Del 2
Budsjettforslaget
Programområde 16 Fiskeri-, havbruks og kystforvaltning
Programkategori 16.10 Administrasjon
Utgifter under programkategori 16.10 fordelt på kapitler
(i 1 000 kr) | |||||
|---|---|---|---|---|---|
Kap. | Betegnelse | Regnskap 2007 | Saldert budsjett 2008 | Forslag 2009 | Pst. endr. 08/09 |
1000 | Fiskeri- og kystdepartementet | 110 620 | 110 731 | 119 661 | 8,1 |
1001 | Deltakelse i internasjonale organisasjoner | 8 647 | 9 215 | 8 970 | -2,7 |
Sum kategori 16.10 | 119 267 | 119 946 | 128 631 | 7,2 |
Utgifter under programkategori 16.10 fordelt på postgrupper
(i 1 000 kr) | |||||
|---|---|---|---|---|---|
Post-gr. | Betegnelse | Regnskap 2007 | Saldert budsjett 2008 | Forslag 2009 | Pst. endr. 08/09 |
01-20 | Driftsutgifter | 101 974 | 96 581 | 100 301 | 3,9 |
21-23 | Andre driftsutgifter | 5 977 | 8 500 | 10 860 | 27,8 |
70-89 | Overføringer til private | 11 317 | 14 865 | 17 470 | 17,5 |
Sum kategori 16.10 | 119 267 | 119 946 | 128 631 | 7,2 |
Innledning
Programkategorien omfatter driftsbevilgninga til Fiskeri- og kystdepartementet, kontingenter til internasjonale organisasjoner fra Fiskeri- og kystdepartementet, tilskudd til diverse formål og tilskudd til kystkultur.
Fiskeri- og kystdepartementet har ansvar for fiskeri-, havbruks- og kystforvaltninga. Departementet har det sentrale ansvaret for bærekraftig forvaltning og næringsutvikling basert på alle levende marine ressurser i norske kyst- og havområder.
Departementet har ansvar for å sikre trygg sjømat og helse og velferd hos akvatiske organismer. Høsting av marine ressurser er avhengig av robuste og velfungerende økosystemer og forutsetter omfattende kunnskap om havmiljøet. Fiskeri- og kystdepartementet er derfor hovedaktør innen forskning og overvåking knyttet til marine økosystemer.
Det er et mål at fiskeri- og kystforvaltninga skal være effektiv og faglig sterk. Fiskeri- og kystdepartementet har et hovedansvar for å sikre fiskeri- og havbruksforvaltningas troverdighet og omdømme. Ei god forvaltning er også viktig for omdømmet til produktene fra fiskeri- og havbruksnæringa.
Kap. 1000 Fiskeri- og kystdepartementet
(i 1 000 kr) | ||||
|---|---|---|---|---|
Post | Betegnelse | Regnskap 2007 | Saldert budsjett 2008 | Forslag 2009 |
01 | Driftsutgifter | 101 974 | 96 581 | 100 301 |
21 | Spesielle driftsutgifter , kan overføres | 5 977 | 8 500 | 10 860 |
70 | Tilskudd diverse formål , kan overføres | 550 | 500 | 500 |
71 | Tilskudd til kystkultur , kan overføres | 2 120 | 5 150 | 8 000 |
Sum kap. 1000 | 110 620 | 110 731 | 119 661 |
Departementets oppgaver er
å være sekretariat for politisk ledelse
forvaltning av havet og kystsona
tilrettelegging for næringsvirksomhet
styring av underliggende etater.
Videre har departementet ei viktig rolle ved å ivareta sektoransvaret for fiskeri- og kystpolitikken i prosesser som går på tvers av departementsgrensene og mot det regionale nivået.
Fiskeri- og kystdepartementet har etatsansvar for Kystverket, Fiskeridirektoratet, Havforskningsinstituttet og Nasjonalt institutt for ernærings- og sjømatforskning (NIFES) og har ansvar for statlig eieroppfølging av Nofima AS, Eksportutvalget for fisk AS og Protevs AS. Fiskeri- og kystdepartementet har tidligere også hatt ansvaret for Secora AS, men dette selskapet er per 1. juli 2008 overført til Nærings og handelsdepartementet. Saka er nærmere omtalt under programkategori 16.60 Kystforvaltning. Fiskeri- og kystdepartementet har i tillegg faglig styringsansvar knyttet til Mattilsynet, Veterinærinstituttet, Norges forskningsråd og Innovasjon Norge, der andre departement har etatsansvaret. Departementet ivaretar også dialogen med Redningsselskapet (NSSR) og gir tilskudd til selskapet. Videre har departementet ansvar for driften av Loran-C og infrastrukturen på Jan Mayen, som administreres av Forsvarets logistikkorganisasjon på oppdrag fra Fiskeri- og kystdepartementet. Fiskeri- og havbruksnæringens forskningsfond er formelt underlagt Fiskeri- og kystdepartementet, men fondet forvaltes av et eget styre med representanter fra næringa.
Departementet legger stor vekt på å videreutvikle mål- og resultatstyringssystemet. Som et ledd i dette arbeidet la departementet i 2007 fram en strategi for departementets virksomhet med visjonen Verdier fra havet – Norges framtid. Strategien består av i alt seks hovedmål som dekker alle virksomhetsområdene under Fiskeri- og kystdepartementet, også departementets underliggende etater. Strategien gjelder for perioden 2007–2011.
Hovedmålene i strategien er:
Norge skal ha en internasjonal rolle som ivaretar våre interesser og vårt ansvar som havnasjon og kyststat på en helhetlig måte.
Norge skal ha bærekraftige marine næringer med høyest mulig samlet verdiskaping, god lønnsomhet og internasjonal konkurransekraft i hele verdikjeden.
Norsk sjømat skal være trygg og kjent for kvalitet. Fangst, produksjon og produkter skal holde en høy standard med hensyn til miljø, folkehelse, fiskehelse og fiskevelferd.
Norge skal ha en internasjonalt ledende posisjon innen marin forskning og innovasjon.
Norge skal ha en konkurransedyktig sjøtransport med effektive havner og transportkorridorer, et høyt sjøsikkerhetsnivå og en god oljevernberedskap.
Norge skal ha en velrenommert, effektiv og faglig sterk fiskeri- og kystforvaltning.
Under hvert hovedmål er det utarbeidet effektmål og forslag til resultatindikatorer. Det arbeides nå med å videreutvikle resultatindikatorer for departementets interne virksomhet og for de underliggende etatene. Evaluering av departementets virkemidler er en viktig oppgave i den sammenheng.
Fiskeri- og kystdepartementet er organisert i fire avdelinger: Avdeling for havbruk, sjømat og marked, Avdeling for kystforvaltning, Forsknings- og innovasjonsavdelinga og Ressurs- og havavdelinga. Kommunikasjonsenheten og Administrasjonsenheten er stabsenheter direkte underlagt departementsråden. Departementet har to fiskeriråder ved Norges delegasjon til EU i Brussel og én fiskeriråd ved ambassadene i Moskva og Washington og ved Norges delegasjon til WTO i Genève.
Det er i budsjettet for 2009 foreslått å overføre 2,4 mill. kroner til Utenriksdepartementet til ei stilling som spesialutsending for fiskeri ved EU-delegasjonen i Brussel. Stillinga ble opprettet i 2007.
Fornying og forenkling av lov- og forskriftsverket står sentralt som et grunnlag for kontinuerlig effektivisering av forvaltningsoppgavene. Det er innført en saksbehandlingsgaranti på tre måneder, som bare kan fravikes dersom forsinkelsen skyldes nødvendige innspill fra andre myndigheter, regelendringer mv.
Departementets internasjonale arbeid er blant annet omtalt under kap. 1001, arbeidet knyttet til forskning og innovasjon er omtalt under programkategori 16.20, arbeidet knyttet til fiskeri- og havbruksforvaltning er omtalt under programkategori 16.30 og arbeidet knyttet til kystforvaltning er omtalt under programkategori 16.60. Vi viser til omtalen under de enkelte programkategoriene.
Tabell 7.1 Antall årsverk per 1. mars 2008.
Virksomhet | Menn | Kvinner | I alt |
|---|---|---|---|
Fiskeri- og kystdepartementet | 48 | 56 | 104 |
Havforskningsinstituttet1 | 203 | 100 | 303 |
Fiskeridirektoratet sentralt | 88 | 92 | 180 |
Fiskeridirektoratets regionkontor | 153 | 88 | 241 |
NIFES | 43 | 81 | 124 |
Kystverkets hovedkontor2 | 58 | 37 | 95 |
Kystverkets regionkontor | 783 | 97 | 880 |
Sum programområde 16 | 1 376 | 551 | 1 927 |
1 Tallene inkluderer ikke sjøfolk og ansatte tilknyttet prosjekter.
2 Kystverkets tall er per 17. mars 2008.
Kilde: Statens sentrale tjenestemannsregister.
Fyrtårnprisen
Med Fyrtårnprisen ønsker Fiskeri- og kystdepartementet å framheve og synliggjøre personer, institusjoner eller organisasjoner som gjør en særlig innsats for å fremme Norge som kyst- og fiskerinasjon. For 2007 ble Fyrtårnprisen tildelt WWF Norge på bakgrunn av innsatsen og engasjementet i innsatsen mot det ulovlige fisket. I 2008 ble prisen gitt til Steinar Olaisen for hans rolle i oppbygginga av oppdrettsnæringa i Nord-Norge og for den sentrale rollen han har spilt i å utvikle Lovund i Nordland til å være et livskraftig og framtidsrettet kystsamfunn.
Tilskudd til kystkultur, jf. post 71
I arbeidet med kystkultur legger Fiskeri- og kystdepartementet vekt på samspillet mellom statlig aktivitet og lokal forankring. I dette samspillet er det et viktig mål at kystkulturen skal være en del av det levende og aktive miljøet langs kysten. Det ble derfor opprettet et tilskudd til kystkulturtiltak i 2003. I 2008 er det gitt tilskudd til blant annet Kontaktrådet for fiskeri- og kystmuseer, Stiftelsen Ægir – Norsk havbruksmuseum, Norsk tradisjonsfisk og et kystkultursamarbeid mellom Redningsselskapet og Norsk sjøfartsmuseum om å etablere ei samling om sjøredningas historie i Norge. I tillegg er det gitt mindre tilskudd til andre tiltak.
I Budsjett innstilling S. nr. 13 (2006–2007) ber flertallet i transport- og kommunikasjonskomiteen om at det legges fram en sak i forbindelse med statsbudsjettet for 2008 om hvordan en har tenkt å sikre den statlige finansieringa av Kystverkets etatsmuseum. Det er utarbeidet en modell for etableringa av et etatsmuseum for Kystverket, som bygger på videreutvikling av dagens fyrmuseumsnettverk, jf. omtale i St.prp. nr. 1 (2005–2006). Modellen legger til grunn ei statlig finansiering på 6 mill. kroner, mens det på lokalt og regionalt nivå forutsettes bidrag på 4 mill. kroner. Det ble på denne bakgrunn foreslått bevilget 3 mill. kroner til oppstart av etatsmuseet i løpet av 2008, jf. St.prp. nr. 1 (2007–2008) for Fiskeri- og kystdepartementet. Stortingets flertall sluttet seg til dette. Kystverket ble derfor bedt om å utarbeide en modell for etablering av etatsmuseet med start i 2008. Etatsmuseet er nå etablert som en nettverksmodell med fire samarbeidspartnere. Organisering av etatsmuseet er nærmere omtalt under programkategori 16.60 Kystforvaltning.
I budsjettet for 2009 foreslås det en økning av post 71 tilskudd til kystkultur på 3 mill. kroner til et samlet bidrag på 6 mill. kroner til Kystverkets etatsmuseum. Budsjettforslaget for 2009 forutsetter statlig bidrag på 6 mill. kroner og lokalt/regionalt bidrag på 4 mill. kroner. Tallene tar utgangspunkt i fordelingsnøkkelen som er basert på minimum 40 pst. lokale/regionale bidrag til driften av den enkelte enhet.
Fiskeri- og kystdepartementet deltar i et samarbeid med Miljøverndepartementet og Kultur- og kirkedepartementet om kystkultur. I tillegg er det etablert et sektorovergripende samarbeid om kystkultur mellom Kystverket, Fiskeridirektoratet, Riksantikvaren og ABM-utvikling. Det vises til nærmere omtale av det generelle arbeidet knyttet til kystkultur under kapittel 7.5 Kulturminner og kulturmiljøer.
Budsjettforslag for 2009
Post 01 Driftsutgifter
Bevilgninga under post 01 skal dekke lønnsutgifter, utredninger, reiser, kontortjenester, kompetanseheving, inventar, utstyr og informasjonsvirksomhet i Fiskeri- og kystdepartementet.
Bevilgninga på posten er redusert med 1,062 mill. kroner knyttet til overføring av midler til Departementenes servicesenter under Fornyings- og administrasjonsdepartementet. I tillegg er det i budsjettet for 2009 foreslått å overføre 2,4 mill. kroner til Utenriksdepartementet til ei stilling som spesialutsending for fiskeri ved EU-delegasjonen i Brussel. Stillinga ble opprettet i 2007.
Det fremmes forslag om å bevilge 100,301 mill. kroner på posten i 2009.
Post 21 Spesielle driftutgifter
Bevilgninga under post 21 omfatter bruttobudsjettering av midler fra Nordisk Ministerråd som forvaltes av Fiskeri- og kystdepartementet, med tilsvarende inntektsbevilgning på kap. 4000 post 04. I 2009 er aktivitetsnivået knyttet til nordiske prosjekter anslått til 6,25 mill. kroner.
I tillegg omfatter posten bevilgninga til samarbeidstiltak Russland som for 2009 er foreslått satt til 2,61 mill. kroner, samt en ny bevilgning fra 2009 til tiltak mot UUU-fiske på 2 mill. kroner. Den nye bevilgninga til tiltak mot UUU-fiske er en del av en samlet økt bevilgning på 10 mill. kroner til tiltak mot UUU-fiske i 2009.
Det fremmes på denne bakgrunn forslag om å bevilge 10,86 mill. kroner på posten i 2009.
Post 70 Tilskudd diverse formål, kan overføres
Formålet med tilskuddet er å gi støtte til tiltak innenfor Fiskeri- og kystdepartementets ansvarsområde.
Det fremmes forslag om å bevilge 500 000 kroner på posten i 2009.
Post 71 tilskudd til kystkultur, kan overføres
Formålet med tilskuddet er å gi støtte til tiltak relatert til kystkultur, medregnet museumstiltak innenfor Fiskeri- og kystdepartementets ansvarsområde.
Det er i budsjettet for 2009 foreslått ei økning på 3 mill. kroner til Kystverkets etatsmuseum. Samlet statlig finansiering av etatsmuseet er nå 6 mill. kroner.
Det fremmes forslag om å bevilge 8 mill. kroner på posten i 2009.
Kap. 4000 Fiskeri- og kystdepartementet
(i 1 000 kr) | ||||
|---|---|---|---|---|
Post | Betegnelse | Regnskap 2007 | Saldert budsjett 2008 | Forslag 2009 |
01 | Refusjoner | 2 073 | 10 | 10 |
04 | Refusjoner eksterne prosjekter | 290 | 6 000 | 6 250 |
Sum kap. 4000 | 2 364 | 6 010 | 6 260 |
Post 01 Refusjoner
Det fremmes forslag om å bevilge 10 000 kroner på posten i 2009.
Post 04 Refusjoner eksterne prosjekter
Posten dekker refusjoner fra eksterne prosjekter med tilsvarende bevilgning på kap. 1000 post 21. I 2009 omfatter dette nordiske prosjekter med ei samlet ramme på 6,25 mill. kroner.
Det fremmes derfor forslag om å bevilge 6,25 mill. kroner på posten i 2009.
Kap. 1001 Deltakelse i internasjonale organisasjoner
(i 1 000 kr) | ||||
|---|---|---|---|---|
Post | Betegnelse | Regnskap 2007 | Saldert budsjett 2008 | Forslag 2009 |
70 | Tilskudd , kan overføres | 8 647 | 9 215 | 8 970 |
Sum kap. 1001 | 8 647 | 9 215 | 8 970 |
Innledning
De internasjonale organisasjonene Norge er medlem av er viktige premissleverandører for utforminga av norsk fiskeri- og kystforvaltning inklusive regelverket for fiskeriforvaltning, sjømattrygghet, kvalitet, fiskehelse og fiskevelferd. Fiskeri- og kystdepartementet har som mål at Norge skal spille en aktiv rolle i utforminga av internasjonalt sanitært og etisk regelverk langs hele produksjonskjeden innen fiskeri og havbruk, i utviklinga av internasjonal havrett og forvaltninga av de levende marine ressursene, i tråd med ønsket om å fremme norske forvaltningspolitiske prinsipper regionalt og globalt.
Sjøtransporten er internasjonal. Rammebetingelsene for havner og sjøtransport fastsettes derfor i stor grad utenfor Norges grenser.
Nærmere om organisasjonene
Fiskeriforvaltning, rådgiving og forskning
Forvaltninga av fiskebestandene i det nordlige Atlanterhavet er basert på internasjonalt samarbeid gjennom bilaterale og multilaterale avtaler og gjennom regionale fiskeriorganisasjoner. Det internasjonale råd for havforskning (ICES) gir fiskerimyndighetene vitenskapelige råd om det marine miljøet og om forvaltninga av fiskebestandene. Med utgangspunkt i denne rådgivinga drøftes årlige kvoter og reguleringstiltak for de ulike fiskebestandene med de aktuelle partene. ICES arbeider nå med tilpasninger slik at organisasjonen bedre kan gi råd basert på en økosystemtilnær ming.
Norge deltar aktivt i de to regionale fiskeriorganisasjonene i Nord-Atlanteren: Den nordvestatlantiske fiskeriorganisasjonen (NAFO) og Den nordøstatlantiske fiskerikommisjonen (NEAFC). Arbeidet omfatter blant annet oppfølging av prinsipper for kvotetildeling og spørsmål om kontroll og tvisteløsningsmekanismer. NEAFC spiller en aktiv rolle i reguleringa av bestandene utenfor nasjonal fiskerijurisdiksjon i det nordøstlige Atlanterhavet. NEAFC har de seinere år hatt stadig større betydning for utvikling av nye rammeverk for effektiv bekjempelse av ulovlig, urapportert og uregulert fiske (UUU-fiske) og for nytenking omkring økosystembasert forvaltning. NEAFC har nylig oppdatert konvensjonsteksten for å bringe den i samsvar med moderne havrett. NEAFC har også som den første regionale fiskeriforvaltningsorganisasjonen foretatt en evaluering med eksterne deltakere av hvordan NEAFC oppfyller sine mål og forpliktelser.
Norge har fått gjennomslag for et regime om havnestatskontroll som skal sikre kontroll med ressursuttaket i området. Regimet er implementert av NEAFC-landene med virkning fra 1. mai 2007. Alt dette har ført til behov for å bygge ut organisasjonens sekretariat for å kunne løse nye oppgaver. Et tilsvarende forslag er fremmet av Norge i NAFO.
NAFO fastsetter kvoter i internasjonalt farvann i området mellom Grønland, Canada og USA. NAFO-konvensjonen omfatter i prinsippet alle bestander i området unntatt laks, tunfisk, sverdfisk og hval. NAFO er et viktig forum, ikke minst fordi sentrale aktører som USA, Canada, EU og Japan, foruten Norge, er medlemmer. Det er vedtatt endringer i NAFO for å tilpasse organisasjonen til den siste utviklinga innen internasjonal havrett.
Norge tiltrådte i 2004 Den internasjonale konvensjon for bevaring av atlantisk tunfisk (ICCAT). Formålet med Norges deltakelse i ICCAT har vært å bidra til ei forvaltning som sikrer gjenoppbygging av makrellstørjebestanden i Det østlige Atlanterhav slik at bestanden igjen kan bli fiskbar i norske farvann. For å kunne delta i et framtidig makrellstørjefiske må Norge, i tråd med sine havrettslige forpliktelser, samarbeide med den relevante regionale fiskeriforvaltningsorganisasjonen, dvs. ICCAT.
Bestandssituasjonen for makrellstørje er imidlertid dramatisk og havforskerne mener det er stor fare for bestandskollaps. Norge ble for 2007 for første gang tildelt en nasjonal kvote på makrellstørje. Kvotene fastsettes for fire år av gangen, og ICCAT har vedtatt en gradvis nedtrappingsplan av fisket for perioden 2007–2011. Norge har vedtatt forbud mot å fiske makrellstørje. Forbudet vil bli revurdert dersom bestandssituasjonen bedres.
Den sørøstatlantiske fiskeriorganisasjon (SEAFO) ble etablert 20. april 2001. Norge ratifiserte konvensjonen 12. februar 2003. Organisasjonen skal ha ansvar for forvaltning av fiskeriressursene i området, både vandrende og stasjonære bestander, og er den første regionale fiskeriorganisasjon som ble etablert etter inngåelsen av FN-avtalen om fiske på det åpne hav.
Formålet til Den nordatlantiske sjøpattedyrkommisjonen (NAMMCO) er samarbeid om forskning, bevaring og forvaltning av sjøpattedyr. Det konkrete samarbeidet omfatter sel, små tannhvaler og hvalross og oppdatering av oversikter over bestandssituasjonen for diverse arter av sjøpattedyr i Nord-Atlanteren, medregnet de store bardehvalene. Det er en viktig del av organisasjonens arbeid å formidle informasjon om bærekraftig forvaltning av sjøpattedyr. NAMMCOs vitenskapskomité arbeider blant annet med å utvikle modeller for å kunne beregne økonomiske sider ved samspill mellom sjøpattedyr og fiskerier i Nord-Atlanteren. NAMMCO gjør også en betydelig innsats i arbeidet med å forbedre avlivningsmetodene for hval og sel.
Organisasjonen EUROFISH ble etablert i 2001 som arvtaker etter FAOs EASTFISH-prosjekt. Formålet er bistand til oppbygging og utvikling av egen fiskerisektor i sentral- og østeuropeiske lands. Oppgavene omfatter innsamling av markedsinformasjon og statistikk, teknisk bistand i form av kurs, assistanse i forbindelse med planlegging og gjennomføring av messer med mer. EUROFISH gjennomfører en rekke utredninger, og utgir publikasjoner om fiskerisektoren i de aktuelle land i tillegg til å produsere et fagtidsskrift.
Fiskeri- og kystdepartementet deltar også i andre internasjonale organisasjoner og fora som har betydning for norsk hav- og fiskeriforvaltning, der det ikke bevilges kontingent over Fiskeri- og kystdepartementets budsjett.
En organisasjon som har fått økende betydning for norsk fiskeri de siste årene er Konvensjonen for bevaring av levende marine ressurser i Antarktis (CCAMLR). CCAMLR forvalter fiskeriene i Sørishavet. Organisasjonen har særlig utfordringer som følge av enorme havområder, ugjestmilde forhold og økosystem som krever særskilt omtanke med sikte på bærekraftig forvaltning. Norge har meldt på fartøy for deltakelse i fisket etter krill i 2008. Norge deltok tidligere også med fartøy i fisket etter tannfisk, men har ikke meldt på fartøy i dette fisket i 2009.
I Den internasjonale hvalfangstkommisjonen (IWC) arbeider Norge med å få modernisert den modellen som benyttes for å beregne kvoter for hvalfangst (RMP). Norge vurderer fortløpende hvilket forum som er best egnet for å håndtere spørsmål om forvaltning av de store bardehvalene. Dette vil regjeringa komme tilbake til i ei stortingsmelding om sjøpattedyrpolitikk tidlig i 2009.
Andre organisasjoner der departementet deltar er Arktisk råd, Konvensjonen om beskyttelse av det marine miljøet i det nordøstlige Atlanterhavet (OSPAR), Nordisk fiskerisamarbeid, Nordatlantisk Fiskeriministerkonferanse (NAFMC), FNs matvareorganisasjon (FAO), Kommisjonen for bærekraftig utvikling (CSD), Konvensjonen om biologisk mangfold (CBD), Verdens naturvernunion (IUCN), Konvensjonen for handel med truede dyre- og plantearter (CITES), uformelle statspartsmøter og revisjonskonferanser for FN-avtalen om fiske på det åpne hav, FNs uformelle konsultasjoner om havspørsmål og havrett (ICP) og fiskeri- og havdebatten i FNs generalforsamling
Havner, farleier, navigasjon og beredskap
Norge er medlem av fire internasjonale organisasjoner innen kystforvaltning, og er med i styrer og arbeidsgrupper av særlig interesse for Norge.
De internasjonale navigasjonskongressene (PIANC) driver med utredninger og formidling av kunnskap om planlegging, utbygging og drift av havner, farleier og offshoreinstallasjoner.
Virksomheten i Den internasjonale havnevesenorganisasjonen (IAHP) er særlig rettet mot utvikling og effektivisering av havneorganisasjon, havneadministrasjon og sikkerhetsspørsmål i havnene.
Virksomheten til Den internasjonale fyrvesenorganisasjonen (IALA) er i hovedsak rettet mot utvikling og koordinering av utstyr, systemer og anbefalinger om presisjonsnivå for navigasjonsrettledning.
Bonn-avtalen er en internasjonal avtale mellom kyststatene rundt Nordsjøen og EU. Avtalen innebærer en forpliktelse om gjensidig assistanse og samarbeid mot forurensing, og bruk av miljøovervåking for å oppdage og bekjempe forurensing og hindre miljølovbrudd.
I tillegg deltar Fiskeri- og kystdepartementet og Kystverket i ulike komiteer i FNs sjøfartsorganisasjon IMO. Kontingenten for Norges medlemskap dekkes over Nærings- og handelsdepartementets budsjett.
Sjømatrygghet, kvalitet, fiskehelse og fiskevelferd
Norges medlemskap i de relevante organisasjonene på dette området dekkes over budsjettene til Utenriksdepartementet og Landbruks- og matdepartementet.
Internasjonalt regelverk innenfor disse områdene gir viktige rammebetingelser for de marine næringene. Norsk deltakelse er viktig fordi den internasjonale kunnskapen om sjømat er begrenset sammenlignet med kunnskapen om annen mat.
Norge er medlem av WTO/SPS-komiteen. Komiteen er det globale forumet for å løse handelskonflikter mellom medlemmer i WTO (Verdens handelsorganisasjon) som er begrunnet i mattrygghet eller forhold knyttet til dyrehelse/fiskehelse.
Norge er medlem i to internasjonale organisasjoner på det sanitære området. Codex Alimentarius er en internasjonal organisasjon for matvarestandarder, som er etablert i fellesskap mellom FAO og WHO (Verdens helseorganisasjon). OIE er en internasjonal dyrehelseorganisasjon. Begge organisasjonene er spesifikke referansepunkter under WTO/SPS-avtalen. Et land som følger retningslinjer og standarder utarbeidet av disse organisasjonene, kan ikke anklages for urettmessige handelshindringer. Retningslinjer utarbeidet i disse organisasjonene påvirker i stor grad EU-regelverket, og gir mer forutsigbare betingelser mht. markedsadgang for norsk sjømat til land også utenfor EØS-området.
Handelskonflikter knyttet til sjømat som er begrunnet i ulike lands kvalitetsregelverk, sorterer under WTO/TBT-komiteen, der Norge er medlem. Arbeidet i komiteen er blant annet viktig for å få etablert et grunnlag i WTO for å sammenligne om ulike lands mattilsynssystemer er likeverdige mht. effekt selv om de er bygget opp på ulike måter (ekvivalens).
Norge er medlem av Europarådet, og har signert og ratifisert Europarådets konvensjon om beskyttelse av produksjonsdyr. I regi av Europarådet utarbeides det nå tilrådinger om etiske standarder og forhold ved hold av ulike arter, blant annet oppdrettsfisk.
Fiskeri- og kystdepartementet deltar i embetsmannskomiteen for næringsmiddelspørsmål under Nordisk ministerråd. I denne komiteen legges blant annet grunnlaget for å fremme den felles nordiske modellen for mattrygghet og matkvalitet i ulike internasjonale fora.
Globale risikovurderinger mht. mattrygghet gjøres av ulike FN-organer. Joint FAO/WHO Committee on Food Additives (JECFA) utfører globale risikovurderinger av fremmedstoffer i mat. I regi av FAO og WHO arrangeres også ekspertkonsultasjoner ved behov for å ha grunnlag for å lage globale matvarestandarder.
Budsjettforslag 2009
Post 70 Tilskudd, kan overføres
Posten dekker medlemsavgifta til ulike internasjonale organisasjoner og kommisjoner som Norge deltar i.
Det fremmes forslag om å bevilge 8,97 mill. kroner på posten i 2009. Tabell 7.2 viser fordeling av forslag til bevilgning på den enkelte organisasjon.
Tabell 7.2 Oversikt over kontingenter til internasjonale organisasjoner i 2009 (i 1 000 kroner)
Organisasjon | Regnskap 2007 | Saldert budsjett 2008 | Forslag 2009 |
|---|---|---|---|
Det internasjonale råd for havforskning (ICES) | 1 675 | 1 800 | 2 000 |
Den nordøstatlantiske fiskerikommisjonen (NEAFC) | 3 764 | 3 800 | 3 100 |
Den nordvestatlantiske fiskeriorganisasjon (NAFO) | 219 | 430 | 430 |
Den nordvestatlantiske sjøpattedyrkommisjonen (NAMMCO) | 1 749 | 1 900 | 2 000 |
Den internasjonale kommisjonen for bevaring av atlantisk tunfisk (ICCAT) | 297 | 300 | 300 |
Den sørøstatlantiske fiskeriorganisasjon (SEAFO) | 276 | 350 | 350 |
EUROFISH | 426 | 445 | 490 |
De faste internasjonale navigasjonskongresser (PIANC) | 45 | 65 | 100 |
Den internasjonale havnevesenorganisasjon (IAHP) | 10 | 13 | 25 |
Den internasjonale fyrvesenorgansisasjon (IALA) | 185 | 100 | 150 |
Bonn-avtalen | 01 | 12 | 25 |
Sum kap. 1001 post 70 | 8 646 | 9 215 | 8 970 |
1 Kontingenten for 2007 ble betalt i 2006 og framgår dermed ikke av regnskapstallene for 2007. Det ble betalt 48 400 kroner i kontingent i 2007.
Programkategori 16.20 Forskning og innovasjon
Utgifter under programkategori 16.20 fordelt på kapitler
(i 1 000 kr) | |||||
|---|---|---|---|---|---|
Kap. | Betegnelse | Regnskap 2007 | Saldert budsjett 2008 | Forslag 2009 | Pst. endr. 08/09 |
1020 | Havforskningsinstituttet | 585 828 | 527 450 | 558 150 | 5,8 |
1021 | Drift av forskningsfartøyene | 176 243 | 170 750 | 176 050 | 3,1 |
1022 | NIFES | 108 213 | 135 100 | 132 900 | -1,6 |
1023 | Fiskeri-, havbruks- og transportrettet FoU | 450 612 | 415 690 | 460 800 | 10,9 |
2415 | Innovasjon Norge, fiskeri- og andre regionalpolitiske tiltak | 16 658 | 75 000 | 75 000 | 0,0 |
Sum kategori 16.20 | 1 337 554 | 1 323 990 | 1 402 900 | 6,0 |
Utgifter under programkategori 16.20 fordelt på postgrupper
(i 1 000 kr) | |||||
|---|---|---|---|---|---|
Post-gr. | Betegnelse | Regnskap 2007 | Saldert budsjett 2008 | Forslag 2009 | Pst. endr. 08/09 |
01-20 | Driftsutgifter | 430 533 | 430 400 | 459 800 | 6,8 |
21-23 | Andre driftsutgifter | 435 600 | 397 900 | 404 300 | 1,6 |
30-49 | Nybygg, anlegg | 4 151 | 5 000 | 3 000 | -40,0 |
50-59 | Overføringer til andre statsregnskap | 303 500 | 318 090 | 346 300 | 8,9 |
70-89 | Overføringer til private | 120 928 | 172 600 | 189 500 | 9,8 |
90-99 | Utlån, statsgjeld mv. | 42 842 | |||
Sum kategori 16.20 | 1 337 554 | 1 323 990 | 1 402 900 | 6,0 |
Innledning
Hovedmål: Norge skal ha en internasjonalt ledende posisjon innen marin forskning og innovasjon.
I Soria Moria-erklæringa står det at det skal satses bevisst på næringer der Norge har et fortrinn og stort verdiskapingspotensial. Dette gjelder også innen forskning. Marin forskning er ei av de tematiske prioriteringene i St.meld. nr. 20 (2004–2005) Vilje til forskning(forskningsmeldinga).
Fiskeri- og kystdepartementet arbeider med en ny strategi for departementets ansvarsområder innen forskning og utvikling. Det tas sikte på å ha strategien ferdig i løpet av høsten 2008.
Forskning er et virkemiddel for å nå de overordnede målene i fiskeri-, havbruks- og kystpolitikken. I hovedsak er forskningsinnsatsen knyttet til to hovedområder:
Forvaltningsrettet forskning: Forskning som skal danne grunnlag for vitenskapelig baserte råd til forvaltninga, for eksempel om kvotefastsetting, helse og velferd hos fisk i havbruk, bærekraftig havbruk og sjømattrygghet
Næringsrettet forskning: Forskning som skal danne grunnlag for næringsutvikling, for eksempel forskning for et eksisterende næringsliv eller forskning som skal legge grunnlag for framtidig næringsaktivitet og verdiskaping
Innenfor begge områdene trengs både grunnleggende og anvendt forskning. For å identifisere utfordringer og muligheter på områdene trengs det innsats fra og samarbeid mellom flere forskningsdisipliner, inkludert samfunns- og markedsøkonomi, jus og teknologi i tillegg til de biologiske og biomedisinske disiplinene.
I tillegg til bevilgninger over Fiskeri- og kystdepartementets budsjett bevilges det betydelige midler som kommer den marine og maritime sektoren til gode over andre departementers budsjett. Dette omfatter blant annet midler til forskning innenfor universitets- og høyskolesektoren over Kunnskapsdepartementets budsjett, og midler til næringsutvikling over Nærings- og handelsdepartementets budsjett.
Fiskeri- og kystdepartementet har hovedansvaret for datainnsamling, forskning og overvåkning som grunnlag for ei bærekraftig forvaltning av de levende marine ressursene. For å kunne realisere målene i Fiskeri- og kystdepartementets strategi må Norge være ledende i kunnskapsutvikling på sentrale områder innen ressursforvaltning, havmiljø, havklima og sjømat. Dette omfatter fiskeressurser, havmiljø, havbruksaktiviteter, miljøvirkninger av marin næringsaktivitet og kvalitetsaspekter ved fôr og sjømat.
I arbeidet med nyskaping i marin sektor legges det vekt på å bidra til at marine bedrifter kan posisjonere seg til å hente ut merverdier av sine produkter. I denne sammenheng står nettverkssamarbeid, markedsorientering og kompetanseheving sentralt.
Programkategorien omfatter omtale av:
Havforskningsinstituttet
Drift av forskningsfartøyene
NIFES (Nasjonalt institutt for ernærings- og sjømatforskning)
Tilskudd til Norges forskningsråd
Tilskudd til Veterinærinstituttet
Tilskudd til utviklingstiltak
Tilskudd til Nofima AS
Tilskudd til marin bioteknologi mv.
Innovasjon Norge
Forskning og innovasjon utgjør om lag 38 pst. av Fiskeri- og kystdepartementets totale budsjettramme.
Forskningsfinansiering
Mål og prioriteringer
Finansieringa av marin forskning skal bidra til hovedmålet om at Norge skal ha en internasjonalt ledende posisjon innen marin forskning og innovasjon.
En vesentlig del av Fiskeri- og kystdepartementets bevilgning til FoU går til forvaltningsrettet fiskeri- og havbruksforskning. Resultatene fra denne forskninga utgjør det viktigste kunnskapsgrunnlaget for forvaltninga av sektoren. Denne forskninga krever offentlig engasjement og finansiering for å sikre integritet, nasjonal og internasjonal troverdighet og legitimitet gjennom uavhengighet av særinteresser.
Fiskeri- og kystdepartementet finansierer også næringsrettet forskning som skal bidra til videre utvikling av de marine næringene.
Hovedprioriteringene for Fiskeri- og kystdepartementets bevilgninger til forskning og utvikling videreføres i 2009.
Innsatsen innen marin bioprospektering foreslås styrket med 10 mill. kroner i 2009. Midlene skal gå til tiltak innen regjeringas satsing på marin bioprospektering. Norge har komparative fortrinn innen marin bioprospektering. For å bidra til å utløse potensialet for næringsvirksomhet med basis i marine biologiske og genetiske ressurser er det nødvendig med styrket forskningsinnsats og kompetanseheving, og det må legges til rette for kommersialisering av forskningsresultater.
I 2008 ble det bevilget midler til forprosjektering av et isgående forskningsfartøy. Det foreslås en styrking på 3 mill. kroner for å dekke kostnader knyttet til prosjektering av et eventuelt nytt isgående forskningsfartøy i 2009.
MAREANO-prosjektet (Marin arealdatatbase for norske hav- og kystområder) foreslås styrket med 6,3 mill. kroner i 2009. Prosjektets mål er å legge grunnlag for forvaltning av biologisk mangfold og følsomme habitater, øke kunnskapen for å drive økosystembasert forvaltning av norske kyst- og havområder, og å fremme kunnskapsbasert, bærekraftig utnyttelse av ressursene.
Innsatsen innen overvåking og analyse av fremmedstoffer i sjømat ved Nasjonalt institutt for ernærings- og sjømatforskning foreslås styrket med 2 mill. kroner i 2009.
Nytt basisfinansieringssystem for forskningsinstituttene
Det innføres et nytt basisfinansieringssystem for instituttsektoren fra og med 2009. Det er redegjort nærmere for det nye systemet i Kunnskapsdepartementets budsjettproposisjon for 2009.
Det er lagt opp til fire fordelingsarenaer, jf. St. prp. nr. 1 (2008–2009) for Kunnskapsdepartementet. Fiskeri- og kystdepartementet og Landbruks- og matdepartementet er felles ansvarlige departement for grunnbevilgningene til primærnæringsarenaen, som inkluderer alle landbruksinstituttene; Bioforsk, Bygdeforskning, Norsk institutt for landbruksøkonomisk forskning (NILF), Norsk institutt for skog og landskap, Veterinærinstituttet (VI) og fiskeriinstituttene Nofima og SINTEF Fiskeri og havbruk. Havforskningsinstituttet og Nasjonalt institutt for ernærings- og sjømatforskning (NIFES), som driver forskning til støtte for forvaltninga, er foreløpig ikke inkludert i det nye systemet.
Regjeringa ønsker med dette å legge til rette for at forskninga ved instituttene har god kvalitet, at instituttene styrker den anvendte rollen og den internasjonale virksomheten og at instituttene samarbeider med norske universiteter og høyskoler.
Regjeringa foreslår å styrke bevilgningene til instituttene med 25 mill. kroner i 2009. Fiskeri- og kystdepartementets bevilgning til Norges forskningsråd foreslås styrket med 1,5 mill. kroner til forskningsinstituttene på primærnæringsarenaen. Sammen med en tilsvarende styrking av Landbruks- og matdepartementets bevilgning styrkes primærnæringsarenaen med til sammen 3 mill. kroner i 2009. Bare nye midler blir fordelt etter resultat i 2009. Fra 2010 vil deler av eksisterende grunnbevilgning bli omfordelt etter oppnådde resultat, og regjeringa tar sikte på en omfordeling på 10 pst. av grunnbevilgninga dette året. I forhold til primærnæringsarenaen er det særlig behov for å vurdere virkninger etter det første året, før endelig nivå på omfordeling av eksisterende grunnbevilgning fastsettes i budsjettet for 2010.
Styrkinga av den resultatbaserte grunnbevilgninga i 2009 vil være et positivt insentiv for instituttene til å omstille seg langs de linjer som regjeringa har trukket opp for den nye basisfinansieringa. Dette vil gi instituttene tid til å omstille seg slik at de er bedre forberedt på at også en mindre del av eksisterende rammer blir omfordelt i 2010.
Inntil 30 pst. av basisbevilgninga på fordelingsarenaen for primærnæringsinstituttene skal brukes til strategiske instituttbevilgninger for å ivareta langsiktig kompetanseheving og kunnskapsoppbygging ved instituttene på områder av spesiell interesse for sektoren.
Midler fra Fondet for forskningsavgift på landbruksprodukter og Fiskeri- og havbruksnæringens forskningsfond skal ikke inngå som en del av basisbevilgninga i det nye finansieringssystemet.
Basisbevilgninger til forskningsinstituttene er nærmere omtalt under kap. 1023, post 50 Norges forskningsråd.
Resultater 2007–2008
Fondet for forskning og nyskaping
I 1999 ble det opprettet et fond for forskning og nyskaping for å sikre en mer stabil og langsiktig offentlig finansiering av norsk forskning. Fondet brukes blant annet til å følge opp de strukturelle, tematiske og teknologiske prioriteringene i St. meld. nr. 20 (2004–2005) Vilje til forskning. Innenfor de tematiske prioriteringene gikk 20,3 mill. kroner til området Hav og 50,8 mill. kroner til området Mat i 2007.
Fondet for forskning og nyskaping er nærmere omtalt under kap. 1023 post 50 Norges forskningsråd.
SkatteFUNN
Etter at skattefradragsordninga SkatteFUNN ble aktiv fra andre halvdel av 2002, har marine prosjekter utgjort en viktig del av prosjektporteføljen. Innenfor sektoren marin/sjømat var det i 2007 489 aktive prosjekter fordelt på 376 bedrifter. De samlede utgiftene til disse prosjektene var knapt 1,3 mrd. kroner, og det er budsjettert med en samlet skattelette på 186 mill. kroner.
SkatteFUNN-ordninga har nylig blitt evaluert. Det er ikke foreslått endringer i ordninga i 2009.
SkatteFUNN er nærmere omtalt under kap. 1023 post 50 Norges forskningsråd.
Fiskeri- og havbruksnæringens forskningsfond
Fiskeri- og havbruksnæringens forskningsfond (FHF) ble opprettet 1. januar 2001. Målet med FHF er å styrke næringsfinansieringa av forskning og utvikling for å legge til rette for økt verdiskaping, miljøtilpasning, omstilling og nyskaping i fiskeri- og havbruksnæringa. Inntektene kommer fra en FoU-avgift på 0,3 pst. på eksporten av fisk og fiskevarer. Fondets inntekter fra avgiften er mellom 105 og 110 mill. kroner årlig. Fondet forvaltes av et styre med representanter fra næringa. Næringas behov skal ligge til grunn for prioriteringene. Fondets primæroppgave er å identifisere forsknings- og utviklingsoppgaver som næringa ønsker å få løst, og vurdere hvordan disse best kan løses. Norges forskningsråd og Innovasjon Norge er viktige samarbeidspartnere. Fondet ble evaluert i 2006. Evalueringa ble omtalt i St. prp. nr. 1 (2007–2008) Fiskeri- og kystdepartementet.
Fiskeri- og kystdepartementet samarbeider med Fiskeri- og havbruksnæringens forskningsfond, næringas organisasjoner og arbeidstakernes organisasjoner om oppfølginga av evalueringa. Som et ledd i denne oppfølginga vil det bli utarbeidet et mål- og resultatstyringssystem for fondets virkemidler og det vil bli etablert rutiner for igangsetting, gjennomføring og oppfølging av prosjekter slik at dette skjer innenfor rammer som er forutsigbare og som sikrer innsyn og habilitet i fondets virksomhet. Styrets rolle, sammensetning og funksjon vil også bli vurdert i tråd med problemstillinger som tas opp i evalueringa og innspillene fra høringsrunden. I dialog med FHF og næringas organisasjoner har departementet kommet til at det ikke er hensiktsmessig å endre styrets sammensetning eller funksjon, slik at styrets virksomhet fortsatt skal være basert på konsensus.
Det er i dag tett samarbeid mellom næringsorganisasjonene og FHF. Det legges vekt på at rolledelingen mellom fondet og næringsorganisasjonene klargjøres i den videre driften av fondet. I forbindelse med oppfølginga av evalueringa vil det også bli gjennomført tiltak for å sikre at FHFs virksomhet kan sees i tettere sammenheng med Forskningsrådets og Innovasjon Norges virksomhet.
Fiskeri- og kystdepartementet fastsetter forskrift og instruks for fondets virksomhet. Departementet vil vurdere behov for endringer i forskrift og instruks som følge av de tiltak som vedtas. Hermetikkavgifta og frivillig avgift til Sildolje- og sildemelindustriens forskningsinstitutt er ikke en del av FHF. Fiskeri- og kystdepartementet vil i forbindelse med oppfølginga av evalueringa ta initiativ til at disse innlemmes i FHF. Det legges ikke opp til at FHFs tilknytningsform endres.
Samarbeid mellom FHF og Nofima
Gjennom etableringa av Nofima fra 1. januar 2008 er størstedelen av næringsrettet marin forskning samlet i ett forskningskonsern. Det er bestemt at det skal etableres et strategisk samarbeid mellom FHF og Nofima, ved at en del av midlene fra Fiskeri- og havbruksnæringens forskningsfond skal brukes til å finansiere forskningsoppdrag i regi av Nofima. Dette innebærer at en del av fondsmidlene fra FHF kanaliseres til Nofima AS i form av langsiktige næringsrettede forskningsprosjekter. Hvert prosjekt bør ha en årlig økonomisk ramme på 3-5 mill. kroner. Midlene skal være med på å sikre langsiktig marin, næringsrettet og brukerstyrt forskning. Det er FHF selv på vegne av næringa som bestemmer hvilke langsiktige, næringsrettede forskningsprosjekt som skal finansieres med FHF-midler. Midler fra fondet skal ikke benyttes til grunnfinansiering av Nofima AS. FHF vil bidra til å utvikle Nofima til å bli en tjenlig FoU-leverandør for fiskeri- og havbruksnæringa. Det er et mål at FHF skal kjøpe FoU-tjenester fra Nofima for om lag 50 mill. kroner per år. Nærmere oppfølging skal skje gjennom en avtale mellom FHF og Nofima AS. Gjennom en slik avtale vil en større del av FHFs midler rettes mot større, brukerstyrte prosjekter som vil være målrettet mot næringas langsiktige utviklingsbehov, slik blant annet evalueringa av FHF tilrår.
