Høring - Regionkriterium for identifisering av systemviktige finansforetak
Høring | Dato: 15.11.2018 | Finansdepartementet
Systemviktige finansforetak i gjeldende rett
Systemviktige finansforetak har høyere kapitalkrav enn andre for å ta hensyn til at økonomiske problemer i slike foretak kan ha alvorlige konsekvenser for det finansielle systemet og realøkonomien. Etter finansforetaksloven § 14-3 tredje ledd skal systemviktige finansforetak oppfylle et særskilt kapitalbufferkrav på 2 pst. på toppen av de samlede, risikovektede kapitalkravene som gjelder for finansforetak generelt. Etter CRR/CRD IV-forskriften § 5 skal systemviktige finansforetak også oppfylle et høyere krav til uvektet kjernekapitaldekningsbuffer på 3 pst., mot 2 pst. for øvrige foretak.
Etter CRR/CRD IV-forskriften § 24 skal Finansdepartementet hvert år beslutte hvilke foretak som skal anses som systemviktige i Norge, på grunnlag av råd fra Finanstilsynet. Beslutningen skal normalt tidligst tre i kraft 12 måneder etter at den er fattet. I utgangspunktet skal foretak med forvaltningskapital tilsvarende minst 10 pst. av Fastlands-Norges BNP, eller en markedsandel innen utlån til publikum i Norge på minst 5 pst., anses som systemviktige. Departementet kan i særlige tilfeller bestemme at foretak som oppfyller disse kriteriene likevel ikke skal anses som systemviktige, og at andre foretak skal anses som systemviktige. En slik beslutning skal baseres på en vurdering av det enkelte foretakets størrelse og kompleksitet, omfanget av virksomhet i Norge og i andre land, foretakets rolle i den finansielle infrastrukturen, og i hvilken grad foretaket er sammenvevet med resten av det finansielle systemet.
Etter at forskriftsreglene om systemviktige finansforetak ble fastsatt i 2014, har DNB Bank ASA og Kommunalbanken AS hvert år blitt identifisert som systemviktige. Frem til banken ble omdannet til filial av utenlandsk bank i 2017, var også Nordea Bank Norge ASA identifisert som systemviktig.
Forslag fra Finanstilsynet
Finanstilsynet har i brev 19. oktober 2018 til departementet foreslått at også foretak med en markedsandel innen utlån til bedrifter på minst 10 pst. i én eller flere regioner, skal anses som systemviktige. Forslaget er likelydende med et forslag som Finanstilsynet fremmet i brev 4. november 2013 (vedlagt et utfyllende høringsnotat) til departementet, bortsett fra enkelte endringer i regioninndelingen. Departementet hadde forslaget på høring frem til 10. februar 2014. Vi viser til Finanstilsynets vurderinger i det høringsnotatet, særlig i avsnitt 3.2.3 om erstattbarhet. Departementet valgte den gang ikke å legge et regionkriterium til grunn for identifiseringen av systemviktige foretak, men fulgte for øvrig opp Finanstilsynets forslag til forskriftsregler, se departementets pressemelding 12. mai 2014. Departementet har ikke nå foretatt noen vurdering av Finanstilsynets reviderte forslag før saken sendes på høring.
Finanstilsynet skriver i brevet 19. oktober 2018 at det nå bør innføres et regionkriterium i forskriften fordi:
- gjennomføringen av krisehåndteringsregelverket reduserer konkurransemessige fordeler fra eventuelle «implisitte statsgarantier» ved status som systemviktig finansforetak,
- de norske regionbankenes betydning for bedrifter i hjemmemarkedene synes å ha økt, og det kan være vanskelig å erstatte utlånsvirksomheten deres,
- strukturell sammenveving mellom bankene gjennom alliansesamarbeid kan forsterke de enkelte bankenes systemviktighet.
På grunnlag av tall for 4. kvartal 2017 innebærer Finanstilsynets forslag at Sparebank 1 Nord-Norge, Sparebank 1 SMN, Sparebank 1 SR-Bank, Sparebank 1 Østlandet, Sparebanken Sør og Sparebanken Vest skal anses som systemviktige, i tillegg til DNB Bank og Kommunalbanken.
Utkast til endringsforskrift
Departementet ber høringsinstansene ta stilling til følgende utkast til endringer i CRR/CRD IV-forskriften som kan gjennomføre Finanstilsynets forslag:
24 annet ledd ny bokstav c skal lyde:
c) foretak som ved utgangen av foregående år hadde utlån til bedrifter i en region som utgjorde mer enn 10 prosent av samlede utlån til bedrifter i den regionen.
