Del 2
Resultatrapportering

3 Prinsipper for resultatrapportering

3.1 Prinsipper for resultatrapportering

3.1.1 Generelt

I St.meld.nr.23 (1992-93) «Om forholdet mellom staten og kommunene» blir retningslinjene for resultatrapporteringen mellom staten og kommunene trukket opp. For at staten skal kunne ivareta det overordnede ansvaret overfor kommunesektoren er det en forutsetning med løpende tilbakemelding om utviklingen i kommunene. Meldingen legger derfor vekt på at det utvikles enhetlig og samlet informasjon om effekten av statens politikk, både innen økonomi og tjenesteyting.

I Innst.S nr.156 (1992-93) til meldingen uttalte Kommunalkomiteen bl.a:

«Komiteen har merket seg at Regjeringen vil arbeide med å videreutvikle og systematisere et rapporteringssystem som blir rettet mot Regjering og Storting når det gjelder behandling av kommuneopplegget. Komiteen ser positivt på dette.»

Kommuneøkonomiproposisjonen er etter departementets syn et egnet dokument for å gi en samlet tilbakerapportering til Stortinget om utviklingen på sentrale områder i kommunesektoren. I de årlige kommuneøkonomiproposisjonene for 1995, 96 og 97 er dette arbeidet fulgt opp gjennom økt vektlegging av resultatinformasjon og komiteen ga i Innst.S.nr.196 (1993-94) denne merknaden til det oppstartede arbeidet:

«Komiteens flertall, alle unntatt medlemmer fra Høyre, har merket seg at den foreliggende proposisjonen har fått et oversiktlig og helhetlig preg. Flertallet finner det positivt at det er gitt en bred presentasjon av økonomiske nøkkeltall og indikatorer for utviklingen i kommunesektoren.

Komiteen vil uttrykke tilfredshet med denne type rapportering, og vil anmode departementet om å følge opp dette videre gjennom årlige ajourføring av de tabeller som nå ligger i proposisjonen. Komiteen ber om at departementet også belyser nye og andre tjenesteområde på tilsvarende måte i senere kommuneøkonomiproposisjoner.»

De overordnede statlige målene for kommuneforvaltningen er generelt utformet. I et desentralisert politisk system er dette både naturlig og nødvendig. Gjennom resultatrapportering kan en derfor vanskelig si noe eksakt om oppfyllelse av disse målene. Intensjonen er snarere å belyse utviklingen i kommunene i forhold til sentrale målsetninger. Den resultatinformasjonen som departementet pr. i dag ser som hensiktsmessig og mulig å framlegge er i den foreliggende proposisjonenen samlet i del 2. I kapittel 4 og 5 presenteres nøkkeltall både for økonomi og tjenesteyting, og framstillingen er bygget på samme lest som de siste års kommuneøkonomiproposisjoner. Departementet arbeider aktivt med å forbedre og videreutvikle informasjon til bruk i senere års proposisjoner. I dette arbeidet står KOSTRA prosjektet (KOmmune-STat-Rapportering) sentralt. Siktemålet med KOSTRA er å utvikle et rapporteringsopplegg for å forbedre styringsinformasjonen om kommunenes prioriteringer, produktivitet og dekningsgrader. Helt sentralt står målet om mer sammenlignbar informasjon om kostnader og tjenesteproduksjon i kommunene. I tilknytning til utvikling av dette rapporteringsopplegget vil Regjeringen nedsette et samordningsråd for rapportering og utveksling av data mellom kommunesektoren og staten. Strategi for den framtidige rapporteringen omtales nærmere i avsnitt 3.2. I kapittel 6 og 7 omtales spesialanalyser og særskilte tema knyttet til resultatrapportering.

3.1.2 Utviklingen i kommunesektoren i forhold til sentrale mål

I St.meld nr. 23 (1992-93) er det lagt til grunn fem hovedmål for statlig styring:

  • Behovet for ei likeverdig fordeling av goder mellom individ, samfunnsgrupper og mellom ulike geografiske områder.

  • Omsynet til nasjonaløkonomien.

  • Rettstryggleik.

  • Omsynet til ei samordna og omstillingsorientert forvaltning.

  • Omsynet til ei berekraftig utvikling.

I tillegg legges det stor vekt på verdien av et kommunalt selvstyre, knyttet til begrepene frihet, effektivitet og demokrati/deltagelse. Departementet tenker seg tilbakerapportering knyttet til statens hovedmål for kommuneforvaltningen.

Utviklingen i kommunesektoren i forhold til disse målene kan illustreres ved figuren under:

Figur 3.1 

Figur 3.1

Tjenesteyting og velferd

Statens mål om en omstillingsorientert forvaltning er blant annet knyttet til sammenhengen mellom ressursinnsats og tjenesteyting i kommunene. Gjennom inntektssystemet er det lagt til rette for at kommunene kan prioritere i tråd med lokale behov og ønsker. All kommunal tjenesteyting kan begrunnes i en målsetning om økt velferd. I hvilken grad en økning av ressursinnsatsen på et område gir et bedre tilbud. er blant annet avhengig av hvor godt tjenesteytingen er organisert og om tilbudet er i tråd med mottagerens preferanser.

Kommunenes og fylkeskommunenes ressursinnsats på de forskjellige områdene er knyttet til egne ansatte og til kjøp av varer eller tjenester fra private. Størrelsen og variasjonen i ressursinnsatsen kommunene imellom kan forklares ved:

  • ulikhet i behov for kommunale tjenester

  • organisering og politiske prioriteringer

  • inntektsrammer

Ulikhet i behov og strukturelle forhold

Etterspørsel etter tjenester varierer kommunene imellom på grunn av en rekke forhold. Den viktigste årsaken til ulikheter i etterspørselen har imidlertid sammenheng med forskjeller i alderssammensetningen. De kommunale velferdstjenestene er i stor grad knyttet til ulike faser i innbyggernes liv. f.eks. barnehageplass. skoleplass og eldreomsorg. Andre forhold som kan gi ulikt behov for tjenester i kommunene er f.eks. utdanningsnivå. muligheter for omsorgstjenester fra familie og venner. situasjonen i det lokale arbeidsmarkedet og graden av sykelighet. Strukturelle forhold som ulikheter i bosettingsmønsteret vil også kunne påvirke størrelsen av den ressursinnsats som er nødvendig for å yte et likeverdig tjenestetilbud. Det beste eksemplet her er klassestørrelse i grunnskolen. Det er begrenset hvor langt et barn bør reise for å få et skoletilbud. og kommuner med lange reiseavstander vil derfor i hovedsak ha mindre klasser og tilsvarende flere lærertimer pr. barn enn i tettbodde kommuner.

Organisering og politiske prioriteringer

Organisatoriske forhold vil på ulike måter ha betydning for ressursinnsatsen. Først og fremst om tjensteproduksjonen er lagt opp slik at moderne teknologi og arbeidsmetoder blir brukt. samtidig som produksjonen er brukerorientert. Kommunenes egne prioriteringer vil også styre hvor mye ressurser som brukes på de ulike sektorer. Selv om lovverket setter rammer for tjenesteproduksjonen. har kommunene i prinsippet stor frihet til selv å prioritere mellom områder. Kommunale prioriteringer vil både være et uttrykk for befolkningens behov for tjenester. og for partipolitiske valg.

Inntektsrammer

Kommunenes og fylkeskommunenes inntektsrammer bestemmes langt på vei av Regjering og Storting. I de årlige stats- og nasjonalbudsjettene fastsettes en samlet ramme for sektorens inntekter i forhold til nasjonaløkonomiske hensyn og til målsetninger for tjenesteproduksjonen. Over tid vil kommuner og fylkeskommuner ha som budsjettbetingelse at utgiftene ikke kan overstige inntektene. De enkelte kommunenes inntekter utgjøres i all hovedsak av overføringer og skatteinntekter. Overføringene gjennom inntektssystemet gjenspeiler at ressursinnsatsen i kommunene bør variere på grunn av ulikheter i behov og strukturelle forhold. I tillegg er det til dels betydelige variasjoner i inntektene på grunn av ulikheter i skattegrunnlaget og i hvilken grad de klarer å nyttiggjøre seg øremerkede tilskudd.

Presentasjon av nøkkeltall

a) Presentasjon av finansielle størrelser

Kommunal- og arbeidsdepartementet legger stor vekt på gjennom indikatorer og nøkkeltall å gi et helhetlig og oversiktlig bilde av utviklingen i kommuneøkonomien. Foruten i kommuneøkonomiproposisjonen gis det i de tre årlige rapportene fra Det tekniske beregningsutvalget for kommunal og fylkeskommunal økonomi et fyldig bilde av den økonomiske utviklingen og sektorens plass i økonomien.

I stor grad viser de oversikter som er laget over kommunesektorens finansielle situasjon. utviklingen for kommuner og for fylkeskommuner under ett. Variasjonene kommunene i mellom er imidlertid tildels betydelig. derfor er det i økende grad lagt vekt på å vise tall for enkeltkommuner/fylkeskommuner eller for grupper av kommuner.

b) Kommunal tjenesteyting og velferd

Måling av produksjonen og ressursforbruket i offentlig forvaltning er problematisk. De største problemene er knyttet til måling av produksjonen eller verdiskapningen. I tillegg varierer det tilgjengelige datamaterialet fra sektor til sektor. Generelt er de tilgjengelige indikatorene enkle og må tolkes med tilsvarende varsomhet. Spesielt vet vi pr. i dag lite om i hvilken grad tjenesteytingen gjenspeiler befolkningens behov. ønsker og preferanser.

Produksjonen er i denne proposisjonen målt i enkle volummål som antall plasser eller antall brukere av en tjeneste. Produksjonen måles derfor i snever forstand uten at det foretas kvalitative vurderinger av innhold i tjenestene. Dette betyr at en må være forsiktig ved sammenligninger kommunene i mellom. Pr. i dag er det lite hensiktsmessig å måle ressursinnsatsen gjennom regnskapstall. For å se på de mer kvalitative sidene ved tjenesteytingen er det sett på ressursinnsats målt i årsverk pr. plass. Hvis både produksjonen målt i antall plasser og ressursinnsatsen pr. plass har økt. kan dette være en indikasjon på økt verdiskapning og økt velferd. Imidlertid kan økt ressursinnsats pr. enhet også innebære lavere produktivitet. Med andre ord. tjenesten blir dyrere å produsere uten at den er blitt forbedret. For å måle sammenhenger mellom innbyggernes velferd og endringer i den kommunale tjenesteproduksjonen kan brukerundersøkelser være en god tilnærmingsmåte.

3.2 Strategi for framtidig rapportering

Som en direkte oppfølging av Stortingsmeldingen «Om forholdet mellom staten og kommunene» (St.meld. nr. 23 (1992-93) igangsatte Kommunaldepartementet et utviklingsprosjekt knyttet til rapportering og utveksling av data mellom kommunesektoren og staten (KOSTRA-prosjektet). Siktemålet med utviklingsarbeidet er å utvikle en tverrgående og samordnet kjede for rapportering av økonomi- og tjenestedata mellom kommunene og staten som gir grunnlag for bedre sammenligninger og analyser enn dagens rapportering gir.

3.2.1 Bakgrunn

KOSTRA - KOmmune- STat - RApportering - er et prosjekt med et to-sidig siktemål:

  1. I)

    å frambringe relevant. pålitelig og sammenlignbar styringsinformasjon om kommunenes prioriteringer. produktivitet og dekningsgrader.

  2. II)

    å samordne og effektivisere rutinene og løsningene for datautveksling og forvaltning av data. slik at statlige og kommunale myndigheter sikres rask og rasjonell tilgang til data.

Den informasjon om kommunal økonomi og tjenesteproduksjon som i dag hentes inn fra kommunene. er fra sentralt hold lite samordnet. Dette krever en gjennomgang og tilpasning av gjeldende rapporteringsordninger og -rutiner. Et viktig siktemål med prosjektet er å foreta en slik gjennomgang med sikte på en bedre samordning. Ansvaret for rapporteringsordningene er fordelt mellom flere departementer. I prosjektet skal samordning skje i et samarbeid mellom relevante departementer.

Den informasjon om kommunal tjenesteproduksjon som i dag sammenstilles og publiseres er i begrenset grad egnet for sammenligninger mellom kommuner. Som nevnt i avsnitt 3.1 er det pr. i dag lite hensiktsmessig å måle ressursinnsatsen gjennom regnskapstall. Innenfor sentrale tjenesteområder som undervisning og pleie og omsorg kan det derfor ikke presenteres sammenlignbar informasjon mellom kommuner mht. prioritering av økonomiske ressurser i forhold til relevante målgrupper for tjenestene. eller størrelsen på tjenestetilbudet sett i forhold til de økonomiske ressurser som settes inn. I prosjektet er det derfor et mål å samle informasjon for å kunne foreta bedre beskrivelser og sammenligninger mellom kommuner. Dette betyr at kommunenes kontoplan for ekstern rapportering i større grad bør innrettes ut fra de behov de kommunale tjenestene skal dekke.

Dagens rapporteringsordninger gjelder i stor grad beskrivelse av aktivitet innenfor en avgrenset periode (normalt ett år). Det er et betydelig problem at det i dag kan gå over ett år fra utløpet av denne perioden fram til data for perioden er sammenstilt for kommuner. Prosjektet har også hatt som formål å foreslå tiltak for å effektivisere rutinene for utveksling av data mellom forvaltningsnivåene. I forslagene ligger elektronisk datafangst. moderne bearbeiding samt tilbakeføring og formidling gjennom logiske elektroniske nett.

3.2.2 Status i arbeidet med KOSTRA

Det er i prosjektet valgt en skrittvis framrykking. I 1996 har en prøvd ut en ny regnskapskontoplan for tjenesteområdene undervisning. helsevern. sosiale tjenester og pleie og omsorg. Det er i denne sammenheng også tatt et første skritt i retning av en tilpasning av tjenesterapporteringen hvor 22 skjemaer som i dag sendes Statistisk sentralbyrå (SSB) er integrert med regnskapsrapporteringen. Arbeidet har vært knyttet til fire kommuner - Fredrikstad. Frogn. Porsanger og Rindal. SSB har i samarbeid med Statskonsult hatt ansvar for dette pilotprosjektet som avsluttes med en evaluering i mai 1997. Etter Kommunal- og arbeidsdepartementets oppfatning er erfaringene fra pilotforsøkene positive. Prosjektet har satt et fokus på informasjon som har blitt oppfattet meningsfullt av de fire pilotkommunene. Dette medfører at de data kommunene har rapportert har fått en høyere pålitelighet. Den struktur på rapporteringen som er testet ut i pilotkommunene i 1996 er i tillegg oppfattet som meningsfull både blant kommunene selv og på statlig side.

De fire pilotkommunene er svært ulike hva gjelder størrelse. befolkningssammensetning osv. Dette medfører at de i beskjeden grad er sammenlignbare. noe som gjør en vurdering av relevans vanskelig så vel som for kommunene selv som for departementene. Kommunal- og arbeidsdepartementet ønsker derfor at minst 50 kommuner for regnskapsåret 1998 tar i bruk den kontoplanen som er utviklet i forsøket. samt den tilpassede tjenesterapporteringen.

Målet er nye regnskapsforskrifter og tilpasning av tjenesterapporteringen for alle kommuner i år 2000.

Parallelt med utprøvingen av ny regnskapskontoplan og tjenesterapportering har det pågått et IT-prosjekt som har hatt som formål å utarbeide en demonstratorløsning for elektronisk rapportering mellom stat og kommune. etablering av mottaksdatabase og tilbakeføringsdatabase med foreløpige og bearbeidede data. Statskonsult har vært ansvarlig for IT-prosjektet. men i nær dialog med SSB. NIT/IBM - Norsk Informasjonsteknologi - har vært engasjert til å gjennomføre prosjektet.

Det tas i 1998 sikte på å gjennomføre et pilotforsøk for fylkeskommuner tilsvarende det prosjekt som er gjennomført i de fire pilotkommunene i 1996. Departementet ser det som naturlig at det utviklingsarbeid som skjer innenfor feltet datarapportering og datautveksling omfatter kommunesektoren samlet.

3.2.3 Samordningsråd for rapportering og utveksling av data mellom kommunesektoren og staten

Utvikling av rapporteringsordninger for økonomi- og tjenestedata har i stor grad funnet sted innenfor den enkelte tjenestesektor basert på «skreddersømprinsippet» hvor sektorens behov for informasjon som er spesifikk for sektoren er prioritert. Dette har medført at behovet for å kunne relatere informasjonen til øvrige tjenesteområder og til økonomisk informasjon (regnskapsrapporteringen) har blitt prioritert lavt. I det videre utviklingsarbeid må en se innsatsen og tjenestetilbudet på de ulike tjenesteområder i sammenheng. Etter Regjeringens oppfatning kan målet om en samordning av økonomi- og tjenesterapporteringen best nås gjennom et samarbeid mellom ansvarlige departementer. andre statsetater. kommunesektoren og de(n) sentrale informasjonsressurs- forvalter(e). En har sett det som hensiktsmessig at et slikt samarbeid får en formell forankring. og Regjeringen har derfor bestemt at det skal opprettes et samordningsråd for området informasjonsutveksling mellom forvaltningsnivåene.

Rådets mandat vil være å samordne eksisterende og nye rapporteringsordninger . Rådet vil få seg forelagt forslag til endringer i eksisterende ordninger samt nye forslag. men vil selv også kunne ta initiativ med sikte på nødvendige endringer og tilpasninger. Det er ikke foreslått å tillegge rådet beslutningsmyndighet. slik at det formelle ansvaret for den enkelte ordning fortsatt vil ligge i det enkelte departement. direktorat mv.

3.3 Generell gjennomgang av resultatrapporteringsdelen

Alt som temamessig berører resultatrapportering er i foreliggende proposisjon samlet i del II i kapitlene 3-7. I kapittel 3 omtales prinsipper for resultatrapportering og strategi for framtidig rapportering. I kapittel 4 vises økonomiske nøkkeltall. i kapittel 5 indikatorer for tjenesteyting og i kapittel 6 og 7 omtales variasjoner i kommunal organisering og rapportering fra fylkesmannsembetene. I kapittel 8 er det gitt en orientering om frikommuneforsøket i Kautokeino.

I kapittel 4.2. 4.3 og 4.4 beskrives den økonomiske utviklingen i kommunene og fylkeskommunene samlet. Gjennom ulike indikatorer vises kommunesektorens plass i norsk økonomi og aktivitetsutviklingen fra 1990 til 1996.

Fra 1993 har aktivitetsutviklingen i kommunesektoren vært svakere enn utviklingen i BNP. I 1996 var aktivitetsveksten i kommunesektoren 2.6 prosent. Ved siden av vekst i sysselsettingen var det fra 1995 til 1996 en betydelig vekst i bruttoinvesteringene. I faste priser økte bruttoinvesteringene med 7.7 prosent.

Kommunesektorens løpende inntekter økte med 5.2 prosent fra 1995 til 1996. Skatteveksten i 1996 anslås til 6.4 prosent for kommunesektoren samlet.

Foreløpige tall for 1996 viser at kommunesektoren i 1996 hadde et underskudd før lånetransaksjoner på 2.6 milliarder kroner mot 0.6 milliarder i 1995. Økningen i underskudd skyldes i stor grad økte kapitalutgifter. bl.a som følge av grunnskolereformen.

I kapittel 4.5 vises utviklingen i frie inntekter (skatt og rammetilskudd) fra 1985 til 1996 for den enkelte kommune og fylkeskommune. For å få sammenlignbare tall er inntektsutviklingen korrigert for oppgave- og regelendringer som forutsettes finansiert gjennom inntektssystemet. Med andre ord er rammetilskuddet til den enkelte kommune beregnet som om de hadde de samme oppgaver i hele perioden. For perioden 1985 - 96 var den gjennomsnittlige veksten i frie inntekter 4.6 prosent for fylkeskommunene. mens kommunene utenom Oslo hadde en årlig gjennomsnittlig vekst på 4.3 prosent. Oslo hadde en vekst på 4.2 prosent.

I kapittel 4.6 er det gjennom regnskapstall for 1996 gitt en beskrivelse av nivå og forskjeller i fylkeskommunenes finansielle situasjon. I likhet med tidligere år tas det utgangspunkt i netto driftsresultat. netto renter og avdrag. brutto investeringsutgifter . netto lånegjeld. korrigert kontantbeholdning og akkumulert regnskapsresultat. Det var en klar bedring i den finansielle situasjonen i de fleste fylkeskommunene fra 1994 til 1995. De foreløpige regnskapstallene viser imidlertid at denne bedringen ikke er videreført i 1996. og en samlet vurdering tyder på mindre økonomisk handlefrihet i fylkeskommunene i 1996 enn i 1995.

Til tross for lavere rente og avdragsbelastning er netto driftsresultat klart svakere i 1996 enn i 1995 med en samlet reduksjon fra 3.1 prosent til 1.9 prosent.

I kapittel 4.7 er det gitt en gjennomgang av kommunenes økonomiske situasjon på grunnlag av regnskapstall for 1995. Finansielle indikatorer for kommunene på grunnlag av foreløpige 1996-tall vil bli presentert i juni-rapporten fra det Det tekniske beregningsutvalget for kommunal og fylkeskommunal økonomi.

I kapittel 5 vises utviklingen i den kommunale og fylkeskommunale tjenesteproduksjonen. Det vises indikatorer for disse sektorene: barnehager. grunnskole. helsetjenester. pleie- og omsorgstjenester. sosialhjelp. videregående skoler og fylkeskommunale helsetjenester. Indikatorene er i hovedsak basert på tall fra 1995. Det er fokusert på enkle indikatorer som utviklingen i antall plasser. dekningsgrader og ressursinnsats pr. plass. Utviklingen er generelt positiv innen de fleste tjenesteområder.

Nøkkeltallene i avsnitt 5.3 som omhandler kommunal tjenesteproduksjon. viser at antallet barnehageplasser nærmest er tredoblet fra 1980 til 1995. I 1995 hadde 59 prosent av 1-6-åringene et tilbud i barnehage eller skole. Elevtallet i grunnskolen øker. noe som innebærer et økende klassetall. Imidlertid har årsverksinnsatsen pr klasse vært konstant fra 93 til 96. som innebærer at den samlede ressursinnsatsen har økt. I perioden 1987-95 har helsestasjons- og skolehelsetjenesten hatt en vekst i antall årsverk på om lag 50 prosent. Innen pleie- og omsorgssektoren har ressursinnsatsen økt med 18 prosent fra 1991 til 1995. Fra 1995 til 1996 økte ressursinnsatsen med om lag 1 prosent. Antallet mottagere av hjemmetjenester og antall plasser i institusjoner og andre boformer for eldre har gått ned fra 1991 til 1995. Standard i institusjonene. målt som andel enerom. har imidlertid hatt en jevn vekst fra 1991 til 1995. Kommuner med de høyeste inntektene har relativt flest enerom. Den sterke veksten som startet på 1980-tallet i antallet som mottar økonomisk sosialhjelp har stoppet opp. Korrigert for befolkningsveksten var antallet mottakere i 1995 på samme nivå som i 1990.

Nøkkeltallene som presenteres i avsnitt 5.4 som omhandler fylkeskommunal tjenesteyting. viser at antallet utskrivninger av heldøgnspasienter fra somatiske sykehus økte med 23 000 fra 1992 til 1995. Siden antallet polikliniske konsultasjoner økte sterkt i samme periode. har den samlede behandlingskapasiteten blitt styrket. I 1995 benyttet 97 prosent av avgangskullet fra ungdomsskolen retten til videregående opplæring samme høst. I skoleåret 1996/97 hadde 7 fylkeskommuner et omfang på videregående opplæring på over 375 prosent av et gjennomsnittlig avgangskull.

Nøkkeltallene både i avsnitt 5.3 og 5.4 viser til dels klare forskjeller kommunene imellom både når det gjelder dekningsgrader og ressursinnsats pr bruker. I avsnitt 5.3.6 og vedlegg 4 vises dekningsgrader og ressursinnsats innen sentrale tjenester for kommuner som er sammenlignbare langs flere dimensjoner. Resultatmålene innenfor samme gruppe av kommuner er til dels meget varierende. og det blir indikert at dette har sammenheng med inntektsforskjeller.

I avsnitt 5.5 omtales en rapport fra en arbeidsgruppe. betående av medlemmer fra Kommunal- og arbeidsdepartementet og fylkesmannsembetene. der det blir foreslått en felles minimumsstandard for indikatorer for tjenesteyting.

I avsnitt 5.6 redegjøres det for samarbeidet mellom Kommunenes Sentralforbund og departementet om kvalitetsutvikling i kommunesektoren.

I kapittel 6 omtales en organisasjonsdatabase som er utviklet på NIBR for Kommunal- og arbeidsdepartementet. Databasen skal oppdateres i hver valgperiode med dertil omtale i kommuneøkonomiproposisjonen. Det presenteres utvalgte nøkkeltall for bl.a. politisk organisering. organisering av tjenesteproduksjon og forretningspreget virksomhet samt brukerinnflytelse.