Nøkkeltall for forskningsinstituttene
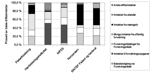
Tabell 7.3 Sammendrag av nøkkeltall for primærnæringsinstituttene 2007
Fiskeri-forskning | Havforskningsinstituttet | NIFES | Norconserv | SINTEF Fiskeri og havbruk | Veterinær-instituttet | ||
|---|---|---|---|---|---|---|---|
Personalressurser | Forskerårsverk1 | 84 | 232 | 53 | 16 | 71 | 136 |
Forskerårsverk i pst. av totalt antall årsverk2 | 58 | 43 | 40 | 68 | 83 | 42 | |
Ansatte med doktorgrad per forskerårsverk | 0,49 | 0,63 | 0,71 | 0,43 | 0,48 | 0,63 | |
Vitenskapelig publisering | Artikler i periodika/serier per forskerårsverk | 0,68 | 0,61 | 1,02 | 0,94 | 0,49 | 0,90 |
Rapporter (egne, eksternt og oppdragsgivere) per forskerårsverk | 0,92 | 1,47 | 0,36 | 0,50 | 0,90 | 0,57 | |
Internasjonal finansiering | Inntekter fra utlandet i mill. kroner | 8,5 | 21,1 | 7,1 | 0,6 | 12,8 | 3,9 |
Inntekter fra utlandet i pst. av totale driftsinntekter 3 | 5 | 3 | 7 | 2 | 13 | 1 | |
Finansiering fra EU per forskerårsverk i 1000 kroner 1) | 47 | 54 | 134 | 0 | 58 | 28 |
1 Årsverk utført av forskere og annet faglig personale.
2 Eksklusive 108 årsverk sjøfolk ved Havforskningsinstituttet.
3 Eksklusive finansinntekter og ekstraordinære inntekter.
Kilde: Norges forskningsråds årsrapport 2007. Forskningsinstituttene. Delrapport for primærnæringsinstituttene.
Internasjonalt forskningssamarbeid
Mål og prioriteringer
Internasjonalisering av norsk forskning er en hovedprioritet i regjeringas forskningspolitikk. Aktiv og målrettet satsing på internasjonalt forskningssamarbeid bidrar til å øke kvaliteten og redusere kostnadene ved forskning.
Norge har en ambisjon om å ha en internasjonalt ledende posisjon innen marin forskning og innovasjon.
Den vitenskapelige og teknologiske utviklinga og behovet for helhetstenking har økt kompleksiteten i problemstillinger næringa står overfor. Næringas konkurransekraft vil i framtida i stor grad være avhengig av kunnskapsmessige fortrinn.
Den største delen av internasjonalt marint FoU-samarbeid skjer gjennom deltakelse i EUs rammeprogram for forskning.
Det bilaterale samarbeidet med land i Nord-Amerika og Asia skal videreutvikles. Norge har inngått bilaterale forsknings- og teknologisamarbeidsavtaler med marin forskning som tema med USA, Japan og India.
I 2004 utarbeidet Utdannings- og forskningsdepartementet en strategi for norsk forsknings- og teknologisamarbeid med Nord-Amerika. Hovedmålet med strategien er å bidra til en langsiktig og forsterket opptrapping av FoU-samarbeidet med USA og Canada. Forskningssamarbeidet mellom Norge, USA og Canada innenfor havbruk videreføres.
Den viktigste plattformen for samarbeid om marin forskning i Nord-Atlanteren er Det internasjonale råd for havforskning (ICES) som med sine vitenskapskomiteer og mer enn hundre arbeids- og studiegrupper dekker hele spekteret av marin forskning.
Innen forvaltningsrettet marin forskning har Norge et mer enn 50-årig formalisert forskersamarbeid med Russland.
Det eksisterer også MoU-er (Memorandum of Understanding) med en rekke land der kunnskapsutveksling er en integrert del.
På institusjonsnivå er det direkte samarbeid med flere forskningsinstitusjoner i andre land.
Det internasjonale samarbeidet er nærmere omtalt under omtalen av kap.1023 post 50 Norges forskningsråd.
Resultater 2007–2008
EU er nå i gang med sitt 7. rammeprogram. Marine temaer har fått vesentlig plass i mange av satsingsområdene innenfor det 7. rammeprogrammet. Norske marine og maritime miljøer har lyktes godt i de første utlysningene i 7. rammeprogram.
Forskningssamarbeidet mellom Norge, USA og Canada innenfor havbruk har bidratt til etablering av samarbeidsplattformer og utveksling av forskere og studenter.
NIFES ble i 2007 nasjonalt kontaktpunkt for forskningssamarbeidet med Japan i tett samarbeid med Veterinærinstituttet og Forskningsrådet. Det ble arbeidet med å identifisere felles forskningstema innen sjømattrygghet.
Med basis i en norsk-indisk samarbeidsavtale har det vært arbeidet med indiske og norske miljøer for å etablere forskningsprosjekter innen fiske- og dyrevaksine. Det er nå bevilget midler til samarbeidsprosjekter både fra norsk og indisk side, og dette vil bidra til økt innsats innen fiskevaksineforskninga.
Forvaltningsrettet forskning
Mål og prioriteringer
Forskningsbasert kunnskap er et viktig grunnlag for forvaltningas arbeid. Fiskeri- og kystdepartementets prioriteringer innen den forvaltningsrettede forskninga er utformet i dialog med Fiskeridirektoratet og Mattilsynet, som er viktige brukere av forskningsresultatene innenfor departementets ansvarsområde.
Ressursforskning
Målet med ressursforskninga og overvåkinga av fisk, skalldyr og sjøpattedyr er å kunne fastslå tilstanden til de ulike bestandene med størst mulig sikkerhet, for på den måten å kunne gi råd som sikrer ei bærekraftig forvaltning. God kvalitet på fangstdata er en forutsetning for god presisjon i bestandsberegningene. Det er etablert en referanseflåte av fiskefartøyer for å bedre kvaliteten av fiskeridata fra flåten.
Ressursforskning og overvåking skal sikre et best mulig kunnskapsgrunnlag for bærekraftig høsting av de levende marine ressursene. Innsatsen på dette feltet utgjør et sentralt grunnlag for den nasjonale og internasjonale rådgivninga om utnyttelsen av fiskebestandene, som blant annet blir utformet gjennom samarbeidet i Det internasjonale råd for havforskning (ICES).
Det er nødvendig med kunnskap om økosystemenes virkemåte, hvordan komponentene i økosystemet gjensidig påvirker hverandre og hvordan miljøfaktorer, inkludert konsekvenser av klimaendringer, virker inn på de enkelte ledd. Økosystembasert forvaltning må utvikles i takt med økt kunnskap. Videre er det ei utfordring å få minst mulig uønskede virkninger av fisket på økosystemet. Det gjelder uønsket bifangst, utkast og skader på bunnhabitater. Dette krever blant annet at det utvikles mer selektive og skånsomme redskaper og fangstmetoder.
God ressursforskning er viktig for verdiskapinga i fiskerinæringa. Mangelfullt datagrunnlag kan føre til større usikkerhet i bestandsberegningene, som igjen fører til større sikkerhetsmarginer i kvoterådene. Det ulovlige, urapporterte og uregulerte fisket (UUU-fisket) bidrar i vesentlig grad til å øke usikkerheten i beregningsgrunnlaget.
Det legges stor vekt på dialog med aktører i fiskeri- og havbruksnæringa.
Forskning på økosystemet
Et godt kunnskapsgrunnlag om havmiljøet og fiskeri- og havbruksnæringas påvirkning på miljøet er blant annet viktig for å kunne vurdere miljø og næringsinteresser opp mot hverandre.
Målet for miljøforskning og miljøovervåking er å kunne fastslå livsbetingelsene og produksjonsforholdene for fisk og andre marine ressurser, og dokumentere havmiljøet og hvor reint havet er. En viktig del av innsatsen på området har vært å kunne ta i bruk miljødata, som for eksempel data om havklima og næringssalter, som en del av grunnlaget for bestandsberegningene. Videre er kartlegging og dokumentasjon av miljøtilstanden i kyst- og havområdene våre en viktig forutsetning for å kunne dokumentere at sjømaten er trygg.
Forvaltningsrettet havbruksforskning
Den forvaltningsrettede havbruksforskninga skal skaffe kunnskapsgrunnlag og gi forvaltningsråd for å sikre at produksjonen skjer på ei bærekraftig måte og innenfor akseptable rammer for areal- og ressursbruk, fiskehelse, fiskevelferd og miljøvirkninger. Forskninga omfatter også forskning på nye arter i oppdrett. Å bygge opp kunnskap er viktig for at myndighetene skal kunne utarbeide gode styringsredskap og regelverk, overvåkingsprogram og tiltak.
Miljø og bærekraft
Det er viktig å sikre en bærekraftig og miljømessig forsvarlig vekst i oppdrettsnæringa. Forholdet mellom havbruk og fjordøkologi får økende oppmerksomhet og betydning. Dette skaper behov for forskningsinnsats, særlig knyttet til problemstillinger som områders og lokaliteters bæreevne, virkninger av utslipp og årsaksforhold, økologisk og genetisk påvirkning fra rømt fisk og spredning av lakselus.
Fiskehelse
Det trengs målrettet grunnleggende forskning som kan bidra til forståelse av årsakssammenhenger og sykdomsutvikling ved infeksjoner og andre sykdomstilstander i havbruk og hos villfisk. Resultatene fra grunnforskninga legges til grunn for anvendt forskning på området. Målet er å øke kunnskapen om forhold som er av betydning for å forebygge, begrense og bekjempe sykdom i havbruk og hos villfisk.
Laksen har fortsatt en sentral plass i norsk havbruk, og en vesentlig del av forskninga innen fiskehelse må derfor fortsatt rettes mot laks og laksesykdommer. Økt satsing på marine arter i oppdrett, særlig torsk, forutsetter at det drives helseforskning også på disse artene. Det er også behov for mer kunnskap om smittemessige påvirkninger mellom oppdrettsfisk og ville bestander.
Fiskevelferd
Norge er en betydelig bidragsyter innen forskning på velferd hos oppdrettsfisk. Forskningsresultatene vil bli brukt som en del av grunnlaget for å utarbeide regelverk for fiskevelferd både nasjonalt og internasjonalt. Spesielt er det behov for operative velferdsindikatorer.
Forskning og overvåking knyttet til sjømattrygghet, helse og kvalitet
Det er et mål at Norge skal ha forskningsmiljøer som er internasjonalt ledende innen trygg og sunn sjømat.
Kvalitet, trygghet og helsevirkninger knyttet til å spise sjømat er viktige forskningsområder framover.
Det er et økende behov for vitenskapelig kunnskap for å sikre at det internasjonale regelverket er basert på risikovurderinger knyttet til kunnskap om fremmedstoffer, hygiene, miljøgifter, biotoksiner og parasitter. Det er også behov for å videreutvikle egnede analysemetoder for påvisning av patogener i sjømat i de ulike leddene i produksjonsprosessen. Det trengs forskningsbasert kunnskap for å avveie positive virkninger av å spise sjømat mot mulige negative virkninger, for eksempel av miljøgifter. Forskningsresultater på området vil brukes som grunnlag for forvaltning, rådgiving til forbrukerne og utforming av nasjonalt og internasjonalt regelverk.
Forskning skal bidra til å utvikle forvaltningsregimer og fangstredskaper som sikrer at råvaren så langt det er mulig beholder sin kvalitet. På den måten kan landsiden velge produksjons- og bearbeidingsmåte.
Godt utviklede sporingssystemer er et verktøy som på noe sikt vil kunne bidra til å sikre at fisken er lovlig fanget og bærekraftig forvaltet.
Forskning knyttet til havner og infrastruktur for sjøtransport
Forskninga på dette området er knyttet til kystforvaltningas ansvarsområde innen trafikkovervåking og navigasjonssikkerhet, redusert miljøbelastning og bedret flyt av gods i transportsystemet.
FoU knyttet til havner og infrastruktur for sjøtransport skal medvirke til et bedre beslutningsgrunnlag for tiltak i sektoren, og bidra til utvikling av teknologi, organisering og andre rammebetingelser.
Samfunnsforskning
Marin næringsaktivitet påvirker lokalsamfunn, samfunnsstruktur og fordeling av ressurser. Holdninga til marine næringer og marine produkter påvirker rammebetingelsene for marin sektor, markedsmuligheter og prisfastsettelse og rekruttering til sektoren. Tverrfaglig forskning som inkluderer samfunnsvitenskapelige og samfunnsøkonomiske problemstillinger kan bidra til å påvise samspillet mellom samfunn, verdiskaping og utvikling av marin sektor, slik at næringsutviklinga kan gå i ønsket retning.
Næringsrettet forskning og utvikling
Mål og prioriteringer
Næringsrettet havbruksforskning
Forskninga skal fremme økt verdiskaping og økt lønnsomhet gjennom optimalisering av produksjonen og utvikling av nye arter. Den næringsrettede havbruksforskninga skal skaffe kunnskapsgrunnlag for å sikre at det store verdiskapingspotensialet som ligger i havbruk utnyttes. Forskninga omfatter områder som produksjonsbiologi, produksjonsteknologi, fôrtilgang, fôr og ernæring, fiskehelse, bærekraft og oppdrettsmiljø.
Forskning for markedsretting og nyskaping i marin sektor
Investeringer i forskning og utvikling av kunnskapstunge produkter er viktig for næringas konkurranseevne. Forskningsbasert kompetanse som bygges inn i nye produkter og prosesser kan bidra til markedsfordeler og høyere avkastning på marine produkter.
Forskning for å fremme en kunnskapsdrevet næringsutvikling er primært bedriftens og næringas eget ansvar, men det offentlige har et ansvar for å legge til rette for forskning som utløser prosjekter som er lønnsomme for næring og samfunn. I særlig grad er det viktig at etablert næringsliv tar et større ansvar for å finansiere forskning og utvikling innenfor egen sektor. Tiltak for å stimulere næringslivet til å investere mer i forskning er sentralt. Viktig i den forbindelse er Forskningsrådets brukerstyrte virkemidler og SkatteFUNN-ordninga.
Nye næringer og nyetablerte bedrifter har ikke samme evne til å finansiere forskning som etablert næringsliv. Offentlig finansiering for å stimulere næringsutviklinga er derfor rettet spesielt mot nye og mindre bedrifter og nye næringer, som for eksempel utvikling av en ny art i oppdrett og marin bioteknologi.
For å bidra til økt nyskaping med utgangspunkt i forskning må det legges til rette for kommersialisering av forskningsresultater. For å lykkes kreves det ofte tett samarbeid mellom mange aktører. Mangel på langsiktig og tilstrekkelig risikovillig kapital er ofte et hinder for kommersialisering.
Fiskeri- og kystdepartementet satser på kommersialisering av forskning gjennom Programmet for forskningsbasert nyskaping (FORNY) i Norges forskningsråd. Det gis tilskudd til verifisering (markedstesting) av gode prosjekter. Målet med tiltaket er å få flere prosjekter fra idé- og utviklingsfasen til kommersialiseringsfasen for å fremme nytt næringsliv basert på forskningsresultater.
Marin innovasjon og regional næringsutvikling
Mål og prioriteringer
Myndighetene ønsker å legge til rette for økt avkastning i Norge av den samlede marine verdikjeden.
Konkurranseevnen i marin sektor er sterkt knyttet til næringas evne til innovasjon. Med innovasjon menes evnen til å utvikle og ta i bruk nye prosesser og produkter, utvikle mer konkurransedyktige forretningsformer med mer. Innovasjon krever målrettet innsats og samarbeid mellom et spekter av aktører innen FoU-miljø, virkemiddelapparat og næringsliv. Tilrettelegging for økt innovasjon krever godt samspill mellom marine bedrifter og med kunder/marked, leverandører og andre aktører.
I et kunnskapssamfunn er forskning et viktig grunnlag for å sikre nyskaping og vekst. Forskninga skal legge til rette for økt verdiskaping gjennom utvikling og innovasjon i hele verdikjeden fra ”fjord til bord”. Det er et mål at norske marine bedrifter skal øke sin FoU-innsats. Fiskeri- og kystdepartementet mener et tett samspill mellom Innovasjon Norge og Norges forskningsråd er viktig for å øke og integrere forskning i hele verdikjeden fra marked/forbruker- og distribusjonsleddet til primærproduksjon, medregnet økt samspill mellom marin- og landbruksbasert matproduksjon.
En sentral oppgave på dette feltet er å legge til rette for at verdien av råstoffet både fra fangst og havbruk kan utløse større verdier i sluttmarkedene, og at deler av denne merverdien kan tilfalle norske aktører i verdikjeden. For å oppnå dette vil det være viktig å bygge kunnskap om globale markeder og forbrukerønsker. Dette vil kunne fremme markedsdrevne innovasjoner i alle ledd av verdikjeden og bidra til at næringa tilpasser seg organisatorisk til internasjonale markeder. I tråd med disse målene har Fiskeri- og kystdepartementet opprettet et marint verdiskapingsprogram med Innovasjon Norge som operatør. For nærmere beskrivelse av programmet viser vi til omtalen av Innovasjon Norge under kap. 2415.
Regional næringsutvikling
Fylkeskommunene har en viktig rolle som regional aktør for utvikling. Gjennom forpliktende partnerskap med næringsliv, virkemiddelaktører, private organisasjoner og kommuner skal fylkeskommunene utarbeide premisser for å tilrettelegge for næringsutvikling og bruk av virkemidler i regionene. Partnerskapene, som ledes av fylkeskommunene, utarbeider handlingsplaner/regionale utviklingsplaner for bruk av midler til marin næringsutvikling i fylket.
Fiskeri- og kystdepartementet og Kommunal- og regionaldepartementet engasjerer seg i økt strategisk samarbeid med fylkeskommunene og i å styrke sammenhengen i den offentlige tilrettelegginga for marin nyskaping. I dette samarbeidet er det utarbeidet en samlet oversikt over og analyse av fylkeskommunenes planer og aktive engasjementer i marin sektor. Siktemålet er planmessig samarbeid, god arbeidsdeling og spesialisering mellom fylkene basert på regionale fortrinn. Målet er et felles strategisk utgangspunkt og felles målsettinger for det nasjonale og det regionale arbeidet for marin næringsutvikling med sikte på størst mulig samlet effekt.
Innovasjon Norge har betydelig fagkunnskap i marin sektor, og er en viktig samarbeidspartner for Fiskeri- og kystdepartementet. Det er svært viktig at Innovasjon Norge framstår som en attraktiv og aktiv medspiller i de regionale partnerskapene, og at det utvikles et godt samarbeid med fylkeskommunen. Innovasjon Norge har et særlig ansvar for å styrke sammenhengen mellom regionale og nasjonale strategier for marin næringsutvikling og fremme samarbeid mellom regionenes utviklingsarbeid på området.
Fiskeridirektoratet og Kystverket har viktige roller i å legge til rette rammevilkår for marint næringsliv. De har også betydelig fagkunnskap på flere områder som er avgjørende for vellykket marint utviklingsarbeid i fylkene. Desentraliseringen av ansvar og virkemidler stiller både Innovasjon Norge, Fiskeridirektoratet og Kystverket overfor nye utfordringer og krav til god samhandling.
Kompetanse og rekruttering
For videre næringsutvikling er det viktig at marin sektor framstår som attraktiv for kompetent arbeidskraft. Deler av fiskeri- og havbruksnæringa sliter i dag med å rekruttere kvalifisert arbeidskraft. Det gir grunn til bekymring at det gjennomgående er få søkere til utdanning rettet mot marin sektor.
Ei arbeidsgruppe opprettet av Fiskeri- og kystdepartementet kom i 2007 med forslag til rekrutteringsordninger for å få flere ungdommer inn i fiskerinæringa. Arbeidsgruppas rapport har vært på høring. Høringsrunden gav bred støtte til rapporten og understreket hvor viktig det er med bedre rekruttering. Departementet har fulgt opp forslagene fra både flertallet og mindretallet i rapporten i høringsnotat av 15. mai 2008 om rekruttering til fiskerinæringen – etablering som fartøyeier. Kartlegginga viser at det skjer en kontinuerlig og naturlig nyrekruttering på eiersiden i fiskerinæringa. I høringsnotatet er det likevel foreslått å tildele ti nye deltakeradganger per år i en treårsperiode, og tildeling av 30 etableringsstipender for perioden 2008-2009. Høringsfristen for disse forslagene ble satt til 29. august 2008. I tillegg har organisasjonene i næringa lagt fram ei vurdering av rekrutteringssituasjonen i marin sektor generelt. Departementet har fulgt opp dette ved å opprette et treårig prosjekt for økt rekruttering til marin sektor med en årlig ramme på 3,6 mill. kroner. Prosjektet forvaltes av Fiskeri- og havbruksnæringens forskningsfond (FHF) og det er opprettet to stillinger lokalisert i Norges Fiskarlags lokaler i Trondheim.
Kvinneandelen er gjennomgående lav i marin sektor. Det er viktig for den videre verdiskapinga at næringa i større grad tar i bruk kvinners kompetanse. Det ble satt ned ei arbeidsgruppe med representanter fra organisasjonene i næringa og fra forvaltninga for å utarbeide en handlingsplan for økt kvinneandel i marin sektor. Handlingsplanen ble sendt på høring i 2007. Arbeidet og handlingsplanen fikk bred støtte fra høringsinstansene. De la vekt på betydningen av at alle relevante aktører får eierskap til planen, og at næringa tar et ansvar for oppfølging. På bakgrunn av dette har Fiskeri- og kystdepartementet utarbeidet en egen strategi for likestilling. Det vises til nærmere omtale av dette i kapittel 9.1.
Regjeringa la fram ”Handlingsplan for meir entreprenørskap blant kvinner” i februar 2008. Målet er at flere kvinner blir entreprenører, og at de utgjør minst 40 pst. av nye entreprenører innen fem år. Totalt 12 tiltak er presentert i planen. Bakgrunnen for planen er at kvinner er underrepresentert blant entreprenører i Norge. Kvinner utgjør derfor et uutnyttet potensial som entreprenører. En større andel kvinnelige entreprenører vil gi økt mangfold og bidra til en bedre ressursbruk og ønsket omstilling, innovasjon, verdiskapning og arbeidsplasser i hele landet.
Fiskeri- og kystdepartementet deltok i Nærings- og handelsdepartementets arbeid med handlingsplanen. Fiskeri- og kystdepartementet har bedt Norges forskningsråd og Innovasjon Norge om å arbeide for økt mangfold og prioritere kvinner som målgruppe. Et tiltak i handlingsplanen er å styrke kommunene som førstelinjeaktør for lokalnæringsutvikling for å bistå til nyetableringer og ny virksomhet. Unge og kvinner er viktige målgrupper for denne innsatsen. Dette tiltaket finansieres av Kommunal- og regionaldepartementet i samarbeid med Landbruks- og matdepartementet og Fiskeri- og kystdepartementet.
Kap. 1020 Havforskningsinstituttet
(i 1 000 kr) | ||||
|---|---|---|---|---|
Post | Betegnelse | Regnskap 2007 | Saldert budsjett 2008 | Forslag 2009 |
01 | Driftsutgifter | 268 394 | 266 700 | 286 150 |
21 | Spesielle driftsutgifter | 317 434 | 260 750 | 272 000 |
Sum kap. 1020 | 585 828 | 527 450 | 558 150 |
Innledning
Havforskningsinstituttet er et rådgivende forskningsinstitutt med forvaltningsstøtteoppgaver. Instituttet rapporterer til et styre oppnevnt av Fiskeri- og kystdepartementet. Havforskningsinstituttet eier og driver også forskningsfartøy, jf. omtale under kap. 1021 Drift av forskningsfartøyene.
Havforskningsinstituttet har det nasjonale ansvaret for rådgiving knyttet til de marine økosystemene på kysten, i Barentshavet, Norskehavet, Nordsjøen og innen sentrale havbrukstema. Gjennom aktiv deltakelse i Det internasjonale råd for havforskning (ICES), bidrar instituttet til rådgiving om fiskebestander og marine økosystemer. Instituttet gir også råd etter bestilling fra myndighetene, eller når instituttet har frambrakt resultater som det mener forvaltninga bør kjenne til. Rådgivinga spiller en viktig rolle som grunnlag for fiskeri-, havbruk- og matforvaltningas beslutninger.
Instituttets arbeidsfelt omfatter både havmiljøet og hele den marine næringskjeden.
Havforskningsinstituttet har også en beredskapsrolle ved akutte hendelser, som for eksempel ved rømming av fisk fra havbruksanlegg, i forbindelse med oljeutslipp og ved algeblomstringer.
Følgende mål er sentrale for instituttets arbeid:
Vitenskapsbasert rådgiving for bærekraftig høsting av enkeltbestander gjennom økt bruk av økosysteminformasjon i beregning av bestander og forventet bestandsutvikling.
Forske på og dokumentere miljøtilstanden i fjordsystemene, på kysten og i havene, og gi råd om virkninger som følge av endret tilstand.
Skaffe kunnskapsgrunnlag og gi forvaltningsråd for å sikre at havbruksproduksjonen skjer på en bærekraftig og miljøvennlig måte.
Opprettholde og videreutvikle funksjonelle og miljøvennlige fartøyer, stasjoner, laboratorier og annen infrastruktur.
Bærekraftig høsting av de levende marine ressursene forutsetter vitenskapelige råd som er utarbeidet med grundig dokumentasjon om de enkelte bestandene og miljøet de lever i. Dette krever tverrfaglig innsats og systematisk vurdering av havklima, næringssaltfordeling som grunnlag for plante- og dyreplankton og hele den videre næringskjeden inklusiv sjøpattedyrene. Havforskningsinstituttets organisasjonsstruktur avspeiler dette. Forskning og rådgiving skjer i tverrfaglige programmer som henter kompetanse og ressurser fra faggrupper og avdelinger.
Havforskningsinstituttet er lokalisert i Bergen. I 2007 ble det utført 651 årsverk på instituttet, derav 232 årsverk i vitenskapelige stillinger. Dette er en økning fra 2006 på 28 årsverk, derav 14 vitenskapelige.
Havforskningsinstituttet har hovedkontor i Bergen, avdelinger i Tromsø og Flødevigen og forskningsstasjoner i Austevoll og Matre.
Halvparten av instituttets finansiering kommer fra Fiskeri- og kystdepartementet. Øvrig virksomhet finansieres av fangstinntekter, prosjekter gjennom Norges forskningsråd og EU og oppdrag fra NORAD og UD og andre kilder. Hovedtyngden av instituttets kostnader er knyttet til lønn og linjedrift. Linjedrift er indirekte driftsutgifter som ikke er direkte knyttet opp mot prosjekter, for eksempel husleie, strøm, telefon med mer. En betydelig del av instituttets kostnader er knyttet til drift av forskningsstasjoner og forskningsfartøyer.

Figur 7.1 Oversikt over Havforskningsinstituttets inntekter 2007 (Kap. 1020 og 1021)
Tabell 7.4 Oversikt over Havforskningsinstituttets virksomhetsregnskap 2007
Kostnadsbærerer (program) | Regnskap 2007 |
|---|---|
Forsknings- og rådgivingsprogram Barentshavet | 95 695 138 |
Forsknings- og rådgivingsprogram Norskehavet | 109 493 849 |
Forsknings- og rådgivingsprogram Nordsjøen | 30 841 228 |
Forsknings- og rådgivingsprogram kystsonen | 52 143 931 |
Forsknings- og rådgivingsprogram akvakultur | 77 492 822 |
Forskningsprogram klima – fisk | 38 027 893 |
Forskningsprogram olje – fisk | 15 455 358 |
Forskningsprogram økosystem og bestandsdynamikk | 91 707 390 |
Forskningsprogram biologiske mekanismer | 63 577 232 |
Forskningsprogram MARENO | 23 388 591 |
Fagsenter for utviklingssamarbeid | 76 147 054 |
Annen forvaltningsrettet forskning og utvikling | 14 055 575 |
Totalt | 688 026 059 |
Havforskningsinstituttet har et utstrakt internasjonalt samarbeid. Instituttets strategi for perioden 2006–2011 innebærer en ambisjon om å være internasjonalt ledende på sitt område. Det innebærer en pådriverrolle i internasjonale og regionale organisasjoner.
Arbeidet i Det internasjonale råd for havforskning (ICES) er spesielt viktig. Gjennom ICES gir instituttet vitenskapelig kvalitetssikrede råd som basis for kvotefastsetting med mer. Gjennom deltakelse i flere overnasjonale organer har instituttet i oppgave å bidra til utvikling av helhetlige strategier for langsiktig, optimal utnyttelse av havets ressurser. Instituttet har sentrale posisjoner i flere av organisasjonene.
Felles forvaltning av de marine ressursene i nord har resultert i et 50-årig samarbeid med russiske forskningsmiljøer, som videre danner hovedgrunnlaget for arbeidet i Den blandete norsk-russiske fiskerikommisjon og Den norsk-russiske miljøvernkommisjon.
Det formaliserte samarbeidet med Fiskeridirektoratet, Kystvakta og fiskeri- og havbruksnæringa er viktig for instituttets forskning og rådgiving.
Instituttet har i tillegg formaliserte samarbeidsavtaler med Norsk Polarinstitutt (NP), Veterinærinstituttet (VI), NINA, NIVA, Forsvarets forskningsinstitutt (FFI), Statens Kartverk, Oljedirektoratet, Mattilsynet, universitetene i Tromsø og Bergen, Møreforskning, SINTEF og NTNU. Instituttet leder Nasjonalkomiteen for polarforskning under Norges forskningsråd.
Polarområdene er sentrale i Havforskningsinstituttets forskning, og instituttet spiller en viktig rolle i regjeringas nordområdesatsing. Instituttet leder og har sekretariatsansvaret for Forvaltningsplan Barentshavets overvåkingsgruppe, som gir tilstandsstatus på alle nivåer i næringskjeden – fra planteplankton til isbjørn. Instituttet deltar også i risikogruppa og i faglig forum.
Tilsvarende er instituttet sentralt i utarbeidelse av Forvaltningsplan Norskehavet. Instituttet har levert miljø- og ressursbeskrivelsen, bidratt i formulering av indikatorer, referanseverdier og tiltaksgrenser for systematisk tilstandsovervåking, og vil ha hovedansvar for sårbarhetsanalysen. Gjennom arbeidet med Marin arealdatabase for norske hav- og kystområder (MAREANO) har instituttet utviklet samarbeidsflater gjennom konkret arbeidsdeling med Statens kartverk og Norges geologiske undersøkelse.
Samarbeidsprosjekter i regi av Det internasjonale polaråret (IPY) har gitt verdifull ny viten om tilstanden i Arktis og Antarktis.
Havforskningsinstituttet har veiledningsansvar og er arbeidsplass for om lag 50 universitetsstipendiater/masterstudenter. Sentralt i samarbeidet med Universitetet i Bergen står klimaforskninga og Havforskningsinstituttet deltar i Bjerknessamarbeidet.
Instituttet leder det interdepartementale arbeidet med et nytt isgående forskningsfartøy.
Mål og prioriteringer
Havforskningsinstituttets forsknings- og rådgivingsaktivitet er delt i fem forskningsområder:
Økosystemene.
Havbruk.
Klima, olje og miljø.
Langsiktig, grunnleggende forskning for å bedre forvaltningsrådgivinga.
Mareano.
Viktige innsatsområder for instituttet i 2009 er å legge til rette slik at Havforskningsinstituttets forskning imøtekommer kravene i den nye havressursloven. Det nye forvaltningsprinsippet stiller større krav til forvaltninga, og det kan være behov for større forskningsinnsats på blant annet lite utnyttede og uregulerte bestander. Det vil i 2009 bli arbeidet for å få til en ytterligere tilnærming til økosystemforvaltning og en videreføring av den økte innsatsen innen kyst- og fjordøkologi. Det vil også i 2009 bli lagt stor vekt på arbeidet med forvaltningsplanene. Innenfor havbruk vil instituttet prioritere omstilling av den havbruksrelaterte virksomheten i retning av forskning for å underbygge rådene til Fiskeri- og kystdepartementet, Fiskeridirektoratet og Mattilsynet. Det vil framover være et behov for å styrke den tradisjonelle havforskninga (overvåking, prøvetaking, aldersbestemmelse, bestandsvurdering, rådgiving) slik at den opprettholdes på et nødvendig nivå.
Mål og prioriteringer og resultater for hvert av innsatsområdene presenteres nedenfor. I boks 7.1 oppsummeres hovedprioriteringene for instituttet i 2009.
Boks 7.1 Hovedprioriteringer 2009 – Havforskningsinstituttet
Oppgaver som prioriteres i 2009:
Økosystemene:
Arbeide videre med å rendyrke rollen som forvaltningsforskningsinstitutt.
Utføre forskning og overvåking for å gi forvaltninga uavhengige, vitenskapelige råd om bærekraftig forvaltning av de viktigste levende marine ressursene og havmiljøet, basert på økosystemundersøkelser i havområdene for våre fiskerier.
Følge opp intensjonene i den nye havressursloven.
Øke innsatsen for å finne årsaker til rekrutteringssvikten hos mange fiskearter i Nordsjøen.
Følge utviklinga i bestanden av kolmule, makrell og norsk vårgytende sild, særskilt i Norskehavet.
Prioritere utvikling av metoder og prøvetakingsredskaper for kvantitative målinger av marine populasjoner og havmiljø, og utvikle modellverktøy for å kunne utnytte innsamlede data.
Øke forskningsinnsatsen innen fjord- og kystøkologi og utarbeide en helhetlig strategi for virksomheten i kystsona.
Havbruk:
Øke kunnskapsgrunnlaget om bæreevne og miljøpåvirkninger av havbruk på fjord- og kystøkologi, med særlig vekt på virkninger av rømming og genetiske interaksjoner mellom villfisk og oppdrettsfisk, lokalisering av havbruksanlegg, virkninger av utslipp og arealbruk, og tidlig fase av utvikling av nye arter i oppdrett.
Videreutvikle MOLO som et helhetlig system for regulering av miljøvirkninger og arealtilpasning for havbruk.
Studere virkninger av lakselus på vill fisk og overvåking av nasjonale laksefjorder.
Bygge opp kompetanse på fiskevelferd.
Klima, olje og miljø:
Følge opp arbeidet med forvaltningsplanen for Barentshavet og havområdene utenfor Lofoten og bidra til å utvikle forvaltningsplan for Norskehavet.
Arbeide med å videreutvikle et helhetlig marint overvåkingsprogram som løpende kan dokumentere status for norske marine økosystemer.
Arbeide med å utvikle fiskemetoder som er mer selektive og miljøvennlige enn dagens.
Langsiktig, grunnleggende forskning for å bedre forvaltningsrådgivinga:
Ivareta et utstrakt internasjonalt samarbeid.
Styrke metode- og modellforskninga.
Sikre og videreutvikle instituttets kjernekompetanse for å møte endrede krav.
Utvikle konsept for framtidig helhetlig overvåking, mengdemåling og rådgiving når det gjelder det marine miljø og de marine ressurser.
Mareano:
Fortsette arbeidet med kartlegging av bunnhabitater gjennom MAREANO-programmet, og prioritere områdene Lofoten og det sørlige Barentshavet.
Bevilgninga til MAREANO-programmet (Marin arealdatabase for norske hav- og kystområder) styrkes med 6,3 mill. kroner sammenliknet med budsjett for 2008. Samlet bevilgning til programmet i 2009 er dermed 51,5 mill. kroner.
Økosystemene
Mål og prioriteringer
Forskning og rådgiving om økosystemene er delt i fire programmer:
Barentshavet
Norskehavet
Nordsjøen
Kystsona
Hvert økosystem representerer særegne forvaltningsutfordringer.
Programmene skal:
Framskaffe kunnskap og gi råd innenfor alle områder som angår de levende marine ressurser og det marine miljø .
Møte nasjonale behov og bestillinger fra internasjonale fiskeri- og havmiljøkommisjoner som Norge deltar i.
Utvikle og beregne tilstandsindikatorer.
Overvåke miljøet, inkludert overvåking av radioaktivitet.
Gjøre dataene mer tilgjengelige for samfunnet gjennom linker til nettportal.
Den nye havressursloven og innføring av forvaltningsprinsippet innebærer en lovmessig forankring av økosystemperspektivet og dermed økt behov for forskning og datainnhenting. I tillegg til kvoteråd for enkeltbestander, innebærer økosystembasert rådgiving også overvåking av levende ressurser som ikke utnyttes og overvåking av byttedyr til viktige fiskebestander.
Som et resultat av Havforskningsinstituttets vel 100 års forskning, er de lange tidsseriene et aktivum som kunnskapsbase for forskning om klimautvikling, produksjonsgrunnlag, tallrikhet og prognoser for viktige fiskebestander.
Metodeutvikling for kvantitative målinger av marine populasjoner og miljø med akustiske og andre typer instrumenter, og å utvikle prøvetakingsredskapene, er vesentlig for å være i forskningsfronten. Tokt som gjør helhetlige undersøkelser synkront er viktige for å speile tilstanden i økosystemet. En referanseflåte av kommersielle fartøyer, som har kompetanse til å samle overvåkingsdata, skal opprettholdes som egnet metodikk for å kartlegge det biologiske mangfold.
Resultater 2007–2008
Havforskningsinstituttet sammenfatter status i økosystemene i de årlige rapportene Havets ressurser og miljø og Kyst og havbruk.
Økosysteminformasjon i bestandsberegninger og prognoser
Kjerneleveransen i programmene er vurderinger og prognoser for de enkelte fiskebestandene med gradvis innarbeiding av økosysteminformasjon i rådene. Rådene utarbeides i Det internasjonale råd for havforskning, ICES, på bakgrunn av nasjonalt innsamlede data og arbeidsdokumenter. Instituttet produserer i enkelte sammenhenger en vesentlig del av bakgrunnsdokumentasjonen som nyttes i ICES. Etter kvalitetssikring i ICES blir resultatene gjort operative i konkret rådgiving. Rådene fra ICES er helt grunnleggende for fiskeriforvaltninga både i internasjonale forhandlinger om kvoter og nasjonalt. Høstingsregler utarbeidet av Den blandete norsk-russiske fiskerikommisjon er evaluert av ICES, med metodeutvikling som resultat av evalueringa.
Fiskeressurser
I Nordsjøen er det er registrert lav rekruttering av nordsjøsild for femte år på rad. Det arbeides med å finne grunnen til at larver ikke klarer å overleve den første vinteren.
For kysttorsk nord for 62°N har ICES beregnet årsklassestyrken til å være på et faretruende lavt nivå. I samarbeid med russiske forskere og Norges fiskerihøgskole er det samlet inn prøver av torsk fra Kvitsjøen og norskekysten for å studere bestandsstruktur og rekrutteringsmekanismer. Materialet påviser tydelige forskjeller mellom skrei og kysttorsk, og mellom torsk fra ulike regioner.
Det vises til kapittel 4 for en omtale av status for fiskeressursene.
Biologisk mangfold
Å gi råd om vern av artsmangfoldet er en relativt ny oppgave. Instituttet har derfor styrket sin kompetanse på bunndyr. Referanseområder er definert for å vurdere eventuelle endringer i artssammensetninga. Havforskningsinstituttet vil innrette rådgivinga i samsvar med ny lovgivning på dette området.
I kystsona kartlegges det biologiske mangfoldet med vekt på ulike naturtyper. Det inkluderer marine naturtyper og gyte- og oppvekstområder. Kartlegginga viser at flere leveområder er truet. Store deler av tareskogen i Nord-Norge er nedbeitet av kråkeboller. Instituttet har spesielt prioritert å kartlegge forekomst av introduserte arter, inkludert utbredelsen av kongekrabbe. Instituttet leder en arbeidsgruppe i ICES med mål å forhindre introduksjon av nye arter via skipsfarten.
Havforskningsinstituttet har vært vertskap for en FAO-konsultasjon om reduksjon av bifangst av sjøfugl i fiskeriene.
Usikkerhet i fangststatistikken
UUU-fisket og problemer med utkast gir usikkerhet i prognosene for bestandene. Havforskningsinstituttet, Fiskeridirektoratet og Kystvakta har sammen levert en rapport om antatt urapportert fiske. Det russiske forskermiljøet har gitt verdifullt bidrag til arbeidet. Det vises til nærmere omtale av innsatsen mot UUU-fisket i programkategori 16.30 Fiskeri- og havbruksforvaltning.
Forskningssamarbeid med Russland
Det tette forskningssamarbeidet mellom Havforskningsinstituttet og det russiske havforskningsinstituttet PINRO i Murmansk er en styrke i forvaltning av felles bestander i Barentshavet. Overvåking og datautveksling er sentralt i arbeidet. I et prosjekt for å kartlegge bunndyr har instituttet tilgang til russiske langtidsserier som strekker seg tilbake til 1926. Det er avholdt en rekke fellesmøter, utarbeidet felles rapporter/publikasjoner og gjennomført felles tokt/undersøkelser. Havforskningsinstituttet og PINRO har utgitt en felles miljøstatusrapport om Barentshavet. Et symposium i Tromsø i august 2007 hvor hovedtemaet var 50 års forskersamarbeid og samproduksjon om bokutgivelse er eksempler på den tette dialogen mellom forskerne.
Havforskningsinstituttet og forskningsinstituttet VNIRO i Moskva formaliserte sitt samarbeid ved å inngå en samarbeidsavtale høsten 2007.
Klimaendringer
Overvåkinga av havklimaet i Barentshavet viser at årstemperaturen i 2006 var én grad over middeltemperaturen, med maksimum ved årsskiftet 2006/2007 på 1,5 grader over middeltemperaturen. Det var imidlertid en liten nedgang i temperaturen i området i 2007 sammenlignet med 2006.
Norskehavet er sentralt i forståelsen av flere klimarelaterte prosesser. Atlanterhavsvannet i Norskehavet har vært bemerkelsesverdig varmt og salt de siste seks årene. Innstrømminga av atlanterhavsvann var i 2007 normal, men temperaturen på dette vannet i det sørlige Norskehavet var 0,8 ºC over normalen og høyere enn noensinne siden målingene startet i 1977. I slutten av 2007 sank derimot temperaturen på atlanterhavsvannet til normalen.
I Nordsjøen var temperaturen tidlig i 2007 2–4 grader over normalen. I de hundre årene det har vært gjennomført systematiske temperaturmålinger i Nordsjøen har aldri temperaturene vært så høye før.
Produksjonsforhold
I Norskehavet er det registrert en nedgang i mengden dyreplankton de siste årene. 2007 viste et minimum for de siste ti årene. Det er ikke klart om denne nedgangen skyldes de store bestandene av planktonspisende fisk (sild, kolmule, makrell). I de senere årene er det sporadisk observert forekomster av mer sørlige planktonorganismer sør i Norskehavet. Dette kan skyldes høyere temperatur eller økt vanntransport sørfra. Forekomstene er fortsatt relativt sjeldne, men synes å øke i hyppighet, og utviklinga vil bli fulgt nøye i årene som kommer.
Dyreplankton i Barentshavet er avhengig av hva som skjer i Norskehavet. Mindre dyreplankton i Norskehavet fører også til mindre mengder dyreplankton i Barentshavet.
I Nordsjøen er rekrutteringssvikten i sildebestanden knyttet til endringer i dyreplanktonproduksjonen. Problemstillinger knyttet til rekrutteringsprosesser er en viktig del av det internasjonale forskersamarbeidet.
Sjøpattedyr
Det er gjennomført metodikkutvikling og rutinemessig oppdatering av rådgivingsgrunnlaget for økosystembasert forvaltning av ishavssel (grønlandssel og klappmyss) og hval (med særlig vekt på vågehval). Rådgivinga har vært basert på måling av tallrikhet, fortløpende undersøkelser av produksjonspotensial og bestandsstruktur og overvåking og tallfesting av artenes romlige fordeling, diett, konsum og betydning for økosystemene og de øvrige ressursene. Ishavssel er bestandstaksert, og resultatene presentert for NAMMCOs vitenskapskomité i juni 2008.
Interessante korallfunn
De siste årene er det først og fremst midtnorsk sokkel som er undersøkt, og det beskrives stadig nye kaldtvannskorallrev. Noen av disse dekker store arealer. Midtnorsk sokkel inneholder de største Lophelia-revkompleksene og den høyest kjente tettheten av slike korallrev. De fleste ligger på dyp mellom 200 og 350 meter. Revene er store, biologiske konstruksjoner som gjør dem til et egnet leveområde for mange organismer. Hittil er det foretatt få undersøkelser av det tilknyttede dyrelivet, men det er allerede funnet 614 arter på Lopheliarevene langs norskekysten. Instituttet har nå flere EU-prosjekter knyttet til korallrev.
Kystsona
Systematiske observasjoner fra deler av kysten går tilbake til 1920. I dag overvåkes kyst- og fjordområder fra svenskegrensa til grensa mot Russland. Kartlegginga gir innsikt i produksjonsforhold og mulige virkninger av klima og menneskelig aktivitet, og bidrar til å oppfylle mål som følge av oppgaver i forbindelse med EUs rammedirektiv for vann.
Miljøovervåkinga har dokumentert forandring i klimaforhold langs kysten. De nærmeste årene vil forskerne se spesielt på økologien i utvalgte områder, både i åpne fjorder som Porsangerfjorden og terskelfjorder som Hardangerfjorden.
Gjennom et EU-prosjekt blir det tilrettelagt kunnskap og metodikk for en helhetlig kystsoneforvaltning. Programmet har i perioden levert rapporter om marinøkologiske virkninger av vindmøller i sjøen og virkninger av mudring og dumping.
Forvaltningsplan for Norskehavet
Havforskningsinstituttet er sentral aktør i utarbeidelsen av Forvaltningsplan Norskehavet, og har, sammen med Direktoratet for naturforvaltning, levert en arealrapport med miljø- og ressursbeskrivelse for Norskehavet. Sammen med Statens forurensningstilsyn deles ansvaret om å utarbeide forslag til indikatorer, referanseverdier og tiltaksgrenser for et overvåkingssystem for tilstanden i økosystemet. Instituttet har hovedansvaret for å utarbeide sårbarhetsanalyse for økosystemet. Sluttrapport er ferdig første kvartal 2009.
Havbruk
Forsknings og rådgivingsprogram Havbruk
Mål og prioriteringer
Havforskningsinstituttets havbruksprogram vil sikre havbruksforvaltninga og matforvaltninga forskningsbasert kunnskapsstøtte for å bidra til at produksjonen i havbruksnæringa skjer på en bærekraftig, miljøvennlig og etisk forsvarlig måte.
Havbruksprogrammet er delt inn i fire prioriterte arbeidsområder:
Bæreevne – miljøvirkninger, økologiske effekter og lokalisering.
Fiskevelferd og –velferdsindikatorer.
Effekter og tiltak mot rømt fisk – genetiske og økologiske interaksjoner.
Sykdom og smittespredning.
Innenfor disse arbeidsområdene vil Havforskningsinstituttet legge vekt på å framskaffe kunnskap om økologiske virkninger av både havbruk (inkludert nye arter) og havbeite medregnet også lokalisering og geografisk struktur. I denne forbindelse er det av betydning å få mer kunnskap om den gjensidige interaksjonen mellom oppdrett, fiskeri og økosystemene. For å registrere miljøpåvirkning fra havbruk, vil Havforskningsinstituttet videreføre arbeidet med et GIS-basert verktøy (geografiske informasjonssystemer) for optimal lokalisering, og overvåkningsprogrammer og miljøstandarder for de viktigste miljøvirkningene (MOLO-prosjektet – et helhetlig system for regulering av miljøvirkninger og arealtilpasning for havbruk).
