4 Særavgifter, priser og provenyberegninger i Norge, Sverige og Danmark

4.1 Innledning

I dette kapitlet vil utvalget gjennomgå avgiftsnivået i Norge, Sverige og Danmark på alkoholholdige drikkevarer og tobakk, samt gi en kort oversikt over avgiftene for sjokolade- og sukkervarer, alkoholfrie drikkevarer og grunn- og miljøavgift på drikkevareemballasje. Videre vil utvalget gjennomgå prisutviklingen og prisnivået på alkoholholdige drikkevarer og tobakk i Norge, Sverige og Danmark. Utvalget ser også på hvordan alkoholholdige drikkevarer og tobakk prissettes i Norge, og drøfter hvorvidt avgiftene veltes over i prisene til forbruker. Til slutt i gis det en oversikt over metoder for provenyberegninger i Norge, Sverige og Danmark.

4.2 Avgifter

4.2.1 Særavgifter på alkoholholdige drikkevarer

4.2.1.1 Sammenligning av avgiftsnivået i Norge, Sverige og Danmark

Avgiftssystemene for alkoholholdige drikkevarer er forskjellige i de tre nordiske landene, og dette vanskeliggjør en direkte sammenligning av avgiftene. En mulig tilnærming er å sammenligne hvor stort avgiftsbeløp som påløper et konkret definert produkt. I tabell 4.1 har utvalget regnet avgiftene om til norske kroner etter gjennomsnittlige valutakurser uke 12, 2003 (SEK 85,47 og DKK 108,86).

Tabell 4.1 Særavgifter på alkoholholdige drikkevarer i Norge, Sverige og Danmark 1. januar 2003. NOK. Nasjonal valuta i parentes

  NorgeSverigeDanmark
Brennevin 70 cl, 40 volumprosent152,32120,00 (140,40 SEK)83,82 (77,00 DKK)
Vin 75 cl, 12 volumprosent31,9514,15 (16,56 SEK)5,76 (5,29 DKK)
Øl 50 cl, 4,7 volumprosent1)7,952,95 (3,46 SEK)1,46 (1,34 DKK)

1) Danmark opereres det med Platograder, ikke med volumprosent. Størrelsene er ikke sammenlignbare, men for å gi et overslag har utvalget lagt til grunn at 1 Platograd tilsvarer 0,5 volumprosent alkoholinnhold.

Kilde: Skatteministeriet, Riksskatteverket og Finansdepartementet.

Av tabell 4.1 går det fram at avgiftsnivået i Sverige og Danmark på en flaske brennevin som inneholder 40 volumprosent alkohol utgjør henholdsvis 79 og 55 prosent av nivået i Norge. Særavgiften for en flaske vin som inneholder 12 volumprosent alkohol, utgjør i Sverige og Danmark henholdsvis 44 og 18 prosent av nivået i Norge, mens særavgiften for en flaske øl som inneholder 4,7 volumprosent alkohol, i Sverige og Danmark utgjør henholdsvis 37 og 18 prosent av nivået i Norge.

I figur 4.1 er avgiftsnivået i Norge, Sverige og Danmark framstilt på en mer generell måte – regnet om til kroner pr. liter ren alkohol.

Figur 4-1 Avgiftssatser i Norge, Sverige og Danmark pr. 1. januar 2003 i norske kroner

Figur 4-1 Avgiftssatser i Norge, Sverige og Danmark pr. 1. januar 2003 i norske kroner

Kilde: Finansdepartementet, Riksskatteverket, Skatteministeriet og Norges Bank.

Det går fram at alkoholavgiftene er betydelig høyere i Norge enn i Sverige, som igjen har betydelig høyere avgifter enn Danmark. Forskjellen er relativt sett større for svakere produkter, som vin og øl, enn for brennevin. Alkoholavgiften er høyere for brennevin enn for vin og øl (for samme alkoholmengde) i alle de tre landene. I Sverige er avgift på alkohol i vin dessuten høyere enn på alkohol i øl.

I figurene 4.2, 4.3 og 4.4 vises utviklingen i alkoholavgiftene i perioden 1995 – 2003 for Norge, Sverige og Danmark.

Figur 4-2 Utviklingen i ølavgiften i Norge, Sverige og Danmark. 1995 – 2003. Nominelle verdier, nasjonal valuta

Figur 4-2 Utviklingen i ølavgiften i Norge, Sverige og Danmark. 1995 – 2003. Nominelle verdier, nasjonal valuta

Kilde: The Scotch Whisky Association.

Figur 4.2 viser at mens det bare er gjort små endringer i ølavgiften i Danmark de siste 8 årene, så har avgiftene i Norge og Sverige blitt henholdsvis økt og kraftig senket. Hovedårsaken til den kraftige nedgangen i de svenske avgiftene i 1997 (38 pst. nedgang), var konkurransen fra dansk øl som følge av endringene i innførselskvotene. Figuren viser at forskjellene mellom landenes beskatning av øl har økt. Spesielt har forskjellen mellom norsk og svensk avgiftsnivå blitt større.

Figur 4-3 Utviklingen i svakvinsavgiften i Norge, Sverige og Danmark. 1995 – 2003. Nominelle verdier, nasjonal valuta

Figur 4-3 Utviklingen i svakvinsavgiften i Norge, Sverige og Danmark. 1995 – 2003. Nominelle verdier, nasjonal valuta

Kilde: The Scotch Whisky Association.

Figur 4.3 viser et lignende bilde for svakvinsavgifter. Her kommer Sveriges reduksjon i avgiften inn fra 1. desember 2001 (18,8 pst.). Denne endringen var begrunnet i EU-kommisjonens krav om at Sverige, i alle fall delvis, måtte harmonisere sin beskatning av øl og vin med samme alkoholinnhold (Beräkningskonventioner för 2003). Også for svakvin er hovedkonklusjonen at forskjellen mellom norsk og svensk avgiftsnivå har økt betydelig.

Figur 4-4 Utviklingen i brennevinsavgiften i Norge, Sverige og Danmark. 1995 – 2003. Nominelle verdier, nasjonal valuta

Figur 4-4 Utviklingen i brennevinsavgiften i Norge, Sverige og Danmark. 1995 – 2003. Nominelle verdier, nasjonal valuta

Kilde: The Scotch Whisky Association.

Figur 4.4 viser et helt annet bilde enn figur 4.2 og 4.3. Mens de danske og svenske avgiftene har holdt seg på omtrent det samme nivået de siste år, ble de norske avgiftene først økt fram til 1998, for så å holde seg praktisk talt uendret til 2001. Fra 2001 til 2003 har den norske avgiften blitt satt ned til under 1995-nivå.

Det er vedtatt å sette ned den danske brennevinsavgiften med 45 pst. fra 1. oktober 2003. Avgiftsnedsettelsen er foranlediget av den kommende opphevelsen av 24-timersregelen for brennevin og økningen av brennevinskvoten fra 1,5/1,0 liter til 10 liter pr. person og grensepassering. Den prosentvise avgiftsnedsettelsen på brennevin er omtrent den samme som ved nedsettelsen av vin- og ølavgiftene på begynnelsen av 1990-tallet. Disse avgiftsnedsettelsene hadde også sitt grunnlag i endringer i kvotene og opphevelse av 24-timersregelen for øl og vin.

Særavgiftene på alkohol gir betydelige inntekter til statskassen. Tabell 4.2 viser de beregnede inntektene for årene 2001-2003 i Norge, Sverige og Danmark.

Tabell 4.2 Inntekter fra særavgifter på alkoholholdige drikkevarer Norge, Sverige og Danmark. 2001, 2002 og 2003. Mill. kroner, nasjonal valuta

  200120022003
Norge, NOK8 4718 1998 5391)
Sverige, SEK11 00010 8001)9 9001)
Danmark, DKK4 3254 3231)4 2431)

1) Estimert proveny.

Kilde: Finansdepartementet i Norge, Finansdepartementet i Sverige, Skatteministeriet i Danmark.

4.2.1.2 Nærmere om dagens avgiftsregelverk i Norge

Særavgiftene på alkoholholdige drikkevarer avhenger av alkoholinnhold. I dag beskattes alkoholen i øl og vin likt, mens det fremdeles er en hardere beskatning av alkoholen i brennevin over 22 volumprosent. Øl i klasse a avgiftslegges som alkoholfrie drikkevarer.

Tabell 4.3 Avgiftssatser på alkoholholdig drikk i Norge 2003

Produkt etter alkoholinnhold i volumprosentAvgift pr. liter
Klasse a: 0,00 – 0,701,55
Klasse b: 0,70 – 2,752,43
Klasse c: 2,75 – 3,759,18
Klasse d: 3,75 – 4,7515,89
Avgift pr. volumprosent og liter
4,75 – 223,55
22 – 605,44

Kilde: Finansdepartementet.

