1 Anadrom laksefisk – bestandar, forvaltning, kunnskapsformidling – vedtak nr. 405, 18. desember 2015
1.1 Innleiing og samandrag
Ved behandling av innstilling frå energi- og miljøkomiteen om løyvingar på statsbudsjettet Prop. 1 S (2015 – 2016) og Prop. 1 S Tillegg 1 (2015 – 2016) fatta Stortinget den 18. desember 2015 følgjande vedtak nr. 405, innstillingas tilråding C romartal II:
Stortinget ber regjeringen legge fram en sak for Stortinget som belyser status for bestanden av anadrome laksefisker, og hvordan forvaltningen og formidling av kunnskap kan styrkes for å sikre en bærekraftig utvikling.
Omtalen her er ei oppfølging av og eit svar på oppmodingsvedtaket, og med dette meiner regjeringa at oppmodingsvedtaket er utkvittert.
I første del av denne omtalen av anadrom laksefisk blir det gjort greie for status for bestandar, forvaltning og kunnskapsformidling. Andre del av omtalen omhandlar vidareutvikling av forvaltninga og kunnskapsformidlinga. Gjennomgangen av andre del omfattar berre tiltak innanfor miljøforvaltninga sitt ansvarsområde. Eventuelle nye tiltak innanfor andre sektorar vil bli vurderte som ledd i ei kommande oppfølging av to punkt i Meld. St. 14 (2015 – 2016) Natur for livet. Det eine oppfølgingspunktet gjeld arbeidet knytt til kvalitetsnormen for villaks. Det andre oppfølgingspunktet gjeld evalueringa av ordninga med nasjonale laksevassdrag og laksefjordar. I det følgjande er gitt eit samandrag av omtalen.
Laks, sjøaure og sjørøye er dei tre artene anadrome laksefisk som er naturleg utbreidde i Noreg.
Innsiget av laks til kysten av Noreg har blitt meir enn halvert i perioden 1983 – 2015. Det er regionale skilnader i korleis innsiget av laks har utvikla seg. I Sør-Noreg til og med Rogaland har det vore ei positiv utvikling. I Vest-Noreg og Midt-Noreg til Vesterålen har utviklinga vore negativ. Innsiget i Nord-Noreg, unnateke Tana-vassdraget, har vore stabilt. Vitskapleg råd for lakseforvaltning har klassifisert 148 av dei 465 laksebestandane i Noreg etter Kvalitetsnorm for ville bestandar av atlantisk laks. Klassifiseringa viste at 80 prosent av dei klassifiserte bestandane ikkje nådde kvalitetsnorma sitt mål om minst god kvalitet.
Laksebestandane representerer betydelege verdiar som inntektsgrunnlag for rettshavarar og som grunnlag for turisme i ei rekkje lokalsamfunn. I område med samisk busetnad har laksen spela ei sentral rolle både materielt og kulturelt, og laksebestandane i Tana har særleg stor betydning for samisk kultur. Bestandane av sjøaure og sjørøye er av stor rekreasjonsverdi for lokalsamfunn.
Vitskapleg råd for lakseforvaltning har vurdert rømt oppdrettslaks som den største trusselen mot laksebestandane. Også lakselus er vurdert som ein ikkje-stabilisert trussel. Vasskraftregulering og andre inngrep i vassdrag, sur nedbør og den innførte parasitten Gyrodactylus salaris er vurderte som stabiliserte truslar. Bestandstilstanden for sjøaure er påverka av lakselus, inngrep i vassdrag og jordbrukstilsig. Bestandstilstanden for sjørøye er særleg påverka av lakselus.
I norsk villaksforvaltning er målet å bevare og gjenoppbyggje laksebestandar av ein storleik og ei samansetjing som sikrar mangfald innan arta og utnyttar produksjonsmoglegheitene. Kvalitetsnorma for villaks er eit viktig verktøy for å nå målet i villaksforvaltninga.
Ordninga med nasjonale laksevassdrag og laksefjordar skal gi dei viktigaste laksebestandane eit spesielt vern. Ordninga blir evaluert i løpet av 2017. I Meld. St. 14 (2015 – 2016) Natur for livet heiter det at dersom det viser seg at ordninga ikkje har gitt tilstrekkeleg vern av villaksen, vil regjeringa vurdere behovet for å styrkje vernet.
Det er gjennomført ei rekkje tiltak for å redusere påverknaden frå lakselus og rømt fisk frå fiskeoppdrett. Kampen mot Gyrodactylus salaris held fram i tråd med faglege tilrådingar.
Ny kunnskap og erfaring har gitt grunnlag for å opprette på nytt naturleg fiskeproduksjon og fiskevandring i fleire regulerte vassdrag. Dette gjer at vi i dag har betre høve til å setje inn målretta tiltak som fjernar eller reduserer negative effektar av reguleringsinngrepa.
Det vart gjennomført ein hovudrevisjon av reguleringa av fisket etter anadrom laksefisk i sjø og elv i 2016. Ei ny avtale mellom Noreg og Finland om fisket i Tana-vassdraget vart inngått 30. mars 2017.
Kalkinga av forsura vassdrag held fram. Fiskeutsetjingar er sett på som eit eigna tiltak i spesielle tilfelle. Ved inngangen til 2017 er det i «levande» genbank 21 bestandar av laks, 12 bestandar av sjøaure og to bestandar av sjørøye. I «frosen» genbank er det sæd frå 26 sjøaurebestandar, to sjørøyebestandar og meir enn 200 laksebestandar.
Tilgjengeleggjering av kunnskap om natur vart omtalt i Meld. St. 14 (2015 – 2016) Natur for livet. Miljødirektoratet har som oppgåve å formidle kunnskap om anadrom laksefisk og har bygd opp «Villaksportalen» på sine nettsider. Vidare blir det gitt tilskot til formidling i regi av fleire organisasjonar.
I det vidare arbeidet med forvaltninga av vill anadrom laksefisk vil Klima- og miljødepartementet føre vidare tiltak som allereie er sette i verk innanfor departementets ansvarsområde. Dette inneber å gjennomføre tiltaksplan for utrydding av lakseparasitten G. salaris, gjennomføre bevarings- og reetableringtiltak i vassdrag infiserte av G. salaris ved bruk av «levande» genbank og framleis nytte «frosen» genbank som eit verkemiddel for å sikre det genetiske mangfaldet i lakse- og sjøaurebestandane, gjennomføre tiltaksplan for kalking av vassdrag, følgje opp Kvalitetsnorm for villaks og utarbeide tiltaksplan for vill anadrom laksefisk. I tillegg vil evalueringa av ordninga med nasjonale laksevassdrag og laksefjordar bli følgt opp, slik som omtalt i Meld. St. 14 (2015 – 2016) Natur for livet.
For å betre måloppnåinga i forvaltninga av vill anadrom laksefisk, vil departementet òg prioritere å arbeide vidare med følgjande tiltak:
Avklare viktige vegval for regulering av laksefisket i framtida
Følgje opp avtala med Finland om fisket i Tanavassdraget
Styrkje innsatsen mot ulovleg fiske, spesielt i sjøen
Medverke til å avklare eigarforhold og vedlikehaldsansvar for viktige fisketrapper
Følgje opp forureinande utslepp gjennom vassforvaltningsplanane, gjennom oppfølging av anna regelverk eller gjennom andre prosessar
Setje inn fleire tiltak mot framande fiskearter
For å utvikle kunnskapsformidlinga vidare, vil departementet styrkje eksisterande formidlingskanalar og vurdere eit kompetanseløft for lokal forvaltning.
1.2 Status for bestandar, forvaltning og kunnskapsformidling
1.2.1 Dei anadrome laksefiskane si utbreiing og bestandstilstand
Med «anadrom laksefisk» er meint laksefisk som vandrar mellom sjø og ferskvatn og som er avhengig av ferskvatn for å reprodusere seg, og rogn og ungar av slik fisk. Laks, sjøaure og sjørøye er dei tre artene anadrom laksefisk som er naturleg utbreidd i Noreg.
Den atlantiske laksen består av eit stort tal genetisk forskjellige bestandar frå vassdrag med utløp til det nordlege Atlanterhavet. Ein stor del av bestandane høyrer heime i norske vassdrag. I Noreg er laksen utbreidd langs heile kysten frå svenskegrensa i sør til grensa mot Russland i nord. I Miljødirektoratets lakseregister er det registrert 465 sjølvreproduserande bestandar av laks i Noreg.
Villaksen er følsam for miljøendringar. Endringar i blant anna vasstemperatur, vassføring og vasskvalitet har derfor stor innverknad på bestandane. Som følgje av dette er livskraftige laksebestandar ein indikator på god miljøtilstand. Samtidig gjer dette laksen sårbar for klimaendringane og gjer den meir utsett for anna menneskeskapt negativ påverknad.
Sjøaure er same art som vanleg, norsk brunaure. Hovudforskjellen er at sjøauren har eit anadromt levesett med opphald i sjøen. I Miljødirektoratets lakseregister er det oppført 1127 sjøaurebestandar, men vi kjenner til at det finst mange fleire førekomstar av sjøaure, særleg i små vassdrag.
I Noreg lever sjøaure naturleg i alt frå små bekkar til store elver langs heile kysten. I dei fleste vassdraga lever sjøaure side om side med laks, og i nord ofte saman med sjørøye.
Sjørøya har ei sirkumpolar utbreiing. I Noreg har vi bestandar i dei tre nordlegaste fylka og på Svalbard. I Miljødirektoratets lakseregister er det registrert 114 bestandar av denne arta.
Bestandstilstand
Laks
Lakseinnsiget i Noreg har blitt meir enn halvert i perioden 1983 – 2015 (figur 1.1). Det totale innsiget av villaks frå havet til Noreg var med 522 000 laks i 2015 på same nivå som gjennomsnittet for åra etter 1990. Ifølgje Vitskapleg råd for lakseforvaltning (VRL) er nedgangen tydeleg for smålaks, mens talet mellom- og storlaks ikkje har hatt same negative utvikling.

Figur 1.1 Utrekna innsig av laks til kysten av Noreg i perioden 1983 – 2015. Punkta angir medianverdiane, mens dei loddrette strekane angir spennet mellom minste og største verdi frå simuleringane. Den raude linja er ei trendlinje.
Kjelde: Vitskapleg råd for lakseforvaltning, rapport nr. 9 (2016).
Det er ifølgje VRL regionale skilnader i korleis innsiget av laks har utvikla seg dei siste tiåra. I Sør-Noreg (strekninga Østfold til og med Rogaland) har det vore ei positiv utvikling i talet laks som har komme inn til kysten. I Vest-Noreg (frå og med Hordaland til Stad i Sogn og Fjordane) og i Midt-Noreg (frå Stad til Vesterålen) har det vore ei negativ utvikling, mens innsiget i Nord-Noreg har vore stabilt i perioden 1989 – 2015. Utviklinga i Tana-vassdraget frå 1989 skil seg markant frå utviklinga i resten av region Nord-Noreg med ein nedgang i innsiget på 59 pst. frå dei fire første til dei fire siste åra i tidsserien.
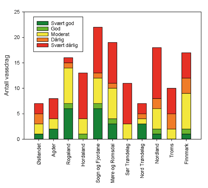
Vitskapleg råd for lakseforvaltning klassifiserte 148 av dei 465 norske laksebestandane etter kvalitetsnorma i 2017 (figur 1.2).
Av 148 laksebestandar hadde 29 bestandar (20 pst.) god eller svært god kvalitet, mens 42 bestander (28 pst.) hadde moderat kvalitet. Det vil seie at 119 bestandar (80 pst.) ikkje nådde kvalitetsnormas mål om minst god kvalitet. Blant desse 119 bestandane var det 52 bestandar (44 pst.) som ikkje nådde målet i kvalitetsnorma berre på grunn av påverknad av rømt oppdrettslaks (det vil seie brot på delnormen genetisk integritet) og 22 bestandar (18 pst.) berre på grunn av at dei ikkje nådde gytebestandsmål og haustbart overskot (det vil seie brot på delnorm gytebestandsmål og haustingspotensial). I tillegg var det 45 bestandar (38 pst.) som ikkje nådde kvalitetsnorma både på grunn av påverknad av rømt oppdrettslaks og ikkje oppnådd gytebestandsmål og haustbart overskotd (det vil seie brot på begge delnormer).
Laksebestandane i Rogaland og Nord-Trøndelag hadde best kvalitet, der omtrent halvparten av dei vurderte bestandane nådde kvalitetsnormas mål om minst god kvalitet. Bestandane i Sør-Trøndelag og Troms hadde dårlegast kvalitet. Ingen av dei vurderte bestandane i dei to fylka nådde kvalitetsnormas mål.

Figur 1.2 Geografisk fordeling av kvalitet på laksebestandane klassifisert etter kvalitetsnorma for villaks i 2017.
Kjelde: Vitskapleg råd for lakseforvaltning, temarapport nr. 5 (2017).
Sjøaure
Bestandsstatus til dei norske sjøaurebestandane vart sist vurdert i 2013. I denne kategoriseringa vart det vurdert at 21 bestandar var tapt, 35 bestandar var truga, 102 bestandar var sårbare, 435 bestandar var reduserte og 432 bestandar var omsynskrevjande. Berre for 17 bestandar vart situasjonen vurdert som svært god, mens kategoriplasseringa var usikker for 85 bestandar.
Kunnskapsgrunnlaget om bestandsstatus til dei norske sjøaurebestandane er svakare enn hos laksebestandane. Av 1106 sjøaurebestandar i Noreg er det registrert fangst i berre 517 vassdrag i den offisielle fangststatistikken. Likevel er fangststatistikken ein av dei beste nasjonale indikatorane på bestandssvingingane for sjøaure som vi har pr. dags dato. Rapporterte fangstar har endra seg lite på Aust- og Sørlandet i perioden 1993 – 2016, falle sterkt på Vestlandet og i Trøndelag og auka i Nord-Noreg i perioden 1993 – 2016 sett under eitt. For å vurdere kor vidt fangststatistikken reflekterer bestandssituasjonen i dei ulike regionane, har Vitskapleg råd for lakseforvaltning gjennomgått data frå teljingar av sjøaure i ulike vassdrag i Noreg. Denne gjennomgangen har stadfest det generelle mønsteret i utviklinga av sjøaurebestandane på region- og fylkesbasis, men viser at det er variasjon i utviklinga mellom vassdrag (VRL rapport nr. 8, 2015).
Sjørøye
Kunnskapsgrunnlaget om dei norske sjørøyebestandane er som for sjøauren meir avgrensa samanlikna med bestandskunnskapen om laks. Dei rapporterte sjørøyefangstane fall betydeleg i perioden 2005 – 2009, men har hatt ei positiv utvikling dei seinare åra. I kategoriseringa som vart gjennomført av fylkesmannens fiskeforvaltarar i 2013 vart det vurdert at 2 bestandar var tapt, 5 bestandar var truga, 11 bestandar var sårbare, 19 bestandar var reduserte og 33 bestandar var omsynskrevjande. Berre for 6 bestandar vart situasjonen vurdert som svært god, mens kategoriplasseringa var usikker for 38 bestandar.
1.2.2 Dei anadrome laksefiskane si kulturelle og økonomiske betydning
Den kulturelle betydninga av laksen i Noreg speglar seg i kulturhistoria gjennom helleristingar, eventyr, segner, dikting, målarkunst, handverkstradisjonar og stadsnamn. Ikkje minst i område med samisk busetnad har laksen spela ei sentral rolle både materielt og kulturelt. Laksen si betydning for samisk kultur kjem til uttrykk blant anna i språkuttrykk, segner, joik og gamle reiskapstradisjonar. Laksebestandane i Tana har særleg stor betydning for samisk kultur.