Havforskningsinstituttet er ansvarlig leverandør av forskningsbasert kunnskapsstøtte til matforvaltninga innen fiskevelferd. Arbeidet med å dokumentere hvilke indikatorer som kan brukes for å beskrive hva som er god velferd hos fisk og tifotkreps blir prioritet.
Rømming er en av havbruksnæringas største miljøutfordringer. Havforskningsinstituttet vil øke kunnskapsgrunnlaget om virkninger av rømt laks, ørret og torsk, medregnet kunnskap om virkninger av rømt fisk og genetisk påvirkning på ville populasjoner. Overvåking og evaluering av nasjonale laksefjorder inngår i dette.
Det er viktig at en kan identifisere hvor den rømte fisken kommer fra. Havforskningsinstituttet har tatt i bruk molekylærgenetiske metoder som er raskere, mer presise og mindre kostnadskrevende i arbeidet med å oppklare rømmingstilfeller, og vil få på plass tilstrekkelig beredskap for å bistå Fiskeridirektoratet i å oppklare rømminger. Tilsvarende teknologi vil også bli brukt i studier av virkningene av at torsk gyter i merd.
Det er Veterinærinstituttet som er ansvarlig leverandør av kunnskapsstøtte til matforvaltninga på området fiskesykdommer. Havforskningsinstituttet har kunnskap som vil supplere kunnskapen som utvikles på Veterinærinstituttet, særlig innenfor områdene lakselus, skjellsykdommer og smittespredning mellom viltlevende bestander og oppdrettsfisk. Dette arbeidet vil videreføres, særlig når det gjelder overvåking av lakselussituasjonen med tanke på evaluering av nasjonale laksefjorder.
Resultater 2007–2008
Bæreevne
Utvikling av standardisert metodikk for registrering av hvordan oppdrett virker på miljøet er kommet langt. En PC/internettbasert prototype for lokalisering av blåskjellanlegg er utviklet (MOLO), og vil utvides til andre arter. Det arbeides med å utarbeide katalog over strømforholdene for aktuelle havbruksområder. En risikoanalyse for norsk havbruk er under arbeid, jf. omtale av AKVARISK under kap. 1030 Fiskeridirektoratet. Innsatsen er økt i 2008, og hovedvekten av arbeidet blir utført høsten 2008.
Fiskevelferd og fiskehelse
Atferdsindikatorer er identifisert og validert for å vurdere og kvantifisere stressnivå hos fisk i oppdrett. Et klart atferdstegn på akutt stress er for eksempel at fisken står dypt i anlegget. Det er utviklet et automatisk videoanalyseprogram og et stort videomateriale analyseres.
Det er studert hvordan miljøkvalitet og miljøendringer påvirker fiskens atferd, beitemotivasjon, fysiologi, immunrespons og velferd. Det er under arbeid økofysiologisk modellering og modellering av velferd.
Det er oppnådd økt kunnskap om hvordan tidlig kjønnsmodning kan hindres ved hjelp av tilleggslys og om ryggradsdeformasjoner i torsk og laks.
Rømt fisk – genetiske og økologiske interaksjoner
Havforskningsinstituttet har dokumentert at sporing ved hjelp av DNA-markører i mange situasjoner er en egnet metode for å identifisere hvilke oppdrettsanlegg urapportert rømt laks kommer fra. Gjenfangster av voksen laks fra simulerte rømminger tyder så langt på at fisk som rømmer en til to måneder etter utsetting i merd har vel så bra overlevelse i havet som smolt som rømmer tidlig i livssyklusen. Dette samsvarer ikke med tidligere antakelser om at fisk som rømmer senere enn det som er et naturlig tidspunkt for utvandring har lavere overlevelse.
Ved bruk av genetisk merket oppdrettstorsk er det entydig vist at befruktede egg fra en merd med torsk vil spre seg ut i miljøet. Det viste seg at 25 til 35 pst. av alle torskelarvene i det studerte området stammet fra gytinga i merden, med spredning av egg og larver på et uventet stort geografisk område.
Havforskningsinstituttet har i oppgave å bidra i overvåking og evaluering av effekten av nasjonale laksefjorder og nasjonale laksevassdrag. To overvåkingsnivåer er valgt, en basisaktivitet i alle fjorder og referansefjorder, som grunnlag for å bygge tidsserier, og grundige mekanismestudier i utvalgte områder. Det vurderes om tiltaket gir villfisk beskyttelse mot lakselus, og i hvilken grad villaks beskyttes mot genflyt fra rømt oppdrettslaks.
Arbeidet med et DNA-register er samordnet med Fiskeridirektoratets undersøkelser av rømt laks i elv, og er ellers basert på innspill fra Direktoratet for naturforvaltning, NINA og Fiskeriforskning.
Havforskningsinstituttet har undersøkt DNA-profiler i ulike laksestammer fra elver med høy andel rømt laks. Tre av syv bestander viste endring i DNA-profil over tid. Uventet var der ingen endring i en elv der det var påvist mye rømt laks over lang tid. Siden det er vist at oppdrettslaksens gytesuksess er meget lav når tettheten av villaks er høy, kan forklaringa være at i elver som fremdeles har en god villaksbestand utkonkurreres oppdrettslaksen. Arbeidet med å komplettere utvalget omfatter nå 20 populasjoner.
Sykdom
Lakselus kan utgjøre et problem både for miljøet og for fiskens helse og velferd. Ved hjelp av en informasjonsbase kombineres observasjoner og eksperimenter med resultater fra numeriske modeller. Forsøk viser at det er mer lus på sjøørret enn på laksesmolt, trolig fordi sjøørreten oppholder seg lenger i fjorden. Foreløpige undersøkelser på vill ørret etter smoltstadiet (postsmolt) antyder at fisken med stor sannsynlighet vil dø når antallet lus overstiger ca. 10.
Overvåkning av lakselussituasjonen i Hardanger og Osterfjorden for perioden når vill laks etter smoltstadiet vandrer ut viste at nivået av lakselus var lavere i Osterfjordbassenget enn i Hardanger i 2007. Mønsteret for påslag i Hardanger hadde også forandret seg noe, og det fantes mer lakselus på målestasjonene ytterst i fjorden. Dette skyldes antagelig variasjoner i temperatur og saltholdighet mellom de ulike årene.
Klima, olje og miljø
Mål og prioriteringer
Klimaendringer og oljeutvinning er miljøutfordringer som aktualiserer behovet for intensivert kunnskapsoppbygging. Havforskningsinstituttet har derfor opprettet to forskningsprogram for å fylle kunnskapshullene og imøtekomme rådgivingsbehovet, forskningsprogram klima – fisk og forskningsprogram olje – fisk. Disse forskningsprogrammene skal gi kunnskapsstøtte til regjeringas nordområdesatsing, forvaltningsplanarbeidet, St.meld. nr. 34 (2006–2007) Norsk klimapolitikk og EUs rammedirektiv for vann.
Klimaendringene fører til økt temperatur og høyere havnivå. På kysten og i fjordene i Norge kan klimaendringene føre til hyppigere episoder med høye temperaturer, mer nedbør og endringer i ferskvannstilførselen fra elver, endringer i fjordstrømmene og kanskje mer vind. Forskning skal bidra til kunnskap for å kunne varsle endringer i klimaet, og å gi kunnskap om hva dette innebærer for produksjon, utbredelse og atferd hos marine organismer. Videre skal den bidra med kunnskap om forholdet mellom fisk og klima. Kunnskap som kan nyttes videre i andre programmers prosjekter som egnethetsvurdering for havbruk, spredning av smittestoffer, introduserte arter, forurensing, økosystemtilnærming, operasjonell rådgiving med mer.
Forskninga skal bidra til en klimahandlingsplan for fiskerisektoren.
Det er et mål å øke kunnskapen om virkninger på fisk og andre marine organismer av utslipp av olje, kjemikalier som nyttes i petroleumsindustrien og produsert vann, samt virkninger av seismiske undersøkelser. Havforskningsinstituttet skal bidra med kunnskap til bruk ved revisjon av forvaltningsplanen for Barentshavet og havområdene utenfor Lofoten, og bidra med data og kunnskap fra overvåking og forskning på radioaktivitet og andre miljøgifter i samarbeid med Nasjonalt institutt for ernærings- og sjømatforskning (NIFES) og Statens strålevern.
Resultater 2007–2008
Forskningsprogram klima – fisk
Det utføres løpende rådgiving, gis høringsuttalelser og gjøres utstrakt formidling av kunnskap til massemedia, næring og skoleverk.
Forskningsprogram olje – fisk
Forurensingsnivået i Nordsjøen, Norskehavet og Barentshavet overvåkes som en del av økosystemtoktene, og virkninger av oljeforurensning på fiskebestandene studeres i samarbeid med Universitetet i Oslo og ARCTOS-nettverket i Tromsø. Det tas prøver av vann og fisk for å finne miljøgifter og radioaktive stoffers nivå, transport og virkninger på de marine ressurser. Prøvene viser at nivåene er lave. Havforskningsinstituttet og NIFES koordinerer forurensingsovervåkinga i miljøet og i sjømaten. Det marine miljøet rundt Fedje ble overvåket etter ”Server”-forliset.
Studier av langtidsvirkninger hos torsk som er eksponert for alkylfenoler og/eller produksjonsvann bekrefter forsinket gonadeutvikling hos voksen hunn- og hannfisk. Resultatene er publisert i sju vitenskapelige artikler som del av et doktorgradsarbeid.
Det er i utstrakt grad gitt råd og uttalelser angående petroleumsvirksomheten.
I samarbeid med Forsvarets forskningsinstitutt arbeides det med å gjøre Sjøforsvaret i stand til å operere lavfrekvente sonarer på en miljømessig sikker måte.
Langsiktig grunnleggende forskning for å forbedre forvaltningsrådgivinga
Mål og prioriteringer
For å være i forskningsfronten på instituttets kjerneområder er det iverksatt to programmer som skal arbeide med langsiktige, grunnleggende problemstillinger. Kvalitetssikret ny viten vil fortløpende innarbeides i rådgivinga.
Forskningsprogram økosystem og bestandsdynamikk
Forskningsprogram biologiske mekanismer i marine økosystem og havbruk
Det er et mål å utvikle modeller både for å belyse påvirkninger mellom de forskjellige ernæringsmessige (trofiske nivåer), og for å synliggjøre graden av usikkerhet i beregningene. Rammebetingelsene for et økosystem legges av det fysiske miljø og den geografiske beliggenhet. Et økosystem beskrives gjerne som energioverføring mellom nivåer i næringskjeden. Samspillet mellom organismene danner grunnlaget for energistrømmen i næringskjeden. I havet resulterer dette samspillet i en pyramide med stor mengder biomasse (plankton) i bunnen og avtagende biomasse oppover i næringskjeden.
Utvikling av redskap og metoder som høster ressurser på en bærekraftig og miljøvennlig måte, tilpasset det enkelte økosystem, vil fortsatt være et viktig forskningsområde. Videre er det et mål å definere referanseområder for å kartlegge eventuelle endringer i artsmangfoldet.
Det blir lagt vekt på å finne gode parametre i populasjonsmodeller for fiskebestander. Dette inkluderer spesielt parametre knyttet til naturlig dødelighet, fiske, rekruttering og vekst. Stadige endringer i strukturen til økosystemene gjør at Havforskningsinstituttet kontinuerlig må ha oppdatert kunnskap om hvilke konsekvenser endringer i økosystemet har for de mest sentrale bestandene. Dette innebærer også å avdekke koblinger mellom bestandene og andre sentrale parametre i modellene. Instituttet prioriterer derfor å arbeide videre med å kvantifisere sammenhengene mellom bestander ved å videreutvikle flerbestandsmodeller som dekker hele vannsøylen (dybde og utbredelse). Det er også viktig å knytte disse modellene til produksjonen på de lavere trofiske nivåene (plankton) som legger premissene for økosystemets produksjon.
Det er viktig å ha hensiktsmessige verktøy og gode data innen økosystembasert rådgiving, og det er behov for å utvikle nye verktøy og metoder. Dette inkluderer å utvikle passende observasjonsstrategi, målemetodikk, modellering og formidling.
Det er særlig krevende å behandle data for hele vannsøylen, der datamengdene ofte er store og analysene tidkrevende. Det er viktig å hele tiden tilrettelegge innsamlede historiske data for å understøtte økosystembasert rådgiving og forvaltning. Ved å kartlegge torskens genom vil en kunne utvikle metodikk til å løse problemer knyttet til miljø, havbruk og fiskeri. Kunnskap om torskens genom kan bli viktig for forvaltninga av ville torskebestander, for påvirkninger mellom havbruk og villfisk, for å forstå påvirkninga fra fremmedstoffer og for å kunne kontrollere forhold som kjønnsmodning og sykdomsutvikling hos oppdrettsfisk. Kunnskap om genomet til lakselus kan gi grunnlag for utvikling av forebyggende tiltak gjennom vaksine og utvikling av nye medikamenter mot slike parasitter. Kunnskap om genomet i lakselus kan også benyttes for å forstå andre økologiske viktige krepsdyr, som for eksempel raudåte.
Resultater 2007–2008
Forskningsprogram økosystem og bestandsdynamikk
I metodearbeidene for en bedre økosystemforvaltning er det laget nye tidsserier av modellerte fysiske data for å forstå hva som skjer i prosessene rundt planktonproduksjon, fiskevandring, beiting, gyting og vekst.
Det er arbeidet med en rekke modeller som blant annet har som mål å vurdere forskjellige høstingsstrategier. Det er blant annet utviklet nye instrumenter for målinger, og det er utviklet metoder og statistisk verktøy for beregning av total usikkerhet i toktbaserte mengdemål på pelagisk fisk.
Forskningsprogram biologiske mekanismer i marine økosystem og akvakultur
Det er etablert en ny metode for å skille ulike populasjoner av torsk basert på enkeltmutasjoner i DNA, og det er etablert en database med genetiske profiler fra over 40 villakspopulasjoner. Dette er viktig for å kunne vurdere virkningene av rømt laks på villaks.
En rekke nøkkelgen som styrer kjønnsmodning hos torsk er identifisert, og der er laget en mikromatrise for torsk som vil være et viktig verktøy for å studere hvordan ulike miljøbetingelser virker på torsk. Det er vist at villtorsk i Norge er infisert med en ny undertype nodavirus med utbredelse fra Møre og sørover.
Detaljerte kart er laget over utbredelse av kysttorsk og skrei, blant annet basert på historiske gjenfangstdata fra ca. 80 000 individer.
Det er vist at torsk og kveite har god evne til læring, blant annet til å assosiere hendelser adskilt i tid og rom.
Det er påvist at lysforholdene er kritisk for normal utvikling av kveitelarver.
MAREANO
Mål og prioriteringer
Programmets kjerneaktivitet er prosjektet Marin arealdatabase for norske hav- og kystområder MAREANO, der Havforskningsinstituttet har den koordinerende ledelse. MAREANO utføres i samarbeid med Statens kartverk Sjø og Norges geologiske undersøkelser. Målet er å legge grunnlag for forvaltning av biologisk mangfold og følsomme habitater, øke kunnskapen for å drive økosystembasert forvaltning av norske kyst- og havområder, og å fremme kunnskapsbasert, bærekraftig utnyttelse av ressursene. Dette gjøres ved å kartlegge havbunnen og bunnorganismene, og utvikle en arealdatabase om havbunnens biologiske, fysiske og kjemiske miljø. Kartlegginga har hovedvekt på fordeling av naturresurser, biologisk mangfold, følsomme habitater, fiskerieffekter, sedimenttyper og organiske miljøgifter. MAREANOs kartleggingsfase I har som mål å dekke det sørlige Barentshavet inkludert Lofoten og Vesterålen innen utgangen av 2010. Prioriterte områder er Eggakanten, Tromsøflaket, Troms II og Nordland VII.
I 2009 vil MAREANO fortsette kartlegginga i de prioriterte områdene i Barentshavet. Kartklienten vil videreutvikles for å tilby ny funksjonalitet og tilgang til mer informasjon. I instituttets MAREANO-program inngår også annen havbunnvirksomhet.
Regjeringa foreslår å styrke MAREANO med 6,3 mill. kroner under Fiskeri- og kystdepartementets område i budsjettet for 2009. Det foreslås tilsvarende økte bevilgninger under Nærings- og handelsdepartementet og Miljøverndepartementet, slik at samlet økning i 2009 blir 18,9 mill. kroner.
Resultater 2007–2008
MAREANO har i 2007 kartlagt bunnforhold og biologisk mangfold på 14 000 km2 fordelt på Tromsøflaket og sektorene Troms II og Nordland VII i Barentshavet. Ny basiskartlegging av dybdeforhold er utført i 5 000 km2-området. Nye og unike marine områder ble dokumentert, blant annet den undersjøiske ravinen ”Bleiksdypet” og ”Hola” (område med 330 korallrev og gassoppkomme i Nordland VII).
Basert på kartlegging har MAREANO levert innspill til Faglig forum, overvåkingsgruppa for Forvaltningsplan Barentshavet og utviklinga av Nye norske naturtyper.
MAREANO har også levert forslag til Fiskeri- og kystdepartementet med kriterier for vern av korallrev og nye korallområder som bør vurderes vernet i Norskehavet og Barentshavet, og beskrevet sårbare bunndyrsamfunn til ”Arealrapport med miljø- og ressursbeskrivelse”.
Driftsansvaret for MAREANOs webportal ble overtatt av Havforskningsinstituttet i februar 2007. Den finnes nå i engelsk versjon. Tidligere innsamlede data ved Havforskningsinstituttet er nå tilrettelagt for presentasjon på MAREANO-web. Der er også utviklet en kartklient for presentasjon av geografisk informasjon. Klienten tilbyr ett grensesnitt med forhåndsdefinerte tema og ett grensesnitt med valgfrie tema. Informasjonen i de ulike temaene hentes fra de respektive data- og informasjonsleverandørene i prosjektet.
Det ble utført kartlegging med spesiell vekt på korall- og svampforekomster i det østlige Barentshavet. I 2008 legges det vekt på å ferdigstille sektorene Troms II og Nordland VII inkludert områder dypere enn 1 000 m i Barentshavet. Med uendret finansiering vil MAREANO kunne kartlegge 20 000 km2 i 2008.
Budsjettforslag 2009
Post 01 Driftsutgifter
Posten omfatter Havforskningsinstituttets bevilgninger til lønn og kjøp av varer og tjenester. Posten er delt i tre, der en del er avsatt til lønn og andre godtgjørelser, og en del til faste utgifter som husleie og drift og vedlikehold av bygg og anlegg og en del som blant annet går inn i finansieringen av forskningsprosjekter.
Regjeringa foreslår å styrke MAREANO med til sammen 18,9 mill. kroner i 2009, hvorav 6,3 mill. kroner over Havforskningsinstituttets budsjett. Bevilgninga skal gå til opptrapping av programmet i 2009.
Det fremmes forslag om å bevilge 286,15 mill. kroner på posten i 2009.
Post 21 Spesielle driftsutgifter
Posten omfatter bruttoførte utgifter i tilknytning til instituttets eksterne oppdragsprosjekter, og motsvares av tilsvarende oppdragsinntekter under kap. 4020 post 03 Oppdragsinntekter.
Det fremmes forslag om å bevilge 272 mill. kroner på posten i 2009.
Kap. 4020 Havforskningsinstituttet
(i 1 000 kr) | ||||
|---|---|---|---|---|
Post | Betegnelse | Regnskap 2007 | Saldert budsjett 2008 | Forslag 2009 |
03 | Oppdragsinntekter | 317 434 | 260 750 | 272 000 |
Sum kap. 4020 | 317 434 | 260 750 | 272 000 |
Budsjettforsalg 2009
Post 03 Oppdragsinntekter
Posten gjelder oppdragsinntekter der Havforskningsinstituttet tar på seg forsknings- og utviklingsoppgaver på prosjektbasis som en del av den samlede virksomhetsplanen for instituttet. Inntekten kommer blant annet fra Norges forskningsråd, NORAD, EU og Nordisk Ministerråd, ande departement, fond og private bedrifter.
Det fremmes forslag om å bevilge 272 mill. kroner på posten i 2009.
Kap. 1021 Drift av forskningsfartøyene
(i 1 000 kr) | ||||
|---|---|---|---|---|
Post | Betegnelse | Regnskap 2007 | Saldert budsjett 2008 | Forslag 2009 |
01 | Driftsutgifter | 113 516 | 113 600 | 119 050 |
21 | Spesielle driftsutgifter | 58 576 | 52 150 | 54 000 |
45 | Større utstyrsanskaffelser og vedlikehold , kan overføres | 4 151 | 5 000 | 3 000 |
Sum kap. 1021 | 176 243 | 170 750 | 176 050 |
Innledning
Kapitlet omfatter drift av Havforskningsinstituttets forskningsfartøyer "G.O. Sars", "Johan Hjort", "Håkon Mosby"og "G.M. Dannevig" og instituttets rederiavdeling. Kapitlet omfatter også leie av "Fangst" om lag 200 dager per år og ”Jan Mayen” 75 dager per år, bemanning og drift av "Dr. Fridtjof Nansen" som NORAD eier og finansierer og bemanning og drift av "Hans Brattström" som Universitetet i Bergen eier. Universitetet i Bergen og Havforskningsinstituttet har samarbeidsavtale om felles bruk og drift av forskningsfartøy og annet vitenskapelig utstyr og lager for vitenskapelig utstyr.
Forskninga er styrende for driften av forskningsfartøyene, jf. nærmere omtale under kap. 1020. Havforskningsfartøyene har høy utnyttelsesgrad med over 300 operative toktdøgn på hvert av de store fartøyene. Bruk av fartøyene samordnes gjennom årlig toktplanlegging slik at personell fra andre institusjoner kan delta på planlagte tokt. Forsknings- og leiefartøyene er årlig på havet i omlag 3 000 døgn til sammen.
Mål og prioriteringer
Forskningsfartøyene skal være plattform for forskning og overvåking av hav- og kystmiljøet, de biologiske ressursene i havet og sammenhengen mellom disse og studier av geologiske og biologiske forhold på havbunnen.
Delmål for driften av forskningsfartøyene:
Virksomheten skal være med på å legge grunnlaget for en langsiktig ressursforvaltning og en bærekraftig næringsutvikling.
Kapasiteten og utstyret på forskningsfartøyene skal utnyttes optimalt, og driften skal være best mulig koordinert og kostnadseffektiv.
Forskningsfartøyene skal gi et veltilpasset tilbud for å kunne gjennomføre Havforskningsinstituttets og Universitetet i Bergens virksomhet på sjøen.
Samarbeidet med andre institusjoner om nasjonal toktkomité og felles instrumentpool videreføres.
Samarbeidet med Universitetet i Tromsø om bruk av forskningsfartøyet "Jan Mayen” videreføres. Det er et mål å inngå ytterligere samdriftsavtaler.
I 2009 foreslås det å bevilge 3 mill. kroner for å dekke kostnader knyttet til videre prosjektering og kvalitetssikring av et eventuelt nytt isgående fartøy. For å unngå vesentlige kutt i dagens toktinivå som følge av blant annet økte bunkerskostnader foreslås det å øke bevilgninga til driften av forskningsfartøyene med 4 mill. kroner i 2009.
Resultater 2007–2008
Samarbeidet som ble etablert i 2005 ved opprettelsen av en nasjonal toktkomité og instrumentpool hvor de fleste eiere og brukere av forskningsfartøyer deltar er videreført i arbeidet med en nasjonal fornyelsesplan for forskningsfartøyer.
I St. meld. nr. 12 (2001–2002) Rent og rikt hav ble det varslet en utredning om hvordan samordning av drift for alle norske hav- og fiskeriforskningsfartøy kan gjennomføres. I oppfølginga av dette har ei arbeidsgruppe med deltakere fra Fiskeri- og kystdepartementet, Kunnskapsdepartementet og Miljøverndepartementet gjennomført en utredning av ulike modeller for samordning av drift av de norske forskningsfartøyene. Arbeidsgruppas konklusjoner er i hovedtrekk følgende:
Arbeidet med en felles toktkomité som en frivillig ordning med bred deltakelse og utvikling av toktsamarbeidet fortsetter.
Videre utvikling og drift av instrumentpoolen bør ivaretas i det samarbeidet som er etablert mellom institusjonene.
Organisering av forskningsfartøydriften bygger videre på dagens organisasjonsstruktur og det oppfordres til å forsterke samarbeidet knyttet til drift av fartøyene basert på frivillige avtaler.
Det oppfordres til at institusjonene i felleskap prioriterer nybygg og utskifting av forskningsfartøy.
Det synes mest realistisk at nybygging av forskningsfartøy finansieres med investeringsbevilgninger over statsbudsjettet etter dagens budsjettmodell.
Rapporten er sendt på høring, og de fleste høringsinstansene er positive til forslagene om samordning av drift som arbeidsgruppa foreslår. Med bakgrunn i dette vil Fiskeri- og kystdepartementet på det nåværende tidspunkt ikke gjøre endringer når det gjelder drift av norske forskningsfartøy.
I 2008 ble det bevilget 5 mill. kroner til forprosjektering av et isgående fartøy. Havforskningsinstituttet leder prosjekteringa.
Budsjettforslag 2009
Post 01 Driftsutgifter
Posten omfatter lønn og utgifter til ansatte på Havforskningsinstituttets rederiavdeling og overenskomstlønnet skipspersonell, og utgifter til drift og vedlikehold av Havforskningsinstituttets fartøyer. Vedlikeholdet som dekkes er ordinært vedlikehold for å holde fartøyene i tilnærmet samme stand som tidligere.
For å unngå vesentlige kutt i dagens toktnivå som følge av blant annet økte bunkerskostnader foreslås det å øke bevilgninga til driften av forskningsfartøyene med 4 mill. kroner i 2009. Nye beregninger av påløpte kostnader til NOx-avgift for Havforskningsinstituttet viser at dagens kompensasjon ligger om lag 4 mill. kroner høyere enn anslått behov. Bevilgningen er derfor foreslått redusert tilsvarende.
Det fremmes på denne bakgrunn forslag om å bevilge 119,05 mill. kroner på posten i 2009.
Post 21 Spesielle driftsutgifter
Bevilgninga er bruttoføring av forskningsoppdrag, og blir motsvart av inntekter under kap. 4021 post 01 Oppdragsinntekter. Utgiftene omfatter lønn og drift av ”Dr. Fridtjof Nansen” og Universitetet i Bergens andel av drift og lønn for ”G. O. Sars”, ”Håkon Mosby”, ”Hans Brattström” og annet utstyr som omfattes av samarbeidsavtalen mellom Havforskningsinstituttet og Universitetet i Bergen.
Det fremmes forslag om å bevilge 54 mill. kroner på posten i 2009.
Post 45 Nyanskaffelser og større vedlikehold
Det foreslås å styrke bevilgninga på posten med 3 mill. kroner for å dekke kostnader knyttet til videre prosjektering og kvalitetssikring av et eventuelt nytt isgående forskningsfartøy.
Det fremmes forslag om å bevilge 3 mill. kroner på posten i 2009.
Kap. 4021 Drift av forskningsfartøyene
(i 1 000 kr) | ||||
|---|---|---|---|---|
Post | Betegnelse | Regnskap 2007 | Saldert budsjett 2008 | Forslag 2009 |
01 | Oppdragsinntekter | 58 576 | 52 150 | 54 000 |
Sum kap. 4021 | 58 576 | 52 150 | 54 000 |
Post 01 Oppdragsinntekter
Posten motsvares av tilsvarende utgifter under kap. 1021 post 21 Spesielle driftsutgifter. Det fremmes forslag om å bevilge 54 mill. kroner på posten i 2009.
Kap. 1022 NIFES
(i 1 000 kr) | ||||
|---|---|---|---|---|
Post | Betegnelse | Regnskap 2007 | Saldert budsjett 2008 | Forslag 2009 |
01 | Driftsutgifter | 48 623 | 50 100 | 54 600 |
21 | Spesielle driftsutgifter | 59 590 | 85 000 | 78 300 |
Sum kap. 1022 | 108 213 | 135 100 | 132 900 |
NIFES er et forskningsinstitutt med forvaltningsstøtteoppgaver. De viktigste brukerne av instituttets resultater er forvaltninga og fiskeri- og havbruksnæringa. Instituttets direktør rapporterer til et styre oppnevnt av Fiskeri- og kystdepartementet.
Boks 7.2 Hovedprioriteringer NIFES
Forskninga knyttet til trygg og sunn sjømat blir avgjørende for å sikre de framtidige rammebetingelsene til norsk fiskeri- og havbruksnæring, og vil bidra til trygg og sunn sjømat for forbrukerne både nasjonalt og internasjonalt. Det er derfor særlig viktig at det dokumentasjonsarbeidet som ble startet i 2007, studiene av fremmedstoffer i villfisk, videreføres og etter hvert dekker alle kommersielt viktige arter. Forskning med sikte på bedre kunnskap om de helsemessige virkningene av å spise fisk og sjømat er også svært viktig, ikke minst for å øke sjømatkonsumet i befolkninga.

Figur 7.2 Finansieringskilder for NIFES i 2007
Tabell 7.5 NIFES' regnskap for 2007 og virksomhetsbudsjett for 2008
(i 1 000 kr) | ||
|---|---|---|
Forskningsprogram | Regnskap 2007 | Budsjett 2008 |
Sjømat og helse | 16 481 | 20 791 |
Trygg sjømat | 23 772 | 20 957 |
Havbruksernæring | 35 507 | 31 371 |
Overvåkning | 32 454 | 56 880 |
Sum | 108 214 | 130 000 |
NIFES vil bidra til å realisere Fiskeri- og kystdepartementets mål gjennom å
være norsk kunnskapsinstitusjon på kjerneområdene trygg og sunn sjømat i produksjonskjeden fra fjord til bord, inklusiv ernæring innen havbruk, og en av de ledende internasjonale kunnskapsinstitusjonene på området
drive forskning og kunnskapsoppbygging knyttet til kjerneområdene
yte forskningsbasert forvaltningsstøtte og rådgiving til Mattilsynet og departementet innen kjerneområdene
bidra til overvåkings- og kontrollprogrammer innen kjerneområdene
utvikle analysemetoder innen instituttets portefølje
være en troverdig og nøytral kunnskaps- og premissleverandør
formidle forskningsresultater gjennom internasjonale tidsskrift på høyt faglig nivå, populærvitenskapelige artikler og gjennom undervisning med videre
ha nødvendig uavhengighet, kapasitet, og kompetanse om risikofaktorer og ernæringsforhold knyttet til sjømat. Dette er viktig for å gjennomføre statens forbrukspolitikk på matområdet og statens forpliktelser i forhold til miljøinformasjonsloven.
Forskningsaktiviteten i NIFES er delt inn i fire programmer som omfatter forskning og dokumentasjon i spennet fra råvarer til virkninger på folks helse - trygg og sunn sjømat i et helkjedeperspektiv. De fire programmene er: Program for trygg sjømat, Program for sjømat og helse, Program for akvakulturernæring og Program for overvåking.
Mål og prioriteringer
Mattryggheten utfordres når det forekommer fremmedstoffer i sjømat. Kunnskap om hvordan disse uønskede stoffene påvirker helsa vår og hvilke samspill som oppstår med næringsstoffene i sjømaten er nødvendig for å utføre en solid og oppdatert risikoanalyse og rådgiving på dette området. Målet med Trygg sjømat-programmet er å sikre økt kunnskap om hvordan fremmedstoffer i sjømat påvirker mattryggheten, og å bidra til å sikre trygg produksjon av oppdrettsfisk. Det legges særlig vekt på fremmedstoffer og tilsetningsstoffer i fôr og fôrråstoffer som kan påvirke mattryggheten. Forskninga skal også gi kunnskap om hvilke nivåer av næringsstoffer i fôr som gir best fiskevelferd og vekst, og sikre oppdatert kunnskap om mikroorganismer og parasitter i sjømat som er sykdomsfremkallende hos mennesker eller reduserer kvaliteten. Denne kunnskapen danner grunnlaget for instituttets forvaltningsstøtte innenfor disse områdene.
Økt oppmerksomhet omkring miljøgifter og andre fremmedstoffer har ført til et behov for en balansert helserisikovurdering som tar hensyn til både positive og negative komponenter i sjømaten. Kunnskapen er en viktig del av det vitenskaplige grunnlaget for EUs arbeid med risikovurderinger og tilpasning av regelverket på sjømatområdet. Prioriterte forskningsområder i denne sammenheng er fremmedstoffene kvikksølv, bromerte flammehemmere og PCB (polyklorerte bifenyler) og disse stoffenes samspill med næringsstoffene selen og omega-3 i sjømaten.
Målet med program for sjømat og helse er å bidra til å dokumentere helsevirkninger ved inntak av sjømat, og framskaffe kunnskap om samspill mellom de helsefremmende og de uønskede stoffene. Dette er viktig kunnskap for å sikre at det er en balansert vurdering av sjømaten som danner grunnlaget for myndighetenes anbefalinger om sjømatinntak, både nasjonalt og internasjonalt.
NIFES vil særlig legge vekt på å dokumentere de samlede helsevirkningene av sjømat i kostholdet og om sjømat kan forebygge og hemme utviklinga av livsstilsykdommer. Instituttet vil studere samspill mellom marine omega-3-fettsyrer og kvikksølv, og hva sjømat betyr for å forebygge fedme, beinskjørhet og diabetes. NIFES vil også studere hvordan fisk og annen sjømat påvirker vår ernæringsstatus og mentale helse ved blant annet å undersøke hvilke virkninger inntak av fisk har på konsentrasjonsevne og impulskontroll. All forskning vil bli gjennomført i nært samarbeid med nasjonale og internasjonale forskningsmiljøer, helseforetak og næringsaktører.
I program for akvakulturernæring legges det vekt på å undersøke gode alternativer til de marine råstoffene fiskeolje og fiskemel. Alternative fôrråstoffer vil være nødvendig for sikre et framtidig bærekraftig oppdrett av torsk og laks. Plantebaserte råvarer har i økende grad blitt tatt i bruk i fôrproduksjonen. Målet med programmet er å se på problemstillinger knyttet til utviklinga av alternative fôrråvarer, inkludert genmodifiserte råvarer. Resultater fra forskninga er også viktig for nasjonale og internasjonale myndigheter når regelverket utformes. Andelen planteråstoff som blandes inn i fiskefôr øker stadig uten at konsekvensene for fiskehelsa er kartlagt. Ett sentralt forskningsområde i programmet er studier av hvordan protein og fett virker inn på hverandre i fiskekroppen, og hvordan genmodifiserte proteinråvarer virker inn på fisken. Feilutvikling hos marine torskelarver i havbruk er et problem, og det prioriteres videre arbeid med stamceller for å finne mekanismer som påvirker fiskens utvikling.
For at norske sjømatprodukter skal styrke og befeste sitt renommé som trygg og av god kvalitet, må Norge kunne vise til et dokumentasjonsnivå for fremmedstoffer som er tilfredsstillende for alle relevante formål. Målet med programmet for dokumentasjon og overvåkning er å etablere sikre og nøytrale langtidsserier av data om fremmedstoffer i fisk og annen sjømat, og å etablere troverdige bakgrunnsverdier for fremmedstoffer i viktige arter av fisk og sjømat for å kunne dokumentere trygg sjømat og gi råd om overvåkingsstrategier.
I 2008–2009 skal det undersøkes bakgrunnsverdier for makrell og blåkveite. Analyseresultater fra prøver av atlantisk torskelever og atlantisk kveite viser at nivået av dioksiner og dioksinliknende PCB er høyt. Dette er et problem. Overvåking i Barentshavet og havområdene utenfor Lofoten prioriteres i tråd med St.meld. nr. 8 (2005–2006) Helhetlig forvaltning av det marine miljø i Barentshavet og havområdene utenfor Lofoten. NIFES prioriterer også arbeid med utvikling av forvaltningsplan for Norskehavet.
Resultater 2007–2008
Trygg sjømat
NIFES har blant annet studert hvordan kvikksølv og andre tungmetaller påvirker helsa vår og dermed mattryggheten. I samarbeid med Kings College London er det gjort en pilotstudie hvor forskerne har sammenlignet og studert de negative virkningene av kvikksølv på adferd hos avkom til hunnmus som hadde fått kvikksølv gjennom foret. I det videre arbeidet skal forsøkene sammenliknes med dataene fra tilsvarende forsøk hvor musene har fått den marine omega-3 fettsyren DHA i tillegg til kvikksølv.
Fravær av sykdomsframkallende bakterier og parasitter er en forutsetning for at sjømaten skal være trygg å spise. Listeria monocytogenes kan gi alvorlig sykdom og også dødsfall hos mennesker med redusert immunforsvar. NIFES har i samarbeid med Nasjonalt folkehelseinstitutt i Oslo tatt i bruk en ny teknikk hvor det lages en DNA profil for 220 stammer av L. monocytogenes. Disse profilene kan brukes i arbeidet med å kartlegge smitteveier ved å sammenligne stammer av L. monocytogenes fra ulike kilder.
Blåskjell skal være trygge å spise, og økt kunnskap om hvordan de tar opp og kvitter seg med algegifter er viktig for at matmyndighetene skal kunne gi korrekt råd om det er trygt å spise skjell. NIFES har i samarbeid med flere andre forskningsinstitutt funnet at utskillelseshastigheten av diaréframkallende giftstoffer i ett og to år gamle blåskjell ikke påvirkes av skjellenes alder og størrelse. For å finne mekanismen bak utskillelsen arbeides det ved NIFES med å lokalisere hvor i skjellet disse giftstoffene lagres.
Sjømat og helse
Overvekt er et økende helseproblem i den vestlige verden, og et kosthold med mye fett øker risikoen for utvikling av overvekt. Ved NIFES er det gjort et forsøk som viser at rotter som fikk delvis nedbrutte (hydrolyserte) fiskeproteiner fra laks i fôret utviklet merkbart mindre fettvev enn rotter som fikk protein fra melk og ost (kasein) i fôret. Forskerne skal nå undersøke om også fett i muskel og lever blir redusert ved inntak av hydrolyserte fiskeproteiner.
Handlingsplanen for et bedre kosthold i befolkninga (2007–2011) konkluderer blant annet med at sjømatkonsumet blant nordmenn er lavere enn ønskelig, og at barn spiser mindre fisk enn voksne. NIFES er faglig ansvarlig på ernæringssiden for tiltaket Fiskesprell, som ønsker å øke oppmerksomheten om sjømat blant barn og unge.
Enkelte studier har vist at sjømat har en positiv virkning på mental helse. Den marine fettsyren DHA er viktig for at hjernen skal utvikles optimalt og for god hjerneaktivitet, og mangel på denne ser ut til å henge sammen med risikoen for flere typer mentale lidelser og adferdsproblemer. NIFES har i samarbeid med andre forskere gjennomført to ulike pilotforsøk hvor deltakerne jevnlig fikk fet fisk i kosten. De foreløpige resultatene er lovende, men det er nødvendig å gjøre større studier for å kunne gi en vitenskapelig basert konklusjon på hvordan sjømaten påvirker kognitive funksjoner, læring og adferd.
Havbruksernæring
På grunn av utviklinga i oppdrettsnæringa er det viktig å finne bærekraftige fôrråvarer. I et langvarig fôringsforsøk hvor laksen fikk enten plantebasert eller marint basert fôr viste resultatet at innholdet av marine omega-3 fettsyrer var lavere i filéten fra den plantefôrede laksen enn filéten fra den marint fôrede laksen. Laks fôret med planteråstoffer er imidlertid fremdeles en god kilde til de sunne marine omega-3 fettsyrene.
Soya og mais er aktuelle plantebaserte alternative råvarer i fôr til fisk. En stor del av disse er genmodifiserte (GM), og en vet lite om hvordan GM-råvarer i fôret påvirker fisken. NIFES har utført flere studier for å få mer kunnskap om virkningen av GM-råvarer på fisk.
Dagens regelverk i EØS for innhold av fluor i fôr har begrenset bruken av krill i fôr til fisk. Forskere ved NIFES har imidlertid vist at laks, torsk og kveite ikke lagrer fluor i fileten når de får fôr tilsatt krillmel med et fluorinnhold som er flere ganger høyere enn EUs grenseverdi. På bakgrunn av forsøkene gjort ved NIFES og andre forskningsarbeider har EU-kommisjonen nå vedtatt å øke grenseverdien for fluor i fôr fra 150 mg/kg til 350 mg/kg.
Dokumentasjon og overvåkning
Siden 1994 har NIFES hvert år tatt stikkprøver av innholdet av fremmedstoffer og næringsstoffer i fisk og annen sjømat fanget i Atlanterhavet, Norskehavet og Nordsjøen. I 2007 ble det samlet inn prøver av rødspette, uer, reker og pigghå fra Atlanterhavet, Nordsjøen, Norskehavet og Skagerrak. For å sikre åpenhet om resultatene, legger NIFES dem ut på sin internett-side. Våren 2007 startet NIFES en omfattende kartlegging av fremmedstoff i NVG-sild. Dette er en del av et større prosjekt som har som mål å etablere bakgrunnsverdier av fremmedstoff i de viktigste kommersielle fiskeartene i Norge. Et solid datagrunnlag er en forutsetning for å kunne gjennomføre velfunderte risikoanalyser og få på plass en forsvarlig overvåkning av norsk sjømat. NVG-sild er den første arten som det etableres bakgrunnsverdier for. Resultatene så langt viser at det er forholdsvis lave konsentrasjoner av fremmedstoffer i NVG-sild.
Ved NIFES har de analysert innholdet av dioksiner og dioksinliknende PCB i prøver fra torskelever hentet i Barentshavet. Resultatene er brukt i Mattilsynets arbeid med å sette grenseverdier for dioksiner/PCB i EU. Norges bidrag var sentralt i EUs arbeid med fastsettelse av grenseverdi for fiskelever.
NIFES skal sammen med Mattilsynet medvirke faglig i arbeidet med analyser av kamskjell fra Norge og konkurrerende eksportland. Undersøkelser fra 2007 viser at innholdet av bly i kamskjell lå godt under EUs grenseverdi, mens innmat fra kamskjell inneholdt kadmium over EUs grenseverdi. Muskel og gonader, de delene vi vanligvis spiser i Norge, hadde et lavt innhold av kadmium og er trygge å spise.
Av hensyn til mattryggheten har NIFES siden 2004 overvåket innholdet av kvikksølv i blant annet torsk, krabbe, brosme og lange fra området rundt den tyske utbåten U-864.
NIFES har også utviklet en metode for å bestemme innholdet i fisk og sjømat av ”nye” miljøgifter, de såkalte perfluoralkylstoffer. Disse finnes blant annet i teflonprodukter, impregnerings- og smøremidler. NIFES har også sett på virkningen på fisk og sjømat av bromerte flammehemmere som brukes i isolasjonsmateriale, plastkomponenter og tekstiler.
Budsjettforslag for 2009
Post 01 Driftsutgifter
Bevilgninga på denne posten dekker lønns- og driftsutgiftene ved Nasjonalt institutt for ernærings- og sjømatforskning (NIFES). Det foreslås å styrke bevilgninga til NIFES med 2 mill. kroner i 2009 for å øke innsatsen knyttet til fremmestoffer i sjømat.
Det fremmes forslag om å bevilge 54,6 mill. kroner på posten i 2009.
Post 21 Spesielle driftsutgifter
Midler over denne posten skal dekke driftsutgifter tilknyttet oppdragsvirksomheten til NIFES og motsvares av tilsvarende inntekter under kap. 4022 post 01 Oppdragsinntekter.
Det fremmes forslag om å bevilge 78,3 mill. kroner på posten i 2009.
Kap. 4022 NIFES
(i 1 000 kr) | ||||
|---|---|---|---|---|
Post | Betegnelse | Regnskap 2007 | Saldert budsjett 2008 | Forslag 2009 |
01 | Oppdragsinntekter | 58 592 | 85 000 | 78 300 |
02 | Laboratorieinntekter | 278 | 730 | 762 |
Sum kap. 4022 | 58 870 | 85 730 | 79 062 |
Post 01 Oppdragsinntekter
Inntektene under denne posten knytter seg til oppdragsvirksomheten til NIFES, blant annet oppdrag som er finansiert av andre enn Fiskeri- og kystdepartementet. Det fremmes forslag om å bevilge 78,3 mill. kroner på posten i 2009.
Post 02 Laboratorieinntekter
Inntektene under denne posten knytter seg til analyseoppdrag utført av laboratoriet til NIFES. Analyseoppdrag instituttet utfører for Mattilsynes dekkes av Mattilsynets bevilgning. Det fremmes forslag om å bevilge 762 000 kroner på posten i 2009.
Kap. 1023 Fiskeri-, havbruks- og transportrettet FoU
(i 1 000 kr) | ||||
|---|---|---|---|---|
Post | Betegnelse | Regnskap 2007 | Saldert budsjett 2008 | Forslag 2009 |
50 | Tilskudd Norges forskningsråd , kan overføres | 270 100 | 281 700 | 308 400 |
51 | Tilskudd Veterinærinstituttet | 33 400 | 36 390 | 37 900 |
70 | Tilskudd Fiskeriforskning , kan overføres | 58 100 | ||
71 | Tilskudd til utviklingstiltak , kan overføres | 27 472 | 22 500 | 23 300 |
72 | Tilskudd Nofima , kan overføres | 5 000 | 60 600 | 66 200 |
73 | Tilskudd til egenkapital Nofima | 13 698 | ||
74 | Tilskudd marin bioteknologi mv. , kan overføres | 14 500 | 25 000 | |
91 | Lån til Nofima | 42 842 | ||
Sum kap. 1023 | 450 612 | 415 690 | 460 800 |
Norges forskningsråd (jf. post 50)
Mål og prioriteringer
Norges forskningsråds satsing på marin FoU har som hovedmål å framskaffe kunnskap for å utløse potensialet for økt verdiskaping fra marine ressurser. Målet er at Norge skal være i kunnskapsfronten innenfor marin FoU, og gjennom dette utvikle en nyskapende, lønnsom, bærekraftig og internasjonalt ledende marin næring. Kunnskapsbehovene i marin sektor spenner fra grunnleggende forskning til strategisk og anvendt forskning.