Det går fram av tabell 4.3 at alkoholholdige drikkevarer som inneholder mer enn 4,75 volumprosent alkohol beskattes med kr. 3,55 pr. volumprosent og liter, mens drikker som inneholder mellom 22 og 60 volumprosent alkohol beskattes med kr. 5,44 pr. volumprosent og liter. Drikker som inneholder mindre enn 4,75 volumprosent alkohol beskattes med et fast beløp pr. liter innenfor 4 avgiftsklasser.

4.2.1.3 Nærmere om dagens avgiftsregelverk i Sverige

I Sverige har både alkoholinnhold og produkttype betydning for avgiftsfastsettelsen. I tillegg til å skille mellom produkttypene øl, vin og brennevin, er cider skilt ut som en egen skatteklasse. Tabell 4.4 viser avgiftene på alkoholholdige drikkevarer i Sverige i 2003.

Tabell 4.4 Avgiftssatser på alkoholholdig drikk i Sverige 2003 (SEK)

ProduktAvgift pr. volumprosent og liter
Brennevin5,0141
Øl som inneholder mer enn 2,8 volumprosent alkohol1,47
Pr. liter
Vin som inneholder mellom 8,5 – 15 volumprosent alkohol22,08
Vin som inneholder mellom 15 – 22 volumprosent alkohol45,17
Cider som inneholder mellom 2,25 – 4,5 volumprosent alkohol7,58

Kilde: Finansdepartementet i Sverige.

4.2.1.4 Nærmere om dagens avgiftsregelverk i Danmark

På samme måte som det svenske avgiftssystemet, tillegger også det danske avgiftssystemet både alkoholinnhold og produkttype betydning for skattleggingen. I tillegg til å skille mellom øl, vin og brennevin, skiller det danske avgiftssystemet mellom ordinær og musserende vin.

Tabell 4.5 Avgiftssatser på alkoholholdig drikk i Danmark 2003 (DKK)

  Til 30. september 2003Fra 1. oktober 2003
ProduktPr. liter pr. volumprosent
Brennevin som inneholder over 1,2 volumprosent alkohol, samt vin og fruktvin mv. som inneholder over 22 volumprosent alkohol2,751,50
Pr. liter
Vin og fruktvin som inneholder over 1,2, men ikke over 6 volumprosent alkohol4,50
Vin og fruktvin som inneholder over 6, men ikke over 15 volumprosent alkohol7,05
Vin og fruktvin som inneholder over 15, men ikke over 22 volumprosent alkohol10,55
Tilleggsavgift for musserende vin og champagne3,50
Øl skatteklasse 1 (fra 2,8 volumprosent til 11 Platograder)1)2,6850
Øl skatteklasse 2 (over 11 til 14 Platograder)3,4575
Øl skatteklasse 3 (over 14 til 18 Platograder)4,6075
Øl skatteklasse 4 (over 18 til 22 Platograder)5,1025
Pr. liter pr. Platograd
Øl skatteklasse 5 (over 22 Platograder)0,27

1) Platograd svarer om lag til 0,5 volumprosent alkoholinnhold. Det vanligste danske ølet inneholder 4,5 volumprosent, noe som svarer til 9 Platograder. Avgiftssatsene på øl er i Danmark oppgitt pr. hektoliter. Dette forklarer hvorfor en får fire desimaler når det oppgis satsene pr. liter.

Kilde: Skatteministeriet i Danmark.

Brennevinsprodukter, og andre produkter med alkoholinnhold over 22 volumprosent, beskattes med 2,75 DKK pr. volumprosent. Denne satsen skal reduseres til 1,50 DKK fra 1. oktober 2003.

4.2.2 Særavgifter på tobakk

4.2.2.1 Sammenligning av avgiftsnivåene i Norge, Sverige og Danmark

Avgiftssystemene for tobakk er noe ulike i Norge, Sverige og Danmark. I Norge er avgiften på alle tobakkstyper utelukkende knyttet til vekt og type tobakk, mens utsalgsprisen ikke har noen betydning for størrelsen på avgiften. Sverige har det samme avgiftssystemet som Norge for alle andre tobakksvarer enn sigaretter. Den svenske sigarettavgiften avhenger av salgsprisen, slik at avgiften også har en verdidel. For Sveriges vedkommende utgjør verdidelen hele 73 prosent av avgiften på en vanlig 20-pakning sigaretter. Danmark har i tillegg til en verdiavgift på sigaretter, også verdiavgift på sigarer, sigarillos og lignende. For Danmarks vedkommende utgjør verdiavgiften på sigaretter 37 prosent av den totale avgiften. 1 Tabell 4.6 viser avgiftsnivået for sigaretter og røyketobakk i 2003 til prisene nevnt i noten foran. 2

Tabell 4.6 Særavgifter på tobakksvarer i Norge, Sverige og Danmark 2003. NOK (i nasjonal valutta i parentes)

ProduktNorgeSverigeDanmark
En pakke røyketobakk 40 gram48,0021,54 (25,20 SEK)19,70 (18,10 DKK)
En pakke sigaretter 20 stk34,8014,97 (17,52 SEK)20,94(19,24 DKK)

Kilde: Skatteministeriet, Riksskatteverket og Finansdepartementet.

Av tabellen går det fram at avgiftene på en pakke røyketobakk i Sverige og Danmark tilsvarer henholdsvis 45 og 41 prosent av nivået i Norge, mens avgiftene på en pakke sigaretter i Sverige og Danmark tilsvarer henholdsvis 43 og 60 prosent av nivået i Norge.

Figurene 4.5 og 4.6 viser utviklingen i avgiftene på sigaretter og røyketobakk i Norge, Sverige og Danmark i årene 1995-2003.

Figur 4-5 Utviklingen i avgiften på sigaretter i Norge, Sverige og Danmark 1995-2003.1) Nominelle verdier, nasjonal valuta

Figur 4-5 Utviklingen i avgiften på sigaretter i Norge, Sverige og Danmark 1995-2003.1) Nominelle verdier, nasjonal valuta

Kilde: Finansdepartementet i Norge, Finansdepartementet i Sverige, Skatteministeriet i Danmark.

I Danmark har det ikke skjedd noen endringer i avgiftsgrunnlaget for sigaretter siden 1995, og den økningen vi ser er bare uttrykk for økningen i verdidelen av avgiften som automatisk følger inflasjonen. Sverige hevet avgiftene betydelig i 1997 og 1998, men valgte å senke avgiftene igjen i 1999. Fra 1999 har avgiftsgrunnlaget vært uendret, og avgiftsøkningen er, på samme måte som i Danmark, bare et uttrykk for økningen i avgiftens verdidel. For Norge har sigarettavgiften økt i hele perioden 1995-2003, og i 2003 lå den 44 prosent over avgiften i 1995.

Utviklingen i avgiftene på røyketobakk er vist i figur 4.6. Her skiller utviklingen i Norge seg enda klarere fra utviklingen i Danmark og Sverige. I Norge er avgiften på røyketobakk nær blitt firedoblet i den perioden vi ser på, mens avgiften i Sverige og Danmark har økt med henholdsvis 64 og 29 prosent. I Danmark er det vedtatt en avgiftsnedsettelse på ca. 45 pst. fra 1. oktober 2003. Avgiftsnedsettelsen er foranlediget av den kommende opphevelsen av 24-timersregelen for turistimport av tobakk. Sverige vil i 2003 innføre en minimumsavgift for sigaretter som vil få prisene til å stige på billige merker.

Figur 4-6 Utviklingen i avgiften på røyketobakk i Norge, Sverige og Danmark 1995-2003. Nominelle verdier, nasjonal valuta

Figur 4-6 Utviklingen i avgiften på røyketobakk i Norge, Sverige og Danmark 1995-2003. Nominelle verdier, nasjonal valuta

Kilde: Finansdepartementet i Norge, Finansdepartementet i Sverige, Skatteministeriet i Danmark.

På samme måte som alkoholavgiften, gir tobakksavgiften betydelige inntekter til staten. Tabell 4.7 viser de beregnede inntektene i Norge, Sverige og Danmark for årene 2001-2003.

Tabell 4.7 Inntekter fra særavgifter på tobakk, Norge, Sverige og Danmark. 2001, 2002 og 2003. Mill. kroner, nasjonal valuta

  200120022003
Norge, NOK7 1106 9757 4741)
Sverige, SEK8 1008 2001)8 3001)
Danmark, DKK7 5217 5751)7 4251)

1) Estimert proveny.