Villaksen er òg ei viktig kjelde til rekreasjon og naturopplevingar. Undersøkingar tyder på at det årleg er i underkant av 100 000 personar frå inn- og utland som fiskar laks i Noreg.
Laksebestandane representerer betydelege verdiar som inntektsgrunnlag for rettshavarane og som grunnlag for turisme i ei rekkje lokalsamfunn. Villaksen har karakter av å vere eit fellesgode, og det er derfor vanskeleg å fastsetje den samla økonomiske verdien av ressursen.
Sjøaure- og sjørøyebestandane si økonomiske betydning er etter alt å dømme mindre enn for villaksen, men har i liten grad blitt undersøkt. Sjøaure- og sjørøyebestandane er av stor rekreasjonsverdi for lokalsamfunn, fordi det finst langt fleire vassdrag med sjøaure og/eller sjørøye enn laksevassdrag. Fisket i slike vassdrag er dessutan rimelegare enn fiske i laksevassdrag, og er av stor betydning for allmenta sin tilgang til fiske.
1.2.3 Omfanget av fiske
Laks
Dei norske laksebestandane blir fiska både i sjø og elv. Det er registrert omlag 900 sjølaksefiskarar som driv eit nærings-, fritids- og/eller husbehovsfiske med fastståande reiskap. Talet på registrerte sjølaksefiskarar og fangstinnsatsen til desse har i mange år hatt ein nedadgående trend. Det finst inga oversikt over talet på fritidsfiskarar som fiskar med stang og handsnøre etter anadrom laksefisk i sjøen, og fangstane i dette fisket blir ikkje rapporterte systematisk.
Elvefiske blir i dag i all hovudsak drive med sportsfiskereiskap, med nokre unntak der det òg går føre seg eit tradisjonelt fiske med bunden reiskap. Elvefisket omfattar grunneigarar i vassdraga, som ved å fiske på eigen grunn og/eller leige ut fiskeretten, tilbyr rekreasjonsfiske til i underkant av 100 000 fritidsfiskarar (estimert frå tal som har betalt fiskeravgift). Talet på sportsfiskarar har gått noko ned dei siste åra.
Laksefangstane har sidan tidleg på 2000-talet vist ein nedgåande trend, og har dei siste åra lege på eit historisk lågt nivå (figur 1.3). Av den totale beskatninga i 2016 vart ca. 340 tonn fanga i elv, mens nesten 270 tonn vart fanga i sjølaksefisket. Den store nedgangen i laksefangstane i 1989 skuldast i hovudsak forbodet mot drivgarnfiske.

Figur 1.3 Rapportert fangst (tonn) av laks i Noreg i perioden 1983 – 2016 (rømt oppdrettslaks er inkludert). Laks som er sett ut att er ikkje inkludert i totalen då desse kan bli fanga fleire gonger. Laks som er fanga med stang og handsnøre i sjøen blir ikkje rapportert, og inngår derfor ikkje i statistikken.
Kjelde: SSB.
Sjøaure
I likskap med laks, blir det òg fiska sjøaure både i sjø og vassdrag. Hovuddelen av fisket i sjø skjer truleg med stang og handsnøre av sportsfiskarar. Sportsfisket etter sjøaure i sjøen utgjer truleg ein stor del av det samla fisket på sjøaurebestandane, men desse fangstane blir ikkje rapporterte systematisk, og omfanget er derfor langt på veg ukjent.
Rapporterte fangstar av sjøaure har endra seg lite på Aust- og Sørlandet i perioden 1993 – 2016, falle sterkt på Vestlandet og i Trøndelag og auka i Nord-Noreg i perioden 1993 – 2016 sett under eitt. Hovuddelen av dei rapporterte fangstane blir tekne på sportsfiskereiskap i vassdraga. I 2016 vart det rapportert fangst av 1760 sjøaure som bifangst i sjølaksefisket med fastståande reiskap, mens det vart rapportert fanga og avliva 42 048 sjøaure i elvefisket.
Sjørøye
Dei norske sjørøyebestandane blir fiska ved sportsfiske med stang og handsnøre i sjø og vassdrag. I likskap med for sjøaure, blir ein del fanga i sportsfisket i sjøen, men dette blir ikkje rapportert. Sjørøyefangstane i norske vassdrag fall betydeleg i perioden 2005 – 2009, men har hatt ei positiv utvikling dei seinare åra.
1.2.4 Påverknadsfaktorar
Vekting av påverknadsfaktorar
Sjølv om naturlege svingingar i vassdraga og havet har hatt stor betydning for bestandane av laks, sjøaure og sjørøye til alle tider, skuldast nedgangen i bestandane i nyare tid òg menneskeskapte påverknader.
Påverknader på laks
Vitskapleg råd for lakseforvaltning gjennomfører kvart år ein analyse der alle påverknader på laks blir vurderte. Trusselbildet er samansett, og det er ei rekkje faktorar som påverkar villaksen. Det er store skilnader i kor sterkt dei enkelte faktorane påverkar og kor mange bestandar som blir rammet. Det er òg skilnader i om påverknadsfaktorane er stabiliserte eller om det er fare for ytterlegare forverring. Hovudfunna i rapporten til Vitskapleg råd for lakseforvaltning for 2016 er som følgjer: «Rømt oppdrettslaks framstår generelt som den største trusselen mot norske laksebestander, ved at den utgjør den største påvirkningen og den største risikoen for ytterligere reduksjon og tap av bestander. Lakselus framstår også som en ikke-stabilisert bestandstrussel. Vannkraftreguleringer, sur nedbør, fysiske inngrep og den innførte parasitten Gyrodactylus salaris framstår som stabiliserte trusler, med lavere risiko for ytterlige tap.» (Figur 1.4).

Figur 1.4 Dei viktigaste trusselfaktorane for dei norske laksebestandane, plassert i eit påverknads- og risikodiagram. Bakgrunnsfargen illustrerer alvorsgrad (mørk farge mest alvorleg). Fargane på punkta symboliserer god kunnskap og lite uvisse om utvikling (grøn), moderat kunnskap og moderat uvisse om utvikling (gul) og dårleg kunnskap og stor uvisse om utvikling (raud)
Kjelde: Vitskapleg råd for lakseforvaltning (2016)
VRL skriv i sin årsrapport vidare: «Nye undersøkelser har vist at mange villaksbestander allerede er genetisk påvirket av oppdrettslaks. Samtidig vedvarer tilførsel av rømt oppdrettslaks til gytebestandene. Også i 2015 var nivået av rømt oppdrettslaks for høyt i mange elver (middels eller høyt innslag i 22 % av undersøkte bestander). I tillegg til at villaksen endres genetisk på grunn av innkrysning av oppdrettslaks, viser mange undersøkelser at produksjon og overlevelse av villaks vil reduseres på grunn av slik innkrysning.»
For dei 104 laksebestandane som VRL vurderte etter Kvalitetsnorma for villaks og rapporterte i 2016, var konklusjonen: «Rømt oppdrettslaks og lakselus, og deretter kraftregulering, var påvirkningsfaktorene med størst negativ effekt på bestandene. Rømt oppdrettslaks hadde moderat og stor effekt på 59 % av bestandene, lakselus på 56 % av bestandene og vannkraftregulering på 29 % av bestandene. Overbeskatning hadde moderat eller stor effekt på nesten 15 % av bestandene.»
Påverknader på sjøaure
Menneskeskapte påverknader, som forureining, forsuring, kraftregulering og anna forringing av habitat, har medverka til å redusere sjøaurebestandane i mange vassdrag. Fordi menneskeskapte påverknadsfaktorar i ferskvatn anten har vore stabile eller hatt redusert påverknad dei seinare åra, konkluderte Bror Jonsson i NINA mfl. i ei utgreiing i 2009 om sjøaurebestandane si utvikling med at nedgangen i store delar av landet dei seinare åra er knytt til lakselus og kanskje andre påverknadsfaktorar i sjøen som klimaendring, næringstilgang og fiskesjukdommar. Lokale forhold både i ferskvatn og sjøen vil likevel medføre at det er vassdragsvise og lokale skilnader i bestandsutviklinga av sjøaure.
Dei vanlegaste påverknadene som er rekna å ha avgjerande betydning for bestandstilstanden for sjøaure, er lakselus, fysiske inngrep i elvene, vassdragsreguleringar og jordbrukstilsig.
Påverknader på sjørøye
Den vanlegaste påverknaden som er rekna å ha avgjerande betydning for bestandstilstanden for sjørøye, er lakselus.
Forsuring
Forsuringa starta i siste halvdel av 1800-tallet og førte etter kvart til stor reduksjon av biologisk mangfald i vassdrag i Sør-Noreg. Laksen er veldig følsam for forsuring og er derfor særleg utsett. Laksestammene på Sørlandet og Sør-Vestlandet vart hardt rammet, og mange elver miste laksestammene rundt 1970. Minst 25 laksebestandar døydde ut på grunn av sur nedbør, og minst 20 andre bestandar vart negativt påverka. Også sjøauren vart ramma, men i noko mindre grad enn laksen, då den toler forsuring betre. Sjørøya lever nord for det verste forsuringsområdet og er truleg ikkje blitt påverka.
Dei siste tiåra har forsuringssituasjonen blitt vesentleg betre. Frå 1980 til 2013 er konsentrasjonen av svovel (sulfat) og nitrogen (nitrat) i nedbør på norske målestasjoner redusert med høvesvis 76 – 94 pst. og 26 – 51 pst. Denne positive utviklinga skuldast i stor grad internasjonale avtaler om utsleppsreduksjonar. Dei avtalte utsleppsreduksjonane er likevel ikkje nok til å hindre forsuringsskadar på fisk og anna biologisk mangfald i Sør-Noreg. I dag trur ein at i underkant av 8 pst. av arealet i Noreg har ein avsetnad av svovel og nitrogen som overstig tolegrensa for forsuring av overflatevatn. Tunt jordsmon og kalkfattig berggrunn gjer at delar av Sør-Noreg har låg tolegrense for forsuring, og det tek tid å byggje opp igjen bufferkapasiteten i jorda etter mange års utarming. Forsuring er framleis eit stort miljøproblem, og det er venta at vidare betringar i forsuringssituasjonen vil gå sakte.
Inngrep i vassdrag
Vasskraft er den faktoren som har dei fleste store, fysiske påverknadene på vassdrag i Noreg. Dette har ført til at mange bestandar av laks, sjøaure og sjørøye har fått redusert produksjon. Verknader av vassdragsreguleringar på anadrome bestandar varierer og er blant anna avhengig av vassdraget sin karakter, type regulering, restvassføring og gjennomførte habitattiltak for å redusere negative effektar. Dei vanlegaste effektane av reguleringar er redusert vassføring, redusert vassdekt areal, raske vassføringsendringar, vandringshinder for fisk, reduserte flaumar, redusert vintervassføring, auka sedimentering, gassovermetning, høgare vintertemperatur og lågare sommartemperatur. Vasskraft framstår, ifølgje Vitskapleg råd for lakseforvaltning, likevel som ein stabilisert trussel, med lågare risiko for ytterlegare tap.
Av 465 vassdrag med sjølvreproduserande laksebestand som er registrerte i Miljødirektoratets lakseregister, er vasskraftutbygging oppført som ein påverknadsfaktor i 149. I 104 av desse er reguleringsinngrepa vurderte å vere avgjerande for tilstanden til laksebestandane. Når det gjeld dei 52 nasjonale laksevassdraga, er vasskraft påverknadsfaktor i 28, og for 15 bestandar er reguleringsinngrepa avgjerande for tilstanden. Det er tidlegare vurdert etter skjøn at det samla produksjonstapet er i storleiksorden 10 til 20 pst. av den totale smoltproduksjonen i norske vassdrag. Generelt er kunnskap om påverknad på bestandane av sjøaure og sjørøye ikkje på same nivå som for laksebestandane. I regulerte vassdrag med store sjøaurebestandar og der sportsfisket etter sjøaure er betydeleg, er det likevel god kunnskap.
Det er ikkje berre større vassdragsreguleringar som har redusert levevilkåra for fisk i vassdrag. Vassuttak til andre formål, til vassforsyning, industri og fiskeoppdrett, kanalisering, forbygging, tilslamming, fjerning av kantvegetasjon, vegkryssingar, småkraftverk, med meir har alle vore årsaker til at produksjonen av anadrom fisk har blitt redusert. Verknadene av desse inngrepa er oftast vandringshinder, tørrlegging eller redusert kvalitet på gyte- og oppvekstområde. Desse inngrepa har oftast størst negativ verknad i mindre vassdrag. Av den grunnen er fleire sjøaurebestandar enn laksebestandar påverka av dette.
Påverknad frå fiskeoppdrett
Genetiske og økologiske effektar av rømt oppdrettsfisk
Ifølgje Vitskapleg råd for lakseforvaltning er rømt oppdrettslaks den klart største trusselen for ville bestandar av laks, både ved at den utgjer den største påverknaden og den største risikoen for ytterlegare framtidig reduksjon og tap av bestandar. Dei offisielle innrapporterte rømmingstala for laks viser, ifølgje Fiskeridirektoratet sine heimesider, at det sidan 2001 (bortsett frå 2012) årleg har rømt fleire hundre tusen oppdrettslaks. Det høgaste rapporterte talet var i 2006 då 921 000 fisk rømde. I perioden 2012 – 2016 vart det rapportert høvesvis 38 000, 198 000, 287 000, 170 000 og 126 000 rømt oppdrettslaks. Desse tala er minimumsestimat, og dei faktiske rømmingstala er truleg betydeleg høgare enn det som er rapportert. Ifølgje Havforskingsinstituttets utrekningar (Risikorapport om norsk fiskeoppdrett 2017), er talet oppdrettslaks som faktisk hadde rømt truleg to til fire gonger høgare enn dei rapporterte tala. Til samanlikning vart det totale innsiget av villaks til norskekysten i perioden 2004 – 2012 utrekna til i gjennomsnitt 478 000 individ årleg. Både førekomst av rømt oppdrettslaks i vassdrag og førekomst av avkom frå rømt oppdrettslaks, eller avkom frå kryssingar mellom rømt oppdrettslaks og villaks, er størst i område med omfattande oppdrettsverksemd.
Oppdrettslaksen si overleving og vandringsmønster i naturen er i høg grad avhengig av tidspunktet på året og i kva livsstadium laksen er i når den rømmer. Effekten på villaksen er størst når oppdrettslaksen går opp i elvene og deltek i gytinga, og sjansen for at dette skjer er størst når oppdrettslaks rømmer på smoltstadiet om våren og når vaksen laks rømmer om våren og sommaren før den blir kjønnsmoden.
Delen rømt oppdrettslaks i vassdrag vil variere med talet på oppdrettslaks som har rømt og størrelsen på innsiget av villaks til vassdraga. Frå 2006 har det vore ein svak nedgang i delen rømt oppdrettslaks under overvakinga om hausten. Delen rømt laks i prøvane var på same nivå i 2016 som i 2015. Innslaget av rømt oppdrettslaks varierer betydeleg mellom vassdrag.