Fiskeri- og kystdepartementets tilskudd til Norges forskningsråd skal bidra til
å utvikle kunnskap, teknologi og metoder som kan danne grunnlag for ei bærekraftig høsting av de biologiske ressursene i havet og en lønnsom næringsvirksomhet med basis i disse ressursene
at den ressurs- og miljørettede forskninga gir et best mulig kunnskapsgrunnlag for bærekraftig forvaltning av norske marine ressurser og sjøområder
å utvikle kunnskap om mattrygghet, fiskehelse og fiskevelferd, medregnet lakselus og lakselusvaksine, og bidra til verdiskaping gjennom kunnskap om handelspolitiske rammebetingelser og forbrukskrav
at havbruksforskninga styrker eksisterende næringsvirksomhet, åpner nye muligheter for næringsutvikling (medregnet nye arter i oppdrett) og sikrer ei bærekraftig forvaltning.
at den markeds- og industrirettede forskninga styrker lønnsomheten og konkurranseevnen gjennom markedsorientert omstilling og industriell utvikling
at forskning og utvikling innenfor havner og infrastruktur for sjøtransport medvirker til et bedre beslutningsgrunnlag for tiltak i sektoren, og bidrar til å utvikle teknologi, organisering og rammebetingelser.
Det skal legges til rette for at Fiskeri- og kystdepartementets sektoransvar for både den grunnleggende, strategiske og den brukerstyrte forskninga innenfor departementets ansvarsområde blir godt ivaretatt. Samhandling og forskning i skjæringsfeltet mellom programmer og virkemidler er også viktig. I tillegg er det nødvendig å etablere gode koblinger til områder som er sentrale for utvikling av marin sektor, men som budsjettmessig ikke hører under Fiskeri- og kystdepartementet.
Den aktiviteten Norges forskningsråd finansierer med midler fra Fiskeri- og kystdepartementet skal bidra til å supplere og støtte opp om aktiviteter som drives ved forskningsinstitutter innenfor departementets ansvarsområde. Midlene skal styrke den forvaltnings- og næringsrettede FoU-aktiviteten i tråd med prioriteringene i forskningsmeldinga og Fiskeri- og kystdepartementets strategier.
Ansvaret for de marine forskningsområdene i Norges forskningsråd er i hovedsak lagt til fire programmer:
HAVBRUK - en næring i vekst
Havet og kysten
Matprogrammet: Norsk mat fra sjø og land
Natur og næring
I tillegg inngår aktiviteter med relevans for fiskeri- og havbrukssektoren i andre programmer i Norges forskningsråd, medregnet flere av de store programmene og kommersialiseringsprogrammet FORNY.
De prioriterte programmene og satsingsområdene i 2008 videreføres i 2009.
EUs rammeprogram for forskning og teknologisk utvikling er den største arenaen for internasjonalt samarbeid for norske FoU-miljøer.
Det legges stor vekt på forskningssamarbeidet i Europa, og det skal følges opp på det marine og maritime området.
I USA og Canada finnes noen av verdens ledende forskningsmiljø på det marine området. Fiskeri- og kystdepartementet vil sammen med Norges forskningsråd fortsatt følge opp forskningssamarbeidet med Nord-Amerika som ble etablert i 2005 med bakgrunn i regjeringas USA-strategi. Samarbeidet er i første rekke knyttet til temaene helse, fôr og ernæring, genomikk og rømming av fisk.
Forskningssamarbeid med India om fiske- og dyrevaksiner ble satt i gang i 2007 og videreføres i 2009. Innsatsen skal bidra til en styrket havbruksnæring og bedre dyrehelse i India og i Norge. Samarbeidet legger også til rette for at oppdagelser og produkter kan utvikles videre og markedsføres gjennom produksjonssamarbeid mellom de to landene.
Forskningsinnsats knyttet til utfordringene i nordområdene prioriteres.
I 2008 ble det satt i gang arbeid med fjordøkologi i Porsangerfjorden og Hardangerfjorden. Satsinga har en totalramme på 15 mill. kroner fordelt på fire år, og skal bidra til å styrke den helhetlige marinøkologiske forståelsen og møte utfordringene som ligger i forvaltning av kystsona.
Forskning på problematikken rundt nedbeiting av tare vil prioriteres i Norges forskningsråds virksomhet i 2009.
Fiskeri- og kystdepartementets bevilgning til Norges forskningsråd styrkes med 1,5 mill. kroner til forskningsinstituttene på primærnæringsarenaen, jf. nærmere omtale under Basisbevilgninger.
Fiskeri- og kystdepartementet har forskningspolitiske interesser knyttet til vedtakene i Innst. S. nr. 176 (2007–2008) om framtidig lokalisering og organisering av Norges veterinærhøgskole. Dette er knyttet til flytting av Veterinærinstituttet til Ås og felles lokalisering med det nye universitetet på Ås. Med utgangspunkt i forskningsutfordringene innenfor områdene mattrygghet, dyrevelferd og fiskehelse vil Fiskeri- og kystdepartementet sammen med Landbruks- og matdepartementet og Kunnskapsdepartementet legge til rette for å videreutvikle forskningsfaglige synergier.
Nærmere omtale av sentrale forskningsprogrammer
HAVBRUK – ei næring i vekst (2006–2015)
Programmet er ett av Norges forskningsråds sju store programmer. Programmet er et sentralt virkemiddel for ei bredt anlagt forskning rettet mot trygg, effektiv og bærekraftig havbruksbasert matproduksjon. Programmet skal sikre og videreutvikle det faglige grunnlaget for en markedsrettet, miljø- og ressursvennlig produksjon av akvatiske organismer i hele verdikjeden fram til markedet.
Havet og kysten (2006–2015)
Programmet skal framskaffe ny kunnskap om havets økosystem, og utvikle teknologi, metodikk og modeller for økosystembasert forvaltning. Programmet er svært sentralt for Forskningsrådets nordområdesatsing.
Maritim virksomhet og offshore-operasjoner (MAROFF) (2002–2009)
Programmet skal bidra til å realisere regjeringas offensive satsing på maritim virksomhet (MARUT). Temaene Sjømatleverandøren og Kaldklimaspesialisten er særlig relevante for Fiskeri- og kystdepartementet.
Matprogrammet: Norsk mat fra sjø og land (2006–2011)
Programmet skal styrke innovasjon, lønnsomhet, verdiskaping og markedsinnretning for norsk matproduksjon i hjemmemarkedet og i det internasjonale markedet, og bidra med forskningsbasert kunnskap for matforvaltninga.
Natur og næring (2007–2013)
Programmets mål er økt bærekraftig verdiskaping i de areal- og naturbaserte næringene gjennom produksjon av kunnskap som styrker innovasjon, lønnsomhet og markedsinnretning. Programmet skal også utvikle kunnskap til støtte for utforming av bærekraftig næringspolitikk innenfor arealbaserte næringer, medregnet fiskeri, havbruk, jordbruk, skogbruk, reindrift og reiseliv. Programmet viderefører blant annet aktivitetene fra det tidligere Arealprogrammet.
NORKLIMA - Klimaendringer og konsekvenser for Norge (2004–2013)
Programmet er ett av Norges forskningsråds sju store programmer, og skal gi ny kunnskap om klimasystemet, klimaets utvikling og effekter av klimaendringer. Konsekvenser av klimaendringer for norsk fiskerinæring, fiskeriforvaltning og -politikk er sentralt i programmet.
Kommersialisering
Program for kommersialisering av FoU-resultater (FORNY) er et tilbud til universiteter og høyskoler og FoU-instituttene for å stimulere til kommersialisering av forskningsresultater. Fiskeri- og kystdepartementets bidrag er øremerket prosjektutvikling og verifisering av teknologiske konsepter.
Andre programmer og satsinger innenfor marin og maritim sektor
Programmet Etiske, rettslige og samfunnsmessige aspekter ved bioteknologi, nanoteknologi og kognitiv vitenskap finansierer blant annet ELSA-forskning knyttet til marin bioteknologi og nanoteknologi. Programmet Risiko og sikkerhet i transportsektoren (RISIT) finansierer relevante problemstillinger knyttet til kunnskap og læring fra havarikommisjoner, sårbarhet/sikkerhet, farlig gods og risikopersepsjon/trygghet. Programmet Næringslivets transporter og ITS (SMARTRANS) har som mål å bidra til å redusere næringslivets avstandskostnader, bidra til å overføre gods fra veg til sjø og bane og bidra til utvikling av smartere transporter og dermed sikker, mer miljøvennlig og effektiv transport. Programmet Strålevern og radioaktiv avfallshåndteringvidereføres også i EUs 7. rammeprogram, og har til hensikt å skaffe vitenskapelig kunnskap for å kunne vurdere virkninger av radioaktiv stråling og utvikle metoder for bedre beskyttelse mot stråling. Programmet Miljø 2015 omfatter forskning på økosystemer og landskap, biologisk mangfold, forurensning og samfunnsstrategier for å møte miljøproblemer innenfor og på tvers av disse temaområdene.
Basisbevilgninger
Det innføres et nytt basisfinansieringssystem for instituttsektoren fra og med 2009. Det er redegjort nærmere for det nye systemet i Kunnskapsdepartementets budsjettproposisjon for 2009, og under Forskningsfinansiering i innledninga til programkategori 16.20.
Den statlige basisfinansieringa av forskningsinstituttene består av grunnbevilgning og strategiske bevilgninger. Grunnbevilgninga består av en fast del og en resultatbasert del. Det nye systemet skal fordele en del av grunnbevilgninga etter resultatindikatorene vitenskapelig publisering, samarbeid med universiteter og høyskoler (avlagte doktorgrader og bistillinger), internasjonale inntekter, inntekter fra Norges forskningsråd og nasjonale oppdragsinntekter. Alle indikatorene skal vektes mot en relevanskomponent som består av summen av internasjonale inntekter, forskningsrådsinntekter og nasjonale oppdragsinntekter som del av samlete forskningsinntekter ved instituttene (ekskl. finansinntekter).
Det er lagt opp til fire fordelingsarenaer, jf. St. prp. nr. 1 (2008–2009) for Kunnskapsdepartementet. Fiskeri- og kystdepartementet og Landbruks- og matdepartementet er felles ansvarlige departement for grunnbevilgningene til primærnæringsarenaen, som inkluderer alle landbruksinstituttene; Bioforsk, Bygdeforskning, Norsk institutt for landbruksøkonomisk forskning (NILF), Norsk institutt for skog og landskap, Veterinærinstituttet (VI) og fiskeriinstituttene Nofima og SINTEF Fiskeri- og havbruk. Havforskningsinstituttet og Nasjonalt institutt for ernærings- og sjømatforskning (NIFES), som driver forskning til støtte for forvaltninga, er foreløpig ikke inkludert i det nye systemet.
Regjeringa ønsker med det nye systemet å legge til rette for at forskninga ved instituttene har god kvalitet, at instituttene styrker den anvendte rollen og den internasjonale virksomheten og at instituttene samarbeider med norske universiteter og høyskoler.
Fiskeri- og kystdepartementets bevilgning til Norges forskningsråd foreslås styrket med 1,5 mill. kroner til forskningsinstituttene på primærnæringsarenaen. Sammen med en tilsvarende styrking av Landbruks- og matdepartementets bevilgning styrkes primærnæringsarenaen med til sammen 3 mill. kroner i 2009. Bare nye midler blir fordelt etter resultat i 2009. Fra 2010 vil deler av eksisterende grunnbevilgning blir omfordelt etter oppnådde resultat på indikatorene nevnt over, og regjeringa tar sikte på en omfordeling på 10 pst. av grunnbevilgninga dette året. I forhold til primærnæringsarenaen er det særlig behov for å vurdere virkninger etter det første året, før endelig nivå på omfordeling av eksisterende grunnbevilgning fastsettes i budsjettet for 2010.
Inntil 30 pst. av basisbevilgninga på fordelingsarenaen for primærnæringsinstituttene skal brukes til strategiske instituttbevilgninger for å ivareta langsiktig kompetanseheving og kunnskapsoppbygging ved instituttene på områder av spesiell interesse for sektoren. Kontrakter om strategiske instituttprogram som instituttene har inngått skal i hovedsak gå som avtalt også etter overgangen til ny basisfinansieringsordning. Nye strategiske satsinger kan først lyses ut når alle instituttene på arenaen har avsluttet de vesentligste kontraktene om strategisk instituttprogrammer fra den tidligere ordninga. Som hovedregel skal de strategiske bevilgningene lyses ut i regi av Norges forskningsråd. Bare unntaksvis, når faglige vurderinger tilsier at bare ett institutt kan ta på seg oppdraget, kan sektordepartementene tildele midler direkte til et institutt.
Havforskningsinstituttet og NIFES mottar i 2008 midler til strategiske instituttprogrammer fra Forskningsrådet, men disse instituttene er foreløpig ikke inkludert i det nye basisfinansieringssystemet som etableres fra og med 2009. Fiskeri- og kystdepartementet legger til grunn at pågående strategiske instituttprogrammer i Havforskningsinstituttet og NIFES går som avtalt. Departementet vil komme tilbake til bruken av disse midlene og hvordan strategiske satsinger i disse instituttene skal ivaretas framover etter hvert som pågående strategiske instituttprogrammer avsluttes.
Midler fra Fondet for forskningsavgift på landbruksprodukter og Fiskeri- og havbruksnæringens forskningsfond skal ikke inngå som en del av basisbevilgninga i det nye finansieringssystemet.
Resultater 2007–2008
Forskningsrådet har i 2007 videreført arbeidet med analyser av prosjektporteføljen sett i samsvar med forskningsmeldingas tematiske, teknologiske og strukturelle prioriteringer. Når det gjelder målrettede satsinger, det vil si aktiviteter som har som formål å fremme FoU-innsatsen innenfor det enkelte prioriteringsområdet, viser analysen at Hav og Mat er de dominerende temaområdene som er finansiert av midler fra Fiskeri- og kystdepartementet med rammer på hhv. 58 mill. kroner (Hav) og 181 mill. kroner (Mat). Innen de strukturelle prioriteringstemaene er nyskaping og innovasjon finansiert med 173 mill. kroner fra Fiskeri- og kystdepartementet, grunnforskning med 39 mill. kroner og internasjonalisering med 18 mill. kroner.

Figur 7.3 Tematiske og strukturelle prioriteringer i 2007. Målrettede satsinger. Fiskeri- og kystdepartementet. (i mill. kroner)
Forskning i og for nordområdene har vært prioritert. Arbeidet har konkretisert de tematiske og faglige utfordringene i nordområdestrategien Forskning.nord. Det har blitt holdt en større nordområdekonferanse, og det har vært arbeidet videre sammen med Innovasjon Norge og SIVA om en felles nasjonal satsing innenfor marin bioprospektering og et samarbeidsprosjekt innenfor miljøteknologi med vekt på overvåking. Prioritering av forskning med betydning for nordområdene er presisert i utlysningen av midler innenfor alle aktuelle programmer og aktiviteter. Det er satt i gang nye prosjekter med betydning i og for nordområdene og området Miljø og marine ressurser har økt fra en innsats på knapt 80 mill. kroner i 2006 til om lag 130 mill. kroner i 2008.
Det er lagt vekt på å se Fiskeri- og kystdepartementets midler i sammenheng med andre offentlige og private midler til forskning og utvikling. De tre næringsrettede virkemiddelaktørene Norges forskningsråd, Innovasjon Norge og SIVA har inngått en samarbeidsavtale for 2005–2007, og det har i tillegg til nordområdesamarbeidet vært samarbeidet både innenfor marin og maritim sektor og matsektoren. Forskningsrådet har også lagt vekt på samarbeidet med Fiskeri- og havbruksnæringens forskningsfond, og det har vært arbeidet videre med å koordinere innsatsen rettet mot næringa.
Ordninga med Forskningsrådets regionale representanter er videreført, og Forskningsrådet har engasjert seg på regionalt nivå i å identifisere regionale marine fortrinn. Flere av fylkene er i gang med slik kartlegging og strategisk arbeid på det marine området, og de regionale representanter har vært involvert i dette arbeidet.
Etter at skattefradragsordninga SkatteFUNN ble aktiv fra andre halvdel av 2002, har marine prosjekter utgjort en stor andel av prosjektporteføljen. I 2007 var det innenfor sektoren marin/sjømat 489 aktive prosjekter fordelt på 376 bedrifter. Hovedtyngden av prosjektene kommer fra bedrifter langs kysten fra Rogaland og nordover. De samlede utgiftene til disse prosjektene er knapt 1,3 mrd. kroner, og det er budsjettert med en samlet skattelette på 186 mill. kroner.
Forskningsrådet har lagt vekt på å øke næringslivets investeringer i forskning. Brukerstyrte innovasjonsprosjekter (BIP) og kompetanseprosjekter med brukermedvirkning (KMB) er i større grad tatt i bruk i forskningsprogrammene, og det har vært en økning i andelen næringsrettede prosjekter. I 2008 ble knappe 100 mill. kroner bevilget til brukerstyrte prosjekter av betydning for Fiskeri- og kystdepartementet, det vil si prosjekter i kontrakt med bedrifter og organisasjoner i fiskeri- og havbruksnæringa. Disse midlene utløste ei bevilgning på knappe 220 mill. kroner fra andre kilder, hovedsakelig fra næringa selv, slik at totalt prosjektomfang for de brukerstyrte prosjektene var om lag 320 mill. kroner. Også Forskningsrådets bevilgninger til prosjekter i kontrakt med FoU-institusjonene utløser forskningsmidler fra andre kilder. Dette er offentlige midler bevilget av flere departementer direkte til institusjonene, men også betydelige beløp fra næringslivet, spesielt i kompetanseprosjekter med brukermedvirkning.
Forvaltningsrettet forskning
Ressurs- og miljøforskning og forskning på økosystemet
Arbeidet med å utvikle metoder og modeller som gir sikrest mulig bestandsestimering, effektiv overvåking av de marine ressursene og et bedre grunnlag for forvaltningsplaner for havområdene er videreført. Det er satt i gang prosjekter med vekt på marine økosystemer, grunnlag for verdiskaping og forvaltningskonflikt. Forskningssamarbeidet med Grønland er fulgt opp, og Norges forskningsråd har ivaretatt koordinering og kvalitetssikring av prosjektene innenfor dette samarbeidet. Det er gjennomført telletokt for vågehval. Den marine miljøforskninga er videreført, og det er satt i gang prosjekter med vekt på reint hav, miljøgifter, marin eutrofi, miljøgifter fra forurensende deponier og sedimenter, opprydding og tiltak og introduserte arter og sykdommer. På feltet arealplanlegging og arealforvaltning er det gjennomført prosjekter innenfor temaer som rettsspørsmål i sjøområder, kystsoneforvaltning, konflikter og konflikthåndtering og reguleringsmodeller i kystfisket. Det har vært en omfattende forskningsinnsats for å få mer kunnskap om klimaendringer og konsekvenser av klimaendringer. Forskninga viser at marine økosystemer og næringer vil kunne gjennomgå betydelige endringer som følge av endringer i næringskjeden og geografisk forskyvning av optimale habitater.
Boks 7.3 Eksempel på resultat fra forskninga
I arbeidet med å bestemme ikke-rapportert dødelighet i et fiskeri, er det ei utfordring å få gjennomført forsøk i realistiske situasjoner. Havforskningsinstituttet har for første gang funnet reelle tall for dødeligheten ved å simulere trenging og slipping av makrell. Forsøkene ble gjennomført i åpent hav på fangstfeltene i Nordsjøen under forhold som var så nær opp til kommersielt fiske som mulig. Forsøkene viste at makrellen er ekstremt sårbar for håndtering og stress. Fra 80 til 100 pst. av den trengte fisken døde i løpet av en observasjonsperiode på to til seks døgn.
Forvaltningsrettet havbruksforskning
Det har vært forskningsinnsats innen miljø, fiskehelse og fiskevelferd. Miljøforskninga sikter mot å få fram kunnskap som grunnlag for at produksjon og produkter kan utvikles innenfor godtatte rammer for bærekraft, miljø, dyrevelferd og trygg mat. For å bidra til å begrense rømming fra oppdrettsanleggene, er det etablert en kunnskapsplattform for miljøvennlig teknologi og forbedring av rutiner for drifting av anlegg for laks og torsk. Forskning som skal framskaffe kunnskap for å redusere problemene med lakselus og unngå spredning av smittsomme sykdommer er prioritert. Det er gjennomført forskning på biologiske metoder (bruk av leppefisk), forskning med sikte på å komme fram til en vaksine mot lakselus og studier knyttet til utvikling av resistens i lakselus. Innenfor fiskehelse er det lagt vekt på forskning for å framskaffe kunnskap om egenskaper og karakteristika hos aktuelle smittestoff og vertsorganismer for tapsbringende virus- og bakteriesykdommer, biologiske prosesser og utvikling av parasitter hos oppdrettsfisk og kunnskap om immunsystemet hos aktuelle oppdrettsarter. Bruk av nye molekylærbiologiske metoder er sentralt. Det er etablert en kunnskapsplattform som bidra til forbedrede vaksinestrategier mot virussykdommer. Det er lagt vekt på forskning om kriterier og metoder for å vurdere velferd hos oppdrettsfisk, og forskning som gir økt grunnleggende kunnskap om generell atferd hos oppdrettsfisk og om sammenhenger mellom miljøfaktorer, stress, mestring, atferd, helse og velferd i intensivt oppdrett. Det er også etablert en kunnskapsplattform om normalutvikling og feilutvikling.
Boks 7.4 Eksempel på resultat fra forskninga
Et prosjekt i samarbeid mellom Havforskningsinstituttet, NINA og andre nasjonale og internasjonale forskningsmiljøer har studert påvirkning av lakselus mellom oppdrettet og vill laks i Hardangerfjorden. Prosjektet har gitt ny kunnskap om forekomst av lakselus på villfisk, oppdrettslaks og rømt oppdrettsfisk. Prosjektet har gitt kunnskap om optimaliserte tellinger av lakselus og kontrollstrategier i oppdrettsanlegg og virkninger av konsentrasjon av gjellealuminium i villsmolt og oppdrettet smolt. Vandringshastigheter og vandringsruter hos laks- og sjøørretsmolt, og fysisk oseanografiske faktorer som påvirker spredningen av lakselus i fjordsystemet, er studert. Prosjektet er et ledd i å utvikle en kunnskapsbase for Hardangerfjorden gjennom et bredt samarbeid mellom ledende forskningsinstitusjoner i Norge, internasjonale samarbeidspartnere, havbruksnæringa og forvaltninga. Resultatene kan brukes til å finne tiltak for å minimalisere risikoen for infeksjoner av lakselus på vill og oppdrettet laksefisk. Ved å utvikle en modell som viser hvordan lakseluslarver sprer seg i systemet, kan resultatene brukes som et verktøy i planlegging av lokalisering av oppdrettsanlegg.
Forskning og overvåking knyttet til sjømattrygghet og kvalitet
Det har vært betydelig aktivitet i forskning innenfor sjømattrygghet og kvalitet. Det er undersøkt mulige skadelige virkninger av kvikksølv, og helserisiko er vurdert opp mot positive virkninger av sjømat. Med bakgrunn i slik informasjon utarbeides det en risiko- og nytteanalyse for inntak av forskjellige typer sjømat som inneholder realistiske nivå av kvikksølv. Det er gjennomført forskning om Listeria, og det gjøres en risikoanalyse av sushi. Målet er å utarbeide en veileder til aktuelle brukere på bakgrunn av kunnskap om betydningen av prosessering, lagringsmetode og lagringstemperatur. WHO og EU har anbefalt at nivået for dioxin og dioksinliknende PCB reduseres, og det er satt terskelverdier for denne gruppa. Det er ikke satt slike verdier for dioksinliknende PCB, og det utvikles nå risikoevalueringer også for disse fremmedstoffene. Innenfor havbruk er forskning om trygt fôr og trygg mat prioritert. Ei arbeidsgruppe har gjennomført ei utredning om kunnskapsbehov og risikofaktorer i verdikjedene for sjømat, medregnet fôr til oppdrett. Bakgrunnen for arbeidet var at sjømat utgjør en viktig del av kostholdet i Norge, og at fiskekonsumet tradisjonelt har vært høyt.
Boks 7.5 Eksempel på resultat fra forskninga
Pakking i modifisert atmosfære er vanlig for mange matprodukter i dag. Det brukes CO2-gass i pakningene. Gassen hemmer bakterievekst og øker holdbarheten, men slike pakninger tar stor plass. Gjennom et fireårig forskningsprosjekt har Norconserv (nå Nofima AS) utviklet en helt ny metode der CO2-gassen løses i matvaren som alternativ til et stort gassvolum i pakningen. Den nye metoden gir minst like god holdbarhet som tradisjonell pakking i modifisert atmosfære. Volumet av pakningene kan imidlertid reduseres med 40-50 pst. Dette vil være en stor fordel for industri, dagligvare, forbruker og miljø. Den nye pakketeknologien er utprøvd for kylling, kveite, reker, laks og kokte kjøttprodukter. Resultatene har vakt betydelig interesse i matindustrien.
Forskning knyttet til havner og infrastruktur for sjøtransport
Programmet MAROFF har flere prosjekter innenfor Kystverkets ansvarsområde. Et prosjekt om intelligente transportsystemer i havbruk skal bidra til sikrere seilas i områder ved havbruksanlegg og til å unngå konflikter i kystsona. Prosjektet skal også demonstrere bruk av dynamisk posisjonering og AIS (Automatisk identifikasjonssystem) ved anløp av havbruksanlegg. Prosjektet inngår i en serie prosjekter som skal dekke havbruksnæringas behov for brønnbåter, servicefartøy for anker og anleggshåndtering og bruksbåter. Programmet Risiko og sikkerhet i transportsektoren (RISIT) har satt i gang fem nye prosjekter som dekker ulike problemstillinger knyttet til sjøfart og havner. Det ble i oktober 2007 holdt en forskerkonferanse i samarbeid med Veritas, der et av hovedtemaene var forskning om sikkerhet knyttet til sjøfart. Programmet Næringslivets transporter og ITS (SMARTRANS) har gitt støtte til flere forskningsprosjekter som har betydning for havner, og programmet har også satt i gang to prosjekter med vekt på fisketransport.
Boks 7.6 Eksempel på resultat fra forskninga
Ideen bak det brukerstyrte prosjektet ”Tredimensjonal sikkerhetssone (3dSZ)”, med Det Norske Veritas AS som prosjektansvarlig, har vært å visualisere relevant sikkerhetsinformasjon direkte i skipets elektroniske kart i form av ei sikkerhetssone rundt fartøyet og langs den planlagte kursen. Størrelsen av sikkerhetssona er uttrykk for risikonivået og overlappende sikkerhetssoner er et faresignal. Konseptet er innarbeidet i den elektroniske kartviseren til Kongsberg Maritime. I løpet av prosjektet har det vist seg at trafikkstasjonene (VTS) også kan ha stor nytte av 3dSZ-konseptet ved å sende meldinger direkte til kartet, for eksempel om utbredelsen av et oljespill eller et regattaområde. Kongsberg Norcontrol IT har derfor innarbeidd 3dSZ-konseptet for programvare som brukes av VTS. 3dSZ er også allerede tatt i bruk av C-Map i forbindelse med værkart
Næringsrettet forskning og utvikling
Forskning for markedsretting og nyskaping i marin sektor
Det er viktig å styrke innovasjonsevnen for å øke konkurransedyktigheten, verdiskapinga og markedsorienteringa i norsk matproduksjon. Det gjennomføres derfor flere marine prosjekter som omhandler produksjons- og prosessteknologi. Forskning i fiskeriteknologi er videreført. Matpolitikk og handel med mat er et følsomt politikkområde som inngår i de fleste globale prosesser om miljø og mer rettferdig utvikling. Det er igangsatt forskning for å studere Norges muligheter og posisjoner i den sammenheng, og flere nye prosjekter innenfor temaet handelspolitikk og avtaleregimer. Det gjennomføres prosjekter som skal gi økt kunnskap om WTO-prosessene generelt og om omfanget av handelsbarrierer som norsk fiskerieksport møter. Bevilgninga fra Fiskeri- og kystdepartementet til kommersialiseringsprogrammet FORNY er videreført, og midlene fra Fiskeri- og kystdepartementet har inngått i FORNYs verifiseringsmidler. Midlene er brukt for å styrke fiskeri- og kystrelaterte prosjekter hos aktørene ved å teste at teknologien fungerer.
Boks 7.7 Eksempel på resultat fra forskninga
For å kunne utvikle produkter og markedstiltak i norsk fiskerinæring, er det gjennomført en studie ved Norges Fiskerihøgskole for å kartlegge norske forbrukeres holdninger til kjøp og bruk av bekvem middagsmat, medregnet fisk og fiskeprodukter. Studien er basert på en spørreundersøkelse der 1200 husholdninger har svart i et representativt utvalg av norske husholdninger i alderen 20-75 år. I gjennomsnitt bruker ei husholdning 28 minutter på å tilberede en hverdagsmiddag. En fjerdedel av forbrukerne er svært opptatt av informasjon om helse, mens bare 14 pst. bruker ofte ekstra penger på helsefremmende mat.
Næringsrettet havbruksforskning
Innenfor havbruksforskninga er det lagt vekt på kunnskap som kan utvikle verdiskapende og lønnsom virksomhet og kunnskap som kan føre til redusert svinn i produksjonskjeden og best mulig produksjonsopplegg og miljøforhold. En viktig del av den næringsrettede havbruksforskninga gjelder utvikling av nye arter i oppdrett. Forskninga har i hovedsak dreid seg om torsk, men også om arter som kveite, skjell og hummer. Det legges vekt på å finne bedre og mer etisk akseptable slaktemetoder. Fôrprodusentene er sentrale deltakere i flere brukerstyrte prosjekter, men også andre deler av havbruksnæringa er aktiv. Det legges vekt på å få til økt engasjement fra næringa, for eksempel lakseoppdrettsnæringa. Et prosjektet om nedsenkbare oppdrettsanlegg er avsluttet. Prosjektet har vist at det er mulig å senke et oppdrettsanlegg ned under bølgesona slik at anlegget blir mindre utsatt for bølgekreftene.
Boks 7.8 Eksempel på resultat fra forskninga
Resultater fra et brukerstyrt prosjekt i regi av Skretting ARC har gjort det mulig å utvikle en matematisk modell for farging av laks. Modellen, som tar hensyn til et vidt spekter av påvirkninger, viser hvordan utnyttelsen av pigment varierer i løpet av produksjonssyklus og gir et godt grunnlag for kostnadseffektive råd om pigment i fôret ut fra hvor mye pigmentering en ønsker i fisken.
Internasjonalt samarbeid
EUs nylig avsluttede 6. rammeprogram har hatt utlysninger innenfor forvaltning av marine ressurser, havbruk, sjømat og kystforvaltning. Norske aktører har hatt stor suksess med søknader med marine temaer, og har kommet med i de fleste prosjekter som ble innstilt til finansiering. Trygg mat og sporing er FoU-områder hvor norske aktører har gjort det svært godt og samarbeider med partnere fra mange land og sektorer. Norge deltar i flere ERA-Net, som er et virkemiddel for å oppnå bedre samordning av nasjonalt og regionalt finansierte FoU-programmer. Norge leder SAFEFOODERA, der de fleste land i Europa deltar.
Marine temaer har fått vesentlig plass i mange av satsingsområdene innenfor det 7. rammeprogrammet (7.RP) som startet i 2007. Dette gjelder særlig områdene ”Mat, landbruk, fiskeri og bioteknologi”(Food, Agriculture, and Fisheries and Biotechnology) og ”Miljø inklusive klimaendringer” (Environment incl. Climate Change). Norske marine og maritime miljøer har også lyktes godt i de første utlysningene i 7.RP. Forskningsrådet har bidratt til Norges innspill til forslag om nye maritime retningslinjer (Maritime Policy) for EU. Retningslinjene blir viktige for innretningen av marin og maritim forskning i 7.RP framover. Gjennom deltagelse i Det marine råd (Marine Board – European Science Foundation) har Forskningsrådet prøvd å påvirke innholdet i de maritime retningslinjene, og har bidratt til å skape oppmerksomhet om betydningen av marin og maritim forskning for Europas økonomiske og sosiale utvikling generelt. COST-konseptet legger til rette for internasjonalt multidisiplinært forskningssamarbeid, støttes av 7.RP og er et verdifullt element i arbeidet med å utvikle det europeiske forskningsområdet.
Forskningssamarbeidet mellom Norge, USA og Canada om havbruk er videreført. Samarbeidet er i første rekke knyttet til temaene helse, fôr og ernæring, genomikk og rømming av fisk. Satsinga har fremmet samarbeid og utveksling av forskere og studenter.
Med basis i den norsk-indiske samarbeidsavtalen arbeides det med indiske og norske miljøer for å etablere forskningsprosjekter innenfor fiske- og dyrevaksine. Det er nå bevilget midler til samarbeidsprosjekter både fra norsk og indisk side som vil bidra til økt innsats i forskninga om fiskevaksiner.
Norges forskningsråd har en representant i Nordisk arbeidsgruppe for fiskeriteknologi innenfor Nordisk Ministerråd. Arbeidsgruppa bevilget i 2007 midler til flere nordiske samarbeidsprosjekter.
Fondet for forskning og nyskaping
Fondet for forskning og nyskaping brukes blant annet til å følge opp de strukturelle, tematiske og teknologiske prioriteringene i St.meld. nr. 20 (2004–2005) Vilje til forskning. Innenfor de tematiske prioriteringene gikk 20,3 mill. kroner til det tematiske området Hav og 50,8 mill. kroner til det tematiske området Mat i 2007.
Verdens største forskningsprogram, Det internasjonale polaråret (IPY), ble satt i gang i mars 2007 med en rekke marine prosjekter og aktiviteter. Forskningsrådet ga i 2007 en ekstraordinær tildeling på 200 mill. kroner fra Fondet for forskning og nyskaping til avansert vitenskapelig utstyr og elektronisk forskningsinfrastruktur. Også her var det flere marine prosjekter, blant annet fire utstyrsprosjekter til fiskeriinstituttene. Fondsmidlene er viktige for å kunne støtte sentrale prioriteringer rettet mot de enkelte departementene, og har bidratt til å styrke programmer og ordninger som i første rekke er finansiert fra andre kilder. Dette gjelder Forskningsrådets store programmer, der særlig programmene FUGE, HAVBRUK og NORKLIMA er relevante for Fiskeri- og kystdepartementet. Også andre sentrale marine programmer som Havet og kysten og Matprogrammet ble styrket med midler fra Fondet for forskning og nyskaping.
Avkastninga fra Fondet for forskning og nyskaping er viktig for Norges forskningsråds muligheter til å ta nye strategiske initiativ. I løpet av 2007 ble 14 Sentre for forskningsdrevet innovasjon (SFI) godkjent. Sentrene er et virkemiddel for økt kvalitet i innovasjonsforskinga. Det er særlig tre sentre som er spesielt relevante for Fiskeri- og kystdepartementet og de marine næringene; Senter for marin bioprospektering og bioaktive produkter ( Centre of Marine Bioactives and Drug Discovery, MabCent) i Tromsø, Senter for havbruksteknologi (Centre for Research-based Innovation in Aquaculture Technology, CREATE) i Trondheim og Michelsensenteret for industriell målevitenskap ( The Michelsen Centre for Industrial Measurement Science and Technology) i Bergen. Ordninga med Sentre for fremragende forskning (SFF) er videreført, og åtte nye sentre ble startet i 2007. Tre sentre er særlig relevante for Fiskeri- og kystdepartementet og de marine næringene; Senter for havbruk og proteinforskning ( Aquaculture Protein Centre) på Ås, Bjerknessenteret for klimaforskning ( Bjerknes Centre for Climate Researchi Bergen og Senter for skips- og havkonstruksjoner ( Ships and Ocean Structures) i Trondheim.
Basisbevilgninger og instituttarbeidet
Basisbevilgninger består av både grunnbevilgninger og bevilgninger til strategiske instituttprogrammer. Norges forskningsråd har i 2007 hatt ansvar for basisbevilgning for Norsk institutt for fiskeri- og havbruksforskning AS (Fiskeriforskning), Norconserv AS og SINTEF Fiskeri og havbruk AS. I tillegg har Forskningsrådet tildelt strategiske instituttprogrammer til Havforskningsinstituttet og Nasjonalt institutt for ernærings- og sjømatforskning (NIFES). Den etterfølgende tabellen viser basisbevilgninger fra Forskningsrådet til fiskeriinstituttene i 2007.
Tabell 7.6 Basisbevilgninger fra Forskningsrådet til fiskeriinstituttene i 2007. Grunnbevilgninger og strategiske instituttprogram (SIP). Antall og i 1 000 kroner
Strategiske instituttprogram | |||
|---|---|---|---|
Institutt | Grunnbevilgning | Kroner | Antall |
Fiskeriforskning | 24 600 | 10 415 | 4 |
Norconserv | 2 500 | 4 540 | 1 |
SINTEF Fiskeri og havbruk | 3 800 | 12 330 | 4 |
Havforskningsinstituttet | 10 985 | 3 | |
NIFES | 6 400 | 2 | |
Totalt | 30 900 | 44 670 | 14 |
Fiskeriinstituttenes samlede driftsinntekter kommer fra ulike kilder, og det er betydelige forskjeller mellom instituttene. Basisbevilgninga gjennom Forskningsrådet varierer mellom 1 pst. (Havforskningsinstituttet) og 28 pst. (Norconserv, nå Nofima) av de totale driftsinntektene. Havforskningsinstituttet og NIFES får betydelige midler fra FKD til den forvaltningsrådgivinga de skal utføre (50 og 43 pst.), mens NIFES og SINTEF Fiskeri og havbruk har høyest andel forskningstildelinger fra Forskningsrådet (17 pst.). Norconserv har den største andelen inntekter fra næringslivet (49 pst.), mens Fiskeriforskning (nå Nofima) er det instituttet som har størst andel inntekter fra offentlig forvaltning utenom forvaltningsinntekter (38 pst. av de totale driftsinntektene). Når det gjelder inntekter fra utlandet, har SINTEF Fiskeri og havbruk den største andelen (13 pst.).

Figur 7.4 Fordeling av driftsinntektene for fiskeriforskningsinstituttene i 2007
Kilde: NIFU STEP
Figur 7.5 viser driftsresultatet for de tre frittstående fiskeriinstituttene i perioden 2003-2007. Figuren viser at Fiskeriforskning har hatt negativt driftsresultat på omkring 2 pst. av de totale driftsinntektene hvert av de siste tre årene. SINTEF Fiskeri og havbruk har hatt positivt driftsresultat i hele femårsperioden, med 2007 som det beste året. Norconserv har hatt overskudd i perioden 2003–2006, men har et mindre driftsunderskudd i 2007.

Figur 7.5 Driftsresultat for fiskeriforskningsinstituttene 2003–2007
Kilde: NIFU STEP
Fiskeriforskning og Norconserv ble fra 1.1.2008 en del av det nyopprettede forskningskonsernet Nofima AS. Arbeidet knyttet til etableringa av Nofima har stått sentralt i 2007. På oppdrag fra Fiskeri- og kystdepartementet gjennomførte Forskningsrådet første halvår 2007 en kompetansekartlegging og -vurdering av aktiviteten ved AKVAFORSK, Fiskeriforskning, Matforsk og Norconserv, og relevant næringsrettet FoU-aktivitet ved Havforskningsinstituttet, NIFES og Veterinærinstituttet.
Veterinærinstituttet (jf. post 51)
Mål og prioriteringer
Veterinærinstituttet vil bidra til å nå målene om en lønnsom og bærekraftig havbruksnæring, en frisk bestand av oppdrettsfisk og villfisk og trygg sjømat. Veterinærinstituttet er ansvarlig leverandør av kunnskapsstøtte til matforvaltninga om spørsmål knyttet til fiskehelse og enkelte områder innenfor sjømattrygghet.
Veterinærinstituttet vil sikre landsdekkende beredskap med hurtig og sikker oppklaring av årsakene til sykdom, som er grunnleggende i arbeidet med å opprettholde friske populasjoner av fisk. Slik beredskap må være forankret i resultater fra forskning om årsaksforhold og sykdomsutvikling ved infeksjoner og andre sykdomstilstander. Veterinærinstituttet støtter Mattilsynet og andre myndigheter med kompetanse og tjenester som bidrar til effektiv bekjempelse og sykdomsforebyggende tiltak.
Overvåking av helsesituasjonen i fiskepopulasjonen og troverdig dokumentasjon av helse, sykdom og velferd er grunnleggende for tilliten til norsk sjømat i et nasjonalt og internasjonalt marked. Veterinærinstituttet vil bidra med tjenester som viser status og trender for sykdommer innen havbruk.
Oppgaven som nasjonalt referanselaboratorium for fiskesykdommer og enkelte områder innenfor sjømattrygghet gis høy prioritet. Kvalitetssikret metodikk er grunnleggende for de oppgavene som Veterinærinstituttet har innen beredskap, overvåking, sykdomsoppklaring og forskning. Et nasjonalt referanselaboratorium vil også bidra til å høyne kvaliteten og kapasiteten hos private leverandører av tjenester innen fiskehelse.
Villaks og andre viltlevende bestander kan ha stor betydning for utvikling av kystområder, elver og innsjøer til næringsutvikling og rekreasjon. Veterinærinstituttet bidrar med kompetanse og tjenester som kan bidra til å bekjempe og forebygge sykdommer hos disse bestandene forårsaket av blant annet Gyrodactylus salaris, lakselus, og krepsepest.
Veterinærinstituttet supplerer kunnskap som utvikles på Havforskningsinstituttet gjennom sitt arbeid med problemstillinger knyttet til velferd og sykdom, og gjennom sin funksjon som sekretariat for Norecopa. Norecopa skal arbeide for alternativer til bruk av fisk som forsøksdyr.
Lavt forbruk av antibiotika og kjemiske innsatsfaktorer er en forutsetning for videre utvikling av oppdrettsnæringa. Veterinærinstituttet skal bidra til å bygge opp kunnskap om forebyggende sykdomstiltak som kan bidra til bærekraftig oppdrett av fisk.
Norsk sjømat skal være trygg, og den skal oppleves som trygg. Kunnskap om mikroorganismer, parasitter og uønsket genetisk materiale i fisk eller sjømatprodukter er en forutsetning for mattrygghet. Veterinærinstituttet vil fortsette arbeidet innenfor enkelte områder innen mikrobiell sjømattrygghet, medregnet algetoksiner. I tillegg vil Veterinærinstituttets arbeid innenfor mattrygghet, som GMO, Listeria og andre potensielt patogene mikroorganismer, generere kunnskap som er viktig for å forstå spredning av smittestoffer i verdikjeden fra råvare til sjømatprodukt. Denne kunnskapen danner grunnlag for beredskap ved sykdomsutbrudd, overvåking av sjømat og tiltak som kan forebygge sykdom hos menneske forårsaket av sjømat.
Veterinærinstituttets generelle kunnskapsplattform innenfor mikrobiologi, toksikologi, GMO med videre utnyttes i samarbeid mellom kunnskapsinstitusjonene for å komme havbruksnæringa til gode.
Veterinærinstituttet vil legge vekt på å utvikle organisatoriske forhold. Stortinget har vedtatt å flytte Veterinærinstituttet fra Oslo til Ås. Videreutvikling av beredskap og kunnskapsproduksjonen i en krevende planleggings- og flytteperiode er en stor utfordring.
I løpet av de siste årene har Veterinærinstituttet bygd opp et omfattende nettverk av samarbeidende fagmiljøer med stor betydning for kunnskapsutviklinga. Samarbeidet om produksjon og utveksling av kunnskap med andre nasjonale og internasjonale kunnskapsmiljøer, blant annet NIFES og Havforskningsinstituttet, skal utvikles videre og styrkes.
Resultater 2007–2008
Basert på informasjon fra egne diagnostiske undersøkelser, fra andre myndigheter, fra næringa og private kilder, har Veterinærinstituttet sammenstilt rapporten ”Helsesituasjonen hos oppdrettfisk 2007”. Denne rapporten viser at norsk fisk generelt har en god helsetilstand, selv om enkelte sykdommer, slik som pankreassykdom og hjerte- og skjelettmuskelbetennelse hos laks og francisellose hos torsk, øker i omfang og utbredelse. Smitteforsøk på varmblodige forsøksdyr med Francisella philomiraga, bakterien som forårsaker francisellose, tyder på at denne bakterien ikke gir sykdom hos menneske slik enkelte andre francisella-bakterier kan gjøre.
Innsendelsene av materiale fra torsk og andre marine arter til diagnostisk undersøkelse har vært økende. Dette materialet gir grunnlag for foreløpige vurderinger av helsetilstanden hos marin fisk i oppdrett. Torsk er imidlertid forskjellig fra laksefisk både når det gjelder sykdomsspekter, biologi og oppdrettsteknologi. Kunnskapsoppbyggingen om helse og sykdom har gitt resultater som er viktige for å møte de mange utfordringene innen oppdrett av torsk. Veterinærinstituttets satsing på torsk kommer til uttrykk på ulike måter. Eksempler på dette er aktiv deltakelse i ”Frisk torsk” og andre nettverk for sykdommer hos torsk, etablering av kompetanse innen diagnostikk og forebygging av viktige sykdommer hos torsk og forskning på sykdommer hos torsk.
Aktiv overvåking av helsetilstanden hos fisk og kvaliteten på produkter er viktig for en eksportrettet næring. Et system for rapportering av tap og sykdommer i oppdrett (MFISK) er utarbeidet i samarbeid med Mattilsynet, næringa og Fiskeri- og kystdepartementet. Dette systemet vil gi en vesentlig forbedret oversikt over helsesituasjonen hos oppdrettsfisk. Veterinærinstituttet har gjennomført overvåkingsprogrammer for sykdommene VHS/IHN, bakteriell nyresyke og gyrodaktylose på oppdrag fra Mattilsynet.
Dokumentasjonen av mange års fravær av VHS/IHN hos oppdrettsfisk gjør at Norge kan opprettholde sin nasjonale fristatus for disse sykdommene selv etter at den alvorlige smittsomme fiskesykdommen viral hemoragisk septikemi (VHS) ble påvist på Sunnmøre i 2007. Beredskap ved mistanke om alvorlige sykdommer er en viktig oppgave for Veterinærinstituttet. Diagnostiseringa av VHS hos regnbueørret viste at beredskapen ved Veterinærinstituttet er god. Dette gjaldt både faglig, i form av hurtig og sikker diagnostikk, og organisatorisk i form av god intern og ekstern samhandling. Undersøkelser av materiale innsendt for oppklaring av et sykdomsutbrudd ga mistanke om sykdommen, noe som umiddelbart ble formidlet til myndigheter og innsender. Molekylærbiologiske analyser bekreftet raskt mistanken. Dette ble senere stadfestet ved dyrking av virus.
Molekylærbiologisk analysemetode er også utviklet på andre områder. Metodikken for påvising av krepsepest har blitt ytterligere forbedret, og de norske prosedyrene er tatt i bruk av laboratorier i andre land i Østersjøregionen. I 2007 ble soppen som forårsaker krepsepest, Aphanomyces astacii, påvist hos symptomfri signalkreps i Grenlandsområdet. Dette danner grunnlag for tiltak mot signalkreps for å beskytte edelkreps som er utrydningstruet på grunn av krepsepest.