På linje med fjorårets kommuneøkonomiproposisjon omtales i kapittel 7 rapportering fra fylkesmannsembetene. Det er foretatt:

  • kontroll med kommunale budsjettvedtak

  • godkjenning av låneopptak

  • godkjenning av garantier

  • lovlighetskontroll etter kommunelovens § 59

  • behandling av forvaltningsklage etter forvaltningsloven § 28-2

4 Hovedtrekk ved utviklingen i kommuneøkonomien 1992-1996

4.1 Sammendrag

I kapittel 4 gjennomgås hovedtrekk ved utviklingen i kommuneøkonomien fra 1992 til 1996. Det blir vist generelle utviklingstrekk målt ved aktivitetsutvikling. indikatorer for kommunesektorens plass i norsk økonomi og utvikling i kommuneforvaltningens overskudd og gjeldsbelastning. Videre blir det gitt en gjennomgang av utviklingen i kommunesektorens utgifter. inntekter og frie inntekter.

Med bakgrunn i regnskapstall fra 1996 blir det gitt en beskrivelse av nivå og forskjeller i fylkeskommunenes finansielle situasjon. For kommunene gjennomgås den finansielle situasjonen med bakgrunn i regnskapstall fra 1995.

Generelle utviklingstrekk

Kommuneforvaltningens aktivitetsutvikling var kraftigere enn aktivitetsutviklingen i BNP for fastlands-Norge i perioden 1989-92. men var svakere fra 1993 til 1996. Aktivitetsveksten for kommuneforvaltningen for 1996 utgjorde 2.6 prosent.

Kommuneforvaltningens bruttoprodukt i prosent av BNP utgjorde 10.9 prosent i 1996. noe som er en reduksjon på 0.3 prosentenheter i forhold til 1994. Kommuneforvaltningens utgifter i alt utgjorde 18.1 prosent av BNP. og viser en jevn nedgang fra 1989.

Den kommunale sysselsetting i prosent av sysselsettingen totalt har økt i perioden 1989-96 fra 16.6 til 19.2 prosent. Regnet i prosent av sysselsettingen i offentlig forvaltning økte den kommunale sysselsettingen i samme periode fra 68.8 til 71.7 prosent.

Kommuneforvaltningens nettogjeld har blitt redusert fra 1989 til 1996. Kommuneforvaltningen hadde i 1994 et overskudd før lånetransaksjoner på 2.4 prosent av løpende inntekter. men hadde i 1995 og 1996 et underskudd på hhv. 0.3 og 1.4 prosent. Økningen i underskuddet skyldes i stor grad økte kapitalkostnader.

Utgifter

Kommuneforvaltningens løpende utgifter økte med 5.2 prosent fra 1995 til 1996. I hovedsak skyldes denne utgiftsveksten at lønnskostnadene økte med 7.4 prosent fra 1995 til 1996. Lønnskostnadsveksten var sterkere for fylkeskommunene enn for kommunene ekskl. Oslo med hhv. 8.9 og 6.5 prosent. For Oslo var lønnskostnadsveksten 8.8 prosent.

Renteutgiftene gikk ned fra 1995 til 1996 med 7.0 prosent. mens kapitalutgiftene økte med 13.7 prosent.

Bruttoinvesteringene for kommunesektoren økte med 11.0 prosent fra 1995 til 1996. Dette er sterkere enn gjennomsnittlig årlig vekst i perioden 1992-96 på 7.0 prosent.

Nesten halvparten av kommunesektorens driftsutgifter går til helse- og sosialformål. mens en fjerdedel av utgiftene går til undervisningsformål. I alt ble det i 1995 brukt 76 milliarder kroner på helse- og sosialsektoren. og 44 milliarder kroner på undervisning.

Inntekter

Kommuneforvaltningens løpende inntekter økte fra 1995 til 1996 med 4.4 prosent. Gebyrinntektene økte med 5.3 prosent fra 1995 til 1996. mens renteinntektene gikk ned med 3.2 prosent.

Skatter i alt økte med 6.4 prosent fra 1995 til 1996. herav utgjorde veksten i skatt på inntekt og formue 6.3 prosent. Veksten i skatt på inntekt og formue var høyere i fylkeskommunene enn i kommunene ekskl. Oslo med hhv. 6.5 og 5.5 prosent. Oslo hadde en vekst på 8.7 prosent. Ser en bort fra de mest skatterike kommunene. har veksten kommet i kommunene med lavest skatteinntekter.

Overføringene fra staten økte med 2.1 prosent fra 1995 til 1996. Økningen i rammeoverføringene utgjorde 0.6 prosent. mens øremerkede overføringer innenfor kommuneopplegget økte med 10.2 prosent. I perioden 1988-96 hadde rammeoverføringene en årlig gjennomsnittlig vekst på 2.3 prosent. mens øremerkede overføringer innenfor kommuneopplegget hadde en gjennomsnittlig økning på hele 22.8 prosent.

Frie inntekter

For perioden 1985- 96 var den årlige gjennomsnittlige veksten i de frie inntektene (skatt + rammetilskudd) 4.6 prosent for fylkeskommunene. mens kommunene ekskl. Oslo hadde en gjennomsnittlig vekst på 4.3 prosent. Oslo kommune hadde i samme perioden en årlig gjennomsnittlig vekst på 4.2 prosent.

Finansiell situasjon

Fylkeskommunene

Det var en klar bedring i den økonomiske situasjonen for de fleste fylkeskommunene fra 1994 til 1995. Foreløpige regnskapstall for 1996 viser imidlertid at denne bedringen ikke er videreført i 1996. Netto driftsresultat samlet for alle fylkeskommunene er redusert fra 3.1 prosent i 1995 til 1.9 prosent i 1996. Samlet har brutto investeringsutgifter økt samtidig som den langsiktige gjelden har blitt redusert. Korrigert kontantbeholdning viser at fylkeskommunene samlet har noe dårligere likviditet i 1996 enn i 1995. Samlet er akkumulert overskudd redusert fra 0.9 prosent i 1995 til 0.2 prosent i 1996.

Kommunene

For kommunene samlet viste regnskapstall i 1995 en nedgang i netto driftsresultat. akkumulert overskudd og korrigert kontantbeholdning fra 1994 til 1995. Samtidig har bruttoinvesteringene og netto lånegjeld økt. mens rente og avdragsbelastningen ble noe redusert.

4.2 Generelle utviklingstrekk

I dette kapitlet gis en kortfattet beskrivelse av utviklingen i kommuneøkonomien for årene 1989-96. En mer omfattende beskrivelse blir gitt i junirapporten fra Det tekniske beregningsutvalg for kommunal og fylkeskommunal økonomi. Bruk av (*) i tabellene indikerer at regnskapstallene er foreløpige.

I figur 4.1 sammenlignes aktivitetsutviklingen i kommuneforvaltningen (kommuner og fylkeskommuner) med den generelle konjunkturutviklingen i Norge. angitt med veksten i BNP for fastlands-Norge (Brutto nasjonalprodukt for Norge med unntak av oljenæringer og utenriksfart). Som det framgår av figuren har utviklingen vært forskjellig i perioden 1988-96. Etter en nedgang i aktivitetsnivået både i kommuneforvaltningen og i BNP for fastlands-Norge i 1989. ble det igjen vekst i 1990. Veksten i BNP for fastlands-Norge var jevnt stigende i årene fram til 1994. for så å avta noe i 1995. Kommuneforvaltningens aktivitetssøkning var kraftigere enn økningen i BNP for fastlands-Norge fra 1989 til 1992. mens den var svakere enn økningen i BNP fra 1993 til 1996.

Figur 4.1 Aktivitetsutvikling i kommuneforvaltningen. utviklingen i bruttonasjonalprodukt for fastlands-Norge. prosentvis endring fra året før. 1989-96.

Figur 4.1 Aktivitetsutvikling i kommuneforvaltningen. utviklingen i bruttonasjonalprodukt for fastlands-Norge. prosentvis endring fra året før. 1989-96.

I tabell 4.1 er det vist noen indikatorer som illustrerer kommunesektorens plass i nasjonaløkonomien. Kommuneforvaltningens bruttoprodukt i prosent av BNP økte fra 10.7 prosent i 1989 til 11.2 prosent i 1994. Fra 1994 til 1996 gikk andelen tilbake og utgjorde 10.9 prosent i 1996. Når det gjelder utgifter i alt i prosent av BNP har disse gått jevnt tilbake i perioden 1989-96 fra 20.2 til 18.1 prosent. Bruttoinvesteringer i prosent av samlede investeringer økte fra 8.2 prosent i 1989 til 8.8 prosent i 1991. men ble så redusert til 8.0 prosent i 1994 for så å øke til 8.5 prosent i 1996.

Kommunal sysselsetting i prosent av sysselsetting i alle sektorer økte fra 1989 til 1994. men har fra 1994 holdt seg uforandret på 19.2 prosent. Den kommunal sysselsetting i prosent av sysselsetting i offentlig forvaltning har imidlertid økt jevnt i hele perioden. og var i 1996 på 71.7 prosent.

Tabell 4.1 Indikatorer for kommuneforvaltningens plass i norsk økonomi, 1989-96

1989199119941995*1996*
Bruttoprodukt i prosent av BNP1 )10,711,011,211,110,9
Utgifter i alt i prosent av BNP1 )20,219,819,018,718,1
Bruttoinvesteringer i prosent av samlede investeringer i fast realkapital8,28,88,08,28,5
Kommunal sysselsetting2 ) i prosent av:
sysselsetting for alle sektorer16,618,019,219,219,2
sysselsetting for offentlig forvaltning68,869,470,171,471,7

1) Brutto nasjonalprodukt

2) Sysselsetting målt i antall timeverk

For å måle aktiviteten i kommunesektoren brukes en indikator hvor sysselsetting målt i timeverk. produktinnsats og bruttoinvesteringer inngår som komponenter. Tabell 4.2 viser aktivitetsvekst i kommunesektoren for årene 1989-96. Etter en sterk vekst fra 1989 til 1991. gikk aktivitetsveksten fra 1991 til 1995 ned fra 5.5 til 1.7 prosent. men økte i 1996 til 2.6 prosent. Oppgangen fra 1995 til 1996 skyldes hovedsakelig vekst i bruttoinvesteringer.

Tabell 4.2 Aktivitetsvekst i kommuneforvaltningen i alt. Volumendringer i prosent fra året før. 1989-1996.

1989199019911992199319941995*1996*
Sysselsetting1)2 )0,52,33,53,62,71,80,72,4
Produktinnsats-2,02,98,85,31,51,92,10,7
Bruttoinvesteringer-6,1-9,49,51,0-2,34,46,77,7
Aktivitet-1,10,85,53,71,92,11,72,6

1) Økning i antall timeverk

2) Veksten er påvirket av arbeidsmarkedstiltak

I tabell 4.3 er det gjort anslag på hvordan den samlede aktivitetsveksten fra 1995 til 1996 fordeler seg på fire grupper av sektorer; undervisning. helse og sosial. vann og kloakk og andre tjenester. Aktivitetsveksten var sterkest i sektoren for vann og kloakk med 4.6 prosent. deretter fulgte helse- og sosialsektoren med en vekst 4.1 prosent. For undervisningssektoren lå aktivitetsveksten på 2.5 prosent i 1996.

Tabell 4.3 Aktivitetsutvikling i ulike deler av kommuneforvaltningen, prosentvis volumendring fra 1995 til 1996

AktivitetTimeverkProdukt-Bruttoreal-
i alti altinnsatsinvestering
Kommuneforvaltningen i alt2,62,40,77,7
Undervisning2,52,03,35,0
Helse og sosial4,12,82,722,1
Andre tjenester-0,51,8-1.8-4.5
Vann og kloakk4,60,5-0,111,0
Figur 4.2 Kommuneforvaltningen. overskudd før lånetransaksjoner og netto gjeldsutvikling 1989-96. prosent av løpende inntekter.

Figur 4.2 Kommuneforvaltningen. overskudd før lånetransaksjoner og netto gjeldsutvikling 1989-96. prosent av løpende inntekter.

Figur 4.2 viser utviklingen i kommunesektorens nettogjeld og overskudd før lånetransaksjoner for perioden 1989-96. Kommunesektorens nettogjeld utgjorde i 1989 35.6 prosent av de løpende inntektene. og steg i 1990 til 36.8 prosent for så å synke til 26.8 prosent i 1996. Underskudd før lånetransaksjoner utgjorde i 1989 4.6 prosent av de løpende inntektene. I 1994 ble underskuddet endret til overskudd. som utgjorde 2.4 prosent av de løpende inntektene. For 1995 og 1996 fikk kommuneforvaltningen igjen underskudd på hhv. 0.3 og 1.4 prosent av løpende inntekter.

4.3 Utgifter

Omtalen av utviklingen i kommunesektorens utgifter for 1996 i dette kapitlet bygger på de siste offisielle nasjonalregnskapstall fra Statistisk sentralbyrå. Til grunn for denne statistikken ligger foreløpige regnskapstall for alle fylkeskommuner og for Oslo kommune. Tallene for kommunene unntatt Oslo er basert på foreløpige oppgaver fra Kommunaløkonomisk informasjonsbank i Kommunenes Sentralforbund. Endelige regnskapstall for 1996 vil foreligge høsten 1997.

4.3.1 Utgifter i alt

Tabell 4.4 viser utgifter i kommuneforvaltningen for årene 1995-96. Fra 1995 til 1996 økte de løpende utgiftene med 5.2 prosent. I hovedsak skyldes utgiftsveksten at lønnskostnadene økte med 7.4 prosent fra 1995 til 1996.

Renteutgiftene gikk tilbake med 7.0 prosent fra 1995 til 1996. noe som skyldes det generelle fallet i rentenivået. Overføringer til private og overføringer til staten gikk opp med hhv. 3.4 og 3.6 prosent. mens overføringer til kommunal forretningsdrift gikk tilbake med 25.8 prosent. Kapitalutgiftene økte med 13.7 prosent fra 1995 til 1996. en forholdsvis sterk økning som har sammenheng med økte investeringer i forbindelse med grunnskolereformen.

Tabell 4.4 Utgifter i kommuneforvaltningen i 1995 og 1996, millioner kroner og endring i prosent

RegnskapAnslagEndring i
19951996*prosent 95/96*
Løpende utgifter156 918165 0855,2
Lønnskostnader, produktinnsats, produktkjøp130 961138 9466,1
Renter5 6105 200-7,0
Overføringer til private18 41819 0523,4
Overføringer til staten1 4841 5373,6
Overføringer til kommunal forretningsdrift445330-25,8
Kapitalutgifter16 84119 14713,7
Utgifter i alt173 759184 2326,0

Tabell 4.5 gir en oversikt over lønnskostnader. andre driftskostnader og reparasjoner for årene 1992. 1995 og 1996. De samlede lønnskostnadene i kommunesektoren steg med 7.4 prosent fra 1995 til 1996. Dette er høyere enn den årlig gjennomsnittlig vekst fra 1992 til 1996 på 5.5 prosent. Den sterke lønnskostnadsveksten i 1996 skyldes en kombinasjon av økt syssel-settingsvekst og økt lønnsvekst. Den gjennomsnittlige lønnskostnadsveksten fra 1992 til 1996 var høyest for Oslo kommune med 6.1 prosent. Kommunene ekskl. Oslo og fylkeskommunene hadde en gjennomsnittlig vekst på hhv. 5.7 og 4.9 prosent.

Når det gjelder andre driftskostnader hadde kommunesektoren en årlig gjennomsnittlig vekst i perioden 1992-96 på 3.8 prosent. Fylkeskommunene hadde den sterkeste veksten på 5.3 prosent. mens kommunene ekskl. Oslo hadde en gjennomsnittlig vekst på 3.5 prosent. Oslo kommune hadde en gjennomsnittlig vekst i andre driftskostnader på 1.4 prosent.

Reparasjonskostnadene for kommunesektoren hadde en gjennomsnittlig vekst i perioden 1992-96 på 2.9 prosent. Også her er det stor forskjell i hvordan kostnadsveksten fordeler seg. Oslo kommune hadde den sterkeste veksten på 9.6 prosent. mens de øvrige kommunene og fylkeskommunene hadde en gjennomsnittlig vekst på hhv. 2.8 og 1.3 prosent.

Tabell 4.5 Lønnskostnader. produktinnsats og produktkjøp. reparasjoner. kommunesektoren. 1992-96. Millioner kroner og endring i prosent. løpende priser

19921995*1996*92/961 )*95/96*
Lønnskostnader80 90293 311100 1905,57,4
Fylkeskommunene22 74625 27427 5154,98,9
Kommunene ekskl. Oslo49 55158 00761 7615,76,5
Oslo8 60510 03010 9146,18,8
Andre driftskostnader25 88429 15830 0153,82,9
Fylkeskommunene7 4558 6979 1715,35,5
Kommunene ekskl. Oslo14 96016 77517 1833,52,4
Oslo3 4693 6863 6611,4-0,7
Reparasjoner i alt5 0915 6205 6992,91,4
Fylkeskommunene1 6141 6951 7011,30,4
Kommunene ekskl. Oslo3 1323 3563 5002,84,3
Oslo3455694989,6-12,5

1) Årlig gjennomsnittlig endring

Tabell 4.6 gir en oversikt over bruttoinvesteringer i kommunesektoren for årene 1992-96. Som det framgår av tabellen økte bruttoinvesteringene for kommunesektoren i alt med 11.0 prosent fra 1995 til 1996. noe som er høyere enn gjennomsnittlig årlig vekst fra 1992 til 1996 på 7.0 prosent. Oslo kommune hadde sterk gjennomsnittlig vekst i bruttoinvesteringene i perioden 1992-96 på 28.4 prosent. mens veksten for de øvrige kommunene og fylkeskommunene lå på hhv. 5.7 og 5.3 prosent.

Tabell 4.6 Bruttoinvesteringer i kommunesektoren, 1992, 1995 og 1996. Millioner kroner og endring i prosent.

19921995*1996*92/961 )*95/96*
Kommunene unntatt Oslo9 61410 22011 8125,715,6
Fylkeskommunene3 3443 8054 0545,36,5
Oslo8361 8761 78628,4-4,8
Kommunesektoren i alt13 79415 90117 6527,011,0

1) Årlig gjennomsnittlig endring

Av tabell 4.7 framgår overføringer til private for kommunesektoren der overføringene er splittet opp i stønader i alt. produksjonssubsidier og overføringer til ideelle organisasjoner. Som det framgår av tabellen økte overføringer i alt til private med i gjennomsnitt med 3.3 prosent i perioden 1992-96. Stønader i alt for kommunesektoren hadde i samme periode en gjennomsnittlig vekst på 5.2 prosent. Oslo kommune hadde den klart sterkeste veksten i stønader på 10.1 prosent. mens de øvrige kommunene og fylkeskommunene hadde en gjennomsnittsvekst på hhv. 3.7 og 4.7 prosent.

Når det gjelder produksjonssubsidier hadde kommuneforvaltningen en gjennomsnittlig vekst på 6.2 prosent i perioden 1992-96. Oslo hadde her den klart sterkeste økningen. mens fylkeskommunene hadde den svakeste.

Overføringer til ideelle organisasjoner hadde en årlig gjennomsnittlig økning på 0.3 prosent for kommuneforvaltningen fra 1992 til 1996. Oslo kommune og fylkeskommunene hadde her begge en gjennomsnittlig vekst på 1.3 prosent. men de øvrige kommunene hadde en tilbakegang i overføringene på 1.4 prosent.

Tabell 4.7 Overføringer til private, kommunesektoren, 1992-96, løpende priser. Millioner kroner og endring i prosent

19921995*1996*92/961 )95/96
Overføringer til private i alt16 88818 41819 1493,34,0
Stønader i alt5 6206 6966 8005,21,6
Fylkeskommunene unntatt Oslo4425125254,72,5
Kommunene unntatt Oslo4 0084 6424 5953,7-1,0
Oslo1 1701 5421 64510,16,7
Produksjonssubsidier3 6994 4994 6206,22,7
Fylkeskommunene unntatt Oslo2 6532 7882 7901,30,1
Kommunene unntatt Oslo8831 1681 34513,115,2
Oslo16354348549,4-10,7
Overføringer til ideelle organisasjoner7 5697 2237 6670,36,1
Fylkeskommunene unntatt Oslo2 6442 5422 7781,39,3
Kommunene unntatt Oslo2 6652 4582 513-1,42,2
Oslo2 2602 2232 3761,36,9

1) Årlig gjennomsnittlig endring

4.3.2 Fordeling av utgifter etter formål

Kommunesektoren samlet

Kommunesektorens driftsutgifter viste en vekst på 5,3 prosent fra 1994 til 1995. Utgiftene økte med 8 milliarder fra 152,2 til 160,2 milliarder kroner 1. Nesten halvparten av kommunesektorens utgifter går til helse- og sosialformål. I alt ble det i 1995 brukt om lag 76 milliarder kroner på helse- og sosialsektoren. Det er om lag 4 milliarder kroner mer enn i 1994. Over en fjerdedel av kommunesektorens utgifter går til undervisningsformål. I 1995 ble det brukt om lag 44 milliarder kroner på undervisning. Det er om lag 2 milliarder kroner mer enn i 1994. Veksten i driftsutgiftene til helse- og sosialsektoren er høyere enn veksten i driftsutgiftene til undervisning, hhv. 6,2 og 4,6 prosent.

Fylkeskommunene

Figur 4.3 viser fordeling av driftsutgifter på hovedkapittel for fylkeskommunene. Som det fremgår av figuren går nesten 60 prosent av driftsutgiftene til helsevern, sosiale tjenester, pleie og omsorg, mens 25 prosent blir brukt til undervisning. For de øvrige sektorene utgjør driftsutgiftene mindre enn 10 prosent av de totale driftsutgiftene.

Fra 1994 til 1995 økte fylkeskommunenes driftsutgifter med 4,1 prosent. Veksten var sterkest for sentrale styringsorganer og fellesutgifter, med 6,8 prosent. For helse- og sosialsektoren økte utgiftene med 5,9 prosent, mens utgiftene til undervisning økte med 2,5 prosent.

Figur 4.3 Fordeling av driftsutgifter på hovedkapittel. Fylkeskommunene. 1995.

Figur 4.3 Fordeling av driftsutgifter på hovedkapittel. Fylkeskommunene. 1995.

Kommunene

Figur 4.3 viser fordeling av driftsutgifter på hovedkapittel for kommunene inkludert Oslo. Av de samlede driftsutgiftene går 43 prosent til pleie og omsorg, helsevern mv. og 29 prosent til undervisning. Øvrige sektorer utgjør mindre enn 10 prosent.

Kommunenes samlede driftsutgifter økte med 5,8 prosent fra 1994 til 1995. Sentrale styringsorganer og fellesutgifter hadde den sterkeste veksten på 7,8 prosent. Helse- og sosialsektorens utgifter økte med 6,3 prosent, mens utgifter til tekniske formål og boligformål mv. økte med hhv. 5,8 og 5,6 prosent. Driftsutgiftene til undervisningssektoren økte med 5,4 prosent fra 1994 til 1995.

Figur 4.4 Fordeling av driftsutgifter på hovedkapittel. Kommunene inkl. Oslo. 1995.

Figur 4.4 Fordeling av driftsutgifter på hovedkapittel. Kommunene inkl. Oslo. 1995.

4.4 Inntekter

I Salderingsproposisjonen for 1996 ble det lagt opp til at kommunesektoren skulle få om lag uendret reelt nivå på de samlede inntektene (ekskl. tilskudd til arbeidsmarkedstiltak og tilskudd til flyktninger mv.) fra 1995 til 1996.

4.4.1 Løpende inntekter

Tabell 4.8 Inntekter i kommuneforvaltningen i 1995 og 1996. Millioner kroner og endring i prosent.

RegnskapAnslagEndr. i pst.
19951996*95/96 *
Gebyrer24 02825 3125,3
Renter2 9462 851-3,2
Skatter i alt75 89880 7796,4
herav skatt på inntekt og formue72 57077 1596,3
Overføringer fra staten67 26368 6952,1
Rammeoverføringer42 45342 7000,6
Øremerkede overføringer innenfor kommuneopplegget1 )18 94020 86410,2
Øremerkede overføringer utenfor kommuneopplegget5 8705 131-12,6
Andre innenlandske overføringer2 2872 2920,2
Løpende inntekter172 422179 9294,4
Inntekter i kommuneopplegget1)166 552174 7985,0

1) Ekskl. tilskudd til flyktninger, arbeidsmarkedstilskudd m.m.

2) Ekskl. øremerkede overføringer utenfor kommuneopplegget.

Tabell 4.8 viser utviklingen i kommuneforvaltningens inntekter for perioden 1994-96. Etter foreløpige regnskapstall steg løpende inntekter nominelt med 4.4 prosent fra 1995 til 1996. Gebyrinntektene økte med 5.3 prosent fra 1995 til 1996. mens renteinntektene gikk tilbake med 3.2 prosent. Etter de foreløpige regnskapstallene er den samlede inntektsveksten i kommuneopplegget på reelt 0.6 prosent.