Nye genetiske undersøkingar har dokumentert at det har skjedd ei innblanding av rømt oppdrettslaks i ein stor del norske villaksbestandar. NINA rapport 1337 (2017) klassifiserer 175 villaksbestandar slik: inga genetisk endring er påvist i 60 av bestandane, svake genetiske endringar er indikert i 54 bestandar, moderate genetiske endringar er vist i 11 bestandar og store genetiske endringer er påvist i 50 bestandar. Desse resultata er brukt av Vitskapleg råd for lakseforvaltning i klassifisering av laksebestandar etter kvalitetsnorma for vill laks. Moderat genetisk endring er definert til at 4 – 10 pst. av arvematerialet i bestanden har oppdrettsopphav, og store genetiske endringar er definert til at meir enn 10 pst. kjem frå oppdrett. Ekstremverdiane er alle frå Hordaland der 50 pst. av arvematerialet til bestanden i Ekso har oppdrettsopphav. I Daleelva i Vaksdal og i Opo har begge bestandane mellom 40 – 50 pst. oppdrettsopphav.
Eit aukande tal undersøkingar viser at produksjon og overleving av villaks vil bli redusert på grunn av innkryssing av rømt oppdrettslaks.
Lakselus
Lakselus et på fiskehuda, og dette kan gi fisken problem med saltbalansen, nedsett immunforsvar og føre til redusert vekst eller død, eksponering for auka predasjon og endring av fisken si opphaldstid i sjøen. Veksten i oppdrettsnæringa har ført til at lakselus no har eit svært høgt tal potensielle vertar i kystfarvatna gjennom heile året. Dette har resultert i at denne i utgangspunktet naturlege parasitten har blitt mykje meir talrik, og blitt til ein alvorleg påverknad på dei ville, anadrome laksefiskane. Lakselus er ein rein marin art og overlever dårleg i fjordsystem med mykje brakkvatn.
Ei rekkje undersøkingar har vist at problemet med lakselus er størst i område med omfattande oppdrettsverksemd. Blant anna viser den årlege, nasjonale lakselusovervakinga på villfisk at det utanfor oppdrettsområda er lite lakselus på sjøaure.
Forsøk har vist at denne parasitten i enkelte område og til enkelte tider kan redusere overlevinga til laksesmolt betydeleg. Smittepresset frå lakselus på utvandrande laksesmolt er avhengig av produksjonen av lakseluslarver på oppdrettslaksen rett før smoltutvandring. Vitskapleg råd for lakseforvaltning har i 2017 for første gongen i ein nasjonal analyse vist i kor stor grad lakselus truleg reduserer villaksbestandane. Utrekna årleg tap av villaks på grunn av lakselus var om lag femti tusen laks per år for åra 2010 – 2014, det vil seie eit tap på 10 pst. av villaksen grunna lakselus.
Sjøauren er meir utsett for lakselus enn laks, fordi den stort sett ikkje vandrar til havs, men held seg i fjordane og dei nære kyststroka der fiskeoppdrettsnæringa er, under heile sjøopphaldet. Dei aukande mengdene lakselus utover sommaren rammar sjøauren hardt mange stader. Den nasjonale lakselusovervakinga på villfisk viser spesielt stor risiko for skadar på sjøaure, og dette er meir årvisst enn for laks. Dette er mest sannsynleg ein betydeleg påverknad på bestandane. Sjøaurebestandane har generelt gått sterkt tilbake i dei fleste regionane med intensiv fiskeoppdrettsverksemd. Overvakinga viser òg at talet på område der lakselus blir registrert å vere eit stort problem for sjøaure, har auka dei seinare åra.
Også sjørøye er utsett for lakselusangrep, men denne arta har som regel eit kortare opphald i sjøen enn sjøauren. Mange av sjørøyebestandane er dessutan langt nord, der lakselus førebels ikkje har blitt eit like stort problem alle stader. Lakselus er likevel rekna som ein betydeleg negativ faktor for ein stor del av sjørøyebestandane, og potensialet for forverring er stort blant annet på grunn av aukande sjøtemperaturar i nord.
Fiskesjukdommar
Fiskesjukdommar førekjem i naturen, og naturlege sjukdomsutbrot i ville laksebestandar har vore årsak til høg dødelegheit i kortare periodar.
Sjukdommar på dei ville laksefiskane, og spesielt smittefare frå fiskeoppdrett til villfisk er eit felt som har vore relativt lite undersøkt. Nyare forsking frå Veterinærinstituttet konkluderer med at oppdrettsnæringa kan overføre smitte til villaks. På bakgrunn av generell kunnskap om førekomst, spreiingsfare og effektar av infeksjonssjukdommar i oppdrettsnæringa er det all grunn til å tru at dette allereie er ein alvorleg påverknad for vill anadrom fisk.
Forureining
Under den industrielle utviklinga vart mange vassdrag forureina, slik at dei anadrome fiskebestandane ikkje lenger kunne leve der. Celluloseindustrien og gruvedrift var døme på verksemder som medverka til utslepp som skada villfisken i elvene. Utslepp frå jordbruk har òg hatt stor negativ betydning, spesielt for sjøaure i dei mindre og meir sårbare vassdraga. Etter ei omfattande opprydding frå desse kjeldene, spesielt utover i 1970- og 1980-åra, har desse påverknadene blitt reduserte. Særleg i laksevassdrag har tilhøva blitt mykje betre, slik at det no er relativt få vassdrag igjen der dette er rekna som eit vesentleg problem (jf. figur 1.4). Slike problem er no mest utbreidd i små vassdrag i Sør- og Midt-Noreg, og det er derfor spesielt sjøaure dette går ut over. Av alle sjøaurebestandane i Miljødirektoratets lakseregister, er 12 pst. rekna å vere vesentleg påverka av jordbrukstilsig, og 6 pst. av anna forureining.
Forureining i form av luftovermetting i driftsvatnet og temperaturendringar i vassdraget nedstraums utløpet frå vasskraftverk har vore og er ein negativ påverknad på anadrom fisk i ein del vassdrag. Styresmaktene kjenner i dag i lita grad til kor stor denne påverknaden har vore og er i dag.
Innføring og spreiing av framande organismar
Introduksjon og spreiing av framande organismar er ein av dei største truslane mot naturleg mangfald i ferskvassøkosystem. Menneske har i løpet av dei siste 100 – 150 åra vore årsak til omfattande spreiing av ferskvassfisk her i landet. I dei siste tiåra har spreiinga av ørekyt og gjedde vore spesielt merkbar, og for gjedde kan det skje auka spreiing i fleire vassdrag, med alvorlege følgjer for dei naturlege fiskebestandane. Begge desse artene har ei naturleg innvandring til landet, men blir no spreidde til stadig nye vassdrag. Til trass for at både flytting av fisk og bruk av levande fisk som agn er forbode, skjer slik spreiing i dag hovudsakleg fordi folk brukar småfisk som levande agn, eller fordi ein trur at utsetjing av nye arter skal føre til eit betre fiske. Ein trur at ei rekkje fiskearter vil kunne få negativ effekt også på lakse-, sjøaure- og sjørøyebestandar som følgje av predasjon eller næringskonkurranse.
I dag reproduserer 11 framande fiskearter i norske vassdrag, samanlikna med 32 fiskearter med naturleg innvandring. Spreiinga av artene i den siste kategorien er i dag sett på som den største trusselen, dette gjeld i første rekkje ørekyt og gjedde. Stadeigne arter spreidd internt i Noreg er omtala som regionalt framande arter. Det kan òg bli innført fleire framande arter hit til landet, spesielt såkalla dørstokkarter, men om desse har negativ effekt for laksefisk er førebels ikkje vurdert av Artsdatabanken.
Introduksjon av regnbogeaure er gitt særskilt omtale nedanfor. Dei seinare åra har det vore spreiing av ørekyte i Namsen og pukkellaks i Finnmark. Ørekyte vart påvist øvst i Namsen i 2005 og er no i spreiing nedover i vassdraget der den i første rekkje vil truge Namsblanken. Den vil òg etter kvart spreie seg til den anadrome strekninga med ukjente konsekvensar for laks og sjøaure.
Pukkellaks er ein stillehavslaks som er innført på Kolahalvøya. Frå 1960-talet og fram til årtusenskiftet vart det sett ut store mengder pukkellaks med tanke på etablering av kulturbetinga fiske på Kolahalvøya. Dei siste åra er det observert stadig meir pukkellaks i Finnmark. Spesielt gjeld dette for elvene på sørsida av Varangerfjorden og i Vestre Jakobselv. Det er òg rapportert om fangst av pukkellaks i Troms og enkeltindivid sørover langs kysten. Ettersom det finst sjølvreproduserande bestandar på Kolahalvøya, er det grunn til å frykte at det same vil skje i norske vassdrag med dei konsekvensane dette vil ha for produksjon av laks, sjøaure og sjørøye. For å redusere pukkellaksen sin påverknad er det gjennomført utfiskingstiltak.
Av andre arter som er blitt spreidde til vassdrag med anadrom laksefisk kan nemnast steinsmett, kvitfinna steinulke, sandkrypar og gjedde. Førekomst av steinsmett kan vere ei av årsakene til den relativt låge produksjonen av laks i nokre nordnorske vassdrag.
Lakseparasitten Gyrodactylus salaris
G. salaris er ikke naturleg utbreidd i Noreg. Den viktigaste faktoren for spreiing av G. salaris til nye område har vore utsetjing av fisk frå infiserte setjefiskanlegg. Spreiing av parasitten mellom nærliggjande vassdrag i same fjordsystem skjer normalt ved at infisert fisk vandrar i brakkvasslaget. Vassdrag med infeksjon, ulovleg flytting av fisk, og innførsel av fisk frå nabolanda våre er i dag vurdert som dei største risikoane for smittespreiing.
Lakseparasitten G. salaris er ein av dei alvorlegaste truslane mot villaksen i Noreg. I infiserte vassdrag blir laksen utrydda i løpet av få år (4 – 6 år) dersom mottiltak ikkje blir sette i verk. Ifølgje VRLs trusselvurdering framstår lakseparasitten G. salaris, blant anna etter fleire vellykka nedkjempingstiltak, no som ein stabilisert bestandstrussel med lågare risiko for ytterlegare framtidig redusert produksjon og tap av bestandaer.
G. salaris er ein lakseparasitt som i hovudsak rammar laksebestandar. For sjøaure er parasitten ufarleg. Den kan ikkje ernære seg eller reprodusere på denne arta. Sjørøye har derimot vist seg å vere ein vert for parasitten. Sjørøye blir ikkje infisert på same måten av parasitten som laks. Det er færre parasittar på fisken, og sjølv om infeksjonen truleg kan vere dødeleg, påverkar truleg ikkje parasittangrepet bestanden i vesentleg grad. I infiserte vassdrag medverkar sjørøya likevel til å halde ved lag og spreie infeksjonen.
Parasitten har vore påvist i 50 vassdrag og 39 fiskeanlegg i ferskvatn, der 13 anlegg har produsert setjefisk av laks og 26 anlegg har produsert regnbogeaure. Omfattande nedkjempingsarbeid har ført til at 22 av dei smitta vassdraga no er friskmelde etter vellykka behandling, 21 vassdrag er ferdig behandla, men framleis ikkje friskmelde (5 år med overvaking før friskmelding), mens 7 vassdrag framleis ikkje er behandla. Parasitten er utrydda frå alle infiserte fiskeanlegg.
Dei samfunnsmessige kostnadene av G. salaris er omfattande. I infiserte vassdrag blir dei ville laksestammene raskt utrydda, og dette fører til bortfall av viktige rekreasjons-, frilufts- og næringsaktivitetar blant anna i form av redusert fisketurisme og anna næringsutvikling i både vassdrag og sjø.
Regnbogeaure
Regnbogeaure (Oncorhynchus mykiss) førekjem naturleg på vestkysten av Nord-Amerika og vart innført til Noreg i starten av av 1900-talet. Regnbogeaure vart tidlegare sett ut i ei rekkje innsjøar, men førekomst i norsk natur skuldast no i det alt vesentlege rømming frå oppdrettsanlegg. Regnbogeaure som risikofaktor for stadeigne fiskearter er i første rekkje knytt til konkurranse og sjukdomsspreiing. Vitskapleg råd for lakseforvaltning skreiv i sin rapport frå 2011: «Det ligger en betydelig fare i at regnbueørret kan bli en konkurrent til stedegne arter dersom den først klarer å etablere selvreproduserende bestander og tilpasser seg de naturlige forholdene i norske elver. Så langt har dette ikke skjedd, men en rekke studier av andre arter har vist at det kan være et tidsspørsmål før innførte arter etablerer seg. Den globale spredningen av regnbueørret har ført den inn på lista over de 100 verste invaderende arter i verden, utarbeidd av den internasjonale naturvernorganisasjonen IUCN».
Regnbogeaure er òg oppført på norsk svarteliste for innførte arter, der den er kategorisert som med svært høg risiko. Artsdatabanken viser til at sjansen for etablering stadig er til stades på grunn av eit høgt introduksjonstrykk ved at det er eit stort tal fisk som har rømt frå oppdrett i mange vassdrag langs kysten, men viser samtidig til at arten har problem med å klare seg i norsk natur, ved at den er døydd ut i vassdrag der den har vore tidlegare. Det er vist at regnbogeaure har gjennomført vellykka gyting ei rekkje stader i Noreg, og at den er i stand til å øydeleggje dei naturlege fiskebestandane sine gytegroper, og dermed vil ha ein direkte påverknad på gytesuksess hos laksefisk. Omfanget av dette er likevel ikkje kjent.
Rømt fisk er ei kjelde til overføring av sjukdommar og parasittar som inneber risiko for negativ påverknad på dei naturlege fiskebestandane. Regnbogeaure er ein svært eigna vert for lakseparasitten Gyrodactylus salaris, og infisert fisk har, i motsetning til laksen i Noreg, god overleving. Oppdrett av regnbogeaure aukar dermed faren for spreiing av G. salaris. Risikoen for spreiing av G. salaris aukar òg ved at rømt regnbogeaure vandrar i brakkvasslag mellom vassdrag i infiserte regionar.
1.2.5 Mål og rammer for forvaltninga
Målsetjingar
Formålet med naturmangfaldlova er at naturen med sitt biologiske, landskapsvise og geologiske mangfald og økologiske prosessar blir teken vare på ved berekraftig bruk og vern, også slik at den gir grunnlag for menneskeleg verksemd, kultur og trivsel, no og i framtida, også som grunnlag for samisk kultur.
Formålet med lakse- og innlandsfiskelova er å sikre at naturlege bestandar av anadrom laksefisk og deira leveområde blir forvalta slik at naturen blir teken vare på med sitt mangfald og sin produktivitet. Innanfor desse rammene skal lova gi grunnlag for utvikling av bestandane med sikte på auka avkastning til beste for rettshavarar og fritidsfiskarar.
I Meld. St. 14 (2015 – 2016) Natur for livet tek ein opp att målet frå St.prp. nr. 32 (2006 – 2007) Om vern av villaksen og ferdigstilling av nasjonale laksevassdrag og laksefjorder om å bevare og gjenoppbygge laksebestander av ein storleik og ei samansetjing som sikrar mangfald innan arta og utnyttar dei høva til produksjon som den har. I St.prp. nr. 32 (2006 – 2007) heiter det vidare at:
Laksens leveområder skal forvaltes slik at naturens mangfold og produktivitet bevares, og trusselfaktorer skal identifiseres og fjernes. Der dette ikke er mulig, skal trusselfaktorenes virkning på laksebestandenes produksjon, størrelse og sammensetning motvirkes eller oppheves gjennom tiltak. Påvirkninger som truer laksens genetiske mangfold skal reduseres til ikke-skadelig nivå innen 2010. Den internasjonalt anerkjente føre-var-tilnærmingen i lakseforvaltningen skal legges til grunn av alle involverte sektorer. Ved inngrep og andre påvirkninger er utgangspunktet at den som forvolder skade på ressursen skal gjenopprette eller kompensere for skaden. Innenfor disse rammene skal lakseressursene forvaltes til størst mulig nytte for samfunnet, rettighetshavere og fritidsfiskere.