Veterinærinstituttet er et akkreditert laboratorium. Det er imidlertid et mål å akkreditere flere metoder for sykdommer hos fisk. Dette pågår, og videreføring er avhengig av at egne vitenskapelige publikasjoner som er grunnlag for en slik akkreditering blir ferdigstilt. Dette arbeidet har blitt forsinket, noe som har fått konsekvenser for framdriften i arbeidet med akkreditering.
Mattilsynet ga i 2007 Veterinærinstituttet oppgaven som nasjonalt referanselaboratorium for fiskesykdommer. Denne oppgaven har bidratt til å klargjøre ansvaret for diagnostikk av fiskesykdommer.
Veterinærinstituttet har i 2007 etablert sekretariatet for den nasjonale plattformen for alternativer til bruk av forsøksdyr (Norecopa). En viktig oppgave er å bidra til å finne metoder som kan redusere antall fisk som benyttes til testing av fiskevaksiner.
Arbeidet med å utvikle laboratoriemetoder for testing av algetoksiner uten bruk av forsøksdyr har gitt viktige resultater i 2007. Flere metoder for analyse av nervegifter og diareframkallende toksiner produsert av alger er utviklet og kvalitetssikret for praktisk bruk.
Veterinærinstituttet har samarbeidet med Havforskningsinstituttet og NIFES både innen forskning og annen kunnskapsproduksjon. Samarbeidet med Havforskningsinstituttet er formalisert i en samarbeidsavtale.
Tilskudd til utviklingstiltak (jf. post 71)
Bevilgninga på kap. 1023 post 71 Tilskudd til utviklingstiltak finansierer tiltak som er gitt særlig prioritet, og som ikke faller naturlig inn under andre budsjettposter. Innsatsen har dels vært organisert gjennom større programmer, og dels i form av enkeltprosjekter.
Mål og prioriteringer
Tiltakene som finansieres under kap. 1023 post 71 har som mål å
øke verdiskapinga i fiskeri- og havbruksnæringa, og sette næringa bedre i stand til å etterspørre og utnytte FoU-resultater innen marin sektor
øke sikkerheten til sjøs og styrke sjøtransportens konkurransefortrinn, og gi et bedre beslutningsgrunnlag for investeringer i sektoren
bidra til kunnskapsgrunnlaget for gjennomføringa av Fiskeri- og kystdepartementets forvaltningsoppgaver.
Fiskeri- og kystdepartementet gir tilskudd til utviklingsprosjekter som bygger opp under departementets strategi og hovedmål. Det gis tilskudd både til større programmer og enkeltprosjekter.
Siden 2006 er det satt av et årlig tilskudd på 3,5 mill. kroner til styrking av markedsforskningsmiljøet ved Fiskeriforskning i Tromsø som et treårig prosjekt. Det foreslås å videreføre bevilgninga til markedsforskningsprosjekter også i 2009.
Det foreslås satt av 3,1 mill. kroner til videreføring av nasjonalt program for kartlegging og overvåking av biologisk mangfold, med vekt på marin kartlegging i kystsona.
Det legges opp til å videreføre prosjektet Fiskesprell i samarbeid med Helse- og omsorgsdepartementet og Eksportutvalget for fisk.
Den internasjonale standardiseringsorganisasjonen ISO har vedtatt å etablere en komité for fiskeri og havbruk. Norge har ledelse og sekretariat for denne komiteen. Fiskeri- og kystdepartementet vil bidra til finansieringen av dette arbeidet.
Det vil også bli gitt tilskudd til særlig prioriterte enkeltprosjekter knyttet til hele Fiskeri- og kystdepartementets ansvarsområde, blant annet utredninger som støtter opp under Fiskeri- og kystdepartementets forvaltningsoppgaver.
Resultater 2007–2008
Tabell 7.7 Oversikt over hovedområdene dekket av tilskuddet i 2008
2008 | |
|---|---|
Markedsforskning | 3 500 |
Oppfølging av program for biologisk mangfold | 3 100 |
Internasjonalt standardiseringsarbeid | 750 |
Forvaltningsplan Norskehavet | 700 |
Konferansen om sjømat og helse, NIFES | 1 000 |
Marco Polo-programmet | 1 510 |
Videreføring Vardøinitiativet | 800 |
Transportrettet FoU | 500 |
Kartlegging nasjonal marin FoU-infrastruktur | 500 |
IKT-prosjekter | 1 600 |
Diverse prosjekter, herunder forvaltningsrettede utredninger | 11 712 |
Sum | 25 672 |
Samlet disponibelt beløp i 2008 er 25,672 mill. kroner. Dette omfatter bevilgning over Fiskeri- og kystdepartementets budsjett for 2007 på 22,5 mill. kroner, og overførte udisponerte midler fra 2006 på 3,172 mill. kroner.
Programmet MABIT (Marin bioteknologi i Tromsø) ble i 2003 forlenget med en ny femårsperiode (2004–2008). I 2007 ble det satt av 5 mill. kroner til programmet. Fra 2008 ble bevilgninga til MABIT flyttet til kap. 1023 post 74 Tilskudd til marin bioteknologi.
Det er et mål å utnytte sjømatproduksjon bedre ved å realisere mulighetene for utvikling av næringsvirksomhet med basis i biprodukter og andre marine råstoff. Et viktig virkemiddel i denne forbindelse er stiftelsen RUBIN, og det ble i 2007 gitt et tilskudd på 3 mill. kroner. Fra 2008 ble bevilgninga til RUBIN flyttet til kap. 1023 post 74 Tilskudd til marin bioteknologi.
I 2006 ble det satt i gang et treårig program for markedsforskning i regi av Fiskeriforskning, med en ramme på 3,5 mill. kroner. Tilskuddet til programmet ble videreført i 2008.
Nasjonalt program for kartlegging og overvåking av biologisk mangfold er videreført i 2008. Fiskeri- og kystdepartementet har satt av 3,1 mill. kroner til programmet.
Fiskeri- og kystdepartementet har siden 2003 gitt tilskudd til etablering og drift av en marin biobank i Tromsø (Marbank). I 2007 ble det bevilget 1,5 mill. kroner til Marbank. Fra 2008 ble bevilgninga til Marbank flyttet til kap. 1023 post 74 Tilskudd til marin bioteknologi.
I prosessen med utarbeidelse av Nasjonal transportplan er det over flere år gitt tilskudd til videreutvikling av det tverretatlige transportmodellapparatet. I 2008 er det gitt tilskudd til prosjekter som kan bedre utnyttelsen av dette modellapparatet til samfunnsøkonomiske analyser rettet mot infrastruktur og tjenester for sjøtransport.
EUs Marco Polo-program startet i 2003, og hovedmålet er å fremme et mer miljøvennlig godstransportsystem. Programmet kan blant annet gi økonomisk oppstartstøtte til nye transportløsninger som kan bidra til å overføre transport av gods fra vei til sjø og jernbane. I tillegg kan prosjekter som legger til rette for intermodalitet og fremmer samarbeid i godstransportnæringa få støtte. Norge har deltatt i programmet siden 2004, og det er vedtatt å delta videre i programperioden 2007–2013 (Marco Polo II). Programmet har en klar internasjonal dimensjon siden det bare er transporter som krysser grenser som får støtte. Norge er fullverdig medlem av programmet slik at norske prosjektsøknader blir vurdert på lik linje med søknader fra aktører i EU-land.
Vardø trafikksentral har bidratt til å skape et knutepunkt for videre satsing og en utvidelse av det norsk-russiske samarbeidet om oljevernberedskap og sjøsikkerhet. Fiskeri- og kystdepartementet vil i 2008 gi til sammen 800 000 kroner i tilskudd til prosjektet Vardø-initiativet i regi av Vardø kommune og Vardø Promor AS. Prosjektet viderefører samarbeidet som ble etablert høsten 2005. Prosjektet arbeider med næringsutvikling i Vardø kommune og i regionen, og samarbeid om sjøtransport, havneutvikling, sjøsikkerhet, oljevern og strandsoneberedskap i den norsk-russiske grenseregionen.
Tilskudd til Nofima AS (jf. post 72)
Nofima AS ble opprettet 1. januar 2008. Nofima er en sammenslåing av Akvaforsk AS, Fiskeriforskning AS, Matforsk AS og Norconserv AS. Instituttet har om lag 450 tilsatte. Konsernets hovedkontor er i Tromsø, og selskapet har datterselskaper på Ås, i Bergen og i Tromsø.
Datterselskapet i Bergen blir opprettet ved at tidligere avdeling av Fiskeriforskning i Bergen (tidligere Sildemel- og sildeoljeindustriens forskningsinstitutt) skal utfisjoneres til et eget selskap. Det tas sikte på at fisjonen er gjennomført 31.12.2008. Tidligere Norconserv AS er et 100 pst. eid datterselskap av Nofima, der Nofima AS eier 49 pst. og datterselskapet i Tromsø eier 51 pst.
Datterselskapet i Tromsø ble opprettet ved at Fiskeriforsknings avdeling i Tromsø er slått sammen med tidligere Akvaforsk. Dette datterselskapet inkluderer også forskningsstasjonene på Sunndalsøra og på Averøy. Datterselskapet på Ås er etablert på basis av tidligere Matforsk. Den nåværende eiersammensetningen i Nofima er følgende:
Staten v/Fiskeri- og kystdepartementet 56,8 pst.
Stiftelsen for landbrukets næringsmiddelforskning 33,2 pst.
Akvainvest Møre og Romsdal AS 10 pst.
Det er inngått en intensjonsavtale mellom staten og Stiftelsen for landbrukets næringsmiddelforskning om et statlig nedsalg, men hvor staten fortsatt skal eie mer enn 50 pst. av Nofima AS. Det legges også til grunn at Nofima AS skal eie mer enn 2/3 av datterselskapene. Per i dag eier Nofima AS sine datterselskaper i Bergen, Tromsø og Ås 100 pst.
Nofima AS vil bli finansiert ved direkte bevilgning over Fiskeri- og kystdepartementets budsjett, basisbevilgninger fra Fiskeri- og kystdepartementet via Forskningsrådet, langsiktige forsknings- og utviklingsprogram tildelt fra Fondet for forskningsavgift på landbruksprodukter og Fiskeri- og havbruksnæringens forskningsfond, betalte prosjekter og oppdrag fra norsk mat-, fiskeri-, og havbruksnæring, oppdrag fra forvaltninga og prosjektbevilgninger fra Forskningsrådet. Instituttet skal også konkurrere om oppdrag under EUs rammeprogram for forskning. I 2009 vil deler av basisbevilgninga til Nofima bli bevilget over Landbruks- og matdepartementets budsjett.
Mål og prioriteringer
Visjonen for Nofima er å øke konkurransekraften for den land- og havbaserte næringsmiddelindustrien og fiskeri- og havbruksnæringa, gjennom forskning i verdensklasse og verdiøkende tjenesteleveranser. For å oppnå dette må forskninga ta utgangspunkt i strategiske brukerbehov, og ny kunnskap og nye løsninger skal leveres til industrien slik at de lett kan tas i bruk. For å kunne realisere visjonen må instituttet operativt organiseres ut fra faglig styrke, og morselskapet må styre overordnet strategi og de langsiktige forskningsbevilgningene, medregnet basisbevilgninga.
Nofima skal framskaffe kunnskapsgrunnlaget for å sikre at det store verdiskapingspotensialet som ligger i havbruk utnyttes med sikte på en framtidsrettet og konkurransedyktig norsk havbruksnæring. Forskninga skal fremme økt verdiskaping og økt lønnsomhet gjennom optimalisering av produksjonen og utvikling av kommersiell produksjon av nye arter. Forskninga omfatter områder som avl og genetikk, fôr og ernæring, fiskehelse, miljø, velferd, effektiv og bærekraftig produksjon og prosess og produktutvikling.
Forskning i Nofima skal bidra til å fremme norsk fiskeri- og næringsmiddelindustris konkurranseevne og stimulere til økt bearbeiding, produktutvikling og verdiskaping i Norge.
For at norsk matproduksjon skal være konkurransedyktig, er det nødvendig å tilrettelegge for effektivisert og optimalisert framstilling av matprodukter som imøtekommer forbrukernes krav til kvalitet og lettvint tilberedning. Forskning innen Nofima omfatter råvarekvalitet og prosessoptimalisering, trygg og holdbar mat, forbrukerforståelse og sensorikk, mat og helse, industriell gastronomi og innovasjon. Forskning som øker utbudet av fersk og bearbeidet sjømat prioriteres.
Nofima skal også levere forskning og analyse til ingrediens-, havbruks-, næringsmiddel- og farmasøytisk industri. Forskninga omfatter marin bioprospektering, råstoffkunnskap, biproduktutnyttelse, fôr og ernæring og prosessering av ingredienser og fôr.
Nofima skal framskaffe økonomisk kunnskap som kan brukes til markedstilpasset produktutvikling. Forskninga omfatter forbrukerforskning, markedsanalyser, næringsøkonomiske analyser og det arbeides også med informasjonslogistikk og sporing.
Et viktig mål for Nofima er å integrere forskning fra blå og grønn sektor og å utnytte kompetanse og metodikk på tvers av tidligere institutt- og sektorgrenser.
Det forutsettes at Nofima samarbeider tett med både nasjonale og internasjonal kompetansemiljøer i institutt-, universitets- og høyskolesektoren. Nofima skal legge vekt på å utvikle et strategisk, faglig og organisatorisk samarbeid mellom Nofima på den ene siden og de aktuelle fagmiljøene ved universitetene og høyskolene på den andre siden. Viktige siktemål er rasjonell utnyttelse av infrastruktur og grunnleggende kompetansebyggende forskning. Nofima skal legge vekt på å utvikle et gjensidig samarbeid med SINTEF Fiskeri og havbruk AS.
Fiskeri- og kystdepartementets direkte bevilgning
Fiskeri- og kystdepartementets direkte bevilgning til Nofima skal bidra til å bygge opp under departementets strategi gjennom forskning og utvikling for å fremme økt verdiskaping i fiskeri- og havbruksnæringa.
Bevilgninga til havbruksforskning og industri- og markedsrettet forskning foreslås videreført.
Det vurderes som nødvendig at avlsprogrammet for torsk i nåværende fase fortsatt drives i offentlig regi. Dette bidrar til å sikre kvaliteten i avlsarbeidet, og den stabilitet og langsiktighet som er nødvendig i denne typen arbeid. Eventuelle inntekter fra avlsstasjonen i 2009 skal gå til drift av stasjonen. Det forutsettes at havbruksnæringa på sikt selv skal overta ansvaret for avl på torsk, slik den tidligere har gjort for laks. Tilskuddet til drift og utvikling av torskeavlsprogrammet foreslås videreført på samme nivå som tidligere år. I den videre drifta av avlsprogrammet må det tas høyde for at næringsmessige, distriktsmessige og miljømessige hensyn skal ivaretas. Nofima bes om at den videre utviklinga av avlsprogrammet skjer i nært samarbeid med forvaltninga og andre forskningsmiljø.
Driftstilskuddet knyttet til havbruksstasjonen i Kårvika videreføres. Tilskuddet for å dekke lånekostnader knyttet til nytt sjøanlegg videreføres i 2009.
Forskning i og for nordområdene er et viktig satsingsområde i 2009. Forskning som kan bidra til å øke kunnskapen om, og grunnlaget for, næringsutvikling i nordområdene prioriteres.
Det settes av inntil 3 mill. kroner til midlertidig husleiestøtte til Måltidets hus i Stavanger. Måltidets hus forventes å få en viktig rolle i den matfaglige utviklinga regionalt og nasjonalt.
Bevilgninga til Nofima over kap. 1023 post 72 er på 66,2 mill. kroner i 2009.
Resultater 2007–2008
Tabell 7.8 Oversikt over Nofimas bruk av tilskuddet fra Fiskeri- og kystdepartementet. Regnskap 2007 og budsjett 2008.
Formål | Regnskap 2007 | Budsjett 2008 |
|---|---|---|
Leiekostnader havbruksstasjonen i Tromsø | 7 237 | 7 530 |
Husleiekompensasjon | 10 000 | 10 200 |
Kompensasjon for bortfall av differensiert arbeidsgiveravgift | 1 363 | 0 |
Kapitalkostnad sjøanlegg | 2 000 | 2 000 |
Leie avlsstasjon | 11 300 | 10 600 |
Faglige aktiviteter inkl. drift av toskeavlsprogrammet | 29 700 | 30 270 |
Sum tilskudd fra Fiskeri- og kystdepartementet inkl. overførte midler | 61 600 | 60 000 |
Oversikten inkluderer tilskudd til markedsforskning over kap. 1023 post 71 Tilskudd til utviklingstiltak
Nofima disponerte i 2007 tilskudd fra Fiskeri- og kystdepartementet og basisbevilgning fra Forskningsrådet. Høsten 2007 ble Fiskeriforskning og AKVAFORSK fusjonert til ett selskap som fikk navnet Nofima Akvaforsk – Fiskeriforskning AS. Den nye strukturen ble ikke operativ før i 2008. Resultatrapporteringen for 2007 omfatter derfor kun aktivitet ved tidligere Fiskeriforskning. For resultatrapportering fra Akvaforsk for 2007 vises det til budsjettproposisjonen for Landbruks- og matdepartementet.
Nofima har ansvaret for det nasjonale avlsprogrammet for torsk. Samlet tilskudd til avlsprogrammet i 2007 var 30 mill. kroner. Produksjonen foregår på Kraknes rett utenfor Tromsø ved Nasjonal avlsstasjon for torsk. Avlsprogrammet baseres på om lag 200 familiegrupper. Selektert stamfisk ble benyttet første gang i 2006. I seleksjonen er det lagt vekt på vekstegenskaper og resistens mot vibriose. Hovedfokus i avlsprogrammet har så langt vært å få på plass de produksjonsmessige sidene ved avlsprosessen, medregnet etablering av gode produksjonsfasiliteter og tilstrekkelig antall familier, kvalitetssikring, rutiner for testing av sykdomsresistens og datahåndtering. Fra og med 2008 er det lagt større vekt på leveranser til næringa. Det har vært en sterk vekst i etterspørsel etter egg fra avlsprogrammet. Avlsprogrammet kan nå levere egg fire ganger i året, dvs. at de også kan levere utenom ordinær gytesesong. I 2007 hadde torskeavlsstasjonen nesten 3 mill. kroner i inntekter fra salg av egg, yngel og fisk. Inntekter fra avlsprogrammet er benyttet til driften av stasjonen.
Instituttets arbeid innen produksjonsoptimalisering, fiskesykdommer og fangstbasert havbruk har stor næringsmessig interesse. Forsøk har blant annet vist at det er betydelig variasjon i fôrutnyttelse mellom fisk i ulike merder. Dette indikerer at det er stort potensial for bedre fôrutnyttelse hos laks i merd.
Nofima gjennomfører årlig driftsundersøkelser i fiskeindustrien. Lønnsomhetsundersøkelsen for 2006 viste at lønnsomheten i fiskeindustrien som produserer for konsum har gått markant ned. Det var i første rekke store underskudd i industrien som produserer sild og makrell som trakk ned inntjeningen. Det kraftige fallet i sysselsetting i fiskeindustrien bremset noe i 2006. Antall sysselsatte falt med tre pst. mot fem pst. året før.
Videre har en rekke næringsrelevante tema knyttet til råstoff, sporing, foredling, produktutvikling og marin bioteknologi blitt presentert. Det er blant annet vist at superkjøling av hyse til temperatur under null grader celsius (uten at fiskemuskelen fryser) før filetering og skinning ga optimal kvalitet og lite spalting.
Tilskudd til marin bioteknologi m.v (jf. post 74)
Bioteknologi kan danne grunnlaget for verdiskaping og næringsutvikling innen medisin, helse, marin bioprospektering og i ulike typer industriell produksjon. Norge har komparative fortrinn innen marin bioprospektering blant annet fordi vi har tilgang til store havområder der ekstreme livsmiljø har gitt opphav til organismer med unike egenskaper som ikke finnes andre steder.
Det er gjennomført flere tiltak for å støtte opp om utvikling av marin bioprospektering i Norge. Det gjelder finansiering av grunnleggende forskning, kartlegging, innsamling og kommersialiseringstiltak. Tromsø er senter for satsingen på marin bioprospektering, men det finnes sterke miljøer også ved Universitetene i Trondheim, Bergen og Oslo.
Tilskudd over denne posten omfatter også bevilgningene til MABIT (Et næringsrettet forskning og utvikingsprogram innen marin bioteknologi i Nord-Norge), RUBIN-programmet (Resirkulering og utnyttelse og organiske biprodukter i Norge) og Marbank (den marine biobanken i Tromsø). Marbank skal hente inn, kartlegge og oppbevare materiale fra nordområdene.
Mål og prioriteringer
Leting og innhenting av interessante marine organismer, oftest i havets ekstreme omgivelser (store dyp, høyt trykk og svake lysforhold), kan være svært kostbart og ressurskrevende. Innhentet materiale krever betydelig tilrettelegging i biobanker for at det skal bli tilgjengelig for industriell og kommersiell utnyttelse.
Innsatsen for å samle inn og kartlegge ressursene, medregnet spørsmål knyttet til rettigheter, styrkes i 2009. Innsamling foregår i dag i regi av flere aktører, og det må legges til rette slik at alt innsamlet materiale blir samlet ett sted og gjøres tilgjengelig for alle brukere. Dette innebærer at Marbank må gis tilstrekkelig ressurser slik at institusjonen kan fungere som et kompetansesenter som kan gi råd om prosedyrer for innsamling, prosessering og konservering med videre.
For å bidra til å utløse potensialet for næringsvirksomhet med basis i marine biologiske og genetiske ressurser er det nødvendig med styrket forskningsinnsats og kompetanseheving, og det må legges til rette for kommersialisering av forskningsresultater.
Regjeringa foreslår å styrke bevilgninga til marin bioprospektering med 10 mill. kroner over Fiskeri- og kystdepartementets budsjett i 2009. Av dette skal 1 mill. kroner gå til styrking av MABIT-programmet, slik at total bevilgning til programmet blir 6 mill. kroner i 2009.
Resultater 2007–2008
Det vises til omtale under kap 1023 post 71.
Budsjettforslag 2009
Post 50 Tilskudd til Norges forskningsråd, kan overføres
Innenfor bevilgninga settes det blant annet av midler til dekning av basisbevilgninger, Fiskeri- og kystdepartementets bidrag til strålevernprogrammet Nuclear Fission Safety i EUs rammeprogram for forskning og kostnader knyttet til nasjonal marin forskningsekspert i EU.
I forbindelse med opprettelsen av Nofima er det overført 19,7 mill. kroner fra Landbruks- og matdepartementet til Fiskeri- og kystdepartementet i budsjettet for 2009. Av dette utgjør grunnbevilgninga 12,7 mill. kroner og strategiske instituttprogram (SIP) 7 mill. kroner.
Det fremmes forslag om å bevilge 308,4 mill. kroner på posten i 2009.
Post 51 Tilskudd til Veterinærinstituttet
Tilskuddet skal dekke oppgaver innen forvaltningsstøtte (forskning, beredskap, diagnostikk, rådgiving og kartlegging av risikofaktorer) vedrørende helse hos fisk og andre akvatiske organismer og enkelte områder innenfor sjømattrygghet.
Det fremmes forslag om å bevilge 37,9 mill. kroner på posten i 2009.
Post 71 Tilskudd til utviklingstiltak, kan overføres
Det fremmes forslag om å bevilge 23,3 mill. kroner på posten i 2009.
Post 72 Tilskudd til Nofima AS, kan overføres
Det fremmes forslag om å bevilge 66,2 mill. kroner på posten i 2009. Tilskuddet skal dekke alle de nasjonale oppgavene som Nofima er gitt av Fiskeri- og kystdepartementet.
Bevilgninga på posten er foreslått økt med 3 mill. kroner til midlertidig husleiestøtte på inntil 3 mill. kroner knyttet til etableringen av Måltidets hus i Stavanger fra 1. januar 2009. Måltidets hus er et viktig bidrag for å samle de matfaglige miljøene i Norge.
Post 74 Tilskudd til marin bioteknologi m.v.
Bevilgninger på posten dekker tilskudd til Marin bioteknologi i Tromsø (MABIT-programmet), Resirkulering og utnyttelse av organiske biprodukter i Norge (RUBIN-programmet) og den marine biobanken i Tromsø (Marbank) og midler til marin bioprospektering i nord.
Det foreslås å øke bevilgninga på posten med 10 mill kroner i forhold til saldert budsjett for 2008. Midlene går til tiltak innen regjeringas satsing på marin bioprospektering.
Det foreslås ei samlet bevilgning på 25 mill. kroner på posten i 2009.
Kap. 2415 Innovasjon Norge, fiskeri- og andre regionalpolitiske tiltak
(i 1 000 kr) | ||||
|---|---|---|---|---|
Post | Betegnelse | Regnskap 2007 | Saldert budsjett 2008 | Forslag 2009 |
75 | Marint verdiskapingsprogram , kan overføres | 16 658 | 75 000 | 75 000 |
Sum kap. 2415 | 16 658 | 75 000 | 75 000 |
Innledning
Innovasjon Norge spiller en sentral rolle i marin sektor, og vil gjennom sin virksomhet bidra til å realisere nasjonale og regionale mål for næringa. Innovasjon Norges samlede tilsagn innenfor marin sektor i 2007 var på 1 015 mill. kroner.
Fiskeri- og kystdepartementet fastsetter, med hjemmel i Kgl. resolusjon av 20. desember 1996, overordnede fiskeripolitiske retningslinjer for virkemidler Innovasjon Norge, fylkeskommunene og kommunene forvalter og som er rettet mot fiskeri- og havbruksnæringa. Fiskeri- og kystdepartementet har revidert disse retningslinjene i 2008. Siden ansvarsreformen begrenser departementets instruksjonsmyndighet på midler forvaltet av kommunene og fylkeskommunene, omfatter de reviderte retningslinjene bare Innovasjon Norges virkemiddelbruk.
Regjeringas mål er at Norge skal bli en av de ledende innovative dynamiske og kunnskapsbaserte økonomier i verden innenfor de områder hvor vi har fortrinn. Marin sektor er i den sammenheng et prioritert innsatsområde.
Regjeringa vil føre en ny og helhetlig kyst- og fiskeripolitikk, som skal bidra til langsiktig miljømessig forsvarlig verdiskaping for hele samfunnet og rettferdig fordeling av ressursene. Det legges videre vekt på at verdiskapinga av de nasjonale fiskeressursene i størst mulig grad skal komme kystsamfunn som er avhengig av fiskeriene til gode.
Fiskeri- og havbruksnæringa opererer i et internasjonalt marked der globaliseringa fører til stadig hardere konkurranse. Organiseringa av moderne matvaremarkeder, bedre global infrastruktur og logistikkløsninger og industriell utvikling i nye regioner skjerper konkurransen både når det gjelder råstoff og konsumprodukter. Slike endringer krever større innsats for nyskaping og markedsretting i den marine verdikjeden.
Innovasjon Norges tre hovedsatsingsområder er innovasjon og kompetanseutvikling, bedrifters utviklings- og kommersialiseringsfase og internasjonalisering. Gjennom disse hovedsatsingene vil Innovasjon Norge arbeide for å styrke forutsetningene for økt lønnsomhet i de marine næringene og iverksette tiltak som direkte eller indirekte fremmer økt verdiskaping, også i samarbeid med øvrig næringsliv. Dette omfatter behandling av lån og tilskudd til enkeltbedrifter og fartøy, initiering av tiltak for kompetanseheving i bedrifter og etablering og oppfølging av nettverk. Et særlig satsingsområde i Innovasjon Norges marine arbeid er oppfølginga av det marine verdiskapingsprogrammet.
Innovasjon Norge gir gode muligheter for å styrke kvaliteten på utviklingsarbeidet rettet mot marin sektor. Det gjøres blant annet ved å kople marin og innovasjonsfaglig kompetanse, og aktivt ta i bruk hele apparatet som spenner fra internasjonale markeder til kundene langs kysten, med sikte på helhetlig og verdibasert utvikling av næringa. Samarbeid og god koordinering med Norges forskningsråd og det øvrige apparatet for fremme av innovasjon står sentralt, og virkemiddelapparatets tjenester skal være tilgjengelige gjennom en enhetlig brukerfront.
Innovasjon Norge ivaretar en viktig rolle overfor de regionale partnerskapene, og bidrar med kompetanse og premisser for det marine utviklingsarbeidet i fylker og regioner med sikte på størst mulig nasjonal effekt. Innovasjon Norge samarbeider med Fiskeridirektoratet og Kystverket om arbeidet overfor fylkene.
Innovasjon Norge har etablert en samarbeidsavtale med Fiskeri- og havbruksnæringens forskningsfond (FHF). Innovasjon Norge forvaltet ikke midler på vegne av fondet i 2007, men har samfinansiert tre prosjekter med FHF, hvorav to av prosjektene gjelder sporing.
Regjeringa har etablert et nytt statlig investeringsselskap, Investinor AS, med en forvaltningskapital på 2,2 mrd kroner. Selskapet skal bidra til økt verdiskaping gjennom å tilby risikovillig kapital til internasjonalt orienterte, konkurransedyktige bedrifter, primært nyetableringer. Av forvaltningskapitalen på 2,2 mrd. kroner er 500 mill. kroner satt av til investeringer i marint næringsliv. Prioriterte satsingsområder for Investinor AS er miljø, energi, reiseliv, marin og maritim sektor. Investeringsselskapet er organisert som et datterselskap av Innovasjon Norge og lokalisert til Trondheim. Selskapet skal spesielt konsentrere seg om investeringer i den tidlige vekstfasen, men kan også investere i ekspansjonsfasen.
Innovasjon Norge har administrert Strukturfondet for kapasitetstilpasning i fiskeflåten inntil lovhjemmelen for innkreving av strukturavgift utløp 1. juli 2008, jf. omtale under kap. 1050 post 76.
Marint verdiskapingsprogram
Mål og prioriteringer
Formålet med Marint verdiskapingsprogram er å forsterke norsk sjømatnærings evne til bedre å utnytte de markedsmessige konkurransefortrinnene som ligger i norsk kvalitetsråstoff og det høye kompetansenivået i Norge. Programmet skal styrke bedriftenes evne til langsiktig og strategisk markedsarbeid. Målgruppa for programmet er marine bedrifter som vil utvikle en strategisk orientering mot globale og norske sjømatmarkeder gjennom forpliktende, markedsrettede nettverk. Programmet ble i 2007 utvidet for å styrke arbeidet i fiskeriavhengige omstillingsområder, et arbeid som er samordnet med og forsterker regjeringas generelle arbeid med utsatte kystdistrikter.
Programmet skal
styrke kunnskapsgrunnlaget og bistå bedriftene i å bygge kompetanse om markedskrav og internasjonalisering
omsette markedskompetanse til strategisk kunnskap og handling i bedriftene
fremme ei sjømatnæring som øker verdiskapinga ved å ta opp i seg forskningsresultater og nye ideer
bedre koordineringa av den samlede offentlige innsatsen for marin verdiskaping.
Innovasjon Norge har utarbeidet en programbeskrivelse for Marint verdiskapingsprogram og er ansvarlig for gjennomføringa. Innovasjon Norge har i 2008 arbeidet med et mål- og resultatstyringssystem for verdiskapingsprogrammet. Det er også gjennomført en nullpunktsanalyse av programmet basert på mål- og resultatstyringssystemet. Dette arbeidet skal danne utgangspunkt for senere å kunne vurdere virkningene av programmet.
Innovasjon Norge skal gjennom programmet bidra til god koordinering av den samlede offentlige innsatsen for marin verdiskaping, og blant annet legge opp til nært samarbeid med fylkeskommunene, Norge forskningsråd og Fiskeri- og havbruksnæringens forskningsfond.
Det er opprettet ei nasjonal rådgivende arbeidsgruppe med representanter fra Norges Fiskarlag, Fiskeri- og havbruksnæringens landsforening, Norske Sjømatbedrifters Landsforening, LO, Eksportutvalget for fisk, Norges forskningsråd, Fiskeri- og havbruksnæringens forskningsfond og fylkeskommunene.
Tilbudene til bedriftene gjennom Marint verdiskapingsprogram består av bedriftsnettverk rettet mot markedene, som støttes av kompetanseprogram, traineeordning, internasjonaliseringstiltak og utviklingstiltak.
En vesentlig del av Marint verdiskapingsprogram skal rettes mot bedrifter i kystkommuner med omstillingsbehov for å øke bedriftenes konkurransekraft og lønnsomhet. Dette tilbudet, kalt ”Kystnæringer mot marked”, ble utviklet i løpet av 2007/2008. Målet er at marine bedrifter, også i samarbeid med øvrig næringsliv, skal få en særskilt hjelp for å utvikle lokale fortrinn til mer varig lønnsomhet.
Fiskeri- og kystdepartementet er opptatt av at marine bedrifter i hele verdikjeden blir kjent med og får tilbud om å delta i Marint verdiskapingsprogram. Det er videre viktig at bedriftene i nettverkene blir gjort kjent med og får tilbud om å delta i de ulike støtteaktivitetene.
Deler av marin sektor har i dag en lav kvinneandel. Departementet har derfor bedt Innovasjon Norge sette interne mål for kvinneandelen i Marint verdiskapingsprogram. Innovasjon Norge har selv framhevet at de ser programmet som et egnet virkemiddel for å bidra til å øke andelen kvinner i næringa. Ambisjonen med programmet er å omstille sjømatnæringa mot en sterkere markedsorientering. I tillegg til ei mer konkurransedyktig næring ventes det at dette også vil skape arbeidsplasser som er mer attraktive for nyutdannede arbeidstakere, ikke minst kvinner.
Fiskeri- og kystdepartementet er opptatt av å styrke konkurransefortrinnene norske bedrifter har basert på tilgangen på fersk fisk. I regjeringas ferskfiskstrategi, som ble lagt fram sommeren 2007, er det satt mål og tiltak som Innovasjon Norge følger opp.
Fiskeri- og kystdepartementet vil følge opp stortingsmeldinga om kongekrabbe. Det er et mål å begrense spredninga av kongekrabbe utenfor de kommersielle områdene. Departementet mener det er viktig med tiltak som kan skape kommersiell utnyttelse av kongekrabber som i dag ikke har noen kommersiell verdi. Det kan begrense videre spredning av kongekrabbe i norske havområder. Innovasjon Norge vil utarbeide en strategi for å stimulere til lønnsom næringsutvikling basert på høsting av kongekrabber som til nå ikke har hatt en kommersiell anvendelse.
Fiskeri- og kystdepartementet har lansert en strategi for økt samspill mellom marin sektor og reiselivsnæringa. Bakgrunn for strategien er erkjennelsen av at fiskeri- og havbruksnæringa kan bidra til å gjøre kystbasert reiseliv enda mer attraktivt, samtidig som næringa kan skape nye verdier dersom interessen for kystbasert reiseliv øker. Det er gjennomført flere tiltak for å bidra til dette. Blant annet kan turister nå fiske sammen med yrkesfiskere, og ta med seg fangst som er overtatt og avregnet på fiskefartøyets kvote. Fiskeri- og kystdepartementet har også startet en gjennomgang av regelverket med sikte på at lokale serveringssteder kan få levert fersk sjømat direkte fra lokale fiskere. Fiskeri- og kystdepartementet mener at Innovasjon Norge er en viktig aktør for å stimulere til økt samspill og nettverk mellom fiskeri- og havbruksnæringa og reiselivsnæringa.
Resultater 2007–2008
Bevilgninga på posten i 2007 og 2008 var 75 mill. kroner. Hoveddelen av midlene er gått til tiltak i næringa som går på tvers av fylker og kommuner og som er internasjonalt rettet. Selv om over 90 pst. av den norske sjømatproduksjonen blir eksportert, har næringa ei utfordring i å få kunnskap om markedet og kundenes behov.
Det gjelder å bygge gode relasjoner med kundene i markedet. Dersom næringa blir mer lønnsom og konkurransedyktig kan det medvirke til at næringa blir mer attraktiv for unge, utdannede mennesker, medregnet kvinner. Av de som deltok på det første traineeprogrammet var 45 pst. kvinner.
Innovasjon Norge har i 2008 arbeidet med et mål- og resultatstyringssystem for verdiskapingsprogrammet. Det er nå etablert et system hvor alle bedrifter som deltar nettverksprogrammet gjennomgår en nullpunktsanalyse.
Kravene til spissing mot markedene og forpliktelsene ved å delta er en utfordring. Totalt ble det mobilisert 19 nettverk som ledd i forprosjektfasen i 2006 og 28 i 2007. Det ble opprettet ett hovedprosjekt i 2006 og ni hovedprosjekt i 2007. I første halvdel av 2008 ble det etablert seks forprosjekt og fire hovedprosjekt. Det betyr at omtrent 300 sjømatbedrifter nå deltar i markedsrettet nettverksarbeid i Marint verdiskapingsprogram. Flere nettverk er nå etablert i Nord-Norge, og flere nettverk har deltakelse fra fiskeflåten. Eksempler på nettverk er samarbeid mellom fiskeflåte, industri, Debio og matvarekjede om å levere en miljøsertifisert, kvalitetsmerket hvitfisk. En slik kvalitetsmerking kan gi merpris til bedriftene som deltar. Et annet nettverk har som mål å heve og målstyre kvaliteten på laks til røyking. I samarbeid skal nå røykeriene, eksportørene og oppdretterne klart spesifisere hva som menes med riktig kvalitet, og målstyre produksjonen deretter. Røykeriene er villig til å betale mer per kg for denne laksen, også fordi de forventer færre reklamasjoner.
Et kompetansesenter for markedsorientering av sjømatnæringa ble startet i 2007. Norges Handelshøyskole leverer det skreddersydde kompetanseprogrammet for strategi, alliansebygging og merkevareutvikling. I 2007 gjennomførte 29 deltakere kompetanseprogrammet. I årets program er det også 29 deltakere fra virksomheter i marin sektor. Andelen kvinner som deltok på kompetanseprogrammet økte fra 25 pst. i 2007 til 35 pst. i 2008. Deltagerne gjennomfører og forsvarer en markedsrettet strategioppgave utarbeidet med basis i egen bedrift.
Nøkkelpersoner fra sjømatbedrifter blir gjennom traineeprogrammet tilbudt et markedsopphold fra tre til tolv måneder. Det meste av oppholdet skal gjennomføres hos en eller flere markedsaktører utenlands. Ni traineer, av de fire kvinner, gjennomførte traineeprogrammet i 2007/2008. Traineene kommer fra bedrifter i hele landet. Traineene har vært utplassert i ulike internasjonale markeder, som Portugal, Frankrike og Kina. Ordninga er positivt mottatt. Erfaringene så langt er at deltakernes alder og grad av støtte fra bedriften er viktige parametre for utbytte av ordninga. Det har meldt seg over 20 nye søkere til årets traineeopptak. Av disse har seks fått tilbud om å delta, og av de er fire kvinner.
Målet med felles internasjonaliseringstiltak er å overføre markedskompetanse til norske sjømatbedrifter. Innovasjon Norge har i samarbeid med Eksportutvalget for fisk invitert marine bedrifter til fellessamlinger og arenaer for markedsmuligheter, profilering og omdømmebygging.
I delprogrammet ”Kystnæringer mot marked” er det i samarbeid med fylkeskommunene og kommunene valgt ut syv områder for videre målrettet innsats. Områdene er:
Lebesby og Gamvik i Finnmark.
Måsøy, Hasvik og Loppa i Finnmark.
Vardø i Finnmark.
Skjervøy, Lyngen, Karlsøy, Torsken og Bjarkøy i Troms.
Herøy, Lødingen, Vågan, Vestvågøy, Bø og Øksnes i Nordland.
Nærøy, Vikan, Flatanger, Osen, Roan og Frøya i Nord- og Sør-Trøndelag.
Vågsøy, Selje og Bremanger i Sogn og Fjordane.
I løpet av våren har det vært arrangert startsamlinger i sju regioner (til sammen 25 kommuner). I alt har 203 personer deltatt på første samling, hvor tema har vært lokale konkurransefortrinn, bærekraftig utvikling i et utvidet begrep og samarbeid mellom forskjellige næringer. Målet er å skape ny optimisme med varige, lønnsomme lokale aktiviteter som skal nå ut til et globalt marked.
Bedriftene har i etterkant av møtene fått tilbud om dybdeintervju for å avdekke mulige forretningsmuligheter, og om bedriften har behov for samarbeidspartnere. Til sammen 168 bedrifter har bedt om et slikt intervju. Av disse er 82 marine bedrifter og 44 reiselivsbedrifter. Så langt i prosessen er det avdekket 68 aktuelle prosjekter som ønskes realisert, blant disse er flere aktuelle samarbeidsprosjekter mellom marine virksomheter og reiselivsbedrifter. Det arbeides videre med et tilbud for å kunne virkeliggjøre aktuelle lønnsomme prosjekter. Bedriftene vil i løpet av høsten bli fulgt opp videre, med særlig vekt på å styrke det markedsrettete arbeidet deres.
Budsjettforslag 2009
Post 75 Marint verdiskapingsprogram
Det fremmes forslag om å bevilge 75 mill. kroner på posten i 2009.
Programkategori 16.30 Fiskeri- og havbruksforvaltning
Utgifter under programkategori 16.30 fordelt på kapitler
(i 1 000 kr) | |||||
|---|---|---|---|---|---|
Kap. | Betegnelse | Regnskap 2007 | Saldert budsjett 2008 | Forslag 2009 | Pst. endr. 08/09 |
1030 | Fiskeridirektoratet | 312 716 | 310 980 | 333 720 | 7,3 |
1050 | Diverse fiskeriformål | 51 379 | 181 990 | 59 490 | -67,3 |
Sum kategori 16.30 | 364 095 | 492 970 | 393 210 | -20,2 |
Utgifter under programkategori 16.30 fordelt på postgrupper
(i 1 000 kr) | |||||
|---|---|---|---|---|---|
Post-gr. | Betegnelse | Regnskap 2007 | Saldert budsjett 2008 | Forslag 2009 | Pst. endr. 08/09 |
01-20 | Driftsutgifter | 307 369 | 305 000 | 327 600 | 7,4 |
21-23 | Andre driftsutgifter | 3 831 | 4 330 | 4 520 | 4,4 |
30-49 | Nybygg, anlegg | 1 516 | 1 650 | 1 600 | -3,0 |
70-89 | Overføringer til private | 51 379 | 181 990 | 59 490 | -67,3 |
Sum kategori 16.30 | 364 095 | 492 970 | 393 210 | -20,2 |
Innledning
Programkategori 16.30 utgjør om lag 10,6 pst. av det samlede budsjettet under Fiskeri- og kystdepartementets ansvarsområde. Programkategorien omfatter Fiskeridirektoratet og virkemidler overfor fiskeri- og havbruksnæringa.
Omtalen under programkategorien omhandler både Fiskeri- og kystdepartementets og Fiskeridirektoratets arbeid. Aktivitetene i Fiskeri- og kystdepartementet finansieres over departementets administrasjonsbudsjett kap. 1000, mens Fiskeridirektoratets virksomhet finansieres over kap. 1030 Fiskeridirektoratet.
Bærekraftig ressursforvaltning
Hovedmål: Norge skal ha en internasjonal rolle som ivaretar våre interesser og vårt ansvar som havnasjon og kyststat på en helhetlig måte.
Internasjonalt samarbeid om ressurser og miljø
Mål og prioriteringer
Fiskeriforvaltninga skal ivareta Norges ansvar og interesser som havnasjon i internasjonalt havmiljø- og ressurssamarbeid.
I dette ligger det at Norge skal være premissleverandør og bidragsyter til den internasjonale havdebatten, og arbeide for at sentrale norske posisjoner knyttet til internasjonal marin ressurs- og miljøforvaltning får gjennomslag. Videre skal Norge arbeide for kontrollordninger som sikrer etterlevelse av alle avtaler om fiske på fellesbestander, og søke å inngå avtaler om felles fiskebestander som sikrer bærekraftig forvaltning og kontroll med uttak av fisk.
Over 90 pst. av norsk fiske foregår på bestander som forvaltes i samarbeid med andre land. Forpliktende internasjonalt samarbeid er avgjørende for mulighetene til å forvalte ressursene på en bærekraftig måte.
I økende grad legger internasjonale organisasjoner og konvensjoner viktige rammebetingelser for norsk forvaltning av levende marine ressurser og miljø. Fiskeri- og kystdepartementet vil derfor fortsatt legge stor vekt på dette området. Departementet vil særlig prioritere arbeidet med oppfølging av evalueringa av FN-avtalen om fiske på det åpne hav, utviklinga av internasjonalt regelverk om havnestatskontroll og regelverk knyttet til etablering av marine verneområder. Fiskeri- og kystdepartementets utgangspunkt for arbeidet med marine verneområder er å ta vare på økosystemet slik at både langsiktig produksjonspotensial og biomangfold ivaretas. Drøftingene om marine verneområder vil blant annet foregå innenfor rammen av FNs generalforsamling, FN-konvensjonen om biologisk mangfold, FNs matvareorganisasjon (FAO) og i de regionale fiskeriforvaltningsorganisasjonene.
Resultater 2007–2008
Norge har inngått bilaterale rammeavtaler om fiskerisamarbeid med Russland, EU, Grønland og Færøyene. En trepartsavtale om loddebestanden ved Island, Grønland og Jan Mayen er videreført både i 2007 og 2008. Smutthullavtalen mellom Island, Russland og Norge innebærer at Island godtar at de regulerte fiskebestandene i det nordlige Norskehavet og Barentshavet forvaltes av Den blandete norsk-russiske fiskerikommisjon.
Flere av de viktigste fiskeslagene i Barentshavet befinner seg både i russisk og norsk jurisdiksjonsområde. Det er derfor av avgjørende betydning å videreføre samarbeidet mellom fiskeri- og kontrollmyndighetene i Norge og Russland. Det er også av sentral betydning å styrke kontrollen med fartøy og landing av fangst fra disse områdene, både i Norge og i andre land som er havn for fartøy med fiskeriaktivitet i Barentshavet. Gjennom Den blandete norsk-russiske fiskerikommisjonen fastsetter Norge og Russland kvoter og reguleringer for fisket i Barentshavet, medregnet avsetninger til tredjeland. Norge og Russland har fastsatt en totalkvote for norsk-arktisk torsk i 2008 på 430 000 tonn. Dette er i tråd med den langsiktige beskatningsstrategien som ble vedtatt under kommisjonens sesjon høsten 2002.