Kilde: Finansdepartementet i Norge, Finansdepartementet i Sverige, Skatteministeriet i Danmark

4.2.2.2 Nærmere om avgiftsregelverket i Norge

Avgiftene på tobakksvarer er knyttet til vekten, bortsett fra for sigaretter, hvor avgiften gjelder pr. stk. Tabell 4.8 viser avgiftsnivået på tobakksvarer i Norge i 2003.

Tabell 4.8 Avgiftssatser for tobakksvarer i Norge 2003

ProduktAvgift NOK
  pr. gram
Sigarer1,74
Røyketobakk1,20
Snus0,56
Skrå0,56
Pr. stk.
Sigaretter1)1,74
Sigarettpapir0,026

1) En sigarett veier om lag ett gram.

Kilde: Finansdepartementet.

Tabell 4.8 viser at det er stor forskjell mellom avgiftsnivået mellom de forskjellige tobakksvarene. Avgiften på røyketobakk utgjør snaut 70 prosent av avgiftsnivået på sigaretter.

4.2.2.3 Nærmere om avgiftsregelverket i Sverige

EU-landene har et delvis harmonisert avgiftssystem for tobakk, som imidlertid gir betydelig rom for variasjon mellom landene (Bruksås, Myran og Svennebye 2001). For sigaretter innkreves en stykkavgift og en verdiavgift. Verdiavgiften beregnes som en prosentandel av salgsprisen inkludert alle avgifter.

Tabell 4.9 Tobakksavgifter i Sverige

ProduktAvgift SEK
Sigaretter – grunnavgift – verdirelatert avgift1)0,20 pr. stk 39,2 pst. av utsalgspris
Sigarer0,56 pr. stk.
Røyketobakk0,63 pr. gram
Snus0,123 pr. gram
Tyggetobakk0,201 pr. gram

1) I 2003 innføres et minimumsnivå for avgifter på sigaretter. Det tilsvarer 90 prosent av særavgiften på sigaretter i den mest etterspurte priskategorien.

Kilde: Finansdepartementet i Sverige.

I Sverige er stykkavgiften for sigaretter 0,20 SEK, mens verdiavgiften utgjør 39,2 prosent av utsalgsprisen. Avgiften på røyketobakk er 0,63 SEK pr. gram. Se tabell 4.9.

4.2.2.4 Nærmere om avgiftsregelverket i Danmark

I likhet med Sverige bygger Danmark på EUs avgiftssystem for tobakk (Bruksås, Myran og Svennebye 2001).

Tabell 4.10 Avgiftssatser på tobakksvarer i Danmark

ProduktAvgiftssatser DKK
  Til 30. september 2003Fra 1. oktober 2003
Sigaretter – grunnavgift – verdirelatert avgift0,6068 pr. stk. 21,22 pst. av utsalgspris0,4892 pr. stk. 21,22 pst. av utsalgspris
Grovskåret røketobakk0,4025 pr. gram
Finskåret røketobakk0,4525 pr. gram
Sigarer, cerutter og sigarillos – grunnavgift – verdirelatert avgift0,198 pr. stk. 10 pst. av utsalgsprisen

Kilde: Skatteministeriet i Danmark.

Tabell 4.10 viser at i Danmark er stykkavgiften på sigaretter 0,6068 DKK, mens verdiavgiften utgjør 21,22 prosent av salgsprisen. Avgiften på røyketobakk er 0,4525 DKK pr. gram. Den vedtatte avgiftsnedsettelsen på ca. 45 pst. fra 1. oktober 2003, er foranlediget av den kommende opphevelsen av 24-timersregelen for turistimport av tobakk.

4.2.3 Særavgifter på andre grensehandelsutsatte varer

4.2.3.1 Innledning

Nedenfor gis det en kort redegjørelse for de norske særavgiftene på sjokolade- og sukkervarer, alkoholfrie drikker, samt for grunn- og miljøavgiften på drikkevareemballasje. Videre gis et kort overblikk over det tilsvarende regelverket i Sverige og Danmark. Disse varene vil ikke bli gitt noen særskilt omtale videre i dette kapitlet.

4.2.3.2 Sjokolade- og sukkervareavgift

I Norge beskattes sjokolade- og sukkervarer med en avgift som i 2003 er på 15,18 kroner pr. kg. Avgiften ga henholdsvis 855 og 865 mill. kr. i inntekter til staten i 2001 og 2002, og er estimert å innbringe 879 mill. kr. i 2003 (St.prp. nr. 1 (2002-2003) Skatte-, avgifts- og tollvedtak, samt informasjon om regnskapstall for 2002 fra Finansdepartementet).

I Danmark er det en sjokoladeavgift som tilsvarer den norske. Satsen er på 14,20 DKK pr. kg. Med en valutakurs på 108,86 tilsvarer det 15,46 NOK. Med andre ord er den danske avgiften ganske lik den norske. Inntektene fra avgiften var i 2001 1 337 millioner DKK, og er estimert til 1 324 millioner DKK for både 2002 og 2003 (Skatteministeriet i Danmark). I Sverige er slike varer ikke særavgiftsbelagt.

4.2.3.3 Avgift på alkoholfrie drikkevarer

Den norske avgiften på alkoholfrie drikkevarer er på 1,55 kr. pr. liter. Avgiften omfatter kullsyreholdige alkoholfrie drikkevarer, samt saftdrikker, limonade, leskedrikk, konsentrert leskedrikk, alkoholfri vin og lignende. Melk, melkeprodukter og juice er fritatt fra avgiften. Avgiften omfatter også drikker som inneholder opp til 0,7 volumprosent alkohol (f.eks. alkoholfritt øl og alkoholfri cider).

Avgiften innbrakte henholdsvis 959 og 943 mill. kr. i inntekter til statskassen i 2001 og 2002, og er estimert å innbringe 979 mill. kr. i 2003 (St.prp. nr. 1 (2002-2003) Skatte-, avgifts- og tollvedtak, samt informasjon om regnskapstall for 2002 fra Finansdepartementet).

I Sverige ilegges ikke alkoholfrie drikkevarer produktavgift. I Danmark ilegges alkoholfrie drikkevarer en produktavgift på DKK 1,65 pr. liter. Inntektene fra avgiften var i 2001 748 millioner DKK, og er estimert til henholdsvis 774 og 709 millioner DKK for 2002 og 2003 (Skatteministeriet i Danmark). Fra 1. oktober 2003 settes avgiften ned til 1,15 DKK. Den danske avgiften skiller seg altså ikke særlig fra den norske.

4.2.3.4 Avgifter på drikkevareemballasje

I tillegg til produktavgiften på alkoholfrie og alkoholholdige varer, ilegges drikkevareemballasje en egen avgift. Denne er delt opp i en grunnavgift, som legges på engangsemballasje, og en miljøavgift, som legges på all emballasje. Miljøavgiften graderes etter returandel, og bortfaller helt ved en returandel på 95 pst.. Avgiftene på drikkevareemballasje er vist i tabell 4.11.

Tabell 4.11 Avgifter på drikkevareemballasje i Norge 2003

Avgift på drikkevareemballasjeKr. pr. stk.
Grunnavgift på engangsemballasje0,87
Miljøavgift – Glass og metall4,28
– Plast2,58
– Kartong1,07

Kilde: Finansdepartementet.

Grunnavgiften og miljøavgiften innbrakte til sammen 547 millioner NOK i 2001 og 620 millioner NOK i 2002, og er estimert å innbringe 605 millioner NOK i 2003 (St.prp. nr. 1 (2002-2003) Skatte-, avgifts- og tollvedtak, samt informasjon om regnskapstall for 2002 fra Finansdepartementet).

I Sverige ilegges ikke avgift på drikkevareemballasje. I Danmark ilegges drikkevarene en emballasjeavgift som varierer etter type, innhold og størrelse.

I tabellen 4.12 gis en oversikt over produktavgift og drikkevareemballasjeavgift på en boks brus i Norge, Sverige og Danmark, omregnet til NOK, med nasjonal valuta i parentes.

Tabell 4.12 Avgift på en boks brus, 0,33 l, i Norge, Danmark og Sverige 2003

  NorgeDanmarkSverige
Produktavgift0,51 NOK pr. stk.0,59 NOK pr. stk. (0,55 DKK1) pr. stk.)0,00 pr. stk.
Grunnavgift på engangsemballasje0,87 NOK pr. stk.0,54 NOK pr. stk. (0,50 DKK pr. stk.)0,00 pr. stk.
Miljøavgift0,428 NOK pr. stk.2)
Samlet særavgift1,81 pr. stk.1,13 NOK pr. stk. (1,05 DKK pr. stk.)0,00 pr. stk.
Merverdiavgift12 pst.25 pst.12 pst.

