikke innvandrerbakgrunn | 45 | 52 | 2 | 0 | 1 047 |
Innvandrerbakgrunn | 33 | 65 | 2 | 0 | 108 |
Begravelsespreferanser | |||||
Kremert og gravlagt i urne | 65 | 33 | 2 | 0 | 355 |
Gravlagt i kiste | 28 | 72 | 0 | 0 | 490 |
Få asken spredd | 55 | 42 | 3 | 0 | 121 |
Vet ikke/ vil ikke oppgi | 43 | 51 | 4 | 2 | 189 |
Tabell 4.5 Andel i ulike befolkningsgrupper som har deltatt i begravelse. Prosent
Ja | Nei | Vet ikke | Nekter | Antall | |
|---|---|---|---|---|---|
Alle | 97 | 3 | 1 | 0 | 1 155 |
Kjønn | |||||
Mann | 97 | 2 | 1 | 0 | 588 |
Kvinne | 96 | 3 | 1 | 0 | 567 |
Aldersgruppe | |||||
16–24 år | 90 | 9 | 1 | 0 | 186 |
25–44 år | 97 | 2 | 1 | 0 | 376 |
45–66 år | 99 | 1 | 0 | 0 | 443 |
67–79 år | 99 | 0 | 1 | 0 | 150 |
Utdanningsnivå | |||||
Uoppgitt eller ingen | 91 | 6 | 3 | 0 | 33 |
Grunnskole | 93 | 6 | 1 | 0 | 237 |
Videregående | 98 | 1 | 1 | 0 | 490 |
Universitet/høyskole | 98 | 1 | 1 | 0 | 395 |
Husholdningsinntekt | |||||
under 200 000 kr | 95 | 5 | 0 | 0 | 58 |
200 000–399 999 | 97 | 3 | 0 | 0 | 119 |
400 000–599 999 | 96 | 3 | 1 | 1 | 179 |
600 000–799 999 | 99 | 1 | 0 | 0 | 186 |
800 000 kr eller mer | 99 | 1 | 0 | 0 | 425 |
Vet ikke/ vil ikke oppgi | 90 | 6 | 2 | 1 | 188 |
Sentralitet | |||||
Minst sentrale kommuner | 95 | 2 | 2 | 1 | 111 |
Mindre sentrale kommuner | 96 | 4 | 0 | 0 | 57 |
Noe sentrale kommuner | 98 | 1 | 1 | 0 | 191 |
Sentrale kommuner | 96 | 3 | 1 | 0 | 796 |
Landsdel | |||||
Akershus og Oslo | 96 | 4 | 0 | 0 | 279 |
Hedmark og Oppland | 99 | 1 | 0 | 0 | 96 |
Østlandet ellers | 98 | 2 | 0 | 0 | 220 |
Agder og Rogaland | 96 | 3 | 1 | 0 | 170 |
Vestlandet | 96 | 2 | 2 | 1 | 188 |
Trøndelag | 96 | 2 | 1 | 1 | 108 |
Nord-Norge | 97 | 3 | 0 | 0 | 94 |
Innvandrerbakgrunn | |||||
Ikke innvandrerbakgrunn | 98 | 1 | 0 | 0 | 1 047 |
Innvandrerbakgrunn | 81 | 18 | 2 | 0 | 108 |
Tabell 4.6 Andel i ulike befolkningsgrupper som har deltatt i begravelse med kistesenking i jord1. Prosent
Ja | Nei | Vet ikke | Nekter | Antall | |
|---|---|---|---|---|---|
Alle | 92 | 7 | 1 | 0 | 1 155 |
Kjønn | |||||
Mann | 93 | 6 | 1 | 0 | 588 |
Kvinne | 92 | 7 | 1 | 0 | 567 |
Aldersgruppe | |||||
16–24 år | 80 | 18 | 2 | 0 | 186 |
25–44 år | 90 | 9 | 1 | 0 | 376 |
45–66 år | 97 | 3 | 0 | 0 | 443 |
67–79 år | 98 | 1 | 1 | 0 | 150 |
Utdanningsnivå | |||||
Uoppgitt eller ingen | 82 | 15 | 3 | 0 | 33 |
Grunnskole | 87 | 13 | 0 | 0 | 237 |
Videregående | 94 | 5 | 1 | 0 | 490 |
Universitet/høyskole | 95 | 4 | 1 | 0 | 395 |
Husholdningsinntekt | |||||
under 200 000 kr | 81 | 17 | 2 | 0 | 58 |
200 000–399 999 | 92 | 8 | 0 | 0 | 119 |
400 000–599 999 | 95 | 4 | 1 | 1 | 179 |
600 000–799 999 | 92 | 8 | 0 | 0 | 186 |
800 000 kr eller mer | 96 | 4 | 0 | 0 | 425 |
Vet ikke/ vil ikke oppgi | 85 | 11 | 3 | 1 | 188 |
Sentralitet | |||||
Minst sentrale kommuner | 95 | 2 | 1 | 2 | 111 |
Mindre sentrale kommuner | 95 | 5 | 0 | 0 | 57 |
Noe sentrale kommuner | 95 | 4 | 1 | 0 | 191 |
Sentrale kommuner | 91 | 8 | 1 | 0 | 796 |
Landsdel | |||||
Akershus og Oslo | 89 | 10 | 1 | 0 | 279 |
Hedmark og Oppland | 96 | 4 | 0 | 0 | 96 |
Østlandet ellers | 93 | 7 | 0 | 0 | 220 |
Agder og Rogaland | 95 | 5 | 1 | 0 | 170 |
Vestlandet | 92 | 6 | 2 | 1 | 188 |
Trøndelag | 92 | 6 | 2 | 1 | 108 |
Nord-Norge | 95 | 5 | 0 | 0 | 94 |
Innvandrerbakgrunn | |||||
Ikke innvandrerbakgrunn | 95 | 4 | 1 | 0 | 1 047 |
Innvandrerbakgrunn | 66 | 32 | 2 | 0 | 108 |
1 Kun personer som svarte ja på Gravf5 (deltatt i begravelse) fikk dette spørsmålet. Personer som svarte «Nei» på Gravf5 er kodet inn som Nei i denne tabellen, personer som svarte «Vet ikke» kodet inn som Vet ikke og personer som ikke ønsket å svare som Nekter.