Vassforskrifta og EUs vassdirektiv
Vassforskrifta vart vedteken i 2006 og er ei gjennomføring av EUs rammedirektiv for vatn i norsk rett. Vassforskrifta sitt formål er å beskytte, og om naudsynt betre, tilstanden i ferskvatn, grunnvatn og kystnære område og sikre ei mest mogleg heilskapleg forvaltning av vassførekomstane.
Det generelle målet i vassforskrifta er at alle vassførekomstane skal ha minst god økologisk og god kjemisk tilstand, og miljømåla skal i utgangspunktet nåast innan 2021. Økologisk tilstand blir fastsett ved hjelp av såkalla økologiske kvalitetselement. Fisk, inkludert anadrom fisk, er eitt av kvalitetselementa i elver og innsjøar. For å oppfylle miljømåla, skal det utarbeidast tverrsektorielle forvaltningsplanar og tiltaksprogram. Forskrifta har òg føresegner om unntak frå miljømåla. På bestemte vilkår kan det givast fristutsetjing, mindre strenge miljømål og høve til å tillate ny verksemd sjølv om dette medfører at miljømåla ikkje blir nådde eller at tilstanden blir ringare. Dei første vassforvaltningsplanane som Noreg er forplikta til å utarbeide vart vedtekne i fylkestinga i 2015 og godkjente av Klima- og miljødepartementet i 2016.
Kvalitetsnorm for villaks
Kvalitetsnorm for ville bestandar av atlantisk laks vart fastsett ved kongeleg resolusjon 20. september 2013. Formålet med norma er å medverke til at ville bestandar blir tekne vare på og bygde opp att til ein storleik og ei samansetjing som sikrar mangfald innanfor arta og utnyttar laksen sine høve til produksjon og hausting. Norma er retningsgivande for styresmaktene si forvaltning. For at ein laksebestand skal nå målet om tilstrekkeleg god kvalitet i medhald til norma, skal det ikkje vere observert genetiske endringar som skuldast rømt oppdrettslaks, bestanden må ha nok gytefisk, og den må ha eit normalt haustbart overskot. Når god kvalitet ikkje er oppnådd for ein bestand, bør det i medhald av naturmangfaldlova lagast ein plan der årsakene blir kartlagde og tiltak vurderte.
I Meld. St. 14 (2015 – 2016) Natur for livet framgår det at arbeidet med å klassifisere dei viktigaste laksebestandane etter kvalitetsnorma vil bli ført vidare. Vidare heiter det i meldinga at dersom målet om god tilstand ikkje blir nådd etter norma, vil departementet i samråd med aktuelle styresmakter klargjere kvifor målet ikkje er nådd og utarbeide ein plan for korleis kvalitetsnorman likevel kan bli nådd.
Internasjonale avtaler
Konvensjonen om bevaring av laks i det nordlege Atlanterhavet er den internasjonale avtala som har størst relevans for dagens lakseforvaltning. Konvensjonen er forvalta av Den nord-atlantiske laksevernorganisasjonen, NASCO, som har følgjande medlemmer: EU, Russland, Norge, Canada, USA og Danmark (på vegner av Færøyane og Grønland).
NASCO er ein fiskeriorganisasjon med formål å samrå og samarbeide om vern, gjenoppbygging, utvikling og rasjonell forvaltning av laksebestandane som konvensjonen gjeld for. Dette skal vere basert på det best tilgjengelege vitskaplege kunnskapsgrunnlaget. Sidan opprettinga i 1983 har organisasjonen utvikla seg frå å konsentrere verksemda si rundt regulering av fiske i internasjonale farvatn og i områda rundt Grønland og Færøyane, til å behandle eit langt større spekter av internasjonalt relevante spørsmål i lakseforvaltninga.
NASCOs medlemsland har blitt samde om ei rekkje retningslinjer, blant anna om føre var-tilnærming i lakseforvaltninga. Denne tilnærminga omfattar separate retningslinjer for blant anna reguleringar i fisket, forvaltning av leveområde, akvakultur, introduksjonar, spreiing av arter og genmodifisert laks.
Organisasjonen har innført eit system med implementeringsplanar, som inneber at medlemslanda skal utarbeide nasjonale planar for å følgje opp vedtekne overeinskomstar og retningslinjer. Samfunnsvise omsyn og vurderingar inngår i planane. Medlemmene rapporterer årleg i medhald av rapporteringskrav i konvensjonen, og om kor langt dei er komne med dei nasjonale implementeringsplanane.
NASCO har etablert International Atlantic Salmon Research Board (IASRB) for å fremje samarbeid om forsking vedrørande laks i havet. Forskinga skal fokusere spesielt på å forstå årsakene til auka dødelegheit på laks i havet og moglegheitene for å motverke denne dødelegheita.
Det internasjonale rådet for havforsking, ICES, planlegg og koordinerer havforsking gjennom eit nettverk av komitear og er hovudleverandør av rådgiving på det marine området til regjeringar og internasjonale styresmakter. ICES gir råd til NASCO og NASCOs medlemsland om forvaltning av laks.
Om lag ein tredel av all atlantisk laks i verda gyter i Noreg. Vi har derfor eit betydeleg ansvar for å ta vare på villaksen.
Noreg har spesielle forpliktingar for forvaltninga av laksen i grenseelvene Tana, Neiden og Enningdalselva. I desse vassdraga er laksefisket og delar av forvaltinga elles basert på bilaterale avtaler.
På bakgrunn av oppmodingar frå Russland om å redusere fiske på laks med opphav i russiske elver, havretten og relevante føresegner i NASCO-konvensjonen, vart det i 2009 etablert omforeinte rutinar for kontakt og konsultasjonar med Russland i samband med regulering av fiske. I september 2015 vart det underteikna ei intensjonsavtale (MoU; Memorandum of Understanding) mellom Klima- og miljødepartementet og Det russiske føderale fiskeribyrået om forvaltning, overvaking og forsking knytt til vill atlantisk laks i Finnmark fylke og Murmansk-regionen. Samarbeidet blir følgt opp i ei arbeidsgruppe som er nedsett i tråd med avtala. Arbeidsgruppa møtest kvart år for å drøfte saker som har betydning for partane. Arbeidsgruppa skal levere årlege rapportar om blant anna status for relevante laksebestandar, utvikling i fiskeria og vitskapeleg rådgiving etter nærare førespurnad frå partane sjølve.
Ei ny avtale mellom Noreg og Finland om fisket i Tanavassdraget vart inngått 30. mars 2017. Hovudformålet med avtala er å forvalte fiskebestandane på ein økologisk, økonomisk og sosialt berekraftig måte og slik at laksevassdraga sin kapasitet for lakseproduksjon kan utnyttast berekraftig og fullt ut. Den nye avtala reduserer fiskepresset med om lag 30 pst. og legg grunnlaget for å byggje opp att dei svake laksebestandane i vassdraget i løpet av ca. 15 år. Avtala avgrensar også turistfisket i vassdraget til fordel for lokalbefolkninga sitt fiske og rettar opp fordelinga av lakseressursen mellom Noreg og Finland i norsk favør. Tanavassdragets fiskeforvaltning vil ha ei sentral rolle i samarbeidet med Finland om gjennomføring av avtala.
1.2.6 Organisering av forvaltninga
Statleg forvaltning
Dei viktigaste verkemidla for vern og utvikling og verkemidla mot dei mest sentrale påverknadene av bestandane av vill anadrom fisk er tillagt tre departement: Klima- og miljødepartementet, Nærings- og fiskeridepartementet og Olje- og energidepartementet. Fordelinga av ansvar mellom fleire statlege aktørar stiller krav til samhandling.
Miljøforvaltninga
Klima- og miljødepartementet har det overordna ansvaret for vill anadrom laksefisk, og dei langt fleste bevaringstiltaka er finansierte over Klima- og miljødepartementets budsjett. Klima- og miljødepartementet har likevel ikkje verkemiddel til å handtere alle dei viktigaste påverknadene.
Lov om laksefisk og innlandsfisk m.v. er i stor grad ei fullmaktslov og har blant anna føresegner om kommunal planlegging, nasjonale laksevassdrag og laksefjordar, regulering av fisket, etablering av fredingssoner, fiskeutsetjingar, organisering av rettshavarar, fiskaravgift, fangstrapportering og oppsyn. Det er fastsett ei rekkje forskrifter i medhald av lova.
Miljøstyresmaktene har ansvar for samordning av tiltak. Dette inkluderer ansvar for kunnskapsoppbygging om tilstanden til bestandane, under dette å vurdere påverknadene, påverknadsgrad og å vurdere samla belastning. Miljøstyresmaktene byggjer desse vurderingane på eiga initiert overvaking av bestandane og på overvaking og forsking som blir utført i regi av sektorstyresmaktene.
Statens naturoppsyn har det sentrale ansvaret for oppsynet med fiske etter anadrom laksefisk. Innsatsen i regi av styresmaktene er i hovudsak retta mot fisket i sjøen, mens oppsynet i elvene i hovudsak blir teke vare på av rettshavarane og lokale jeger- og fiskeforeiningar.
Vassdragsforvaltninga
Olje- og energidepartementet (OED) har hovudansvaret for vassdragsforvaltninga. Dette inneber at OED har ansvaret for å innarbeide omsynet til laksens leveområde i vassdraga i saker som medfører fysiske inngrep eller vassføringsendringar og ved revisjon og omgjering av tidlegare gitte konsesjonar og fornyingar av vassdragskonsesjonar.
Dei sentrale lovene innan vassdragsforvaltninga er vassressurslova og vassdragsreguleringslova. Lovene er forvalta av Olje- og energidepartementet med Noregs vassdrags- og energidirektorat som viktigaste utøvande myndigheit.
Miljøforvaltninga er høyringspart i nye konsesjonssøknader og i revisjonssaker, og vil syte for å spele inn omsynet til blant anna villaks, eventuelt fremje motseiing. Miljøforvaltninga er sektormyndigheit for å foreslå og følgje opp naturforvaltningsvilkår i vassdragsreguleringskonsesjonar. Miljødirektoratet har ansvar for oppfølginga av vassdrag som fører anadrom fisk, mens ansvaret for å følgje opp vassdrag med berre innlandsfisk er delegert til fylkesmannen.
Som hovudregel er det krav om løyve etter vassressurslova for alle typar inngrep og verksemd i vassdrag som kan vere til nemneverdig skade eller ulempe for allmenne interesser, inklusive utbygging av små-, mini- og mikrokraftverk. Løyve til større vasskraftutbyggingar med reguleringar eller overføringar blir gitt etter vassdragsreguleringslova. Vassressurslova gir elles høve til å regulere andre typar inngrep enn kraftutbygging.
Ei rekkje andre sektorlover kan òg komme til bruk ved behandlinga av vassdragssaker, i første rekkje lakse- og innlandsfisklova, forureiningslova, plan- og bygningslova, kulturminnelova, vassdragsreguleringslova og industrikonsesjonslova. Av sektorovergripande lovverk er naturmangfaldlova, plan- og bygningslova og vassforskrifta dei viktigaste.
Verneplan for vassdrag er, ved sida av konsesjonsbehandlinga, det viktigaste verktøyet for ei samla nasjonal forvaltning av vasskraftressursane. Det er anslått at om lag 45 – 50 TWh av Noregs samla vasskraftpotensial er varig verna mot kraftutbygging gjennom Verneplan for vassdrag. Andre fysiske inngrep, som blant anna grusgraving, kanalisering, forbygning, utfylling, drenering og fjerning av kantvegetasjon skal heller ikkje tillatast dersom dei er til nemneverdig skade for verneverdiane. Vasskraftinteressene i dei nasjonale laksevassdraga er i stor grad avklart gjennom verneplanen.
Samla plan som forvaltningsverktøy vart avvikla i samband med Meld. St. 25 (2015 – 2016) (energimeldinga). Ei avvikling av Samla plan inneber at alle større vasskraftprosjekt, i vassdrag som ikkje er verna, kan konsesjonsbehandlast på ordinær måte med melding, konsekvensutgreiing og søknad. Konsesjonsbehandlinga skal sikre at alle viktige omsyn, deriblant miljøomsyn, blir avvegne på ein forsvarleg måte.
I same energimeldinga går det fram at det vil bli utgreidd og lagt fram eit lovforslag som skal gi konsesjonsmyndigheita høve til å gi tidleg avslag i større vass- og vindkraftsaker. Tiltak som medfører vesentlege negative verknader for miljø eller anna arealbruk vil i så fall kunne få tidleg avslag. Høvet til å gi tidleg avslag vil fylle noko av den same funksjonen som behandling etter Samla plan. Det er ikkje avklart når lovforslaget vil liggje føre.
Fiskeriforvaltninga
Nærings- og fiskeridepartementet har det overordna forvaltningsansvaret for oppdrettsnæringa og for å sikre fiskehelsa, også hos viltlevande fisk. Fiskeridirektoratet og Mattilsynet er rådgivande og utøvande organ for Nærings- og fiskeridepartementet innan forvaltning av havbruksnæringa og fiskehelse. Oppdrett skal etablerast, drivast og avviklast på ein miljøforsvarleg måte. Miljøomgrepet i akvakulturlova er vidt og dekkjer både økologiske effektar og forureining. Føresegnene i lova skal sikre at omsynet til miljø blir teke vare på i alle trinn i produksjonskjeda. Tilsvarande følgjer det av matlova si føremålsføresegn, at lova skal ta vare på miljøvennleg matproduksjonen. Samla sett omfattar dette blant anna overvaking og tiltak for reduksjon av rømt oppdrettsfisk og overvaking, førebygging og nedkjemping av lakselus og andre fiskesjukdommar.
Akvakulturnæringa er pålagt internkontroll. Dette skal medverke til at næringa systematisk gjennomfører tilstrekkelege tiltak for å oppfylle styresmaktene sine krav til miljø, dyrehelse og dyrevelferd. Fiskeridirektoratet og Mattilsynet fører tilsyn etter forskrifta om internkontroll (IK Akvakultur). Myndigheitene si primæroppgåve i kontrollverksemda er å fastslå om det er samsvar mellom regelverket og praksis.
Kommunal forvaltning
Kommunane har ansvaret for ei rekkje oppgåver innanfor fiskeforvaltninga. Som planmyndigheit har kommunane ansvaret for å sjå til at omsynet til fiskeinteressene og ivaretaking av fisken og andre ferskvassorganismar sine økologiske funksjonsområde blir innpasse i planar etter plan- og bygningslova.
Etter lakse- og innlandsfisklova har kommunane mynde til å gi pålegg om sal av fiskekort og nærare spesifiserte kultiveringstiltak, til å fastsetje ulike grenser i vassdrag, til å krevje oppretting av enkelte tiltak som er gjennomført i strid med lov eller forskrift og til å iverksetje tiltak i krisesituasjonar. I tillegg har kommunane ansvar for å leggje til rette for næringsutvikling og rekreasjon med utgangspunkt i fiskeressursane. Kommunane skal ta vare på desse ansvarsområda blant anna som samarbeidspartnar for rettshavarane ved utarbeiding av driftsplanar.
