10 Finansielle indikatorer
Omtalen av den økonomiske situasjonen i kommunen og fylkeskommunen er basert på ureviderte KOSTRA-tall for 2002. Statistisk sentralbyrå (SSB) publiserte den 17. mars 2003 ureviderte KOSTRA-data for 2002. Regnskapstallene bygger på rapporter fra 276 kommuner, og fra alle fylkeskommunene. Heller ikke tjenesterapporteringen er fullstendig for kommuner og fylkeskommuner. Følgende indikatorer beskriver den økonomiske situasjonen
Brutto driftsresultat i prosent av driftsinntektene
Netto driftsresultat i prosent av driftsinntektene
Arbeidskapital i prosent av driftsinntektene
Langsiktig gjeld i prosent av driftsinntektene
Netto lånegjeld per innbygger
Brutto- og netto driftsresultat beskriver forholdet mellom årets driftsutgifter og årets driftsinntekter. Brutto driftsresultat angir resultatet av den ordinære drift inklusive kapitalkostnader (avskrivninger), men eksklusive finansutgifter og finansinntekter. Avskrivninger, som er et uttrykk for verdiforringelsen på kommunale anleggsmidler, føres i driftsregnskapet, men blir eliminert før netto driftsresultat fastsettes. I indikatoren brutto driftsresultat gis imidlertid avskrivningene resultateffekt, og kan følgelig brukes for sammenligning med det resultatorienterte regnskapssystem, som primært brukes i privat næringsliv.
Netto driftsresultat angir forholdet mellom driftsutgifter inklusive renteutgifter og netto låneavdrag, og driftsinntekter inklusive renteinntekter og utbytte. Avskrivninger er eliminert i netto driftsresultat.
Arbeidskapitalen og langsiktig gjeld angir henholdsvis kommunenes/fylkeskommunenes likvide stilling og gjeldsbelastning. Arbeidskapitalen omfatter bankinnskudd, verdipapirer (aksjer, obligasjoner med videre) og fordringer på stat, andre kommuner og private, men fratrukket kortsiktig gjeld herunder kassakredittlån, sertifikatlån og leverandørgjeld.
Fra 2002 ble det vedtatt nye regler for regnskapsmessig håndtering av pensjonskostnader i kommunesektoren. Avviket mellom betalt pensjonspremie og beregnet netto pensjonskostnad (premieavviket) for 2002 er avsatt som en kortsiktig fordring/kortsiktig gjeld i balanseoppstillingen, noe som medfører at nøkkeltall for arbeidskapital ikke er sammenlignbare med tidligere år. Kommunenes og fylkeskommunenes beregnede totale pensjonsforpliktelse er medtatt under langsiktig gjeld og fører til en kraftig økning i størrelsen på gjeldsgraden i kommunesektoren. Nøkkeltallene vil allikevel gi viktig informasjon når nivået på langsiktig gjeld/forpliktelse og arbeidskapital for ulike kommuner og kommunegrupper sammenlignes.
10.1 Fylkeskommunene
Regnskapstall for 2002 tyder på en bedring av den økonomiske situasjonen for fylkeskommunene. Den økonomiske situasjonen i fylkeskommunene var svak i de foregående årene. En av årsakene til dette var manglende kostnadskontroll i sykehussektoren. Fra 1. januar 2002 ble spesialisthelsetjenesten overført til staten.
Fylkeskommunene har i driftsregnskapet for 2002 inntektsført engangsinntekter fra staten knyttet til sykehusoppgjøret. Engangsinntektene bidro til en bedring i driftsresultatet med 2,7 milliarder kroner. Nøkkeltallene som presenteres er korrigert for disse inntektene. Brutto og netto driftsresultat under viser dermed resultatet fra den ordinære driften av fylkeskommunene i 2002.
Brutto og netto driftsresultat
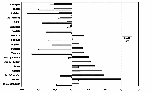
Brutto driftsresultat gir et bilde av forholdet mellom løpende driftsutgifter inklusive avskrivninger og løpende driftsinntekter og kan dermed sammenlignes med driftsresultatet i privat virksomhet. Brutto driftsresultat for fylkeskommunene utenom Oslo var minus 1,0 prosent i 2002, eller minus 350 millioner kroner. Resultatet fra driften av fylkeskommunene gir dermed ikke noe bidrag til dekning av renteutgifter. Fordelt per fylke viser indikatoren store variasjoner, fra minus 7,8 prosent i Østfold til 3,2 prosent i Sør-Trøndelag. Østfold fylkeskommune var den fylkeskommunen med størst negativt brutto driftsresultat også i 2001. Dette kan tyde på en vedvarende ubalanse mellom løpende driftsinntekter og løpende driftsutgifter inklusive avskrivninger.

Figur 10.1 Brutto driftsresultat i prosent av driftsinntektene for alle fylkeskommunene 2001 og 2002
I begrepet netto driftsresultat er avskrivningene eliminert, mens netto låneavdrag og netto renteutgifter gis resultateffekt. Netto driftsresultat viser dermed hva fylkeskommunen sitter igjen med av driftsinntekter til finansiering av investeringer eller til bruk i senere år. Netto driftsresultat i prosent av driftsinntektene for fylkeskommunene utenom Oslo var 0,8 prosent i 2002, eller 308 millioner kroner. Dette er en betydelig forbedring fra 2001 da netto driftsresultat var negativt og viste minus 1,8 prosent. Årsaken til et bedre netto driftsresultat enn brutto driftsresultat er eliminering av avskrivninger og et positivt finansresultat i flere fylkeskommuner. Dette gjelder spesielt for Østfold og Akershus.

Figur 10.2 Utvikling i netto driftsresultat i fylkeskommunene utenom Oslo

Figur 10.3 Netto driftsresultat i prosent av driftsinntektene for alle fylkeskommunene 2001 og 2002.
Seks av fylkeskommunene har negativt netto driftsresultat i 2002. Dette er Østfold, Hedmark, Aust-Agder, Vest-Agder, Hordaland og Sør-Trøndelag. Samtlige av disse hadde også negativt resultat i 2001.
Arbeidskapital og langsiktig gjeld
Arbeidskapitalen gir et uttrykk for fylkeskommunens likviditet, og det vil igjen si evnen til å betale sine forpliktelser etter hvert som de forfaller. Per 31. desember 2002 satt enkelte fylkeskommuner igjen med midler knyttet til gjeldssletteoppgjøret for sykehusreformen. Dette er midler som skal gå til nedbetaling av sykehusgjeld. Nøkkeltallene for arbeidskapital og langsiktig gjeld bør sees i sammenheng. Nivået på langsiktig gjeld for 2002 vil variere mellom fylkeskommunene avhengig av om all sykehusgjelda er innfridd eller ikke per 31. desember.