Tabell 4.7 Andel i ulike befolkningsgrupper som har deltatt i begravelse med kremering1. Prosent
Ja | Nei | Vet ikke | Nekter | Antall | |
|---|---|---|---|---|---|
Alle | 62 | 37 | 1 | 0 | 1 155 |
Kjønn | |||||
Mann | 60 | 39 | 1 | 0 | 588 |
Kvinne | 63 | 36 | 1 | 0 | 567 |
Aldersgruppe | |||||
16–24 år | 34 | 65 | 2 | 0 | 186 |
25–44 år | 53 | 46 | 1 | 0 | 376 |
45–66 år | 74 | 26 | 0 | 0 | 443 |
67–79 år | 81 | 15 | 3 | 1 | 150 |
Utdanningsnivå | |||||
Uoppgitt eller ingen | 39 | 58 | 3 | 0 | 33 |
Grunnskole | 51 | 48 | 1 | 0 | 237 |
Videregående | 64 | 34 | 1 | 1 | 490 |
Universitet/høyskole | 67 | 32 | 1 | 0 | 395 |
Husholdningsinntekt | |||||
under 200 000 kr | 38 | 62 | 0 | 0 | 58 |
200 000–399 999 | 60 | 39 | 1 | 0 | 119 |
400 000–599 999 | 62 | 36 | 1 | 1 | 179 |
600 000–799 999 | 66 | 34 | 0 | 0 | 186 |
800 000 kr eller mer | 68 | 31 | 0 | 0 | 425 |
Vet ikke/ vil ikke oppgi | 49 | 46 | 4 | 1 | 188 |
Sentralitet | |||||
Minst sentrale kommuner | 44 | 51 | 3 | 2 | 111 |
Mindre sentrale kommuner | 49 | 51 | 0 | 0 | 57 |
Noe sentrale kommuner | 61 | 38 | 1 | 0 | 191 |
Sentrale kommuner | 65 | 34 | 1 | 0 | 796 |
Landsdel | |||||
Akershus og Oslo | 70 | 29 | 0 | 0 | 279 |
Hedmark og Oppland | 73 | 26 | 1 | 0 | 96 |
Østlandet ellers | 70 | 30 | 1 | 0 | 220 |
Agder og Rogaland | 50 | 49 | 1 | 0 | 170 |
Vestlandet | 57 | 40 | 2 | 1 | 188 |
Trøndelag | 54 | 43 | 3 | 1 | 108 |
Nord-Norge | 45 | 55 | 0 | 0 | 94 |
Innvandrerbakgrunn | |||||
Ikke innvandrerbakgrunn | 64 | 35 | 1 | 0 | 1 047 |
Innvandrerbakgrunn | 38 | 60 | 2 | 0 | 108 |
Begravelsespreferanser | |||||
Kremert og gravlagt i urne | 79 | 21 | 0 | 0 | 355 |
Gravlagt i kiste | 49 | 50 | 0 | 0 | 490 |
Få asken spredd | 68 | 32 | 0 | 0 | 121 |
Vet ikke/ vil ikke oppgi | 57 | 37 | 5 | 2 | 189 |
1 Kun personer som svarte ja på Gravf5 (deltatt i begravelse) fikk dette spørsmålet. Personer som svarte «Nei» på Gravf5 er kodet inn som Nei i denne tabellen, personer som svarte «Vet ikke» kodet inn som Vet ikke og personer som ikke ønsket å svare som Nekter.
Tabell 4.8 Andel i ulike befolkningsgrupper som har deltatt ved askespredning1. Prosent
Ja | Nei | Vet ikke | Nekter | Antall | |
|---|---|---|---|---|---|
Alle | 4 | 95 | 1 | 0 | 1 155 |
Kjønn | |||||
Mann | 4 | 95 | 1 | 0 | 588 |
Kvinne | 4 | 95 | 1 | 0 | 567 |
Aldersgruppe | |||||
16–24 år | 3 | 96 | 1 | 0 | 186 |
25–44 år | 3 | 96 | 1 | 0 | 376 |
45–66 år | 7 | 93 | 0 | 0 | 443 |
67–79 år | 1 | 97 | 1 | 1 | 150 |
Utdanningsnivå | |||||
Uoppgitt eller ingen | 3 | 94 | 3 | 0 | 33 |
Grunnskole | 5 | 94 | 0 | 0 | 237 |
Videregående | 4 | 96 | 1 | 0 | 490 |
Universitet/høyskole | 4 | 95 | 1 | 0 | 395 |
Husholdningsinntekt | |||||
under 200 000 kr | 3 | 97 | 0 | 0 | 58 |
200 000–399 999 | 6 | 94 | 1 | 0 | 119 |
400 000–599 999 | 4 | 94 | 1 | 1 | 179 |
600 000–799 999 | 5 | 94 | 1 | 0 | 186 |
800 000 kr eller mer | 3 | 96 | 0 | 0 | 425 |
Vet ikke/ vil ikke oppgi | 3 | 94 | 2 | 1 | 188 |
Sentralitet | |||||
Minst sentrale kommuner | 1 | 95 | 2 | 2 | 111 |
Mindre sentrale kommuner | 5 | 95 | 0 | 0 | 57 |
Noe sentrale kommuner | 3 | 97 | 1 | 0 | 191 |
Sentrale kommuner | 5 | 95 | 0 | 0 | 796 |
Landsdel | |||||
Akershus og Oslo | 6 | 93 | 0 | 0 | 279 |
Hedmark og Oppland | 6 | 93 | 1 | 0 | 96 |
Østlandet ellers | 2 | 98 | 0 | 0 | 220 |
Agder og Rogaland | 3 | 96 | 1 | 0 | 170 |
Vestlandet | 2 | 96 | 2 | 1 | 188 |
Trøndelag | 5 | 94 | 1 | 1 | 108 |
Nord-Norge | 4 | 96 | 0 | 0 | 94 |
Innvandrerbakgrunn | |||||
Ikke innvandrerbakgrunn | 4 | 96 | 0 | 0 | 1 047 |
Innvandrerbakgrunn | 6 | 92 | 2 | 0 | 108 |
1 Kun personer som svarte ja på Gravf5 (deltatt i begravelse) fikk dette spørsmålet. Personer som svarte «Nei» på Gravf5 er kodet inn som Nei i denne tabellen, personer som svarte «Vet ikke» kodet inn som Vet ikke og personer som ikke ønsket å svare som Nekter.