Den samlede nominelle skatteveksten var på 6.4 prosent fra 1995 til 1996. Skatt på inntekt og formue økte med 6.3 prosent fra 1995 til 1996. noe som innebærer en merskattevekst i forhold til anslag i Revidert nasjonalbudsjett på 2.4 milliarder kroner. Veksten var noe høyere i fylkeskommunene enn i kommunene. hhv. 6.5 og 6.2 prosent.

Overføringer fra staten økte med 2.1 prosent fra 1995 til 1996. Økningen i rammeoverføringene utgjorde 0.6 prosent. mens øremerkede overføringer innenfor kommuneopplegget økte med 10.2 prosent. De øremerkede overføringene utenfor kommuneopplegget gikk tilbake med 12.6 prosent fra 1995 til 1996. noe som i hovedsak har sammenheng med nedgang i tilskudd til arbeidsmarkedstiltak.

Tabell 4.9 Endringer i kommunesektorens inntekter 1988-96.

Endring iEndring i
prosentprosent
95/96*88/961)*
Skatteinntekter2 )6,46,4
Overføringer fra staten3 )3,55,8
derav
rammeoverføringer0,62,3
øremerkede overføringer innenfor kommuneopplegget10,222,8
Gebyrer5,37,1
Renteinntekter-3,21,1

1) Årlig gjennomsnittlig vekst

2) Skatteinntektene (skatter i alt) er korrigert for tilskudd til folketrygden

3) Overføringer fra staten er korrigert for øremerkede overføringer utenfor kommuneopplegget

Tabell 4.9 gir en oversikt over endringer i kommunesektorens inntekter i perioden 1988-96. Som det framgår av figuren hadde skatteinntektene (skatter i alt) en årlig gjennomsnittlig vekst på 6.4 prosent i perioden 1988-96. Overføringer fra staten (ekskl. øremerkede overføringer utenfor kommuneopplegget) hadde i samme periode en gjennomsnittlig vekst på 5.8 prosent der veksten i rammeoverføringene lå på 2.3 prosent. mens de øremerkede overføringene innenfor kommune-opplegget økte med 22.8 prosent. Gjennomsnittlig vekst i gebyr og renteinntekter lå på hhv. 7.1 og 1.1 prosent i perioden 1988-96.

Figur 4.5 viser sammensetningen av kommunesektorens inntekter i 1996. Skatten utgjorde den største delen av inntektene med 46 prosent. deretter følger overføringene med 38 prosent. Gebyrer og renter utgjorde hhv. 14 og 2 prosent av kommunesektorens inntekter.

Figur 4.5 Fordeling av inntekt: skatt. overføringer. renteinntekter og gebyrer i prosent av inntekter i alt.1996. Inntekter i alt er korrigert for arbeidsmarkedstiltak og tilskudd til flyktninger mv.

Figur 4.5 Fordeling av inntekt: skatt. overføringer. renteinntekter og gebyrer i prosent av inntekter i alt.1996. Inntekter i alt er korrigert for arbeidsmarkedstiltak og tilskudd til flyktninger mv.

4.4.2 Bokførte skatteinntekter

Tabell 4.10 viser bokførte skatteinntekter i kommunesektoren for årene 1992. 1995 og 1996. Fra 1995 til 1996 økte kommunesektorens skatteinntekter med 6.3 prosent. noe som er høyere enn den gjennomsnittlige veksten for perioden 1992-96. Oslo kommune hadde den sterkeste skatteveksten fra 1995 til 1996 på 8.7 prosent. De øvrige kommunene og fylkeskommunene hadde en skattevekst fra 1995 til 1996 på hhv. 5.5 og 6.5 prosent. Både for Oslo. de øvrige kommunene og fylkeskommunene var skatteveksten sterkere fra 1995 til 1996 enn gjennomsnittlig skattevekst fra 1992 til 1996.

Tabell 4.10 Bokførte skatteinntekter i kommunesektoren 1992. 1995 og 1996. Millioner kroner og endring i prosent fra året før. løpende priser.

19921995199695/9692/961 )
Kommunene unntatt Oslo35 27240 20142 4305,55,1
Oslo9 16611 29312 2818,78,5
Fylkeskommune unntatt Oslo17 94421 07622 4486,56,3
Kommunesektoren i alt62 38272 57077 1596,35,9

1) Årlig gjennomsnittlig endring

I tabell 4.11 er veksten i kommunenes skatteinntekter gruppert etter kommunenes inntektsnivå målt ved skatteinntekt pr. innbygger. Kommuner med gjennomsnittlig skatteinntekt pr. innbygger mindre enn 96.2 prosent av gjennomsnittet for landet. er minsteinntektskommuner i 1996. For minsteinntektskommunene steg skattene med 5.7 prosent. om lag som gjennomsnittet for kommuner utenom Oslo. For kommuner med skatteinntekt pr. innbygger fra 96.2 til 140 prosent av landsgjennomsnittet økte skattene med 5.1 prosent.

Den høye veksten for gruppen av kommuner med de høyeste skatteinntektene pr. innbygger er påvirket av utviklingen i en enkelt kommune. dvs. Bærum kommune der skattene har økt med 12.2 prosent i 1996. Dersom Bærum holdes utenom har det vært en nedgang for kommuner med høyest skatt pr. innbygger.

Tabell 4.11 Skattevekst etter inntektsnivå målt ved skatteinntekt pr. innbygger i 1996.

Minsteinntektskommuner5,7 pst.
Kommuner med skatteinntekt pr. innbygger fra 96,2 - 140 pst.5,1 pst.
Kommuner med skatteinntekt over 140 pst. av landsgjennomsnitt7,4 pst.
Kommuner i alt utenom Oslo5,6 pst.
Figur 4.6 Bokførte skatteinntekter i fylkeskommunene. 1992-96. gjennomsnittlig årlig prosentvis vekst.

Figur 4.6 Bokførte skatteinntekter i fylkeskommunene. 1992-96. gjennomsnittlig årlig prosentvis vekst.

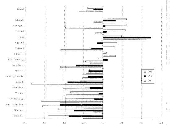
Figur 4.6 viser gjennomsnittlig årlig skattevekst for fylkeskommunene i perioden 1992-96. Som det framgår av figuren hadde Akershus og Møre og Romsdal den sterkeste skatteveksten på hhv. 6.9 og 6.8 prosent. mens Finnmark hadde den svakeste på 2.2 prosent.

Figur 4.7 Bokførte skatteinntekter i kommunene. inkl. Oslo. gruppert fylkesvis 1992-96. gjennomsnittlig årlig prosentvis vekst.

Figur 4.7 Bokførte skatteinntekter i kommunene. inkl. Oslo. gruppert fylkesvis 1992-96. gjennomsnittlig årlig prosentvis vekst.

Figur 4.7 viser gjennomsnittlig skattevekst for kommunene gruppert fylkesvis i perioden 1992-96. Oslo kommune hadde den klart sterkeste veksten på 7.6 prosent. deretter følger kommunene i Akershus med en skattevekst på 6.1 prosent. Kommunene i Finnmark hadde den svakeste skatteveksten på 1.8 prosent.

4.4.3 Driftsinntekter for fylkeskommunene og for kommunene gruppert fylkesvis

Figur 4.8 Fylkeskommunenes inntekter i 1995 fordelt på inntektsart. kroner pr. innbygger.

Figur 4.8 Fylkeskommunenes inntekter i 1995 fordelt på inntektsart. kroner pr. innbygger.

Figur 4.8 viser sammensetningen av de samlede driftsinntektene pr. innbygger i fylkeskommunene i 1995 fordelt på skatteinntekter. rammeoverføringer. øremerkede overføringer. salgs- og leieinntekter og andre driftsinntekter. Et høyt inntektsnivå for en fylkeskommune trenger ikke nødvendigvis innebære at den kan gi innbyggerne et tjenestetilbud over landsgjennomsnittet fordi fylkeskommunen kan ha en mer kostnadskrevende struktur enn en gjennomsnittlig fylkeskommune. Figur 4.8 viser at Troms har det høyeste inntektsnivået pr. innbygger på 21 307 kroner. Her utgjør statlige rammeoverføringer den største andelen av inntektene. Akershus har det laveste inntektsnivået pr. innbygger på 10 776 kroner. Skatteinntektene utgjør her den største andelen av inntektene.

Figur 4.9 Kommunenes inntekter i 1995 fordelt på inntektsart. kommunene gruppert fylkesvis. kroner pr. innbygger.

Figur 4.9 Kommunenes inntekter i 1995 fordelt på inntektsart. kommunene gruppert fylkesvis. kroner pr. innbygger.

Figur 4.9 viser sammensetningen av de samlede driftsinntektene pr. innbygger i kommunene gruppert fylkesvis i 1995 fordelt på skatteinntekter. rammeoverføringer. øremerkede overføringer. salgs- og leieinntekter og andre driftsinntekter. Som for fylkeskommunene behøver ikke et høyt inntektsnivå for en kommune nødvendigvis innebære at den kan gi innbyggerne et tjenestetilbud over landsgjennomsnittet. Kommunen kan ha en mer kostnadskrevende struktur enn gjennomsnittskommunen. Figur 4.9 viser at kommunene i Finnmark har de høyeste inntektene med 37 568 kroner pr. innbygger. De statlige rammeoverføringene utgjør her den største delen av inntektene. De laveste gjennomsnittlige inntektene har kommunene i Vestfold med 23 263 kroner pr. innbygger. Her utgjør skatteinntektene den største andelen av inntektene. For Oslo som både er fylkeskommune og kommune var inntektene 49 898 kroner pr. innbygger.

4.5 Utviklingen i frie inntekter

Generelt

I dette avsnittet omtales utviklingen i de enkelte kommuners og fylkeskommuners frie inntekter fra 1985 til 1996 målt i kroner pr. innbygger. Frie inntekter er definert som skatt på inntekt og formue (eksklusiv eiendomsskatt) og rammetilskudd inkludert skjønnstilskudd. Skatteinntektene for 1987 til 1992 er fratrukket tilskudd til folketrygden.

Det er i vedlegg 2 tatt inn tabeller som viser resultatet av beregningene for kommunene. Tabellene inneholder oppstillinger over frie inntekter i kroner pr. innbygger for 1996 i tillegg til gjennomsnittlig nominell inntektsvekst for periodene 1985-1996. 1990-1996 og 1995-96. For 1996 er det benyttet foreløpige skattetall.

Rammetilskuddet er korrigert for oppgaveendringer. slik at rammetilskuddet for den enkelte kommune/fylkeskommune er beregnet som om de skulle hatt ansvar for de samme oppgavene gjennom hele perioden 1985-1996. Denne korreksjonen er nødvendig for å gjøre resultatene sammenlignbare.

Ved tolkning av tall for enkeltkommuner gjør vi oppmerksom på at inntektsveksten i en bestemt periode kan være påvirket av at enkelte kommuner har et unormalt høyt eller lavt nivå på sine skatteinntekter i startåret (1985. 1990 og 1995) eller i sluttåret (1996) for analysen. eller at det inntektsutjevnende tilskuddet er spesielt lavt eller høyt som følge av skatteinntektene to år tidligere.

Ved sammenlikning av nivået på de frie inntekter for den enkelte kommune og fylkeskommune. målt i kroner pr. innbygger. må det tas hensyn til at beregnet utgiftsbehov varierer betraktelig mellom kommunene og i noe mindre grad mellom fylkeskommunene. Beregnet utgiftsbehov vil blant annet være påvirket av aldersstruktur. jf. de kriterier som inngår i inntektssystemets kostnadsnøkler. Forenklet vil dette si at et gitt inntektsnivå kan gi ulikt nivå på tjenestetilbudet i to forskjellige kommuner på grunn av ulike produksjonskostnader og etterspørselsstruktur. Frie inntekter. slik det er definert. fanger her ikke opp kraftkommunenes konsesjonskraftinntekter og inntekter fra eiendomsskatt.

Fylkeskommunene

For perioden 1985 - 1996 var den årlige gjennomsnittlige veksten i de frie inntektene for fylkeskommunene 4.6 prosent. Det var små variasjoner mellom fylkeskommunene. lavest vekstprosent hadde Finnmark med 4.0 prosent. mens Hedmark hadde den høyeste med 5.5 prosent.

Tabell 4.12 Fylkeskommunenes frie inntekter. Kroner pr. innbygger.

Fyl-Inntekt pr.GjennomsnittligGjennomsnittligGjennomsnittlig
kesFylkeinnbyggervekst i prosentvekst i prosentvekst i prosent
nr.19961985-961990-961995-96
1Østfold9 9975,03,54,7
2Akershus9 4284,84,14,2
4Hedmark11 0855,53,85,6
5Oppland10 8905,13,13,6
6Buskerud10 0894,93,65,1
7Vestfold9 7755,03,55,1
8Telemark10 8344,73,84,9
9Aust-Agder10 8924,73,63,4
10Vest-Agder10 3124,42,53,6
11Rogaland9 3814,12,81,2
12Hordaland10 0954,32,62,1
14Sogn og Fjordane13 0494,12,14,7
15Møre og Romsdal11 0164,93,54,0
16Sør-Trøndelag10 1314,22,3-1,4
17Nord-Trøndelag11 7294,42,64,3
18Nordland13 0174,52,63,0
19Troms12 8534,11,63,2
20Finnmark14 7664,01,82,0
Landsgjennomsnitt10 6524,63,03,3

Kommunene

For perioden 1985 - 1996 var den årlige gjennomsnittlige veksten i de frie inntektene for kommunene (unntatt Oslo) 4.3 prosent. I denne perioden har den årlige veksten vært like høy. 4.6 prosent i for kommunene i følgende fylker: Østfold. Akershus. Aust-Agder. Vest-Agder. Sogn og Fjordane. Møre og Romsdal. Nord-Trøndelag og Finnmark. Den årlige vekstprosenten i denne perioden var lavest i Rogaland med 3.6 prosent.

Tabell 4.13 Gjennomsnittlig vekst i frie inntekter pr. innbygger for kommunene. eksklusiv Oslo. gruppert fylkesvis. Tallene er vektet med folketall.

Inntekt pr.GjennomsnittligGjennomsnittligGjennomsnittlig
Fylkeinnbyggervekst i prosentvekst i prosentvekst i prosent
19961985-961990-961995-96
Østfold15 1804,63,34,6
Akershus16 3774,64,05,2
Hedmark15 8094,42,43,8
Oppland15 6764,01,62,6
Buskerud15 7074,42,64,5
Vestfold14 8744,53,75,1
Telemark16 2024,43,55,0
Aust-Agder16 5914,63,23,7
Vest-Agder15 6064,62,94,5
Rogaland15 8033,62,82,3
Hordaland15 9234,12,53,1
Sogn og Fjordane18 5314,62,24,4
Møre og Romsdal16 4904,63,14,4
Sør-Trøndelag15 4984,02,53,6
Nord-Trøndelag16 8554,62,44,1
Nordland17 7004,31,82,0
Troms18 4944,52,23,5
Finnmark22 7214,62,42,1
Landsgjennomsnitt16 3044,32,83,8

På grunn av Oslos særegne situasjon som både kommune og fylkeskommune er analysen over foretatt uten Oslo. Beregningene i tabellen 4.13 er foretatt for hele Oslo. og inkluderer både kommune- og fylkeskommunedelen.

For perioden 1985-96 hadde Oslo en gjennomsnittlig årlig vekst på 4.2 prosent. Landsgjennomsnittet for kommunene og fylkeskommunene samlet i samme periode var 4.4 prosent.

Tabell 4.14 Oslos frie inntekter. Kroner pr. innbygger

Fyl-Inntekt pr.GjennomsnittligGjennomsnittligGjennomsnittlig
kesFylkeinnbyggervekst i prosentvekst i prosentvekst i prosent
nr.19961985-961990-961995-96
301Oslo30 9474,23,44,6
Landsgjennomsnitt (kommuner og fylkeskommuner27 4014,42,93,7

4.6 Den økonomiske situasjonen i fylkeskommunene 1994-1996 - indikatorer

4.6.1 Samlet vurdering

Det var en klar bedring i den økonomiske situasjonen for de fleste fylkeskommunene fra 1994 til 1995. Foreløpige regnskapstall for 1996 viser imidlertid at denne bedringen ikke er videreført i 1996. Sammenliknet med 1995. indikerer regnskapstallene at fylkeskommunene samlet har hatt en nedgang i den økonomiske handlefriheten

Til tross for en nedgang i rente- og avdragsbelastningen er netto driftsresultat klart svakere i 1996 enn i 1995. Netto driftsresultat samlet for alle fylkeskommunene er redusert fra 3.1 prosent i 1995 til 1.9 prosent i 1996. Ser vi perioden 1994-1996 under ett er resultatet i 1996 det klart svakeste. Deler av den negative utviklingen har sammenheng med økte driftsutgifter i 1996.

Samlet har brutto investeringsutgifter økt. samtidig som den langsiktige gjelden er noe redusert. Dette gjelder i hele perioden 1994-1996. og tyder på at fylkeskommunene i noe større grad finansierer investeringene ved hjelp av egenkapital.

Korrigert kontantbeholdning viser at fylkeskommunene samlet har noe dårligere likviditet i 1996 enn i 1995.

Akkumulert regnskapsresultat er definert som summen av oppsamlede underskudd og overskudd. Samlet er akkumulert overskudd redusert fra 0.9 prosent i 1995 til 0.2 prosent i 1996. Resultatet i 1996 er imidlertid bedre enn i 1994 og 1993. med akkumulerte underskudd på henholdsvis 0.7 og 1.7 prosent.

I 1996 viser foreløpige regnskapstall at særlig Rogaland er i en vanskelig økonomisk situasjon. Fylkeskommunen har ikke klart å snu den negative utviklingen fra 1995 til 1996. snarere tvert imot. Fylkeskommunen har i 1996 et negativt driftsresultat på 2.1 prosent. til tross for at rente- og avdragsbelastningen er noe redusert. I hele perioden har brutto investeringsutgifter og langsiktig gjeld hatt en negativ utvikling. samtidig som likviditeten er forverret og beholdningen av disposisjonsfond redusert. Konsekvensene av dette er at fylkeskommunen ikke lenger har en økonomi i balanse. Rogaland. sammen med Sogn- og Fjordane og Møre og Romsdal er de eneste fylkeskommunene som har akkumulerte underskudd ved utgangen av 1996. hhv. 1.9 og 1.1 og 0.5 prosent.

4.6.2 Indikatorer

Omtalen av fylkeskommunenes økonomi er basert på regnskapstall for 1994-1996. Regnskapstallene er hentet fra hovedoversiktene i fylkeskommunenes regnskaper.

Fylkeskommunenes økonomiske situasjon er beskrevet ved hjelp av følgende indikatorer:

  1. A.

    netto driftsresultat

  2. B.

    netto renter og avdrag

  3. C.

    brutto investeringsutgifter

  4. D.

    netto lånegjeld

  5. E.

    korrigert kontantbeholdning

  6. F.

    akkumulert regnskapsresultat

Indikatorene er regnet som prosent av totale driftsinntekter eksklusive interne overføringer og renteinntekter. Prosentstørrelser er benyttet for å relatere indikatorene til størrelsen på økonomien i den enkelte fylkeskommune. Slike forholdstall letter sammenlikning mellom fylkeskommunene.

Indikator a. - c. sier noe om tilpasning innenfor ett år. mens indikatorene d. -f. er et resultat av utviklingen gjennom flere år. Det kan ikke trekkes bastante konklusjoner om en fylkeskommunes økonomiske situasjon bare ut fra indikatorene a. - c. Imidlertid er det ofte slik at fylkeskommuner som har balanseproblemer - lave eller negative netto driftsresultater - også har relativt høy lånegjeld (indikator d). svak likviditet (indikator e) og akkumulerte underskudd (indikator f) i prosent av driftsinntektene.

4.6.3 Netto driftsresultat og netto renter og avdrag

Netto driftsresultat viser hva som er igjen av driftsinntektene når de ordinære driftsutgiftene inkl. renter og avdrag er betalt. Netto driftsresultat kalles også «overskudd disponibelt til investeringer og avsetninger». Positivt netto driftsresultat kan brukes til egenkapital ved investeringer og til avsetninger til senere bruk. Netto driftsresultat må være av en viss størrelse for å kunne dekke inn tidligere års regnskapsunderskudd (akkumulerte underskudd). Fylkeskommuner med akkumulert underskudd kan dermed ikke fullt ut benytte et positivt netto driftsresultat til investeringer eller avsetninger. Det er også for alle fylkeskommuner visse bindinger på netto driftsresultat knyttet til pliktige avsetninger til bundne fonds (ubenyttede øremerkede tilskudd).

Figur 4.10 Netto driftsresultat i prosent av driftsinntekter i 1994-96. Fylkeskommunene sortert etter netto driftsresultat i 1996.

Figur 4.10 Netto driftsresultat i prosent av driftsinntekter i 1994-96. Fylkeskommunene sortert etter netto driftsresultat i 1996.

Figur 4.10 viser at netto driftsresultat samlet for alle fylkeskommunene er redusert fra 3.1 prosent i 1995 til 1.9 prosent i 1996. Alle fylkeskommuner. bortsett fra Rogaland. hadde positive netto driftsresultater i 1996. Dette fylket hadde også negativt netto driftsresultat i 1995. Hvis netto driftsresultat i prosent av driftsinntekter er under 1 prosent betraktes dette som svakt. I 1996 hadde 6 fylkeskommuner et netto driftsresultat under 1 prosent. mens tilsvarende tall i 1995 og 1994 var 2. I 1996 hadde 7 fylkeskommuner netto driftsresultat over 3 prosent. I 1995 hadde 10 fylkeskommuner netto driftsresultat på over 3 prosent. Regnskapstallene viser at den positive utviklingen fra 1994 til 1995 nå er snudd i 1996.

Deler av den negative utviklingen har sammenheng med økte driftsutgifter i 1996. bl.a. som følge av sterk lønnsvekst for helsepersonell.

Figur 4.11 Netto renter og avdrag i prosent av driftsinntekter i 1994-96. Fylkeskommunene sortert etter renter og avdrag i 1996.

Figur 4.11 Netto renter og avdrag i prosent av driftsinntekter i 1994-96. Fylkeskommunene sortert etter renter og avdrag i 1996.

Netto renter og avdrag i prosent av driftsinntekter er vist i figur 4.11. Rente- og avdragsbelastningen er avhengig av en rekke forhold. bl.a. rentenivå. avdragstid og investeringsvolum. Figuren viser at rente og avdragsbelastningen gjennomgående er blitt redusert i hele perioden. For alle fylkeskommunene samlet er rente- og avdragsbelastningen redusert fra 4.1 i 1994 til 3.6 prosent i 1996. Hovedårsaken til dette antas å være den generelle nedgangen i rentenivået.

Det er stor variasjon i rente- og avdragsbelastningen. I hele perioden har Hordaland hatt markert høyest rente- og avdragsbelastning. mens Østfold har ligget lavest.

De fylkeskommunene som hadde svake driftsresultat i 1996 (Rogaland. Troms. Finnmark. Sør-Trøndelag og Nord-Trøndelag) hadde også høy rente- og avdragsbelastning.

4.6.4 Brutto investeringsutgifter

Brutto investeringsutgifter er utgifter til investering i realkapital.

Figur 4.12 Brutto investeringsutgifter i prosent av driftsinntekter i 1994-96. Fylkeskommunene sortert etter brutto investeringsutgifter i 1996.

Figur 4.12 Brutto investeringsutgifter i prosent av driftsinntekter i 1994-96. Fylkeskommunene sortert etter brutto investeringsutgifter i 1996.

Investeringene i den enkelte fylkeskommune kan variere mye fra år til år. For å danne seg et bilde av det jevne investeringsnivået må en derfor se utviklingen over tid. I 1996 varierer investeringsutgiftene med fra 3.4 til 14.1 prosent regnet av driftsinntektene. Samlet økte brutto investeringsutgifter fra 5.5 i 1994 til 6.3 prosent i 1996. Økningen fra 1995 til 1996 utgjorde 0.2 prosentpoeng. Finnmark har halvert investeringsutgiftene fra 1995 til 1996. med en nedgang fra 9.6 til 4.7 prosent i 1996. Vestfold er den fylkeskommunen som hadde høyest brutto investeringsutgifter både i 1995 og 1996. Dette må sees i sammenheng med omfattende sykehusinvesteringer.

4.6.5 Langsiktig lånegjeld

Figur 4.13 Langsiktig lånegjeld i prosent av driftsinntekter i 1994-96. Fylkeskommunene sortert etter langsiktig gjeld 1996.

Figur 4.13 Langsiktig lånegjeld i prosent av driftsinntekter i 1994-96. Fylkeskommunene sortert etter langsiktig gjeld 1996.

Samtidig som brutto investeringsutgifter samlet har hatt en moderat økning i hele perioden. viser figur 4.13 at langsiktig lånegjeld i prosent av driftsinntektene samlet er noe redusert.

Også når det gjelder langsiktig lånegjeld er det betydelige variasjoner. For Nordland fylkeskommune utgjorde langsiktig lånegjeld 11.4 prosent av driftsinntektene i 1996. mens for Troms utgjorde den langsiktige lånegjelden 51.4 prosent av driftsinntektene. Den høye lånegjelden i Troms må sees i sammenheng med omfattende sykehusinvesteringer.