1) Avgiften reduseres til 1,15 DKK pr. liter fra 1. oktober 2003.

2)  Returandel på 90 pst.

Kilde: Finansdepartementet, Skattministeriet og Riksskatteverket.

Tabellen viser at mens avgiftene på en boks brus i Danmark bare er litt lavere enn i Norge, er det ingen avgifter på brus på boks i Sverige.

4.3 Priser

4.3.1 Priser på alkoholholdige drikkevarer

4.3.1.1 Prisutvikling på alkoholholdige drikkevarer i Norge, Sverige og Danmark

Mens prisutviklingen generelt, representert ved totalindeksen, har vært nokså lik for Norge og Sverige, gjelder ikke det for indeksen for alkoholholdige drikkevarer. I Norge økte prisindeksen for alkoholholdige drikkevarer i nasjonal valuta med 241 prosent fra 1980 til 2002. I Sverige økte indeksen med 172 prosent og i Danmark med 83 prosent, altså vesentlig mindre enn i Norge. I figur 4.7 er vist valutakurs og valutakurskorrigert delindeks for alkoholholdige drikkevarer i Sverige og Danmark.

Figur 4-7 Valutakurs og valutakurskorrigert prisindeks for alkoholholdige drikkevarer for Sverige og Danmark relativt til Norge. 1980=100

Figur 4-7 Valutakurs og valutakurskorrigert prisindeks for alkoholholdige drikkevarer for Sverige og Danmark relativt til Norge. 1980=100

Kilde: Statistisk sentralbyrå, (Norge), Statistiska Centralbyrån (Sverige), Danmarks statistik, Norges Bank (valutakurser).

Den øverste delen av figur 4.7 viser at prisindeksen for alkoholholdige drikkevarer i Sverige har falt sterkt sammenholdt med Norge, målt i norske kroner. Dette skyldes, som figuren viser, både valutakursutviklingen og vesentlig lavere prisvekst på alkoholholdige drikkevarer i Sverige enn i Norge.

Den nederste delen av figur 4.7 viser en svært sterk prisnedgang på alkoholholdige drikkevarer i Danmark, målt i norske kroner. Dette henger i første rekke sammen med lav prisvekst på alkohol i Danmark, målt i nasjonal valuta.

4.3.1.2 Prisnivå på alkoholholdige drikkevarer i Norge og EU

Når en skal sammenligne kjøpekraft og priser mellom land bruker en gjerne kjøpekraftspariteter og prisnivåindekser. Eurostat lager statistikk/beregninger over kjøpekraftpariteter og prisnivåindekser i EU-land, EFTA-land og EU-søkerland.

En kjøpekraftsparitet er et prisrelativ mellom to eller flere land, regioner eller lignende. Hvis et gitt produkt koster 100 norske kroner i Norge og 95 svenske kroner i Sverige, er kjøpekraftspariteten mellom de to landene, for dette produktet, lik 95/100=0,95. Kjøpekraftspariteten for en vare mellom for eksempel Norge og Sverige, sier dermed hvor mange svenske kroner du trenger for å få like mye av varen i Sverige som du får for en norsk krone i Norge. Kjøpekraftspariteter kan beregnes for enkeltprodukter eller for aggregater. For å lage en prisnivåindeks, divideres kjøpekraftpariteten med nominell valutakurs.

Statistikken viser at prisnivåindeksene for alkoholholdige drikkevarer, varierer sterkt mellom Norge og resten av Europa, jf. figur 4.8.

Figur 4-8 Prisnivåindekser for alkoholholdig drikke i utvalgte land. 2001. Gjennomsnittet i EU=100

Figur 4-8 Prisnivåindekser for alkoholholdig drikke i utvalgte land. 2001. Gjennomsnittet i EU=100

Kilde: Kilde. Statistisk sentralbyrå.

Figuren viser at Norge ligger klart øverst på statistikken med en prisnivåindeks på 272. Til sammenligning ligger Sverige på en indeks på 164, mens Danmark har den laveste indeksen i Norden med 144. Finland og Island plasserer seg mellom Norge og Sverige, med en indeks på henholdsvis 195 og 235. Storbritannia har den høyeste indeksen utenfor Norden. Denne ligger på 164, og tilsvarer Sveriges indeks. Selv om Danmark har den klart laveste indeksen i Norden, er det verdt å merke seg at det er langt fra Danmarks indeks på 144 til de laveste indeksene i Europa (Frankrike, Italia og Tyskland).

Fremskrives tallene til 2002-tall, får vi for alkoholholdige drikkevarer følgende resultat: Gitt at Norge er lik 100, er indeksen for Sverige 58,3 og for Danmark 51,6. Dersom en sammenligner med EU (pris- og valutakursutvikling i euroområdet er brukt for å framskrive hele EU) får vi at EU har en indeks på 37.

4.3.1.3 Prissetting på alkoholholdige drikkevarer i Norge

I et marked hvor det innføres en avgift, vil avgiftsbyrden på en eller annen måte bli fordelt mellom tilbyder og konsument. Graden av skatteoverveltning, dvs. i hvilken grad avgiften veltes over i prisen til konsumenten avhenger kritisk av hva slags marked vi står overfor.

Som omtalt under kapittel 3 skal særavgiftene på alkohol og tobakk, i tillegg til å skaffe staten inntekter, være med på å begrense forbruket av disse produktene gjennom høye priser. I hvilken grad avgiftene slår ut i prisene vil dermed være avgjørende for hvor godt disse virkemidlende fungerer. I tillegg vil dette være av betydning for om antagelsen om full overvelting av avgiftene som legges til grunn i provenyberegningsmodellene virker rimelig.

Nedenfor gjennomgås prissetting og skatteovervelting i ulike markeder, og det omtales hvordan Vinmonopolet, bryggeribransjen og tobakkbransjen priser sine produkter og i hvilken grad de velter over særavgiftene i prisene til forbruker.

Markedet for brennevin og vin

I en markedssituasjon med monopol, er det bare en tilbyder og monopolet oppnår normalt større fortjeneste enn dersom det hadde vært flere tilbydere i samme marked. For at en monopolsituasjon skal være varig, må det normalt være ett eller flere former for etableringshindre som gjør at nye bedrifter ikke kommer til. Vinmonopolet er et legalt monopol som er beskyttet mot nyetableringer gjennom lovgivningen. Vinmonopolet har i dag enerett til butikksalg av vin, brennevin og sterkøl.

Når det er bare en tilbyder i markedet, vil etterspørselen i markedet rette seg mot denne tilbyderen og monopolisten står overfor markedets etterspørselskurve. Etterspørselskurven vil normalt være fallende i et pris-mengde diagram. Økonomisk teori sier at for å maksimere sin profitt, vil en profittmaksimerende monopolist velge omsatt mengde ved å tilpasse seg slik at kostnaden ved å produsere en ekstra enhet (grensekostnaden) akkurat tilsvarer merinntekten salget av en ekstra enhet vil gi (grenseinntekten). Dette vil normalt gi en høyere pris og lavere omsatt kvantum enn i et marked med konkurranse.

Et legalt monopol som Vinmonopolet vil imidlertid ikke fritt kunne utnytte sin markedsstilling. Som et aksjeselskap heleid av staten, har Vinmonopolet ingen privatøkonomisk interesse av å øke salget.

Vinmonopolet setter sine priser på bakgrunn av en egen kalkylemodell (fremstillingen av modellen er basert på opplysninger fra Vinmonopolet (2003)). Kalkylemodellen skal sikre kostnadsdekning og rimelig avkastning i Vinmonopolet, og avansen skal speile internt ressursforbruk. I tillegg forutsetter kalkylemodellen at produkter skal likebehandles og at modellen skal være enkel og transparent. Kalkylen skal motvirke kryss-subsidiering mellom produkter, og alle produktene må dekke egne variable kostnader. I tillegg skal kalkylen hindre diskriminering av produkter, og alle produktene må bidra relativt til dekning av faste kostnader og fortjeneste.