Tabell 4.9 Hvor respondenter i ulike befolkningsgrupper ønsker å bli gravlagt. Prosent
Der de bor | Der man bodde i oppveksten | Der de nærmeste pårørende bor | Annet sted | Ikke relevant | Vet ikke | Nekter | Antall | |
|---|---|---|---|---|---|---|---|---|
Alle | 74 | 7 | 2 | 4 | 1 | 12 | 1 | 1 155 |
Kjønn | ||||||||
Mann | 74 | 7 | 2 | 3 | 1 | 11 | 1 | 588 |
Kvinne | 73 | 7 | 2 | 4 | 0 | 12 | 0 | 567 |
Aldersgruppe | ||||||||
16–24 år | 63 | 10 | 5 | 5 | 1 | 16 | 0 | 186 |
25–44 år | 65 | 11 | 3 | 5 | 1 | 15 | 1 | 376 |
45–66 år | 84 | 5 | 1 | 2 | 1 | 8 | 0 | 443 |
67–79 år | 80 | 3 | 1 | 5 | 0 | 9 | 2 | 150 |
Utdanningsnivå | ||||||||
Uoppgitt eller ingen | 58 | 3 | 3 | 15 | 0 | 21 | 0 | 33 |
Grunnskole | 74 | 5 | 3 | 3 | 1 | 14 | 1 | 237 |
Videregående | 80 | 7 | 2 | 3 | 1 | 7 | 1 | 490 |
Universitet/høyskole | 68 | 10 | 2 | 4 | 1 | 15 | 0 | 395 |
Husholdningsinntekt | ||||||||
under 200 000 kr | 53 | 26 | 5 | 7 | 3 | 5 | 0 | 58 |
200 000–399 999 | 64 | 7 | 2 | 9 | 1 | 18 | 0 | 119 |
400 000–599 999 | 75 | 8 | 4 | 2 | 1 | 8 | 1 | 179 |
600 000–799 999 | 74 | 7 | 1 | 5 | 1 | 12 | 0 | 186 |
800 000 kr eller mer | 79 | 6 | 1 | 3 | 0 | 11 | 0 | 425 |
Vet ikke/ vil ikke oppgi | 73 | 4 | 3 | 2 | 1 | 15 | 2 | 188 |
Sentralitet | ||||||||
Minst sentrale kommuner | 85 | 3 | 2 | 2 | 1 | 5 | 3 | 111 |
Mindre sentrale kommuner | 89 | 5 | 0 | 0 | 0 | 5 | 0 | 57 |
Noe sentrale kommuner | 83 | 5 | 0 | 2 | 1 | 9 | 1 | 191 |
Sentrale kommuner | 69 | 9 | 3 | 5 | 1 | 14 | 0 | 796 |
Landsdel | ||||||||
Akershus og Oslo | 64 | 11 | 3 | 6 | 1 | 15 | 0 | 279 |
Hedmark og Oppland | 79 | 7 | 0 | 3 | 2 | 7 | 1 | 96 |
Østlandet ellers | 74 | 4 | 4 | 5 | 1 | 12 | 0 | 220 |
Agder og Rogaland | 77 | 6 | 2 | 2 | 0 | 14 | 0 | 170 |
Vestlandet | 81 | 3 | 1 | 3 | 2 | 10 | 1 | 188 |
Trøndelag | 70 | 13 | 4 | 2 | 0 | 9 | 2 | 108 |
Nord-Norge | 81 | 9 | 0 | 3 | 0 | 7 | 0 | 94 |
Innvandrerbakgrunn | ||||||||
Ikke innvandrerbakgrunn | 76 | 7 | 2 | 3 | 1 | 11 | 0 | 1 047 |
Innvandrerbakgrunn | 50 | 8 | 6 | 11 | 2 | 21 | 1 | 108 |
Begravelsespreferanser | ||||||||
Kremert og gravlagt i urne | 78 | 8 | 2 | 3 | 1 | 8 | 0 | 355 |
Gravlagt i kiste | 80 | 7 | 2 | 2 | 0 | 9 | 0 | 490 |
Få asken spredd | 54 | 7 | 4 | 14 | 7 | 15 | 0 | 121 |
Vet ikke/ vil ikke oppgi | 63 | 6 | 1 | 3 | 0 | 25 | 3 | 189 |
Tabell 4.10 Hvem respondenter i ulike befolkningsgrupper ønsker at skal arrangere begravelsesseremonien. Prosent
Den norske kirke | Human-Etisk Forbund | Et annet tros- eller livssyns-samfunn | I privat regi | Vet ikke | Nekter | Antall | |
|---|---|---|---|---|---|---|---|
Alle | 72 | 9 | 5 | 10 | 5 | 1 | 1 155 |
Kjønn | |||||||
Mann | 71 | 8 | 5 | 11 | 5 | 1 | 588 |
Kvinne | 73 | 9 | 4 | 8 | 5 | 0 | 567 |
Aldersgruppe | |||||||
16–24 år | 68 | 10 | 2 | 13 | 7 | 0 | 186 |