24 nytt femte ledd skal lyde:
Regioner som nevnt i annet ledd bokstav c skal forstås som:
a) Nord: Nordland, Troms og Finnmark
b) Midt: Møre og Romsdal og Trøndelag
c) Vest: Rogaland, Hordaland og Sogn og Fjordane
d) Sør: Aust-Agder, Vest-Agder, Telemark og Vestfold
e) Øst: Østfold, Buskerud, Akershus og Oslo
f) Innlandet: Oppland og Hedmark
Økonomiske konsekvenser
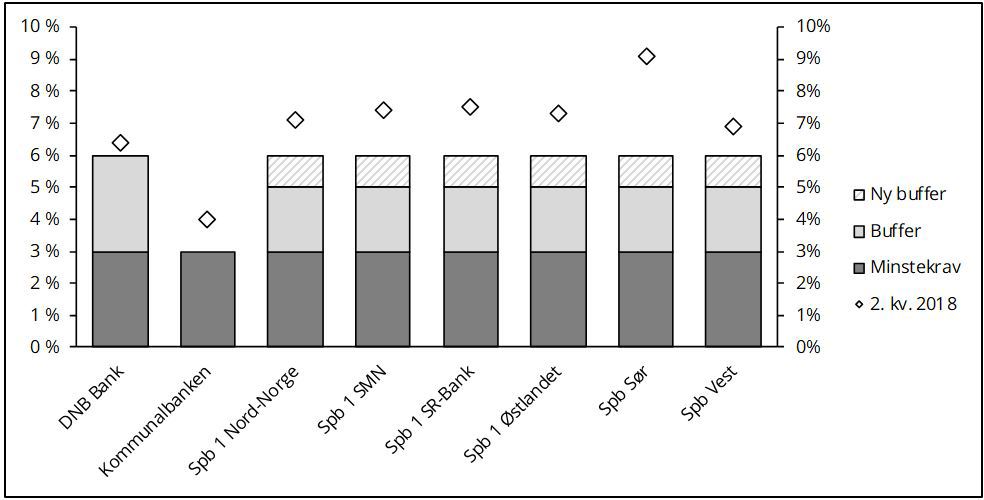
Finanstilsynets forslag kan for det første innebære at de identifiserte sparebankene får økt sitt bufferkrav til ren kjernekapitaldekning med 2 prosentpoeng. Med ett unntak lå sparebankene ved utgangen av 2. kvartal 2018 under de samlede minste- og bufferkravene til ren kjernekapitaldekning som kan følge av forslaget, se figur 1 under. I gjennomsnitt lå sparebankene om lag 1 prosentpoeng under. Behovet for årlig kapitaloppbygging vil avhenge av når en eventuell forskriftsendring trer i kraft. I perioden 2013-2016 økte norske banker sin rene kjernekapitaldekning med i gjennomsnitt 1,15 prosentpoeng per år. De samfunnsøkonomiske virkningene av kapitalkrav for banker er beskrevet bl.a. i avsnitt 6.3 i Nasjonalbudsjettet 2017.

Figur 1. Minste- og bufferkrav til ren kjernekapitaldekning, inkl. mulig ny buffer for banker som ikke er ansett som systemviktige i dag, og faktisk dekning 2. kvartal 2018. Prosent av risikovektede eiendeler
Kilde: Finanstilsynet
Finanstilsynets forslag kan for det andre innebære at de identifiserte sparebankene får en økning i det uvektede kravet til kjernekapitaldekningsbuffer på 1 prosentpoeng (til 3 pst.). Alle sparebankene oppfylte dette med god margin ved utgangen av 2. kvartal 2018, se figur 2 under.

Figur 2. Minste- og bufferkrav til uvektet kjernekapitaldekning, inkl. mulig ny buffer for banker som ikke er ansett som systemviktige i dag, og faktisk dekning 2. kvartal 2018. Prosent av eiendeler mv.
Kilde: Finanstilsynet
Finanstilsynets forslag kan for det tredje bidra til at minstekravet til konvertibel gjeld etter finansforetaksloven § 20-9 (som trer i kraft 1. januar 2019) blir høyere enn det ellers ville blitt, jf. forslag til utfyllende forskriftsregler publisert på Finanstilsynets nettsider 5. november 2018.
Høringsfrist mv.
Departementet ber om eventuelle merknader til Finanstilsynets forslag og forskriftsutkastet innen 22. februar 2019. For å avgi høringsuttalelse kan du gå til denne høringssaken på regjeringen.no og bruke den digitale løsningen for høringsuttalelse. Her kan du registrere deg, mellomlagre en uttalelse og laste opp vedlegg. Alle kan avgi høringsuttalelse, men merk at uttalelser er offentlige etter offentleglova og blir publisert sammen med øvrige høringsuttalelser.
Vi ber om at den enkelte høringsinstans vurderer behovet for, og eventuelt sørger for, å forelegge høringsbrevet for eventuelle underliggende enheter eller etater, medlemmer, organisasjoner mv.