Norsk vårgytende sild er Nord-Atlanterens største fiskebestand. Den 18. januar 2007 ble det undertegnet en kyststatsrammeavtale mellom EU, Færøyene, Island, Norge og Russland med en ny fordeling av andeler på partene. Den nye fempartsavtalen innebærer en øking av Norges andel til 61 pst. Avtalen ble videreført for 2008 og Norges kvote er på 925 980 tonn.
På grunnlag av den bilaterale rammeavtalen av 1978 har Norge og EU inngått årlige kvoteavtaler om Norges og EUs fiske på fellesbestandene i Nordsjøen, norsk fiske vest for De britiske øyer og ved Grønland og EUs fiske i Norges økonomiske sone i Barentshavet.
Norge og EU har avtalt langsiktige forvaltningsstrategier for nordsjøbestander av torsk, sei, hyse og sild. Strategiene fastlegger bestandsnivåer og tiltaksgrenser som grunnlag for fastsettelse av kvoter. Den langsiktige forvaltningsplanen for hyse er revidert med sikte på å oppnå et høyere langtidsutbytte fra bestanden. Forvaltningsplanene for sei og sild skal revideres i løpet av 2008. Norge vil også arbeide videre for å utvikle tekniske tiltak for å forbedre beskatningsmønsteret i Nordsjøen.
Utkast av fisk er en av de alvorligste truslene mot ei bærekraftig forvaltning. Spesielt gjelder det for de bestandene vi forvalter felles med EU i Nordsjøen. Norge vil derfor arbeide for en ytterligere innskjerping av reglene for utkast av fisk som utenlandske fartøy har fisket i norsk sone. Det vil bli satt betingelser, for eksempel som vilkår for lisens til å fiske, om at fartøy som vil fiske i norske farvann ikke kaster ut igjen fisk som er fanget her. Videre vil Norge også kreve andre bindende tiltak for å redusere utkast på felles forvaltede bestander i forbindelse med høstens kvoteforhandlinger med EU.
Situasjonen for enkelte bunnfiskarter i Nordsjøen er fremdeles vanskelig, spesielt for torsk. Norge og EU ble i kvoteavtalen for 2008 enige om en totalkvote for torsk på 22 152 tonn.
Etter kvoteavtalen mellom Norge og Færøyene for 2007 er Færøyene tildelt kvoter i norsk økonomisk sone, i fiskerisona ved Jan Mayen og i fiskevernsona ved Svalbard. Norge er tildelt kvoter i Færøyenes økonomiske sone.
Gjennom det mer enn hundreårige medlemskapet i Det internasjonale råd for havforskning (ICES) sikres Norge vitenskapelige råd om det marine miljøet og de levende marine ressursene. Arbeidet i de forskjellige arbeidsgruppene, i vitenskapskomiteene og rådgivingsprosessen i ICES danner det viktigste grunnlaget for forvaltninga av det marine miljøet og fiskeressursene.
Den 16. desember 2005 ble det inngått en rammeavtale om forvaltninga av kolmule mellom kyststatene Norge, Island, EU og Færøyene med tilhørende fordeling av andeler på partene, adgangsbestemmelser, kvoteoverføring fra EU til Norge og en forvaltningsplan.
På grunnlag av rammeavtalen ble det inngått kyststatsavtaler om forvaltninga av kolmule for 2007 og for 2008. Som følge av svak rekruttering er kolmulebestanden i dårlig forfatning, og kystatene ble derfor enige om en kvotereduksjon på 32 pst. fra 1,7 mill tonn for 2007 til 1 150 514 tonn for 2008. Norges andel er på 301 952 tonn. Den nye kvoten sikrer økt tilgang for norske fartøy til EU-sona. For å sikre bærekraftig forvaltning og redusere risikoen for at gytebestanden faller under føre-var-grensa, ble partene i et ekstraordinært møte i juli 2008 enige om en felles henvendelse til ICES med sikte på utarbeidelse av en ny forvaltningsplan for 2009.
Den nordøstatlantiske fiskerikommisjonen (NEAFC) har økende betydning for reguleringa av bestandene i områdene utenfor nasjonal fiskerijurisdiksjon i det nordøstlige Atlanterhavet. NEAFC har etter forslag fra Norge vedtatt å beskytte særlig sårbare områder, blant annet gjennom forbud mot bunntråling og annet fiske. Det arbeides videre for å tilpasse organisasjonen til den siste utviklinga innen internasjonal havrett. NEAFC har blant annet etablert en liste over fartøy som driver ulovlig, urapportert og uregulert fiske i NEAFC-området. Norge har fått gjennomslag for et forslag om et regime for havnestatskontroll som skal sikre kontrollen med ressursuttaket i det nordøstlige Atlanterhavet. Dette trådte i kraft 1. mai 2007. Etter initiativ fra blant annet Norge er NEAFC-konvensjonen modernisert for å legge til rette for ei mer helhetlig og økosystembasert forvaltning av ressursene i konvensjonsområdet.
Det er vedtak i Den nordvestatlantiske fiskeriorganisasjonen (NAFO) om å endre NAFO-konvensjonen for å tilpasse den til prinsipper om bærekraftig bruk, beskyttelse av habitater, økosystembasert forvaltning og andre viktige målsettinger. Det er utarbeidet et rammeverk for svartelisting av ikke-medlemmers fartøy som har deltatt i ulovlig, urapportert og uregulert fiske i NAFO-området.
Norge og EU har gjennomført flere forhandlingsrunder om fordeling og forvaltning av artene hestmakrell, tobis, øyepål og breiflabb. Selv om det ikke er enighet om fordelingen, ble det i 2008 gjennomført et felles opplegg for prøvefiske etter tobis som medførte at det kunne åpnes for kommersielt fiske. Norge måtte etter dette likevel stoppe fisket i NØS basert på råd fra Havforskningsinstituttet.
Miljøorganisasjoner og konvensjoner, som for eksempel Oslo-Paris-konvensjonen (OSPAR), Konvensjonen for handel med truede dyre- og plantearter (CITES) og Konvensjonen om biologisk mangfold (CBD), har økende innflytelse på sentrale rammebetingelser for fiskerinæringa, og til dels havbruk. Det er en forutsetning for bærekraftig høsting av marine ressurser at havmiljøet ikke forringes. For fiskeriforvaltninga er det derfor vesentlig å delta i internasjonale fora der marint miljø, medregnet biodiversitet og forurensing, behandles.
Medlemslandene i FNs matvareorganisasjon (FAO) har vedtatt internasjonale handlingsplaner for forvaltning av flåtekapasitet, haifiske, reduksjon av bifangst av sjøfugl i linefiske og tiltak mot ulovlig fiske. Disse planene innebærer en anmodning til medlemslandene om å utarbeide nasjonale handlingsplaner på disse områdene. Norge har påpekt at slike nasjonale handlingsplaner vil bidra til fragmentering av allerede etablerte forvaltningssystemer. Norge vil følge opp de internasjonale handlingsplanene ved å innarbeide målene i vår generelle fiskeripolitikk.
Fiskeri- og kystdepartementet deltar i CITES. Norge arbeider for at vedtak om listing av truede arter skal gjøres på bakgrunn av vitenskapelige råd. Neste partsmøte er i 2009.
Fiskeri- og kystdepartementet deltar i nordisk fiskerisamarbeid under Nordisk Ministerråd. Prioriterte områder er beskyttelse av Nordens marine økosystemer og bærekraftig forvaltning av ressursene.
Fiskeri- og kystdepartementet deltok aktivt i evalueringa av FN-avtalen om fiske på det åpne hav. På bakgrunn av et norsk forslag ble det i 2006 blant annet vedtatt å tilrå å utvikle et nytt rettslig instrument for havnestatskontroll under FAO. Vedtaket om å utarbeide en bindende global avtale om havnestatskontroll ble fulgt opp på møte i FAOs fiskerikomité (COFI) i 2007. For å få i stand en slik avtale, er det i tråd med vanlig framgangsmåte holdt ekspertkonsultasjon i 2007, og i regi av FAO holdes det tekniske konsultasjoner i løpet av 2008 og 2009. Norge har støttet prosessen finansielt.
Etter norske myndigheters syn er det et meget effektivt tiltak mot UUU-fiske å innføre slike havnestatsregimer, fordi det på en avgjørende måte rammer lønnsomheten i det urapportert fisket. Fiskeri- og kystdepartementet mener det nye regimet i NEAFC er en milepæl i arbeidet mot ulovlig fiske, og det er en viktig grunn til det reduserte UUU-fisket i Barentshavet. Med Stortingets tilslutning ble lovendringene satt i kraft 1. mai 2007.
Beskyttelse av biologisk mangfold på det åpne hav har stått sentralt i flere organisasjoner, blant annet har FNs generalforsamling, CBD og OSPAR i møter drøftet behovet for å opprette beskyttede områder på det åpne hav. Uttak av og fordeling av økonomisk gevinst av marine genetiske ressurser er et nytt tema som er blitt tatt opp i flere internasjonale organisasjoner, blant annet i FN, CBD og FAO.
Norge deltar i Den internasjonale hvalfangstkommisjonen (IWC) som en del av hvalforvaltninga vår. Det er særlig arbeidet i IWCs vitenskapskomité som er viktig for Norge. På norsk initiativ behandler vitenskapskomiteen et forslag til oppdatering av kvoteberegningsmodellen for bardehval (RMP), noe som på sikt kan føre til økte kvoter i vågehvalfangsten. Dette arbeidet var ventet avsluttet i 2008, men er utsatt til 2009.
Norge åpnet i januar 2001 for eksport av vågehvalprodukter. Det er en forutsetning for eksport at DNA-registeret er etablert og operativt, jf. omtale under kap. 1050 post 78. Det ble startet eksport til Island i juli 2002, og til Færøyene i mars 2003. Det arbeides fremdeles med å få Japan til å åpne for import.
Det vises for øvrig til St.meld. nr. 32 (2006–2007) Om dei årlege avtalane Noreg har inngått med andre land for 2007 og fisket etter avtalane i 2005 og 2006.
Ulovlig, urapportert og uregulert fiske
Mål og prioriteringer
Ulovlig, urapportert og uregistrert fiske skal elimineres.
Ulovlig fiske er fiskeaktiviteter som er
foretatt av et nasjonalt eller utenlandsk fartøy i havområder under en stats jurisdiksjon, uten tillatelse av den staten, eller i strid med statens lover og regler
foretatt av fartøy som er flagget til stater som er medlem i en relevant regional fiskerforvaltningsorganisasjon, men som opererer i strid med bevarings- og forvaltningstiltak vedtatt av den organisasjonen og som statene er bundet av, eller relevante folkerettslige bestemmelser
i strid med nasjonal lov eller internasjonale forpliktelser, inkludert forpliktelser for samarbeidsstater til en relevant regional fiskeriforvaltningsorganisasjon.
Urapportert fiske er fiskeaktiviteter som
ikke er rapportert, eller som er feilrapportert, til den relevante nasjonale myndighet, i strid med nasjonale lover og regler
er foretatt i kompetanseområdet til en relevant regional fiskerforvaltningsorganisasjon og som ikke er rapportert, eller som er feilrapportert, i strid med organisasjonens rapporteringsprosedyrer.
Uregulert fiske er fiskeaktiviteter som er
foretatt i konvensjonsområdet til relevant regional fiskerforvaltningsorganisasjon, av statsløse fartøy, eller av fartøy som er flagget til en stat som ikke er medlem av den relevante organisasjonen, eller av andre som driver med fiske på en måte som ikke er i samsvar med eller som motvirker den organisasjonens forvaltningstiltak
foretatt i områder eller på fiskebestander der det ikke foreligger anvendbare bevarings- eller forvaltningstiltak, når slike fiskeaktiviteter skjer på en måte som ikke er i samsvar med statenes folkerettslige ansvar for bevaring av de levende marine ressursene.
UUU-fiske omfatter alle aktiviteter som kan falle inn under en eller flere av disse kategoriene. For å styrke innsatsen mot UUU-fiske foreslår regjeringa å øke bevilgninga til dette formålet med 10 mill. kroner i 2009.
Boks 7.9 Tiltak mot ulovlig, urapportert og uregulert fiske
Det kreves langsiktig arbeid både nasjonalt og internasjonalt for å redusere omfanget av ulovlig, urapportert og uregulert fiske. Det tas sikte på at tiltakene som presenteres nedenfor skal følges opp de nærmeste årene.
Internasjonalt
Øke innsatsen overfor Russland i tilknytning til oppfølging av avtalte kontrollpunkter i forbindelse med de årlige kvote- og fiskeriavtalene.
Arbeide for tettere samarbeid med Kina innenfor rammen av den bilaterale samarbeidsavtalen for bedret kontroll med råstoff basert på norske bestander som transporteres til og fra Kina.
Øke omfanget av fellesinspeksjoner fra norske og russiske kontrollmyndigheter i europeiske havner.
Gjennomføre den bindende havnestatskontrollavtalen i regi av Den nordvestatlantiske fiskerikommisjonen (NAFO) som omfatter all fisk fra Nordvest-Atlanteren, for å sikre at fartøy uten tillatelse ikke har aktivitet og å sikre at kvoter ikke overskrides.
Arbeide fram en bindende FN-konvensjon om havnestatskontroll i regi av FAO.
Fornye og utvide eksisterende bilaterale kontrollavtaler med land Norge har etablert samarbeid med.
Inngå kontrollsamarbeid med flere land som kan være aktuelle samarbeidspartnere i innsatsen mot UUU-fiske.
Videreføre og ytterligere styrke samarbeidet med EU-kommisjonen i innsatsen mot ulovlig fiske.
Øke informasjonsutveksling og utveksling av kompetanse knyttet til elektroniske kontrollhjelpemidler.
Styrke innsatsen i alle regionale fiskeriforvaltningsorganisasjoner hvor Norge er medlem.
Arbeide for at de regionale fiskeriorganisasjonene publiserer lister over hvilke fartøy som driver eller mistenkes for å drive UUU-fiske.
Arbeide for bilaterale og regionale arrangement for utstedelse og validering av fangstsertifikat, i den hensikt å redusere sannsynligheten for at ulovlig fanget fisk kommer inn på det europeiske markedet.
Nasjonalt
Stortinget vedtok våren 2008 ny havressurslov. Loven samler flere hjemler for tiltak mot UUU-fiske, blant annet krav til sporbarhet av fisk og fiskeprodukter.
Nekte landing i Norge for fartøy som er fra land som ikke deltar i de regionale fiskeriorganisasjonene. Dette gjelder både fiske- og transportfartøy.
Nekte landing fra fartøy som tidligere har deltatt i UUU-fiske. Dette gjelder både fiske- og transportfartøy.
Nekte omlasting i havn og nekte bunkers og andre støttefunksjoner i havn for slike fartøy.
Kreve bekreftelse fra flaggstaten om at frossen fisk som ønskes landet fra et fartøy er fisket i tråd med regelverk og avregnes på fartøyets kvoter.
Norske fartøy forbys å fiske i internasjonalt farvann med mindre Norge er medlem i den aktuelle regionale organisasjon og er tildelt lisenser/kvoter.
Støtte norske organisasjoners arbeid med å styrke samarbeid med russiske næringsorganisasjoner.
Utvide det eksisterende samarbeidet med norske judisielle myndigheter, Toll- og avgiftsdirektoratet og Skatteetaten i den hensikt å rette kontrollinnsats mot flere ledd i verdikjeden.
Øke inspeksjonsfrekvensen ved landinger av fisk i norske havner også fra norske fartøy.
Resultater 2007–2008
Fiskeriforvaltninga skal ivareta Norges ansvar og interesser som havnasjon i internasjonalt havmiljø- og ressurssamarbeid på en helhetlig måte. En effektiv ressurskontroll er nødvendig for å forebygge og avdekke ressurskriminalitet. Kontrollinnsatsen er økt, det er foretatt endringer i regelverket for å gjøre det mer brukervennlig, preventive straffereaksjoner og administrative reaksjoner er benyttet ved overtredelse av regelverket og arbeidet med saker knyttet til fiskerikriminalitet har fått høyere prioritet i politiet og hos påtalemyndigheten.
Den internasjonale dimensjonen i ressursforvaltningsarbeidet er tilsvarende viktig. Fiskeri- og kystdepartementet har i 2008 satset betydelig på internasjonalt samarbeid om ressurskontroll. Som et ledd i dette ønsker norske myndigheter, under forhandlinger om kvoteavtaler og fiske i norske jurisdiksjonsområder, å innarbeide et forpliktende element som sikrer en reell kontroll med uttak og landinger av fangst. Grunnforutsetningen skal være at norske bestander skal beskattes innenfor et ansvarlig kontrollregime og at de avtaler Norge inngår med andre stater bør avspeile dette. Norge har også arbeidet multilateralt, primært gjennom regionale fiskeriforvaltningsorganisasjoner og FAO for å medvirke til bærekraftige fiskerier.
De siste årene har det vært store utfordringer knyttet til ulovlig fiske etter torsk og hyse i Barentshavet. Fiskeridirektoratet har, på bakgrunn av analyser gjort i samarbeid med Kystvakta, anslått omfanget av det urapporterte russiske fisket etter torsk til å være om lag 40 000 tonn i 2007. Urapportert russisk fiske i Barentshavet er ved flere anledninger i 2008 tatt opp både på embetsnivå og på politisk nivå med russiske myndigheter. Det er nå flere positive trekk i utviklinga av overfisket. For det første tyder Fiskeridirektoratets beregninger på at nedgangen i det russiske fisket på torsk utover kvote var på ca 60 pst. fra 2005 til 2007 (fra 101 000 til 40 000 tonn). For det andre har det lykkes norske fiskerimyndigheter å få bedret samarbeidet med Russland om overvåking av fiskeaktiviteten i Barentshavet. For det tredje har særlig de russiske grensevaktstyrkene vist økende kapasitet til å overvåke og sanksjonere overfiske.
Gjennom Det permanente utvalg for forvaltnings- og kontrollspørsmål på fiskerisektoren, som er et underutvalg under Den blandete norsk-russiske fiskerikommisjonen, samarbeider Norge og Russland for å sikre best mulig kontroll med og forvaltning av felles ressurser i Barentshavet.
Medarbeidere fra russiske fiskeri- og kontrollmyndigheter har de siste årene hospitert hos Fiskeridirektoratet for å utveksle erfaringer og øke gjensidig forståelse for de felles utfordringer Norge og Russland står overfor når det gjelder kontroll av ulovlig fiske og omlasting i Barentshavet. Norge ønsker å utvide denne ordninga ytterligere, særlig ved at norske tjenestemenn kan hospitere hos russiske kontrollorgan.
Det ble undertegnet en intenasjonsavtale (Memorandum of Understanding) med EU-kommisjonen den 4. oktober 2006, og denne avtalen oppfordrer både EU og det enkelte medlemsland om å samarbeide med norske myndigheter om ressurskontroll. Flere av de bilaterale kontrollavtalene mellom EU-medlemsland og Norge ble derfor revidert i etterkant. Den viktigste endringa i de nye avtalene gjelder utveksling av informasjon om landinger fra tredjelands fartøy. Norge har nå kontrollsamarbeidsavtaler med Danmark, Irland, Sverige, Nederland, Island, Frankrike, Færøyene, Tyskland, Polen, Russland, Storbritannia, Canada, Grønland, Portugal, Litauen og Marokko. Etter hvert som havnestatskontrollen er styrket i de europeiske landene, er det en viss tendens til at operatører forsøker å lande ulovlig fangst i Nord-Afrika. Det ble derfor inngått kontrollsamarbeidsavtale med Marokko i september 2006. Det arbeids med å se på muligheten for å utvikle bistandsarbeidet til å hjelpe land med å håndtere problemet med UUU-fiske.
Kontroll med uttaket av fisk har vært en stor utfordring i samarbeidet mellom Norge og EU, og innsatsen for å sikre at felles regler blir etterlevd vil fortsette. Norge og EU er enige om at arbeidsgruppa som har arbeidet med kontroll av pelagiske fangster skal utvide sitt mandat til også å gjelde innsatsen mot ulovlig, urapportert og uregulert fiske. De skal i tillegg arbeide for å bedre kontrollen med landinger av hvit fisk rundt Nordsjøen. Fiskeridirektoratets årsrapport for 2007 avdekker en betydelig økning i antall anmeldelser av norske aktører.
En helhetlig politikk for marin næringsutvikling
Hovedmål: Norge skal ha bærekraftige marine næringer med høyest mulig samlet verdiskaping, god lønnsomhet og internasjonal konkurransekraft i hele verdikjeden
Eksport og markedsadgang
Mål og prioriteringer
Norge er verdens nest største eksportør av sjømat. Fiskeri- og havbruksnæringa trenger minst like god markedsadgang som de største konkurrentene våre på sjømatmarkedene for å realisere verdiskapingspotensialet.
WTO er den viktigste arenaen for arbeidet med markedsadgang, ikke-tariffære handelshindre og tvisteløsning. Departementet legger derfor stor vekt på å følge opp WTO og deltar regelmessig i relevante komitémøter og tvisteløsningssaker. Selv om WTO-forhandlingene om en ny multilateral handelsavtale ikke førte fram sommeren 2008, har sluttføring av forhandlingene fremdeles høy prioritet fra norsk side.
Departementet er en bidragsyter og synliggjør Norges offensive handelsinteresser i EFTAs frihandelsavtaler. Departementet deltar aktivt i forhandlingene og bidrar til å påvirke hvilke land EFTA bør forhandle med.
EU-markedet er det viktigste markedet for norsk sjømat. Her har norsk eksport av laks blitt møtt med handelspolitiske mottiltak siden begynnelsen av 1990-tallet. Norge tok EUs laksetiltak til WTO - tvisteløsning og en panelrapport ble vedtatt i januar 2008. Panelrapporten påla EU å gjennomføre panelets konklusjon. Departementet er en sentral leverandør av fakta og næringsspesifikk informasjon og arbeidet med handelspolitiske tvister vil prioriteres høyt.
Etter at Russland innførte importrestriksjoner for oppdrettsfisk fra Norge i 2006, kan eksport av oppdrettsfisk bare skje fra anlegg som er inspisert og godkjent av Russlands veterinærtjeneste. Det arbeides systematisk overfor Russland for å åpne dette markedet for flere norske produsenter av laks og ørret, og på lang sikt for å normalisere handelen. Russlands veterinærtjeneste og norske myndigheter har opprettet ei samarbeidsgruppe på ekspertnivå for å styrke samarbeidet og dialogen med russiske myndigheter. Til tross for den begrensning som ligger på antall anlegg har eksportvolumet til Russland steget. Økt markedsadgang gjennom flere inspeksjoner og godkjenninger er fortsatt høyt prioritert og norske myndigheter regner med at dette arbeidet blir svært viktig også i 2009.
Resultater 2007–2008
De handelspolitiske utfordringene har vært spesielt store for laksenæringa. EUs antidumpingtiltak mot norsk laks har krevd store ressurser fra myndighetene og næringa. Den 20. januar 2006 innførte EU endelige antidumpingtiltak mot norsk laks i form av en minste importpris på 2,80 euro per kilo hel fisk. Norge har hevdet at tiltaket verken er berettiget ut fra de faktiske forhold eller ut fra WTOs antidumpingavtale. Etter at konsultasjoner med EU ikke førte fram til noen løsning, besluttet regjeringa å ta tiltakene til WTOs tvisteløsningsorgan. WTO panelets konklusjoner ble offentliggjort i november 2007. Panelet ga Norge medhold i at EU hadde brutt WTO regleverket på en rekke vesentlige punkter.
Parallelt med WTO panelsaken startet EU i april 2007 en gjennomgang av antidumpingtiltakene mot norsk laks som følge av en begjæring fra flere av EUs medlemsland. Gjennomgangen var en administrativ prosess foretatt av Europakommisjonen. På bakgrunn av denne undersøkelsen ble EUs tiltak endelig opphevet med virkning fra 20. juli 2008.
EU iverksatte i mai 2007 en gjennomgang av antidumpingtiltakene mot stor norsk regnbueørret. EU introduserte tiltak mot norsk ørret i mars 2004. Dette førte til at import av ørret i EU ble underlagt en antidumpingavgift på 19,9 pst. EU opphevet ørret-tiltaket med virkning fra 14. august 2008.
Dette betyr at norsk oppdrettsnæring har fri adgang til EU-markedet om vi ser bort i fra tollbelastninga for disse produktene. Laksenæringa møter imidlertid fortsatt handelspolitiske tiltak i USA. Anti-dumping og anti-subsidietiltakene mot norsk laks ble innført i 1991 og ble videreført i fem nye år senest i januar 2006. Norske myndigheter arbeider langsiktig for å få tiltakene opphevet.
Handel med fisk mellom Norge og EU reguleres av EØS-avtalens protokoll 9, frihandelsavtalen av 1973 og kompensasjonsavtalene av 1986, 1995, 2004 og 2007. Protokoll 9 inneholder bestemmelser om tollnedtrapping, statsstøtte, konkurranse, antidumping- og anti-subsidietiltak og fiskefartøyers adgang til avtalepartenes havner og markedsinnretninger.
EU-utvidelsen i 2004 og 2007 har ført til at frihandelsavtaler mellom EFTA og en rekke land i sentral- og Øst-Europa har falt bort. Norge har gjennom forhandlinger med EU fått kompensasjon for tapt markedsadgang for fisk gjennom tollfrie kvoter.
Vilkårene for Romanias og Bulgarias deltagelse i EØS-avtalen ble avklart i 2007. Ved siden av spørsmålet om nivået på Norges finansielle bidrag, ble partene enige om romslige tollfrie kvoter for flere fiskeslag, hovedsaklig pelagisk fisk. Det lyktes å fjerne vilkår for handelen som dels har virket handelshindrende og dels har vært uhensiktsmessige. Som følge av dette bør det ligge til rette for økt handel med EU. De nye, tollfrie kvotene ble først innarbeidet i EU i november 2007 etter forsinkelser på EUs side. På samme måte som for finansieringsstøtten og kvotene fra utvidelsen i 2004, er ordninga tidsbegrenset til 30. april 2009. Da skal de vurderes i lys av alle relevante faktorer. Forhandlingene om det som skal gjelde fra 1. mai 2009 er satt i gang.
Handelen med sjømat blir i stadig større grad en del av det globale handelsregimet. Likevel er den generelle tollbelastinga høyere enn i andre industrielle sektorer. Bruken av ikke tariffære handelshindringer, som antidumpingtiltak, tekniske, veterinære og sanitære handelshindre, øker i verdenshandelen. Dette rammer sjømatnæringa spesielt. Et åpent, liberalt og regelbasert regime for verdenshandelen er svært viktig for at den norske sjømatnæringa skal kunne utvikle seg videre. Regjeringa har derfor prioritert WTO forhandlingene med sikte på å få til rammebetingelser som fremmer eksportmulighetene og verdiskapinga i fiskeri- og havbruksnæringa.
I forhandlingene i Doha-runden om markedsadgang for industrivarer inklusive fisk (NAMA) har det overordnede målet vært å sikre betydelige kutt i tollsatsene i handelen med fisk og fiskeprodukter på bred basis. Norge samarbeider med land som ønsker en ambisiøs formel for tollnedtrapping i både i-land og u-land. Videre drøfter Norge sammen med en gruppe andre land muligheten for å redusere tollsatsene i handelen med sjømat ut over det som følger av formelen, gjennom en egen sektoravtale for fisk og fiskeprodukter. Det er Utenriksdepartementet som har det overordnede forhandlingsansvaret, men Fiskeri- og kystdepartementet bidrar i arbeidet.
Det nåværende regelverket for antidumpingtiltak er etter norsk syn for uklart og åpner i for stor grad for vilkårlig bruk. I mange tilfeller er det ønske om beskyttelse mot internasjonal konkurranse og handel som er motivasjonen for slike tiltak. Havbruksnæringa har i snart 20 år vært rammet av antidumpingtiltak fra EU og USA. Fiskeri- og kystdepartementet har derfor spilt en aktiv rolle i disse forhandlingene, med sikte på å skape en klarere og mer rettferdig avtale i WTO om bruken av antidumping.
Forhandlingene i WTO om fiskerisubsidier ligger også under regelverksforhandlingene. Målet er å redusere overfiske og overkapasitet i fiskeflåten globalt, og slik sikre økt lønnsomhet i fiskeflåten og ei bedre forvaltning av verdens fiskeressurser. Norge har her vært en aktiv deltaker i utforminga av det nye regelverket. Norge har for eksempel fremmet et forslag om å innarbeide strenge bærekraftskriterier.
Parallelt med de multilaterale WTO forhandlingene prioritereres arbeidet med nye frihandelsavtaler i regi av EFTA. Den raske framveksten av nye regionale og bilaterale frihandelsavtaler er både ei utfordring og en mulighet for Norges handelspolitiske interesser. Gode, forutsigbare og konkurransedyktige betingelser er viktig for den videre utviklinga av fiskeri- og havbruksnæringa.
Departementet deltar aktivt i forhandlingene om EFTAs frihandelsavtaler. Både når det gjelder hvilke land som EFTA bør inngå forhandlinger med og når det gjelder bedre markedsadgang for fisk og marine produkter. Prioriterte land for Fiskeri- og kystdepartementet har vært Kina og India, samt Russland og Ukraina så snart disse landene er blitt medlemmer av WTO. EFTA har i 2008 inngått frihandelsavtale med Canada, Gulf Cooperation Council (GCC) og Colombia. Fisk og fiskeprodukter vil ha fri markedsadgang til disse landene på nærmere fastsatte vilkår. Forhandlingene med Peru og Algerie ventes å være ferdige i løpet av høsten 2008. Forstudiene mellom EFTA og India ble klare i desember 2007. Det ventes at forhandlingene kan starte opp i løpet av høsten 2008. Russland og EFTA ble i desember 2007 enige om å gjennomføre en felles forstudie. Målet er å ha forstudien klar i løpet av høsten 2008.
Det ble i 2007 igangsatt og avsluttet en forstudie om en bilateral frihandelsavtale mellom Norge og Kina. Forhandlingene forventes å kunne starte i 2009.
Arbeidet med å bedre markedsadgangen i Russland har hatt høy prioritet hos norske myndigheter i 2007. Dette arbeidet har vært intensivt, og krevd spesielt store ressurser hos Mattilsynet i forbindelse med inspeksjoner og økt vekt på sjømattilsyn. Russlands veterinærtjeneste og norske myndigheter har opprettet ei samarbeidsgruppe på ekspertnivå for å styrke samarbeidet og dialogen med russiske myndigheter. Denne gruppa har hatt fire møter i 2007 og 2008. Gjennom et godt samarbeid mellom Russlands veterinærtjeneste og Mattilsynet har det lykkes å unngå importrestriksjoner på pelagisk fisk. Fra norsk side har vi overfor Russlands veterinærtjeneste lagt vekt på behovet for å åpne for en friere handel også med oppdrettsprodukter. Vi har lykkes med å sikre at flere bedrifter har blitt inspisert av Russlands veterinærtjeneste, men eksporten av oppdrettfisk foregår fremdeles bare fra anlegg godkjent av Russlands veterinærtjeneste, og mange anlegg har ennå ikke blitt inspisert. En må akseptere at importørene, enten det er bedrifter eller selve landet, setter krav.
Fiskeindustri
Mål og prioriteringer
Det er et mål å legge til rette for ei utvikling av fiskerinæringa som bygger på vårt fortrinn ved tilgangen på fersk råstoff av høy kvalitet.
De naturgitte forholdene fører til at norsk fangst av fisk er sterkt sesongpreget. Dette favoriserer tradisjonelle produksjonsformer der industrien er i stand til å utnytte råstoff med høy verdi og i godt betalte nisjemarkeder til lønnsom produksjon. Forholdene ligger i mindre grad til rette for industriell foredling. Forsøk på å utjevne sesongsvingninger har ikke klart å kompensere for konkurranseulempene som lav kapasitetsutnyttelse og høyt kostnadsnivå.
Utviklinga viser at en stadig mindre del av norsk fisk foredles innenlands og at vår posisjon som leverandør av råstoff og halvfabrikata forsterkes. Fryst filet av hvitfisk, som tidligere var et stort produkt, er sterkt redusert og blitt erstattet av mindre arbeidskrevende produkter.
Dagens forbrukere ønsker seg i økende grad sjømatprodukter, og er villige til å betale en høyere pris for ferske enn for frosne varer. Dette gir muligheter for økt verdiskaping og stabile arbeidsplasser i kystdistriktene, på grunnlag av de naturlige fortrinn som Norge har innen fiskerinæringa. Nærhet til både ressursene i havet og store europeiske markeder gir oss et betydelig konkurransefortrinn som vi bør kunne utnytte bedre enn i dag. Dette var bakgrunn for at regjeringa i Soria Moria-erklæringa varslet en nasjonal ferskfiskstrategi, som bygger på våre fortrinn med tilgang på ferskt råstoff av høy kvalitet
Ferskfiskstrategien, som ble lagt fram i august 2007, skal legge til rette for økt kontinuitet i tilførselen av fersk fisk til fiskeindustrien, bedre kvalitet på råvarene og produktene som tilbys og økt samarbeid mellom havbruksnæringa og fiskerinæringa. Ved å utvikle og styrke samarbeidet mellom bedriftene, vil næringa bli bedre rustet til å møte kravene markedet stiller om kvalitet og leveranser gjennom hele året. I tillegg kan en utnytte ledig kapasitet i foredlingsindustrien, mottaksanlegg og slakteri ved å øke tilgangen på fisk.
Fiskeri- og kystdepartementet vil følge opp de tiltak som er foreslått i ferskfiskstrategien. Med bakgrunn i ferskfisktrategien skal det i løpet av høsten 2008 og våren 2009 gjennomføres en nasjonal tilsynskampanje på sjømatområdet. Mattilsynet er godt i gang med arbeidet og næringa vil bli involvert.
Produksjon av ferskfisk og fersk filet krever råstoff av beste kvalitet. For å kunne ivareta kvaliteten på produktene er det nødvendig å ta kvalitetshensyn gjennom hele verdikjeden. Eksportutvalget for fisk har utformet kvalitetsstandarder med merkeordninger for en rekke arter. Målet er å kunne tilby produkter med en definert kvalitet, knyttet de til et bestemt merke, og dermed øke mulighetene for høyere verdiskapning.
Resultater 2007–2008
Leveringsvilkår
Det ble innført nye regler for leveringsvilkår for torsketrålfartøy høsten 2003. Leveringsvilkårene ble gjort mer ensartet og det ble klargjort hvordan leveringsplikten skal gjennomføres. Fiskeriforskning vurderte disse reglene vinteren 2006. På grunnlag av denne evalueringa og andre erfaringer med ordninga, sendte Fiskeri- og kystdepartementet ut på høring forslag til endringer som innebar en innskjerpning av leveringspliktordninga. Ved kgl.res. av 22. desember 2006 ble forskriften endret. Det ble blant annet innført en bearbeidelsesplikt for tilgodesette bedrifter på 70 pst. av torskeråstoff som kjøpes gjennom ordninga, og rederiene er pålagt å sette opp drifts- og leveringsplan i samråd med tilgodesette bedrifter hvert halvår. Dessuten revideres leveringsvilkårene for å gjøre ordlyden enklere og mer standardisert.
Distriktskvoter
Ordninga med distriktskvoter har som formål å legge til rette for tilførsel av råstoff til foredlingsindustrien i særlig fiskeriavhengige områder. Dette skal skape aktivitet, sysselsetting og verdier i de aktuelle distriktene. I 2006 og 2007 ble distriktskvoteordninga gjennomført som ei prøveordning i Nordland, Troms og Finnmark. Nofima Marked har evaluert ordninga begge årene, og på bakgrunn av erfaringene er det for 2008 lagt opp til en bifangstordning for kystflåten til erstatning for distriktskvoteordninga.
Ferskfiskstrategi
Regjeringas ferskfiskstrategi ble lagt fram i august 2007. I strategien ble det foreslått en rekke tiltak for å fremme kvalitet og jevnere tilgang på råstoff til industrien.
Flere tiltak er allerede iverksatt, blant annet er det opprettet et kvalitetsforum som har fått til oppgave å foreslå tiltak som kan forbedre kvaliteten på råstoff som landes. Det er fortsatt betydelig økonomisk risiko for fiskerne med levendelagring. For å redusere denne risikoen, og samtidig øke kunnskapen om levendefangst og levendelagring, blir det som en prøveordning over tre år gitt kvotestimulans til fartøy som driver levendefangst. Av andre tiltak som er iverksatt, kan nevnes at linefiske er stimulert ved at det settes av større agnkvoter, størrelsesbegrensninga i kystflåten er endret, og at det er avsatt torsk til bifangst på høsten.
Havbruk
Mål og prioriteringer
Det er et mål at forvaltninga av havbruksnæringa er tilpasset krav til mattrygghet, miljø, fiskehelse og fiskevelferd i tillegg til kravene fra de ulike markedene.
Konkurransedyktige rammebetingelser er en forutsetning for videreutvikling av norsk havbruksnæring.
Arbeidet med å sikre et helhetlig regelverk innenfor havbruksnæringa videreføres. Regelverket må utvikles og oppdateres parallelt med utviklinga av næringa.
I St. meld. nr. 12 (2006–2007) Regionale fortrinn - regional framtid(regionmeldingen) foreslår Regjeringa at deler av havbruksforvaltninga overføres til regionene fra 2010. Det må derfor vurderes hvordan det best mulig kan legges til rette for en effektiv og koordinert behandling av havbrukssaker etter 2010.
Strategi for en konkurransedyktig norsk havbruksnæring ble lagt fram i august 2007. Målet med strategien er å legge til rette for at norsk havbruksnæring skal beholde sin stilling som internasjonal produsent og eksportør, samtidig som hensynet til miljø og fiskehelse ivaretas. Strategien varslet at det vil bli gjennomført en ny runde med konsesjoner i 2009, og at det deretter vil bli årlige tildelinger tilpasset veksten i markedet.
Regjeringa har bestemt at det skal tildeles nye tillatelser til oppdrett av laks og ørret i 2009. Fiskeri- og kystdepartementet vil med det første sende på høring et utkast til tildelingsforskrift som blant annet inneholder forslag til antall og regional fordeling, tildelingsmåte og vederlag, samt kriterier og eventuelle vilkår. Regjeringa tar sikte på å komme tilbake til Stortinget med de budsjettmessige konsekvenser i Tilleggsnr. til St.prp. nr. 1.
Markedsadgang er viktig for forutsigbare og gode konkurransevilkår for næringa, og dette er et prioritert område. Strategien peker på at arealbruk og arealtilgang for havbruksnæringa er en viktig utfordring. Gode lokaliteter er avgjørende for en mest mulig effektiv utnyttelse av tildelte konsesjoner. I tillegg åpner strategien for fellesskapsløsninger som et næringsfinansiert opprydningsfond og et næringsfinansiert fond knyttet til forsikring. Skal slike fond opprettes er det en forutsetning at næringa slutter opp om det.
For næringa er nå tilgang på lokaliteter en knapphetsfaktor, samtidig som bruken av og oppmerksomheten rundt areal i kystsona har økt de siste årene.
Fiskeri- og kystdepartementet deltar i arbeidet for å harmonisere standardene for økologisk havbruk i EØS-området og vil videreføre dette arbeidet i 2009.
Fiskeri- og kystdepartementet vil legge vekt på videre dialog med den fangstbaserte næringa for å legge rammevilkårene til rette for virksomheten.
Departementet vil stimulere til utvikling av alternative fôrkilder til fisk og løpende evaluere regelverket med sikte på å legge til rette for alternative fôrkilder.
Utviklinga av norsk havbruksnæring til også å omfatte andre arter enn laks og ørret vil fortsette. Oppdrett av torsk vil fortsatt være et viktig satsningsområde for departementet. Torskeoppdrett skal utvikles slik at næringsmessige, distriktspolitiske og miljømessige hensyn balanseres.
Resultater 2007–2008
Forberedelse til ny konsesjonsrunde i 2009
I strategien for en konkurransedyktig norsk havbruksnæring, som ble presentert i august 2007, tas det sikte på å gjennomføre en runde med tildeling av tillatelser for oppdrett av laks og ørret i 2009. I tidligere faser har blant annet Fiskeridirektoratet bidratt med en utredning av hvilke områder som er mindre egnet for vekst i oppdrettsvirksomheten, og denne er tatt med i vurderingene av den geografiske fordelinga av til tillatelsene. Det har også vært kontakt med næringsorganisasjonene.
Havbeite
Det ble i 2007 gjennomført en tildelingsrunde for havbeite av hummer og kamskjell. Det ble lyst ut fem tillatelser for hver art fordelt på Fiskeridirektoratets regioner med unntak av Troms og Finnmark. Saksbehandlinga for flere av søknadene, særlig for hummer, har trukket ut på grunn av ulike interessekonflikter.
Samordning av saksbehandling
I regionmeldinga foreslår regjeringa å overføre den rollen Fiskeridirektoratets regionkontorer nå har med koordinering etter akvakulturloven, til fylkeskommunene fra 2010. Saken følges opp med en Ot.prp. som fremmes for Stortinget i løpet av høsten 2008. Deretter vil det bli utarbeidet nødvendige lov- og forskriftsendringer fram mot reformens ikrafttredelse 1. januar 2010.
Ny forvaltningsmodell for stamfisk
Ny forvaltningsmodell for stamfisktillatelser trådte i kraft 1. januar 2008. Målet er å bedre rammebetingelsene for stamfiskproduksjon både for nye og eksisterende aktører, og bidra til å sikre havbruksnæringa tilstrekkelig tilgang på rogn.
Den nye forvaltningsmodellen for produksjon av stamfisk er tilpasset aktører som driver målrettet avlsarbeid og stamfiskproduksjon, og er utformet med sikte på at innehaveren av tillatelsen får et tilstrekkelig økonomisk og avlsmessig grunnlag for drift.
Stamfiskmodellen innebærer løpende tildeling av vederlagsfrie stamfisktillatelser uten antallsbegrensning. Tillatelsene skal hver for seg ikke overskride 780 tonn biomasse i anlegget til enhver tid (MTB) og er tidsbegrenset for en periode på 15 år, men med klar forutsigbarhet for forlengelse dersom tillatelsene blir brukt til stamfiskvirksomhet. Det er Fiskeridirektoratet som skal tildele tillatelsene etter tilråding fra et faglig utvalg bestående av fem medlemmer med kompetanse innen biologi, genetikk, næringsinteresser og økonomi. Utvalget vil også gi faglig tilråding ved søknad om forlengelse av tillatelsen.
Mulige felleskapsløsninger
Manglende opprydding etter oppdrettsvirksomhet er et miljø- og sjøsikkerhetsproblem, som også skader næringas omdømme. Det er derfor innført krav om sikkerhet for dekning av utgifter ved opprydning av blåskjellanlegg. I den forbindelse har Fiskeri- og kystdepartementet gått i dialog med næringsorganisasjonene slik at disse vurderer mulighetene for at det kan etableres en fellesskapsløsning for sikkerhetstillelse. Ei slik ordning vil kunne være rimeligere for den enkelte oppdretter enn å stille depositum, men til nå har næringsorganisasjonene ikke ønsket å gå inn på de skisser til forslag Fiskeri- og kystdepartementet har drøftet med dem.
For å bekjempe sykdommer innen oppdrett gir myndighetene i enkelte tilfeller pålegg om utslakting. For å begrense den økonomiske belastninga for den enkelte oppdretter har Fiskeri- og kystdepartementet gått i dialog med næringsorganisasjonene for at disse skal kunne vurdere en felleskapsløsning som kan være et supplement til dagens forsikringsordninger. En slik fellesskapsløsning er bare aktuell hvis det er bred oppslutning fra oppdretterne, og må finansieres fullt ut av næringa. Til nå har det ikke vært interesse blant næringsorganisasjonene for en slik løsning.
Økologisk havbruk
Interessen for økologiske produkter er en voksende internasjonal matvaretrend, og åpner for økologisk havbruk som en interessant produksjonsnisje. Økologisk havbruk er imidlertid ikke et entydig begrep, og EU arbeider med harmonisering av begrepet. Departementet følger det videre arbeidet tett for å bidra til at forholdene legges best mulig til rette for en etterspørselsbasert vekst i økologisk havbruksproduksjon i Norge.
Fangstbasert havbruk
Fangstbasert havbruk baserer seg på levendelagring og oppfôring av villfanget marin fisk med sikte på økt verdiskaping og bedre ressursutnyttelse. Det er viktig at hensynet til fiskens velferd og helse, hensynet til ressurskontroll og miljø og sjømattrygghet og kvalitet, sikres. Fiskeri- og kystdepartementet vurderer løpende behovet for justeringer i regelverket, og har i februar 2008 utvidet oppholdstiden for mellomlagring av levende fisk i merd fra fire til 12 uker før fisken enten må slaktes eller overføres til et oppdrettsanlegg. Dette er gjort som et ledd i ferskfiskstrategien.
Fiske og fangst
Mål og prioriteringer
Det er et mål at fiskeripolitikken legger til rette for realisering av det langsiktige avkastningspotensialet fra marine ressurser gjennom en ansvarlig ressursforvaltning, rasjonelle beskatningsstrategier og ansvar for det biologiske mangfoldet.
Forvaltninga skal være basert på vitenskapelige tilrådinger. Videre er det et prioritert arbeid å videreutvikle og forenkle reguleringene og å legge til rette for en mer helhetlig forvaltning gjennom verdikjeden.
Resultater 2007–2008
Ny havressurslov
Regjeringa fremmet 21. desember 2007 Ot.prp. nr. 20 (2007–2008) om lov om forvaltning av viltlevande marine ressursar. Lovforslaget ble behandlet i Stortinget i vårsesjonen 2008 og er sanksjonert som lov av 6. juni 2008 nr. 37. Det er ikke bestemt når loven skal tre i kraft, men det tas sikte på ikrafttredelse 1. januar 2009.
Forvaltning av kongekrabbe
Forvaltninga av kongekrabbe var fram til 2006 gjenstand for behandling og beslutning innenfor ramma av Den blandete norsk-russiske fiskerikommisjon. Senere har partene vært enige om at a) nasjonale kvoter av kongekrabbe skal fastsettes på ensidig basis, og partene skal informere hverandre om de fastsatte kvotene under de årlige sesjonene, og b) at resultater av felles forskningsinnsats med bestandsmålinger, økosystem og migrasjon fortsatt skal være en sak for de årlige sesjonene i Den blandete norsk-russiske fiskerikommisjon.
I forbindelse med behandlinga av St.meld. nr. 40 (2006–2007) Om forvaltning av kongekrabbe er det nå etablert et overordnet mål om i størst mulig grad å begrense en videre spredning av kongekrabbe i norske havområder, og sikre en lavest mulig bestand av kongekrabbe utenfor et nærmere definert kommersielt fangstområde. Den 18. juli 2008 ble det innført utkastforbud og åpnet for fri fangst av kongekrabbe i områdene utenfor dette.