Som nevnt vil de nye reglene for regnskapsmessig behandling av pensjon påvirke nøkkeltall for arbeidskapital og langsiktig gjeld i 2002. Brutto pensjonsforpliktelse inngår i nøkkeltall for den langsiktige gjelda, og dette fører til at gjeldsgraden (langsiktig gjeld i prosent av driftsinntektene) er økt betraktelig i forhold til tidligere år, fra 32,9 prosent i 2001 til 97,1 prosent i 2002.
Vi ser store variasjoner i arbeidskapital og langsiktig gjeld mellom fylkeskommunene. Sør-Trøndelag og Buskerud har den høyeste gjeldsbelastningen, mens Sogn og Fjordane, Møre og Romsdal og Akershus har høyest arbeidskapital per 31. desember 2002. I Telemark er arbeidskapitalen negativ, og det innebærer at kortsiktig gjeld er større enn omløpsmidlene.
Tabell 10.1 Arbeidskapital og langsiktig gjeld i prosent av driftsinntektene for alle fylkeskommunene 2002.
| Arbeidskapital i % av driftsinntekter | Langsiktig gjeld i % av driftsinntekter | |
| Sør-Trøndelag | 17,1 | 134,5 |
| Buskerud | 4,0 | 128,7 |
| Vestfold | 0,0 | 119,0 |
| Telemark | -2,4 | 108,8 |
| Vest-Agder | 0,1 | 102,7 |
| Hedmark | 11,4 | 102,3 |
| Østfold | 14,5 | 102,0 |
| Akershus | 25,1 | 101,7 |
| Finnmark | 10,8 | 99,1 |
| Sogn og Fjordane | 38,0 | 97,3 |
| Troms | 11,6 | 96,6 |
| Aust-Agder | 8,3 | 94,4 |
| Hordaland | 1,2 | 93,1 |
| Møre og Romsdal | 25,9 | 92,4 |
| Rogaland | 1,7 | 84,2 |
| Nordland | 6,9 | 67,8 |
| Oppland | 1,8 | 65,8 |
| Nord-Trøndelag | 3,0 | 59,8 |
| Landet uten Oslo | 9,7 | 97,1 |
10.2 Kommunene
I henhold til KOSTRA-tall for 2002 som baseres på regnskap for 276 kommuner, er den økonomiske situasjonen for kommunene forverret i forhold til 2001. Netto driftsresultat er redusert fra 1,9 prosent i 2001 til 0 prosent i 2002. Kommunene er dermed ikke i stand til å sette av midler for senere bruk eller til egenfinansiering av investeringer. En sunn økonomisk handlefrihet forutsetter at netto driftsresultat ligger på minst 3 prosent av driftsinntektene.

Figur 10.4 Utviklingen i netto driftsresultat i kommunene
Figur 10.4 over viser hvordan kommunenes økonomiske handlefrihet er redusert i de senere år. Årene 1998 og 1999 var de årene med lavest resultat gjennom 1990-tallet. Resultatet for 2002 ligger betydelig under dette.
I den videre presentasjonen av de finansielle indikatorene, er kommunene inndelt i kommunegrupper basert på størrelse og inntektsnivå (se over).
Tabell 10.2
| Små kommuner | Mellomstore kommuner | |
| Lave inntekter | Gruppe 1 | Gruppe 4 |
| Middels inntekter | Gruppe 2 | Gruppe 5 |
| Høye inntekter | Gruppe 3 | Gruppe 6 |
| Kommuner med innbyggertall over 20 000 (eksklusive storbyene) | Gruppe 7 | |
| Bergen, Trondheim og Stavanger | Gruppe 8 | |
| De 10 kommunene med høyest inntekt | Gruppe 9 |
For nærmere informasjon om kommunegruppene vises det til omtalen under vedlegg 11.
Brutto- og netto driftsresultat
Brutto driftsresultat gir et bilde av forholdet mellom de løpende driftsutgifter inklusive avskrivninger og de løpende driftsinntektene. Denne størrelsen kan sammenlignes med driftsresultatet i privat virksomhet. I begrepet netto driftsresultat er avskrivningene eliminert, mens netto låneavdrag og netto renteutgifter gis resultateffekt. Netto driftsresultat viser dermed hva kommunene sitter igjen med av driftsinntekter når alle driftsutgiftene inklusive renter og avdrag er betalt. For 2002 ligger disse to resultatstørrelsene omtrent på samme nivå for kommunene totalt sett uten Oslo. Gjennomsnittlig brutto driftsresultat viser minus 0,1 prosent av driftsinntekten, mens netto driftsresultat i gjennomsnitt er 0 prosent. Avskrivningene som inngår i brutto driftsresultat ser dermed ut til å ligge på nivå med netto rente- og avdragsutgifter som belastes netto driftsresultat. I netto renteutgifter inngår inntektsført utbytte samt eventuelle verditap på markedsbaserte finansielle omløpsmidler (aksjer mv.). Flere kommuner har måttet utgiftsføre tap på aksjer og aksjefond i 2002, og for disse kommunene har tapet i aksjemarkedet vært en medvirkende årsak til svake resultater.
Fordelt på kommunegrupper ser vi klare variasjoner mellom de ulike typer av kommuner. Det er bare gruppen av kommuner over 20 000 innbyggere eksklusive storbyene (gruppe 7), som har et negativt netto driftsresultat i 2002. Denne kommunegruppen utgjør en stor del av kommunesektorens totale omfang og har dermed stor innvirkning på landsgjennomsnittet. I tillegg til de 10 kommunene med høyest inntekt (gruppe 9), er det de små og mellomstore kommunene med høye frie inntekter (gruppe 3 og 6) som har oppnådd det høyeste netto driftsresultatet for 2002. Gjennomsnitt for disse er henholdsvis 1,4 og 3 prosent. Ellers ser vi at små kommuner (under 5 000 innbyggere) totalt sett oppnår noe høyere netto driftsresultat enn større kommuner.
Også for brutto driftsresultat ser vi at små og mellomstore kommunene med høye frie inntekter (gruppe 3 og 6) ligger høyest. Gruppen av de 10 kommunene med høyest inntekt (gruppe 9) har imidlertid det svakeste brutto driftsresultatet ( minus 2,3 prosent). Årsaken til dette kan være at avskrivningene er høye som følge av store investeringer i disse kommunene. Når vi samtidig ser at denne gruppen oppnår det klart beste netto driftsresultatet, 8 prosent, kan en også anta at netto renter og avdragsutgifter er svært lave eller negative i disse kommunene. Kommunene i gruppe 9 består av kommuner med store inntekter fra kraftverk og utgjør en svært liten del av det totale kommune-Norge.

Figur 10.5 Brutto driftsresultat og netto driftsresultat i prosent av driftsinntektene fordelt på kommunegrupper og landet uten Oslo 2002.