Med hilsen
Geir Åvitsland e.f.
ekspedisjonssjef
Siren Solhaug
avdelingsdirektør
|
Akademikerne |
|
Aksjonærforeningen i Norge |
|
Arbeids- og sosialdepartementet |
|
Arbeids- og velferdsdirektoratet |
|
Arbeidsgiverforeningen Spekter |
|
Bankenes sikringsfond |
|
Barne- og likestillingsdepartementet |
|
Bedriftsforbundet |
|
Brønnøysundregistrene |
|
Caritas Norge |
|
Changemaker |
|
Coop Norge SA |
|
Datatilsynet |
|
Deloitte AS |
|
Den norske advokatforening |
|
Den norske aktuarforening |
|
Den norske Revisorforening |
|
Direktoratet for økonomistyring |
|
Econa |
|
Eiendomsmeglerforetakenes forening |
|
Energi Norge |
|
EVRY |
|
Finans Norge |
|
Finansdepartementet |
|
Finansforbundet |
|
Finansieringsselskapenes forening |
|
Finansmarkedsfondet |
|
Finanstilsynet |
|
Folketrygdfondet |
|
Forbrukerrådet |
|
Forbrukertilsynet |
|
Forsvarsdepartementet |
|
Forum for Utvikling og Miljø |
|
Handelshøyskolen BI |
|
Handelshøyskolen i Bodø |
|
Havtrygd Gjensidig Forsikring |
|
Helse- og omsorgsdepartementet |
|
hovedorganisasjonen for universitets- og høyskoleutdannede |
|
Hovedorganisasjonen Virke |
|
Huseiernes landsforbund |
|
Høgskolen i Sørøst-Norge |
|
Høyskolen i Sogn og Fjordane |
|
Industri Energi |
|
Initiativ for etisk handel |
|
Juridisk rådgivning for kvinner |
|
Justis- og beredskapsdepartementet |
|
Klima- og miljødepartementet |
|
KnowledgeGroup AS |
|
Kommunal- og moderniseringsdepartementet |
|
Kommunalbanken Norge |
|
Konkurransetilsynet |
|
Kpmg AS |
|
KS |
|
Kulturdepartementet |
|
Kunnskapsdepartementet |
|
Landbruks- og matdepartementet |
|
Landsorganisasjonen i Norge |
|
Likestillings- og diskrimineringsombudet |
|
Lotteri- og stiftelsestilsynet |
|
Nasdaq OMX Oslo ASA |
|
Nordic Association of Electricity Traders |
|
Nordic Trustee |
|
Norges Bank |
|
Norges Bitcoin- og Blockchainforening |
|
Norges Bondelag |
|
Norges eiendomsmeglerforbund |
|
Norges handelshøyskole |
|
Norges Ingeniør- og Teknologorganisasjon |
|
Norges Interne Revisorers Forening |
|
Norges Juristforbund |
|
Norges Kommunerevisorforbund |
|
Norges Rederiforbund |
|
Norges Røde Kors |
|
Norges Skogeierforbund |
|
Norges takseringsforbund |
|
Norsk Bergindustri |
|
Norsk Crowdfunding Forening |
|
Norsk Hydro ASA |
|
Norsk Journalistlag |
|
Norsk Kapitalforvalterforening |
|
Norsk landbrukssamvirke |
|
Norsk olje og gass |
|
Norsk Presseforbund |
|
Norsk Redaktørforening |
|
Norsk Sjøoffiserers Forbund |
|
Norsk Venturekapitalforening |
|
Norsk Øko-Forum |
|
Norske boligbyggelags landsforbund AL |
|
Norske finansanalytikeres forening |
|
Norske Forsikringsmegleres Forening |
|
Norske Kredittopplysningsbyråers Forening |
|
NOS Clearing ASA |
|
NTL-Skatt |
|
Nærings- og fiskeridepartementet |
|
Næringslivets Hovedorganisasjon |
|
Olje- og energidepartementet |
|
Oslo børs |
|
Oslosenteret |
|
Pensjonskasseforeningen |
|
Personskadeforbundet LTN |
|
Plan Norge |
|
Publish What You Pay Norway |
|
Redd Barna |
|
Regelrådet |
|
Regjeringsadvokaten |
|
Regnskap Norge |
|
Riksadvokaten |
|
Riksrevisjonen |
|
Samferdselsdepartementet |
|
Skattebetalerforeningen |
|
Skattedirektoratet |
|
Skatterevisorenes Forening |
|
Småbedriftsforbundet |
|
Sparebankforeningen i Norge |
|
Statens Pensjonskasse |
|
Statistisk sentralbyrå |
|
Statoil Norge AS |
|
Statsministerens kontor |
|
Storebrand |
|
Stortingets ombudsmann for forvaltningen |
|
Støttekomiteen for Vest-Sahara |
|
The Nordic Association of Marine Insurers (CEFOR) |
|
Tilsynsrådet for Advokatvirksomhet |
|
Universitetet i Agder |
|
Universitetet i Bergen |
|
Universitetet i Oslo |
|
Universitetet i Tromsø - Norges arktiske universitet |
|
Utenriksdepartementet |
|
Verdipapirfondenes forening |
|
Verdipapirforetakenes Forbund |
|
Verdipapirsentralen |
|
Virke Inkasso |
|
Yara International ASA |
|
Yrkesorganisasjonenes sentralforbund |
|
ØKOKRIM |
|
Økonomiforbundet |