25–44 år | 60 | 9 | 9 | 15 | 6 | 1 | 376 |
45–66 år | 79 | 9 | 3 | 6 | 3 | 0 | 443 |
67–79 år | 87 | 4 | 0 | 3 | 3 | 2 | 150 |
Utdanningsnivå | |||||||
Uoppgitt eller ingen | 61 | 9 | 15 | 9 | 6 | 0 | 33 |
Grunnskole | 74 | 5 | 4 | 11 | 5 | 1 | 237 |
Videregående | 78 | 8 | 3 | 7 | 3 | 1 | 490 |
Universitet/høyskole | 64 | 11 | 6 | 12 | 7 | 0 | 395 |
Husholdningsinntekt | |||||||
under 200 000 kr | 59 | 10 | 5 | 19 | 7 | 0 | 58 |
200 000–399 999 | 73 | 6 | 3 | 12 | 6 | 0 | 119 |
400 000–599 999 | 70 | 8 | 3 | 12 | 6 | 1 | 179 |
600 000–799 999 | 72 | 6 | 7 | 12 | 3 | 0 | 186 |
800 000 kr eller mer | 74 | 12 | 4 | 7 | 3 | 0 | 425 |
Vet ikke/ vil ikke oppgi | 72 | 6 | 4 | 7 | 2 | 8 | 188 |
Sentralitet | |||||||
Minst sentrale kommuner | 87 | 3 | 2 | 3 | 3 | 3 | 111 |
Mindre sentrale kommuner | 84 | 5 | 2 | 7 | 2 | 0 | 57 |
Noe sentrale kommuner | 81 | 6 | 2 | 7 | 3 | 1 | 191 |
Sentrale kommuner | 67 | 10 | 6 | 11 | 6 | 0 | 796 |
Landsdel | |||||||
Akershus og Oslo | 59 | 15 | 8 | 14 | 5 | 0 | 279 |
Hedmark og Oppland | 81 | 9 | 2 | 5 | 1 | 1 | 96 |
Østlandet ellers | 71 | 8 | 6 | 10 | 5 | 0 | 220 |
Agder og Rogaland | 76 | 5 | 4 | 9 | 6 | 0 | 170 |
Vestlandet | 76 | 6 | 1 | 10 | 7 | 1 | 188 |
Trøndelag | 81 | 6 | 4 | 6 | 2 | 2 | 108 |
Nord-Norge | 78 | 5 | 4 | 7 | 5 | 0 | 94 |
Innvandrerbakgrunn | |||||||
Ikke innvandrerbakgrunn | 76 | 9 | 2 | 8 | 4 | 0 | 1 047 |
Innvandrerbakgrunn | 34 | 2 | 32 | 22 | 8 | 1 | 108 |
Begravelsespreferanser | |||||||
Kremert og gravlagt i urne | 70 | 16 | 3 | 8 | 3 | 0 | 355 |
Gravlagt i kiste | 84 | 3 | 6 | 4 | 2 | 0 | 490 |
Få asken spredd | 46 | 14 | 3 | 31 | 6 | 0 | 121 |
Vet ikke/ vil ikke oppgi | 60 | 6 | 3 | 13 | 15 | 3 | 189 |
Form på gravferdsseremoni | |||||||
Med kristent innhold | 95 | 0 | 3 | 2 | 0 | 0 | 759 |
Med annet religiøst innhold | 13 | 5 | 62 | 18 | 3 | 0 | 39 |
Uten religiøst innhold | 29 | 32 | 3 | 29 | 7 | 0 | 295 |
Vet ikke/ vil ikke svare | 29 | 2 | 0 | 6 | 53 | 10 | 62 |
Tabell 4.11 Ønsket form på gravferdsseremonien i ulike befolkningsgrupper. Prosent
Med kristent innhold | Med annet religiøst innhold | Uten religiøst innhold | Vet ikke | Nekter | Antall | |
|---|---|---|---|---|---|---|
Alle | 66 | 3 | 26 | 5 | 1 | 1 155 |
Kjønn | ||||||
Mann | 64 | 3 | 27 | 5 | 1 | 588 |
Kvinne | 67 | 4 | 24 | 5 | 0 | 567 |
Aldersgruppe | ||||||
16–24 år | 59 | 3 | 32 | 6 | 0 | 186 |
25–44 år | 57 | 6 | 31 | 6 | 1 | 376 |
45–66 år | 70 | 2 | 23 | 4 | 0 | 443 |
67–79 år | 83 | 0 | 11 | 4 | 2 | 150 |
Utdanningsnivå | ||||||
Uoppgitt eller ingen | 55 | 9 | 21 | 15 | 0 | 33 |
Grunnskole | 67 | 4 | 23 | 5 | 1 | 237 |
Videregående | 70 | 2 | 23 | 3 | 1 | 490 |
Universitet/høyskole | 61 | 4 | 30 | 5 | 0 | 395 |
Husholdningsinntekt | ||||||
under 200 000 kr | 50 | 7 | 40 | 3 | 0 | 58 |
200 000–399 999 | 67 | 3 | 24 | 6 | 0 | 119 |