Utsalgsprisen på Vinmonopolet fremkommer ved å summere netto innkjøpspris 3 med Vinmonopolets avanse, alkoholavgift, miljøavgift på drikkevareemballasje, grunnavgift på engangsemballasje for drikkevarer samt merverdiavgift. Vinmonopolets avanse blir beregnet ved hjelp av en todelt kalkylemodell. Kalkylemodellen er bygd opp slik at prissettingen er basert på kostnader, og prisen på et produkt skal dekke kostnadene ved dette produktet. I tillegg er modellen utformet slik at Vinmonopolets resultat endres lite ved endringer i produktsammensetning eller grossistpriser. Kalkylemodellen anvendes for kalkulering av samtlige produkter, uavhengig av emballasjeform eller -størrelse. Avansen består av et fast påslag (kroner pr. liter) som skal dekke virksomhetens variable kostnader. Det faste påslaget er på 4,00 kr pr. liter for brennevin og på 5,00 kr pr. liter for øvrige drikkevarer. I tillegg kommer et verdipåslag på 28 pst. av nettoprisen (grossistprisen). Verdipåslaget skal dekke Vinmonopolets faste kostnader og fortjeneste. Vinmonopolets avanse, summen av det faste påslaget og verdipåslaget, skal utgjøre minst 4,00 kr pr. enhet og maksimalt 75 kr pr. enhet. Hvis prisen fra grossist overstiger en gitt grense, reduseres Vinmonopolets avanse ved at verdipåslaget blir lavere enn 28 pst. Denne ordningen skal sikre at Vinmonopolet ikke tar ut for mye i avanse på dyre produkter.

Prisen fra grossisten vil i første hånd avhenge av hvilke priser importøren står overfor på verdensmarkedet. Disse prisene vil variere med markedsforhold, for eksempel hvor sterke merkevarer de ulike produktene er, etterspørselsforhold generelt samt av forhold på tilbudssiden, som om det er en god vinhøst eller ikke. Netto innkjøpspris som Vinmonopolet står overfor fra leverandørene, avhenger i tillegg av forhold som transportkostnader, kursen på norske kroner og avansen til vin- og brennevinsimportørene. Undersøkelser tyder på at priser renset for avgifter er lavere i Norge og Sverige enn for eksempel i Danmark hvor alkoholavgiftene er lavere (jf. Horverak og Österberg (2002)). Dette kan tyde på at avansen importørene og/eller monopolene i Norge og Sverige tar ut er relativt lav. En sterk norsk krone tilsier videre at utenlandske varer bør bli billigere i Norge fordi de blir billigere å importere til Norge, mens fallende kronekurs tilsier at prisen på slike varer vil kunne øke i Norge. Det er vanskelig å isolere virkningen av forhold på verdensmarkedet og utviklingen i valutakursen på den prisen leverandørene tilbyr Vinmonopolet.

Etter at EØS-avtalen trådte i kraft 1. januar 1994, ble vinmonopolordningen satt under press. EFTAs overvåkingsorgan ESA fastslo at Vinmonopolets import- og engrosmonopol var i strid med EØS-avtalen. Resultatet var at disse delene av monopolordningen ble opphevet 1. januar 1996. Samtidig ble Vinmonopolet delt, og det statlige aksjeselskapet Arcus ble stiftet. Arcus AS overtok all import- og grossistvirksomhet samt eneretten til brennevinsproduksjon og tapping på flasker 4.

I henhold til lov av 19. mai 1933 nr. 11 om særavgifter skal det betales avgift til statskassen ved innførsel eller innenlandsk tilvirkning av brennevin, vin og øl.

Som omtalt innledningsvis vil graden av skatteoverveltning, dvs. hvordan avgiftsbyrden fordeles mellom tilbyder og konsument, avhenge av hva slags marked vi står overfor. I et marked med konkurranse deles vanligvis avgiften mellom tilbyder og etterspørrer, og prisen øker aldri mer enn avgiftsøkningen.

I en monopolsituasjon kan en avgiftsøkning betraktes som en økning i produksjonskostnader, og en avgiftslettelse kan betraktes som et fall i produksjonskostnader. I motsetning til en situasjon med konkurranse, hvor en del av avgiftsøkningen normalt vil bli båret av produsenten og bare delvis slå ut i prisen, er resultatene for et monopol mer komplisert. Graden av skatteoverveltning avhenger av helningen til grensekostnadskurven og formen på etterspørselskurven. Avhengig av hvor prisfølsom etterspørselen er, vil økningen i prisen i prinsippet kunne være større enn avgiftsøkningen.

Som omtalt ovenfor ble importmonopolet opphevet i 1994, og det finnes i dag flere importører av vin og brennevin. Vin - og Brennevinsimportørenes Forening (VBF) er bransjeorganisasjonen for importører av vin og brennevin til Norge med 24 medlemsbedrifter. I dag er Arcus største leverandør til Vinmonopolet, med en markedsandel på nærmere 20 pst. Vin- og brennevinsimportørene står overfor en gitt pris på verdensmarkedet. Importørene velter avgiften i sin helhet over på Vinmonopolet. I tråd med kalkylemodellen velter Vinmonopolet avgiften i sin helhet over på konsumentene.

Nedenfor diskuteres dette empirisk ved å se på to avgiftsreduksjoner de siste årene. Alkoholavgiftene er blitt redusert ved to anledninger de senere årene. Alkoholavgiften på sterkvin ble tilnærmet halvert fra 1. januar 2000 og alkoholavgiften på brennevin ble redusert med hhv. 15 pst. fra 1. januar 2002 og med ytterligere 10 pst. fra 1. januar 2003. Fra 2000 til 2001 ble alkoholavgiftene holdt nominelt uendret.

Vinmonopolet (2003) har foretatt analyser av alle de tre avgiftsnedsettelsene for å undersøke i hvilken grad avgiftsreduksjonen gav seg utslag i utsalgsprisen til kundene.

Det går fram av tabell 4.13 at avgiftsreduksjonen på sterkvin resulterte i betydelig nedgang i utsalgsprisen. Utsalgsprisen kunne imidlertid vært redusert med ytterligere 3 kroner dersom avgiftsreduksjonen hadde slått fullt ut i prisen til konsumenten. Isteden økte netto innkjøpspris i gjennomsnitt med om lag 2 kroner, dvs. at grossistene økte prisene noe. Dette gir imidlertid ikke grunnlag for å konkludere med at grossistene ikke lot avgiftslettelsen fullt ut komme kundene til gode. Som omtalt ovenfor kan nettoprisen påvirkes av flere forhold. Den norske krona svekket seg i 1998 og 1999. Dette kan ha vært en faktor som har trukket i retning av økt nettopris. Andre faktorer, som vinhøsten og lignende, har imidlertid trolig større innvirkning på nettoprisen enn valutakursen.

Tabell 4.13 Endring i priser på sterkvin (produkter med alkoholstyrke mellom 15 og 22 volumprosent) fra 1999 til 2000, fordelt på produkter i Vinmonopolets hovedprisliste og alle produkter totalt. Kroner

  Potensiell endring i utsalgsprisEndring i netto innkjøpspris1)Reell endring i utsalgspris
Hovedprislisten– 51,211,97– 48,08
Alle produkter– 51,352,01– 48,04

1) Endring netto innkjøpspris viser forskjellen mellom netto innkjøpspris gjeldende fra 1.januar 2000 og siste gjeldende netto innkjøpspris i 1999.

Kilde: Vinmonopolet.

Tabell 4.14 viser at avgiftsreduksjonen på brennevin i 2002 også resulterte i nedgang i utsalgspris. Utsalgsprisen ble redusert med nesten hele avgiftsreduksjonen (differansen var på 83 øre i gjennomsnitt for produktene i hovedprislisten). Prisene i hovedprislisten ble i gjennomsnitt redusert mer enn gjennomsnittet for alle produkter i alle utvalg. Tabellen viser også at netto innkjøpspris økte mindre enn hva tilfellet var for sterkvin da sterkvinsavgiften ble redusert.

Tabell 4.14 Endring i priser på brennevin (produkter med alkoholstyrke mellom 22 og 60 volumprosent) fra 2001 til 2002 fordelt på produkter i Vinmonopolets hovedprisliste og alle produkter totalt. Kroner

  Potensiell endring i utsalgsprisEndring i netto innkjøpspris1)Reell endring i utsalgspris
Hovedprislisten-30,780,53-29,95
Alle produkter-34,361,76-31,81

1) Endring netto innkjøpspris viser forskjellen mellom netto innkjøpspris gjeldende fra 1.januar 2001 og siste gjeldende netto innkjøpspris i 2002.

Kilde: Vinmonopolet.