Privat forvaltning
Grunneigarane har som hovudregel eineretten til bruk av fastståande reiskap i sjø og til alt fiske i elv.
Organisasjonane på rettshavarsida og brukarsida utfører ein omfattande innsats for å ta vare på stammene av anadrom laksefisk og medverke til eit forsvarleg og lovleg fiske. Kultivering, oppsyn, regulering av fisket, organisering, bestandsovervaking, delar av kalkingsverksemda og tilrettelegging for fiske inngår i denne verksemda. Mykje av det praktiske arbeidet skjer i samarbeid mellom rettshavarane, frivillige organisasjonar og offentlege myndigheiter.
Rettshavarane har dei seinare åra fått større ansvar for forvaltninga av fiskeressursane. Det er innført pliktig organisering av rettshavarane i alle vassdrag med gytebestandsmål på 100 kg hofisk eller meir. Pliktig organisering er innført for å gi den lokale forvaltninga tilstrekkeleg mynde til å forvalte fiskebestandene og ta ansvar for sentrale oppgåver som fangstrapportering, oppsyn, kultivering, bestandsovervaking og regulering av fisket, og for å lette samarbeidet mellom offentleg og lokal forvaltning. Det skal utarbeidast driftsplanar for alle vassdrag som er omfatta av kravet om pliktig organisering.
Pliktig organisering er no innført eller er under etablering i dei fleste vassdraga som er omfatta av forskrifta. Miljødirektoratet har hatt eit nært samarbeid med organisasjonen Norske Lakseelver i samband med organiseringsprosessen. Norske lakseelver er den største organisasjonen på rettshavarsida, og samarbeidet har vore avgjerande for heile organiseringsprosessen.
Tanavassdragets fiskeforvaltning
Tanavassdragets fiskeforvaltning vart etablert i mars 2011 og er eit lokalt forvaltningsorgan for Tanavassdraget. Dei viktigaste oppgåvene er av privatrettsleg karakter, som å organisere fisket, syte for tilstrekkeleg fiskeoppsyn, ha ansvar for drift og forvalte inntekter frå sal av fiskekort. Tanavassdragets fiskeforvaltning skal òg medverke til langsiktig bevaring av fiskeressursane og delta i samarbeidet med Finland om forvaltninga av vassdraget. Forvaltningsorganet vil få vesentlege, nye oppgåver som følgje av den nye avtala med Finland om fisket i vassdraget.
1.2.7 Iverksette tiltak
Nasjonale laksevassdrag og laksefjordar
For å sikre dei viktigaste laksebestandane særskilt vern i vassdrag og fjordområde, har Stortinget oppretta 52 nasjonale laksevassdrag og 29 nasjonale laksefjordar.
Ordninga med nasjonale laksevassdrag og laksefjordar skal gi dei viktigaste laksebestandane eit spesielt vern mot menneskelege inngrep. Verneregima er likevel ikkje til hinder for nye tiltak og aktivitetar dersom desse ikkje medfører auka risiko for bestandane som inngår i ordninga. Den grunnleggjande føresetnaden er at summen av endringar i aktivitetane i vassdraga og fjordområda over tid ikkje skal medføre auka, men snarere redusert risiko for villaksen.
Ordninga med nasjonale laksevassdrag og laksefjordar er meint å vere permanent. Ny kunnskap, ny teknologi og nye rammevilkår for aktuelle næringsinteresser kan likevel over tid tilseie endringar i arrondering og verneregime. Stortinget har derfor bestemt at ordninga skal evaluerast seinast ti år etter at den er ferdigstilt, det vil seie i løpet av 2017. Som opplyst i Prop. 1 S (2016 – 2017) frå Klima- og miljødepartementet, vil ordninga med nasjonale laksevassdrag og laksefjordar bli evaluert i løpet av 2017. I Meld. St. 14 (2015 – 2016) Natur for livet heiter det at dersom det viser seg at ordninga ikkje har gitt tilstrekkeleg vern av villaksen, vil regjeringa vurdere behovet for å styrkje vernet.
Tiltak knytte til fiskeoppdrett
Tiltak mot rømming av oppdrettsfisk
Fiskerimyndigheitene har sett i verk ei rekkje tiltak for å redusere rømming og den rømte fisken sin innverknad på dei ville bestandane av laks.
Ordninga med krav til teknisk standard på flytande oppdrettsanlegg trådde i kraft første gong i 2004. Ei revidert NYTEK-forskrift trådde i kraft 1. januar 2012, og med den vart det innført nye krav til teknisk standard for flytande oppdrettsanlegg og hovudkomponentar som inngår i slike anlegg. Implementeringa av desse krava medførte ein tydeleg nedgang i rapporterte rømmingar frå sjøanlegg. Nærings- og fiskeridepartementet har òg hatt på høyring forslag til forskrift om krav til teknisk standard for landbaserte akvakulturanlegg som vil styrkje rømmingstryggleiken i desse anlegga.
Oppdrettar er pliktig til straks å melde frå til Fiskeridirektoratet ved kjennskap til eller mistanke om at fisk har rømt. Dette gjeld uansett om fisken har rømt frå eigne eller andre sine anlegg.
Ifølgje akvakulturdriftforskrifta skal landbaserte akvakulturanlegg ha eigen innretning for å hindre at fisk rømmer gjennom avløpet. Innretninga skal minimum bestå av ei dobbel sikring eller annan likeverdig rømmingssikring. Maskevidde i notposen til merdanlegg skal vere tilpassa fisken sin storleik, slik at fisken ikkje kan sleppe igjennom.
Fiskeridirektoratet har ansvar for å koordinere det nasjonale overvakingsprogrammet for rømt oppdrettslaks i vassdrag. Frå 2014 er overvakinga av rømt oppdrettsfisk i vassdraga styrkt både kvalitativt og kvantitativt. Nærings- og fiskeridepartementet har gjennom forskrift om fellesansvar for utfisking mv. av rømt oppdrettsfisk, som trådde i kraft 5. januar 2015, bestemt at alle innehavarar av løyve til akvakultur med laks, aure og regnbogeaure skal betale inn ei avgift til ei samanslutning (Oppdrettsnæringa si samanslutning for utfisking av rømt oppdrettsfisk, OURO) med det formål å redusere risikoen for genetisk påverknad frå akvakultur på ville bestandar av laksefisk. Med bakgrunn i resultat frå det nasjonale overvakingsprogrammet skal OURO planleggje og finansiere utfiskingstiltak i dei vassdraga der innslaget av rømt oppdrettsfisk er for høgt.
Det vart i samband med tildelingsrunde med «grøne løyve» i 2013 tildelt løyve under føresetnad av bruk av triploid fisk. Slik fisk er steril og vil ikkje kunne påverke villaks genetisk ved eventuell rømming. Det står framleis att ein del arbeid knytt til dei velferdsmessige aspekta ved bruk av triploid fisk i kommersiell skala.
Tiltak mot lakselus og andre fiskesjukdommar
Mattilsynet har sett i verk ei lang rekkje tiltak for å redusere påverknad frå lakselus på viltlevande fisk. Blant dei viktigaste er tiltak for å senke lusenivåa i anlegga på våren, når laksesmolten vandrar ut gjennom fjordane. Eit anna viktig tiltak er fastsetjing av grenser for kor mange lakselus det er tillete å ha per oppdrettsfisk. I den seinare tida har Mattilsynet redusert storleiken på produksjonsløyva på lokalitetar med fleire eller alvorlige brot på lakselusregelverket. Ei rekkje andre tvangstiltak har òg blitt brukt, som dagmulkt, pålegg om utslakting, pålegg om lakselusbehandling etc.
Lakselusproblemet på villfisk har på trass av dei nemnde tiltaka generelt sett ikkje betra seg dei seinare åra. Dette skuldast truleg auken i produksjonsomfanget og den samtidige resistensen lakselusa har utvikla mot dei viktigaste lakselusmidla. Regjeringa tek sikte på å innføre det nye produksjonsreguleringsregimet som Stortinget slutta seg til i samband med behandlinga av Meld. St. nr. 16 (2014 – 2015), hausten 2017.
Mattilsynet vurderer sjukdomsrisiko og pålegg sjukdomsførebyggjande tiltak ved etablering og drift av akvakulturanlegg. Med unntak av for lakselus og Gyrodactylus salaris, er desse tiltaka hovudsakleg retta mot førebygging av sjukdom hos oppdrettsfisk, og tek i mindre grad omsyn til risiko for generell spreiing av agens til viltlevande fisk utanfor merdane.
Tiltak mot lakseparasitten Gyrodactylus salaris
I St.prp. nr. 32 (2006 – 2007) vart det gitt mål for arbeidet med lakseparasitten Gyrodactylus salaris: «Regjeringens mål er å utrydde parasitten i infiserte vassdrag hvor dette vurderes som realistisk og i tillegg minimalisere risikoen for videre spredning». I Meld. St. 14 (2015 – 2016) Natur for livet går det fram at regjeringa vil halde fram med nedkjempinga av parasitten i tråd med faglege tilrådingar.
Arbeidet med å nedkjempe parasitten er svært krevjande og stiller store krav til planlegging og koordinert gjennomføring av tiltak. Med utgangspunkt i erfaringar, internasjonale tilrådingar og råd frå ei ekspertgruppe, er det gjennomført ei rekkje betringar på behandlingsmetodikken. Nedkjempingsarbeidet byggjer på ein plan utarbeidd av Miljødirektoratet og Mattilsynet, og inkluderer ein konkret tiltaksplan og prioriteringsrekkefølgje basert på faglege og økonomiske kriterium for effektiv behandling av infiserte vassdrag. Prioriteringsrekkefølgja og framdrifta som er beskrivne i planen, er blitt følgt opp. Status for nedkjempingsprogrammet mot Gyrodactylus salaris er at 22 vassdrag er behandla og friskmelde, 21 vassdrag er behandla, men framleis ikke friskmelde, og 7 vassdrag er infiserte.
Det er utarbeidd tre overvakingsprogram som er i funksjon for vassdrag. Målet for overvakinga er å halde løpande oversikt over førekomsten av G. salaris, avdekkje spreiing på eit tidleg stadium og gi eit best mogleg grunnlag for å nedkjempe parasitten. I tillegg er det eit overvakings- og kontrollprogram for kultiverings- og oppdrettsanlegg for laks og regnbogeaure i ferskvatn.
I arbeidet med å avgrense smittespreiing har styresmaktene i samarbeid med elveeigarar, fiskekortseljarar og organisasjonar retta ei rekkje tiltak inn mot fiske- og friluftsaktivitetar. Dei viktigaste tiltaka er forbod mot flytting av fisk i tillegg til anna mogleg smitteførande materiale, desinfeksjonsrutinar og informasjon. Informasjon og kommunikasjon blir nytta til å spreie kunnskap og for å påverke atferd.
Utrydding av parasitten har vore og er hovudstrategien for tiltak mot lakseparasitten G. salaris i Noreg. Kjemisk behandling saman med fiskesperrer har dei seinaste åra danna grunnlaget for nedkjempingsarbeidet. Rotenon har så langt vore det viktigaste verkemidlet i nedkjempinga av G. salaris.
Summen av dei tiltaka som er gjennomførde har truleg medverka til at det ikkje har skjedd spreiing til nye regionar sidan Lærdalselvi vart smitta i 1996. Det er likevel framleis naudsynt å setje inn tiltak for å redusere faren for smitte til nye vassdrag.
Dersom alle nedkjempingstiltaka som er gjennomførde dei siste fem åra er vellykka, er det no bare to infiserte regionar med til saman sju elver igjen. Det er Drivaregionen med fire infiserte elver og Drammensregionen med tre infiserte elver. I Drivaregionen er framdriftsplanen klar med bygging av fiskesperre i Driva (ferdig 2017), brakkleggingsperiode (ca. seks år) med påfølgjande kjemisk behandling nedstraums fiskesperra og dei tre andre infiserte elvene.
Eventuell nedkjemping av parasitten i Drammensregionen vil krevje ein omfattande gjennomgang av alle tilgjengelege alternativ og moglegheiter. Miljødirektoratet har derfor nedsett ei arbeidsgruppe med dette som mandat. Arbeidsgruppa starta sitt arbeid våren 2015 med ei funksjonstid på tre år.
Tiltak knytte til inngrep i vassdrag
Ny kunnskap og erfaring med kompensasjonstiltak har gitt grunnlag for å gjenopprette naturleg fiskeproduksjon og vandring i fleire regulerte vassdrag. Dette gjer at vi i dag har betre høve til å setje inn målretta tiltak som fjernar eller betydeleg reduserer negative effektar av reguleringsinngrepa.
Regjeringa har i 2015 – 2016 lagt fram to meldingar for Stortinget med overordna føringar for forholdet mellom miljøomsyn og kraftproduksjon i regulerte vassdrag. I Meld. St. 14 (2015 – 2016) Natur for livet er det uttalt at vasskraft utgjer den største fysiske påverknaden på vassdraga våre, men er også sjølve ryggraden i det norske kraftsystemet og er av stor betydning for velferden i Noreg. Meldinga seier at ein skal leggje stor vekt på å finne fram til tilpassa vassføringsregime som på best mogleg måte tek vare på økologien i vassdraga. Regjeringa vil bruke standardvilkår for naturforvaltning meir aktivt til å betre miljøtilstanden i regulerte vassdrag.
I Meld. St. 25 (2015 – 2016) Kraft i endring – energipolitikken mot 2030 er det sagt at Regjeringa vil trappe opp arbeidet med å gjennomføre revisjonssaker, slik at samfunnsøkonomisk lønsame miljøbetringar blir gjennomførte raskare. Det er òg sagt i denne meldinga at naturforvaltningsvilkåret skal brukast meir aktivt for å betre tilstanden i utbygde vassdrag. Av meldinga framgår at det kan bli meir effektkøyring, men det er samtidig understreka at det derfor vil vere viktig å avvege fordelane ved effektkøyring mot ulempene for miljøet.
Både omsyn til bestandane av anadrom fisk, andre interesser i vassdraga og kostnadseffektivitet tilseier at vurdering, prioritering og gjennomføring av tiltak må skje på ein heilskapleg og planmessig måte. Dette er noko av ambisjonen med vassforskrifta og utarbeiding av regionale vassforvaltningsplanar og tiltaksprogram. Vassforvaltningsplanar og tiltaksprogram for perioden 2016 – 2021 er ferdigstilte av vassregionane og vart godkjente i 2016. I vedtaket er det lista opp vassførekomstar som er prioriterte med miljømål som kan medføre krafttap og vassførekomstar som er prioriterte med miljømål som kan medføre andre tiltak som kan påleggjast konsesjonær. Det er presisert at under sektoren si behandling vil det bli gjort ytterlegare avklaringer og konkrete vurderingar av fordelar og ulemper ved dei enkelte tiltaka før endeleg beslutning om eventuell gjennomføring av tiltak blir teken.