400 000–599 999 | 64 | 3 | 26 | 6 | 1 | 179 |
600 000–799 999 | 67 | 5 | 25 | 3 | 0 | 186 |
800 000 kr eller mer | 68 | 2 | 27 | 4 | 0 | 425 |
Vet ikke/ vil ikke oppgi | 64 | 5 | 19 | 9 | 2 | 188 |
Sentralitet | ||||||
Minst sentrale kommuner | 84 | 1 | 9 | 4 | 3 | 111 |
Mindre sentrale kommuner | 72 | 4 | 25 | 0 | 0 | 57 |
Noe sentrale kommuner | 70 | 3 | 24 | 3 | 1 | 191 |
Sentrale kommuner | 62 | 4 | 28 | 6 | 0 | 796 |
Landsdel | ||||||
Akershus og Oslo | 52 | 6 | 37 | 5 | 0 | 279 |
Hedmark og Oppland | 72 | 2 | 23 | 2 | 1 | 96 |
Østlandet ellers | 67 | 4 | 25 | 4 | 0 | 220 |
Agder og Rogaland | 68 | 2 | 23 | 8 | 0 | 170 |
Vestlandet | 70 | 2 | 21 | 7 | 1 | 188 |
Trøndelag | 78 | 3 | 16 | 2 | 2 | 108 |
Nord-Norge | 71 | 3 | 22 | 3 | 0 | 94 |
Innvandrerbakgrunn | ||||||
Ikke innvandrerbakgrunn | 69 | 1 | 26 | 4 | 0 | 1 047 |
Innvandrerbakgrunn | 38 | 26 | 26 | 9 | 1 | 108 |
Begravelsespreferanser | ||||||
Kremert og gravlagt i urne | 60 | 3 | 34 | 3 | 0 | 355 |
Gravlagt i kiste | 80 | 4 | 13 | 2 | 0 | 490 |
Få asken spredd | 40 | 3 | 50 | 7 | 0 | 121 |
Vet ikke/ vil ikke oppgi | 55 | 3 | 26 | 14 | 3 | 189 |
Arrangør av begravelsesseremoni | ||||||
Den norske kirke | 87 | 1 | 10 | 2 | 0 | 759 |
Human-Etisk Forbund | 1 | 2 | 96 | 1 | 0 | 39 |
Et annet tros- eller livssynsamfunn | 38 | 46 | 15 | 0 | 0 | 295 |
I privat regi | 14 | 6 | 76 | 4 | 0 | 112 |
Vet ikke/ vil ikke svare | 3 | 2 | 32 | 53 | 10 | 62 |
Del 2: Dokumentasjon av datafangsten
Undersøkelsen ble gjennomført som en del av SSBs kvartalsvise Reise- og ferieundersøkelse. Alle intervjuer ble gjennomført på telefon mellom 1. juni 2013 og 10. august 2013.
Det ble trukket et landsrepresentativt utvalg bestående av 2 000 personer i alderen 16–79 år fra SSBs sentrale befolkningsdatabase – BEREG.6 Utvalgene ble trukket som landsdekkende, representative utvalg i ett trinn der alle kommuner var trekkbare. Utvalgene er justert på kjønn og aldersgrupper i henhold til populasjonstall per første kvartal.
I tillegg til holdning til gravferd fikk respondentene spørsmål om: reiser i april, mai og juni; dagsturer til utlandet i april, mai og juni; holdning til innvandrere og innvandring; røykevaner og arbeidsforhold.
Av de 2000 personene som ble trukket var 13 avganger på grunn av at de var døde, utvandret eller bosatt på institusjon. Det gjenstående bruttoutvalget var på 1987 personer og vi fikk intervju med 58 prosent av disse. 17 prosent ble frafall fordi de ikke ønsket å delta, fire prosent var forhindret av sykdom eller språkproblemer og 21 prosent kom ikke SSB i kontakt med. Tabell 4.13 viser hva svarprosenten var i ulike befolkningsgrupper og hvordan frafallet fordelte seg. Tabell 4.14 viser hvilke befolkningsgrupper som er over- og underrepresenterte i nettoutvalget.