Tabell 4.15 viser at avgiftsreduksjonen på brennevin i 2003 også resulterte i redusert utsalgspris. Utsalgsprisen falt med nesten hele avgiftsreduksjonen (differansen var på 82 øre i gjennomsnitt for produktene i hovedprislisten). Prisene i hovedprislisten ble i gjennomsnitt redusert noe mer enn gjennomsnittet for alle produkter i alle utvalg. Tabellen viser også at netto innkjøpspris økte mindre enn hva tilfellet var for sterkvin da sterkvinsavgiften ble redusert fra 1. januar 2000.

Tabell 4.15 Endring i priser på brennevin (produkter med alkoholstyrke mellom 22 og 60 volumprosent) fra 2002 til 2003 fordelt på produkter i Vinmonopolets hovedprisliste og alle produkter totalt. Kroner

  Potensiell endring i utsalgsprisEndring i netto innkjøpspris1)Reell endring i utsalgspris
Hovedprislisten-15,480,52-14,66
Alle produkter-17,370,98-16,00

1) Endring netto innkjøpspris viser forskjellen mellom netto innkjøpspris gjeldende fra 1.januar 2003 og siste gjeldende netto innkjøpspris i 2002.

Kilde: Vinmonopolet.

Analysene som Vinmonopolet har gjort av avgiftsreduksjonene de senere årene, kan tyde på at avgiftsreduksjonene på brennevin og vin slår nesten fullt ut i prisene til forbrukerne.

Markedet for øl

I markedet for øl er det flere tilbydere, og konkurranse i markedet. I et marked med fullkommen konkurranse bestemmes prisen på en vare i likevektspunktet der etterspørrerenes vurdering av hva varen er verd faller sammen med det koster å produsere varen. I markedet for øl er det imidlertid en viss grad av markedsmakt fordi produsentene produserer merkevarer (monopolistisk konkurranse 5), og fordi ett bryggeri dominerer markedet og er prisleder. I markedet for øl kan markedsmakten også ha en viss sammenheng med at folk drikker øl fra sitt lokale bryggeri og er lojale overfor denne øltypen.

Det har ikke vært tilsvarende avgiftsreduksjoner på øl som for brennevin og sterkvin. Informasjon fra Bryggeri- og mineralvannforeningen tyder imidlertid på at alkoholavgiften på øl i sin helhet overveltes konsumenten. Full overveltning av avgiften kan også være et resultat av et spill mellom produsentene, hvor utfallet er at det er lønnsomt for alle å overvelte avgiften fullt ut i prisene (dvs. en form for kartell 6).

Tabellen 4.16 viser hvordan prisen på pils fordeler seg på ulike poster. Det går bl.a. fram av tabellen at alkoholavgiften utgjør om lag 40 pst. av utsalgsprisen på en flaske øl i butikken og om lag 16 pst. av utsalgsprisen på en halvliter som kjøpes på et utested.

Tabell 4.16 Prisfordeling, salg av pils. Priseksempel 2003

  ButikkSkjenkested
  0,33 l. flaske0,5 l. boks0,5 l. fra fat
       
Bryggeriet3,075,045,65
Butikk/skjenkested2,033,3426,56
Emballasjeavgifter0,001,250,00
Alkoholavgift5,247,947,94
Bevillingsgebyr1)0,060,090,17
Merverdiavgift2,504,249,68
Pris til forbruker12,9021,9050,00

1) Engrosbevillingsgebyr, pluss salgs- eller skjenkebevillingsgebyr.

Kilde: Bryggeri- og mineralvannforeningen.

4.3.2 Priser på tobakk

4.3.2.1 Prisutvikling på tobakksvarer i Norge, Sverige og Danmark

Også prisutviklingen for tobakksvarer har vært svært ulik i de skandinaviske landene. Delprisindeksen for tobakk i Norge økte med 644 prosent fra 1980 til 2002, for Sverige med 368 prosent og for Danmark med 129 prosent. Mens prisveksten på tobakksvarer har vært særlig sterk i Norge og forholdsvis sterk også i Sverige, har den vært forholdsvis lav i Danmark. Figur 4.9 viser valutakurs og valutakurskorrigert delindeks for tobakksvarer i Sverige og Danmark.

Figur 4-9 Valutakurs og valutakurskorrigert prisindeks for tobakksvarer for Sverige og Danmark relativt til Norge. 1980=100

Figur 4-9 Valutakurs og valutakurskorrigert prisindeks for tobakksvarer for Sverige og Danmark relativt til Norge. 1980=100

Kilde: Statistisk sentralbyrå, (Norge), Statistiska Centralbyrån (Sverige), Danmarks statistik, Norges Bank (valutakurser).

Den øverste delen av figur 4.9 viser at prisindeks for tobakksvarer i Sverige har falt sterkt sammenlignet med Norge og målt i norske kroner. Dette skyldes, som figuren viser, både valutakursutviklingen og vesentlig lavere prisvekst på tobakksvarer i Sverige enn i Norge.

Den nederste delen av figur 4.9 viser en svært sterk prisnedgang på tobakksvarer i Danmark sammenlignet med Norge, målt i norske kroner. Dette henger sammen med lav prisvekst på tobakk i Danmark, målt i nasjonal valuta.

4.3.2.2 Prisnivå på tobakksvarer i Norge og EU

Tallene fra Eurostat (Eurostat 2002) viser prisforskjeller i Europa på tobakksprodukter. Figur 4.10 nedenfor viser at Norge har den høyeste indeksen (221), fulgt av Storbritannia (203). Spranget er stort til Island, tredje land på listen, som har en indeks på 139. Danmark har 133, Finland 120 og Sverige 119. Som for alkoholholdige drikkevarer finner vi europeiske land som har et mye lavere prisnivå enn Norden. Italia (82) og Tyskland (90) ligger lavt også her, mens Frankrike ligger noe høyere (104).

Figur 4-10 Prisnivåer for tobakksvarer i utvalgte land. 2001. Gjennomsnittet i EU=100.

Figur 4-10 Prisnivåer for tobakksvarer i utvalgte land. 2001. Gjennomsnittet i EU=100.

Kilde: Statistisk sentralbyrå.

Fremskrives tallene til 2002-tall, får vi for tobakksvarer følgende resultat: Gitt at Norge er lik 100, er indeksen for Sverige 50,9 og for Danmark 56,1. Dersom en sammenligner med EU (pris- og valutakursutvikling i euroområdet er brukt for å framskrive hele EU) får vi at EU har en indeks på 44.

4.3.2.3 Prissetting på tobakk i Norge

Tilsvarende som i markedet for øl vil det kunne være rom for å drive monopolistisk konkurranse i markedet for tobakk fordi produsentene selger merkevarer. Det finnes i dag fem hovedaktører på tobakksmarkedet i Norge; Tiedemanns som er både produsent, importør og distributør, Asbjørnsen som er produsent samt Langgard, Stenberg og Gallaher som er importører og distributører. I tillegg finnes det noen mindre importører av sigarer mv.

Røykere velger tobakksmerke ut fra smak og behag, men også ut fra sosial tilhørighet. I hovedsak er det imidlertid like priser på ulike merker av sigaretter og rulletobakk. At tilbyderne ikke driver prisdiskriminering, skyldes trolig at prisen på tobakk er så høy at konsumentens terskel for å skifte merke hvis prisen øker er lavere enn i markedet for øl. I tillegg utgjør fortjenesten til produsent og grossist (og detaljist) en så liten del av utsalgsprisen på tobakk at det gir lite rom for å drive lavprissalg. Det finnes imidlertid eksempler på at et tobakkmerke tilbys til lavere pris enn andre merker.

I andre land utgjør avgiftene som regel en lavere andel av utsalgsprisen, og utsalgsprisen er også lavere. Dette kan gi større rom for å ha ulike priser på ulike merker. I Sverige er f.eks. nasjonale merker dyrere enn importerte merker.

Tobakkindustriens Felleskontor (TIF) opplyser at tobakksleverandørene selger sine produkter for samme pris til alle kunder. Utsalgsstedene velger imidlertid selv hvilken pris de vil sette på tobakksvarene til forbruker. Det kan være betydelige prisforskjeller mellom lavpriskjeder i dagligvarehandelen og kiosker og bensinstasjoner. Tabellen nedenfor viser fordeling av utsalgspris fra dagligvarehandel.

Tabell 4.17 Fordeling av utsalgspris på sigaretter og røyketobakk i 2003

  Sigaretter, pakke med 20 stk.Røyketobakk, pakke på 50 g
Fabrikkpris6,23 kr9,82 kr
Dagligvarehandelens avanse5,74 kr10,83 kr
Særavgift34,80 kr60 kr
Merverdiavgift11,23 kr19,36
Utsalgspris58,00 kr100,00 kr

Kilde: Tobakkindustriens Felleskontor (TIF).