Arbeidskapital og langsiktig gjeld
Arbeidskapitalen gir et uttrykk for kommunenes likviditet og det vil igjen si evnen til å betale sine forpliktelser etter hvert som de forfaller. Som nevnt vil de nye reglene for regnskapsmessig behandling av pensjon påvirke nøkkeltall for arbeidskapital og langsiktig gjeld for 2002. Pensjonsforpliktelsen inngår fra 2002 i langsiktig gjeld og utgjør en stor del av samlet gjeld. Som følge av dette er gjeldsgraden for kommunene utenom Oslo (samlet gjeld og forpliktelser i forhold til driftsinntekter) økt fra 62,8 prosent i 2001 til 141,5 prosent i 2002. Sammenligning mellom kommunegruppene gir imidlertid relevant informasjon. Vi ser at de mellomstore kommunene med middels frie inntekter (gruppe 5) har høyest gjeld og pensjonsforpliktelser, sett i forhold til inntektsnivå.
Tabell 10.3 Arbeidskapital og langsiktig gjeld i prosent av driftsinntektene
| Kommunegruppe | Arbeidskapital i % av driftsinntektene | Langsiktig gjeld i % av driftsinntektene |
| Gruppe 1 | 27,8 | 145,6 |
| Gruppe 2 | 29,4 | 132,2 |
| Gruppe 3 | 19,8 | 129,2 |
| Gruppe 4 | 22,4 | 139,8 |
| Gruppe 5 | 24,2 | 152,6 |
| Gruppe 6 | 23,5 | 136,4 |
| Gruppe 7 | 25,4 | 141,1 |
| Gruppe 8 | 31,8 | 130,3 |
| Gruppe 9 | 107,6 | 75,6 |
| Landet uten Oslo | 26,2 | 141,5 |
Figur 10.6 viser netto lånegjeld og pensjonsforpliktelser per innbygger. Her er utlån og ubrukte lånemidler trukket i fra. Denne indikatoren gir dermed et bedre bilde av den gjelden som skal betjenes av kommunens ordinære driftsinntekter. Pensjonsforpliktelsene inngår også i dette nøkkeltallet for 2002. Figuren viser at de minste kommunene gjennomgående har høyest gjeld/forpliktelse per innbygger. Innenfor kommuner av samme størrelse har kommuner med lavest inntekter også lavest gjeld per innbygger. Gruppen av storbyer utenom Oslo (gruppe 8) inneholder normalt Bergen, Trondheim og Stavanger. Ved urevidert publisering av KOSTRA-tall per 17. mars 2002 inngår kun Bergen og Trondheim i tallgrunnlaget. Gjennomsnittlig gjeld og forpliktelse per innbygger i disse byene ligger klart lavere enn i de øvrige gruppene.

Figur 10.6 Netto lånegjeld/forpliktelse pr. innbygger i kroner for kommunegruppene i 2002.
Tabell 10.4 Finansielle nøkkeltall per kommune og fylkesgjennomsnitt
| Brutto driftsresultat | Netto driftsresultat | Langsiktig gjeld | Arbeidskapital | Netto lånegjeld per innbygger | |
| 0101 Halden | 0,2 % | -2,7 % | 147,3 % | -3,2 % | 47 152 |
| 0104 Moss | -4,4 % | -2,1 % | 88,5 % | 3,9 % | 27 679 |
| 0105 Sarpsborg | -2,8 % | 0,4 % | 137,4 % | 3,3 % | 42 881 |
| 0106 Fredrikstad | 0,4 % | -4,3 % | 162,8 % | 21,5 % | 55 219 |
| 0111 Hvaler | |||||
| 0118 Aremark | -4,7 % | 2,3 % | 123,0 % | 37,5 % | 52 137 |
| 0119 Marker | 2,7 % | 4,1 % | 199,2 % | 11,8 % | 68 676 |
| 0121 Rømskog | |||||
| 0122 Trøgstad | -0,1 % | 2,2 % | 104,9 % | 27,9 % | 35 608 |
| 0123 Spydeberg | 2,3 % | 0,9 % | 130,6 % | 5,4 % | 41 323 |
| 0124 Askim | -4,8 % | -6,2 % | 157,0 % | -2,8 % | 52 279 |
| 0125 Eidsberg | 3,1 % | 5,2 % | 143,5 % | 24,8 % | 45 147 |
| 0127 Skiptvet | -0,5 % | 4,8 % | 104,3 % | 17,1 % | 37 090 |
| 0128 Rakkestad | 1,3 % | 1,7 % | 146,4 % | 12,7 % | 52 078 |
| 0135 Råde | -3,6 % | -4,9 % | 125,5 % | 20,0 % | 39 048 |
| 0136 Rygge | -3,1 % | -1,2 % | 145,1 % | 32,9 % | 35 101 |
| 0137 Våler | 3,4 % | 4,9 % | 132,1 % | 23,0 % | 46 224 |
| 0138 Hobøl | |||||
| Østfold | -1,2 % | -1,7 % | 141,2 % | 12,1 % | 45 694 |
| 0211 Vestby | -1,8 % | -1,6 % | 145,6 % | 39,6 % | 38 748 |
| 0213 Ski | -2,7 % | 0,3 % | 140,5 % | 29,1 % | 41 341 |
| 0214 Ås | 1,2 % | -2,6 % | 151,3 % | 44,8 % | 50 036 |
| 0215 Frogn | -0,9 % | -1,2 % | 145,8 % | 18,7 % | 44 385 |
| 0216 Nesodden | -2,3 % | 1,1 % | 148,8 % | 23,6 % | 42 849 |
| 0217 Oppegård | -1,1 % | 0,4 % | 135,5 % | 14,7 % | 42 917 |
| 0219 Bærum | 2,9 % | -4,5 % | 138,7 % | 44,6 % | 55 682 |
| 0220 Asker | 2,7 % | 1,4 % | 109,7 % | 52,0 % | 39 123 |
| 0221 Aurskog-Høland | 1,4 % | 0,9 % | 153,4 % | 27,5 % | 50 652 |