Tabell 4.12 Oversikt over frafall, avgang og intervju
Antall | Prosent | |
|---|---|---|
Personer trukket ut til intervju | 2 000 | 100 |
Avganger (døde, bosatt i utlandet, på institusjon) | 13 | 0,7 |
Bruttoutvalg | 1 987 | 100 |
Nettoutvalg (personer det ble oppnådd intervju med) | 1 155 | 58,1 |
Frafall | 832 | 41,9 |
Tabell 4.13 Svarprosent og frafallsårsaker etter kjønn, alder, utdanning, kommunens sentralitet og landsdel. Prosent
Intervju | Ønsker ikke å delta | Forhindret | Ikke truffet | Annet frafall | Antall | |
|---|---|---|---|---|---|---|
Alle | 58,1 | 16,7 | 3,8 | 21,1 | 0,3 | 1 987 |
Kjønn | ||||||
Mann | 58,4 | 14,9 | 4,0 | 22,2 | 0,5 | 1 007 |
Kvinne | 57,9 | 18,6 | 3,6 | 19,9 | 0,1 | 980 |
Aldersgruppe | ||||||
16–24 år | 59,8 | 15,1 | 1,0 | 23,5 | 0,6 | 311 |
25–44 år | 51,4 | 14,3 | 5,3 | 28,8 | 0,1 | 732 |
45–66 år | 61,5 | 18,6 | 3,1 | 16,4 | 0,4 | 720 |
67–79 år | 67,0 | 20,5 | 4,9 | 7,6 | 0,0 | 224 |
Utdanningsnivå | ||||||
Uoppgitt eller ingen | 34,7 | 9,5 | 20,0 | 35,8 | 0,0 | 95 |
Grunnskole | 46,3 | 22,1 | 3,9 | 27,2 | 0,6 | 512 |
Videregående | 60,8 | 17,0 | 2,7 | 19,2 | 0,3 | 806 |
Universitet/høyskole | 68,8 | 12,7 | 2,4 | 15,9 | 0,2 | 574 |
Sentralitet | ||||||
Minst sentrale kommuner | 59,0 | 20,2 | 4,3 | 16,5 | 0,0 | 188 |
Mindre sentrale kommuner | 54,3 | 18,1 | 7,6 | 20,0 | 0,0 | 105 |
Noe sentrale kommuner | 57,2 | 18,3 | 2,7 | 21,3 | 0,6 | 334 |
Sentrale kommuner | 58,5 | 15,7 | 3,7 | 21,8 | 0,3 | 1 360 |
Landsdel | ||||||
Akershus og Oslo | 60,3 | 12,1 | 3,7 | 23,5 | 0,4 | 463 |
Hedmark og Oppland | 61,9 | 18,1 | 1,9 | 18,1 | 0,0 | 155 |
Østlandet ellers | 56,7 | 18,0 | 2,6 | 22,2 | 0,5 | 388 |
Agder og Rogaland | 57,2 | 19,5 | 4,4 | 18,5 | 0,3 | 297 |
Vestlandet | 57,1 | 14,9 | 5,5 | 22,2 | 0,3 | 329 |
Trøndelag | 63,2 | 16,4 | 4,1 | 16,4 | 0,0 | 171 |
Nord-Norge | 51,1 | 23,4 | 3,8 | 21,7 | 0,0 | 184 |
Tabell 4.14 Brutto-, nettoutvalg og forskjellen mellom nettoutvalg og bruttoutvalg
Bruttoutvalg | Nettoutvalg | Netto – Brutto | |
|---|---|---|---|
Alle | 100,0 | 100,0 | |
Kjønn | |||
Mann | 50,7 | 50,9 | 0,2 |
Kvinne | 49,3 | 49,1 | -0,2 |
Aldersgruppe | |||
16–24 år | 15,7 | 16,1 | 0,4 |
25–44 år | 36,8 | 32,6 | -4,2 |
45–66 år | 36,2 | 38,4 | 2,2 |
67–79 år | 11,3 | 13,0 | 1,7 |
Utdanningsnivå | |||
Uoppgitt eller ingen | 4,8 | 2,9 | -1,9 |
Grunnskole | 25,8 | 20,5 | -5,3 |
Videregående | 40,6 | 42,4 | 1,8 |
Universitet/høyskole | 28,9 | 34,2 | 5,3 |
Sentralitet | |||
Minst sentrale kommuner | 9,5 | 9,6 | 0,1 |
Mindre sentrale kommuner | 5,3 | 4,9 | -0,4 |
Noe sentrale kommuner | 16,8 | 16,5 | -0,3 |
Sentrale kommuner | 68,4 | 68,9 | 0,5 |
Landsdel | |||
Akershus og Oslo | 23,3 | 24,2 | 0,9 |
Hedmark og Oppland | 7,8 | 8,3 | 0,5 |
Østlandet ellers | 19,5 | 19,1 | -0,4 |
Agder og Rogaland | 14,9 | 14,7 | -0,2 |
Vestlandet | 16,6 | 16,3 | -0,3 |
Trøndelag | 8,6 | 9,4 | 0,8 |
Nord-Norge | 9,3 | 8,1 | -1,2 |
Vedlegg 1: Statistisk usikkerhet og feilmarginer ved utvalgsundersøkelser
Utvalget til Reise- og ferieundersøkelsen er trukket tilfeldig fra BeReg, Statistisk sentralbyrås kopi av Folkereisteret. Gjennom utvalgsundersøkelser kan vi anslå forekomsten av ulike fenomener i en stor gruppe (populasjonen) ved å måle forekomsten bare i et mindre utvalg som er trukket fra populasjonen. Det gir store besparelser sammenlignet med om vi skulle gjennomført målingen i hele populasjonen, men samtidig får vi en viss usikkerhet i anslagene. Denne usikkerheten kan vi beregne når vi kjenner sannsynligheten for at hver enkelt enhet i populasjonen skal bli trukket til utvalget.
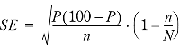
Metoden som brukes til å beregne et anslag (estimatet), kalles en estimator. Det er to aspekter ved en estimator som er viktige. For det første bør estimatoren gi omtrent korrekt verdi ved gjentatte forsøk. Det vil si at den «treffer målet» i den forstand at ved gjentatt trekking av utvalg, vil gjennomsnittsverdien av estimatene være sentret rundt den sanne populasjonsverdien; estimatoren er forventningsrett. I tillegg trenger vi et mål på hvor stor variasjon rundt populasjonverdien estimatene har ved gjentatt trekking av utvalg. Det er denne variasjonen som er den statistiske usikkerheten til estimatet, og det vanlige målet er standardfeilen, SE (fra det engelske begrepet «standard error»), til estimatet. SE er definert som det estimerte standardavviket til estimatoren. SE forteller dermed hvor mye et anslag i gjennomsnitt vil avvike fra den sanne verdien.
