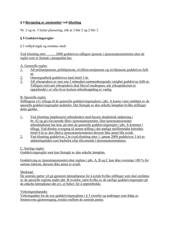
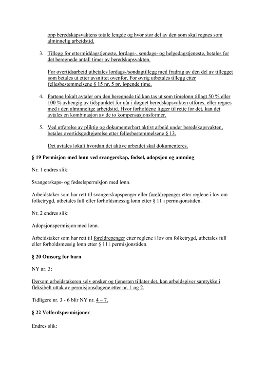
1 Riksmeklingsmannens møtebok

Figur 1.1

Figur 1.2
Undervedlegg 1

Figur 1.3

Figur 1.4

Figur 1.5

Figur 1.6

Figur 1.7

Figur 1.8

Figur 1.9

Figur 1.10

Figur 1.11

Figur 1.12

Figur 1.13
Undervedlegg 2
Hovedlønnstabell A
| 30.04.2008 | 01.05.2008 | |
|---|---|---|
| ltr 1 | 182 400 | 198 400 |
| ltr 2 | 184 800 | 200 800 |
| ltr 3 | 187 200 | 203 200 |
| ltr 4 | 189 600 | 205 600 |
| ltr 5 | 192 000 | 208 000 |
| ltr 6 | 194 400 | 210 400 |
| ltr 7 | 196 800 | 212 800 |
| ltr 8 | 199 200 | 215 200 |
| ltr 9 | 201 600 | 217 600 |
| ltr 10 | 204 000 | 220 000 |
| ltr 11 | 206 400 | 222 400 |
| ltr 12 | 208 800 | 224 800 |
| ltr 13 | 211 200 | 227 200 |
| ltr 14 | 213 600 | 229 600 |
| ltr 15 | 216 200 | 232 200 |
| ltr 16 | 219 200 | 235 200 |
| ltr 17 | 222 500 | 238 500 |
| ltr 18 | 225 800 | 241 800 |
| ltr 19 | 229 200 | 245 200 |
| ltr 20 | 232 600 | 248 600 |
| ltr 21 | 236 200 | 252 200 |
| ltr 22 | 239 800 | 255 800 |
| ltr 23 | 243 500 | 259 500 |
| ltr 24 | 247 200 | 263 200 |
| ltr 25 | 251 100 | 267 100 |
| ltr 26 | 255 000 | 271 000 |
| ltr 27 | 258 600 | 274 600 |
| ltr 28 | 262 200 | 278 200 |
| ltr 29 | 265 800 | 281 800 |
| ltr 30 | 269 400 | 285 400 |
| ltr 31 | 273 000 | 289 000 |
| ltr 32 | 276 800 | 292 800 |
| ltr 33 | 280 600 | 296 600 |
| ltr 34 | 284 400 | 300 400 |
| ltr 35 | 288 300 | 304 300 |
| ltr 36 | 292 300 | 308 300 |
| ltr 37 | 296 600 | 312 600 |
| ltr 38 | 301 000 | 317 000 |
| ltr 39 | 305 500 | 321 500 |
| ltr 40 | 310 300 | 326 300 |
| ltr 41 | 315 000 | 331 000 |
| ltr 42 | 320 500 | 336 500 |
| ltr 43 | 325 800 | 341 800 |
| ltr 44 | 331 600 | 347 600 |
| ltr 45 | 337 200 | 353 200 |
| ltr 46 | 343 100 | 359 100 |
| ltr 47 | 349 100 | 365 300 |
| ltr 48 | 355 200 | 371 700 |
| ltr 49 | 361 500 | 378 300 |
| ltr 50 | 367 800 | 384 900 |
| ltr 51 | 374 300 | 391 700 |
| ltr 52 | 381 100 | 398 800 |
| ltr 53 | 388 200 | 406 300 |
| ltr 54 | 394 900 | 413 300 |
| ltr 55 | 402 100 | 420 800 |
| ltr 56 | 409 100 | 428 100 |
| ltr 57 | 416 300 | 435 700 |
| ltr 58 | 424 000 | 443 700 |
| ltr 59 | 431 700 | 451 800 |
| ltr 60 | 439 500 | 459 900 |
| ltr 61 | 447 900 | 468 700 |
| ltr 62 | 456 600 | 477 800 |
| ltr 63 | 465 500 | 487 100 |
| ltr 64 | 474 200 | 496 300 |
| ltr 65 | 483 100 | 505 600 |
| ltr 66 | 491 800 | 514 700 |
| ltr 67 | 500 900 | 524 200 |
| ltr 68 | 509 600 | 533 300 |
| ltr 69 | 519 500 | 543 700 |
| ltr 70 | 529 600 | 554 200 |