Ved revisjon og fornying av konsesjonar kan vilkår om manøvrering av regulerte innsjøar og elver endrast og moderne standardvilkår innførast. I ein revisjon blir det vurdert om det er behov for å justere konsesjonen sine vilkår på bakgrunn av negative effektar på økosystemet med vekt på fiskebestandar sine produksjons- og vandringsmoglegheiter eller andre utilsikta følgjer av reguleringa. Effektkøyring med gjenteken stranding av fisk er eksempel på negativ påverknad på fiskeproduksjonen. Eldre vasskraftverk som i dag ikkje har konsesjon, kan kallast inn til konsesjonsbehandling slik at myndigheitene kan setje vilkår som sikrar at allmenne omsyn blir tekne vare på. NVE er myndigheit for å ta opp konsesjonar for revisjon, fornying og innkalling for konsesjonsbehandling eller endring.
Alle konsesjonar gitt etter 1992 har moderne naturforvaltningsvilkår. Vilkåra gir miljøforvaltninga høve for å påleggje regulant å gjennomføre ei rekkje miljøtiltak. Eit pålegg i medhald av vilkåret må vere knytt til skadar forårsaka av utbygginga, og kostnadene ved pålegget må stå i rimeleg forhold til tiltaket sine skadeverknader og til nytten av tiltaket. Miljødirektoratets strategi ved oppfølging av naturforvaltningsvilkår er så langt råd er å kompensere dei negative effektane av reguleringsinngrep med tiltak som så direkte som mogleg fjernar eller reduserer flaskehalsar for produksjon og vandring til fisk. Det er òg eit mål at det skal vere eit haustbart overskot.
Der ein kan oppnå eit haustbart overskot med vassførings- og habitattiltak, skal fiskeutsetjingar stoppast eller reduserast. I regulerte vassdrag der ein framleis er avhengig av fiskeutsetjing for å oppnå eit haustbart overskot, skal ein søkje å bruke tidlegast fagleg forsvarlege stadium (rogn) som utsetjingsmateriale. Dette er basert både på kunnskap om negative effektar av fiskeutsetjingar og at fiskeutsetjingar ofte har hatt svært liten effekt på smoltproduksjon og innsig av gytefisk. Pålagte fiskeutsetjingar skal òg tilfredsstille krav om genetisk integritet. Der fiskeutsetjinga ikkje er i tråd med krava, må fiskekultiveringa endrast. I vassdrag der det er krav om revisjon og/eller nye habitattiltak for å oppnå ein produksjon av smolt i vassdraget som gir eit haustbart overskot, vil fiskeutsetjing førast vidare inntil nye målretta tiltak er gjennomførte.
Miljødirektoratet har gitt pålegg til kraftregulantar om tiltak i 50 elver med anadrom fisk. I tillegg kjem tiltak regulantar frivillig gjennomfører og undersøkingar og tiltak som blir gjennomførte av fylkesmennene etter avtale med Miljødirektoratet. Miljødirektoratet vil prioritere arbeidet med pålegg om undersøkingar og miljøbetrande tiltak i nasjonale laksevassdrag og i andre vassdrag med spesielt verdifulle anadrome bestandar, under dette store bestandar og bestandar med storvokst laks med særleg tanke på å oppnå miljømåla i vassforvaltningsplanane. Ved hjelp av ny overvakingsmetodikk har det komme fram at gassovermetting truleg er ein større påverknadsfaktor på fisk i regulerte elver enn kva ein tidlegare har anteke. Det er behov for at det blir sett i verk overvaking nedstraums kraftverk med mistanke om gassovermetting, og at det blir gjennomført forsking for å finne ut meir om kva grenser for overmetting som er skadeleg for ulike livsstadium til anadrom fisk. Smolt kan vere eit spesielt sårbart stadium for fisken.
Fisketrapper
Fisketrapper er kunstige oppgangsvegar som skal føre fisk forbi naturlege vandringshinder som fossar og stryk og/eller kunstige vandringshinder som kraftverksdammar og fløytingsdammar. Fisketrapper for anadrom laksefisk er blitt rekna som eit av dei viktigaste fiskeforsterkingstiltaka i Noreg, og er framleis av stor betydning for styrking og bevaring av ei rekkje fiskebestandar. I dag er det registrert 358 trapper berekna for anadrom laksefisk. Trappene er fordelte på ca. 250 vassdrag på landsbasis. I underkant av 80 trapper for anadrom laksefisk er bygde av vassdragsregulantar etter pålegg.
Fisketrapper blir i dag etablerte primært for å halde ved lag eller betre fisken sin moglegheiter for vandring. Tidlegare vart det ofte opna heilt nye lakseførande strekningar. I dag er det stilt strenge krav til dette, av omsyn til den naturlege faunaen oppstraums tiltaket. I regulerte vassdrag kan det i nokre tilfelle opnast nye lakseførande strekningaer som kompenserande tiltak for reduserte gyte- og oppvekstområde.
Ein gjennomgang av registeret over fisketrapper viser at den tekniske tilstanden til 228 av dei 358 fisketrappene for anadrom laksefisk er vurdert å være god. Likevel er det ca. 85 fisketrapper for anadrom laksefisk som ikkje fungerer som føresett. Det er behov for restaurering og ombygging av trapper. I ein del tilfelle vil det òg vere naudsynt med ei avklaring av eigarforhold og vedlikehaldsansvar.
Reguleringar i fisket
Det reduserte innsiget av laks har ført til at det haustbare overskotet er betydeleg redusert. Regulering av fisket etter laks er eit viktig verkemiddel for å kompensere for denne tilbakegangen. Fiskereguleringane skal medverke til at vassdraga oppnår god kvalitet etter kvalitetsnorma for villaks ved å hindre at laksebestandane blir overutnytta.
Reguleringane i laksefisket er baserte på vitskapelege råd frå det internasjonale havforskingsrådet ICES, råd frå Vitskapleg råd for lakseforvaltning (VRL) og på moderne forvaltningsprinsipp, under dette føre var-tilnærminga som er utvikla for desse fiskeria i den nordatlantiske laksevernorganisasjonen NASCO. Desse råda inneber i første rekkje at laksefisket skal baserast på dei bestandane som utnyttar produksjonskapasiteten sin fullt ut, og at fiske på andre bestandar skal avgrensast mest mogleg.
Gytebestandsmål er introduserte i fiskereguleringane gjennom NASCOs arbeid med føre var-tilnærming i lakseforvaltninga. Gytebestandsmål er utrekna for alle norske laksevassdrag, og VRL gir råd om fangst for ca. 180 av desse (vassdrag med tilstrekkeleg data). Innføring av gytebestandsmål som referansepunkt har medført strengare reguleringar for å redusere beskatningstrykket i både sjø- og elvefisket. Sjølaksefisket er regulert strengast fordi dette fisket i all hovudsak er eit fiske på blanda bestandar, og ved slikt fiske må omsynet til dei svakaste bestandane som inngår i fangstane takast vare på. Sjølaksefisket sin del av totalfangsten er redusert frå 63 pst. i perioden 1993 – 1997 til 38 pst. i perioden 2011 – 2015.
Det vart gjennomført ein hovudrevisjon av reguleringa av fisket etter anadrom laksefisk i sjø og elv i forkant av sesongen 2016. Reguleringane skal i utgangspunktet vare i ein periode på fire til fem år, men det vil bli gjennomført justeringar i perioden om nødvendig.
Reguleringar relatert til innslag av rømt fisk
For å auke delen vill laks i bestandar med høgt innslag av rømt fisk, kan det vere naudsynt å redusere fangsten ut over det gytebestandsmålet skulle tilseie. Dette vil redusere oppdrettslaksens påverknad, blant anna ved at den møter meir konkurranse på gyteplassane. I enkelte vassdrag og sjøområde kan det bli naudsynt med betydelege innskrenkningar i fisket og i ytterste fall fiskeforbod.
Retta fiske
Fiske basert på fang og slepp er ikkje nytta som reguleringsform i Noreg. Det blir likevel brukt «retta fiske», der fangsten blir retta mot enkelte arter, kjønn og/eller størrelsesgrupper av fisk. Retta fiske medfører utsetjing att av arter og/eller delar av bestandar som det ikkje skal fiskast på, noko som byr på spesielle utfordringar.
Redusert haustbart overskot har aktualisert denne reguleringsforma i vassdraga som eit alternativ til andre reguleringar. Dødelegheita for fisk som blir sett ut att kan likevel variere mye med faktorar som fiskemetode, vasstemperatur og tidspunkt på sesongen, og kan i verste fall vere høg. Metoden stiller derfor krav både til fiskeutøvinga og til behandlinga av fisk som skal setjast ut att.
Fiske med krokgarn
Fiske med krokgarn vart stansa i løpet av perioden 1997 – 2002 på strekninga svenskegrensa t.o.m. Troms. Bakgrunnen var at dette fisket fangar meir selektivt, særleg på mellomlaks (hovudsakleg hofisk), og fører til meir garnskadar og påfølgjande dødelegheit enn fiske med kilenot. I Finnmark er det framleis tillate å fiske med krokgarn, i hovudsak av omsyn til sjøsamisk kulturutøving.
Regulering av fisket i nasjonale laksevassdrag og laksefjordar
I St.prp. nr. 79 (2001 – 2002) vart det lagt til grunn at fiskereguleringane i nasjonale laksevassdrag og laksefjordar skal følgje dei same prinsippa som i vassdrag og sjøområde elles. Samtidig vart det presisert at reguleringane i desse områda skal byggje på eit best mogleg kunnskapsgrunnlag. Denne praksisen blir ført vidare. Det må likevel påreknast strengare reguleringar for fiske som omfattar truga, sårbare eller reduserte laksebestandar som inngår i ordninga.
Regulering av fisket etter sjøørret og sjørøye
Regulering av fisket etter sjøaure og sjørøye følgjer i utgangspunktet dei same prinsippa som dei som er lagt til grunn for laksereguleringane. Med bakgrunn i at bestandssituasjonen har blitt dårlegare også for desse to artene i mange område/regionar dei seinare åra, har det i aukande grad vore naudsynt med avgrensingar i fisket både i sjø og elv.
Ulovleg fiske
Omfanget av ulovleg fiske er framleis betydeleg, spesielt i sjøen. Det gjeld særleg ulovleg bruk av fastståande reiskap. Statens naturoppsyn har spesiell fokus på dette, men ulovleg fiske er likevel eit betydelig problem i ein del regionar. Mengde oppsyn må aukast dersom ein skal få betre kontroll over dette.
Kalking av vassdrag
Kalkinga av anadrome vassdrag starta på 1980-talet, og i dag er det 22 elver som får slik behandling i Noreg. Kalking har sikra laksebestandane i 12 vassdrag, og det er reetablert bestandar i ti andre der laksen var utdøydd. I dag blir det fanga 40 – 60 tonn laks årleg i dei kalka vassdraga, og dette utgjer om lag 12 pst. av den totale elvefangsten i Noreg. Også sjøauren har nytte av kalkinga. I fleire vassdrag blir det kalka sidebekkar til hovudelva, og desse bekkane kan vere spesielt veleigna for sjøauren.
Miljødirektoratets plan for kalking av vassdrag i Noreg for perioden 2016 – 2021 klargjer hovudprioriteringane innan kalkingsvverksemda. I anadrome vassdrag er den viktigaste prioriteringa å føre vidare pågåande kalking så lenge det er behov. Laksen er meir følsam for forsuring enn sjøauren, og kalkinga er derfor styrt etter laksens vasskvalitetskrav. Så langt er Vosso det einaste vassdraget der ein har kunna avslutte kalkinga heilt, fordi vasskvaliteten etter kvart vart god nok også utan kalking. I andre vassdrag på Vestlandet er kalkinga no stansa i delar av året. Dei kommande åra kan kalkinga enkelte stader kanskje trappast ytterlegare ned, men det er ikkje venta at kalking vil kunne avsluttast heilt i noko anadromt vassdrag i inneverande planperiode. I tillegg til å føre vidare pågåande kalking, er det behov for å optimalisere kalkinga i sju av vassdraga, for å få ein meir stabil vasskvalitet og sikre betre måloppnåing. Optimaliseringstiltak kan for eksempel vere kalking av sure sidebekkar, som kan vere særleg positivt for sjøauren. Fleire sidebekkar med eit kjent kalkingsbehov er særskilt nemnt i planen. I tillegg er det sett i gang ei kartlegging av andre forsuringspåverka bekkar som er viktige for anadrom fisk, med tanke på framtidig kalking. I planen er det òg lagt til grunn at det kan vere aktuelt å starte kalking i fem forsuringspåverka vassdrag som det fram til no ikkje har vore midlar til å kalke. I alle desse vassdraga er det registrert laks i dag, men vasskvaliteten er tidvis så dårleg at det truleg gir negative effektar på laksebestandene.
I 2015 vart det løyvd totalt 93 mill. kroner til vassdragskalking i Noreg. Om lag 70 pst. av midlane vart nytta i anadrome vassdrag til kalking og kalkingsrelatert verksemd. Alle tiltaka som er beskrivne i Miljødirektoratets plan for kalking for perioden 2016 – 2021 kan venteleg gjennomførast i planperioden dersom dei årlege totalløyvingane blir haldne på nivå med i 2015.
I Meld. St. 14 (2015 – 2016) Natur for livet går det fram at regjeringa vil halde fram med kalking av forsura vassdrag.
Fiskeutsetjingar
Dei første utsetjingane av laks i norske elver begynte i 1855. I starten vart det hovudsakleg sett ut yngel, men etter kvart vart det også vanleg å setje ut setjefisk og smolt. Dei første retningslinjene for utsetjing av fisk kom i 1998, og sidan den gongen har omfanget av fiskeutsetjingar gått betydeleg ned. I dag er det hovudsakleg rogn som blir sett ut.
Utsetjing av fisk kan ha forskjellige formål: Auke det haustbare overskotet, kompensere for tapt fiskeproduksjon på grunn av negative menneskeskapte påverknader, halde ved lag bestandar som elles ville ha gått tapt, og reetablere tapte eller nær tapte bestandar.
Retningslinjer for utsetjing av anadrom fisk vart revidert våren 2014. Dei nye retningslinjene og praksis for utsetjing av anadrom fisk byggjer på oppdatert nasjonal og internasjonal kunnskap om fiskeutsetjingar. Denne kunnskapen tilseier at utsetjingar ofte ikkje verkar som det var tiltenkt, og at dei kan få negative langsiktige effektar på bestandane. Spesielt utsetjing av smolt kan vere uheldig. Ifølgje Vitskapleg råd for lakseforvaltning gir det dårleg overleving, representerer det største avviket frå naturleg rekruttering og gir størst feilvandring.
Fiskeutsetjingar er derfor berre sett på som eigna tiltak i spesielle tilfelle, eksempelvis for å reetablere bestandar i vassdrag der grunnen til at bestanden vart redusert er varig fjerna og det dermed igjen er grunnlag for ein livskraftig bestand. Det er vidare fagleg konsensus om at tiltak for å styrkje det naturlege produksjonsgrunnlaget bør prioriterast føre fiskeutsetjingar, også i slike tilfelle.
Bestandstilstanden for anadrom laksefisk er i fleire vassdrag vurdert som kritisk. I slike vassdrag kan fiskeutsetjingar vere eit viktig og kanskje einaste moglege tiltak for å redde ein bestand. I slike tilfelle kan høvet til å redde bestanden vere viktigare enn dei potensielt negative effektane av fiskeutsetjingane.
Genbank
Genbankar for bestandar av anadrom laksefisk omfattar «levande» genbank og «frosen» genbank. Ved inngangen til 2017 er det i «levande» genbank 21 bestandar av laks, 12 bestandar av sjøaure og to bestandar av sjørøye. I tillegg er det blitt samla inn materiale til «levande» genbank frå 10 laksebestandar og 12 sjøaurebestandar frå Hardanger. Ein stor auke i kostnadsanslaget i 2016 førte til at regjeringa ikkje fann rom i budsjettet for å byggje den planlagte genbanken for Hardangerbestandane. Det innsamla materialet blir likevel teke vare på inntil vidare.