4.6.6 Likviditet - korrigert kontantbeholdning

Fylkeskommunene bør ha en likviditetsbeholdning av en viss størrelse fordi inn- og utbetalinger ikke kommer til samme tid. Likviditetsbeholdningen må dimensjoneres etter omsetningen/størrelsen på utgifts- og inntektsstrømmene.

Den korrigerte kontantbeholdning beskriver fylkeskommuners likvide stilling. Korrigert kontantbeholdning er definert som arbeidskapital (omløpsmidler minus kortsiktig gjeld) fratrukket bundne driftsfond. bundne og ubundne kapitalfond. samt ubrukte lånemidler. Hvis den korrigerte kontantbeholdning er negativ. betyr det at fylkeskommunen opererer med en form for kassakreditt.

Dårlig likviditet fører til at fylkeskommuner pådrar seg økte renteutgifter. eventuelt taper potensielle renteinntekter.

Figur 4.14 Korrigert kontantbeholdning i prosent av driftsinntekter i 1994-96. Fylkeskommunene sortert etter korrigert kontantbeholdning i 1996.

Figur 4.14 Korrigert kontantbeholdning i prosent av driftsinntekter i 1994-96. Fylkeskommunene sortert etter korrigert kontantbeholdning i 1996.

Figur 4.14 viser at 11 fylkeskommuner hadde negativ korrigert kontantbeholdning i 1996. Tilsvarende tall for 1995 og 1994 var henholdsvis 12 og 16.

Samlet har korrigert kontantbeholdning i prosent av driftsinntektene forverret seg fra 1995 til 1996. men situasjonen er likevel bedre enn i 1994 da den likvide situasjonen ble vurdert som anstrengt.

4.6.7 Akkumulert regnskapsresultat

Akkumulert regnskapsresultat er definert som summen av oppsamlede underskudd og overskudd. Store akkumulerte underskudd betyr at netto driftsresultat må benyttes til å dekke inn underskudd i årene framover. Positive netto driftsresultat kan derfor ikke i samme grad finansiere investeringer eller nyttes til avsetninger til framtidig bruk.

Figur 4.15 Akkumulert regnskapsresultat i prosent av driftsinntekter i 1994-96. Fylkeskommunene sortert etter akkumulert regnskapsresultat i 1996.

Figur 4.15 Akkumulert regnskapsresultat i prosent av driftsinntekter i 1994-96. Fylkeskommunene sortert etter akkumulert regnskapsresultat i 1996.

Figur 4.15 viser at alle fylkeskommunene som hadde akkumulerte underskudd i 1995 har redusert disse i 1996. Dette gjelder Sogn- og Fjordane. Møre og Romsdal og Hedmark. Hedmark har betalt ned hele det akkumulerte underskuddet og hadde ved utgangen av 1996 et akkumulert overskudd på 1.5 prosent. I tillegg til Sogn- og Fjordane og Møre og Romsdal hadde Rogaland et akkumulert underskudd i 1996 på hele 1.9 prosent. Rogaland har hatt en markert negativ utvikling i hele perioden og har klare bindinger på netto driftsresultat de første årene.

Samlet er akkumulert overskudd redusert fra 0.9 prosent i 1995 til 0.2 prosent i 1996. Resultatet i 1996 er imidlertid klart bedre enn i 1994 og 1993. med akkumulerte underskudd på henholdsvis 0.7 og 1.7 prosent.

4.7 Den økonomiske situasjonen i kommunene ekskl. Oslo i 1995 - indikatorer

Denne omtalen er basert på endelige regnskapstall for 1995 fra Statistisk sentralbyrå. Det er forholdsvis små avvik i forhold til foreløpige regnskapstall presentert i junirapporten fra Det tekniske beregningsutvalg for kommunal og fylkeskommunal økonomi. juni 1996. For en mer omfattende beskrivelse av den økonomiske situasjonen i 1995 vises det til denne.

Den økonomiske situasjonen for kommunene basert på foreløpige regnskapstall for 1996 vil bli omtalt i Det tekniske beregningsutvalg for kommunal og fylkeskommunal økonomi sin junirapport. juni 1997.

For kommunene samlet er netto driftsresultat redusert fra i overkant av 5 prosent til i overkant av 3 prosent fra 1994 til 1995. Dette skyldes bl.a. lavere skatteinngang i 1995 enn i 1994. Samlet hadde kommunene i alle fylker lavere driftsresultat i 1995 enn 1994. bortsett fra Vest-Agder som hadde om lag uendret driftsresultat. Variasjonene kommunene i mellom kan si noe om forskjeller i inntektsgrunnlag. om gjeldsbelastningen og tjenestetilbudets omfang. Det er f.eks. ikke overraskende at kommunene i Akershus og Rogaland har høye netto driftsresultater. fordi dette er fylker hvor mange kommuner har et høyt inntektsgrunnlag. Rente- og avdragsbelastningen er noe redusert fra 1994 til 1995. Dette skyldes lavere rentenivå. Brutto investeringsutgifter i prosent av driftsinntekter for kommunene samlet gikk noe opp fra 1994 til 1995. Dette gjelder alle fylkene. med unntak av Vest-Agder og Troms. Samtidig har netto lånegjeld i prosent av driftsinntekter økt fra 1994 til 1995. Dette innebærer at en større del av investeringene ble lånefinansiert i 1995 enn i 1994.

For alle kommunene samlet har akkumulert overskudd blitt redusert fra 1994 til 1995. I 1995 utgjorde akkumulert regnskapsoverskudd ca. 0.6 prosent av driftsinntektene. I 1994 og 1993 var tilsvarende tall hhv. om lag 1 prosent og 0 prosent. Det var kommunene i Trøndelagsfylkene og Aust-Agder som hadde de største underskuddene i 1995.

For kommunene samlet viste regnskapstallene i 1995 en nedgang i netto driftsresultat. akkumulert overskudd og korrigert kontantbeholdning. Samtidig har bruttoinvesteringer og netto lånegjeld økt. mens rente- og avdragsbelastningen er noe redusert. Kommunene i Trøndelagsfylkene kommer dårligst ut med det settet av indikatorer som her er lagt til grunn.

5 Kommunal og fylkeskommunal tjenesteproduksjon

5.1 Sammendrag

I kapittel 5 gjennomgås utviklingen i tjenesteproduksjonen i kommunene og fylkeskommunene. Det vises indikatorer for dekningsgrader og ressursinnsats målt i årsverk for disse kommunale sektorene:

  • barnehage

  • grunnskole

  • kommunehelse

  • pleie- og omsorg

  • økonomisk sosialhjelp

For fylkeskommunene vises indikatorer for videregående opplæring og fylkeskommunale helsetjenester.

Datagrunnlaget skriver seg i hovedsak fra 1995. I skolesektoren er tallgrunnlaget fra 1996 og det vises også noen foreløpige 1996 tall for andre sektorer.

Kommunale tjenester

Barnehager

Regjeringens mål er at alle familier som ønsker det skal få et barnehagetilbud i løpet av 90-tallet. Antallet plasser er nesten tredoblet fra 1980 til 1995. Ellers viser nøkkeltallene at

  • om lag 59 prosent av barna mellom 1 og 6 år hadde tilbud om barnehage eller 6-årstilbud i skole i 1995. I gjennomsnitt hadde kommunene i Sogn og Fjordane og Hedmark det best utbygde tilbudet.

  • det har vært en jevn vekst i antall småbarnsplasser fra 1993 til 1995. Fra 1994 til 1995 økte antallet plasser for ett og to - åringer med 9 prosent.

  • foreløpige 1996-tall viser at i skoleåret 1996/97 har 6 av 10 seksåringer tilbud i skole. Det er imidlertid store forskjeller i utbyggingsgrad fylkene i mellom. Kommunene i Buskerud og Finnmark har kommet lengst i å gi seksåringene et skoletilbud.

Grunnskole

Elevtallet i grunnskolen har økt de siste årene. I skoleåret 1996/97 gikk 486 739 elever i grunnskolen. Ellers viser nøkkeltallene at

  • de siste årene har klassestørrelsen økt noe. I skoleåret 1996/97 er gjennomsnittlig klassestørrelse 19.8 elever.

  • på landsbasis er det i skoleåret 1996/97 brukt 2 årsverk pr klasse. Skolene i Finnmark og Oslo har relativt flest årsverk.

  • ekstratimene (delingstimer. spesialundervisning m.m) utgjør om lag halvparten av det samlede elevtimetallet i 1996.

  • inkludert norsk og morsmålsundervisning har kommunene i Finnmark og Oslo størst andel ekstratimer. Uten norsk og morsmålsundervisning har Aust-Agder. Oslo og Møre og Romsdal lavest andel ekstratimer.

  • det er små forskjeller i andelen ekstratimer mellom kommuner med små og kommuner med store klasser.

Helsetjenester

Fra 1987 til 1995 har antallet årsverk i helsestasjons- og skolehelsetjenesten økt med 50 prosent. Fra 1994 til 1995 økte antallet årsverk med 7.5 prosent.

  • kommunene i de nordligste fylkene har langt flere kommuneleger enn landet ellers. Dette oppveies langt på vei av at antallet privatpraktiserende leger er langt høyere i sør.

  • sett under ett har kommunene i Østfold. Akershus og Vestfold i gjennomsnitt lavest legetetthet pr innbygger.

  • i 1995 utgjorde legene og fysioterapeutene de største yrkesgruppene i kommunehelsetjenesten.

Pleie- og omsorg

Hovedtyngden av pleie- og omsorgstjenestene gis til de eldre. Det totale antallet eldre har vært omtrent konstant de siste årene. noe som innebærer at det har blitt relativt færre eldre i forhold til folketallet. Imidlertid har det blitt flere av de eldste eldre. og dette bidrar til at etterspørselen etter pleie- og omsorgstjenester øker. Nøkkeltallene viser at

  • i 1995 ble det utført nærmere 70 000 årsverk i sektoren. Årsverksinnsatsen har økt med 18 prosent fra 1991 til 1995. og med 1 prosent fra 1995 til 1996. Årsverksinnsatsen målt i forhold til antallet eldre har vært om lag den samme fra 1992 til 1995.

  • kommunene med det høyeste nivået på de frie inntektene etter at en har tatt hensyn til ulikhet i utgiftsbehov. har relativt flest årsverk i pleie og omsorgssektoren.

  • antallet mottagere av hjemmetjenester og antall plasser i eldreinstitusjoner har gått ned fra 1992 til 1995. Kommunene i Finnmark og Nord-Trøndelag har i gjennomsnitt flest mottagere av hjemmetjenester og best dekningsgrad innen eldreinstitusjonene i forhold til antallet eldre.

  • 69 prosent av plassene i eldreinstitusjoner var i 1995 enerom. I forhold til i 1991 er dette en økning på 8 prosentenheter.

Sosialhjelp

Den sterke veksten som startet på 80-tallet i antallet som mottar økonomisk sosialhjelp har stoppet opp. Nøkkeltallene viser at

  • mottakertallet i 1995 ligger på samme nivå som i 1990 i forhold til befolkningstallet.

  • antallet langtidsbrukere har derimot vært om lag konstant fra 1993 til 1995. I 1995 var om lag 37 prosent av alle brukere langtidsbrukere. Flest langtidsbrukere fant man i Oslo. mens kommunene i Finnmark og Nord-Trøndelag kom best ut.

  • kommunene i Aust-Agder og Oslo har i gjennomsnitt flest økonomiske sosialhjelpstilfeller blant ungdom mellom 18-24 år.

Tall for sammenlignbare kommuner

Dekningsgrader og ressursinnsats i barnehager. eldreomsorg og grunnskole er vist for enkeltkommuner. Kommunene er gruppert etter relativ størrelse på utgiftsbehov og etter innbyggertall. Slik blir kommunene sammenlignbare langs flere dimensjoner. Resultatene tyder på at

  • nivået på den samlede ressursinnsatsen for alle tre tjenester er til dels meget varierende innenfor samme gruppe kommuner.

  • ulikhet i samlet ressursinnsats for sammenlignbare kommuner har sammenheng med inntektsforskjeller kommunene i mellom.

Fylkeskommunale tjenester

Somatiske spesialisthelsetjenster

Antallet utskrivninger av heldøgnspasienter fra somatiske sykehus økte med 23 000 fra 1992 til 1995. Nøkkeltallene viser ellers at

  • antallet årsverk i sykehusene har økt med 8 prosent fra 1992 til 1995. mens sengekapasiteten har vært om lag konstant.

  • antallet polikliniske konsultasjoner har økt sterkt fra 1992 til 1995.

  • Troms og Oslo har høyest sengekapasitet i somatiske sykehus i forhold til innbyggertallet. Akershus har lavest kapasitet. noe som bl.a. må sees i forhold til antallet gjestepasienter i statlige sykehus.

Psykisk helsevern

Antallet heldøgnsplasser i psykiatriske institusjoner er redusert med om lag 12 prosent fra 1991 til 1995. Samtidig er det bygd opp et polikliniske tilbud. Nøkkeltallene viser ellers at

  • antallet polikliniske konsultasjoner økte fra 1994 til 1995 med om lag 5 prosent. og antallet heldøgnsplasser er redusert med nærmere 3 prosent.

  • hele 96 prosent av plassene er i voksenpsykiatrien. Tilbudet til barn og unge varierer relativt sterkt fylkene i mellom.

Videregående opplæring

Fra 1995 til 1996 har omfanget av videregående opplæring i prosent av et gjennomsnittlig avgangskull fra grunnskolen økt med tre prosentenheter. Nøkkeltallene viser ellers at

  • i skoleåret 1996/97 hadde sju fylkeskommuner et omfang i videregående opplæring over 375 prosent.

  • majoriteten av ungdomsskoleelevene i 1995 benyttet retten til videregående opplæring samme år. 97 prosent av avgangskullet var høsten 1995 på plass i videregående skole.

  • de regionale forskjellene i linjevalg er store. I Finnmark valgte de fleste elevene yrkesfag. mens i Oslo begynte de fleste av avgangselevene fra ungdomsskolen på allmennfaglig studieretning.

5.2 Om indikatorene

Kommunen er en betydelig produsent og leverandør av tjenester til befolkningen. Dette gjelder særlig innen velferdstjenester i undervisnings-. helse- og omsorgssektoren. For disse tjenestene er det problemer knyttet til å måle omfanget av produksjonen. I motsetning til i privat sektor. der verdiskapningen eller produksjonen kan måles gjennom betalingsvillighet og defineres som differansen mellom pris og kostnader. omsettes statlige og kommunale tjenester ikke i et marked. Fravær av konkurranse og dermed av en markedsmessig vurdering av produktene fra forbrukerne. betyr at det må etableres alternative mål på produksjonen.

Produksjon og dekningsgrad

Produktene i offentlig tjenesteyting konsumeres generelt samtidig som de gis. Dette gjelder f.eks. den kunnskapen den enkelte tilegner seg i skolen. om en blir frisk i løpet av sykehusopphold osv. Det er vanskelig å måle kunnskapsmengde. helseforbedringer etc.. og pr. i dag mangler vi generelt gode resultatmål for offentlig tjenesteyting. Alternativt måles omfanget ved hjelp av volummål f.eks. antall plasser. besøk. saker etc. Det er i denne proposisjonen forsøkt å velge ut volummål som gir en beskrivelse av tilbudet i sektoren som er meningsfull. Antall barnehageplasser er et eksempel på dette. Tjenesten er i relativ stor grad standardisert gjennom regelverket slik at vi har en felles forståelse av hva en barnehageplass innebærer. I andre sektorer kan det være vanskeligere å definere gode måltall. Det er mulig å måle antall vaksinasjoner. antall konsultasjoner hos lege etc.. uten at dette er spesielt gode mål for omfanget av de kommunale helsetjenester. Det er derfor viktig å videreutvikle produksjonsmålene. både når det gjelder volummål og mål som mer direkte rettes inn mot utfallet av tjenesten.

Dersom volummåltallene relateres til antall personer i en gitt målgruppe får vi fram dekningsgraden. Målgruppene er her relatert til alderskategorier. F.eks. måles barnehagedekningen ved andelen barn i førskolealder med barnehageplass. En økning i dekningsgraden for en tjeneste vil ofte innebære en overføring av omsorgsarbeidet fra privat til offentlig sektor. Imidlertid er gjerne etterspørselen etter tjenesten noe lavere enn antallet i målgruppen. dvs. ikke alle i den aktuelle aldersgruppen etterspør tjenestene. Dekningsgradene blir derfor gjennomgående noe for lave.

Ressursinnsats pr. enhet

Begrepet produktivitet brukes gjerne om forholdet mellom produksjonen og ressursinnsatsen. Målet er rent beskrivende og desto høyere produksjon pr. enhet ressursinnsats jo høyere produktivitet. Forutsetningen for å kunne måle produktivitet er at en har ensartede mål på produksjonen. dvs. at en måler homogene tjenester.

Som mål på ressursinnsatsen bruker vi i denne framstillingen timeverks- eller årsverksinnsats pr. bruker eller plass. Pr. i dag gir dette et mer sammenlignbart mål på ressursinnsatsen enn utgift pr. bruker basert på regnskapstall. Dette innebærer også at det er vanskelig utfra dagens datagrunnlag å vurdere størrelsen på tjenestetilbudet sett i forhold til den økonomiske ressursinnsatsen som settes inn.

I grunnskolen er det f.eks. gjennom læreplanene uttrykt klare mål for hva elevene skal lære. Som omtalt er det imidlertid ikke utviklet gode statistiske mål på de ferdigheter som elevene tilegner seg i skolen. Dersom en kommune øker ressursinnsatsen pr. klasse (flere delingstimer. spesialundervisning etc.) vil den naturlige tolkingen av den økte ressursinnsatsen være en standardheving og ikke en produktivitetsnedgang. jf. omtalen av produktivitet. Det samme er tilfelle for barnehage og pleie- og omsorgstjenester. En økning i antall utførte timeverk pr. mottaker gir generelt mulighet for økt oppfølging. veiledning. behandling eller pleie til den enkelte mottaker. I behandlingstjenester vil imidlertid endring i ressursinnsatsen fortrinnsvis kunne tolkes som en endring i produktiviteten.

Økt ressursinnsats på et område kan også skyldes at gjennomsnittsmottakeren av tjenesten blir mer ressurskrevende. med andre ord at behovet har økt. Et eksempel kan være økt innslag av innvandrere i skolen. En økning av andelen småbarn i barnehager vil tilsvarende føre til økt timeverksforbruk pr. barn. En økning i andelen av de eldste eldre i institusjoner eller i den hjemmebaserte omsorgen vil også tilsvarende bety et økt pleiebehov. Endringer i regelverk og kommunale oppgaver kan også bety at ressursinnsatsen må økes. Eksempler på dette er endring av standard i sykehjem. f.eks. målsetningen om enerom. og større vekt på integrering av psykisk utviklingshemmede i grunnskolen.

Endret ressursinnsats kan derfor både tolkes som

  • endring i standard/kvalitet

  • endring i produktivitet

  • endring i behov

Kvalitet kan måles langs flere dimensjoner. Imidlertid er det mest naturlig å ta utgangspunkt i den opplevde kvaliteten hos brukeren. mens standard i større grad kan beskrives gjennom tekniske kriterier og fastsatte normer.

Til tross for at det kan være vanskelig å tolke endringer i ressursinnsats pr enhet. er det interessant å se på utviklingen i timeverk pr. bruker for ulike kommunale tjenester. Dersom både årsverk/timeverk pr. bruker og dekningsgrad i en tjenesteytende sektor har økt. er dette et uttrykk for at det totale tjenestevolumet øker.

5.3 Tjenesteproduksjon i kommunene

5.3.1 Barnehagesektoren

Regjeringens mål er at alle familier som ønsker det skal få et barnehagetilbud i løpet av 90-årene. Tilbud til 6-åringer i skolen frigir plasser i barnehagene. og det er en målsetting at disse plassene i størst mulig grad tas i bruk av yngre barn.

Tabell 5.1 Nøkkeltall for beskrivelse av enkelte forhold innen barnehagesektoren. 1980-1996.

1980198519901993199419951996
Barn 1-6 år324 036306 679327 032356 706362 432365 082
Barn i barnehager og 6 års tilbud (1-6 år)76 39697 681137 804188 495204 025215 156
Herav 1-2 åringer30 59134 54737 664
Herav 6-åringer i skolen16 48322 75928 40133 7071)
Årsverk16 20527 57835 72537 81241 2642
Årsverk pr. 1 000 barn3225248246248
Dekningsgrad, antall barn i barnehager/6-årstilbud i skolen som andel av barn 1-6 år0,240,320,420,530,560,59

1) Foreløpige tall

2) I tillegg ble det utført 177 årsverk av sivilarbeidere

3) Det er korrigert for at barn under 3 år krever mer bemanning enn barn over 3 år.

Kilde: (Kilde: Statistisk sentralbyrå/Barne- og familiedepartementet).

Det har vært en sterk økning i antall barnehageplasser i perioden 1980 til 1995. Tabell 5.1 viser utviklingen i antall barn. antall barn i barnehager. antall årsverk i barnehager og dekningsgrad i perioden. Av tabellen framgår det at antall barnehageplasser nesten ble tredoblet fra 1980 til 1995. Fra 1994 til 1995 økte antall barn i barnehager og barn med 6-års tilbud med om lag 1 100. Den totale økningen er fordelt på om lag 5 600 plasser for 6-åringer i skolen og om lag 5 500 barnehageplasser. Fra 1993 til 1995 har det også vært en jevn økning i andelen småbarnsplasser.

I tabell 5.1 vises også utviklingen i antall årsverk i barnehagene pr. 1 000 barn. En ser at standarden (målt som årsverk pr. 1 000 barn) har økt siden 1990. men at den har vært stabil de siste tre årene i perioden. I gjennomsnitt har hvert årsverk hatt ansvaret for om lag 4 barn. I 1995 hadde opp imot 60 prosent av alle barn mellom 1-6 år plass i barnehage eller 6-års tilbud i skolen. Dette er en økning i dekningsgraden på om lag 35 prosentenheter fra 1980. Økningen i dekningsgraden illustreres grafisk i figur 5.1. Foreløpige 1996-tall viser at i 1996 hadde nær 6 av 10 6-åringer et tilbud i skole.

Figur 5.1 Dekningsgrad i barnehagesektoren og antall barn 1-6 år i barnehage eksklusive 6-åringer med skoletilbud. (Indeks 1980 = 100).

Figur 5.1 Dekningsgrad i barnehagesektoren og antall barn 1-6 år i barnehage eksklusive 6-åringer med skoletilbud. (Indeks 1980 = 100).

Kilde: (Kilde: Statistisk sentralbyrå).

Variasjon mellom kommunene

Figur 5.2 Dekningsgrad barnehager 1-6 år (inkl. 6-åringer m/skoletilbud). Kommunene gruppert etter fylke. 1994 og 1995.

Figur 5.2 Dekningsgrad barnehager 1-6 år (inkl. 6-åringer m/skoletilbud). Kommunene gruppert etter fylke. 1994 og 1995.

Kilde: (Kilde: Statistisk sentralbyrå).

Det er fortsatt relativt store forskjeller mellom kommunene i barnehagedekningen. Figur 5.2 viser forskjeller mellom kommunene i barnehagedekning. inkludert 6-års tilbudet i skole. Kommunene er her gruppert etter fylke. Figuren viser at kommunene i Sogn og Fjordane og Hedmark har den høyeste barnehagedekningen med en dekningsgrad på over 70 prosent. Dette kan vi anta er nær full barnehagedekning. Lavest dekningsgrad har kommunene i Østfold. Akershus. Vestfold og Rogaland.

Figur 5.3 Antall årsverk pr 100 barneekvivalent. 1994 og 1995.

Figur 5.3 Antall årsverk pr 100 barneekvivalent. 1994 og 1995.

Kilde: (Kilde: Statistisk Sentralbyrå)

Figur 5.3 viser variasjonen mellom kommunene i årsverk pr. 100 barneekvivalenter 2. Kommunene i Finnmark. Troms og Oslo har flest årsverk pr. barneekvivalenter. Kommunene i Sør-Trøndelag. Oppland. Sogn og Fjordane og Vest-Agder har færrest årsverk pr barneekvivalent. Årsverkinnsatsen fra 1994 til 1995 er blitt noe redusert i kommunene i Hordaland. Sogn og Fjordane og Vest-Agder. mens den har økt noe i de øvrige fylkene.

Tilbud til 6-åringer i skolen

Gjennom endringer i lov om barnehager med forskrifter ble det fra 20.1.1991 gitt mulighet for alle kommuner til å etablere frivillige tilbud for 6-åringer i skolen. Tilbudene har ikke vært en del av den 9-årige opplæringsplikten. For en del kommuners vedkommende har disse tilbudene vært en videreføring av forsøkene med skolestart for 6-åringer som pågikk i perioden 1986-1990. F.o.m. høsten 1997 vil det i tråd med Stortingets vedtak bli innført obligatorisk skolestart for 6-åringer i alle landets kommuner. Figur 5.4 viser utviklingen i antall 6-åringer med tilbud i skolen. 33 707 av 6-åringene hadde tilbud i skolen i 1996. en økning på omlag 10 000 plasser fra 1994. Dette utgjør en økning på om lag 43 prosent fra 1994 til 1996.