| 0226 Sørum | 0,4 % | -1,0 % | 129,6 % | 4,0 % | 40 563 |
| 0227 Fet | 4,9 % | 1,4 % | 209,8 % | 12,4 % | 59 888 |
| 0228 Rælingen | 3,8 % | 2,7 % | 126,1 % | 11,0 % | 34 299 |
| 0229 Enebakk | |||||
| 0230 Lørenskog | 0,8 % | -1,0 % | 136,0 % | 15,7 % | 38 048 |
| 0231 Skedsmo | |||||
| 0233 Nittedal | 0,2 % | -0,2 % | 166,3 % | 29,8 % | 48 010 |
| 0234 Gjerdrum | 45 409 | ||||
| 0235 Ullensaker | 7,0 % | 5,1 % | 168,4 % | 23,0 % | 53 928 |
| 0236 Nes | 6,2 % | 2,5 % | 154,1 % | 40,9 % | 40 386 |
| 0237 Eidsvoll | 2,7 % | 1,1 % | 141,0 % | 37,3 % | 40 478 |
| 0238 Nannestad | 5,2 % | -1,8 % | 233,1 % | 37,9 % | 81 196 |
| 0239 Hurdal | 0,7 % | 0,0 % | 112,3 % | 2,0 % | 41 017 |
| Akershus | 2,0 % | -0,8 % | 142,6 % | 33,8 % | 46 935 |
| 0402 Kongsvinger | -0,8 % | -1,6 % | 154,2 % | 20,2 % | 51 286 |
| 0403 Hamar | 2,2 % | 3,3 % | 157,9 % | 13,7 % | 52 871 |
| 0412 Ringsaker | 2,2 % | 4,1 % | 118,2 % | 35,8 % | 33 829 |
| 0415 Løten | 2,7 % | 4,0 % | 128,9 % | 15,0 % | 41 161 |
| 0417 Stange | 1,5 % | 1,9 % | 164,9 % | 27,1 % | 54 057 |
| 0418 Nord-Odal | -2,1 % | -3,0 % | 152,9 % | 25,9 % | 52 259 |
| 0419 Sør-Odal | -0,2 % | -0,3 % | 117,2 % | 20,3 % | 40 539 |
| 0420 Eidskog | |||||
| 0423 Grue | |||||
| 0425 Åsnes | -0,8 % | -1,7 % | 129,4 % | 18,6 % | 50 082 |
| 0426 Våler | |||||
| 0427 Elverum | -0,8 % | -0,3 % | 127,9 % | 16,7 % | 34 123 |
| 0428 Trysil | |||||
| 0429 Åmot | |||||
| 0430 Stor-Elvdal | |||||
| 0432 Rendalen | |||||
| 0434 Engerdal | 0,4 % | -2,4 % | |||
| 0436 Tolga | 0,4 % | -0,5 % | 145,8 % | 9,9 % | 69 850 |
| 0437 Tynset | |||||
| 0438 Alvdal | 1,8 % | -1,2 % | 146,7 % | 35,5 % | 54 715 |
| 0439 Folldal | 1,0 % | -0,8 % | 131,6 % | 8,2 % | 64 557 |
| 0441 Os | 1,1 % | -1,4 % | 148,4 % | 26,7 % | 59 627 |
| Hedmark | 0,9 % | 1,3 % | 140,2 % | 22,6 % | 45 522 |
| 0501 Lillehammer | 0,6 % | -0,2 % | 92,6 % | 21,3 % | 20 874 |
| 0502 Gjøvik | 47 323 | ||||
| 0511 Dovre | -1,5 % | -0,3 % | 128,3 % | 19,7 % | 50 633 |
| 0512 Lesja | -0,9 % | 7,4 % | 100,1 % | 15,6 % | 45 030 |
| 0513 Skjåk | 0,4 % | 3,7 % | 118,6 % | 33,4 % | 52 166 |
| 0514 Lom | 54 472 | ||||
| 0515 Vågå | -1,2 % | 0,7 % | 140,6 % | 26,2 % | 50 482 |
| 0516 Nord-Fron | 0,6 % | 3,9 % | 118,0 % | 22,4 % | 39 414 |
| 0517 Sel | 48 402 | ||||
| 0519 Sør-Fron | -1,5 % | 3,2 % | 62,9 % | 27,0 % | 16 809 |
| 0520 Ringebu | |||||
| 0521 Øyer | 1,6 % | 3,9 % | 136,0 % | 19,9 % | 45 833 |
| 0522 Gausdal | 3,3 % | 4,7 % | 131,2 % | 28,4 % | 42 563 |
| 0528 Østre Toten | 0,8 % | 1,5 % | 136,3 % | 23,1 % | 47 484 |
| 0529 Vestre Toten | 0,1 % | -3,7 % | 160,7 % | 16,9 % | 48 959 |
| 0532 Jevnaker | |||||
| 0533 Lunner | 2,2 % | 2,7 % | 55,0 % | 10,1 % | 16 270 |
| 0534 Gran | 4,1 % | 4,6 % | 115,5 % | 17,6 % | 41 221 |
| 0536 Søndre Land | -1,7 % | 2,1 % | 141,6 % | 41,0 % | 62 622 |
| 0538 Nordre Land | 0,4 % | 2,8 % | 155,1 % | 55,7 % | 51 576 |
| 0540 Sør-Aurdal | 2,1 % | 1,9 % | 125,9 % | 20,3 % | 53 915 |
| 0541 Etnedal | |||||
| 0542 Nord-Aurdal | |||||
| 0543 Vestre Slidre | 2,3 % | 2,4 % | 112,0 % | 25,6 % | 39 651 |
| 0544 Øystre Slidre | 7 288 | ||||
| 0545 Vang | |||||
| Oppland | 0,9 % | 1,7 % | 119,4 % | 24,1 % | 40 528 |
| 0602 Drammen | -12,4 % | -4,0 % | 142,5 % | -7,9 % | 19 569 |
| 0604 Kongsberg | 4,6 % | 1,4 % | 136,5 % | 8,2 % | 47 067 |
| 0605 Ringerike | -2,8 % | 0,3 % | 129,3 % | 10,5 % | 42 904 |
| 0612 Hole | -0,3 % | 2,0 % | 103,2 % | 13,9 % | 39 526 |
| 0615 Flå | 3,0 % | 6,9 % | 136,5 % | 26,4 % | 76 243 |
| 0616 Nes | 40 800 | ||||
| 0617 Gol | 3,8 % | 1,7 % | 39,2 % | 8,2 % | 18 130 |
| 0618 Hemsedal | -1,7 % | -0,1 % | 92,5 % | 20,4 % | 49 143 |
| 0619 Ål | -2,3 % | 3,4 % | 85,3 % | 34,2 % | 37 745 |
| 0620 Hol | -0,3 % | 3,7 % | 75,6 % | 30,0 % | 40 841 |
| 0621 Sigdal | 4,6 % | 7,0 % | 105,8 % | 14,8 % | 27 729 |
| 0622 Krødsherad | |||||
| 0623 Modum | -0,9 % | 2,9 % | 123,7 % | 9,4 % | 16 371 |
| 0624 Øvre Eiker | |||||
| 0625 Nedre Eiker | -3,4 % | -1,8 % | 153,4 % | 9,2 % | 47 395 |