| ltr 71 | 542 400 | 567 600 |
| ltr 72 | 552 100 | 577 800 |
| ltr 73 | 561 800 | 587 900 |
| ltr 74 | 572 000 | 598 600 |
| ltr 75 | 583 200 | 610 300 |
| ltr 76 | 598 300 | 626 100 |
| ltr 77 | 613 300 | 641 800 |
| ltr 78 | 633 200 | 662 600 |
| ltr 79 | 653 000 | 683 400 |
| ltr 80 | 673 000 | 704 300 |
| ltr 81 | 693 000 | 725 000 |
| ltr 82 | 713 000 | 745 000 |
| ltr 83 | 733 000 | 765 000 |
| ltr 84 | 753 000 | 785 000 |
| ltr 85 | 778 000 | 810 000 |
| ltr 86 | 803 000 | 835 000 |
| ltr 87 | 828 000 | 860 000 |
| ltr 88 | 848 000 | 880 000 |
| ltr 89 | 868 000 | 900 000 |
| ltr 90 | 888 000 | 920 000 |
| ltr 91 | 908 000 | 940 000 |
| ltr 92 | 928 000 | 960 000 |
| ltr 93 | 980 000 | |
| ltr 94 | 1 000 000 | |
| ltr 95 | 1 020 000 |
Undervedlegg 3
Tilleggstabell B
| Lønnstrinn | Pr år |
|---|---|
| 1 | 800 |
| 2 | 1600 |
| 3 | 2400 |
| 4 | 3200 |
| 5 | 4000 |
| 6 | 4800 |
| 7 | 5600 |
| 8 | 6400 |
| 9 | 7200 |
| 10 | 8000 |
| 11 | 8800 |
| 12 | 9600 |
| 13 | 10400 |
| 14 | 11200 |
| 15 | 12000 |
| 16 | 12800 |
| 17 | 13600 |
| 18 | 14400 |
| 19 | 15200 |
| 20 | 16000 |
| 21 | 16800 |
| 22 | 17600 |
| 23 | 18400 |
| 24 | 19200 |
| 25 | 20000 |
| 26 | 20800 |
| 27 | 21600 |
| 28 | 22400 |
| 29 | 23200 |
| 30 | 24000 |
| 31 | 24800 |
| 32 | 25600 |
| 33 | 26400 |
| 34 | 27200 |
| 35 | 28000 |
| 36 | 28800 |
| 37 | 29600 |
| 38 | 30400 |
| 39 | 31200 |
| 40 | 32000 |
| 41 | 32800 |
| 42 | 33600 |
| 43 | 34400 |
| 44 | 35200 |
| 45 | 36000 |
| 46 | 36800 |
| 47 | 37600 |
| 48 | 38400 |
| 49 | 39200 |
| 50 | 40000 |
| 51 | 40800 |
| 52 | 41600 |
| 53 | 42400 |
| 54 | 43200 |
| 55 | 44000 |
| 56 | 44800 |
| 57 | 45600 |
| 58 | 46400 |
| 59 | 47200 |
| 60 | 48000 |
| 61 | 48800 |
| 62 | 49600 |
| 63 | 50400 |
| 64 | 51200 |
| 65 | 52000 |
| 66 | 52800 |
| 67 | 53600 |
| 68 | 54400 |
| 69 | 55200 |
| 70 | 56000 |
| 71 | 56800 |
| 72 | 57600 |
| 73 | 58400 |
| 74 | 59200 |
| 75 | 60000 |
| 76 | 60800 |
| 77 | 61600 |
| 78 | 62400 |
| 79 | 63200 |
| 80 | 64000 |
| 81 | 64800 |
| 82 | 65600 |
| 83 | 66400 |
| 84 | 67200 |
| 85 | 68000 |
| 86 | 68800 |
| 87 | 69600 |
| 88 | 70400 |
| 89 | 71200 |
| 90 | 72000 |
| 91 | 72800 |
| 92 | 73600 |
| 93 | 74400 |
| 94 | 75200 |
| 95 | 76000 |
| 96 | 76800 |
| 97 | 77600 |
| 98 | 78400 |
| 99 | 79200 |
| 100 | 80000 |
| 101 | 80800 |
| 102 | 81600 |
| 103 | 82400 |
| 104 | 83200 |
| 105 | 84000 |
| 106 | 84800 |
| 107 | 85600 |
| 108 | 86400 |
| 109 | 87200 |
| 110 | 88000 |
Undervedlegg 4

Figur 1.14

Figur 1.15

Figur 1.16
Undervedlegg 5

Figur 1.17