Figur 5.4 Antall 6-åringer med tilbud i skole. 1991-1996.

Figur 5.4 Antall 6-åringer med tilbud i skole. 1991-1996.

Kilde: (Kilde: Statistisk sentralbyrå og Kirke-. utdannings- og forskningsdepartementet).

Figur 5.5 viser variasjonen mellom kommunene i antall 6-åringer i skole i 1994 og 1995. Kommunene er her gruppert etter fylke. Kommunene får tilskudd til 6-åringer i skole på lik linje med tilskudd til barnehagene. Dekningsgraden er beregnet i forhold til alle 6-åringene i fylket. Variasjonene mellom fylkene er meget store. Gjennomsnittlig dekningsgrad i kommunene i 1995 var nærmere 39 prosent. Kommunene i Buskerud. Finnmark. Akershus og Vestfold har den høyeste dekningen med et tilbud til mellom 60 og 70 prosent av barna. Kommunene i Oppland har den laveste dekningsgraden med 14 prosent. Ellers viser figuren at dekningsgraden har blitt bedre for kommunene i alle fylker.

Figur 5.5 Dekningsgrad 6-åringer med tilbud i skole. Kommunene gruppert etter fylke. 1994 og 1995.

Figur 5.5 Dekningsgrad 6-åringer med tilbud i skole. Kommunene gruppert etter fylke. 1994 og 1995.

Kilde: (Kilde: Statistisk sentralbyrå).

5.3.2 Grunnskole

Den sentrale målsettingen i grunnskolesektoren er at alle barn skal få en likeverdig grunnopplæring uavhengig av foreldrenes bosted. økonomi og etniske tilhørighet. Dette innebærer ikke at alle skal få samme tilbud. men at tilbudet skal gis i forhold til den enkeltes behov.

I Norge er grunnskolen obligatorisk og med få unntak vil alle barn i alderen 7-15 år være elever i grunnskolen. Dekningsgraden vil dermed være tilnærmet 100 prosent for alle kommuner. Bosettingsmønsteret i en kommune vil påvirke kostnadene ved å drive grunnskolen. fordi dette påvirker størrelsen på klassene.

Tabell 5.2 viser enkelte nøkkeltall for grunnskolen på landsbasis i perioden 1980-1996.

Tabell 5.2 Nøkkeltall for å beskrive enkelte forhold i grunnskolen 1980-1996 (Kilde: Kirke-. utdannings- og forskningsdepartementet)

19801985199019921993199419951996
Antall elever591 323534 000471 779463 309467 865471 285478 711486 739
Antall klasser28 57426 55924 69223 85223 82424 01324 29724 529
Elever pr. klasse20,720,119,119,419,619,619,719,8
Årstimetall pr. elev85,584,384,683,2
Årstimetall pr. klasse1 66316541 6661 652
Årsverk pr. elev1 )0,100,100,100,10
Årsverk pr. klasse1,952,022,022,03
Ekstratimer pr. elevtime0,490,500,530,51

1) Årsverk omfatter administrativt personale og undervisningspersonale med og uten godkjent utdanning og assistenter. Tallene omfatter ikke elever, klasser og lærerressurser ved spesialskoler og norske skoler i utlandet.

Av tabell 5.2 framgår det at elevtallet i grunnskolen gikk ned med 128 000 elever i perioden 1980-1992. Fra 1993 snudde denne trenden på grunn av større barnekull. Antall klasser ble redusert med 16.6 prosent i perioden 1980-1993. Fra 1994 viser klassetallet igjen en liten økning. noe som har sammenheng med vekst i barnetallet. Elever pr. klasse nådde sitt minimum i 1990 med 19.1 for så å øke de neste årene til 19.8 i 1996.

Årstimetallet er summen av alle lærertimer. Årstimetallet pr. elev gikk tilbake fra 1993 til 1996. noe som kan ha sammenheng med en vekst i gjennomsnittlig elevtall pr. klasse. Årstimetallet pr. klasse har vært om lag konstant fra 1993-1996. Årsverk pr. elev holdt seg uforandret fra 1993 til 1996. Årsverk pr. klasse har økt noe de senere årene. mens det gjennomsnittlig var 1.95 årsverk pr. klasse i 1993 var det i 1996 2.03. En økt ressursinnsats pr. klasse uten tilsvarende økning i årstimetallet pr. klasse kan ha sammenheng med større vektlegging av planlegging og administrative oppgaver.

Ekstratimer defineres som delingstimer med og uten valgfag. spesialundervisning og norsk- og morsmålsundervisning. Elevtimetallet er den ordinære undervisningsressursen. I skoleåret 1996/97 var det på landsbasis i gjennomsnitt 0.51 ekstratimer pr. elevtimer.

Figur 5.6 viser utviklingen i antall elever og antall elever pr. klasse i perioden 1988-1996 på indeksert form. der 1988=100. Som det framgår av figuren gikk antall elever ned fra 1988-1992. for så å stige. Antall elever pr. klasse gikk tilbake fra 1988 til 1990. men har deretter økt.

Figur 5.6 Utvalgte nøkkeltall for å beskrive enkelte forhold i grunnskolen. 1988-96. (Indeks 1988=100)

Figur 5.6 Utvalgte nøkkeltall for å beskrive enkelte forhold i grunnskolen. 1988-96. (Indeks 1988=100)

Kilde: (Kilde: Kirke-. utdannings- og forskningsdepartementet)

Dersom skoletilbudet skal være akseptabelt m.h.t. reisetid. skolestørrelse m.m.. vil antall elever i klassen og antall lærerårsverk pr. elev i stor grad være avhengig av bosettingsmønsteret. Variasjon i antall årsverk pr. klasse vil i større grad beskrive variasjoner i ressursnivået i grunnskolen siden betydningen av bosettingsmønsteret og valgt skolestruktur blir mindre.

Figur 5.7 viser årsverk pr. klasse for kommunene gruppert etter fylke i 1996. Som det framgår av figuren har Finnmark flest årsverk pr. klasse med 2.3 årsverk. Alle fylkene har over 2.0 årsverk pr. klasse unntatt Vest-Agder og Møre og Romsdal. som begge har 1.9.

Figur 5.7 Årsverk pr. klasse. kommunene gruppert etter fylke. 1996.

Figur 5.7 Årsverk pr. klasse. kommunene gruppert etter fylke. 1996.

Kilde: (Kilde: Kirke-. utdannings- og forskningsdepartementet)

Spesialundervisning etter enkeltvedtak og delingstimer inklusive valgfag og morsmålsundervisning kommer i tillegg til basisressursen samlet elevtimetall. Bruken av spesialundervisning og delingstimer avhenger i stor grad av kommunale prioriteringer. selv om enkelte elevgrupper har rett til spesialundervisning (eller t- timer) grunnet bl.a. ulike typer funksjonshemming. Indikatoren er derfor egnet for å studere kommunal variasjon i ressursinnsats. selv om den også sier noe om hvordan kommunene prioriterer. Alternativt til å ha en høy ekstratimeressurs kan en kommune velge å ha færre elever pr. klasse.

Figur 5.8 viser variasjonen i nivået på tildelte ekstra lærertimer pr. elev pr. år som andel av samlet elevtimetall pr. år. Figur 5.8 viser også sum ekstra timer eksklusive norsk- og morsmålsundervisning. Disse timene er tatt ut fordi det her gis særtilskudd fra staten. og de derfor i mindre grad vil påvirkes av kommunale prioriteringer.

Figur 5.8 Sum ekstratimer. med og uten norsk- og morsmålsundervisning. som andel av sum elevtimetall. kommunene gruppert etter fylke. 1996

Figur 5.8 Sum ekstratimer. med og uten norsk- og morsmålsundervisning. som andel av sum elevtimetall. kommunene gruppert etter fylke. 1996

Kilde: (Kilde: Kirke-. utdannings- og forskningsdepartementet)

Som det framgår av figur 5.8 er det relativt store variasjoner mellom kommunene når det gjelder ressursinnsats til ekstraundervisning. For ekstraundervisning inkludert norsk- og morsmålsundervisning bruker kommunene i Oslo og Finnmark mest ressurser på ekstraundervisning. mens Vest- Agder . Sør- Trøndelag og Møre og Romsdal bruker minst.

Hvis en ser bort fra norsk- og morsmålsundervisningen. bruker kommunene i Finnmark mest ressurser på ekstraundervisning. mens Vest- Agder og Møre og Romsdal bruker minst.

For kommunene kan det være et alternativ å ha lav klassestørrelse fremfor å ha en høy andel ekstraundervisning i form av delingstimer og spesialundervisning. Tabell 5.3 viser sammenhengen mellom klassestørrelsen og andel ekstraundervisning.

Tabell 5.3 Sum ekstratimer som andel av sum elevtimetall. Kommunene gruppert etter gjennomsnittlig klassestørrelse. Skoleåret 1996/97.

Ekstraundervisning som
Elever pr. klasseAntall kommunerandel av elevtimetallet
7,7-14,4870,49
14,5-16,4870,51
16,5-18,6870,53
18,7-20,4870,54
20,5-24,4870,55

Kilde: (Kilde: Kirke-, utdannings- og forskningsdepartementet.

Det fremgår av tabellen at det er en viss tendens til at kommuner med lav gjennomsnittlig klassestørrelse har noe lavere andel spesialundervisning enn kommuner med gjennomsnittlig flere i klassene. Tendensen er imidlertid ikke sterk. noe som tyder på at hvor mye ekstraressurser som settes inn først og fremst har sammenheng med behovene til elevene og hvor høyt grunnskolen blir prioritert.

5.3.3 Helsetjenester

Helsetjenestens oppgave er å sikre trygghet for at alle får hjelp til å diagnostisere og så langt som mulig - behandle og rehabilitere sykdommer. Helsetjenesten skal også bidra til helsefremmende og forebyggende arbeid. I det følgende presenteres statistikk over årsverksinnsatsen i kommunehelsetjenesten basert på Statistisk Sentralbyrås kommunehelsetjenestestatistikk. Pleie- og omsorgstjenesten er ikke inkludert. det vises her til kapittel 5.3.4. Årsverksinnsatsen i kommunehelsetjenesten gir et bilde av aktiviteten i kommunehelsetjenesten. Det er imidlertid viktig å være oppmerksom på at statistikken ikke gir like god oversikt over alle aktiviteter i kommunehelsetjenesten. bl.a. er statistikken over aktivitet innenfor miljørettet helsevern og rehabilitering mangelfull.

Figur 5.9 Utførte årsverk av ulike yrkesgrupper i kommunehelsetjenesten. Prosent. 1995.

Figur 5.9 Utførte årsverk av ulike yrkesgrupper i kommunehelsetjenesten. Prosent. 1995.

Kilde: (Kilde: Statistisk sentralbyrå).

I 1995 utgjorde legene og fysioterapeutene de største yrkesgruppene innen kommunalt helsevesen. og står henholdsvis for 36 prosent og 33 prosent av årsverkene. Sykepleiere og hjelpepleiere står for til sammen 29 prosent av årsverkene. Tabell 5.4 viser at antallet legeårsverk har økt med om lag 9 prosent i perioden 1991-1995. mens sykepleiere og hjelpepleiere siden 1992 har hatt en tilbakegang i antall årsverk. Fysioterapeuter har hatt en jevn vekst i antall årsverk i perioden 1991-1995. Årsverk i pleie og omsorg er ikke inkludert. bortsett fra for psykiatriske sykepleiere. Legeårsverkene er inklusive avtale om forlenget arbeidstid (til sammen 131 årsverk i 1995).

Tabell 5.4 Antall årsverk for enkelte yrkesgrupper innen kommunalt helsevesen. 1991-1995.

19911992199319941995
1Leger3 0783 1293 2233 2653 367
2Leger pr. 1 000 innbyggere0,720,730,750,750,77
3Fysioterapeuter2 7472 8192 8922 9213 033
4Jordmødre125145161160207
5Psykiatriske sykepleiere478612
6Sykepleiere og hjelpepleiere3 0513 6322 1092 0202 020
Derav helsesøstre1 2471 2551 3551 4551 502
7Annet helsepersonell (sum linje 3-6)5 9236 5965 1625 5795 872
8Annet helsepersonell pr. 1 000 innbyggere1,391,531,191,281,34

Kilde: (Kilde: Statistisk sentralbyrå).

Figur 5.10 viser antall legeårsverk pr. 10 000 innbyggere i 1995. Kommunene er gruppert etter fylke. Fylkesoversikten kan skjule store variasjoner kommuner imellom. Turnuskandidater er inkludert i gruppen kommuneleger. Dette har betydning for framstillingen siden de kan beordres dit hvor det er minst dekning av private leger. Turnuskandidatene er nyutdannede medisinske kandidater og har dermed ingen erfaring fra kommunehelsetjenesten. Figuren viser at kommuner i de fire nordligste fylkene har langt flere kommuneleger en kommuner ellers i landet. Dette oppveies langt på vei av at antall legeårsverk av privatpraktiserende leger er mye større i andre deler av landet enn i kommunene i de nordligste fylkene. Kommunene i Østfold. Akershus og Vestfold har færrest antall legeårsverk pr. innbygger i 1995 når man ser på kommuneleger og privatpraktiserende leger under ett.

Figur 5.10 Legeårsverk pr. 10 000 innbyggere. Kommunene gruppert etter fylke. 1995.

Figur 5.10 Legeårsverk pr. 10 000 innbyggere. Kommunene gruppert etter fylke. 1995.

Kilde: (Kilde: Statistisk sentralbyrå).

Forebyggende helsearbeid i kommunene

Mens det lenge har vært et helsepolitisk mål å styrke det forebyggende helsearbeid. har det vist seg vanskelig å tallfeste hvor mye kommunene nedlegger i forebyggende arbeid. Delvis er viktige forebyggende funksjoner som miljørettet helsevern ikke definert i statistikken til nå. og delvis vil forebyggende funksjoner inngå i oppgaver med andre hovedformål. Skole- og helsestasjonstjeneste er i hovedsak en ren forebyggende virksomhet. og gir en indikasjon på hvordan kommunene prioriterer forebyggende arbeid.

I 1995 var 2 550 årsverk knyttet til helsestasjons- og skolehelsetjenesten. Helsesøstrene utgjør den største yrkesgruppen og står for ca. 60 prosent av årsverkene. mens fysioterapeutene står for 9 prosent og legene 8 prosent. I perioden 1987-95 har helsestasjons- og skolehelsetjenesten hatt en vekst på om lag 50 prosent målt i antall årsverk. Dette gjennomsnittsmålet skjuler en stor variasjon mellom kommunene. Enkelte kommuner har hatt en stagnasjon eller tilbakegang. mens andre har hatt en sterk vekst (Finnvold 1994). Tabell 5.5 og figur 5.11 viser utførte årsverk i skole- og helsestasjonstjeneste i 1987-1995. fordelt på fysioterapeuter. leger og helsesøstre/øvrig personell.

Tabell 5.5 Utførte årsverk i skole- og helsestasjonstjeneste. 1987-19951)

198719881989199019911992199319941995
Leger210200198208209212220210213
Fysioterapeuter7587103119145157183237241
Helsesøstre/øvrig personell1 2131 3521 3931 4161 4921 5161 7121 9242 096
Totalt1 4981 6391 6941 7431 8461 8852 1152 3712 550

1) Personell uten helsefaglig utdanning ble inkludert i statistikkgrunnlaget i 1988 (helsestasjonene) og 1994 (skolehelsetjenesten). Dette personellet utgjorde 296 årsverk i 1995.

Kilde: (Kilde: Statistisk sentralbyrå)

Figur 5.11 Utførte årsverk av ulike yrkesgrupper i skole- og helsestasjonstjenesten. Prosent. 1995 (N=2 550).

Figur 5.11 Utførte årsverk av ulike yrkesgrupper i skole- og helsestasjonstjenesten. Prosent. 1995 (N=2 550).

Kilde: (Kilde: Statistisk sentralbyrå)

Legenes ressursinnsats har vært relativt stabil i hele perioden 1987-95. men samtidig har barnetallet økt. Fysioterapeutene har mer enn tredoblet sin innsats siden 1987. Kommunene har tildels store problemer med å besette helsesøsterstillinger. men antall ubesatte helsesøsterstillinger er redusert fra 1994 til 1995. I 1994 var nesten en av ti stillinger ledige. mens det i 1995 var 7 prosent ubesatte helsesøsterstillinger. I de minst sentrale kommunene var 17 prosent ubesatt og 4 prosent i de mest sentrale. Disse problemene er noe mindre når det gjelder fysioterapeuter og minst når det gjelder legestillinger.

Tabell 5.6 viser at vaksinasjonsdekningen på landsbasis har hatt en positiv utvikling de senere år med unntak av 1995 da vaksinasjonsdekningen for småbarn gikk noe ned. I 1995 var 93 prosent av alle 1-åringer vaksinert mot polio. mens det tilsvarende tallet for 1994 var 95 prosent. 98 prosent av alle 9. klassinger hadde fått MMR-vaksine i 1995. Dette gir en god indikasjon på aktiviteten ved helsestasjoner og skolehelsetjenesten.

Tabell 5.6 Vaksinasjonsdekning - virksomhet i helsestasjons- og skolehelsetjenesten. 1993-95. Prosent.

199319941995
Andel 1-åringer med 3. poliovaksine93,495,193
Andel 9. klassinger med MMR-vaksine97,098,298,8

5.3.4 Pleie- og omsorg

Regjeringens målsetning er at alle skal sikres et tilfredsstillende og mest mulig likeverdig tilbud av pleie- og omsorgstjenester. uavhengig av bosted. inntekt og sosial status. De sentrale tjenestene innen sektoren er eldreomsorg. omsorg for mennesker med psykisk utviklingshemming og pleie og omsorg for andre grupper av funksjonshemmede. Det er valgt å konsentrere framstillingen omkring tjenestene til de eldre. Alle indikatorene skriver seg fra samme tallgrunnlag som sammenligningstallene i styrings- og informasjonssystemet for helse- og sosialtjenestene.

Samlet ressursinnsats

I figur 5.12 vises utviklingen på landsbasis i antall utførte årsverk i perioden 1991 til 1995 innen pleie- og omsorgssektoren i kommunene. I samme figur vises utviklingen i antall årsverk i forhold til innbyggertallet over 67 år for å illustrere utviklingen i ressursinnsats i forhold til potensielle brukere. I tabell 5.7 vises utviklingen i nøkkeltall.

Fra 1991 til 1995 økte antall årsverk med omlag 18 prosent eller med om lag 10 700 årsverk. Årsverksinnsatsen økte sterkt fra 1991 til 1993. men det var en svak nedgang fra 1993 til 1994. Fra 1994 til 1995 viser figur 5.12 en vekst i antall årsverk. og ressursinnsatsen er nå høyere enn i 1993. Den sterke veksten fra 1991 har sammenheng med overføring av personell og økte ressurser fra fylkeskommunene til kommunene i forbindelse med ansvarsreformen for psykisk utviklingshemmede.

Som omtalt i Velferdsmeldingen og dokumentert i St.meld. nr. 34 (1996-97) Resultater og erfaringer fra Regjeringens handlingsplaner for funksjonshemmede og veien videre. har yngre funksjonshemmede et lavt forbruk av pleie- og omsorgstjenester sett i forhold til funksjonsnivået. Behovet til personer med psykiske lidelser er omtalt i St.meld. nr. 25 (1996-97). Regjeringen forutsetter at kommunene viderefører oppbyggingen av tilbudet til andre høyt prioriterte grupper med behov for pleie- og omsorgstjenester samtidig som de nasjonale målene for eldresatsingen blir fulgt opp.

Figur 5.12 Utviklingen i utførte årsverk innenfor pleie- og omsorgssektoren i kommunene. 1991 - 1995.

Figur 5.12 Utviklingen i utførte årsverk innenfor pleie- og omsorgssektoren i kommunene. 1991 - 1995.

Kilde: (Kilde: Statistisk Sentralbyrå- tellingstidspunkt 31.12)

Det totale antallet eldre har vært om lag konstant de senere årene. noe som betyr at eldreandelen i befolkningen har gått ned. Derimot har det de senere årene vært en vridning i alderssammensetningen blant de eldre. Av tabell 5.7 ser vi at det har vært en relativt sterk vekst i antallet eldre over 79 år. Dette bidrar til et økt utgiftsbehov i sektoren.

Tabell 5.7 Nøkkeltall for å beskrive utviklingen i årsverksinnsatsen i pleie- og omsorgssektoren i kommunene. 1991-1995.

19911992199319941995
Antall årsverk i alt58 95366 43069 39568 93869 647
Antall personer i alt 67 år og over616 776679 773620 751621 786621 533
Antall personer i alt 80 år og over163 239167 316169 705173 480176 503
Årsverk pr. 100 innbygger 67 år og over1011111111

Kilde: (Kilde: Statistisk Sentralbyrå.)

Figur 5.13 viser antall årsverk innen pleie- og omsorgssektoren pr. 100 innbyggere over 67 år. Kommunene er her gruppert etter fylke. Antall årsverk pr. 100 innbyggere varierer mellom 9.4 og 18.4. Kommunene i Finnmark. Troms og Nord-Trøndelag har i gjennomsnitt flest årsverk. mens kommunene i Buskerud. Østfold og Akershus har lavest antall årsverk sammenlignet med eldreandelen i befolkningen.

Figur 5.13 Antall årsverk i pleie- og omsorgssektoren pr.100 innbyggere over 67 år. Kommunene gruppert etter fylke. 1995.

Figur 5.13 Antall årsverk i pleie- og omsorgssektoren pr.100 innbyggere over 67 år. Kommunene gruppert etter fylke. 1995.

Kilde: (Kilde: Statistisk Sentralbyrå)

Figur 5.14 viser variasjonen i årsverksinnsatsen når kommunene grupperes etter variasjon i «korrigerte frie inntekter pr. innbygger». «Korrigerte frie inntekter» beregnes ved å vekte summen av skatt og rammetilskudd med størrelsen på utgiftsbehovet i kommunen (som kostnadsindeks er det brukt kostnadsnøkkelen i inntektssystemet). En kommune med et utgiftsbehov høyere enn gjennomsnittet vil gjennom korrigeringen få justert ned sine inntekter. mens en kommune med et utgiftsnivå som er lavere enn gjennomsnittet. vil få justert opp inntektene. Slik tas det hensyn til at en må se på utgiftsnivået ved siden av inntektsiden hvis en skal måle kommunens reelle inntektsnivå. I hovedsak har kommuner med det høyeste nivået på de korrigerte inntektene lavt innbyggertall. Beregning og nivå på de «korrigerte frie inntekter» for 1995 er nærmere beskrevet i rapport fra november 1996 fra Det tekniske beregningsutvalget for kommunal og fylkeskommunal økonomi.

Figur 5.14 Antall årsverk i pleie- og omsorgssektoren pr. 100 innbyggere over 67 år i 1995. Kommunene er gruppert etter nivå på «korrigerte frie inntekter» i 1995 i prosent av landsgjennomsnittet.

Figur 5.14 Antall årsverk i pleie- og omsorgssektoren pr. 100 innbyggere over 67 år i 1995. Kommunene er gruppert etter nivå på «korrigerte frie inntekter» i 1995 i prosent av landsgjennomsnittet.

Kilde: (Kilde: Statistisk Sentralbyrå og Kommunal- og arbeidsdepartementet)

Det er en klar sammenheng mellom nivået på korrigerte frie inntekter og årsverksinnsatsen i pleie- og omsorgssektoren. Den tiendedelen av kommunene som har det høyeste nivået på de korrigerte inntektene har i gjennomsnitt over 18 årsverk pr. 100 innbyggere. Tilsvarende tall for de kommunene som ligger i den nedre tidelen er i overkant av 10 årsverk. Dette antyder at inntektsnivå har en klar betydning for ressursinnsatsen.

Hjemmebaserte tjenester

De hjemmebaserte tjenestene gis som hjemmesykepleie og/eller hjemmehjelp. I tabell 5.8 vises utviklingen i antallet som mottar hjemmebaserte tjenester fra 1992 til 1995. På grunn av omlegging av statistikken foreligger ikke sammenlignbare tall fra før 1992.

Tabell 5.8 Mottagere av hjemmetjenester i alt og etter tjeneste. 1992-95.

Mottakere avMottakere avMottakere av
Mottakerebåde hjemme-bare hjemme-bare hjemme-
i alt1)sykepleie oghjelpsykepleie
hjelp
1992146 27250 11070 84625 313
1993142 62348 65669 42924 538
1994142 35447 15673 14721 964
1995134 52945 22868 74719 942

1) For 1994 er 87 mottakere ikke fordelt på tjenestetype, og for 1995 er 612 mottakere ikke fordelt.

Kilde: (Kilde: Statistisk Sentralbyrå.)