| 0626 Lier | -0,3 % | -2,2 % | 154,8 % | 4,7 % | 46 063 |
| 0627 Røyken | -6,0 % | -6,6 % | 93,3 % | 29,6 % | 19 962 |
| 0628 Hurum | 1,3 % | 1,3 % | 135,6 % | 4,1 % | 37 936 |
| 0631 Flesberg | -0,7 % | 2,6 % | 154,3 % | 63,7 % | 52 059 |
| 0632 Rollag | |||||
| 0633 Nore og Uvdal | -0,4 % | 4,5 % | 14,7 % | 28,9 % | 1 583 |
| Buskerud | -3,6 % | -0,8 % | 126,3 % | 8,6 % | 33 511 |
| 0701 Horten | -4,7 % | -0,1 % | 138,1 % | 76,5 % | 40 249 |
| 0702 Holmestrand | -4,6 % | -2,6 % | 130,1 % | 55,6 % | 44 795 |
| 0704 Tønsberg | -1,7 % | -4,7 % | 156,3 % | 55,1 % | 46 094 |
| 0706 Sandefjord | -3,0 % | -0,3 % | 94,4 % | 85,8 % | 29 819 |
| 0709 Larvik | 50 767 | ||||
| 0711 Svelvik | -8,2 % | -5,9 % | 22,9 % | 51,0 % | 1 838 |
| 0713 Sande | -4,3 % | -1,2 % | 139,6 % | 68,3 % | 40 090 |
| 0714 Hof | -3,8 % | 3,5 % | 92,4 % | 76,3 % | 33 128 |
| 0716 Re | |||||
| 0719 Andebu | -0,6 % | -2,4 % | 139,4 % | 77,9 % | 44 175 |
| 0720 Stokke | 38 434 | ||||
| 0722 Nøtterøy | |||||
| 0723 Tjøme | |||||
| 0728 Lardal | -8,6 % | -8,2 % | 90,7 % | 87,1 % | 34 214 |
| Vestfold | -3,4 % | -2,1 % | 122,4 % | 70,4 % | 40 107 |
| 0805 Porsgrunn | -4,6 % | -8,1 % | 169,8 % | 56,3 % | 58 118 |
| 0806 Skien | -2,6 % | 1,3 % | 145,5 % | 44,4 % | 45 724 |
| 0807 Notodden | -5,5 % | -4,5 % | 166,7 % | 27,8 % | 56 995 |
| 0811 Siljan | 6,5 % | 7,1 % | 118,6 % | 40,3 % | 44 168 |
| 0814 Bamble | 1,5 % | -1,4 % | 139,1 % | 40,4 % | 46 852 |
| 0815 Kragerø | 0,6 % | 2,3 % | 117,2 % | -2,2 % | 42 991 |
| 0817 Drangedal | 0,7 % | 1,5 % | 175,0 % | 24,2 % | 55 976 |
| 0819 Nome | -0,7 % | -0,1 % | 145,9 % | 2,9 % | 32 921 |
| 0821 Bø | |||||
| 0822 Sauherad | -3,8 % | -3,8 % | 155,5 % | -12,0 % | 61 542 |
| 0826 Tinn | 5,8 % | 6,5 % | 126,8 % | 18,9 % | 51 877 |
| 0827 Hjartdal | |||||
| 0828 Seljord | |||||
| 0829 Kviteseid | |||||
| 0830 Nissedal | 0,8 % | 0,7 % | 114,5 % | 14,8 % | 58 968 |
| 0831 Fyresdal | |||||
| 0833 Tokke | -6,2 % | 2,8 % | 72,1 % | 28,1 % | 43 968 |
| 0834 Vinje | |||||
| Telemark | -1,9 % | -1,2 % | 147,1 % | 34,6 % | 49 880 |
| 0901 Risør | -0,6 % | 2,1 % | 195,5 % | 60,9 % | 75 928 |
| 0904 Grimstad | -4,1 % | 0,1 % | 163,8 % | 44,3 % | 44 898 |
| 0906 Arendal | 0,2 % | 3,2 % | 162,4 % | 31,9 % | 54 337 |
| 0911 Gjerstad | 1,5 % | 11,4 % | 181,3 % | 71,6 % | 74 507 |
| 0912 Vegårshei | |||||
| 0914 Tvedestrand | |||||
| 0919 Froland | |||||
| 0926 Lillesand | |||||
| 0928 Birkenes | -3,7 % | 1,8 % | 145,8 % | 51,3 % | 50 732 |
| 0929 Åmli | |||||
| 0935 Iveland | -5,8 % | 1,3 % | 114,0 % | 52,1 % | 48 285 |
| 0937 Evje og Hornnes | -1,6 % | 2,6 % | 131,3 % | 37,7 % | 51 774 |
| 0938 Bygland | |||||
| 0940 Valle | |||||
| 0941 Bykle | 2,7 % | 22,6 % | 41,8 % | 165,1 % | 2 731 |
| Aust-Agder | -1,1 % | 3,4 % | 158,3 % | 46,3 % | 53 711 |
| 1001 Kristiansand | 1,5 % | 8,2 % | 143,3 % | 18,1 % | 47 856 |
| 1002 Mandal | 0,9 % | 1,6 % | |||
| 1003 Farsund | 4,4 % | 6,7 % | 162,6 % | 58,2 % | 51 530 |
| 1004 Flekkefjord | -1,8 % | 1,4 % | |||
| 1014 Vennesla | -0,1 % | 0,3 % | |||
| 1017 Songdalen | 2,5 % | 8,5 % | |||
| 1018 Søgne | |||||
| 1021 Marnardal | |||||
| 1026 Åseral | 1,4 % | 15,5 % | 16,0 % | 212,8 % | 11 283 |
| 1027 Audnedal | -3,8 % | 19,3 % | 152,7 % | 307,7 % | 68 853 |
| 1029 Lindesnes | 0,1 % | -3,4 % | 82,6 % | 60,9 % | 26 608 |
| 1032 Lyngdal | |||||
| 1034 Hægebostad | -10,0 % | 9,0 % | 123,2 % | 163,4 % | 58 219 |
| 1037 Kvinesdal | |||||
| 1046 Sirdal | -15,8 % | -7,5 % | 78,7 % | 65,6 % | 65 450 |
| Vest-Agder | 0,5 % | 5,8 % | 136,7 % | 38,4 % | 47 731 |
| 1101 Eigersund | -4,2 % | -3,6 % | 182,9 % | 7,0 % | 51 512 |
| 1102 Sandnes | -3,8 % | 0,4 % | 134,0 % | 4,2 % | 24 735 |
| 1103 Stavanger | |||||
| 1106 Haugesund | 2,2 % | -2,2 % | 163,1 % | 8,5 % | 47 535 |
| 1111 Sokndal | 2,8 % | -3,0 % | 154,1 % | 70,7 % | 47 191 |
| 1112 Lund | |||||
| 1114 Bjerkreim | |||||
| 1119 Hå | |||||
| 1120 Klepp | -4,0 % | 1,3 % | 139,7 % | 5,1 % | 27 324 |