Som en illustrasjon: La oss si vi ønsker å estimere prosentandelen kvinner, P0,i en befolkning (populasjon) med størrelse N. Anta utvalget av størrelse n er trukket tilfeldig, det vil si at alle enheter har samme sannsynlighet n/N for å bli med i utvalget. La P være prosentandelen kvinner i utvalget. Da er P en forventningsrett estimator for P0 og standardfeilen er gitt ved:

Estimeringsfeilen vi begår er forskjellen mellom P og P0. Denne er selvfølgelig ukjent, men vi kan gi et anslag, feilmarginen, på hvor stor den med en gitt sannsynlighet kan være. Feilmarginen er definert som 2·SE. Intervallet
(P – 2·SE, P + 2·SE)
er et 95 prosent konfidensintervall. Det betyr at sannsynligheten for at intervallet dekker den sanne verdien P0 er 0,95 (95 prosent). Eller sagt på en annen måte, ved gjentatte utvalg så vil 95 prosent av intervallene dekke den sanne verdien P0. Vi sier da et det er 95 prosent sikkerhet for at det beregnede intervallet dekker den sanne verdien. For utledning av disse formlene og tilsvarende resultater for andre typer variable og for mer kompliserte utvalgsplaner som stratifiserte utvalg og flertrinnsutvalg viser vi til Bjørnstad (2000).
I faktaboksen oppsummeres begrepsdefinisjoner og formler for estimering av prosenttall i en populasjon.
Boks 4.1 Faktaboks
Statistisk usikkerhet for estimering av prosentandel av et kjennetegn ved enkelt tilfeldig utvalg
N antall enheter i populasjonen
n antall enheter i utvalget, trukket enkelt tilfeldig
P0 prosentandel i populasjonen med kjennetegn a
x antall enheter i utvalget med kjennetegn a
P prosentandel i utvalget med kjennetegn a, P = 100 · (x/n)
100 – P prosentandel i utvalget som ikke har kjennetegn a
Utvalgsvarians 
95 prosent konfidensintervall for P0: P±2 · SE
Standardfeil 
Feilmargin = 2 · SE
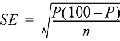
I de fleste utvalgsundersøkelsene i SSB utgjør utvalget en svært liten del av populasjonen. Undersøkelsene tar sikte på å dekke store populasjoner, som for eksempel den norske befolkningen i sin helhet, alle arbeidstagere, alle norske bedrifter osv. Utvalgene som skal dekke disse populasjonene er små i forhold til populasjonsstørrelsene. Det betyr at utvalgsandelen n/N er neglisjerbar i formelen for SE, og vi kan benytte formelen

Vi legger merke til at konfidensintervallets størrelse er avhengig av størrelsen på utvalget, men ikke av populasjonen. Standardfeilen blir mindre dess flere som er med i utvalget, og sammenhengen mellom størrelsen på standardfeilen og n er ikke lineær. For å få standardfeilen halvert, med samme verdi av P, så må utvalgsstørrelsen firedobles.
Vi ser at standardfeilen er størst når utvalgsresultatet er 50 prosent, og avtar symmetrisk etter hvert som prosentandelen nærmer seg 0 og 100.
I stedet for å foreta beregninger for hvert enkelt resultat, kan tabell 4.15 benyttes. Den viser standardfeil for observerte prosentandeler etter utvalgets størrelse, trukket enkelt tilfeldig.
Tabell 4.15 Standardfeil i prosentpoeng for observerte prosentandeler ved ulike utvalgsstørrelser, for enkelt tilfeldig utvalg.
n: \ P: | 5/95 | 10/90 | 15/85 | 20/80 | 25/75 | 30/70 | 35/65 | 40/60 | 45/55 | 50/50 |
|---|---|---|---|---|---|---|---|---|---|---|
25 | 4,4 | 6,0 | 7,1 | 8,0 | 8,7 | 9,2 | 9,5 | 9,8 | 9,9 | 10,0 |
50 | 3,1 | 4,2 | 5,0 | 5,7 | 6,1 | 6,5 | 6,7 | 6,9 | 7,0 | 7,1 |
100 | 2,2 | 3,0 | 3,6 | 4,0 | 4,3 | 4,6 | 4,8 | 4,9 | 5,0 | 5,0 |
200 | 1,5 | 2,1 | 2,5 | 2,8 | 3,1 | 3,2 | 3,4 | 3,5 | 3,5 | 3,5 |
300 | 1,3 | 1,7 | 2,1 | 2,3 | 2,5 | 2,6 | 2,8 | 2,8 | 2,9 | 2,9 |
500 | 1,0 | 1,3 | 1,6 | 1,8 | 1,9 | 2,0 | 2,1 | 2,2 | 2,2 | 2,2 |
1 000 | 0,7 | 0,9 | 1,1 | 1,3 | 1,4 | 1,4 | 1,5 | 1,5 | 1,6 | 1,6 |
1 155 | 0,6 | 0,9 | 1,1 | 1,2 | 1,3 | 1,3 | 1,4 | 1,4 | 1,5 | 1,5 |
Et utvalgsresultat på 40 prosent fra enkelt tilfeldig utvalg med 1200 enheter har en standardfeil på 1,4 prosentpoeng. Dvs. at feilmarginen er 2,8 prosentpoeng og 95 prosent konfidensintervall er (37,2–42,8) prosent. Vi kan anslå med 95 prosent sikkerhet at andelen i populasjonen ligger mellom 37,2 og 42,8 prosent.