Tabellen viser at det var en nedgang på 8 prosent i antall mottagere av hjemmetjenester fra 1992 til 1995. Fra 1994 til 1995 er det registrert en nedgang på om lag 7 800 mottakere. Den relativt sterkeste nedgangen fra 1992 til 1995 har vært blant brukere som bare mottar hjemmesykepleie. Det er vanskelig å si hva som forklarer nedgangen i antall brukere. Den samlede ressursinnsatsen i sektoren har økt noe fra 1992 til 1995. Reduksjonen i antall mottakere kan ha sammenheng med at innsatsen generelt i større grad rettes inn mot brukere med størst hjelpebehov. Færre får hjelp. men de som mottar hjelp får mer.

Tabell 5.9 Mottakere av hjemmetjenester etter alder. 1992-1995.

Under80 år
År67 år67-79 årog over
199224 87053 17166 817
199324 36950 84667 406
199426 81048 73066 398
19951)24 04545 72764 145

1) 612 mottakere er ikke fordelt på alder.

Kilde: (Kilde: Statistisk Sentralbyrå)

Tabellen viser at nedgangen i antall brukere blant de eldre først og fremst har vært i aldersgruppen 67 til 79 år.

Figur 5.15 viser variasjonen mellom kommunene i dekningsgrad for hjemmetjenestene målt som antall mottakere pr. innbygger over 67 år.

Figur 5.15 Antall mottakere av hjemmetjenester pr. 100 innbyggere over 67 år. Kommunene gruppert etter fylke. 1995.

Figur 5.15 Antall mottakere av hjemmetjenester pr. 100 innbyggere over 67 år. Kommunene gruppert etter fylke. 1995.

Kilde: (Kilde: Statistisk Sentralbyrå)

Figur 5.15 viser at kommunene i Finnmark i gjennomsnitt har den høyeste dekningsgraden i landet innen de hjemmebaserte tjenestene. Deretter kommer kommunene i Nord-Trøndelag. Troms og Nordland. Laveste dekningsgrad har i gjennomsnitt kommunene i Akershus og Østfold. Variasjonene som her er vist kan skyldes flere forhold. For det første kan det bety ulik prioritering av pleie- og omsorgstjenester i kommunene. men det kan også bety at noen kommuner satser på hjemmebaserte tjenester framfor institusjonsbaserte. I tillegg vet vi at muligheten for privat omsorg varierer relativt sterkt mellom kommunene. Dette vil også påvirke behovet for kommunale pleie- og omsorgstjenester. Inntektsforskjeller mellom kommunene vil også påvirke dekningsgraden.

Eldreinstitusjoner

Som det framkommer av tabell 5.10 har antallet av de eldste eldre økt de senere årene. I 1991 var det omlag 163 000 innbyggere over 79 år. men tilsvarende tall for 1995 var om lag 176 500. Dette betyr en økning på over 8 prosent. Fra 1991 til 1995 har samtidig antallet over 90 år økt. Sykeligheten øker med alderen. I tillegg blir gjerne det sosiale nettverket bestående av familie og venner. redusert med årene. Dermed avtar også muligheten for privat omsorg. Vanligvis er det derfor de eldste eldre som har behov for institusjonsplass. Av tabell 5.10 framgår det at antall plasser i boformer med heldøgns omsorg er redusert med 3.6 prosent fra 1991 til 1995. Dette utgjør om lag 1 600 plasser. Dette betyr at dekningsgraden på landsbasis i perioden har blitt redusert fra om lag 28 plasser pr. innbygger over 67 år i 1995 til om lag 25 plasser pr. 100 innbygger i 1995. Tabell 5.10 viser imidlertid at standarden målt som årsverk pr. plass økte jevnt fra 1991 til 1993. Fra 1994 kan vi ikke si noe eksakt om utvikling i standard. fordi statistikken ikke lenger skiller mellom årsverk i hjemmetjenester og i institusjoner og andre boformer med heldøgnstjenester.

Tabell 5.10 Nøkkeltall for å beskrive enkelte forhold omkring eldreinstitusjonene. 1991-95.

19911992199319941995
Antall personer 80 år og over163 239167 316169 705173 480176 503
Antall plasser i alt1 )45 94645 89045 76744 94144 271
Antall årsverk38 63739 18839 357
Årsverk pr. plass0,840,850,86
Dekningsgrad, antall plasser pr. 1 000 personer 80 år og over282274270259251
Eneromsplasser30 167
Andel enerom0,692)

1) Plasser i alt er definert som plasser i institusjoner og andre boformer for eldre med heldøgns tilsyn som disponeres av kommunen. (Tellingstidspunkt 20.1.1996. Endelige tall pr. 15. juni 1996.)

2) Fylkeskommunale plasser som disponeres av kommunene er ikke tatt med.

Kilde: (Kilde: Statistisk Sentralbyrå).

I figur 5.16 vises variasjonen i dekningsgrad for institusjonsplasser. Variasjonene er store. Kommunene i Finnmark tilbyr i gjennomsnitt nærmere halvparten av de eldre over 79 år en plass i et botilbud med heldøgnstilbud. Laveste dekningsgrad har kommunene i Østfold og Vestfold med henholdsvis 19 og 22 plasser pr. 100 innbygger i aldersgruppen. Dette betyr at kommunene i disse fylkene i gjennomsnitt hadde samme dekningsgrad ved utgangen av året 1995 som ved utgangen av året 1994. Variasjonen mellom fylkene virker relativt store. og fylkesgjennomsnittene tyder på at variasjonen i tilbudet kommunene i mellom har økt fra 1994 til 1995. Imidlertid kan etterspørselen variere kommunene imellom. Behovet for en institusjonsplass avhenger bl.a av sykelighet. Det antas at sykeligheten i Finnmark og i Oslo er høyere enn i landet for øvrig. Dette kan være med på å forklare den høye utbyggingsgraden i Finnmark. I tillegg har eneromsdekning betydning. jf. figur 5.17.

Figur 5.16 Antall plasser i boformer med heldøgnstilsyn pr. 100 innbyggere 80 år og over. Kommunene er gruppert etter fylke. 1995.

Figur 5.16 Antall plasser i boformer med heldøgnstilsyn pr. 100 innbyggere 80 år og over. Kommunene er gruppert etter fylke. 1995.

Kilde: (Kilde: Statistisk Sentralbyrå)

For Regjeringen er utbygging av enerom i institusjoner for eldre en sentral målsetting. som har blitt fulgt opp gjennom egne finansieringsordninger. På landsbasis har andelen enerom økt fra 61 prosent i 1991 til 69 prosent i 1995. I figur 5.17 vises variasjonen i andelen enerom kommunene i mellom.

Figur 5.17 Antall enerom i eldreinstitusjoner pr. 100 plass.. Kommunene gruppert etter fylke. 1995.

Figur 5.17 Antall enerom i eldreinstitusjoner pr. 100 plass.. Kommunene gruppert etter fylke. 1995.

Kilde: (Kilde: Statistisk Sentralbyrå)

I gjennomsnitt har kommunene i Telemark. Vest-Agder. Vestfold og Buskerud den høyeste andelen enerom i de ulike boformene for eldre med heldøgnsomsorg. I gjennomsnitt er andelen enerom i kommunene i disse fylkene over 80 prosent. Lavest andel enerom har Finnmark. og Nordland med en andel rundt 60 prosent. Av figur 5.16 framkom det at Finnmark hadde høyeste dekningsgrad for institusjonsplasser. Tilsvarende var kommunene i Telemark blant fylkene med lavest dekningsgrad. Dette kan til en viss grad tyde på at kommunene som velger å gi et tilbud til mange i mindre grad prioriterer høy standard på tilbudet. Imidlertid vil relativt mange eldre ha tilbud om enerom også i Finnmark. fordi utbyggingsgraden av institusjonsplasser er meget høy. Det er også sett på sammenhengen mellom kommunenes økonomi og utbyggingsgraden av enerom. I figur 5.18 vises antall enerom pr. 100 innbyggere 80 år og over når kommunene grupperes etter nivået på «korrigerte inntekter» (jf. avsnitt om ressursinnsats).

Figur 5.18 Antall enerom i eldreinstitusjoner pr. 100 innbyggere 80 år og over. Kommunene er gruppert etter «korrigert inntekt». 1995.

Figur 5.18 Antall enerom i eldreinstitusjoner pr. 100 innbyggere 80 år og over. Kommunene er gruppert etter «korrigert inntekt». 1995.

Kilde: (Kilde: Statistisk sentralbyrå og Kommunal- og arbeidsdepartementet)

Som det framkommer av figur 5.18 har kommunene med det høyeste nivået på de korrigerte inntektene i gjennomsnitt den klart høyeste dekningsgraden av enerom relatert til innbyggertallet over 79 år. Dette indikerer at inntektsnivå har betydning for antallet enerom.

Situasjonen i de største byene

På grunn av at om lag 20 prosent av de eldre er bosatt i de største byene er det her valgt å omtale dekningsgraden innen pleie- og omsorgstjenestene for Oslo. Bergen og Trondheim særskilt.

Graden av privat omsorg er gjerne lavere i storbyene enn i landet for øvrig. Samtidig vil de eldres boformer i storbyene ofte innebære lavere tilgjengelighet i forhold til egen bolig enn i boformer i mindre urbane områder. Dette er faktorer som kan tilsi at hjelpebehovet kan være større i storbyene enn i landet for øvrig. Samtidig kan stor befolkningskonsentrasjon innebære at kommunene lettere kan oppnå en effektiv drift innen sektoren. Bosettingsmønsteret har betydning både for transportkostnader og tid som går bort til reiser for pleiepersonellet.

Figur 5.19 viser dekningsgrad innen hjemmetjenestene for Oslo. Bergen og Trondheim.

Figur 5.19 Dekningsgrad innen hjemmetjenester og eldreinstitusjoner i Oslo. Bergen og Trondheim og landet 1995. Sammenlignet med landsgjennomsnittet.

Figur 5.19 Dekningsgrad innen hjemmetjenester og eldreinstitusjoner i Oslo. Bergen og Trondheim og landet 1995. Sammenlignet med landsgjennomsnittet.

Kilde: (Kilde: Statistisk sentralbyrå)

Både Trondheim og Bergen har en noe høyere utbyggingsgrad enn landsgjennomsnittet innen eldreinstitusjonene. I begge byene tilbys 26 av 100 innbyggere over 79 år en plass. mens dekningsgraden på landsbasis er 25 prosent. Oslo ligger noe lavere enn landsgjennomsnittet. For hjemmetjenestene har Bergen et tilbud om lag som dekningsgraden for landet. om lag 18 av 100 eldre over 67 år får et tilbud. I Trondheim er tilbudet betydelig lavere. i underkant av 11 prosent av de eldre tilbys hjemmetjenester. Oslo ligger noe over landsgjennomsnittet. Dette kan bety en bevisst prioritering av ressursene til hjemmetjenestene.

5.3.5 Sosialhjelp

Det overordnede målet med sosiale tjenester er bl.a. å fremme økonomisk og sosial trygghet. og å bidra til at den enkelte får mulighet til å leve og bo selvstendig og til å ha en aktiv og meningsfylt tilværelse i fellesskap med andre.

Økonomisk sosialhjelp gis til personer som av ulike årsaker ikke kan sørge for sitt livsopphold selv. Stønaden skal ta sikte på å gjøre vedkommende selvhjulpen. Sosialtjenesten skal samarbeide med andre etater slik at sosialhjelpsmottakerne på sikt kan gjøre seg uavhengig av slik hjelp. jf. bl.a. omtale av tverretatlig samarbeid i velferdsmeldingen.

For personer som arbeid av ulike årsaker ikke er et aktuelt alternativ for. vil det være aktuelt for sosialtjenesten å bidra til at vedkommende kan ta del i aktiviseringsprosjekter.

Tabell 5.11 viser utvalgte nøkkeltall som beskriver enkelte forhold innen sosialhjelpstjenesten på landsbasis.

Tabell 5.11 Utvalgte nøkkeltall for utviklingen i bruken av økonomisk sosialhjelp. 1985-1995.

1994-95
19851990199319941995Endr. i pst.
Antall sosialhjelpstilfeller1 )106 439165 355177 732177 657171 528-3,4
Antall innbyggere, 16 år og over3 238 5613 371 6073 422 4163 436 2543 450 8080,4
Antall sosialhjelpstilfeller i prosent av antall innbyggere, 16 år og over3,34,95,25,25,0
Antall langtidsbrukere av sosialhjelp, med stønad i 6-12 mnd.27 38455 41063 42663 68963 7010
Antall langtidsbrukere av sosialhjelp i prosent av antall sosialhjelpstilfeller25,733,335,735,837,1

1) I statistikken skilles det mellom sosialhjelpstilfeller og sosialhjelpsmottakere. Tallet på tilfeller er høyere enn tallet på mottakere, fordi en og samme person kan ha fått hjelp fra flere kommuner. Vedkommende blir da regnet som flere tilfeller.

Det framgår av tabell 5.11 at antall sosialhjelpstilfeller ble redusert fra 1993 til 1995. Som andel av befolkningen gikk antall sosialhjelpstilfeller ned fra 5.2 til 5.0 prosent fra 1993 til 1995. Over 6 000 færre mottok økonomisk sosialhjelp i 1995 enn i 1993. I følge foreløpige tall fra Statistisk sentralbyrå. Ukens statistikk nr. 40 1996. har den sterke veksten i antall sosialhjelpstilfeller som startet på 1980- tallet stoppet opp. Klienttallet i 1995 sett i forhold til befolkningen ligger omtrent på samme nivå som i 1990.

Antall langtidsbrukere. som her defineres som antall sosialhjelpstilfeller med stønad i 6-12 mnd. . har derimot vært om lag konstant fra 1993 til 1995. Som andel av antall sosialhjelpstilfeller økte antall langtidsbrukere fra 35.8 prosent i 1993 til 37.1 prosent i 1995.

Figur 5.20 viser hvor stor andel sosialhjelpstilfellene over 16 år utgjør av innbyggerne over 16 år i landets ulike fylker. Som det framgår av figuren. hadde Oslo i 1995 den høyeste andelen på 7.0 prosent. Deretter følger Finnmark og Aust- Agder med hhv. med 6.1 og 5.8 prosent. Alle disse fylkene har andeler over landsgjennomsnittet. som utgjør 5.0 prosent. Det er nærliggende å tro at bruken av økonomisk sosialhjelp i disse fylkene har sammenheng med den relativt høye arbeidsledigheten. For de øvrige fylkene ligger andelen sosialhjelpstilfeller lavere enn landsgjennomsnittet. Sogn og Fjordane hadde den laveste andelen på 2.8 prosent. At landsgjennomsnittet ligger forholdsvis høyt sammenlignet med gjennomsnittet i de fleste fylkene skyldes Oslo. som trekker opp landsgjennomsnittet med sin forholdsvis høye andel sosialhjelpstilfeller og et stort antall innbyggere.

Figur 5.21 viser andelen sosialhjelpstilfeller blant ungdom i 1995. dvs. innbyggere mellom 18-24 år. Her skiller Aust- Agder seg markant ut med en andel på 12.5 prosent. Deretter følger Oslo og Telemark med hhv. 11. 5 og 11.2 prosent. Landsgjennomsnittet ligger på 10.2 prosent. Sogn og Fjordane og Rogaland har de laveste andelene på hhv. 5.6 og 5.9 prosent.

Figur 5.22 viser antall langtidsbrukere av sosialhjelp. dvs. sosialhjelpstilfeller med stønad i 6-12 måneder. som andel av antall sosialhjelpstilfeller i 1995. Som det framgår av figuren skiller Oslo seg ut med den klart høyeste andelen på 45.8 prosent. Deretter følger Akershus med 37.3 prosent. De øvrige fylkene har lavere andeler enn landsgjennomsnittet. som ligger på 37.1. Det er særlig Oslo som bidrar til å trekke opp landsgjennomsnittet med sin høye andel langtidsbrukere og høyt antall innbyggere. Finnmark og Nord- Trøndelag har de laveste andelene langtidsbrukere på hhv. 21.1 og 21.7 og prosent.

5.3.6 Tall for sammenlignbare kommuner

I vedlegg 4 er det i tabell 1 vist dekningsgrader og ressursinnsats for barnehager. eldreomsorg og grunnskole for enkeltkommuner. Kommunene er gruppert etter relativ størrelse på beregnet utgiftsbehov og etter innbyggertall. Sammenstillingen av kommunene i grupper er gjort for at de skal være sammenlignbare langs flere dimensjoner.

Som mål på kommunens utgiftsbehov er brukt kostnadsnøkkelen i inntektssystemet for kommunene. Det vises til kommuneøkonomiproposisjonen for 1997 for en nærmere omtale av kostnadsnøkkelen. Foruten at det er vist indikatorer for dekningsgrad i barnehage og innen eldreomsorgen. er det vist ressursinnsats pr. elev i grunnskolen og pr. innbygger over 67 år i eldreomsorgen. I tillegg er det vist en indikator over samlet kommunal ressursinnsats innen disse tre sentrale tjenestene. Med visse modifikasjoner kan en forvente at kommuner med omlag samme nivå på beregnet utgiftsnivå vil ha omlag lik samlet ressursinnsats pr. innbygger.

Tabell 1 i vedlegg 4 viser at forskjellene både innen dekningsgrader og ressursinnsats innen de enkelte tjenestene er relativt store innenfor de samme kommunegruppene. En kan anta at disse variasjonene til en viss grad kan tilskrives ulike prioriteringer og behov i kommunene. Nivået på den samlede ressursinnsatsen pr. innbygger er imidlertid også til dels meget varierende innenfor samme gruppe av kommuner. Hvis en forutsetter at beregnet utgiftsbehov er en god indikasjon på kommunenes samlede utgiftsbehov. kan variasjon i ressursinnsatsen pr. innbygger derfor ikke forklares ved variasjon i behov. Inntektsforskjeller vil imidlertid langt på vei kunne forklare variasjoner i tjenesteytingsvolumet. I tabell 5.12 vises variasjon i nivå på samlet ressursinnsats når kommunene er gruppert etter nivå på «korrigerte inntekter».

Tabell 5.12 Samlet ressursinnsats innen eldreomsorg. grunnskole og barnehager når kommunene er gruppert etter nivå på «korrigerte inntekter» i prosent av landsgjennomsnittet. Tall fra 1995.1)

Korrigerte inntekter i pst.AntallAntall årsverk pr.
av landsgjennomsnittetkommuner1000 innbyggere
84-906233
91-946236
95-976237
98-1026242
103-1096245
110-1226250
123-1646258
Landet36

1) Landsgjennomsnittet er vektet med innbyggertallet, mens gjennomsnittet for den enkelte gruppe ikke er vektet, dvs. at alle kommuner i den enkelte gruppe teller likt, uavhengig av folketall.

Det inntektsbegrepet som her benyttes. korrigerte frie inntekter. er justert for ulikheter i utgiftsbehovet. Det viser derfor reelle inntektsforskjeller kommunene i mellom. Av tabell 5.12 framgår det at jo høyere inntekt pr. innbygger. jo høyere er den gjennomsnittlige samlede ressursinnsatsen. Forskjellene kan betegnes som svært store. I kommuner med det laveste nivået på de korrigerte inntektene er det om lag 33 årsverk pr. 1 000 innbygger. mens tilsvarende tall for kommunene med det høyeste nivået på de frie inntektene er 58. Av tabell 1 i vedlegg 4 framgår at det gjennomgående er kommuner med få innbyggere som har relativt flest årsverk. Ulikheter i samlet ressursinnsats for sammenlignbare kommuner vil derfor i stor grad kunne forklares ved inntektsforskjeller kommunene i mellom. Et annet moment som vil spille inn. men som er vanskelig å måle. er hvor effektivt kommunene organiserer driften.

5.4 Tjenesteproduksjon i fylkeskommunene

5.4.1 Fylkeskommunale helsetjenester

Somatiske spesialisthelsetjenester

Somatiske spesialisthelsetjenester omfatter foruten sykehus også fødehjem. spesialsykehjem. sykestuer og privatpraktiserende spesialister. Om de forskjellige tjenestene gis i sykehus eller i andre institusjoner. vil være avhengig av hvordan fylkeskommunene har valgt å organisere driften. Hovedtyngden av tjenestene gis imidlertid i sykehusene. I tabell 5.13 vises enkelte nøkkeltall for fylkeskommunenes somatiske sykehus fra 1990 til 1995. Med antall effektive senger menes størrelsen på det tilbudet som sykehusene er dimensjonert for.

Tabell 5.13 Nøkkeltall for somatiske sykehus. 1991-1995.

19911992199319941995
Antall årsverk1 )46 24646 35847 39647 88150 130
Antall effektive senger2 )14 54113 90713 71414 00214 534
Antall utskrivninger610 611627 032623 773633 982
Antall polikliniske konsultasjoner2 694 2732 767 0002 881 0902 903 0763 033 386

1 Årsverk er summen av antall heltids- og deltidsstillinger omregnet til heltidsstillinger ved utgangen av året.

2) Tallene inkluderer statlige sykehus og private klinikker. I 1995 var det 65 senger ved private klinikker og 1 283 senger i de statlige sykehusene.

Kilde: (Kilde: Statistisk Sentalbyrå)

Det er en helsepolitisk målsetning at pasientene så langt det er forsvarlig bør behandles poliklinisk framfor å innlegges i sykehus. Foruten at det ansees som det beste for pasientene. er denne strategien også den mest kostnadseffektive for fylkeskommunene. I perioden 1991 til 1995 har antallet polikliniske konsultasjoner økt med nærmere 13 prosent. I 1995 ble det utført i overkant av 3 millioner polikliniske konsultasjoner ved somatiske sykehus. Av dette ble om lag 7 prosent utført i statlig eller privat regi. Sammenlignet med 1994 var det i 1995 omtrent 76 000 flere konsultasjoner i sykehus som omfattes av de offentlige helseplanene. I samme periode har antallet effektive senger i sykehusene vært om lag konstant.

Antallet årsverk har økt fra 1991 til 1995 med i overkant av 8 prosent. Økningen må sees i sammenheng med den sterke veksten i antallet polikliniske konsultasjoner. Fra 1994 til 1995 økte antallet årsverk med 4.7 prosent. I følge Ukens statistikk 7/97 fra Statistisk Sentralbyrå kan en del av økningen tilskrives at korttidsvikarer har gått inn i faste stillinger. samt at flere private sykehus er inkludert i tallmaterialet. I 1995 var det til sammen 634 000 opphold for heldøgnspasienter ved somatiske sykehus. Sammenlignet med 1992 er dette en økning på om lag 23 000 utskrivninger. Sammenligner en antallet utskrivninger med sengekapasiteten tyder tallene på at oppholdstiden på sykehus pr pasient har blitt redusert. Forutsatt at kvaliteten på behandlingen er like god. kan dette tolkes som en produktivitetsøkning.

I figur 5.23 vises variasjonen i antall årsverk pr 1000 innbygger fylkeskommunene imellom til somatisk sykehusdrift og i antallet effektive senger pr. 1000 innbygger.

Figur 5.23 Årsverk og sengekapasitet etter sykehusets tilknytningsfylke. 1995.

Figur 5.23 Årsverk og sengekapasitet etter sykehusets tilknytningsfylke. 1995.

Kilde: (Kilde: Statistisk Sentralbyrå)

Variasjonen i antall årsverk og sengekapasitet fylkeskommunene i mellom er relativt store. I noen grad har dette sammenheng med at spesialisthelsetjenesten blir noe ulikt organisert. og at noen fylkeskommuner kjøper sykehustjenester i andre fylker. Universitets- og regionsfunksjoner. samt nærhet til statlige sykehus kan også påvirke ressursinnsatsen. Troms har både flest årsverk og høyest sengekapasitet pr. 1000 innbygger. mens Akershus ligger lavest på begge indikatorene. Akershus sender imidlertid en stor andel gjestepasienter til statlige sykehus i regionen.

Som det framgår av tabell 5.14 varierer utgiftene til somatiske spesialisthelsetjeneter betydelig fylkeskommunene i mellom. selv etter at det er korrigert for gjestepasientutgifter og universitets- og regionsfunksjoner.

Tabell 5.14 Fylkeskommunenes brutto driftsutgifter pr. innb. til somatiske sykehus korrigert for gjestepasienter . universitets- og regionsfunksjoner. 1995

Brutto
Fylkedrifts-
utgifter1 )
Hele landet4 364
Østfold4 875
Akershus3 382
Oslo5 112
Hedmark4 544
Oppland4 251
Buskerud3 923
Vestfold3 920
Telemark4 350
Aust-Agder4 196
Vest-Agder4 310
Rogaland3 996
Hordaland3 966
Sogn og Fjordane5 015
Møre og Romsdal4 542
Sør-Trøndelag4 356
Nord-Trøndelag4 452
Nordland5 022
Troms5 327
Finnmark4 661

1) Brutto driftsutgifter er korrigert for gjestepasientutgifter, universitets- og regionsfunksjoner.

Kilde: (Kilde: Ukens Statistikk nr.7/ 1997)

Fylkeskommunenes brutto driftsutgifter til somatiske sykehus økte fra 1994 til 1995 med om lag 5.6 prosent. Som det framgår av tabell 5.14 hadde Troms i 1995 de høyeste utgiftene pr. innbygger til sykehus. mens laveste bruttodriftsutgift hadde Akershus. Til tross for at utgiftene er korrigert for gjestepasienter m.m følger utgiftsvariasjonene i stor grad samme mønster som variasjoner i årsverk og sengekapasitet vist i figur 5.20.