Totalkvoten av kongekrabbe i det (norske) kvoteregulerte området øst for 26° Ø er for 2008 fastsatt til totalt 2 375 tonn hannkrabbe og 235 tonn hunnkrabber. Dette er beregnet å tilsvare 679 000 hannkrabber og 110 000 hunnkrabber. Dette er ei betydelig økning fra 2006 og 2007, da norsk totalkvote årlig ble fastsatt til 300 000 hannkrabber.
For den kvoteregulerte fangsten ble det med virkning fra den 8. september 2008 gjennomført betydelige endringer i tråd med stortingsmeldinga. For fartøy under 11 meter fra Øst-Finnmark er det etablert en åpen adgang til å delta, slik at antall fartøy som kan delta i fangsten har økt fra omtrent 240 til om lag 470. Videre er det åpnet for fangst av hunnkrabber, og det er innført adgang til å ha bifangst av kongekrabbe i enkelte fiskerier med garn og bunnline. Inneværende kvoteår avsluttes den 31. mars 2009, og det er innført en begrenset kvotefleksibilitet (ikke på fartøynivå) ved overgangen til nytt kvoteår.
Fisketurisme
Fisketurisme er en viktig del av reiselivsnæringa langs kysten. I et ressursforvaltningsperspektiv er det viktig å kunne tallfeste både turistbasert fiske og fritidsfiske i sjøen. Dette er også viktig for å kunne bidra til at denne næringa får forutsigbare rammebetingelser i framtida. Ettersom det ikke finnes data som viser omfanget av slikt fiske, har Havforskningsinstituttet satt i gang ei omfattende kartlegging av dette. Resultater fra disse undersøkelsene ventes tidligst i 2009. Informasjon om minstemålsregler og andre gjeldende regler formidles gjennom lokale turistkontor og reiselivsnæringa. Med virkning fra 1. juni 2006 innførte Fiskeri- og kystdepartementet en utførselskvote for fisk og fiskevarer fra sportsfiske i Norge. Denne begrensinga ble innført for å redusere kvantumsorientert turistfiske. For kongekrabbe er det opprettet ei ordning med egen turistkvote som etter søknad tildeles reiselivsanlegg i Finnmark. Den 6. juni 2008 åpnet Fiskeri- og kystdepartementet for at fisketurister kunne ta med fangst utover den ordinære utførselskvoten på 15 kilo, dersom fangsten er fisket fra et registrert fiskefartøy med egen kvote. Dette er i utgangspunktet ei prøveordning for 2008.
Høsting av tang og tare
Overvåkingsprogrammet for tareskog videreføres. Programmet er utvidet til også å dekke områdene nord for Trøndelag. Fiskeriforvaltninga arbeider med å få på plass reviderte forskrifter for høsting av tang og tare i Møre og Romsdal og Sør-Trøndelag. Den nasjonale forvaltningsplanen for tarehøsting skal også revideres.
Hvalfangst
I 2007 ble det fanget 597 hval. Antallet kunne ha blitt høyere, men fangsten i området mellom Stad, Mehamn og ved Svalbard måtte begrenses slik at reguleringa kan holdes innenfor det forvaltningsregimet som skiftende regjeringer har fulgt siden gjenopptakelsen av vågehvalfangsten i 1993. Tallene for 2008 er ikke klare enda, men ventes å være noe lavere. Det arbeides med justeringer av regelverket, noe som vil forenkle reguleringa av fangsten i kommende år.
Fangst av kystsel
For 2008 er totalkvoten på havert fastsatt til 1 040 og kvoten på steinkobbe er 860. Arbeidet med forvaltningsplaner for beskatning av kystsel ventes avsluttet i 2008.
Selfangst i ishavet
Fiskeri- og kystdepartementet har som mål å stimulere til økt lønnsomhet i selfangstnæringa slik at støtten kan bli redusert, og næringa i framtida kan utnytte tildelte kvoter. Fangstforholdene er vanskelige, og resultatet av fangsten er fortsatt svak. Også i 2007 er det bevilget penger til et prosjekt med formål å øke beskatninga av grønlandssel i Østisen i samarbeid med russiske fangstkollektiver. Resultatet av dette prosjektet er lovende.
Det finnes få systematiske undersøkelser fra de siste årene om effekten av bruk av hakapik og diverse ammunisjonstyper som eventuelt kan brukes til avlivning av sel. I lys av utviklinga innen EU om forbud mot handel med selprodukter er det nødvendig å iverksette slike undersøkelser, enten nasjonalt eller i samarbeid med andre land som driver selfangst.
Strukturordninger i fiskeflåten
Regjeringa stanset bruken av strukturordningene i oktober 2005, og satte ned et offentlig utvalg for å gå gjennom ordninga. Etter en bred offentlig høring av utvalgets innstilling (NOU 2006:16), la regjeringa fram sine forslag i St.meld. nr. 21 (2006–2007) Strukturpolitikk i fiskeflåten. Stortinget sluttet seg til forslagene ved behandling av meldinga 5. juni 2007. Endringene innebærer særlig at det innføres en forhåndsfastsatt tidsbegrensning for strukturkvoter, både framtidige og allerede tildelte, og kvotetakene i kystflåtens strukturordning er senket. Strukturkvoteordninga for kystfiskeflåten ble fra 1. januar 2008 utvidet til å omfatte fartøy med hjemmelslengde for kvotetildeling mellom 11 og 15 meter (mellom 13 og 15 meter i kystnotgruppa makrell).
Bruk av hav og kystsone
Mål og prioriteringer
Det er et mål at Fiskeri- og kystdepartementet er en aktiv deltaker i prosesser som påvirker rammebetingelsene for bruk av kystsona.
For å kunne oppfylle målene om bærekraft og vekst i de marine næringene er det nødvendig å sikre tilgang til nok areal. I tillegg må det utvikles en strategi for hvordan havbruksnæringas bruk av dette arealet samlet sett kan gjøres mer effektiv ut fra hensynene til ulike interesser som miljø, fiskehelse og fiskevelferd, sjømattrygget, produksjonsvekst, bedrifts- og samfunnsøkonomi og andre brukere av arealene.
Det er en utfordring å få til full digitalisering av arealplanene som kommunene utarbeider, medregnet tilrettelegging av korrekte og oppdaterte geodata. Det gjenstår fortsatt en del grunnarbeid før alle deler av kystsona er kartlagt. Fiskeri- og kystdepartementet er en pådriver i dette arbeidet.
Fiskeri- og kystdepartementet vil prioritere arbeidet med oppfølging av forvaltningsplanen for Barentshavet og havområdene utenfor Lofoten, og arbeid med nye forvaltningsplaner. Tilsvarende vil arbeidet med sameksistens mellom olje, fisk og miljø og implementeringen av EUs rammedirektiv for vann bli prioritert.
Fiskeri- og havbruksnæringa er avhengig av tilstrekkelig tilgang på areal. Det er derfor viktig å delta i alle areal- og verneplanprosesser som berører fiskeri- og havbruksnæringas interesseområder. Tilrettelegging av egne geodata skal prioriteres. Det er et mål at bruk av moderne kartverktøy skal gjøre forvaltningas planprosesser elektroniske.
Havbruksanleggenes bæreevne, plassering, størrelsesavgrensning, utforming og drift er vesentlige faktorer for å utvikle en bærekraftig produksjon. Dette er forhold som må tas med i arbeidet med en strategi for effektiv arealbruk, som departementet tar sikte på å ha ferdig i 2008.
Resultater 2007–2008
Kystverket og Fiskeridirektoratet har deltatt i ei direktoratsgruppe for plan for marine beskyttede områder sammen med Oljedirektoratet, Riksantikvaren, Direktoratet for naturforvaltning og en representant for fylkeskommunene. Direktoratsgruppa bidrar med vurderinger av planforslag og utredningsprogram.
Forskriften som implementerer EUs rammedirektiv for vann trådte i kraft 1. januar 2007 og innebærer at forvaltninga av grunnvann, ferskvann, brakkvann og sjøvann ut til en nautisk mil utenfor grunnlinjen skal sees i sammenheng. Det skal utvikles planer for å opprettholde og om nødvendig forbedre vannkvaliteten innenfor de berørte vannregioner. Direktivet implementeres i Norge gjennom EØS-avtalen etter at forslag til tilpasningstekst er godkjent av Europakommisjonen. Implementering av direktivet i Norge ledes av Miljøverndepartementet. Fiskeri- og kystforvaltninga ved Fiskeridirektoratet og Kystverket deltar aktivt i arbeidet med å gjennomføre direktivets krav i Norge.
Våren 2006 ble forvaltningsplanen for Barentshavet og områdene utenfor Lofoten lagt fram i St.meld. nr. 8 (2005–2006) og behandlet i Stortinget. Stortinget sluttet seg til forslaget om at det skal utarbeides forvaltningsplaner for Norskehavet og Nordsjøen. Forvaltningsplanen for Norskehavet skal legges fram våren 2009 og det er igangsatt forberedende arbeid med forvaltningsplan for Nordsjøen. Denne planen er foreslått lagt fram i 2015. Forvaltningsplanene skal legge grunnlaget for en helhetlig politikk om belastning på havmiljø og avveiing av ulik næringsmessig bruk av havområdene.
Sjømat og fiskehelse
Hovedmål: Norsk sjømat skal være trygg og kjent for kvalitet. Fangst, produksjon og produkter skal holde en høy standard med hensyn til miljø, folkehelse, fiskehelse og fiskevelferd.
Trygghet og kvalitet ved sjømat
Mål og prioriteringer
Norsk sjømat skal være trygg og kjent for kvalitet. Det skal arbeides nasjonalt og internasjonalt for å dokumentere og kommunisere på en balansert måte til forbrukerne de helsemessige virkningene av å spise sjømat.
Kunnskap om fremmedstoffer i sjømat er viktig for å sikre mattrygghet og næringas omdømme. Økt oppmerksomhet omkring miljøgifter og andre fremmedstoffer har ført til et behov for en balansert helserisikovurdering som tar hensyn til både positive og negative komponenter i sjømaten. Kunnskapen er en viktig del av det vitenskaplige grunnlaget for EUs arbeid med risikovurderinger og tilpasning av regelverket på sjømatområdet.
Mattilsynet vil også i 2009 rette oppmerksomhet mot tilsyn i sjømatbedriftene. Innføring av nytt hygiene- og kontrollregelverk vil i større grad enn før gi virksomhetene fleksibilitet til å finne praktiske løsninger, uten at kravene til mattrygghet reduseres. Slik sett blir det større rom for faglig skjønn og samtidig økt behov for kunnskap. Et større rom for faglig skjønn vil samtidig innebære en utfordring for Mattilsynet i utøvelsen av et enhetlig og helhetlig tilsyn.
I regjeringas ferskfiskstrategi som ble fremmet høsten 2007, er det lagt vekt på behovet for å bedre kvaliteten på sjømaten, både på kaikanten og i fiskedisken. Som et ledd i oppfølginga av ferskfiskstrategien har Mattilsynet planlagt å gjennomføre en ferskfiskkampanje høsten 2008 til våren 2009. Kampanjen vil konsentrere seg om råstoffkvalitet og hygienekrav. Mattilsynet vil forsterke tilsynet med hvordan håndteringa av fisk foregår, både om bord i fartøy og på anlegg som tar imot og bearbeider fisk. Det er også lagt opp til et tettere samarbeid mellom Fiskeridirektoratet og Mattilsynet der det legges vekt på gjensidig rapportering og bistand. Fiskesalgslagene er også invitert til et tilsvarende samarbeid med Mattilsynet.
Norske myndigheter vil ta aktiv del i arbeidet med å utvikle regelverk i tråd med norske interesser i ulike internasjonale fora. For fiskeri- og havbruksnæringa er det fremdeles viktig å komme med innspill i forbindelse med EUs revisjon av kontroll- og hygieneregelverk og EUs arbeid med å lage en samlet matinformasjonsforordning. Fiskeri- og kystdepartementet har en nasjonal ekspert som deltar i Europakommisjonens revisjon av regelverket.
Fiskeri- og kystdepartementet vil også i 2009 fungere som en pådriver overfor næringa for å ta i bruk kompatible sporingssystemer. Det gjelder sporing både for å sikre mattryggheten og som et verktøy i innsatsen mot ulovlig fanget fisk. Næringas deltakelse i e-sporingsprosjektet i regi av Landbruks- og matdepartementet, Fiskeri- og kystdepartementet og Helse- og omsorgsdepartementet bidrar til en tett dialog mellom næringa og myndighetene. Fiskeridirektoratet og salgslagene har en viktig rolle i dette arbeidet.
Fiskeri- og kystdepartementet vil følge utviklinga i bruk av private kvalitets- og miljømerkeordninger både nasjonalt og internasjonalt. Departementet vil bistå næringa med nødvendig informasjon for å kunne hente ut det verdiskapingspotensialet som ligger i bruken av private merkeordninger. Særlig viktig er Eksportutvalget for fisk sitt arbeid med kvalitetsmerkeordninger og arbeidet med norsk dokumentasjon av bærekraftig fiske.
I tråd med handlingsplanene for bedre kosthold i befolkninga arbeider Fiskeri- og kystdepartementet for å øke konsumet av sjømat på hjemmemarkedet. Det arbeides for å gjøre det mulig for lokale restauranter og lignende å kunne ta i mot fisk direkte fra fisker der det ikke er godkjente mottak i nærheten. Det vil også bli lagt opp til en dialog mellom myndigheter, næringa og omsetningsleddet for å øke tilgjengeligheten av fisk og sjømat av god kvalitet.
Andre tiltak for å øke sjømatkonsumet er forbrukerrettet merking av matvarer, for eksempel sunnhetsmerking og merking av fersk fisk med fangst- og slaktedato.
Resultater 2007–2008
Mattilsynet har i en treårsperiode økt ressursbruken til tilsyn med sjømatvirksomheter. Tiltakene består blant annet i kompetanseheving, utarbeidelse av veiledningsmateriell og tilføring av personellressurser. Mattilsynet gjennomførte i 2007 en nasjonal tilsynskampanje ”Fersk, sporbar fisk?”. Undersøkelsen viste at nærmere 30 pst. av grossistene var dårlige på merking og hygiene. For detaljistleddet er situasjonen rimelig bra, og tilstanden i landets fiskedisker er generelt sett god. Sporbarhetene var generelt god, bedre hos grossistene enn detaljistene, som nylig har blitt underlagt krav om sporing.
Som et ledd i regjeringas handlingsplan for bedre kosthold i befolkninga (2007–2011) har Fiskeri- og kystdepartementet sammen med blant annet Helse- og omsorgsdepartementet satt i gang et sjømatprosjekt med navnet Fiskesprell. Målet er å øke forbruket av fisk og sjømat i Norge og utjevne forskjeller i inntak mellom ulike sosiale grupper. Aktiviteten i sjømatprosjektet skal blant annet rette seg mot barnehager og skoler som arena for å stimulere til mer bruk av sjømat. Prosjektet ble startet i 2007 med tre prøvefylker, og videreført i 2008 som et nasjonalt tilbud.
Tilstrekkelig dokumentasjon av fremmedstoffer i sjømat og fôr er viktig for næringa og for myndighetene. Prøvetaking av fremmedstoffer i oppdrettsfisk er viktig både fordi det stiller krav til dette gjennom de forpliktelsene vi har i EØS-avtalen, og fordi kunnskap om nivåer av fremmedstoffer er viktig når EU setter grenseverdier for stoffer i fôr.
Vitenskapskomiteen for mattrygghet (VKM) har levert flere risikovurderinger knyttet til PCB-liknende stoffer i sjømat. En av disse risikovurderingene ble lagt til grunn da EU fastsatte nye grenseverdier for PCB i fiskelever.
Økt informasjon om fremmedstoffer i villfisk er et økende krav både fra importland og forbrukere. For å sikre bedre kunnskap om innholdet av fremmedstoffer i norsk sjømat har myndighetene og næringa samarbeidet om flere større prøvetakingsprogrammer. I 2007 ble norsk vårgytende (NVG) sild tatt ut som den første arten i en slik studie av fremmedstoffer. Så langt viser resultatene lave nivåer av disse fremmedstoffene i NVG-sild. I tillegg til den vitenskapelige kunnskap dette gir, er det også tung dokumentasjon for norsk sjømat dersom det stilles spørsmål i markedene om mattrygghet, for eksempel i fra Russland.
Matloven stiller krav til sporbarhet for hvert ledd i verdikjeden, men ikke til gjennomgående sporing. Gjennomgående sporing vil bidra til å øke bedriftenes konkurranseevne gjennom økt effektivitet, fleksibilitet og produktkvalitet. Sporing er også viktig i innsatsen mot omsetning av ulovlig fanget fisk. Innovasjon Norge har sammen med næringa igangsatt flere prøveprosjekter for sporing, hvor også elementer av sporing i tilknytning til UUU-fiske er en del av mandatet. Fiskeri- og kystdepartementet følger arbeidet nøye og har i Havressursloven åpnet for å kunne innføre obligatoriske krav til sporing av lovlig fanget fisk.
Bærekraftig havbruk
Mål og prioriteringer
Det er et mål at havbruksforvaltninga sikrer at næringa utvikles bærekraftig og miljøtilpasset. Hensynet til miljø skal være et grunnleggende premiss for videre utvikling og vekst i havbruksnæringa.
Rømming er den viktigste miljøutfordringa næringa har, og arbeidet mot rømt oppdrettsfisk er høyt prioritert. Fiskeridirektoratets tiltaksplan Visjon nullflukt skal følges opp i 2009, og målet er at rømming skal holdes på et absolutt minimum. Det skal også arbeides for å sikre bedre statistikkgrunnlag og mer pålitelige rømmingstall og fremskaffe mer kunnskap om virkningene av tiltak mot rømminger. Mengden av rømt oppdrettslaks og regnbueørret og hvordan de vandrer i ulike soner vil bli kartlagt for å utvikle gode overvåkingsrutiner, få kunnskap om konsekvenser og kunne gi gode forvaltningsråd.
Rømmingskommisjonen vil videreføre sitt arbeid.
Risikobasert tilsyn med havbruksnæringa skal prioriteres gjennom å innarbeide AKVARISK i Fiskeridirektoratets ordinære arbeid.
Den nye reaksjonsforskriften skal følges opp, og samarbeidet mellom Økokrim, påtalemyndighet og fiskerimyndighetene skal bli tettere. Forskriften gir nærmere regler om utmåling av overtredelsesgebyr og tvangsmulkt. Målet er at forskriften skal virke preventivt slik at det blir færre overtredelser som kan føre til rømming og andre skader på miljøet.
Hardangerfjorden som oppdrettsområde har spesielle og særegne utfordringer. Det er viktig for Fiskeri- og kystdepartementet å sikre ei videre bærekraftig forvaltning av oppdrettsnæringa i fjorden. Dette skal gjøres både gjennom forvaltningstiltak og forskning. Det vil bli fastsatt en egen forskrift for hele eller deler av Hardangerfjorden som skal sikre at hensynet til miljø, helse og bærekraftig utvikling ivaretas. Forskningsaktiviteten i fjorden knyttet til forholdet mellom havbruk og fjordøkologi skal også styrkes.
Det skal generelt legges større vekt på miljøhensyn i havbruksforskninga. Forskninga skal konsentrere seg mer om problemstillinger i havbruksnæringa som kan utgjøre en miljørisiko. Dette inkluderer både virkninger av havbruksaktivitetene på det nære miljøet, helse, sykdommer, smittespredning og velferd hos oppdrettsorganismer. Det er gitt torskeoppdrettstillatelser som gjør det mulig å produsere betydelig mer enn dagens 10 000 tonn oppdrettstorsk. Fiskeri- og kystdepartementet vil sikre at denne veksten skjer på en bærekraftig måte, og vil som en følge av dette foreta en gjennomgang av eksisterende regelverk for å se om dette er tilpasset det store potensialet som torskeoppdrett har, medregnet driftsvilkårene for torskeoppdrett. Målet med den samlede gjennomgangen er å sikre at den videre veksten i torskeoppdrett er bærekraftig, samtidig som vi ønsker å legge til rette for denne veksten ved å ha et så godt tilpasset rammeverk som mulig.
Resultater 2007–2008
Utfordringene med å få ned rømmingstallene er blitt fulgt opp på mange fronter og oppfølging av Visjon nullflukt har hatt høy prioritet. Rømmingstallene har vist en klart nedadgående tendens. Det arbeides på mange fronter, blant annet gjennom årsakskartlegging, forskning, regelverksforbedringer, forbedringer i krav til teknisk standard og forbedringer i driftskrav og kontroll.
Rømmingskommisjonen som ble oppnevnt sommeren 2006 arbeider nå systematisk for å redusere risiko for rømminger og havarier. Kommisjonen innhenter og forestår undersøkelser av årsaken til alvorlige rømminger og anleggshavari og foreslår endringer i standarder, regelverk og andre former for rammebetingelser som kan være utslagsgivende.
Det ble våren 2007 vedtatt ny reaksjonsforskrift som blant annet innebærer en skjerping av reaksjoner ved brudd på regelverket som påvirker miljøet, deriblant rømming. Det er videre nær dialog med Riksadvokaten og Økokrim om hvordan overtredelser følges opp.
Fiskeridirektoratets tilsyn i 2007 og 2008 la særlig vekt på å kontrollere at anlegg oppfyller de tekniske kravene i NYTEK- forskriften i tillegg til drift. Dette gjelder både for anlegg med laks, regnbueørret og torskeanlegg. Tilsynene blir utført med flere verktøy enn tidligere for å oppnå større effekt i arbeidet. Dette omfatter bruk av revisjonskontroller og tekniske kontroller som dekker et bredt spekter av parametre. Rømming og faktorer som påvirker risiko for rømming står sentralt. Kontrollene skal blant annet gjelder alle lokaliteter av laksefisk, både matfisk- og settefisk, innenfor de nasjonale laksefjordene og laksevassdragene.
Det er våren 2008 satt i gang spesielle forvaltningstiltak i Hardangerfjorden. Fjorden er landets tetteste oppdrettsområde og har særegne utfordringer ut i fra bæreevnen i fjorden, sykdoms- og helsesituasjonen, tilstanden i de viltlevende bestandene av laks og sjøørret og næringas langsiktige utviklingsmuligheter. Forvaltningstiltakene går ut på ”å fryse” situasjonen midlertidig. I tillegg er det i gang et arbeid med en egen forskrift for hele eller deler av Hardangerfjorden som skal sikre at hensynet til miljø, helse og bærekraftig utvikling av oppdrettsnæringa ivaretas. Det tas sikte på at en slik forskrift skal gjelde fra 1. januar 2009.
Havforskningsinstituttet har foreslått en rekke tiltak overfor torskeoppdrettsnæringa av hensyn til kysttorsken. Blant annet innebærer det regionalisering med strenge restriksjoner på flytting av levende fisk og rogn, torskeoppdrettsfrie områder og krav til bruk av stedegne stammer i særskilte geografiske områder. Fiskeri- og kystdepartementet har bedt Fiskeridirektoratet om å foreta en konsekvensvurdering av forslagene ut fra miljøhensyn og samfunnsmessige og næringsmessige konsekvenser.
Helse og velferd hos akvatiske organismer
Mål og prioriteringer
Det er et mål å ha god fiskehelse og at fisken oppdrettes, transporters og slaktes under etisk forsvarlige forhold.
God fiskehelse er en forutsetning for en bærekraftig utvikling av norsk havbruksnæring. Utviklinga de siste årene er bekymringsfull, og krever økt offentlig innsats på området.
Troverdig dokumentasjon av helsesituasjonen til fisken og kvaliteten på produktene er viktig for ei konkurranseutsatt internasjonal næring. Fisken må også oppdrettes, transporteres og slaktes under etisk forsvarlige forhold.
EUs fiskehelsedirektiv ble gjennomført i norsk rett sommeren 2008, og i 2009 vil det være ei prioritert oppgave å følge opp dette regelverket. For å sikre kontrollen med viktige sykdommer vil Fiskeri- og kystdepartementet legge vekt på utvikling av tiltaksplaner mot de sykdommene som omfattes av dette regelverket. Planene må ta utgangspunkt i realistiske mål for den enkelte sykdom, og spesifisere de tiltak som er nødvendige og tilstrekkelige for å bekjempe eller kontrollere disse sykdommene. Når aktuelle tiltak vurderes må det tas hensyn til eventuelle uheldige samfunnsmessige, næringsmessige og miljømessige konsekvenser av tiltaket.
Norge skal ha en ledende rolle internasjonalt innen fiskevelferd. Oppfølging av arbeid i EU, Den internasjonale dyrehelseorganisasjonen (OIE) og Europarådet skal prioriteres. Norsk kompetanse og tilgjengelig kunnskap skal danne grunnlag for det internasjonale arbeidet på fiskevelferdsområdet.
Resultater 2007–2008
Helse- og miljøtilstanden i oppdrettsanleggene er generelt sett god. Det er likevel en del utfordringer på både miljø- og helseområdet som gir grunn til bekymring. Dette gjelder særlig lakselus, pankreassykdom hos laks, infeksjon med francisellabakterien i oppdrettstorsk, og den generelle situasjonen i Hardangerfjorden
EU vedtok i oktober 2006 nytt fiskehelsedirektiv, som gjøres gjeldende for Norge gjennom EØS-avtalen. Det er gjennomført et implementeringsprosjekt med bred forankring i næring, forvaltning og forskningsmiljøer. Forskriftsendringene ble vedtatt i juni 2008, og trådte i kraft 1. august 2008.
Krepsepestinfisert signalkreps ble påvist i Norge for første gang i 2006. Bestanden av infisert signalkreps ble utryddet med kjemiske midler våren 2008. Aksjonen ble utført av Mattilsynet og Direktoratet for Naturforvaltning.
I 2007 ble det for første gang siden 1974 påvist hemoragisk virusseptikemi (VHS) i norsk havbruk. En sykdom Norge har fristatus for gjennom EØS-avtalen. Dette gir mulighet til å sette strengere helsekrav ved import, og en møter mindre restriksjoner ved eksport av levende fisk og rogn. Sykdommen ble påvist i flere lokaliteter i Storfjorden på Sunnmøre. Det ble opprettet ei bekjempelsessone og gjennomført saneringstiltak i tråd med de prinsippene som gjelder for slik sykdomshåndtering. Sona rundt utbruddene har nå status som infisert sone. Tiltakene som ble gjennomført var nødvendig for at sona igjen skal oppnå fristatus for VHS så raskt som mulig.
Pankreassykdom (PD) har de siste årene vært et økende problem på Vestlandet. Fiskeri- og kystdepartementet fastsatte derfor 23. november 2007 nytt regelverk for å få pankreassjukdom (PD) under kontroll og stanse spredning til nye områder. Det nye regelverket er basert på en tiltaksplan mot PD som er utarbeidet av Mattilsynet gjennom et tett samarbeid med næringa. Regelverket medfører også at PD blir en meldepliktig B-sjukdom i hele landet.
Bakteriesykdommen francisellose har skapt problemer i torskeoppdrettsnæringa. Våren 2008 ble sykdommen innlemmet på lista over B-sykdommer. Dette gir forvaltninga bedre muligheter til å redusere skadevirkningene av sykdommen.
Det ble vinteren 2007/2008 gjennomført en koordinert aksjon langs hele Vestlandet med behandlinger mot lakselus. Oppslutninga var stor og aksjonen har gitt gode resultater. Lakselusforskriften er revidert og gir forvaltninga bedre verktøy til å gjennomføre slike koordinerte avlusninger.
Det ble i januar 2008 igangsatt et arbeid for å oppdatere handlingsplanen for tiltak mot Gyrodactylus salaris.
Etableringa av det offentlige meldesystemet for helse og sykdomsovervåking i havbruksanlegg (MFISK) er i rute, og en prøveversjon ble startet tidlig i 2008.
Etisk produksjon og god fiskevelferd er viktig. For å ivareta fiskens velferd i produksjonen, arbeides det kontinuerlig med å utvikle og innarbeide nytt regelverk basert på tilgjengelig kunnskap. Nye bestemmelser om fiskevelferd er tatt inn i det nye fiskehelseregelverk som trådte i kraft 1. august 2008. Kompetanse om fiskevelferd er prioritert i hele produksjonskjeden. Arbeidet med å utvikle velferdsindikatorer er videreført. Det arbeides med standarder for fiskevelferd både i EU og i OIE. Norske forskningsmiljøer og forvaltning har bidratt aktivt i dette arbeidet.
Boks 7.10 Oppfølging av komitemerknad
Det vises til innstillinga til St. meld. nr 21 (2006–2007) Strukturpolitikk for fiskeflåten, Innst. S. nr. 238 (2006–2007) der komiteen uttaler følgende: ”Den andre problemstillingen flertallet vil vise til er konkurransen om arbeidskraft som fiskerinæringen har med andre næringer. Flertallet ber om en analyse om og i hvilken grad rammebetingelsene påvirker konkurransen”.
Fiskerinæringa er konkurranseutsatt, og eksponeres både mot utenlandske fiskerier og annen matproduksjon samt mot konkurranse om arbeidskraft nasjonalt. Fiskebestandene setter imidlertid klare grenser for totalproduksjonen i fiskeriene, og den teknologiske utviklinga i fiskeriene foregår kontinuerlig. Dette medfører at behovet for arbeidskraft er vesentlig redusert de siste tiårene.
Gitt behovet for lik type kvalifisert arbeidskraft vil ulikheter i rammevilkår påvirke konkurransen om arbeidskraften og rekrutteringa til næringa. Både marin og maritim sektor konkurrerer om rekruttering fra den samme gruppa unge mennesker og profilering av næringa er i den sammenheng viktig. Midler til rekrutteringstiltak og holdningskampanjer er et sentralt virkemiddel med hensyn til profilering. Stiftelsen Norsk Maritim Kompetanse støtter ulike rekrutterings- og opplæringstiltak i maritim sektor. Dette er og har vært en stor fordel i rekrutteringsarbeidet til de maritime næringene. Siden 10. oktober 2007 er det imidlertid åpnet opp for at også fiskerinæringa kan få støtte til rekrutterings- og opplæringstiltak fra dette fondet. Kriteriet for støtte ved opplæringstiltak er at det er kvalifisert personell om bord i fartøyene.
Tallet på ungdommer som begynner på fagretningen Fiske og fangst på videregående skole har ligget stabilt på rundt 100 personer de siste årene. Frafall er imidlertid et økende problem, også innenfor marine fag. Videre er det årlig registrert om lag 90 rettslærlinger i fiskeflåten noe som utgjør i overkant av 20 pst. av det årlige rekrutteringsbehovet som følge av naturlig avgang. Regjeringa har gjennom Soria Moria erklæringa et mål om å bedre rekrutteringa til marin sektor og i januar 2008 ble ”Prosjekt rekruttering” opprettet, jf. omtale under programkategori 16.20 om marin innovasjon og regional næringsutvikling.
Det samlede gebyr- og avgiftstrykket og eventuelle tilskuddsordninger for ei næring vil påvirke næringsaktørenes muligheter til å tilby konkurransedyktig lønn og andre arbeidsvilkår. Samfunns- og næringslivsforskning (SNF) har på oppdrag for FKD utarbeidet en rapport som gjennomgår fiskeflåtens samlede gebyr- og avgiftsbelastning, jf. SNF-rapport nr. 13/2008.
SNF mener fiskeflåten står overfor et stort antall gebyrer og avgifter i forhold til provenyet som blir generert. De mener samtidig at provenyet som sådan ikke er spesielt stort i forhold til de målsettingene disse avgiftene har, nemlig å dekke kostnadene som næringa påfører samfunnet på grunn av ekstra behov for administrasjon og kontroll, samt eksterne virkninger fra næringa som i hovedsak dreier seg om miljøeffekter.
Videre er det i forbindelse med revidert budsjett for 2008 og forslag til statsbudsjett for 2009 foretatt innstramminger i nettolønnsordninga for sjøfolk og ei heving av fiskerfradraget, jf. Del I. Nettolønnsordninga innebærer at arbeidskraft som benyttes i skipsfart blir subsidiert, noe som vil kunne medføre økt sysselsetting i den tilgodesette næringa. Med bakgrunn i dette ble det i forbindelse med revidert budsjett for 2008 innført et tak på nettolønnsutbetalingene på 198 000 kroner. I budsjettet for 2009 er disse innstrammingene videreført. Parallelt med disse endringene er fiskerfradraget hevet slik at fiskere som har deltatt i fiske eller fangst i minst 130 dager i inntektsåret har krav på særskilt fradrag på 30 pst. av netto arbeidsinntekt fra fiske og fangst. Fradraget ble i forbindelse med revidert budsjett for 2008 hevet fra 80 000 kroner til 115 000 kroner. I budsjettet for 2009 foreslås det at fiskerfradraget økes ytterligere, til 150 000 kroner.
Strukturordninger og fartøykvoter legger også til rette for å bedre lønnsomheten i fiskeflåten. Dette bidrar til å gi større rom for å konkurrere om arbeidskraften med andre næringer. På den annen side har den svært høye oljeprisen gitt store kostnadsmessige utfordringer for alle næringer med høy oljeavhengighet, medregnet fiskeflåten. Dette har, sammen med at fiskeflåten i mindre grad enn for eksempel olje- og offshorenæringa har hatt mulighet for å ta ut økte kostnader gjennom økte priser på førstehåndsomsetninga, gitt betydelige utfordringer for de minst lønnsomme fiskeriene. Det pågår imidlertid en prosess for å vurdere mulige tiltak for å få ned bunkersforbruket i fiskeflåten.
Så langt er det ingen indikasjoner på at mangel på arbeidskraft har vært en reell begrensning for fangsten av fastsatte kvoter. Videre vil de foreslåtte endringene i forbindelse med statsbudsjettet for 2009 bidra til å bedre rammevilkårene for ansatte i fiskerinæringa vs. andre maritime næringer. Fiskeri- og kystdepartementet vil imidlertid løpende vurdere rammebetingelsene for fiskeflåten og vurdere behov for eventuelle ytterligere tiltak.
Kap. 1030 Fiskeridirektoratet
(i 1 000 kr) | ||||
|---|---|---|---|---|
Post | Betegnelse | Regnskap 2007 | Saldert budsjett 2008 | Forslag 2009 |
01 | Driftsutgifter | 307 369 | 305 000 | 327 600 |
21 | Spesielle driftsutgifter | 3 831 | 4 330 | 4 520 |
45 | Større utstyrsanskaffelser og vedlikehold , kan overføres | 1 516 | 1 650 | 1 600 |
Sum kap. 1030 | 312 716 | 310 980 | 333 720 |
Innledning
Fiskeridirektoratet er det sentrale utøvende organ innen fiskeri- og havbruksforvaltninga, og er i tillegg en viktig rådgiver for Fiskeri- og kystdepartementet. Direktoratet skal betjene og yte service til næringsaktørene innen fiskeri og havbruk.
Fiskeridirektoratet har hovedkontor i Bergen og regionkontorer i Vadsø, Tromsø, Bodø, Trondheim, Ålesund, Måløy og Egersund. Direktoratet sysselsatte 425 årsverk i 2007. Den faglige virksomheten i Fiskeridirektoratet er delt inn i tre virksomhetsområder: Havressursforvaltning, havbruksforvaltning og konkurrerende bruk av hav og kystsone.
Fiskeridirektoratets visjon er: Livet i havet – vårt felles ansvar.
Boks 7.11 Hovedprioriteringer i Fiskeridirektoratet
Fiskeridirektoratet er en sentral aktør i arbeidet for ei bærekraftig og lønnsom fiskeri- og havbruksnæring. Arbeidet med fornying og brukerorientering vil bli videreført og styrket.
Tiltak for å redusere ulovlig, urapportert og uregulert fiske er en høyt prioritert oppgave for Fiskeridirektoratet. Effektive tiltak er meget lønnsomme i samfunnsøkonomisk målestokk. Det foreslås derfor å styrke Fiskeridirektoratets budsjett i 2009 med 8 millioner kroner for å bedre ressurskontrollen i fiskeriene. Som en følge av vedtak i NEAFC er det nødvendig å øke inspeksjonsfrekvensen ved utenlandske fartøyers landinger av frossenfisk i Norge. Dette er et avgjørende bidrag for å sikre et troverdig kontrollregime, spesielt i Nord-Norge.
I tillegg er det, av hensyn til bærekraftige norske fiskerier og norsk omdømme som ansvarlig forvalter av levende marine ressurser, svært viktig at vi har god ressurskontroll i de nasjonale fiskeriene våre.
I tillegg gjør nye regler for dokumentasjon av lovlig fangst ved eksport til EU det nødvendig å utarbeide et system for fangstsertifikater i de norske fiskeriene. De nye reglene trer i kraft 1. januar 2010, og innebærer at norske myndigheter må validere fangstsertifikat for all villfanget fisk som skal eksporteres fra Norge til EU. Dette omfatter også fisk som importeres til Norge for bearbeiding og videre eksport til EU, og all norsk eksport av fisk som bearbeides i tredjeland for re-eksport til EU.
Den økte bevilgninga vil blant annet gi rom for flere inspektører i Fiskeridirektoratets regioner.
Arbeidet med å kartlegge operasjons- og transportmønstre i UUU-fiske er stadig et viktig innsatsområde. Fiskeridirektoratet skal sikre en videreføring og videreutvikling av dette arbeidet i 2009.
Fornying og brukerretting
Mål og prioriteringer
Mål: Fiskeridirektoratet vil fremme lønnsom og verdiskapende næringsaktivitet gjennom bærekraftig og brukerrettet forvaltning av marine ressurser og marint miljø.
Resultater 2007–2008
I 2007 og 2008 har direktoratet satset sterkt på utvikling av lederkompetanse blant yngre, godt kvalifiserte medarbeidere i etaten. Ti kvinner og seks menn, åtte sentralt og åtte regionalt ansatte, har fulgt opplegget med samlinger over to semestre. Fra og med 2008 satses det på bred opplæring i prosjektledelse.
Ved årsskiftet 2007/2008 har Fiskeridirektoratet 20 pst. kvinner på toppledernivå og 35 pst. på mellomledernivå. Av de ansatte er det 4 pst. som har innvandrerbakgrunn.
På IT-siden er så vel hovedanlegg som terminalserverfarm og databasetjener fornyet, samtidig som alle store databaser er oppgradert til høyere nivå. Gjennomført risikovurdering viser redusert sårbarhet.
Temadata fra Fiskeridirektoratet er tilgjengelig via internett og intranett og kan vises sammen med kartdata fra andre etater. Brukerne kan velge mellom sjøkart, landkart eller ortofoto som bakgrunn.
Regnskap og lønn er integrert i Agresso 5.5. Direktoratet deltar i Finansdepartementets prosjekt for utprøving av periodisert regnskap.
Direktoratet forbereder overgang til elektronisk arkiv fra og med 2009. Felles postadresse innføres høsten 2008.
Havbruksforvaltning
Mål og prioriteringer
Mål: Fiskeridirektoratet vil bidra til å fremme en lønnsom og bærekraftig havbruksnæring og sikre at overordnede nasjonale og regionale mål og samfunnsinteresser blir ivaretatt ved å fremme en balansert næringsutvikling.
Fiskeridirektoratet skal også bidra til at havbruksnæringa utvikles og drives slik at miljøpåvirkningene er innenfor akseptable rammer, og at konflikter med det omkringliggende miljø, lovlig ferdsel eller annen viktig utnyttelse av kystområder, unngås.
Internasjonale fora, som blant annet FAO og EU, blir stadig mer involvert spørsmål som påvirker norsk havbruksforvaltning. Det er derfor viktig at Fiskeridirektoratet bygger opp kompetanse og tilstrekkelige ressurser for å delta i slike fora.
På flere områder har det vist seg viktig med klar fordeling av rollene mellom politikkutforming, forvaltning og tilsyn, og forskningsbasert rådgiving og kunnskapsstøtte. Fiskeridirektoratet vil videreføre arbeidet med å tydeliggjøre sin direktorats- og tilsynsrolle og rollen som bruker og bestiller av forvaltningsrelevant forskning innenfor sitt ansvarsområde.
Forvaltning
Fiskeridirektoratet skal på basis av akvakulturloven og dens forskrifter behandle konsesjonssøknader og konsesjonsrelaterte saker ut fra gitte mål, og gjennom risikobasert tilsyn sikre at gjeldende vilkår overholdes. Direktoratet vil videreføre arbeidet med modernisering og effektivisering av havbruksforvaltninga med sikte på å legge til rette for næringsutvikling innenfor bærekraftige rammer, og sikre rasjonell og brukerorientert oppgaveløsning. I dette arbeidet er viktig med en nær dialog med relevante sektormyndigheter og med nærings- og interesseorganisasjoner.
Fiskeridirektoratet vil følge opp og videreutvikle arbeidet med å gjøre havbruksforvaltninga mer brukerorientert, rasjonell og effektiv når det gjelder oppgaveløsning. Dette omfatter videreutvikling av gode forvaltningsverktøy, administrative registre, forenklede rapporteringsrutiner og søknadsregistrering ved bruk av IKT, blant annet gjennom bruk av Altinn og egne saksbehandlingssystemer. Fiskeridirektoratets del av akvakulturregisteret og andre registre og nødvendige applikasjoner for havbruksstatistikk skal videreutvikles og fornyes. Sammen med andre sektormyndigheter, vil Fiskeridirektoratet bidra til at regelverk som er relevant for havbruksnæringa gjøres tilgjengelig for brukerne på en oversiktlig og dekkende måte. Samarbeidet med Mattilsynet om relevante forvaltningsoppgaver og regelverksutforming, skal effektiviseres.
Miljø- og bærekrafthensyn i havbruksnæringa
Fiskeridirektoratet skal drive en kunnskapsbasert forvaltning som tar vare på miljøsidene ved havbruk på en bærekraftig måte, og bidra til å forebygge og bekjempe alle former for miljøkriminalitet hos aktører i havbruksnæringa.
Gjennom arbeidet med oppfølging av ”Visjon nullflukt” vil Fiskeridirektoratet bidra til at rømming av oppdrettsfisk reduseres som problem til et nivå som ligger under dokumenterte, bestandsspesifikke grenseverdier. Det er også viktig å få på plass et tilstrekkelig måleprogram som verifiserer alle vesentlige miljøvirkninger av havbruksnæringa.
Samarbeidet med miljømyndighetene og Havforskningsinstituttet om felles miljøovervåking (MOM), vil bidra til ei faglig oppgradering av miljøovervåkinga innenfor havbruk. På grunnlag av innspill fra blant annet Fiskeridirektoratet, har Fiskeri- og kystdepartementet bestemt at det skal innføres et særskilt forvaltningsregime for havbruksnæringa i Hardangerfjorden. Når forvaltningsregimet er satt i verk vil det kreve tett oppfølging. Det gjelder også med tanke på framtidig vurdering av virkningene av tiltaket. Dette arbeidet må gjennomføres i nært samarbeid med Mattilsynet og miljøvernmyndighetene.
Det er et betydelig potensial for vekst innen torskeoppdrett, og det krever økt engasjement fra fiskerimyndighetene sin side. Fiskeridirektoratet vil arbeide for at havbruksvirksomhet som helt eller delvis har opphørt ikke skal være til sjenanse eller skade i områdene der aktiviteten har vært drevet. Direktoratet vil bidra til opprydning og fjerning av forlatte blåskjellanlegg.
Tilsyn med havbruksnæringa
Kontroll av og tilsyn med havbruksanlegg skal sikre at gjeldende vilkår blir fulgt og at havbruksproduksjonen er miljømessig forsvarlig. Det brukes ulike kontrollverktøy vurdert ut fra risikobetraktninger og hensiktsmessighet, medregnet revisjon, stikkprøvekontroll og kontrollaksjoner. Kontrollene skal blant annet hindre og begrense rømming gjennom tilsyn med kravene i Nytek-forskriften, sikre at kravene i akvakulturdriftsforskriften følges, og sikre at biomassen ved produksjon av laks og ørret ikke overstiger maksimalt tillatt biomasse.
Fiskeridirektoratet vil legge økt vekt på å videreutvikle det risikobaserte tilsynet med havbruksanlegg (AKVARISK) i ordinær produksjon. Dette omfatter bruk av ulike tilsynsverktøy medregnet revisjon, inspeksjon og tilsynskampanjer.
Direktoratet vil sørge for at det føres tilsyn med et tilstrekkelig antall havbruksanlegg, på bakgrunn av en risikovurdering, og at overtredelser følges opp på en effektiv og riktig måte. Direktoratet vil drive samordnet tilsyn sammen med andre sektormyndigheter når det er mulig.
Resultater 2007–2008
Havbruksforvaltning
Det er laget nye og forbedrete konsesjonssøknadsskjema med veileder i samarbeid med andre sektormyndigheter. Dette er til nytte både for søkerne og for forvaltninga ved konsesjonsbehandlinga.
Prøveprosjektet i Trøndelag for samordna saksbehandling av havbrukssøknader er videreført med fortsatt positiv resultatutvikling.
Miljø- og bærekrafthensyn i havbruksnæringa
Rømmingstallene gikk betydelig ned i 2007, sammenliknet med 2006. Første halvår 2008 har denne trenden fortsatt. Fiskeridirektoratet la ved årsskiftet fram en oppdatert tiltaksplan mot rømt oppdrettsfisk, Visjon nullflukt. Den reviderte tiltaksplanen inneholder over 50 arbeidsoppgaver for arbeidet mot rømming av oppdrettsfisk.
Fiskeridirektoratet har en god og nær dialog med Økokrim om rømming og annen miljøkriminalitet. Dette vil bidra til at saker som anmeldes i større grad blir etterforsket, påtalt og eventuelt straffet av domstolen. Eksisterende rømmingsinstruks er utvidet og revidert etter innspill fra et samarbeidsutvalg oppnevnt av Økokrim.
I forbindelse med oppgradering av miljøovervåkinga har Fiskeridirektoratet samarbeidet med Havforskningsinstituttet og Statens forurensningstilsyn om revisjon av Standard for miljøovervåking av bunnpåvirkning fra marine akvakulturanlegg (NS 9410) og inkorporering av SFT’s driftskrav i Fiskeridirektoratets driftsforskrift.
NYTEK-forskriften fastsetter tekniske krav til oppdrettsanlegg der formålet er å forebygge rømming. Standard for tekniske krav til oppdrettsanlegg (NS 9415) har vært revidert to ganger på kort tid, og det pågår ytterligere en revisjon.
Ei arbeidsgruppe med representanter fra berørte myndigheter og næringa har vurdert oppryddingsproblematikken knyttet til forlatte oppdrettsanlegg. I 2008 er det satt i gang en blåskjelloffensiv hvor en tar sikte på å gjennomgå samtlige blåskjellanlegg blant annet med vekt på opprydding, og kartlegging av behov for opprydding hvis anlegg ligger utenfor godkjent lokalitet.