«Frosen» genbank er etablert for ei rekkje bestandar av anadrom laksefisk. Lageret med djupfrosen laksesæd er den største genetiske ressursen i genbanken. Lageret har sæd frå meir enn 200 laksestammar inkludert dei fleste nasjonale laksevassdraga og mange av dei stammane som er truga. Ein stor del av dette materialet vart samla inn på ei tid då det var lite med avkom av rømt oppdrettslaks blant gytefisken. I den «frosne» genbanken er det òg 26 sjøaurebestandaer og to sjørøyebestandar.
Inntil nyleg var laksebestandane i «levande» genbank valt ut anten fordi dei var truga av parasitten Gyrodactylus salaris eller av sur nedbør.
Genbankarbeidet er no inne i ein periode med svært høg aktivitet som følgje av kampen mot Gyrodactylus salaris. Dette vil vedvare fram til dei respektive vassdraga og regionane blir friskmelde.
I Meld. St. 14 (2015 – 2016) Natur for livet går det fram at regjeringa framleis vil nytte genbank som eit verkemiddel for å sikre det genetiske mangfaldet i lakse- og sjøaurebestandane og for bestandar som er truga av lakseparasitten Gyrodactylus salaris.
1.2.8 Formidling av kunnskap
Stortinget har lagt til grunn at all forvaltning av vår anadrome laksefisk skal vere kunnskapsbasert og berekraftig, då dette er avgjerande for at vi skal sikre bestanden av desse laksefiskane, jf. blant anna Innst. 9 S (2015 – 2016). Då er det viktig at kunnskap om dei anadrome laksefiskane er gjort kjent for allmenta og for lokale, regionale og nasjonale forvaltningsmyndigheiter, og blir brukt ved avgjersler som kan få betydning for desse laksefiskane. Å gjere kunnskap om natur tilgjengeleg vart omtalt i Meld. St. 14 (2015 – 2016) Natur for livet. Ein viser til omtale i kap. 8.6 i meldinga. Regjeringa la blant anna vekt på å utvikle vidare, betre og forenkle nasjonale databasar for å sikre god tilgang til relevant miljøinformasjon for avgjerdsstakarar og allmenta.
Når det gjeld anadrom laksefisk, skjer kunnskapsformidlinga i dag gjennom mange ulike kanalar. Miljødirektoratet har som oppgåve å systematisere og formidle viten om anadrom laksefisk på ein lettfatteleg måte og vere den beste kjelda til slik kunnskap. Som ledd i dette arbeidet har Miljødirektoratet bygd opp «Villaksportalen» på sine nettsider. Vidare blir det gitt tilskot til formidling i regi av fleire organisasjonar.
Ved behandlinga av statsbudsjettet for 2017 løyvde Stortinget midlar over kap. 1420 post 85 til å etablere ein samarbeidsarena for laks i Tana. Klima- og miljødepartementet følgjer dette opp og har gitt Miljødirektoratet i oppdrag å leggje til rette for etablering av ein møteplass for samarbeid om villaksen i Tanavassdraget i Tana kommune. Departementet ser det som naturleg at lokale myndigheiter har ei viktig rolle når det gjeld etablering og drift av møteplassen.
For nokre år siden fekk Miljødirektoratet gjennomført ei utgreiing om eventuell etablering av eit «norsk laksesenter». I tilrådinga til Klima- og miljødepartementet fann Miljødirektoratet det vanskeleg å tilrå etablering av eit slikt senter. Departementet slutta seg til direktoratets vurderingar og opplyste i brev til direktoratet i mars 2015 at departementet ikkje ville gå inn for å etablere eit slikt senter. Departementet la blant anna vekt på at det ikkje er ønskeleg å medverke til nyetableringar etter den foreslåtte organisasjonsmodellen.
1.3 Vidareutvikling av forvaltninga og kunnskapsformidlinga
I det følgjande blir andre delen av oppmodingsvedtak nr. 405 besvart, der problemstillinga er «hvordan forvaltningen og formidling av kunnskap kan styrkes for å sikre en bærekraftig utvikling». Utfordringar og fastsette mål for forvaltninga av bestandane av anadrom laksefisk er beskrivne i første del av svaret (kap. 1.2). Nedanfor er gitt først ei oversikt over tiltak som allereie er sette i verk innan Klima- og miljødepartementets ansvarsområde og som vil bli førte vidare. Deretter går ein gjennom ein del andre tiltak som departementet meiner kan medverke til ei betre måloppnåing i forvaltninga av vill anadrom laksefisk. Til slutt blir dei tiltaka departementet vil prioritere å arbeide vidare med oppsummerte.
Gjennomgangen av tiltak for å utvikle forvaltninga vidare omfattar tiltak innanfor miljøforvaltninga sitt ansvarsområde. Eventuelle nye tiltak innanfor andre sektorar vil bli vurderte som ledd i ei kommande oppfølging av to punkt i Meld. St. 14 (2015 – 2016) Natur for livet. Det eine oppfølgingspunktet gjeld arbeidet knytt til kvalitetsnormen for villaks. Det andre oppfølgingspunktet gjeld evalueringa av ordninga med nasjonale laksevassdrag og laksefjordar.
1.3.1 Vidareføring av iverksette tiltak
Gjennomføring av tiltaksplan for utrydding av Gyrodactylus salaris
Arbeidet med å nedkjempe lakseparasitten Gyrodactylus salaris og gjenoppbyggje dei stadeigne laksestammene ved hjelp av genbank har vore ressurskrevjande og ikkje utan tilbakeslag. Arbeidet har likevel vore ein suksesshistorie, og tiltaka har sytt for at talet på vassdrag med kjent infeksjon er redusert til sju. Materialet frå genbanken har gitt høve til ei rask gjenoppbygging av dei lokale laksestammene etter at nedkjempingstiltaka er gjennomførte. For å oppfylle målet om å fjerne parasitten om mogleg frå heile landet, er det avgjerande at tiltaksplanen blir følgt opp vidare. Arbeidet med å gjennomføre utryddingstiltaka i Drivaregionen vil ha høg prioritet framover. Tiltak i Drammensregionen vil bli vurdert. Som nemnt går det fram av Meld. St. 14 (2015 – 2016) Natur for livet at regjeringa vil halde fram med kampen mot parasitten i tråd med faglege tilrådingar.
Bevaring i genbank
Bevarings- og reetableringsarbeidet for laksebestandar under nedkjemping av Gyrodactylus salaris medfører framleis svært høg aktivitet. Det er viktig at dette arbeidet blir fullført, så stammene av villfisk kan reetablerast etter at vassdraga er behandla.
På bakgrunn av trusselbildet, og då særleg påverknad frå rømt fisk, er det òg behov for å komplettere fryselageret, for å sikre full genvariasjon frå alle nasjonale laksevassdrag og få sikra genene også til andre laksebestandar som er utsette for genetisk påverknad frå rømt laks. Miljødirektoratet meiner det hastar med å sikre i «frosen» genbank dei laksebestandane som er, eller som står i fare for å bli, genetisk påverka av rømt laks.
Som nemnt går det fram av Meld. St. 14 (2015 – 2016) Natur for livet at regjeringa framleis vil nytte genbank som eit verkemiddel for å sikre det genetiske mangfaldet i lakse- og sjøaurebestandane og for bestander som er truga av lakseparasitten Gyrodactylus salaris.
Gjennomføring av tiltaksplan for kalking av vassdrag
Som nemnt går det fram av Meld. St. 14 (2015 – 2016) Natur for livet at regjeringa vil halde fram med kalking av forsura vassdrag. Miljødirektoratets plan for kalking av vassdrag for perioden 2016 – 2021 vil bli lagt til grunn for kalkingsarbeidet.
Kvalitetsnorm og tiltaksplan
Kvalitetsnorma for villaks er eit svært viktig reiskap for å sikre og betre levevilkåra og den naturlege produksjonen av dei ville bestandane av laks. Naturmangfaldlova § 13 legg opp til at det skal utarbeidast ein plan for dei bestandane som ikkje når minst god kvalitet etter kvalitetsnorma, slik at bestandane likevel kan nå god kvalitet. Som nemnt går det fram av Meld. St. 14 (2015 – 2016) Natur for livet at Klima- og miljødepartementet vil utarbeide ein plan for korleis kvalitetsnorma kan bli nådd. Klima- og miljødepartementet har sett i gang arbeid med ein tiltaksplan for vill anadrom laksefisk. Dette arbeidet vil bli følgt opp vidare.
Ordninga med nasjonale laksevassdrag og laksefjordar
Som tidlegare nemnt, blir ordninga med nasjonale laksevassdrag og laksefjordar evaluert i løpet av 2017. I Meld. St. 14 (2015 – 2016) Natur for livet heiter det at dersom det viser seg at ordninga ikkje har gitt tilstrekkeleg vern av villaksen, vil regjeringa vurdere behovet for å styrkje vernet. Evalueringa vil bli følgt opp, slik som omtalt i Meld. St. 14 (2015 – 2016) Natur for livet.
1.3.2 Fiske etter anadrom laksefisk
Framtidige reguleringar i laksefisket
Laksefisket og dei verdiane som er knytte til dette fisket er ein grunnleggjande del av lakseforvaltninga i Noreg. Laksefisket er òg vektlagt i formålsparagrafen i lakse- og innlandsfisklova, der det blant anna er presisert at lova skal gi grunnlag for utvikling av bestandane med sikte på auka avkasting til beste for rettshavarar og fritidsfiskarar.
Dei norske laksebestandane er sterkt reduserte gjennom dei siste tiåra, og dette har gjort det naudsynt å innføre betydelege innstrammingar i fisket både i elv og sjø. Lakseforvaltninga og reguleringane i laksefisket har gjennomgått betydelege endringar i seinare år. Dette skuldast fleire forhold, i første rekkje betra kunnskap, internasjonal og nasjonal vitskapleg rådgiving, internasjonale retningslinjer fastsette av den nordatlantiske organisasjonen for bevaring av laks (NASCO) og politiske føringar i St.prp. nr. 32 (2006 – 2007) Om vern av villaksen og ferdigstilling av nasjonale laksevassdrag og laksefjorder. Samla sett har utviklinga medført at dagens reguleringar i laksefisket i større grad enn tidlegare er kunnskapsbasert og meir effektivt innretta mot den enkelte laksebestand. Haustingspotensialet og tilstanden blir vurdert for kvar enkelt laksebestand før det blir opna for fiske. Gytebestandsmål, det vil seie den mengda rognkorn laksen må gyte i vassdraget for å sikre at noverande produksjonskapasitet blir utnytta fullt ut, er estimert og fastsett for alle laksevassdrag der ein trur at det er ein sjølvreproduserande laksebestand. Det er òg innført såkalla forvaltningsmål som er nådd når gjennomsnittleg sannsyn for at gytebestandsmålet er oppnådd dei fire siste åra er minst 75 pst.
Reguleringane av fisket skal i utgangspunktet syte for at det ikkje blir hausta meir av laksebestandane enn at gytebestandsmålet blir nådd kvart år. Der det blir fiska på fleire bestandar, må fisket tilpassast slik at dei svakeste bestandane som inngår i fisket blir tekne vare på. Endringane i reguleringane av laksefisket har berre vore grunngitt i omsynet til laksebestandane, det vil seie at reguleringane skal vere biologisk forsvarlege. Der det har vore mogleg å velje mellom ulike reguleringstiltak med tilnærma lik effekt for laksebestandane, har det blitt valt tiltak som berører ulike brukar- og interessegrupper mest mogleg likt.
Reguleringane har likevel generelt sett redusert sjølaksefisket meir enn elvefisket. Grunnen til dette er at sjølaksefisket i all hovudsak er eit fiske på blanda bestandar, det vil seie eit fiske der laks frå fleire ulike bestandar eller vassdrag er beskatta. I eit slikt fiske må omsynet til dei svakaste bestandane som inngår i fisket vektleggjast. Som følgje av dette har fiskereguleringane i seinare år medført at sjølaksefisket no er svært avgrensa i mange regionar, og at det i nokre område ikkje er opna for slikt fiske. Redusert sjølaksefiske av omsyn til naturleg fåtalige eller reduserte bestandar har medført at meir av laksen som høyrer heime i naturleg store og livskraftige bestandar har vandra tilbake til sine elver og gitt grunnlag for auka fangstar her. Fisket i elver med svake laksebestandar er regulert minst like strengt som i sjøområda utanfor og i mange tilfelle er elver også heilt stengt for fiske.
Sjølv med dagens reguleringar er det i ei viss grad tillate eit fiske på bestandar som ikkje har eit haustbart overskot, deriblant sårbare og truga bestandar. Dette føregår i all hovudsak for å kunne halde ved lag eit avgrensa sjølaksefiske i område der slike bestandar inngår i fangstane. Ein relativt stor del av dei samla laksefangstane blir framleis tekne i dette fisket. Dette fisket er i stor grad blitt vesentleg redusert eller avvikla i dei fleste andre landa med nordatlantisk laks, og det norske sjølaksefisket er i dag det klart mest omfattande målt i fangst og fangstdel.
Fiske på svake bestandar føregår òg i nokre vassdrag, eksempelvis for å halde ved lag lokalt engasjement og kunnskap om bestandane. Beskatting av fisk frå truga og sårbare bestandar kan òg føregå i enkelte vassdrag som har fleire bestandar med ulik status, som for eksempel i Tana. Ein føresetnad for fiske på slike bestandar er at dei skal kunne byggjast opp att over tid.
Etter oppdrag frå Klima- og miljødepartementet, har Miljødirektoratet gjort ein gjennomgang av hovudutfordringane i reguleringane i laksefisket. Departementet vurderer no korleis ein bør arbeide vidare med å avklare viktige vegval for regulering av laksefisket i framtida.
Samarbeid med Finland om fisket i Tana
Gjennomføring av den nye avtala med Finland om fisket i Tanavassdraget vil krevje betydeleg oppfølging i åra framover. Dei viktigaste oppgåvene er: etablering av overvaking av laksebestandane, etablering av felles norsk-finsk fangstregister, utarbeiding av forvaltningsplan for laksebestandane, evaluering og endring av fiskereglane og styrkt fiskeoppsyn. I oppfølginga av avtala legg departementet stor vekt på å involvere lokale rettshavarar og samiske interesser.
Tiltak mot ulovleg fiske
Omfanget av ulovleg fiske er framleis betydeleg, spesielt i sjøen. Det gjeld særleg ulovleg bruk av fastståande reiskap. Det er derfor behov for auka innsats mot ulovleg fiske, spesielt i sjøen og i dei fylka der dette problemet er størst. Aktuelle tiltak er oppsyn frå Statens naturoppsyn og informasjonsarbeid.