Figur 5.24 viser innbyggernes forbruk av somatiske sykehus tjenester målt ved antall utskrivninger pr. 1 000 innbygger. Tallene er korrigert for befolkningens alder.

Figur 5.24 Utskrivninger etter pasientens bostedsfylke pr 1000 innbygger korrigert for alder. 1995.

Figur 5.24 Utskrivninger etter pasientens bostedsfylke pr 1000 innbygger korrigert for alder. 1995.

Kilde: (Kilde: Ukens statistikk nr 7/1997)

Forbruket av sykehustjenester målt i antall utskrivninger varierer relativt mye fylkene i mellom. Flest antall utskrivninger har Sogn og Fjordane. Nordland og Finnmark. mens lavest antall utskrivninger har Oslo og Buskerud. En kan forvente at antallet utskrivninger har sammenheng med grad av sykelighet i befolkningen. Oslo og Finnmark har de høyeste dødelighetsratene i landet. ellers er det lite forskjell mellom fylkene. Hvis en aksepterer grad av dødelighet som en indikator på sykelighet. kan høy sykelighet forklare det høye antallet utskrivninger i Finnmark. Sykelighet kan imidlertid ikke forklare det lave antallet utskrivninger i Oslo. Relatert til det høye nivået på brutto driftsutgiftene. kan antallet utskrivninger i Oslo bety at pasientene har behov for å være lengre på sykehus. I følge Ukens Statistikk nr 7 1997 er det totale antall liggedøgn pr innbygger i Oslo 20 prosent over landsgjennomsnittet. Relatert med grad av sykelighet målt som dødelighetsrate. kan disse faktorene indikere at terskelen for sykehusplass er høyere i Oslo enn i andre fylker.

Psykisk helsevern

Tabell 5.15 viser enkelte nøkkeltall for psykiatrien fra 1991 til 1995. Oversikten er avgrenset til spesialisthelsetjenesten. Kommunene har i større grad overtatt ansvaret for psykisk helsevern. men utviklingen på kommunalt nivå er foreløpig lite kartlagt.

Tabell 5.15 Nøkkeltall for psykisk helsevern. 1991-95.

19911992199319941995
Heldøgnsplasser i psykiatriske institusjoner7 5157 3737 1516 8216 622
Årsverk13 88914 54114 61014 60014 578
Polikliniske konsultasjoner428 963487 040522 727574 564603 780

Kilde: (Kilde: Statistisk sentralbyrå)

Fra 1991 til 1995 har antallet heldøgnsplasser i psykiatriske institusjoner blitt redusert med om lag 12 pst. Som det framgår av tabellen har det vært en årlig reduksjon på om lag 200 plasser. Nedbyggingen har dels vært begrunnet i at andre behandlingsformer enn langvarige institusjonsopphold kan gi raskere og bedre behandling og rehabilitering. Parallelt med nedbyggingen av institusjonene er det derfor bygd opp et poliklinisk tilbud. Antallet polikliniske konsultasjoner har økt med om lag 40 prosent fra 1991 til 1995. Fra 1994 til 1995 har antallet polikliniske konsultasjoner økt med 5.1 prosent. mens antallet plasser er redusert med 2.9 prosent. 96 prosent av plassene finner vi i voksenpsykiatrien. Av i alt 6 622 plasser er kun 238 beregnet på ungdom under 18 år. I figur 5.25 vises hvordan antallet plasser fordeler seg på fylkene. fordelt på heldøgnplasser for ungdom under 18 år og for antall innbyggere over 18 år.

Figur 5.25 Antall heldøgnsplasser ved psykiatriske institusjoner og avdelinger pr. 10 000 innbygger korrigert for gjestepasienter.1995.

Figur 5.25 Antall heldøgnsplasser ved psykiatriske institusjoner og avdelinger pr. 10 000 innbygger korrigert for gjestepasienter.1995.

Kilde: (Kilde: Statistisk Sentralbyrå)

Oslo skiller seg klart ut med flest plasser både for barn og voksen. Oslo har om lag 30 plasser pr. 10 000 innbyggere over 18 år og i overkant av 4 plasser pr. 10 000 innbyggere under 18 år. Nordland og Østfold har færrest plasser i voksenpsykiatrien. Nord-Trøndelag og Nordland har dårligst utbygd tilbud til barn og ungdom. Ifølge tall fra Statistisk Sentralbyrå har Nord-Trøndelag ingen plasser for barn og unge.

Figur 5.26 viser variasjoner i antallet polikliniske konsultasjoner i psykiatrien fylkene i mellom. Oslo og Østfold hadde klart flest konsultasjoner med om lag 240 pr. 1 000 innb. Det høye antallet konsultasjoner i Østfold kan ha sammenheng med en bevisst kanalisering av ressursinnsatsen bort fra institusjonsplasser. Figur 5.25 viser at Østfold hadde relativt lavt antall institusjonsplasser. Færrest polikliniske konsultasjoner i psykiatrien hadde Akershus og Møre og Romsdal. Imidlertid hadde Møre og Romsdal en relativ høy utbyggingsgrad innen institusjonsomsorgen.

Figur 5.26 Antall polikliniske konsultasjoner i psykiatriske institusjoner. 1995.

Figur 5.26 Antall polikliniske konsultasjoner i psykiatriske institusjoner. 1995.

Kilde: (Kilde: Statistisk Sentralbyrå)

Antall årsverk i psykiatrien har økt med om lag 5 prosent fra 1991 til 1995. I 1994 og 1995 var årsverksinnsatsen om lag den samme. Økningen i antallet årsverk har i hovedsak funnet sted innen barne- og ungdomspsykiatrien. Oslo hadde i 1995 den høyeste årsverksinnsatsen i voksenpsykiatrien med nærmere 6 årsverk pr. 10 00 innbygger i alt. For personell rettet mot voksenbefolkningen var dekningsgraden i Oslo 6.6 årsverk pr. innbygger over 18 år. Laveste antallet årsverk i psykiatrien i 1995 hadde Østfold og Aust-Agder med 2.5 årsverk pr innbygger.

Tabell 5.16 Antall årsverk i psykiatrien pr. innbygger og pr. innbygger over 18 år, 1995.

Antall årsverk pr.Antall årsverk pr.
10 000 innbyggere10 000 innbyggere
i altover 18 år
Østfold2,52,8
Akershus2,62,9
Oslo5,96,6
Hedmark3,03,4
Oppland3,34,0
Buskerud3,23,7
Vestfold2,93,4
Telemark2,63,1
Aust-Agder2,52,9
Vest-Agder2,83,5
Rogaland3,03,8
Hordaland3,44,2
Sogn og Fjordane2,93,4
Møre og Romsdal3,13,8
Sør-Trøndelag3,13,7
Nord-Trøndelag2,93,6
Nordland3,03,5
Troms4,04,6
Finnmark3,33,6

Kilde: (Kilde: Statistisk Sentralbyå)

5.4.2 Videregående opplæring

Figur 5.27 viser utvikling i den enkelte fylkeskommunes omfang av videregående opplæring fra og med skoleåret 1993/94 til og med skoleåret 1996/97. Figuren viser at i perioden har omfanget gått ned for alle fylkeskommuner unntatt Vest-Agder og Aust-Agder. Landsgjennomsnittet er redusert fra 391 prosent av et gjennomsnittlig årskull avgangselever i grunnskolen i 1993 til 369 prosent i 1996. Fra 1995 til 1996 har landsgjennomsnittet økt med 3 prosentenheter. For skoleåret 1996/97 varierer omfangsprosenten fra 351 i Sogn og Fjordane til 389 i Rogaland. I skoleåret 1996/97 hadde syv fylkeskommuner et omfang i videregående opplæring over 375 prosent.

Figur 5.27 Utvikling i omfang i videregående opplæring. Antall elever i prosent av et gjennomsnittlig avgangskull fra grunnskolen. Skoleåret 1993/94 - skoleåret 1996/97. Tall fra 1996/97.

Figur 5.27 Utvikling i omfang i videregående opplæring. Antall elever i prosent av et gjennomsnittlig avgangskull fra grunnskolen. Skoleåret 1993/94 - skoleåret 1996/97. Tall fra 1996/97.

Kilde: (Kilde: Kirke-. utdannings- og forskningsdepartementet)

Figur 5.28 viser hvor mange av elevene som avsluttet grunnskolen høsten 1995 som var elever i videregående skole skoleåret 1995/96. og hvordan disse elevene fordeler seg mellom allmennfaglig og yrkesfaglig studieretning.

Figur 5.28 Prosent av registrert årskull i videregående skole. Fordeling mellom allmennfag og yrkesfag. 1995.

Figur 5.28 Prosent av registrert årskull i videregående skole. Fordeling mellom allmennfag og yrkesfag. 1995.

Kilde: (Kilde: Statistisk sentralbyrå)

Av figur 5.28 framgår at majoriteten av ungdomsskoleelevene i 1995 benyttet retten til videregående opplæring samme år. På landsbasis fortsatte 97 prosent av avgangskullet fra ungdomsskolen på videregående skole. Variasjonene fylkene i mellom er også relativt beskjedne. Flest elever begynner på videregående skole samme år i Sør-Trøndelag. Her er hele 99 prosent av avgangselevene på plass i videregående opplæring. Finnmark har lavest dekningsgrad med 91 prosent.

De regionale forskjellene i linjevalg er interessante. I Oslo velger majoriteten allmennfag. Hele 72 prosent av grunnskoleelvene fortsatte med allmennfag. mens kun 32 prosent av ungdomsskolekullet i Finnmark gjorde et tilsvarende valg. Foruten at linjevalget har sammenheng med interesser og anlegg. vil det også ha sammenheng med hvor godt utbygd de ulike studieretningene er.

5.5 Standardisering av tjenesteytingsindikatorer

I 1994 utarbeidet Kommunaldepartementet i samarbeid med fylkesmannsembetene en minimumsstandard for finansielle indikatorer. For alle kommuner presenteres den finansielle situasjonen ved bruk av 10 nøkkeltall. Fylkesmennene utgir fylkeshefter med disse indikatorene. og Kommunal- og arbeidsdepartementet presenterer de samme tallene for kommunene gruppert fylkesvis i Kommuneøkonomiproposisjonen (jf. kapittel 4.7 samt vedlegg 6). Minimumsstandarden ble tatt i bruk i 1995. Kommunaldepartementet oppnevnte i 1995 en arbeidsgruppe bestående av medlemmer fra Kommunaldepartementet og fylkesmannsembetene som skulle utarbeide en tilsvarende minimumsstandard for indikatorer for tjenesteyting. Arbeidsgruppen har utarbeidet en rapport som er sendt på høring til berørte parter.

Bakgrunnen for utarbeidelsen av rapporten er behovet for et felles underlagsmateriale både innen økonomi og tjenesteyting i fylkesmannens samordningsarbeid og for statlige styringsformål. Standardiserte data om tjenesteyting vil også være nyttige for kommunene til interne planleggings- og styringsformål.

Forslaget fra arbeidsgruppen innebærer at fylkesmannen årlig utarbeider et hefte som viser nivå og utvikling i tjenesteytingen for kommunene i fylket. Den foreslåtte minimumsmalen inneholder 30 indikatorer fordelt på sju sektorer: barnehager. barnevern. grunnskolen. eldre og funksjonshemmede. helse. sosialhjelp og kultur. Indikatorene skal gi uttrykk for ressursinnsats pr. produsert enhet og dekningsgrad i de ulike sektorene. Alle indikatorene er beregnet på grunnlag av allerede eksisterende statistikk. Etterhvert som statistikkgrunnlaget forbedres vil indikatorene bli vurdert. Departementet tar sikte på å utarbeide en felles EDB- løsning for utarbeidelse av fylkesheftene.

Under forutsetning av at høringsinstansene ikke har sterke innvendinger mot rapporteringsopplegget. tar departementet sikte på å få ferdig systemet i 1997.

5.6 Kvalitet på kommunale tjenester

Som redegjort for i kommuneøkonomiproposisjonen for 1997 har departementet innledet et samarbeid med Kommunenes Sentralforbund om kvalitetsutvikling i kommunesektoren. I september 1996 arrangerte departementet sammen med Kommunenes Sentralforbund en konferanse der kvalitetsutvikling i kommunesektoren var tema. Prosjektet «Kvalitetsledelse i norske kommuner» ble samtidig igangsatt. Prosjektet inngår som del av Kommunenes Sentralforbunds satsningsområde «Kvalitet og effektivitet i kommunal tjenesteyting».

Formålet med prosjektet er å analysere kommunale forbedringstiltak basert på modeller for kvalitetsledelse. Karmøy. Ås. Gjøvik. Narvik. Sarpsborg. Vadsø. Trondheim og Vestfold fylkeskommune er valgt ut som forsøkskommuner og tilknyttet prosjektet. Stiftelsen for samfunns- og næringslivsforskning (SNF) samler inn og systematiserer erfaringer fra arbeidet som gjøres i forsøkskommunene. samt henter inn annen relevant dokumentasjon og analyserer dette. Høsten 1997 tas det sikte på å utgi en idehåndbok med råd til norske kommuner og fylkeskommuner som vurderer å starte opp med arbeidet med kvalitetsledelse og kvalitetsutvikling.

Forsøkskommunene danner et indre nettverk som møtes jevnlig for å utveksle erfaringer innen kvalitetsledelse og -utvikling. I tillegg er det et ytre nettverk på omlag 70 kommuner som holdes orientert om prosjektet og arbeidet i det indre nettverket. Departementet vurderer gode nettverksfunksjoner mellom kommunene som vesentlig i denne sammenheng. og bidrar med økonomisk støtte til drift av nettverksarbeidet. Departementet vil derfor følge prosjektet nøye og bidra til formidling av erfaringer fra arbeid med kvalitetsutvikling i kommunesektoren.

6 Variasjoner i kommunal organisering

Med utgangspunkt i St.meld. nr. 23 (1992-93) Om forholdet mellom staten og kommunane satte Kommunal- og arbeidsdepartementet i 1994 i gang et prosjekt for utvikling av en organisasjonsdatabase som skulle inneholde data om ulike forhold knyttet til kommunal og fylkeskommunal organisering. politiske forhold. saksgang m.m. som et ledd i arbeidet med å bedre rapportering om produksjon og organisering i kommunalforvaltningen. Norsk institutt for by- og regionforskning fikk det operative ansvaret for utvikling av og innsamling av data til organisasjonsdatabasen innenfor retningslinjer departementet satte. I utviklingsarbeidet har både departementet. kommunalforvaltningen og forskningsmiljø deltatt.

Databasen er basert på spørreskjemadata. Det foreligger en rapport fra NIBR (NIBR-notat 1997:105 Ny kommunelov. ny organisering? av Hans Petter Gravdahl og Terje P. Hagen) som er basert på data fra to spørreskjemaundersøkelser som er lagt inn i databasen. Den ene undersøkelsen ble utført i 1995 før kommunevalget det året og ble rapportert i Kommuneøkonomiproposisjonen for 1997 og den andre ble utført i 1996. dvs. etter kommunevalget høsten 1995. Dette kommunevalget var det første etter iverksettingen av ny kommunelov fra 1.1.93. Vi kan med en sammenligning av de to undersøkelsene se om valget i 1995 ble et vendepunkt når det gjelder kommunal organisering. det vil si om kommunene og fylkeskommunene i forbindelse med valget utnyttet det utvidede spillerommet for valg av organisasjonsformer som den nye kommuneloven gir.

I denne sammenhengen bør også nevnes en undersøkelse utført ved Universitetet i Tromsø. Resultatene foreligger i en rapport fra cand. polit. Frode Karlsen «Kontrollutvalg - effektivitetsfremmer eller legitimitetsskaper? Om innføring av kontrollutvalg i kommunesektoren»

I dette kapitlet omtales kort utvalgte deler av dette materialet.

6.1 Politisk organisering

Formannskapsmodellen dominerer

Det mest grunnleggende skillet i politisk organisering går mellom kommuner og fylkeskommuner som har beholdt den tradisjonelle formannskapsmodellen. og kommuner og fylkeskommuner som har gått over til en parlamentarisk styringsmodell.

Etter kommuneloven av 1992 er det gitt generell adgang til å innføre parlamentariske styringsmodeller. Forslag om innføring av parlamentarisme må være reist innen 31. desember i nest siste år av valgperioden. Oslo kommune har beholdt styringsmodellen som ble innført i 1986 og var i kommunestyreperioden 1991-1995 den eneste kommune som hadde parlamentarisk styringsform. Slik er det også i kommunestyreperioden 1995-1999. Ingen andre kommuner eller fylkeskommuner enn Oslo har til nå benyttet muligheten til å innføre parlamentarisk styringsform.

Formannskapenes/fylkesutvalgenes størrelse

Det har skjedd en mindre reduksjon i gjennomsnittlig kommunestyrestørrelse fra forrige til inneværende valgperiode. Reduksjonen er på knapt to prosent. I absolutte tall er det en reduksjon i antall kommunestyrerepresentanter fra 13 073 i 1991 til 12 663 i 1995. Reduksjonen i det absolutte antall reflekterer både kommunesammeslåinger og reduksjon i gjennomsnittsstørrelsen på kommunestyrene.

Også i fylkeskommunene er det en mindre nedgang i antall representanter. I absolutte tall er nedgangen fra 932 til 894 fylkestingsrepresentanter fra forrige til inneværende periode. dvs. 4.1 prosent.

Formannskap og fylkesutvalg utvikles til strategiske organer

Når det gjelder formannskapenes oppgaver sies det i NIBR-rapporten:

«Gjennomgangen indikerer at formannskapene er i endring. I kommuner der det skjer delegasjon fra formannskapene. delegeres saker av ikke-økonomisk karakter. I kommuner der formannskapene tilføres oppgaver. tilføres plan- og næringssaker og administrative saker. Samlet sett gir endringene grunnlag for å si at formannskapene endres i retning av å bli strategiske organer med ansvar for behandling av kommunens sentrale styringsdokumenter.»

I forhold til situasjonen i fylkeskommunene oppsummerer NIBR- rapporten på følgende måte:

«Tendensen synes å tilsvare den vi finner i kommunene. Med noen unntak blir fylkesutvalget tillagt ansvaret for økonomi- og plansaker. mens andre oppgaver i stor grad blir delegert til hovedutvalg/komiteer. som gis direkte innstillingsrett til fylkestinget. Hovedtrenden er med andre ord at fylkesutvalgene. som formannskapene. kun får ansvaret for de oppgaver som de etter kommuneloven er pålagt.»

Komitémodellen og funksjonsorganisering benyttes oftere

I tillegg til kommunestyre/fylkesting og formannskap/fylkesutvalg er nemnder og utvalg viktige elementer i den kommunale organisasjon. Overføringer av oppgaver til kommunene har ofte ført til at nye administrative eller tjenesteytende enheter og nye politiske nemnder og utvalg har blitt opprettet. I slutten av 1970-årene var det ikke uvanlig at kommuner med 3-4 000 innbyggere hadde til sammen 70-80 ulike politiske nemnder. Større kommuner kunne ha over 100 utvalg og nemnder. Den omfattende nemndstrukturen innen tradisjonelle formannskapsmodeller ble begrunnet ut fra ønsket om at lekmannshensynet skulle ivaretas.

Dette førte imidlertid til et komplekst og ineffektivt beslutningssystem. Noe som gav støtet til introduksjon av hovedutvalgsmodellen hvor mange av kommunene i hovedsak organiserte virksomheten omkring fire hovedsektorer med hvert sitt hovedutvalg. Dette ble etterhvert den dominerende modellen for organisering av utvalgene i kommunene. Også denne kom etterhvert til å framvise svakheter fordi den førte til en sterk sektortenkning i kommunene. KS introduserte derfor nye alternative styringsmodeller. I tillegg til formålsmodellen som hovedutvalgsmodellen er en variant av. kom funksjonsmodellen og områdemodellen. I funksjonsmodellen organiseres det ofte rundt tjenesteytende oppgaver. utviklingsoppgaver og forvaltningsoppgaver.

Tallmaterialet viser en klar dreining i hvilke modeller som brukes. I 1995 var det 92.9 prosent av kommunene som organiserte etter formål. mens det var 6.8 prosent som oppgav at de organiserte etter funksjonsprinsippet. I 1996 oppgav 77.1 prosent formålsorganisering som den modellen de hadde valgt. 20.7 oppgav at de hadde organisert etter funksjonsprinsippet.

Kommunedelsutvalg

Det er få kommuner som har kommunedelsutvalg. I 1995 hadde 4.4 prosent (15) av kommunene slike utvalg. I seks av disse kommunene hadde utvalgene avgjørelsesmyndighet: Oslo. Trondheim. Bergen. Stavanger. Fredrikstad og Suldal. I 1996 var andel med slike utvalg 4.1 prosent (15). I 1996 hadde syv kommuner utvalg med varierende grad av avgjørelsesmyndighet: Fredrikstad. Oslo. Drammen. Stavanger. Suldal. Trondheim og Lurøy. I de øvrige kommunene har utvalgene uttalerett.

Representasjon etter kjønn

De siste tiårene har kvinner blitt stadig sterkere representert i ulike folkevalgte organer. også i kommunestyrene. I perioden 1991-1995 var den gjennomsnittlige prosentandelen kvinner 28. Prosentandelen økte til 32 i perioden 1995-1999. Tabell 6.1 gir oversikt over kvinneandelen i hhv. kommunestyrer og formannskap i kommunestyreperiodene 1991-1995 og 1995-1999.

Tabell 6.1 Kvinneandel i kommunestyre og formannskap. 1991-1995 og 1995-1999. N=412,434

1991-19951995-1996
Kommunestyrene28,432,2
Formannskapene27,635,9

Kilde: NSD/SSB

Selv om kvinneandelen både i kommunestyrene og formannskapene har økt fra forrige til inneværende kommunestyreperiode. er det fortsatt betydelige variasjoner mellom kommunene. Det finnes fortsatt kommuner uten kvinner i kommunestyrene. Vi ser også at kvinneandelen i kommunestyrene og formannskapene var omtrent denne samme (28 prosent) i forrige periode. I inneværende periode har kvinneandelen økt både i kommunestyrene og i formannskapene. Dette har trolig sin bakgrunn i kommuneloven § 36 som stiller krav om minst 40 prosent fra begge kjønn på de lister som stilles til valg til formannskap og nemnder. Kvinner er i gjennomsnitt sterkere representert i formannskapene enn i kommunestyrene.

Gjennom Organisasjonsdatabasen har data om kvinnerepresentasjon i fylkesutvalg for første gang blitt systematisk samlet inn. De presenteres i tabell 6.2. sammen med data om andel kvinner i fylkestingene.

Tabell 6.2 Kvinneandel i fylkesting og fylkesutvalg. 1991-1995 og 1995-1999. N=18 for fylkeskommunene, N=17 for fylkesutvalgene

1991-19951995-1999
Fylkestingene39,341,5
Fylkesutvalgene-41,5

Kilde: Kommunenøkkelen 92-93, Kommunenøkkelen 96-97 og Organisasjonsdatabasen.

Kvinneandelen i fylkestingene har øket noe fra forrige periode til inneværende. I fylkesutvalgene er gjennomsnittlig prosentandel kvinner 41.5. Størst andel kvinner i fylkesutvalget har Aust-Agder (55.6). mens Finnmark har lavest andel (27.2).

Økonomisk godtgjøring for politikere

Kommunene

Tabell 6.3 gir en oversikt over andel kommuner som har fast årlig godtgjøring til ulike typer verv.

Tabell 6.3 Kommuner som har fast årlig godtgjøring til ulike verv. 1996. Prosentandeler.

Kommuner som har
Type vervårlig godtgjøring(N)
Ordfører99,7(363/364)
Varaordfører99,4(359/361)
Ordinære formannskapsmedlemmer93,5(330/353)
Ordinære kommunestyremedlemmer79,1(277/350)
Ledere av faste utvalg/kommunestyrekomiteer97,7(345/353)
Medlemmer i faste utvalg/kommunestyrekomiteer83,7(282/337)
Opposisjonsleder8,1(20/246)
Gruppeledere15,8(42/266)

Tabell 6.4 gir en oversikt over beløp kommunene knytter til ulike typer verv.

Tabell 6.4 Årlig fast godtgjøring. Gjennomsnitt, minimum, maksimum. 1996. Kroner.

Type vervGj.snittMin.Maks.(N)
Ordfører*295 510310453 000(292)
Varaordfører*35 975600365 200(276)
Ordinære formannskapsmedl.15 564250325 000(194)
Ordinære kommunestyremedl.4 1367560 000(90)
Ledere av faste utvalg/kommunestyrekom.15 268300351 000(213)
Medl. i faste utvalg/kommunestyrekom.5 65510089 000(93)
Medl. i kommunedels-/bydelsutvalg8352502 000(6)
Opposisjonsleder19 9332 70062 505(7)
Gruppeledere27 826200273 504(19)

* Disse tallene inkluderer både heltids- og deltidsansatte. 82,5prosent av ordførerne er heltidsansatt, 17,6 prosent deltidsansatte. 90,3 prosent av varaordførerne har verv som omfatter mindre enn 2 dager pr. uke, 7,2 prosent arbeider mellom 2 og 4 dager pr. uke, mens 2,4 prosent (5 stk.) er heltidsansatte.