| 1121 Time | -3,2 % | -0,2 % | 121,8 % | 2,0 % | 22 761 |
| 1122 Gjesdal | 4,3 % | 3,9 % | 136,5 % | -4,1 % | 40 122 |
| 1124 Sola | |||||
| 1127 Randaberg | -7,7 % | -3,2 % | 114,7 % | 4,8 % | 23 571 |
| 1129 Forsand | 0,3 % | 3,1 % | 125,0 % | 93,8 % | 105 259 |
| 1130 Strand | -0,1 % | 0,2 % | 139,1 % | 9,9 % | 34 045 |
| 1133 Hjelmeland | -2,7 % | -1,2 % | 145,2 % | 25,5 % | 61 189 |
| 1134 Suldal | -6,9 % | 3,4 % | 81,5 % | 40,6 % | 39 303 |
| 1135 Sauda | |||||
| 1141 Finnøy | -7,5 % | -1,1 % | 104,6 % | 13,4 % | 30 917 |
| 1142 Rennesøy | 1,2 % | 2,7 % | |||
| 1144 Kvitsøy | 5,7 % | 2,6 % | 140,3 % | 2,9 % | 53 732 |
| 1145 Bokn | |||||
| 1146 Tysvær | -0,8 % | 2,7 % | 116,9 % | 2,9 % | 45 576 |
| 1149 Karmøy | 1,8 % | 3,8 % | |||
| 1151 Utsira | 45 295 | ||||
| 1154 Vindafjord | -4,5 % | -1,3 % | 145,9 % | 22,5 % | 40 005 |
| 1159 Ølen | |||||
| Rogaland | -1,5 % | 0,5 % | 138,9 % | 10,1 % | 35 090 |
| 1201 Bergen | -3,7 % | -1,9 % | 108,7 % | 12,1 % | 30 127 |
| 1211 Etne | |||||
| 1216 Sveio | 4,3 % | 4,4 % | 115,1 % | 8,3 % | 32 738 |
| 1219 Bømlo | 7,7 % | 1,5 % | 142,3 % | 10,8 % | 45 857 |
| 1221 Stord | -5,3 % | -10,3 % | 176,5 % | 68,1 % | 48 736 |
| 1222 Fitjar | -3,7 % | -6,7 % | 173,2 % | -19,0 % | 54 249 |
| 1223 Tysnes | 4,6 % | 3,9 % | 119,8 % | 7,1 % | 54 495 |
| 1224 Kvinnherad | -1,7 % | -4,7 % | 181,1 % | 60,9 % | 70 126 |
| 1227 Jondal | |||||
| 1228 Odda | -2,4 % | 1,5 % | 135,5 % | 12,5 % | 54 537 |
| 1231 Ullensvang | |||||
| 1232 Eidfjord | 3,0 % | 14,3 % | 73,0 % | 65,8 % | 38 587 |
| 1233 Ulvik | |||||
| 1234 Granvin | 10,7 % | 7,6 % | 150,2 % | 69,5 % | 80 507 |
| 1235 Voss | 4,3 % | -0,2 % | 144,2 % | 12,5 % | 51 180 |
| 1238 Kvam | -1,9 % | 0,4 % | 149,4 % | 48,1 % | 60 714 |
| 1241 Fusa | |||||
| 1242 Samnanger | 3,3 % | 0,6 % | 142,9 % | 14,7 % | 59 085 |
| 1243 Os | -3,3 % | 42,1 % | 141,2 % | 74,0 % | 37 662 |
| 1244 Austevoll | |||||
| 1245 Sund | |||||
| 1246 Fjell | 0,1 % | 0,0 % | 141,3 % | 34,0 % | 36 917 |
| 1247 Askøy | -3,2 % | -1,4 % | |||
| 1251 Vaksdal | |||||
| 1252 Modalen | |||||
| 1253 Osterøy | |||||
| 1256 Meland | |||||
| 1259 Øygarden | 60 961 | ||||
| 1260 Radøy | |||||
| 1263 Lindås | -4,2 % | -0,8 % | 127,0 % | 36,5 % | 46 749 |
| 1264 Austrheim | |||||
| 1265 Fedje | -2,9 % | 4,8 % | 119,3 % | 86,4 % | 62 554 |
| 1266 Masfjorden | |||||
| Hordaland | -2,5 % | -0,2 % | 122,4 % | 21,6 % | 37 144 |
| 1401 Flora | 5,0 % | -0,9 % | 152,2 % | -0,2 % | 54 519 |
| 1411 Gulen | -5,5 % | -7,0 % | 122,4 % | 5,1 % | 59 884 |
| 1412 Solund | -0,4 % | 0,2 % | 126,3 % | 39,9 % | 73 144 |
| 1413 Hyllestad | 69 154 | ||||
| 1416 Høyanger | |||||
| 1417 Vik | |||||
| 1418 Balestrand | |||||
| 1419 Leikanger | -2,1 % | -11,0 % | 218,9 % | 136,5 % | 89 591 |
| 1420 Sogndal | 2,7 % | 0,3 % | 147,4 % | 28,2 % | 52 652 |
| 1421 Aurland | |||||
| 1422 Lærdal | |||||
| 1424 Årdal | 1,2 % | 6,3 % | |||
| 1426 Luster | -1,3 % | 2,0 % | 133,7 % | 62,7 % | 27 903 |
| 1428 Askvoll | |||||
| 1429 Fjaler | -3,5 % | -5,1 % | 155,9 % | 25,5 % | 69 173 |
| 1430 Gaular | -3,2 % | -9,1 % | 176,4 % | 27,7 % | 68 713 |
| 1431 Jølster | 63 193 | ||||
| 1432 Førde | 1,3 % | -5,3 % | 188,4 % | 25,0 % | 65 069 |
| 1433 Naustdal | |||||
| 1438 Bremanger | 2,7 % | 2,3 % | 185,7 % | 6,7 % | 77 916 |
| 1439 Vågsøy | 25 569 | ||||
| 1441 Selje | 1,2 % | -1,5 % | 186,4 % | 5,9 % | 68 124 |
| 1443 Eid | 2,9 % | -2,5 % | 159,6 % | 39,8 % | 52 282 |
| 1444 Hornindal | |||||
| 1445 Gloppen | |||||
| 1449 Stryn | |||||
| Sogn og Fjordane | 1,1 % | -1,5 % | 162,4 % | 27,3 % | 56 687 |
| 1502 Molde | 7,2 % | -1,5 % | 151,7 % | 7,2 % | 54 104 |
| 1503 Kristiansund | 7,3 % | 1,6 % | 153,2 % | 20,8 % | 60 711 |
| 1504 Ålesund | -2,1 % | -5,7 % | |||
| 1511 Vanylven | 3,7 % | 1,5 % | 135,9 % | 10,5 % | 48 961 |
| 1514 Sande | 0,5 % | -13,0 % | |||
| 1515 Herøy | |||||
| 1516 Ulstein | -0,5 % | -3,2 % | 185,2 % | 34,9 % | 56 399 |
| 1517 Hareid | 3,9 % | 1,7 % | 168,9 % | 12,3 % | 58 967 |