Eksempel på bruk av formel og tabell
Vi ønsker å anslå andelen av nordmenn som ønskes å kremeres og gravlegges i urne etter at de dør. Vi har fått svar fra 1155 respondenter (n) som er trukket fra den norske befolkningen mellom 16 og 79 år. I 2013 var dette omtrent 3 800 000 personer (N). 355 (x) av de spurte oppgir at de ønsker å kremeres og gravlegges i urne. De resterende 800 ønsker andre begravelsesformer eller oppgir ingen preferanser. Andelen som ønsker å kremeres er da x/n = 355/1155 = 0,307, eller 30,7 prosent. Siden n/N = 0,0005 så kan vi bruke den forenklede formelen for SE og får konfidensintervallet

Estimatet for andelen som ønsker å begraves i urne er altså 30,7. Feilmarginen for estimatet er 2,8 prosent, mens konfidensintervallet med 95 prosent sikkerhet forteller at andelen ligger mellom 27,9 og 33,5 prosent.
Vi kan også bruke tabell 4.15. Vi går inn på raden 1 200 og kolonnen 30/70; som er kolonnen som ligger nærmest resultatet. I tabell 4.1 leser vi at standardfeilen er 1,3. Et 95 prosent konfidensintervall blir da 30,7±2(1,3)= 30,7±2,6, som er tilnærmet det samme som over.
Vedlegg 2: Spørreskjema Holdning til gravferd
Gravf1
Nå kommer noen spørsmål om din holdning til begravelse og begravelsesseremonier.
Vil du overlate til dine etterlatte å ta beslutningene om din gravferd eller vil du ta disse selv?
Med beslutningene om gravferd menes hvordan man skal begraves (kremeres, begraves eller få asken spredd), hvor man vil begraves og hvordan begravelsesseremonien skal være-
Vil overlate til de etterlatte
Vil ta beslutninger selv
Hvis Gravf1=2
Gravf2
Har du lagt planer for gravferden din?
Ja
Nei
Gravf3
Når du dør, ønsker du å bli
a) Kremert og gravlagt i urne
b) Gravlagt i kiste
c) Få asken spredd på havet eller et annet sted (Før asken blir spredd blir man kremert)
Gravf4
Har noen i din nærmeste familie blitt kremert?
Med nærmeste familie menes besteforeldre, foreldre, søsken, barn og steforeldre.
Ja
Nei
Gravf5
Har du deltatt i en begravelse?
Ja
Nei
Hvis Gravf5=Ja stilles Gravf6-Gravf8
Gravf6
Har du deltatt i en begravelse der kisten senkes i jorden?
a) Ja
b) Nei
Gravf7
Har du deltatt i en begravelse der avdøde skulle kremeres?
a) Ja
b) Nei
Gravf8
Har du deltatt ved askespredning?
a) Ja
b) Nei
Gravf9
Vil du bli gravlagt i kommunen du bor i nå?
Ja
Nei
Hvis Gravf9=2
Gravf10
Hvor ønsker du å bli gravlagt?
Dersom de pårørende bor i kommunen IO bodde i under oppveksten velges alternativet som er viktigst for IO
a) i kommunen hvor du bodde i oppveksten
b) i kommunen hvor dine nærmeste pårørende bor
c) eller et annet sted
d) Ikke relevant (hvis IO ønsker asken spredd og ikke har en klar mening om hvor)
Gravf11
Dersom du i dag skulle ta et valg om din egen gravferd, ville du ha en seremoni…
a) i regi av Den norske kirke
b) i regi av Human-Etisk Forbund
c) i regi av et annet tros- eller livssynssamfunn (for eksempel muslimsk, jødisk eller buddhistisk)
d) eller i privat regi (uten medvirkning fra et tros- eller livssynsamfunn)
Gravf12
Dersom du i dag skulle ta et valg om din egen gravferd, ville du ha en seremoni…
a) med kristent innhold
b) med annet religiøst innhold (for eksempel muslimsk, jødisk eller buddhistisk)
c) eller uten religiøst innhold
Fotnotar
Per 31.12.2013.
Utdanningsinndelingen er basert på register over høyeste fullførte utdanning SSB har tilgang til, og klassifisert etter NUS2000 (http://stabas.ssb.no/ItemsFrames.asp?ID=8822501&Language=nn). Uoppgitt eller ingen inkluderer verdiene «Ingen utdanning», «Uoppgitt» og enheter som mangler informasjon i registeret.
Basert på inntekten respondenten rapporterte i intervjuet.
Inndelt i fire kategorier: «Sentrale kommuner» omfatter et tettsted på nivå 3 (landsdelssenter) eller ligger innenfor 75 minutters (for Oslo:90 minutters) reisetid fra et slikt tettsteds sentrum; «Noe sentrale kommuner» omfatter et tettsted på nivå 2 eller ligger innenfor 60 minutters reisetid fra et slikt tettsteds sentrum; «Mindre sentrale kommuner» omfatter et tettsted på nivå 1 eller ligger innenfor 45 minutters reisetid fra et slikt tettsteds sentrum; og «Minst sentrale kommuner» er alle kommunene som ikke faller i noen av de andre kategoriene (http://www4.ssb.no/ItemsFrames.asp?ID=5285601&Language=nb).
Dette baserer seg på en femdelt inndeling av innvandringskategori (http://www4.ssb.no/stabas/ItemsFrames.asp?ID=5538098&Language=nb&VersionLevel=ClassLevel). Ikke innvandrerbakgrunn inkluderer: «Personer uten innvandringsbakgrunn», «Utenlandsfødte med en utenlandsfødt forelder», «Født i Norge med en utenlandsfødt forelder» og «Født i utlandet av norskfødte foreldre». Innvandrerbakgrunn inkluderer: «Førstegenerasjonsinnvandrere uten norsk bakgrunn» og «Personer født i Norge med to utenlandsfødte foreldre».
Basen oppdateres daglig med opplysninger fra Det sentrale folkeregisteret.