Gjennomsnittsverdiene knyttet til de forskjellige typer verv har endret seg lite siden 1995-undersøkelsen. Det synes fortsatt som det er en positiv sammenheng mellom antatt arbeidsbyrde og satser for fast årlig godtgjøring (jf. Johnsen 1996). Minimums- og maksimumsverdiene viser at det fortsatt er store forskjeller mellom kommunene. Den store forskjellen mellom ordførervervet og de andre vervene skyldes den høye andelen av ordførere som er heltidsansatt.

Fylkeskommunene

Tilsvarende tall for fylkeskommunene er gitt i de følgende tabellene.

Tabell 6.5 Fylkeskommuner som har fast årlig godtgjøring i 1996. Prosentandeler.

Andel fylker
Type vervmed årlig(N)
godtgjøring
Fylkesordfører100,0(17/17)
Fylkesvaraordfører100,0(17/17)
Ordinære fylkesutvalgsmedlemmer100,0(16/16)
Ordinære fylkestingsmedlemmer87,5(14/16)
Ledere av faste utvalg/fylkestingskomitéer100,0(17/17)
Medlemmer i faste utvalg/fylkestingskomitéer100,0(13/13)
Opposisjonsleder35,7(5/14)
Gruppeleder64,3(9/14)

Langt de fleste fylkestingsmedlemmene får årlig godtgjøring i kraft av en eller annen stilling. Primært belønnes formelle posisjoner i det fylkeskommunale hierarkiet. De rene politiske posisjonene (opposisjonsleder og gruppeleder) gis sjeldnere godtgjøring.

Tabell 6.6 gir nivået på godtgjøringen.

Tabell 6.6 Årlig fast godtgjøring. Gjennomsnitt, minimum, maksimum. 1996. Kroner.

Type vervGj.snittMin.Maks.(N)
Fylkesordfører406 814365 000434 000(14)
Fylkesvaraordfører254 86329 800406 500(14)
Ordinære fylkesutvalgsmedlemmer95 09820 000382 430(13)
Ordinære fylkestingsmedlemmer35 266500105 000(9)
Ledere av faste utvalg/fylkestingskomiteer124 310200325 600(14)
Medlemmer i faste utvalg/fylkestingskomiteer22 03150062 000(8)
Opposisjonsleder118 67324 210333 700(4)
Gruppeleder44 04115 075122 000(6)

Det er mindre forskjeller mellom fylkeskommunene enn mellom kommunene. og også et noe høyere nivå på godtgjøringen.

6.2 Organisering av tjenesteproduksjon

Bruk av distriktsinndeling i tjenesteproduksjonen

Vi så ovenfor at det er få kommuner som har innført kommunedelsnemnder. Dette betyr imidlertid ikke at kommunene ikke benytter seg av distriktsinndeling i organisering av tjenesteproduksjonen.

I 1995 hadde 29 prosent av kommunene distriktsinndelte tjenester. I 1996 oppgav 25 prosent av kommunene at de hadde distriktsinndelte tjenester.

Det er i første rekke omsorgen for eldre og funksjonshemmede som er organisert etter områdeprinsippet. Knapt 20 prosent av kommunene har distriktsinndeling av disse tjenestene.

Forretningspregede oppgaver

I de to undersøkelsene er det stilt spørsmål om bruk av anbud ved tildeling av oppgavetyper til utførende parter.

Renovasjon peker seg klart ut som den oppgavetypen som i størst andel av kommunene blir satt ut på anbud. Det er 49 prosent av kommunene som benytter anbudsrunde ved tildeling av oppgaver innenfor dette området. På området vaskeritjenester er det 22 prosent av kommunene som benytter anbud. 2.6 prosent av kommunene benytter anbud i forhold til rengjøring.

I fylkeskommunene er det i første rekke vaskeritjenesten for sykehus som settes ut på anbud. Som i kommunene benytter bare en liten andel av fylkeskommunene anbud i forhold til rengjøring og kantinedrift.

Organisering av forretningspregede oppgaver. Tilknytningsformer. Privatisering.

Kommunene har de senere år overlatt en del forretningspregede oppgaver til private. evt. skilt ut oppgaver som egne aksjeselskaper/stiftelser. Tabell 6.7 gir oversikt over fordelingen av kommuner som har valgt forskjellige organiseringsmodeller for ulike oppgaver.

Tabell 6.7 Kommunenes organisering av forretningspregede oppgaver. Prosentandeler. N = 203,357.

Organisasjonsformer
Ord. komm. drift/komm.Aksjeselskap/stiftelsePrivat virksomhet
forretningsdrift
Oppgaver199519961995199619951996
Rengjøring98,498,90,00,01,61,1
Vannforsyning93,289,42,74,64,16,0
Boligforvaltning90,686,67,69,11,84,3
Kantinedrift78,077,45,34,216,718,4
Vaskeritjeneste76,464,97,68,816,026,3
Kino66,061,01,52,832,536,1
Renovasjon63,942,712,828,823,328,5
El.forsyning - distribusjon28,921,059,167,812,011,1
El.forsyning - produksjon25,916,961,168,513,014,6

61 prosent av kommunene drev elektrisitetsproduksjonen som aksjeselskap/stiftelse i 1995. I 1996 har andelen steget til 68 prosent. hvorav 20 prosent som aksjeselskaper der kommunen eier minst 50 prosent. og 48 prosent der kommunen eier mindre. Den samme tendensen kommer til syne i forhold til elektrisitetsdistribusjonen. For 1996 fordeler aksjeselskapene/stiftelsene seg med hhv. 23 prosent der kommunen eier over halvparten. og 45 prosent der den eier mindre.

Organiseringen av renovasjonsdriften har også endret fordeling fra 1995 til 1996. med en nedgang med over 20 prosent i kommuner som har valgt ordinær kommunal drift. Endringen har i hovedsak bestått av omlegging til aksjeselskap/stiftelse. 5 prosent av kommunene har valgt å organisere renovasjonsdriften i selskaper der de eier minst 50 prosent av aksjene. mens 24 prosent eier mindre. Også vaskeritjenester har endret organiseringsmønster. og overgangen har her i hovedsak skjedd til fordel for privat virksomhet. For de andre oppgavetypene kan det bare spores mindre endringer. Renovasjon og kino er oppgavene som oftest var overlatt til private i 1995 (Johnsen 1996:35). I 1996 har de fått selskap av vaskeritjenester. Fortsatt er ordinær kommunal drift/kommunal forretningsdrift den dominerende organisasjonsformen. med det samme unntaket som i 1995 for elektrisitetsforsyningen.

Også fylkeskommunene har de senere år overlatt en del forretningspregede oppgaver til private. evt. skilt ut oppgaver som egne aksjeselskaper/stiftelser. Tabell 6.8 gir oversikt over fordelingen av fylkeskommuner som har valgt forskjellige organisasjonsmodeller for ulike oppgaver.

Tabell 6.8 Fylkeskommunenes organisering av forretningspregede oppgaver. Prosentandeler (absolutte tall i parentes). N = 2.15.

Organisasjonsformer
Ord. fylkeskomm.Aksjeselskap/stiftelsePrivat virksomhet
drift/forretningsdrift
Oppgaver199519961995199619951996
Vaskeritjeneste63,738,59,123,127,338,5
(7)(5)(1)(3)(3)(5)
Rengjøring100,092,907,100
(10)(13)(1)
Kantinedrift87,592,912,57,100
(7)(13)(1)(1)

Når det gjelder organisering av vaskeritjenestene observeres en svak tendens vekk fra ordinær fylkeskommunal drift mot aksjeselskap/stiftelse. og mot privat drift. mens det ikke synes å være noen endring for kantinedrift og rengjøringstjenester.

6.3 Trekk ved økonomiforvaltningen

Organisering av budsjettprosessen

Kommuneloven (§45.2) sier at det er formannskapet som skal utarbeide budsjettinnstillingen som skal behandles i kommunestyret. mens den legger færre føringer på hvordan kommunene organiserer innledendefaser av budsjettprosessen. I registreringsopplegget er det skilt mellom tre måter å organisere budsjettprosessene på

  • En «fragmentert» budsjettbehandling begynner med at hovedenhetene og deretter de faste politiske utvalgene eller komitéene behandler budsjettforslagene før de sendes til rådmannskontoret. Rådmannen/administrasjonssjefen samordner så forslagene og tilrettelegger et samlet budsjettforslag for formannskapet. som så skal legge årsbudsjettet frem for behandling i kommunestyret.

  • En alternativ budsjettbehandling («sentralisert administrativ budsjettprosess») består i at rådmannen legger frem et saldert forslag til budsjett for de faste utvalgene/kommunestyrekomitéene. Dette går så videre til formannskapet. deretter til kommunestyret.

  • En tredje variant («sentralisert politisk budsjettprosess») består i at formannskapet (eller et annet politisk utvalg) regisserer budsjettprosessen slik at den fungerer som et tett og løpende samarbeid mellom formannskapet/annet politisk utvalg/komité og rådmann/administrasjonssjef underveis. Deretter fremmer formannskapet sin innstilling overfor de faste utvalgene/kommunestyrekomitéene og kommunestyret.

Tabell 6.9 gir oversikt over omfanget av de tre alternative budsjettprosessene slik de er benyttet av kommunene i perioden 1991-1996.

Tabell 6.9 Organisering av årsbudsjettprosessen i kommunene. Prosentandeler. N = 289,357.

«Fragmentert«Sentralisert«Sentralisert
Årprosess»administrativpolitisk
prosess»prosess»
199184,612,82,7
199275,720,24,2
199353,323,223,5
199441,821,736,5
199533,630,535,9
199626,229,744,1

Stadig færre kommuner velger den «fragmenterte budsjettprosessen». Prosentandelen av kommunene som benytter denne prosessen har sunket fra 84.6 i 1991 til 26.2 i 1996. Begge de to alternative prosessformene øker i utbredelse. Spesielt det vi har kalt «sentralisert politisk prosess» - som gir rom for en mer aktiv rolle for de politiske organene - har økt sin andel betydelig.

Innslag av økonomiplaner

Kommunene er pålagt å vedta en rullerende økonomiplan en gang i året. i følge kommunelovens §44. Den nye kommuneloven ble iverksatt 1. januar 1993. men §44 trådte ikke i kraft før i 1996. I 1996 utarbeidet nesten alle kommuner og alle fylkeskommuner økonomiplaner.

6.4 Informasjonsinnhenting

Lokalpolitikerne erverver løpende informasjon om befolkningens opplevelse og mening om kommunens aktiviteter gjennom uformelle kontakter. I tillegg til disse aktivitetene kan kommunene organisere mer formelle tilbakeføringsordninger. I Organisasjonsdatabasen eksisterer data om bruken av fire hovedtyper av tiltak: folkemøter e.l. i forbindelse med utarbeiding av kommuneplanen eller andre planer. brukermøter for diskusjon av kommunens tjenestetilbud. befolkningsundersøkelser (dvs. undersøkelser i forhold til befolkningen generelt) og brukerundersøkelser (dvs. undersøkelser i forhold til enkelte brukergrupper). Tabell 6.10 gir informasjon om bruken av disse ordningene i kommunene over tid.

Tabell 6.10 Kommunale tiltak for å innhente informasjon om «folkemeningen». Prosentandeler (absolutte tall i parentes). 1995 og 1996. N = 291,363.

GjennomførtGjennomført
i periodeni løpet av
1992-19951995 eller 1996
Folkemøter85,8 (283)77,4 (281)
Brukermøter40,9 (119)33,6 (113)
Generelle befolkningsundersøkelser25,0 (74)20,4 (68)
Brukerundersøkelser blant enkeltgrupper54,7 (164)54,9 (184)

Tidsperioden det spørres fra varierer mellom de to undersøkelsene. Dette gjør at tallene fra de to undersøkelsene ikke er direkte sammenlignbare. Med dette forbeholdet ser vi at kommunene er flinke til å arrangere folkemøter om planer av ulike typer. I perioden 1992-95 benyttet 86 prosent av kommunene seg av denne muligheten. Brukermøter for diskusjon av kommunens tjenestetilbud ble arrangert av 41 prosent av kommunene i 1992-95. mens brukerundersøkelser rettet mot enkeltgrupper ble benyttet i 55 prosent av kommunene i begge periodene. Siden tidsperioden det spørres om data fra er kortere i 1996-undersøkelsen. kan det siste forholdet indikere at brukerundersøkelser blir hyppigere brukt.

Tilsvarende data for fylkeskommunene gis i tabell 6.11

Tabell 6.11 Fylkeskommunale tiltak for å innhente informasjon om «folkemeningen». Prosentandeler (absolutte tall i parentes). 1995 og 1996. N = 12,17.

GjennomførtGjennomført
i periodeni løpet av
1992-19951995 eller 1996
Folkemøter25,0 (3)5,9 (1)
Brukermøter58,3 (7)31,3 (5)
Generelle befolkningsundersøkelser46,2 (6)31,3 (5)
Brukerundersøkelser blant enkeltgrupper69,2 (9)50,0 (8)

De samme forbeholdene om sammenligninger over tid må tas her. Sammenligner vi kommunene med fylkeskommunene. finner vi at fylkeskommunene legger mer vekt på brukermøter. generelle befolkningsundersøkelser og brukerundersøkelser og mindre vekt på folkemøter. Dette reflekterer naturligvis det forhold at fylkeskommunene dekker en betydelig større befolkning enn en kommune. og må tilpasse sine virkemidler til dette.

7 Rapportering fra fylkesmannsembetene

I 1993 startet departementet et forsøk med rapportering fra fylkesmannsembetene om bruk av delegert myndighet. I 1994 gikk man over til fast og pålagt rapportering. Vi skal her presentere resultatene fra rapporteringen for 1996 på fem områder:

  • Behandling av kommunale budsjettvedtak jf. kommuneloven §45.

  • Godkjenning av kommunale låneopptak. jf. kommuneloven §50.

  • Godkjenning av kommunale garantier. jf. kommuneloven §51.

  • Lovlighetskontroll etter kommunelovens §59.

  • Forvaltningsklage over enkeltvedtak truffet av kommunestyret etter forvaltningslovens §28 annet ledd.

Vi vil i denne sammenhengen også presentere enkelte tall for tilsvarende rapportering i 1994. 1995 og 1996 for å illustrere utviklingen i denne perioden.

Årsaken til at departementet spesielt ber om rapportering om løsningen av disse oppgavene er at disse utgjør basisaktiviteten i statens styring av enkeltkommuner i spørsmål vedrørende økonomi og kommunal saksbehandling. Disse opplysningene gir også indikasjoner på hvordan staten gjennom sitt regionale ledd styrer kommunene på sentrale områder. Arbeidet med disse sakene er også forankringen for mye av den juridisk og økonomiske veiledningen fylkesmannen driver i forhold til kommunene.

7.1 Kontroll med kommunale budsjettvedtak kommuneloven §45

Fylkesmannen har ansvar for kontroll med kommunenes budsjetter både når det gjelder de materielle og de formelle sidene.

Den formelle kontrollen tar i hovedsak sikte på å kontrollere at saksbehandlingen er korrekt og at vedtaket er fattet av et kompetent organ. Den materielle kontrollen tar sikte på å sjekke innholdet i budsjettet. Budsjettet skal være realistisk. fullstendig og i balanse.

Som det vil framgå av figur 7.1 er det et mindre antall budsjett som ble opphevet i 1996 enn i de to foregående årene. I 1994 var det 374 som ble erklært lovlige ved lovlighetskontrollen. I 1996 kom tallet opp i 389. M.a.o. har det skjedd en nedgang fra 14 til 10.5 prosent opphevede budsjetter fra 1994 til 1996. En årsak til en slik utvikling kan være arbeidet med å styrke fylkesmannens samordningsfunksjon og fylkesmannens bestrebelser på veiledning og forebygging i forhold til kommunenes arbeid med budsjettene.

Figur 7.1 Fylkesmannens lovlighetskontroll av kommunebudsjettene.

Figur 7.1 Fylkesmannens lovlighetskontroll av kommunebudsjettene.

Figuren viser videre en jevn nedgang i budsjetter som oppheves på grunn av feil innhold. dvs. at kommunen ikke oppfyller de materielle krav som stilles. Dette er en indikasjon på at kommunene i større grad får budsjettet under kontroll. Det var bare to prosent som fikk opphevet budsjettet på grunn av formelle feil. Fylkesmannsembetene oppgir at det var seks kommuner som fikk budsjettet sitt opphevet både på grunn av formelle feil og feil innhold.

Det er store variasjoner mellom fylkene med hensyn til i hvor stor grad budsjettene oppheves. fra 0 til 36 prosent.

7.2 Godkjenning av låneopptak

Fylkesmannen er delegert myndighet til å godkjenne låneopptak. jf. kommuneloven § 50. Tabell 7.1 viser behandling av søknader i 1995 og 1996. Totalt sett er det gitt avslag på 27 lånesøknader.

Tabell 7.1 Fylkesmannens behandling av lånesøknader i 1995 og 1996.

19951996Endring i
prosent
Sum søknader1 4071 261-10,4
Sum ikke godkjent4827-43,8
Sum godkjent1 3591 237-9,0
Feil saksbehandling7
Feil vedtaksorgan4
Ulovlig låneformål8
Andre årsaker10

Ut fra tabellen kan vi også se at det har vært en nedgang i antall lånesøknader. Det er en markant nedgang i andel søknader som ikke ble godkjent. Årsaken til dette kan være at kommunene etterhvert har greid å tilpasse seg de kravene som stilles til det å få godkjent en lånesøknad. Andre årsaker kan være at fylkesmennene har styrket sin innsats på dette området og at mye blir avklart gjennom behandlingen av årsbudsjettet og uformelle kontakter med kommunene. Ett embete viser til at uformelle forhåndskontakter ofte fører til at saker som ellers ikke ville blitt godkjent aldri blir sendt inn. Et annet embete viser til at formelle feil ved en lånesøknad gjerne oppklares over telefon og at kommunen oversender de nødvendige opplysningene for så å få godkjent låneopptaket.

7.3 Godkjenning av garantier

Kommunene kan bare stille garanti for bestemte formål. Fylkesmannen skal både kontrollere at formålet er lovlig og at kommunene vil ha økonomisk bæreevne til å påta seg forpliktelsen. I tillegg skal fylkesmannen kontrollere om det er begått formelle feil.

Tabell 7.2 Fylkesmannens kontroll av kommunale garantivedtak.

199419951996
Antall garantivedtak318324290
Godkjent garanti287303261
Ikke godkjent garanti322129
Garantiformål ulovlig17815
Ikke økonomisk evne1110
Andre årsaker141223

Som det framgår av tabellen er det små utslag fra år til år når det gjelder kommunale garantivedtak. Det er en nedgang på ca 10 prosent fra 1995 til 1996. En slik nedgang kan skyldes en positiv økonomisk utvikling i landet og at det dermed blir et redusert behov for å søke kommunal garantier.

Også på dette området blir det vist til at det er forhåndskontakter mellom fylkesmannen og kommunene som gjør at det er saker som ikke blir sendt inn fra kommunene og dermed behandlet hos fylkesmannen.

7.4 Lovlighetsklage etter kommuneloven § 59

Kommuneloven § 59 sikrer et mindretall av kommunestyrets medlemmer anledning til å kreve at fylkesmannen kontrollerer lovligheten av kommunestyrevedtaket. Tabell 7.3 gir informasjon fra 1994. 1995 og 1996 om saker fylkesmannen hadde oppe til lovlighetskontroll.

Tabell 7.4 Fylkesmannens lovlighetskontroll etter klage.

Vedtak kontrollert
Vedtak oppeVedtakVedtaketter fylkes-
til kontrollstadfestetulovligmannens initiativ
199497722530
19951721195370
19961841263030

I likhet med i 1995 var det også i 1996 en økning i antallet lovlighetsklager. Mange av sakene som ble lovlighetskontrollert i 1995 var kontroll enkelte fylkesmannsembeter tok initiativ til i forhold til gjennomføringen av kommunevalget det året. Ser vi bort fra disse er veksten i antall saker enda større.

De fleste av valgsakene som ble tatt opp i 1995 ble tatt opp etter fylkesmannens eget initiativ. Derfor kan vi fra 95 til 96 se en markant nedgang i antall saker som fylkesmennene selv tok initiativ til. I 1996 tok fylkesmannsembetene initiativ til kontroll av 30 kommunale vedtak. Vi er dermed tilbake på nivået fra 1994.

Når det gjelder antall vedtak som ble stadfestet er tallet 126 for 1996. 30 vedtak ble kjent ulovlige. Dette var en nedgang i forhold til året før.

Av de vedtakene som i 1996 ble kjent ugyldige oppgav fylkesmannsembetene mangel ved innholdet som årsak i 26 av sakene. Kompetansemangel er oppgitt som grunn i en sak. I 12 saker er det mangel ved tilblivelsen som er årsaken eller en av årsakene.

7.5 Forvaltningsklage over enkeltvedtak i kommunestyret, forvaltningsloven § 28 2. ledd

Forvaltningsklage til fylkesmannen over enkeltvedtak i henhold til forvaltningsloven §28 kan fremmes av parter eller andre med rettslig klageinteresse. Klage kan fremmes når det er fattet enkeltvedtak og kommunestyret er første instans. Fylkesmannen har full overprøvingskompetanse. Også utdanningsdirektøren er delegert tilsvarende kompetanse innenfor sitt ansvarsområde.

I 1996 ble det klaget inn 17 enkeltvedtak fattet i kommunestyret til fylkesmannen som stadfestet 13 av disse vedtakene. I 1995 var det antallet klager 10. Utdanningsdirektøren fikk i 1996 klage på 5 enkeltvedtak fattet av kommunestyret og stadfestet 3 av dem. I 1995 var antallet klager til utdanningsdirektøren 0.

8 Frikommuneforsøket i Kautokeino/Guovdageainnu kommune

I St.prp. nr. 84 (1992-93) Om kommuneøkonomien for 1994 m.v. er det gitt en orientering om frikommuneforsøkene, som startet i 1986 og varte fram til utgangen av 1992. Proposisjonen ga en oversikt over utfallet av de ulike forsøkene i forhold til nytt lovverk som den gang var på trappene; kommunelov, særlovgivning og forsøkslov. Det ble også gitt en kort oppsummering fra deler av evalueringsarbeidet. Det eneste forsøket som startet som frikommuneforsøk, og som hittil ikke er rapportert til Stortinget, gjelder frikommuneforsøket i Kautokeino/Guovdageinnu kommune. Nedenfor vil det bli gitt en kort oppsummering fra evalueringen av dette forsøket.

Kautokeino/Guovdageainnu kommune har siden februar 1992 til ut året 1996 gjennomført forsøk innen miljø- og naturforvaltning. Forsøket ble opprinnelig igangsatt med hjemmel i frikommuneloven og ble deretter videreført med hjemmel i lov om forsøk i offentlig forvaltning av 1992. Forsøket har i hovedsak gått ut på at Statsskogs ansvar for forvaltningen av utmarksressursene, dvs. forvaltning av fisk, vilt og andre utmarksressurser, ble overført til kommunen.

I løpet av 1995/96 er det blitt lagt betydelig arbeid i evaluering og oppsummering av forsøket. Det foreligger en oppdragsrapport fra NIBR-Nord-Norge (1996:15) Lokal styring av utmarksressursene. Rapporten tar opp forsøkets organisering, gjennomføring og effekter for brukerne av utmarka. Målet med forsøket var å bringe forvaltningen i samsvar med de lokale forutsetninger og brukernes interesser, samtidig som nasjonale miljøvernmål og andre brukergruppers interesser ble ivaretatt. Rapporten viser at lokale brukeres interesser er godt ivaretatt, mens brukere fra andre kommuner har fått noe mindre tilgjengelighet til utmarka på grunn av bl.a. høyere priser. En annen effekt som rapporten peker på, er at lokalpolitikernes interesse og engasjement for utmarksforvaltning har økt.

Kommunen har foretatt en egenevaluering av forsøket. Her konkluderes det med at forsøket har vært positivt, bl.a. at de lokale brukerne har fått det enklere med ett kontor å forholde seg til hvor man kan henvende seg på samisk, og at kommunen viser økt ansvar og engasjement for en lokal bærekraftig utvikling. I utredningen fra Samerettsutvalget om naturgrunnlaget for samisk kultur (NOU 1997:4) vurderes regelverket for forvaltningen av grunn i Finnmark. Utvalget har vurdert alternativer til nåværende regelverk. Utredningen skal sendes på en omfattende høring i 1997 med lang høringsfrist. I sammenheng med høringen og oppfølgingen av NOU1997:4 vil erfaringene fra Kautokeino/Guovdageainnu kommune være nyttige.

Fotnoter

1

Driftsutgiftene defineres her som sum post 1 til post 38 i kommuneregnskapet.

2

Antall barnehagebarn omgjort til belagte heldagsplasser.