| 1519 Volda | -1,5 % | -4,9 % | 235,9 % | 70,9 % | 65 821 |
| 1520 Ørsta | -4,5 % | -5,7 % | 188,1 % | 29,5 % | 60 892 |
| 1523 Ørskog | 3,1 % | -1,3 % | 186,8 % | 2,9 % | 87 392 |
| 1524 Norddal | -0,1 % | -1,2 % | 148,8 % | 12,3 % | 69 238 |
| 1525 Stranda | 6,7 % | 1,5 % | 120,0 % | 25,2 % | 36 083 |
| 1526 Stordal | -1,3 % | -0,9 % | 111,3 % | 70,5 % | 45 504 |
| 1528 Sykkylven | -1,6 % | -4,9 % | 170,8 % | 21,4 % | 48 671 |
| 1529 Skodje | |||||
| 1531 Sula | -2,1 % | -5,6 % | 151,7 % | 55,7 % | 49 820 |
| 1532 Giske | |||||
| 1534 Haram | -2,4 % | -17,0 % | 160,9 % | 75,1 % | 52 739 |
| 1535 Vestnes | -2,8 % | -1,9 % | 180,1 % | 48,7 % | 86 142 |
| 1539 Rauma | |||||
| 1543 Nesset | |||||
| 1545 Midsund | -0,5 % | -1,7 % | 122,8 % | 34,9 % | 55 294 |
| 1546 Sandøy | 3,0 % | -3,4 % | 114,6 % | 80,0 % | 51 330 |
| 1547 Aukra | 2,6 % | -0,1 % | 162,8 % | 31,1 % | 61 793 |
| 1548 Fræna | 2,5 % | -3,4 % | 143,0 % | 40,1 % | 48 180 |
| 1551 Eide | |||||
| 1554 Averøy | 0,6 % | 0,8 % | 136,8 % | 25,3 % | 48 266 |
| 1556 Frei | 0,3 % | -1,2 % | 129,4 % | 20,6 % | 39 215 |
| 1557 Gjemnes | |||||
| 1560 Tingvoll | |||||
| 1563 Sunndal | 1,0 % | 1,5 % | |||
| 1566 Surnadal | 54 595 | ||||
| 1567 Rindal | 1,1 % | 0,6 % | 148,2 % | 7,0 % | 62 725 |
| 1569 Aure | 1,1 % | 2,9 % | 120,2 % | 40,7 % | 59 148 |
| 1571 Halsa | |||||
| 1572 Tustna | -24,4 % | 3,4 % | 176,5 % | 26,7 % | 84 276 |
| 1573 Smøla | 2,8 % | 0,8 % | 141,6 % | 0,0 % | 66 960 |
| Møre og Romsdal | 1,0 % | -2,9 % | 159,2 % | 31,0 % | 56 557 |
| 1601 Trondheim | 2,2 % | 3,6 % | 164,4 % | 62,8 % | 30 725 |
| 1612 Hemne | 2,5 % | 1,4 % | 135,4 % | 39,0 % | 48 735 |
| 1613 Snillfjord | 4,9 % | 2,3 % | 125,9 % | 10,8 % | 68 709 |
| 1617 Hitra | 80 809 | ||||
| 1620 Frøya | 0,9 % | 1,5 % | 156,3 % | 12,4 % | 58 760 |
| 1621 Ørland | 2,4 % | 1,2 % | 184,6 % | 25,1 % | 63 031 |
| 1622 Agdenes | -4,1 % | 1,8 % | 142,7 % | 27,3 % | 56 708 |
| 1624 Rissa | |||||
| 1627 Bjugn | 0,4 % | -0,4 % | 170,8 % | 28,1 % | 61 419 |
| 1630 Åfjord | 3,0 % | 1,4 % | 208,5 % | 62,9 % | 72 396 |
| 1632 Roan | |||||
| 1633 Osen | 5,0 % | 3,1 % | 145,3 % | 5,8 % | 79 683 |
| 1634 Oppdal | |||||
| 1635 Rennebu | |||||
| 1636 Meldal | 3,9 % | 1,1 % | |||
| 1638 Orkdal | -0,6 % | 0,6 % | 143,8 % | 23,0 % | 42 706 |
| 1640 Røros | 1,5 % | 1,1 % | 156,7 % | 24,2 % | 62 722 |
| 1644 Holtålen | -0,1 % | -4,8 % | 173,7 % | 26,9 % | 75 028 |
| 1648 Midtre Gauldal | 0,4 % | -1,4 % | 151,9 % | 30,3 % | 59 651 |
| 1653 Melhus | 1,0 % | -1,0 % | 176,9 % | 14,8 % | 56 727 |
| 1657 Skaun | 2,3 % | 1,2 % | 162,1 % | 20,9 % | 51 864 |
| 1662 Klæbu | -1,1 % | -1,3 % | 160,9 % | 1,8 % | 62 713 |
| 1663 Malvik | 2,8 % | -2,6 % | 184,8 % | 14,8 % | 56 558 |
| 1664 Selbu | -1,4 % | -2,7 % | 173,7 % | 11,1 % | 61 647 |
| 1665 Tydal | |||||
| Sør-Trøndelag | 1,8 % | 2,1 % | 164,7 % | 46,8 % | 41 361 |
| 1702 Steinkjer | 2,5 % | -0,7 % | 151,7 % | 0,2 % | 53 792 |
| 1703 Namsos | 2,6 % | -2,5 % | 193,0 % | 1,0 % | 73 559 |
| 1711 Meråker | |||||
| 1714 Stjørdal | 5,0 % | -0,8 % | 169,7 % | 7,0 % | 50 301 |
| 1717 Frosta | 3,6 % | -0,8 % | 174,7 % | 7,7 % | 68 670 |
| 1718 Leksvik | 4,0 % | 0,6 % | 162,3 % | 2,0 % | 62 927 |
| 1719 Levanger | 8,0 % | 2,7 % | 168,0 % | 8,9 % | 53 461 |
| 1721 Verdal | 9,4 % | 2,6 % | 161,8 % | -1,1 % | 52 272 |
| 1723 Mosvik | 1,2 % | 1,4 % | 154,4 % | 7,3 % | 81 257 |
| 1724 Verran | 4,5 % | -0,3 % | 172,1 % | 5,6 % | 80 024 |
| 1725 Namdalseid | 5,5 % | 1,4 % | 178,9 % | 15,5 % | 76 392 |
| 1729 Inderøy | 7,1 % | 1,9 % | 156,9 % | 2,0 % | 56 190 |
| 1736 Snåsa | |||||
| 1738 Lierne | 2,9 % | -0,9 % | 125,3 % | 12,4 % | 72 756 |
| 1739 Røyrvik | 4,9 % | 2,7 % | 156,2 % | 34,0 % | 129 786 |
| 1740 Namsskogan | 0,3 % | -0,4 % | 128,1 % | 27,5 % | 74 440 |
| 1742 Grong | |||||
| 1743 Høylandet | |||||
| 1744 Overhalla | 5,5 % | 2,6 % | 178,6 % | 10,1 % | 59 605 |
| 1748 Fosnes | |||||
| 1749 Flatanger | |||||
| 1750 Vikna | |||||