Etterspørselen etter tobakk endrer seg relativt lite som følge av en endring i prisen, dvs. at etterspørselen er relativt uelastisk. Dette innebærer at produsentene velter over avgiften i sin helhet på konsumentene. Det har aldri forekommet reduksjoner i tobakkavgiftene i Norge, og det foreligger dermed ikke erfaringsmateriale som kan fortelle oss i hvilken grad en avgiftsreduksjon ville slå ut i prisene til forbruker. Tabellen ovenfor indikerer imidlertid at avgifter på tobakk i sin helhet overveltes konsumenten, og at avgiftsøkningene slår direkte ut i prisøkninger.

4.4 Beregning av særavgiftsinntekter i Norge, Sverige og Danmark

4.4.1 Gjeldende norsk praksis

Ved beregning av provenyvirkninger som følge av endringer i en enkelt særavgift, er det etablert praksis bare å ta med virkningene på inntektene fra avgiften som blir endret. Denne praksisen er valgt selv om avgiftsendringer på enkelte produkter påvirker omsetningen av andre avgiftsbelagte produkter. Dette vil i første rekke gjelde nære substitutter. 7 For eksempel kan deler av det økte brennevinsforbruket som følger av lavere avgift på brennevin, skyldes overgang fra andre alkoholholdige drikkevarer som vin og øl. I så fall skulle provenyet fra vin og øl vært redusert. Når en likevel har valgt å se bort fra kryssvirkningene skyldes det at dette ville komplisere beregningene og gi en mindre oversiktlig budsjettføring.

Ved endringer i særavgifter er det heller ikke vanlig å beregne virkninger på statens inntekter fra merverdiavgiften. Det legges dermed til grunn at husholdningenes utgifter til kjøp av merverdiavgiftspliktige varer og tjenester ikke blir påvirket av endringer i særavgifter. Generelt er dette en ganske robust antagelse selv om en i enkelte tilfeller kunne tenke seg så store endringer i merverdiavgiftsinnbetalingene at de burde vært tatt hensyn til. Slike virkninger er imidlertid svært vanskelige å beregne. Det foreligger pr. i dag ikke empiriske anslag for i hvilket omfang uregistrert forbruk av for eksempel alkohol påvirkes av endringer i alkoholavgiftene.

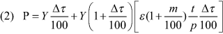
Generelt fremkommer avgiftsproveny ( Y) ved å multiplisere avgiftssatsen ( a) med omsatt kvantum av avgiftsobjektet ( X).

(1)  Y = a * X

Hvert år, i forbindelse med budsjettet, blir avgiftssatsene vurdert og det beregnes anslag for provenyet for det kommende budsjettåret. Provenyberegningene for hver avgift varierer, avhengig av om det skjer en reell endring i avgiften eller om avgiften holdes reelt uendret. En reell videreføring av avgiftssatsen innebærer at avgiftssatsen justeres i takt med anslått prisvekst for kommende år. En reell videreføring av avgiftssatsen fører ikke til endringer i provenyet. En nominell videreføring av avgiftssatsen (dvs. at avgiftssatsen ikke prisjusteres) innebærer imidlertid et tap i forhold referanseprovenyet.

Forventet bokført proveny for neste år beregnes ut fra anslått påløpt proveny for inneværende år, oppjustert med anslått pris- og konsumvekst neste år. Dette gir referansebanen, eller referanseprovenyet. Referansebanen er det provenyet som forventes å bli realisert hvis avgiftene blir holdt reelt uendret, dvs. når satsene prisjusteres.

Ved beregning av provenyendringer ved endringer i særavgifter blir det benyttet elastisiteter. Elastisitetene skal tilnærmet gjenspeile forventet endring i registrert forbruk som følge av en avgiftsendring. Virkningen på provenyet av endringen i en avgiftssats kan deles inn i en direkte effekt (priseffekt) og en indirekte effekt (etterspørselseffekt). Den direkte effekten er den reelle avgiftsendringen multiplisert med referanseprovenyet. Den indirekte effekten følger av at etterspørselen endrer seg som følge av en avgiftsendring. Det antas at avgiftsendringen i sin helhet blir veltet over i prisen. Hvor mye etterspørselen endrer seg vil avhenge av:

  • størrelsen på avgiftsendringen, Δτ

  • avgiftens andel av prisen, t/p

  • etterspørselselastisiteten, ε

Avgiftens andel av prisen t/p varierer for ulike varer og over tid, avhengig av utviklingen i avgiftsnivå og priser. Etterspørselselastisiteten varierer mellom varer, og er et uttrykk for hvor mye etterspørselen endrer seg når prisen endrer seg med en prosent.

Provenyvirkningen P av en avgiftsendring fremkommer ved å summere priseffekten uttrykt ved det første ledd av ligning (2) (referanseprovenyet multiplisert med endringen i avgiftssatsen) og etterspørselseffekten uttrykt ved det andre leddet av ligning (2) (priseffekten korrigert for endringer i etterspørselen).

Figur  

hvor

er merverdiavgiftssatsen

er provenyanslag

Elastisitetene Finansdepartementet benytter i sine beregninger ble sist oppdatert i forbindelse med Revidert nasjonalbudsjett 1998.

Elastisitetene på alkohol og tobakk

Provenyvirkningen av en avgiftsendring påvirkes av hvor mye etterspørselen endres som følge av avgiftsendringen. En av faktorene som avgjør dette er hvilken priselastisitet som blir benyttet. Det har i den senere tid vært særlig stor debatt rundt elastisitetene som benyttes for alkoholholdige drikkevarer.

Tabell 4.18 viser hvilke elastisiteter på alkoholholdige drikkevarer Finansdepartementet i Norge benytter i sine beregninger.

Tabell 4.18 Elastisiteter på alkoholholdige drikkevarer og tobakk, Norge

ProduktElastisitet
Brennevin-1,0
Vin-1,0
Øl-0,5
Tobakk-0,4

Kilde: Finansdepartementet.

Priselastisitetene som benyttes av Finansdepartementet er estimert på bakgrunn av forbruksundersøkelsene til Statistisk sentralbyrå. Elastisitetene gjenspeiler endringer i legalt kjøp av varer innenlands, og gir dermed et grunnlag for provenyberegninger for varer som er utsatt for handelslekkasje mv. Elastisiteten på -1 gjenspeiler implisitt effekten av grensehandel og annen uregistrert omsetning. Finansdepartementets elastisiteter avviker lite fra elastisiteter som brukes av for eksempel SIRUS (se kapittel 6 for en nærmere omtale av priselastisitetene for alkohol).

Provenyvirkninger av endringer i alkoholavgifter er generelt usikre. Usikkerheten er særlig stor når endringene i avgiftene blir store, både med tanke på hvor stor del av avgiftsendringen som overveltes i prisen og med tanke på omfordelingen mellom uregistrert og registrert forbruk og utviklingen i totalforbruket. Det foreligger ikke empiriske anslag for i hvilket omfang uregistrert forbruk av alkohol påvirkes av endringer i alkoholavgiftene. Det finnes for eksempel ikke tall for hvor mye av alkoholen som nordmenn kjøper i Sverige som ville blitt kjøpt i Norge, dersom avgiftene i Norge var lavere.

For tobakk bruker Finansdepartementet en elastisitet på -0,4. Også denne elastisiteten er estimert på bakgrunn av forbruksundersøkelsene som blir foretatt av Statistisk sentralbyrå (se kapittel 7 for en nærmere omtale av priselastisitetene for tobakk).

4.4.2 Provenyberegninger for alkoholholdige drikkevarer i Sverige

Finansdepartementet i Sverige gjør tilsvarende beregninger som i Norge når de beregner endringer i proveny som følge av endring i særavgifter jf. Beräkningskonventioner för 2003. Svenskene tar imidlertid også hensyn til at merverdiavgiftsinntektene fra en enkelt vare endres dersom særavgiften på varen endres. En avgiftsreduksjon som slår ut i en prisreduksjon fører til at merverdiinntektene fra varen øker som følge av at etterspørselen etter varen øker, men at merverdiavgiftsinntekten synker som følge av at prisen på varen reduseres. Samlet antas det at en avgiftsreduksjon på en vare fører til redusert merverdiavgiftsinntekt fra varen. Det tas ikke hensyn til at konsumet av andre varer vil øke tilsvarende slik at de totale merverdiavgiftsinntektene kan antas å øke tilsvarende.

Tabell 4.19 viser priselastisitetene det svenske Finansdepartementet antar for innenlands omsetning av alkoholholdige drikkevarer.