1.3.3 Fisketrapper
Vassdragsinngrep kan ha vesentleg negativ verknad på dei anadrome laksefiskane. Fisketrapper kan byggjast som avbøtande eller kompenserande tiltak for vassdragsinngrep. Ei fisketrapp kan rette opp att eller betre fisken si oppvandring forbi inngrepet. I ein del vassdrag er det behov for å sikre og utbetre eksisterande trapper. Restaurering og vedlikehald av viktige fisketrapper vil verke positivt for fiskerettshavarar og fiskarar i dei aktuelle vassdraga. Tiltaket medfører investeringskostnader og årlege driftskostnader. Restaureringskostnader vil måtte reknast ut konkret for det enkelte prosjektet. Departementet meiner generelt at restaurering og vedlikehald av viktige fisketrapper er eit tiltak som kan medverke til betre måloppnåing i forvaltninga av anadrom laksefisk. Det vil likevel måtte gjerast ei konkret avveging mellom nytte og kostnader for dei enkelte prosjekta. Ein føresetnad for at prosjekt med restaurering og vedlikehald av viktige fisketrapper skal bli vellykka, er at det er etablert klare eigarforhold og vedlikehaldsansvar for slike trappeprosjekt. Departementet vil medverke til å avklare eigarforhold og vedlikehaldsansvar for viktige fisketrapper der det er behov for dette.
1.3.4 Tiltak mot forureining
I vassdrag med anadrom fisk kan det vere behov for vidare kartlegging av forureiningskjelder og ytterlegare tiltak mot forureinande utslepp der forurenining har vesentleg negativ effekt. Vassforvaltningsplanane kan vere eit godt verktøy i samband med dette. Departementet viser i denne samanhengen til miljømål og tiltak i dei vedtekne vassforvaltningsplanane. Departementet legg òg til grunn at ein gjennomgang av behov for vidare kartlegging og utsleppsreduserande tiltak inngår i den kommande prosessen for revisjon av vassforvaltningsplanane.
Pålegg om auka minstevassføring vil i ein del tilfelle kunne medverke til å betre resipientforholda i vassdraga. Forureining kan òg omfatte luftovermetting og temperaturendringar nedstraums vasskraftverk. Gjennomføring av revisjon og oppfølging av konsesjonsvilkår vil kunne fjerne eller redusere luftovermetting i utbygde vassdrag. I desse prosessane vil det òg kunne påleggjast tiltak for å redusere negativ påverknad på anadrom fisk frå temperaturendringar.
Ut over dette vil kunnskapsinnhenting og problemkartlegging i samband med gjennomføringa av dei godkjente vassforvaltningsplanane, i større grad avdekkje i kva utbygde anadrome vassdrag forureining frå vasskraftverk utgjer ein negativ påverknadsfaktor for anadrom fisk.
Departementet gjer inga vidare utgreiing av dei nemnde tiltaka her, men viser til dei gjeldande vassforvaltningsplanane, det kommande arbeidet med revisjon av vassforvaltningsplanane og dei ulike prosessane som er knytte til vassdrag med vasskraftutbygging.
1.3.5 Tiltak mot framande fiskearter
Spreiinga av framande eller regionalt framande fiskearter kan skape store forvaltningsvise og økologiske problem. Det er derfor avgjerande å ha eit overvakingssystem som oppdagar nye førekomstar av ferskvassfisk så tidleg som mogeleg for å setje inn effektive tiltak mot slike uønska etableringar. Norsk institutt for naturforsking (NINA) har vurdert ulike metodar for å overvake spreiing av framande fiskearter og viser til den viktige rolla som fiskarar og publikum har ved å melde frå til miljømyndigheitene ved funn av framande fiskearter, slik at miljømyndigheitene kan setje inn tiltak mot spreiinga. NINA viser til at det kontinuerleg må informerast gjennom tradisjonelle og moderne kanalar om at spreiing av fiskearter til nye elver og vatn er skadeleg for dei fiskebestandane som allereie er der, i tillegg til at det er forbode etter norsk lov. I denne samanhengen må det òg informerast om at bruk av levande agnfisk er forbode i Noreg.
Gjennom implementeringa av EUs vassdirektiv har Noreg definert framande fiskearter som ein negativ miljøpåverknad. Miljødirektoratet, i samarbeid med relevante sektormyndigheiter, skal som oppfølging av Meld. St. 14 (2015 – 2016) Natur for livet lage ein prioritert tiltaksplan for kamp mot skadelege framande organismar. I tiltaksplanen er det foreslått å utarbeide ei nasjonal tilråding knytt til kva vassførekomstar som bør prioriterast høgast for tiltak mot framande skadelege ferskvassorganismar i perioden 2018 – 2023.
I mange tilfelle vil det vere mogleg å stanse spreiinga ved å utrydde bestandane av framande fiskeslag i vassdrag som kan fungere som kjelde for vidare spreiing. Informasjonstiltak i område der framande fiskeslag finst, eller i område der det er risiko for introduksjon av nye fiskearter for eksempel ved bruk av levande agn, er også blant tiltaka som vil bli vurderte. Tilrådingane om kva tiltak som skal prioriterast høgast vil følgje inndelinga i ulike vassregionar (jf. vassforskrifta), og resultata frå denne arbeidspakken vil blant anna vere eit viktig grunnlag for neste generasjon vassforvaltningsplanar.
Det følgjer av NINA-rapport 1205 at det òg er viktig med tiltak for å hindre vidare spreiing når ein introduksjon først har skjedd. Dette vil i dei fleste tilfella bety at den nye bestanden bør fjernast dersom dette er praktisk mogleg. Rotenon er pr. i dag einaste effektive tiltak for å fjerne ei uønskt fiskeart i ferskvatn. Det er i seinare år utført fleire rotenonbehandlingar med slik målsetjing. Dette representerer ein betydeleg kostnad, avhengig av storleiken på lokaliteten og om det er innsjø eller elv. Rotenonbehandling i både elvestrekningar og innsjøar i Vefsnaregionen for å nedkjempe Gyrodatyclus salaris viser likevel at slike tiltak er praktisk gjennomførlege sjølv i store vassdrag. Innstallering av ulike typar fiskesperrer eller bygging av tersklar er òg aktuelle tiltak for å hindre vidare spreiing dersom utrydding ikkje er mogleg. Slike tiltak er blant anna knytte opp mot gjedde og ørekyt i enkelte lokalitetar i Telemark. I mange tilfelle vil det vere naudsynt å kombinere desse tiltaka med partiell rotenonbehandling.
Overvaking med sikte på å fange opp spreiing av fiskearter er komplisert fordi det er vanskeleg å observere endringar under vatn utan ein bevisst innsats for å registrere tilstanden. NINA har testa bruk av miljø-DNA med stor suksess i fleire innsjøar rundt Trondheim og på Hardangervidda. Dei konkluderer foreløpig med at påvising av framande arter via vassprøvar og DNA-analysar er eit godt, rimeleg og mindre arbeidskrevjande alternativ enn meir konvensjonelle metodar.
1.3.6 Formidling av kunnskap
I tillegg til oppmodingsvedtak nr. 405, ligg det føre ei rekkje fleirtalsmerknader om kunnskapsformidling i samband med Stortingets behandling av Meld. St. 14 (2015 – 2016) Natur for livet og statsbudsjetta for 2016 og 2017. I Innst. 294 S (2015 – 2016) meiner eit fleirtal i energi- og miljøkomiteen at formidling av relevant kunnskap om villaksen må styrkjast og bli meir tilgjengeleg. I Innst. 9 S (2015 – 2016) nemner eit flertal i energi- og miljøkomiteen at det er fleire kunnskapsmiljø som er etablerte eller er i planleggingsfasen for å etablere laksesenter. Eit anna fleirtal viser til at det er ei rekkje ulike miljø som er gode leverandørar av kunnskap om laksebestanden og laksefiske, og meiner det er behov for å samordne og styrkje kunnskap om korleis det kan leggjast betre til rette for berekraftig forvaltning av villaksen. I Innst. 9 S (2016 – 2017) viser eit fleirtal i energi- og miljøkomiteen til at det finst villreinsenter og ber regjeringa medverke til å få på plass ein tilsvarande modell for villakssenter. Som allereie nemnt, vart det i statsbudsjettet for 2017 òg løyvd midlar til å etablere ein samarbeidsarena for laks i Tana.
I tida framover blir det viktig å syte for at kunnskapen om dei anadrome laksefiskane i større grad blir gjort kjent og blir brukt ved avgjersler som kan få betydning for vill anadrom laksefisk. Ein viktig del av dette er å støtte opp om dei mange ulike miljøa over heile landet som er gode leverandørar av kunnskap om laks og laksefiske. I det følgjande blir nokre relevante tiltak gjennomgått.
Styrkje eksisterande formidlingskanalar
Som nemnt skal Miljødirektoratet systematisere og formidle kunnskap om anadrom laksefisk på ein lett forståeleg måte og vere den beste kjelda til slik kunnskap. Det er viktig at kunnskapen direktoratet genererer og systematiserer blir formidla til avggjerdstakarar og samfunnet elles. Informasjonsformidlinga på nettstaden «Villaksportalen» som er driven av Miljødirektoratet kan utviklast vidare og gjerast meir kjent.
Som nemnt finst det òg tilskot til formidling i regi av ei rekkje organisasjonar. Denne aktiviteten kan utviklast vidare og styrkjast for å spreie kunnskap om dei anadrome laksefiskane og påverknader som ulike aktivitetar og tiltak i samfunnet kan ha på dei.
Vitskapleg råd for lakseforvaltning (VRL) er det viktigaste faglege rådgivingsorganet for forvaltning av villaks og utarbeider årleg rapportar med forvaltningsrelevant kunnskap og tilrådingar. Det er behov for å styrkje innsatsen med å formidle denne kunnskapen. Miljødirektoratet har gitt VRL i oppdrag å utarbeide forslag til korleis VRLs formidlingsarbeid kan styrkjast.
Styrking av desse formidlingskanalane vil medføre økonomiske kostnader innanfor Miljødirektoratets årlege budsjett. Departementet meiner at nytteverknaden av å styrkje eksisterande formidlingskanalar er stor i høve til kostnadene.
Kompetanseløft for lokal forvaltning
Lokal forvaltning av anadrom laksefisk har blitt styrkt gjennom ei årrekke, sist gjennom innføring av krav til pliktig rettshavarorganisering. Grunneigarlag og i nokre samanhengar sportsfiskeforeiningar utgjer det leddet som er nærast til å forvalte villfisken lokalt i vassdraga. Det er av stor betydning at deira verksemd er kunnskapsbasert. Norske Lakseelver og Noregs jeger- og fiskarforbund har vore viktige samarbeidspartnarar i omlegginga til ei meir lokal forvaltning, blant anna gjennom rettleiing og kurstilbod. Miljødirektoratet meiner det no er behov for eit meir systematisk kompetanseløft, og tilrår at dette blir gjennomført i regi av Norske lakseelver. Miljødirektoratet meiner det òg er viktig å forsterke samarbeidet med organisasjonane på brukarsida, særleg Noregs jeger- og fiskarforbund, med sikte på å auke kompetansen om dei anadrome laksefiskane blant fiskarane.
Departementet meiner at nytteverknaden av eit kompetanseløft for lokal forvaltning er stor. Eit slikt tiltak vil medføre økonomiske kostnader innanfor Miljødirektoratets budsjett. Ei samla vurdering av tiltaket bør gjerast etter at kostnadene er vurderte konkret i budsjettsamanheng.
Laksesenter
Klima- og miljødepartementet har ei tilskotsordning for besøkssenter. Desse besøkssentra skal vere spydspissar i kvalitetsformidling av kunnskap om natur til lokalbefolkning og tilreisande, spesielt barn og unge. Frå budsjettets kapittel 1420 post 85 vil det i 2018 gå 4,177 mill. kroner til formidling om villaks. Tre mill. kroner av dette går til møteplass for Tanavassdraget. Dei resterande 1,177 mill. kroner vil i 2018 etter søknad bli tildelt dei ulike organisasjonane som formidlar kunnskap om villaks. Tildelingskriteriet på posten er at både autoriserte senter, andre som arbeider med naturinformasjon (for eksempel museum og stiftelsar) og senter som ikkje er autoriserte, kan søkje om tilskot til utstillingar og informasjonstiltak. Det meste av midlane på denne posten går elles til autoriserte besøkssenter som har ei avtale direkte mellom Miljødirektoratet og det enkelte fysiske besøkssenteret. Innanfor dei budsjettrammene Klima- og miljødepartementet disponerer finn departementet ikkje rom for å opne opp for søknader om å bli autoriserte villakssenter, då det i så fall berre vil vere midlar til eitt enkelt senter/ein aktør.
Frå enkelte hald har det vore fremja ønskje om å etablere ei administrativ overbygging for fleire laksesenter i landet. Forslag om at staten medverkar til ei slik etablering har vore vurdert av departementet tidlegare. Som nemnt framme (jf. kap. 1.2.8) konkluderte departementet då med at ein ikkje ville gå inn for nyetableringar etter ein slik organisasjonsmodell. Departementet held fast ved denne vurderinga. Mellom anna meiner departementet at ein slik overbygnad inneber eit unødvendig mellomledd mellom myndigheitene og dei enkelte sentra. I tillegg er rolle og oppgåver ikkje tydeleg avgrensa mot eksisterande aktørar. Det er òg uvisst om ei slik etablering vil utgjere ein meirverdi for villaksen. I det vidare arbeidet med formidling av kunnskap om anadrom laksefisk vil departementet derfor ikkje prioritere eit slikt tiltak.
1.3.7 Oppsummering av tiltak
Vidareføring av iverksette tiltak:
Gjennomføre tiltaksplan for utrydding av lakseparasitten G. salaris
Gjennomføre bevarings- og reetableringtiltak i vassdrag infisert av G. salaris ved bruk av «levande» genbank og framleis nytte «frosen» genbank som eit verkemiddel for å sikre det genetiske mangfaldet i lakse- og sjøaurebestandane
Gjennomføre tiltaksplan for kalking av vassdrag
Følgje opp Kvalitetsnorm for villaks og utarbeide tiltaksplan for vill anadrom laksefisk
Følgje opp evalueringa av ordninga med nasjonale laksevassdrag og laksefjordar
Fiskereguleringar:
Avklare viktige vegval for regulering av laksefisket i framtida
Følgje opp avtala med Finland om fisket i Tanavassdraget
Tiltak mot ulovleg fiske:
Styrkje innsatsen mot ulovleg fiske, spesielt i sjøen
Fisketrapper:
Medverke til å avklare eigarforhold og vedlikehaldsansvar for viktige fisketrapper
Tiltak mot forureining:
Følgje opp forureinande utslepp gjennom vassforvaltningsplanane, gjennom oppfølging av anna regelverk eller gjennom andre prosessar
Tiltak mot framande fiskearter:
Styrkje overvaking av framande ferskvassfisk, og få på plass eit overvakingssystem som oppdagar nye førekomstar av ferskvassfisk tidlegast mogleg for å setje inn effektive tiltak mot slike uønskte etableringar
Styrkje oppsyn og informasjon om regelverk og konsekvensar av spreiing og ulovleg bruk av levande agn
Utvikle ei tidleg varslingsteneste f. eks. ved bruk av brukarvennlege web-baserte løysingar. Vurdere auka bruk av miljø-DNA som metode for å påvise framande ferskvassfisk i vatn og vassdrag
Auke innsatsen på overvaking og utfisking av regnbogeaure og pukkellaks
Utarbeide ei nasjonal tilråding knytt til kva slag vassførekomstar som bør prioriterast høgast for tiltak mot framande skadelege ferskvassorganismar i perioden 2018 – 2023, som del av arbeidet med tiltaksplan for kampen mot skadelege framande organismar.
Formidling av kunnskap:
Styrkje eksisterande formidlingskanalar
Vurdere eit kompetanseløft for lokal forvaltning