| 1751 Nærøy | 4,8 % | -0,7 % | 187,0 % | 12,4 % | 70 852 |
| 1755 Leka | 6,1 % | 2,1 % | 134,4 % | 16,0 % | 78 024 |
| Nord-Trøndelag | 5,1 % | 0,4 % | 166,4 % | 5,5 % | 59 001 |
| 1804 Bodø | |||||
| 1805 Narvik | |||||
| 1811 Bindal | -0,9 % | -1,7 % | 132,2 % | 2,1 % | 76 327 |
| 1812 Sømna | |||||
| 1813 Brønnøy | 4,0 % | 3,0 % | 147,5 % | 12,1 % | 55 400 |
| 1815 Vega | |||||
| 1816 Vevelstad | |||||
| 1818 Herøy | 6,6 % | 1,9 % | 172,1 % | 1,6 % | 78 248 |
| 1820 Alstahaug | 4,6 % | 1,3 % | 170,2 % | 2,1 % | 64 261 |
| 1822 Leirfjord | |||||
| 1824 Vefsn | 1,8 % | 2,8 % | 138,3 % | 19,0 % | 49 128 |
| 1825 Grane | 0,4 % | 2,4 % | 116,1 % | 28,5 % | 51 690 |
| 1826 Hattfjelldal | 3,6 % | 6,7 % | 117,4 % | 44,1 % | 35 577 |
| 1827 Dønna | -5,6 % | 4,4 % | 128,3 % | 6,7 % | 66 878 |
| 1828 Nesna | 2,2 % | 3,0 % | 137,2 % | 16,1 % | 57 038 |
| 1832 Hemnes | |||||
| 1833 Rana | 1,9 % | 2,1 % | 140,8 % | 22,2 % | 49 914 |
| 1834 Lurøy | 5,6 % | 5,2 % | 69,5 % | 17,9 % | 33 121 |
| 1835 Træna | |||||
| 1836 Rødøy | |||||
| 1837 Meløy | 1,5 % | 0,4 % | 151,6 % | 8,7 % | 65 949 |
| 1838 Gildeskål | 65 056 | ||||
| 1839 Beiarn | 1,6 % | 3,4 % | 306,3 % | 59,6 % | 142 673 |
| 1840 Saltdal | |||||
| 1841 Fauske | 44 996 | ||||
| 1842 Skjerstad | |||||
| 1845 Sørfold | |||||
| 1848 Steigen | |||||
| 1849 Hamarøy | |||||
| 1850 Tysfjord | |||||
| 1851 Lødingen | 4,0 % | 2,0 % | 180,3 % | 8,2 % | 83 078 |
| 1852 Tjeldsund | |||||
| 1853 Evenes | |||||
| 1854 Ballangen | 4,0 % | 0,6 % | 52,4 % | 9,7 % | 19 082 |
| 1856 Røst | |||||
| 1857 Værøy | 72 057 | ||||
| 1859 Flakstad | |||||
| 1860 Vestvågøy | -1,4 % | -0,1 % | 42,5 % | 7,3 % | 10 711 |
| 1865 Vågan | 0,4 % | 1,1 % | 157,0 % | 10,6 % | 152 648 |
| 1866 Hadsel | |||||
| 1867 Bø | 0,2 % | 0,3 % | 136,0 % | 31,6 % | 60 110 |
| 1868 Øksnes | 0,2 % | -1,5 % | 137,0 % | 17,3 % | 52 149 |
| 1870 Sortland | 5,4 % | 1,8 % | 155,9 % | 12,0 % | 60 095 |
| 1871 Andøy | |||||
| 1874 Moskenes | |||||
| Nordland | 2,0 % | 1,7 % | 136,3 % | 15,3 % | 58 399 |
| 1901 Harstad | 0,8 % | -3,8 % | 178,3 % | 12,7 % | 59 684 |
| 1902 Tromsø | -1,8 % | -1,7 % | 159,7 % | 5,1 % | 51 727 |
| 1911 Kvæfjord | -1,2 % | -1,8 % | 89,9 % | -0,7 % | 77 424 |
| 1913 Skånland | 3,5 % | 1,0 % | 145,2 % | 0,5 % | 61 526 |
| 1915 Bjarkøy | -0,7 % | 1,6 % | 109,1 % | 8,8 % | 69 336 |
| 1917 Ibestad | 1,3 % | 0,7 % | 51,4 % | 5,2 % | 24 790 |
| 1919 Gratangen | |||||
| 1920 Lavangen | |||||
| 1922 Bardu | |||||
| 1923 Salangen | |||||
| 1924 Målselv | |||||
| 1925 Sørreisa | |||||
| 1926 Dyrøy | |||||
| 1927 Tranøy | |||||
| 1928 Torsken | |||||
| 1929 Berg | 9,4 % | 4,6 % | 172,6 % | 8,9 % | 108 503 |
| 1931 Lenvik | |||||
| 1933 Balsfjord | 0,4 % | 3,5 % | 134,1 % | 6,9 % | 49 537 |
| 1936 Karlsøy | |||||
| 1938 Lyngen | 0,2 % | -0,6 % | 143,3 % | -5,3 % | 59 694 |
| 1939 Storfjord | 5,0 % | 2,6 % | 119,7 % | 12,4 % | 50 429 |
| 1940 Gaivuotna -Kåfjord | |||||
| 1941 Skjervøy | 7,6 % | 0,3 % | 202,7 % | 7,6 % | 81 315 |
| 1942 Nordreisa | |||||
| 1943 Kvænangen | |||||
| Troms | -0,2 % | -1,4 % | 154,6 % | 6,2 % | 55 605 |
| 2002 Vardø | 7,2 % | 0,0 % | 165,5 % | 7,0 % | 87 035 |
| 2003 Vadsø | |||||
| 2004 Hammerfest | |||||
| 2011 Guovdageaidnu - Kautokeino | 0,5 % | -1,4 % | 131,2 % | 16,0 % | 62 435 |
| 2012 Alta | |||||
| 2014 Loppa | |||||
| 2015 Hasvik | 4,7 % | 0,6 % | 159,9 % | 8,5 % | 112 797 |
| 2017 Kvalsund | |||||
| 2018 Måsøy | 7,3 % | 4,2 % | 134,1 % | 18,5 % | 79 144 |
| 2019 Nordkapp | 2,5 % | -0,9 % | 163,0 % | 10,9 % | 79 384 |
| 2020 Porsanger | 3,0 % | 1,5 % | 168,6 % | 17,1 % | 79 609 |
| 2021 Karasjohka - Karasjok | |||||
| 2022 Lebesby | |||||
| 2023 Gamvik | 0,7 % | -6,6 % | 176,0 % | -11,5 % | 120 481 |
| 2024 Berlevåg | |||||
| 2025 Deatnu - Tana | 3,8 % | 1,9 % | 159,9 % | 20,4 % | 76 114 |
| 2027 Unjarga - Nesseby | 3,6 % | 5,7 % | 146,2 % | 31,8 % | 93 545 |
| 2028 Båtsfjord | |||||
| 2030 Sør-Varanger | |||||
| Finnmark | 3,5 % | 0,4 % | 157,2 % | 13,7 % | 82 147 |