Tabell 4.19 Elastisiteter på alkoholholdige drikkevarer og tobakk, Sverige

ProduktElastisitet
Brennevin-0,90
Vin-0,92
Øl-0,80
Tobakk-0,40

Kilde: Finansdepartementet i Sverige.

Elastisitetene er om lag de samme som de Finansdepartementet i Norge benytter, men noe høyere for øl. Som i Norge, er det gjort flere studier av priselastisiteter for alkohol i Sverige. I de svenske undersøkelsene varierer elastisitetene mellom -0,3 og -1,03 for brennevin, mellom -0,47 og -1,6 for vin og mellom -0,25 og -1,7 for øl.

I tillegg til å ta hensyn til priselastisitetene, tar svenskene hensyn til at en prisendring i Sverige endrer det relative prisforholdet overfor utlandet generelt og Danmark og Tyskland spesielt. Når Finansdepartementet i Sverige beregner hvordan grensehandelen påvirkes av prisendringer i Sverige og nabolandene, antar de en priselastisitet på -1. Det vil si at dersom det relative prisforholdet mellom Danmark og Sverige endres med 10 pst., så antas det at volumet på grensehandelen også endres med 10 pst. samtidig som den svenske omsetningen av brennevin endres tilsvarende. Det antas altså at endringen i grensehandel slår fullt ut i innenlandsk forbruk.

Finansdepartementet i Sverige har også beregnet såkalte importelastisiteter knyttet til endringene i innførselskvotene. På oppdrag fra den svenske regjeringen utfører SoRAD (Centre for Social Research on Alcohol and Drugs) månedlige undersøkelser av privatimporten av alkohol, og dette gjør at en kan anslå hvordan grensehandelen endrer seg når kvotegrensene endrer seg (SoRAD 2003). SoRAD har samlet inn denne typen statistikk siden juni 2000.

Som en følge av at de svenske innførselskvotene for brennevin, vin og øl har økt de senere årene, har også privatinnførselen økt. Det svenske finansdepartementet opplyser at innførselen av øl til Sverige har økt med om lag 31 pst. fra 2000 til 2002 mens innførselen av vin har økt med om lag 17 pst. i den samme perioden. For brennevin er tallet om lag 13 pst., på tross av at det ikke er gjort noen større endringer i innførselskvotene for brennevin.

Svenskene regner ikke med at innførselen av vin vil øke dramatisk på tross av den kraftige økningen i kvotegrensene fra 1. januar 2004. For øl kan imidlertid økningen bli kraftigere. Når det gjelder brennevin antar det svenske finansdepartementet at økningen av kvoten fra 2 til 5 liter fra 1. januar 2003 vil kunne få relativt stor effekt på omsetningen i Sverige, og det samme gjelder økningen i 2004 fra 5 til 10 liter. Foreløpig har Sverige imidlertid bare data for den første økningen av kvoten fra 1 til 2 liter 1. januar 2002, og dette er ikke tilstrekkelig til å trekke endelige konklusjoner om hvordan konsumentene vil reagere på den andre og den tredje kvoteøkningen. Etter at effekten av økningen i 2003 er kartlagt, vil det foreligge bedre data hvordan innenlandsk konsum endrer seg som følge av kvoteendringer, og hvordan dette påvirker avgiftsinntektene.

Data som ble samlet inn etter økningen i innførselskvoten på brennevin fra 1 til 2 liter, tydet på at svenskene ikke brakte med seg noe særlig mer brennevin over grensen i 2002. Dette kan skyldes at konsumentene allerede før økningen av kvoten tok med seg 2 liter brennevin (eller mer). Økningen fra 2 til 5 liter i 2003 vil trolig kunne innebære en større økning i den svenske grensehandelen med brennevin.

4.4.3 Provenyberegninger for alkoholholdige drikkevarer i Danmark

I rapporter om grensehandel fra det danske skatteministeriet, jf. Skatteministeriet (2000, 2001) er det gjort rede for beregnede virkninger av endringer i danske særavgifter og opphevelse av 24-timersregelen.

I rapporten fra Skatteministeriet (2001) er virkningene av å sette ned de danske alkohol- og tobakksavgiftene analysert. Danskene har over flere år gjennomført kartlegginger av grensehandelen, i første rekke danskenes handel i Tyskland. De har også anslått svenskers og nordmenns handel i Danmark.

I det danske beregningsopplegget tas det først utgangspunkt i en priselastisitet for danskers samlede alkoholbruk. Tabell 4.20 viser hvilke priselastisiteter som er oppgitt for 2001.

Tabell 4.20 Elastisiteter på alkoholholdige drikkevarer og tobakk Danmark

ProduktElastisitet
Brennevin-0,50
Vin-0,15
Øl-0,15
Sigaretter-0,10

Kilde: Skatteministeriet (2001): Rapport om grænsehandel 2001.

Det går fram av tabell 4.20 at de danske priselastisitetene for danskenes samlede alkohol og tobakkbruk er mye lavere enn de norske.

Deretter fordeles forbruket på kjøp i Danmark, kjøp i Tyskland og tax-free kjøp. Danskene tar også hensyn til at svenskers og nordmenns kjøp i Danmark kan endre seg dersom alkoholavgiftene blir satt ned. For avgiftsendringer på sigaretter tas det også hensyn til endret salg til briter. Det antas at omsetningen i Danmark og dansk proveny avhenger av forskjeller mellom danske priser og priser i andre land. Forholdet mellom dansk og svensk pris har betydning for svenskenes handel i Danmark, forholdet mellom dansk og tysk pris har betydning for danskenes handel i Tyskland, og til slutt antas også forholdet mellom dansk og sydeuropeisk pris/avgiftsfri pris å ha betydning for danskers handel utenfor Danmark.

Ved analyser av utslag av avgiftsendringer forutsettes, som i Norge og Sverige, full overveltning i prisene. Ved en dansk avgiftsendring vil provenyendringen avhenge av endret dansk handel i Danmark, endret svensk handel i Danmark, endret dansk handel i Tyskland og endret dansk handel andre steder. Endret samlet omsetning og proveny i Danmark avhenger av alle nevnte forhold.

Det går fram av Skatteministeriets rapport at en antar en lineær sammenheng mellom prisdifferanse og grensehandel. Dersom prisdifferansen mellom Danmark og et annet land endres med 10 pst. så endres volumet av grensehandelen med 10 pst.

Den danske rapporten ser på følgene av avgiftsendringer både for brennevin, vin og øl, og kommer fram til følgende resultater:

  • Brennevin:Reduksjoner opp til 40 pst. av dagens danske avgiftsnivå gir ikke provenytap, men en liten provenygevinst inntil om lag 30 pst. avgiftsreduksjon. Ytterligere reduksjoner gir provenytap.

  • Vin:For vin blir det anslått et provenytap for både små og større reduksjoner. Virkningene på avgiftsgrunnlaget indikerer en ”nettoelastisitet” på om lag -0,8.

  • Øl:For øl blir det anslått et provenytap for både små og større reduksjoner. Virkningene på avgiftsgrunnlaget indikerer en ”nettoelastisitet” på om lag -0,75.

Danskene har også beregnet virkningen av at 24-timersregelen 8 opphører fra 1. januar 2004. Det er anslått at regelendringen vil medføre en bestemt nedgang i omsetning og proveny i Danmark, en økning i danskenes grensehandel i Tyskland, og et økt dansk forbruk totalt sett.

Fotnoter

1

Prisen på en 20-pakning sigaretter i Sverige er satt til SEK 34,50, og i Danmark til DKK 33,50.

2

Følgende valutakurser er lagt til grunn: SEK 85,47 og DKK 108,86.

3

Netto innkjøpspris = innkjøpspris fratrukket alle berørte avgifter (alkoholavgift, merverdiavgift og emballasjeavgifter). Netto innkjøpspris kan brukes til å avlese grossistens eventuelle egne prisendringer.

4

Eneretten til brennevinsproduksjonen er nå opphevet.

5

I et marked med monopolistisk konkurranse fremstiller flere produsenter ulike varianter av et produkt., f.eks. merkevarer innen klær. Produsentene står overfor en fallende etterspørselskurve.

6

Når produsentene i et marked samordner produksjon og salg danner de et kartell. På denne måten kan de oppnå monopol i marked selv om de er mange.

7

Nære substitutter kan beskrives som varer hvor etterspørselen etter den ene varen øker som følge av en prisøkning på den andre varen. Et eksempel kan være at når prisen på kaffe øker så øker etterspørselen etter te.

8

Dette innebærer bl.a. at regelen om at brennevin ikke kan medbringes fra utlandet ved opphold i utlandet av mindre enn 24 timers varighet oppheves.