Fiskeridirektoratet har sammen med Mattilsynet, miljøforvaltninga og næringas organisasjoner utarbeidet et utkast til egen forskrift om særskilt forvaltningsregime for havbruksnæringa i Hardangerfjorden. Planen er at forvaltningsregimet skal tre i kraft 1. januar 2009.
Havforskningsinstituttets forslag til nytt forvaltningsregime for torskeoppdrett kan få store konsekvenser for næringsutøverne. Fiskeridirektoratet arbeider med en konsekvensutredning av forslagene på oppdrag fra departementet.
Tilsyn med havbruksnæringa
De prioriterte kontrollområdene har vært internkontroll i havbruksvirksomheter, manglende etterlevelse av kravene i Nytek-forskriften, manglende etterlevelse av kravene til MTB (maksimalt tillat biomasse) og rømming generelt og rømming av smolt spesielt. Internkontrollen for havbruk (IK-akvakultur) er regulert gjennom egen forskrift, og er blitt et viktig tilsynsverktøy. Tilsyn med forskriften utføres som revisjon hos bedriftene av Fiskeridirektoratets og Mattilsynets regionale forvaltning i fellesskap. Det er utarbeidet en veileder til forskriften.
Hver av Fiskeridirektoratets regionkontorer har gjennomført kontroller på et fastsatt antall lokaliteter i sin region. Totalt er om lag 30 pst. av alle aktive havbruksanlegg for fisk blitt kontrollert ved hjelp av ulike kontrollverktøy. Alle lokaliteter med laks og ørret innenfor de nasjonale laksefjordene er blitt kontrollert.
Systemet for risikobasert tilsyn med havbruksanlegg (AKVARISK) er implementert i 2008 og utvikles videre i 2009.
Havressursforvaltning
Mål og prioriteringer
Mål: Fiskeridirektoratet vil bidra til å sikre ei bærekraftig og samfunnsøkonomisk forvaltning av marine ressurser og gjennomføre regulering og kontroll med fiske og fangst på en måte som sikrer balanse mellom utnyttelse og vern.
Fiskeridirektoratet skal i 2009 også øke innsatsen mot urapportert fiske fra norske fartøy, blant annet gjennom økt landingskontroll og optimal samordning av kontrollressursene i tilstøtende regioner. Sjøgående kontrollvirksomhet skal prioriteres og samordnes med kontroller på land.
Direktoratet vil utvikle verktøy for regulering og kontroll av uttaket av blant annet arter som i dag ikke er underlagt omfattende reguleringstiltak, og fortsette arbeidet med å utvikle og implementere bruk av mer selektive redskaper i det utøvende fisket.
Direktoratet vil fortsette med å kartlegge den reelle fangstsammensetninga i de ulike fiskeriene som et ledd i arbeidet med å få et bedre mål på uregistrert fiskedødelighet.
Fiskeridirektoratet vil i 2009 fortsatt legge vekt på ulovlig, urapportert og uregulert fiske (UUU-fiske) i Barentshavet, og arbeide nasjonalt, bilateralt og multilateralt for å få slutt på denne type kriminalitet.
Fiskeridirektoratet vil prioritere arbeidet med å implementere havressursloven.
Direktoratet vil fortsette arbeidet med å videreutvikle elektroniske verktøy og oppdatere og vedlikeholde de forskjellige registrene som er utviklet. Kvalitetssikring av data og elektroniske datasystemer prioriteres høyt.
Videreutvikling av den elektroniske fangstdagboka og tilhørende systemer for elektronisk rapportering fra fiskefartøyer prioriteres høyt. Forenkling vil stå sentralt.
Ressursforvaltning
Mål: Fiskeridirektoratet vil bidra til å sikre en bærekraftig og samfunnsøkonomisk forvaltning av marine ressurser og gjennomføre regulering og kontroll med fiske og fangst som sikrer en ansvarlig gjennomføring av aktiviteten.
Fiskeridirektoratet vil bidra til utviklinga av reguleringsmodeller som ivaretar hensynet både til ressursene i havet og lønnsomheten i fiskeriene, og følge opp vedtatte reguleringer.
Fiskeridirektoratet vil arbeide med å oppdatere og kvalitetssikre deltaker- og kvoteregister løpende. Framskaffing, kvalitetskontroll, bearbeiding og distribusjon av nødvendig statistisk materiale om deltakelse, fangst og lønnsomhet vil også bli prioritert.
Direktoratet vil innføre elektronisk søknadsprosedyre for ervervstillatelser, og det skal legges til rette for en serviceorientert, grundig og rask saksbehandlingstid.
Ressurskontroll
Mål: Fiskeridirektoratet vil sikre at ressursuttaket blir i overensstemmelse med fastsatte nasjonale og internasjonale reguleringsbestemmelser og drive en effektiv og målrettet ressurskontroll både nasjonalt og internasjonalt.
Fiskeridirektoratet vil arbeide for å innføre elektronisk fangstdagbok for alle dagbokspliktige fartøy som er underlagt sporingsplikt.
Direktoratet vil representere norske fiskerimyndigheter i utviklingsarbeid og prosjekter om fangstsertifikat og sporing for å sikre at ressurskontroll inngår som et element den samlede bruken av sertifikater og sporingssystemer for fisk og fiskeprodukter.
Fiskeridirektoratet vil arbeide med et internasjonalt kontrollregime basert på havnestatskontroll, medregnet også arbeide bilateralt for å få på plass gode kontakter og rutiner med andre land for å få slutt på illegalt, urapportert og uregulert fiske i Barentshavet.
Fiskeridirektoratet vil gjennomføre målrettet ressurskontroll, basert på forutgående risikovurdering og analyser av hver sak, og øke omfanget av omsetningskontroller og videreutvikle kontrollmetodene særlig for å avdekke eventuell grov økonomisk kriminalitet. Det vil også bli gjennomført kontroller for å avdekke norske aktørers rolle i handel med ulovlig fanget fisk fra Barentshavet.
Fiskeridirektoratet vil effektivisere utnyttelsen av de samlede kontrollressursene gjennom å videreutvikle inspeksjonsdatabasen og samarbeidet med Kystvakta, fiskesalgslagene, tollmyndigheter, skatteetaten og påtalemyndigheten, og styrke samarbeidet med fiskesalgslagene med sikte på bedre utnyttelse av de samlede kontrollressursene.
Direktoratet vil fortsette samarbeidet med EU og Færøyene for å få på plass mer harmoniserte regler for kontroll.
Samarbeid med andre land
Mål: Fiskeridirektoratet vil bidra til å ivareta Norges interesser som havnasjon gjennom internasjonalt samarbeid om ressursforvaltning, og arbeide for å sikre ei bærekraftig og samfunnsøkonomisk lønnsom forvaltning av levende marine ressurser.
Fiskeridirektoratet vil arbeide i relevante internasjonale organisasjoner både regionalt og globalt, og bidra til at det inngås avtaler for å sikre ei bærekraftig forvaltning av fiskebestandene.
Fiskeridirektoratet vil delta og eventuelt lede norske delegasjoner i forhandlinger med andre land, og utarbeide beslutningsnotat og beregninger til bruk i slike forhandlinger.
Fiskeridirektoratet vil ha særskilt ansvar for arbeidet i de regionale forvaltningsorganisasjonene CCAMLR, NAFO og SEAFO, og bidra til arbeidet i relevante internasjonale miljøorganisasjoner, medregnet CBD og OSPAR.
Fiskeridirektoratet vil delta i arbeidet med å utvikle og forbedre rammeverket for marin ressursforvaltning i FN og FAO, og legge særlig vekt på inngåelse og implementering av en internasjonal bindende avtale om havnestatskontroll i regi av FAO.
Fiskeridirektoratet vil ha ansvar for prosjekter i regi av NORAD som gjelder lovgivning og operativ ressurskontroll i fiskeriforvaltninga i de land Norge yter slik bistand til.
Fiskeridirektoratet vil sikre nødvendig koordinering av internasjonale standarder for produksjon av fiskeristatistikk gjennom deltakelse i EUROSTAT.
Resultater 2007–2008
Ressursforvaltning
Fiskeridirektoratet gir sine råd og forslag til departementet basert på best mulig kunnskap og balanse mellom en miljømessig og bærekraftig tilnærming og hensynet til ei lønnsom fiskerinæring.
Fiskeridirektoratet har utarbeidet forslag til, og iverksatt regulering av, omlag 30 viktige kommersielle fiskerier, medregnet oppfølging og overvåking av fiskeriene. Direktoratet har arbeidet for å oppnå felles forvaltningsstrategier og kontrollsamarbeid, særlig innenfor NEAFC og med EU og Russland.
I 2007 og 2008 er det drevet kontinuerlig overvåking av Norges havområder og foretatt midlertidige stengninger av fiskefelt med for stor innblanding av fisk under minstemål eller for stor innblanding av bifangst.
Fiskeridirektoratet har bidratt til at det er etablert kontrollsamarbeidsavtale med Nederland og at tidligere avtaler med landet er revidert.
For å redusere faren for skjult og uregistrert beskatning er det gjennomført garnopprydding i Norskerenna og Norskehavet utenfor kysten av Møre og Romsdal, Trøndelag, Nordland og Troms.
Fiskeridirektoratet har utført forsøk med bruk av sorteringsrist i fisket med småmasket trål etter kolmule i Nordsjøen.
Det er gjennomført søknadsrunde og tildeling av krilltillatelser. Som en del av FISK-prosjektet er det etablert elektroniske saksløp for å forbedre vedtakskvaliteten og forhindre forskjellsbehandling. Videre er det gjennomført spørreundersøkelse blant fiskere om troverdighet av registrene.
Ressurskontroll
Fiskeridirektoratet har i perioden rettet oppmerksomhet mot det russiske overfisket i Barentshavet. Det har også vært særlig oppmerksomhet rettet mot FAOs aksjonsplan mot ulovlig, uregulert og urapportert fiske (UUU-fiske).
Arbeidet med kontrollspørsmål har foregått direkte med russisk fiskeriforvaltning og kontroll gjennom Det permanente utvalg for forvaltnings- og kontrollspørsmål på fiskerisektoren (DPU), som er et norsk/russisk samarbeidsutvalg.
Fiskeridirektoratet har iverksatt ordninga med havnestatskontroll som forplikter de landene som mottar fisk til å kontrollere om fisket er lovlig og rapportert. Videre er det på plass en felles inspeksjonsdatabase for Fiskeridirektoratet og Kystvakta, og det er påbegynt et arbeid for å videreutvikle og forbedre utnyttelsen av tilgjengelig informasjon til bruk i risikovurdering og analyse. Dette har ført til mer målrettet kontroll.
Samarbeidet med Kystvakta, tolletaten, skatteetaten og politi/påtalemyndigheten er videreført.
Kontrollsamarbeidet med salgslagene har resultert i et forslag om nytt regelverk og om å etablere nye rutiner for kvalitetssikring, informasjonsflyt og informasjonsutveksling mellom salgslagene og Fiskeridirektoratet, basert på felles tekniske løsninger. Arbeidet har som målsetting å modernisere og effektivisere arbeidet hos salgslagene og i Fiskeridirektoratet. Denne effektivisering kommer hele næringa til gode.
Fiskeridirektoratet har etablert et elektronisk lisensieringsregister for norske fartøy i EU-sona, og et register for notifiseringsmeldinger til/fra EU.
Samarbeid med andre land
Fiskeridirektoratet har også i denne perioden spilt en aktiv rolle i arbeidet med å ivareta Norges interesser som havnasjon i internasjonalt miljø- og ressurssamarbeid.
Det har bilateralt og i regionale organisasjoner vært arbeidet med å få på plass avtaler om fellesforvaltning av blant annet uer og diverse dyphavsarter gjennom arbeid i regionale organisasjoner og bilateralt arbeid. Videre er det forhandlet med EU for å oppnå fellesforvaltning og fordeling på artene breiflabb, tobis, øyepål og hestmakrell. Det er også gjennomført konkrete samarbeidsprosjekter med EU knyttet til elektronisk rapporteringssystem, satellittsporing, elektronisk fangstdagbok og elektroniske lisensieringsprosedyrer.
Fiskeridirektoratet har samarbeidet med medlemsland i EU om garnopprensking i EU-sona, og teknisk regelverk for garnfiske i EU-sona er satt på dagsorden.
Fiskeridirektoratet har bidratt til etablering av et regime for vern av sårbare bunnhabitater (blant annet koraller) i internasjonalt farvann innenfor NEAFC og NAFO-områdene.
Det arbeides både bilateralt og multilateralt med å få på plass et fungerende internasjonalt regime for havnestatskontroll.
Fiskeridirektoratet har deltatt i en rekke internasjonale miljøfora, blant annet har Norge nominert marine verneområder i OSPAR.
Gjennom NORAD-prosjekter har Fiskeridirektoratet bistått Sør-Afrika, Kina og Vietnam i å få på plass fiskeriforvaltningsregimer og fiskerilovgivning, og forberedt en evt. deltakelse i fiskeriforvaltningsarbeidet i Namibia, Mosambik og Nicaragua.
Fiskeridirektoratet har i samarbeid med EU og Færøyene arbeidet med å etablere mer harmoniserte metoder for kontroll.
Integrert kystsoneforvaltning
Mål og prioriteringer
Mål: Fiskeridirektoratet vil arbeide for en balansert og bærekraftig utnyttelse av arealer med utviklingsmuligheter for fiskeri- og havbruksnæringa.
Fiskeridirektoratet vil utvikle rollen som ledende og harmoniserende premissleverandør innenfor ei integrert hav- og kystforvaltning. Direktoratet vil gjennom gode prosesser sikre at ulike brukere, også allmennheten, får adgang til å benytte felles ressurser i kystsona på en bærekraftig måte.
Fiskeridirektoratet vil
fremme havbruk og fiskeri i kystsona der disse står for den samfunnsmessig beste og mest bærekraftige utnyttelsen
tydeliggjøre rollen som bestiller og bruker av forvaltningsrelevant forskning
ha effektiv dialog med alle aktuelle myndigheter, nærings- og interesseorganisasjoner i kystsona
være pådriver for å få på plass og befeste overordnede nasjonale retningslinjer i alle viktige samfunnsprosesser i kystsona for å skape forutsigbarhet for brukerne
utvikle samarbeidet med Kystverket for å samordne strategi, faglig forståelse og tjenester overfor brukerne
bygge opp kompetanse om, og delta i internasjonale fora som kan påvirke norsk kystsoneforvaltning
delta i areal- og verneplanprosesser som berører kystsona for å sikre areal til høsting av naturressurser og matproduksjon i sjø innenfor bærekraftige rammer. Dette må også ses i sammenheng med innarbeidinga av EUs vannrammedirektiv og kartlegging av marint biologisk mangfold i kommunene
i samarbeid med andre beredskapsmyndigheter ivareta samfunnets og fiskeri- og havbruksnæringas behov for krisehåndteringer i nære sjøområder
bidra til vern, bruk og formidling av kulturminner og kulturmiljø slik at allmennheten kan forstå og oppleve kulturverdiene i kystsona
arbeide for å få på plass reviderte forskrifter for tarehøsting i Møre og Romsdal og Sør-Trøndelag og revidere gjeldende forvaltningsplan.
Resultater 2007–2008
Fiskeridirektoratet har deltatt i aktuelle prosesser i kystsoneforvaltninga. Det gjelder blant annet kommuneplaner, konsekvensutredninger etter plan- og bygningsloven, fylkesplaner, verneplaner etter naturvernloven og arbeidet med marin verneplan. Direktoratet har også bidratt i arbeidet med offentlige utredninger og lov- og forskriftsarbeid, medregnet arbeidet med ny planlov, naturmangfoldlov og ny havne- og farvannslov.
Fiskeridirektoratet har i arbeidet med marin verneplan bidratt til utredningsprogram for områder det skal utarbeides konsekvensutredning for, og forslag til avgrensing av referanseområder, i nært samarbeid med Direktoratet for naturforvaltning, Havforskningsinstituttet, fylkesmenn og Fiskeridirektoratets regionkontor.
Fiskeridirektoratet har bidratt med foredrag og annen kunnskapsformidling innen kystsoneforvaltning for andre offentlige aktører, og har arrangert kurs og seminarer innen integrert kystsoneplanlegging og bruk og vern av kystsona.
Fiskeridirektoratet har vært medarrangør av nasjonalt kystkulturseminar i Kristiansand S. og har planlagt nytt seminar i Bergen. Direktoratet leverte sammen med Riksantikvaren, Kystverket og ABM-Utvikling ”Nasjonal handlingsplan for kystkultur 2007–2010”, og bidro i delprosjektet ”Fortellinger om kystnorge”.
Fiskeridirektoratet deltar i arbeidet med EUs rammedirektiv for vann gjennom direktoratsgruppa for implementeringen av direktivet, karakteriseringsprosjekt av norske vannforekomster og overvåkingsprosjekt av norske vannforekomster.
Fiskeridirektoratet deltar sentralt i prosjektet ”Kartlegging av marint biologisk mangfold i kommunene”.
Direktoratet spiller en aktiv rolle innenfor nasjonalt og internasjonalt miljøarbeid.
Geografiske informasjonssystemer (GIS)
Fiskeridirektoratet er medlem av Norge Digitalt, og videreformidler informasjon om havbruk og fiskeridata gjennom samarbeidet. Fiskeridirektoratet har tatt i bruk basiskart og annen geodata tilgjengelig gjennom Norge Digitalt. Det er satt opp kartinnsynsløsning på intranett til bruk som saksbehandlingsverktøy for medarbeiderne og en kartinnsynsløsning på internett til bruk og informasjon om fiskeri- og havbruksnæringas bruk av arealer for andre.
Et eget prosjekt arbeider med å få til en mer nøyaktig stedfesting av havbrukslokaliteter.
Det er opprettet en sentral fiskeridatabase med kobling mot kart.
Sporingsdata benyttes til å illustrere fiskeriaktivitet for ulike områder på kart.
Direktoratet deltar i prosjektet MAREANO.
Beredskap/overvåking
Fiskeridirektoratets varslings- og beredskapsplan for krisehåndtering i kystsona revideres hvert år og distribueres til Fiskeridirektoratets samarbeidspartnere. Regionene har tilsvarende regionale planer etter samme mal. I løpet av perioden har Fiskeridirektoratet hatt beredskapssituasjoner knyttet til forlis, grunnstøtinger, algeoppblomstringer, manetinvasjon, sykdom på kystsel, atomulykker og oljeutslipp. Videre har Fiskeridirektoratet vært rådgiver for Kystverket i saken om vraket av u-båten U-864 utenfor Fedje og deltatt i krisehåndteringen under og etter forliset av M/S ”Server” utenfor Fedje i januar 2007. Fiskeridirektoratet har for øvrig deltatt i oljevernøvelser og beredskapsseminarer i regi av Kystverket og Statens strålevern, og er medlem av strålevernets faglige råd.
Næringsutvikling og samfunnsplanlegging
Mål og prioriteringer
Mål: Fiskeridirektoratet deltar i arbeidet for marin verdiskaping i samarbeid med fylkeskommunene, Innovasjon Norge og andre etater i de regionale partnerskapene.
Direktoratets kompetanse trekkes inn i arbeidet med premisser for utviklingsarbeidet, dessuten har direktoratet en viktig rolle å spille i regionenes kystsoneplanlegging.
Fiskeridirektoratet engasjerer seg ikke i bedriftsrettet marin næringsutvikling, dette tar Innovasjon Norge seg av.
Fiskeridirektoratet samarbeider med Kystverket og Innovasjon Norge i spørsmål om lokalisering av fiskerihavner, med sikte på best mulig samlet effekt av den marine næringsutviklinga.
Resultater 2007–2008
Direktoratet har gitt høringsuttalelser til offentlige utredninger og deltatt i utredningsarbeid. Dette gjelder blant annet NOU 2006:6 Når sikkerhet er viktigst, oppgavefordeling og forvaltningsreform og regjeringas handlingsplan for miljørettet utviklingssamarbeid.
Fiskeridirektoratet deltar i prosjektet ”Kartlegging av marint biologisk mangfold i kommunene”.
Direktoratet deltar i prosjektet ”Sammenstilling av marine næringsplaner”.
Budsjettforslag 2009
Post 01 Driftsutgifter
Bevilgninga på posten dekker lønns- og driftsutgifter for Fiskeridirektoratet. Det fremmes forslag om å bevilge 327,6 mill. kroner på posten i 2009.
Det foreslås å styrke posten med 8 mill. kroner som sammen med den økte bevilgninga på 2 mill. kroner på kap. 1000 post 21, innebærer en samlet økning på 10 mill. kroner i 2009 til videre opptrapping av innsatsen mot ulovlig, uregulert og urapportert fiske.
Post 21 Spesielle driftsutgifter
Bevilgninga på posten dekker utgifter til ordninga for fiskeforsøk og utvikling og motsvares av tilsvarende bevilgning på kap. 4030 post 22. Det fremmes forslag om å bevilge 4,52 mill. kroner på posten i 2009.
Post 45 Større utstyrsanskaffelser og vedlikehold, kan overføres
Posten gjelder årlig utskifting av IKT-utstyr. Det fremmes forslag om å bevilge 1,6 mill. kroner på posten i 2009.
Kap. 4030 Fiskeridirektoratet
(i 1 000 kr) | ||||
|---|---|---|---|---|
Post | Betegnelse | Regnskap 2007 | Saldert budsjett 2008 | Forslag 2009 |
01 | Oppdragsinntekter | 301 | 10 | 10 |
02 | Salg av registre, diverse tjenester | 20 | 90 | 95 |
04 | Fangstinntekter Overvåkingsprogrammet | 4 800 | 10 | 10 |
05 | Gebyr kjøperregistrering | 205 | 490 | 510 |
06 | Tvangsmulkt oppdrettsvirksomhet | 2 141 | 750 | 785 |
08 | Gebyr havbruk | 9 539 | 13 830 | 10 940 |
09 | Innmeldingsgebyr Merkeregisteret | 18 630 | 2 200 | 2 300 |
12 | Saksbehandlingsgebyr fiskeflåten | 2 072 | 3 200 | 3 340 |
14 | Refusjoner | 3 496 | 10 | 10 |
20 | Forvaltningssanksjoner i fiskeflåten | 10 | 10 | |
22 | Inntekter ordningen fiskeforsøk og veiledning | 3 831 | 4 330 | 4 520 |
Sum kap. 4030 | 45 034 | 24 930 | 22 530 |
Post 01 Oppdragsinntekter
Det knytter seg usikkerhet til anslagene for oppdragsvirksomheten. Det fremmes forslag om å bevilge 10 000 kroner på posten i 2009.
Post 02 Salg av registre, diverse tjenester
Her budsjetteres inntektene ved salg av merkeregisteret, salg av fiskebruksregisteret og IKT-tjenester. Det fremmes forslag om å bevilge 95 000 kroner på posten i 2009.
Post 04 Fangstinntekter overvåkningsprogrammet
Det knytter seg stor usikkerhet til inntektsgrunnlaget for fangstinntekter. Det fremmes forslag om å bevilge 10 000 kroner i 2009.
Post 05 Gebyr kjøperregistrering
Posten gjelder gebyrinntekter for kjøpsregistrering. Det fremmes forslag om å bevilge 510 000 kroner på posten i 2009.
Post 06 Tvangsmulkt oppdrettsvirksomhet
Posten gjelder inntekter fra tvangsmulkt vedrørende oppdrettsvirksomhet. Inntektene vil kunne variere fra år til år avhengig av bevegelse i saksmassen, klagebehandling og rettsoppgjør. Det fremmes forslag om å bevilge 785 000 kroner på posten i 2009.
Post 08 Gebyr havbruk
Posten gjelder gebyr for forvaltningsoppgaver knyttet til havbruk. Det fremmes forslag om å bevilge 10,94 mill. kroner på posten i 2009. Dette er en realreduksjon på 3,5 mill. kroner som følge av at de faktiske inntektene har blitt redusert de senere årene.
Post 09 Innmeldingsgebyr merkeregisteret
Posten gjelder engangsgebyr for innføring av fartøy i merkeregisteret. Det fremmes forslag om å bevilge 2,3 mill. kroner på posten i 2009. Når det gjelder årsgebyr for merkeregisteret som tidligere var budsjettert på denne posten, vises det til omtale under kap. 5575 post 73
Post 12 Saksbehandlingsgebyr fiskeflåten
Posten gjelder gebyr for ulike typer søknader knyttet til fiskeflåten. Det fremmes forslag om å bevilge 3,34 mill. kroner i 2009.
Post 14 Refusjoner
Det fremmes forslag om å bevilge 10 000 kroner på posten i 2009.
Post 20 Forvaltningssanksjoner i fiskeflåten
Det foreslås å bevilge 10 000 kroner på posten i 2009.
Post 22 Inntekter ordningen fiskeforsøk og utvikling
Posten gjelder fangsinntekter, tilskudd og andre inntekter knyttet til ordninga for fiskeforsøk og utvikling. Det fremmes forslag om å bevilge 4,52 mill. kroner på posten i 2009.
Kap. 5575 Sektoravgifter under Fiskeri- og kystdepartementet
(i 1 000 kr) | ||||
|---|---|---|---|---|
Post | Betegnelse | Regnskap 2007 | Saldert budsjett 2008 | Forslag 2009 |
70 | Kontroll- og tilsynsavgift akvakultur | 5 936 | 7 300 | 7 620 |
71 | Kontrollavgift fiskeflåten | 27 808 | 22 350 | 23 330 |
72 | Årsavgift havnesikkerhet | 12 038 | 14 080 | 14 700 |
73 | Årsavgift merkeregisteret | 9 550 | 9 550 | |
Sum kap. 5575 | 45 782 | 53 280 | 55 200 |
Post 70 Kontroll- og tilsynsavgift akvakultur
Det foreslås å bevilge 7,62 mill. kroner på posten i 2009.
Post 71 Kontrollavgift fiskeflåten
Det fremmes forslag om å bevilge 23,33 mill. kroner på posten i 2009.
Post 72 Årsavgift havnesikkerhet
Det fremmes forslag om å bevilge 14,7 mill. kroner på posten i 2009.
Post 73 Merkeregisteret
Det foreslås å bevilge 9,55 mill. kroner på posten i 2009.
Kap. 1050 Diverse fiskeriformål
(i 1 000 kr) | ||||
|---|---|---|---|---|
Post | Betegnelse | Regnskap 2007 | Saldert budsjett 2008 | Forslag 2009 |
71 | Sosiale tiltak , kan overføres | 2 000 | 2 000 | 2 000 |
74 | Erstatninger , kan overføres | 143 | 2 140 | 2 140 |
75 | Tilskudd til næringstiltak i fiskeriene , kan overføres | 41 641 | 54 000 | 54 000 |
76 | Tilskudd til strukturtiltak for kapasitetstilpasning , kan overføres | 4 556 | 22 500 | |
77 | Tilskudd til NOx-reduserende tiltak i fiskeflåten , kan overføres | 100 000 | ||
78 | DNA-register for vågehval , kan overføres | 1 596 | ||
79 | Informasjon ressursforvaltning , kan overføres | 1 443 | 1 350 | 1 350 |
Sum kap. 1050 | 51 379 | 181 990 | 59 490 |
Innledning
Kapitlet omfatter tilskudd til ulike formål knyttet til fiskeri- og fangstnæringa, medregnet ordninger som tidligere var finansiert over fiskeriavtalen, tilskudd til strukturtiltak for kapasitetstilpasning i fiskeflåten og tilskudd til NOx-reduserende tiltak i fiskeflåten.
Tilskudd til næringstiltak i fiskeriene, kan overføres (jf. post 75)
Midlene på posten benyttes til å dekke de ordningene som ble videreført etter at fiskeriavtalen mellom staten og Norges Fiskarlag ble sagt opp fra 1. januar 2005. I 2008 ble det bevilget 54 mill. kroner på posten. Bevilgninga ble benyttet til føringstilskudd, tilskudd til selfangstnæringa, garantilottordninga og opprydning av tapte fiskeredskap.
Mål, prioriteringer og resultater 2007–2008
Formålet med tilskuddet på posten er å legge til rette for at de deler av fiskeri- og fangstnæringa som har begrenset driftsgrunnlag og mobilitet, men som er viktige for næringsaktiviteten i enkelte lokalmiljø, kan videreføre og utvikle sin aktivitet.
Det vil fortsatt være behov for å videreføre ordninga med føringstilskudd, tilskudd til selfangsten, garantilott og garnopprydding.
Føringstilskudd
Tilskudd til føring av fisk har som formål å legge til rette for å kunne utnytte fiskeressursene i områder med mottaks- og/eller avsetningsproblemer.
Ordninger med tilskudd til føring av fisk fra mottak til produksjonsanlegg og fra områder med mottaksproblemer til områder med ledig kapasitet er viktig for den mindre kystflåten. Hovedformålet med ordninga er å bidra til å opprettholde en variert flåtestruktur og lokale fiskerimiljøer, bidra til at ressursene blir utnyttet i flere områder selv om det ikke er produksjonsbedrifter i umiddelbar nærhet og å bidra til en mer effektiv gjennomføring av fisket ved avtaksproblemer.
I tillegg til å være et distriktspolitisk virkemiddel, bidrar tilskuddet til å utnytte ressursene i flere områder. Midlene fordeles etter søknad til føringsordninger som administreres av salgslagene. I 2008 ble det gitt et tilskudd på 29 mill. kroner til føring.
Våren 2008 ble Nofima marked AS engasjert til å gjennomføre en evaluering og kartlegging av ordninga med føringstilskudd. Hovedformålet med vurderinga var å utrede hvordan tilskuddene blir brukt og om virkemidlene er effektive og formålstjenelige.
Nofima leverte sin rapport mai 2008, som viser at ordninga i ulik grad bidrar til å oppfylle de mål som er satt. Ordningene med føring av fisk fra mottaksstasjon til bedrift vurderes samlet som gode, mens noen andre ordninger vurderes som lite formålstjenelige. Konklusjonene fra rapporten vil bli tatt med i vurderinga av hvordan støtteopplegget for 2009 skal innrettes.
Selfangst
Formålet med ordninga er å bidra til at de fastsatte kvotene på grønlandssel blir tatt.
Det er nødvendig å beskatte bestanden av grønlandssel av hensyn til balansen i økosystemet i havet. Det gis derfor tilskudd til norsk selfangstnæring for å bidra til at de fastsatte kvotene på grønlandssel blir tatt. Det er svak lønnsomhet i næringa, og den er fortsatt avhengig av offentlig tilskudd for å opprettholdes. Næringa står overfor betydelige utfordringer, særlig på markedssiden. Det ble avsatt en ramme på rundt 14 mill. kroner til selfangstnæringa i 2008. I 2008 deltok kun ett fartøy i fangsten. I tillegg gis det tilskudd til å opprettholde mottaksapparatet og til prosjekter som bidrar til produkt- og markedsutvikling. Departementet fastsetter årlig retningslinjer for utbetaling av tilskudd til fartøy og mottak. Departementet ønsker også å videreutvikle samarbeidet om fangst av grønlandssel i Østisen i samarbeid med russiske fangstkollektiv. Ved behandling av St. meld. nr. 27 (2003–2004) Norsk sjøpattedyrpolitikk ba Stortinget om at det ble lagt fram en ny stortingsmelding i 2008. Det arbeides nå med en slik melding, som vil bli lagt fram tidlig i 2009.
Garantilott
Formålet med ordninga med garantilott er å sikre fiskerne, i første rekke på de mindre fartøyene, en viss minsteinntekt dersom fisket skulle slå feil.
Ordninga med garantilott sikrer fiskerne en viss minsteinntekt dersom fisket skulle slå feil. Ordninga fungerer som et sikkerhetsnett, i første rekke for de mindre fartøyene. Garantilottordninga administreres av Garantikassen for fiskere etter forskrift for garantiordninga for fiskere. Garantibeløpet og egengarantiperioden fastsettes av departementet. Det ble satt av 2,1 mill. kroner til ordninga i 2008. Reduksjonen sammenlignet med tidligere år skyldes redusert etterspørsel etter ordninga og overførte midler fra tidligere år.
Fiskeforsøk og utvikling
Tilskuddet til ordninga med fiskeforsøk og utvikling vil bidra til at arbeidet med fjerning av tapte fiskeredskap opprettholdes.
Ordninga for fiskeforsøk og utvikling er et prosjekt administrert av Fiskeridirektoratet, og erstattet den tidligere ordninga for fiskeforsøk og veiledning som lå under Fiskeriavtalen. Prosjektet har i 2008 blant annet administrert arbeidet med opprydning av tapt fiskeredskap. Tapte garn kan bli liggende og fiske i mange år, og er derfor viktige å få fjernet. Norge er ledende når det gjelder slik garnopprydding, og bidrar med sin kunnskap internasjonalt. Tilskuddet ble økt fra 2 mill. kroner i 2007 til 2,3 mill. kroner i 2008, blant annet som følge av økte kostnader til drivstoff og leie av fartøy til garnopprydding.
Tilskudd til strukturtiltak for kapasitetstilpasning (jf. post 76)
Mål og prioriteringer
Strukturfondet for kapasitetstilpasning av fiskeflåten ble etablert 1. juli 2003 som et kondemneringstilbud for fiskefartøy under 15 meter. Lovbestemmelsen ble gjort midlertidig, til fem år fra ikrafttredelsen, noe som betyr at lovhjemmelen for innkreving av strukturavgift utløp 1. juli 2008. Ordninga skal evalueres høsten 2008 før det foretas en vurdering av spørsmålet om videreføring av strukturavgifta. En eventuell videreføring vil kreve ny lovendring.
Resultater 2007–2008
Bevilgninga på posten var 10 mill. kroner i 2007 og 22,5 mill kroner i 2008. Avgiftssatsen har vært 0,05 pst. i 2007 og 0,18 pst. første halvår i 2008, noe som innebærer at næringa finansierte henholdsvis 5 mill. og 11,25 mill. kroner av strukturfondet
I 2007 ble kondemneringsordninga lyst ut én gang. Det ble innvilget totalt 62 søknader med et samlet beløp på kr 34,3 mill. kroner. Alle søknader som oppfylte kravene fikk tilbud. Det ble utbetalt 23,0 mill. kroner. I 2008 har det også vært én søknadsrunde som ble lyst ut i våren 2008.
Tilskudd til NOx-reduserende tiltak i fiskeflåten (jf. post 77)
Mål og prioriteringer
Bevilgninga på posten skal dekke investeringstilskudd til kostnadseffektive NOx-reduserende tiltak for fiskefartøy som til enhver tid er omfattet av avgifta på NOx-utslipp. Tilskuddet skal bidra til at det blir gjennomført kostnadseffektive tiltak, og derigjennom bidra til å nå målet om reduserte NOx-utslipp etter Gøteborgprotokollen. De fiskefartøyene som kan gjennomføre kostnadseffektive tiltak vil gjennom lavere NOx-utslipp få redusert merkostnadene knyttet til den nye NOx-avgifta.
Fiskefartøy som er omfattet av ordninga kan få inntil 100 pst. tilskudd til NOx-reduserende tiltak som ligger innenfor et fastsatt krav til kostnadseffektivitet. I saksbehandlinga vil det ved eventuelle behov for å prioritere mellom søknader foretas en prioritering hvor tiltak med laveste kostnader pr. kg redusert NOx-utslipp prioriteres først.
Det vil også kunne vurderes å gi tilskudd der det ikke vil være mulig å foreta kostnadseffektive tiltak på eksisterende motor og fartøy. Det vil da kunne gis tilskudd innenfor det fastsatte kravet til kostnadseffektivitet.
Resultater 2007–2008
Staten ved Miljøverndepartementet har i mai 2008 inngått en miljøavtale med 14 næringsorganisasjoner om reduksjon av utslippene av NOx. Tilsluttede virksomheter får fritak for NOx-avgifta. Det er til nå ikke utbetalt midler på ordninga, da alle aktuelle søkere har avventet prosessen knyttet til miljøavtale. Hele bevilgninga på 100 mill. kroner i 2008 er vedtatt trukket ut i forbindelse med revidert budsjett for 2008. Det er også lagt til grunn at det heller ikke bevilges midler i 2009 til ordninga. Det ble bevilget 75 mill. kroner til ordninga i 2007, og disse er i sin helhet overført til 2008.
Informasjon ressursforvaltning
Midlene på posten benyttes til å fremme økt kunnskap, forståelse og aksept for bærekraftig forvaltning av levende marine ressurser, medregnet sjøpattedyr.
Mål og prioriteringer
Hovedmålet med posten er å fremme prinsippet om bærekraftig forvaltning av de levende marine ressursene, medregnet sjøpattedyr. Forvaltning av sjøpattedyr må ses i sammenheng med den øvrige ressursforvaltninga, der en balansert utnyttelse av de ulike artene i økosystemet er et bærende prinsipp. Den langsiktige strategien er derfor å arbeide innenfor globale prosesser der vern og bærekraftig bruk er bærende prinsipper for forvaltning av naturressursene.
Arbeidet for å skape forståelse for en rasjonell utnyttelse av marine ressurser vil bli videreført. Det er fremdeles et problem at ulike fiskearter og særlig sjøpattedyr på ikke-vitenskapelig grunnlag utpekes som truede. Sjøpattedyrforvaltninga er stadig på dagsorden, og det er behov for aktiv informasjonsvirksomhet. Arbeidet med å gjøre vitenskapelige data og kunnskap om norsk ressursforvaltning tilgjengelig for beslutningstakere og publikum videreføres. Det skal arbeides for å unngå boikottaksjoner og lovgivning rettet mot Norges forvaltning av marine ressurser. Samarbeidet med organisasjoner som deler Norges syn på en bærekraftig utnyttelse av naturens ressurser vil fortsatt stå sentralt i dette arbeidet.
Resultater 2007–2008
Norsk ressursforvaltning nyter stor respekt internasjonalt, men fortsatt preger påstander fra verneorganisasjoner debatten om enkelte deler av denne politikken. Verneorganisasjonenes kritikk er ofte basert mer på følelser enn på vitenskapelige argumenter. De følelsesbaserte argumentene finner imidlertid grobunn i opinionen i mange vestlige land, og disse argumentene ser vi legges til grunn for politikken i mange land. Det vises i denne forbindelse til EUs forbud mot selprodukter.
For å skape en motvekt samarbeider Fiskeri- og kystdepartementet med ulike organisasjoner for å fremme Norges syn på bærekraftig utnyttelse av naturens ressurser. Det er viktig at dette arbeidet videreføres og intensiveres. Departementet har også i 2007 og 2008 engasjert vitenskapelige rådgivere i forbindelse med informasjonsarbeidet.
Budsjettforslag for 2009
Post 71 Sosiale tiltak, kan overføres
Midlene på posten brukes til å delfinansiere velferdsstasjoner for fiskere drevet av blant annet Norges Fiskarlag og Den Indre Sjømannsmisjon. Det fremmes forslag om å bevilge 2 mill. kroner på posten i 2009.
Post 74 Erstatninger, kan overføres
Ordninga skal dekke forskudd på erstatninger ved skade på fiskeredskaper, erstatninger med hjemmel i petroleumsloven kap. VI, kompensasjon ved ilandføring av skrot som ikke kommer fra oljeindustrien og tap av fiskefelt.
Det fremmes forslag om å bevilge 2,14 mill. kroner på posten i 2009.
Post 75 Tilskudd til næringstiltak i fiskeriene, kan overføres
Bevilgninga på posten dekker blant annet ordningene føringstilskudd, garantilott, selfangsstøtte og tilskudd til opprydning av fiskeredskaper.
Det fremmes forslag om å bevilge 54 mill. kroner på posten i 2009.
Post 76 Tilskudd til strukturtiltak for kapasitetstilpasning
Innkrevde midler fram til hjemmelen for innkreving av strukturavgift utløp 1. juli 2008 vil inngå i den samlede disponible bevilgninga til tilskudd til strukturtiltak i 2008. I påvente av evalueringa av strukturfondet og strukturavgifta fremmes det ikke forslag om bevilgning til tilskudd til strukturtiltak i 2009.
Post 77 Tilskudd til NOx-reduksjon fiskeflåten, kan overføres
Bevilgninga på posten skal dekke investeringstilskudd til kostnadseffektive NOx-reduserende tiltak i fiskeflåten.
På bakgrunn av at ESA har godkjent den framforhandlede miljøavtalen mellom myndighetene og de berørte næringene, ventes det at de aller fleste av de fiskefartøyene som er omfattet at NOx-avgifta vil ha sterke insentiver til å melde seg inn i miljøavtalen. Samtidig er bevilgninga på 75 mill. kroner til ordninga fra 2007 ikke benyttet. Disse midlene er i sin helhet overført til 2008, og vil også kunne overføres til 2009 for å dekke behov for tilskudd til kostnadseffektive tiltak på fiskefartøy som eventuelt ikke melder seg inn i miljøavtalen.
Det fremmes på denne bakgrunn ikke forslag om bevilgning på posten i 2009.
Post 79 Informasjon ressursforvaltning, kan overføres
Det fremmes forslag om å bevilge 1,35 mill. kroner på posten i 2009.
Kap. 4050 Diverse fiskeriformål
(i 1 000 kr) | ||||
|---|---|---|---|---|
Post | Betegnelse | Regnskap 2007 | Saldert budsjett 2008 | Forslag 2009 |
01 | Strukturavgift for kapasitetstilpasning i fiskeflåten | 5 476 | 11 250 | |
Sum kap. 4050 | 5 476 | 11 250 |
Post 01 Strukturavgift for kapasitetstilpasning i fiskeflåten
Avgiftshjemmelen for innkreving av strukturavgift var en såkalt solnedgangshjemmel som varte i fem år. Hjemmelen utløp 1. juli 2008. I påvente av evalueringa av strukturfondet fremmes det ikke forslag om strukturavgift for 2009.
Programkategori 16.60 Kystforvaltning
Utgifter under programkategori 16.60 fordelt på kapitler
(i 1 000 kr) | |||||
|---|---|---|---|---|---|
Kap. | Betegnelse | Regnskap 2007 | Saldert budsjett 2008 | Forslag 2009 | Pst. endr. 08/09 |
1062 | Kystverket | 1 610 069 | 1 464 990 | 1 708 290 | 16,6 |
1070 | Samfunnet Jan Mayen | 31 324 | 29 450 | 36 200 | 22,9 |
Sum kategori 16.60 | 1 641 393 | 1 494 440 | 1 744 490 | 16,7 |
Utgifter under programkategori 16.60 fordelt på postgrupper
(i 1 000 kr) | |||||
|---|---|---|---|---|---|
Post-gr. | Betegnelse | Regnskap 2007 | Saldert budsjett 2008 | Forslag 2009 | Pst. endr. 08/09 |
01-20 | Driftsutgifter | 1 046 822 | 1 009 390 | 1 218 120 | 20,7 |
21-23 | Andre driftsutgifter | 179 525 | 3 900 | 4 070 | 4,4 |
30-49 | Nybygg, anlegg | 351 760 | 387 050 | 450 500 | 16,4 |
60-69 | Overføringer til kommuner | 23 286 | 30 100 | 30 800 | 2,3 |
70-89 | Overføringer til private | 40 000 | 64 000 | 41 000 | -35,9 |
Sum kategori 16.60 | 1 641 393 | 1 494 440 | 1 744 490 | 16,7 |
Innledning
Kystforvaltning utgjør om lag 47,2 pst. av Fiskeri- og kystdepartementets totale budsjett. Arbeidet på området omfatter blant annet sjøtransport og havnepolitikk, sjøsikkerhet, beredskap mot akutt forurensning og navigasjonspolitikk.
Programkategori 16.60 Kystforvaltning omfatter drift, vedlikehold og investeringer for Kystverket og de elektroniske navigasjonssystemene som forvaltes av Fiskeri- og kystdepartementet. I programkategorien inngår også tilskudd til Redningsselskapet.
Omtalen under programkategori 16.60 Kystforvaltning omhandler både Fiskeri- og kystdepartementets arbeid og Kystverkets arbeid. Fiskeri- og kystdepartementets aktivitet blir finansiert over kap. 1000, som er administrasjonsbudsjettet til departementet, mens Kystverkets aktivitet blir finansiert over kap. 1062 Kystverket.
Overordnede mål og prioriteringer
Hovedmål: Norge skal ha en konkurransedyktig sjøtransport med effektive havner og transportkorridorer, et høyt sjøsikkerhetsnivå og en god oljevernberedskap.
Kystforvaltningas hovedmål må også sees i sammenheng med Fiskeri- og kystdepartementets første hovedmål om at Norge skal ha en internasjonal rolle som ivaretar våre interesser og vårt ansvar som havnasjon og kyststat på en helhetlig måte.
Kyst-Norge er viktig for verdiskapinga i landet. Sjøtransport, havner, havnesikring, trygg ferdsel på sjøen og beredskap mot akutt forurensning er sentrale elementer i den totale transportpolitikken. Regjeringa ønsker å legge til rette for sikker transport i norske farvann, med bedre merking og vedlikehold av farleier og utvikling av moderne navigasjonssystemer. For å få mer gods over på sjø, må havnene tilfredsstille næringslivets behov med god framkommelighet, både fra sjøen og fra land.
Økt virksomhet i nordområdene både på norsk og russisk side gir nye utfordringer i arbeidet med sjøsikkerheten og beredskapen mot akutt forurensning. For å møte den økte aktiviteten har Fiskeri- og kystdepartementet satt i gang flere tiltak, og vurderer ytterligere tiltak for å bedre sjøsikkerheten og beredskapen i den nordlige landsdelen, medregnet Svalbard.
Maritim infrastruktur og tjenester som navigasjonsinnretninger, trafikksentraler og lostjeneste er sentrale virkemidler for å opprettholde et høyt nivå på sjøsikkerheten og forhindre ulykker til sjøs.
Sjøtransporten er internasjonal, og havner inngår som viktige knutepunkt i en samlet transportkjede. Rammevilkårene for havner og sjøtransport, inklusiv navigasjonshjelpemidler, blir derfor i stor grad satt utenfor Norges grenser i internasjonalt samarbeid og organisasjoner som FNs sjøfartsorganisasjon (IMO) og ulike EU-organ.
Regjeringa fremmer forslag om å øke bevilgningene til oljevernberedskapen med 88 mill. kroner for 2009. Det kommer i tillegg til økninga på 25 mill. kroner i saldert budsjett for 2008, og innebærer en kraftig vekst på dette området. Midlene vil blant annet bli benyttet til å følge opp Kystverkets utskiftningsplan av oljevernmateriell i de statlige depotene langs kysten.
Videre fremmes det forslag om å leie inn et nytt slepefartøy over Fiskeri- og kystdepartementets budsjett med ei ramme på 74 mill. kroner. Slepefartøyet skal gå inn i den statlige slepebåtberedskapen i Nord-Norge. Dette fartøyet skal erstatte ett av Kystvaktas fartøy som vil fases ut av denne beredskapen i 2009. Fra 2010 legges det opp til en styrking av slepeberedskapen i Nord-Norge til tre helårs slepetartøy over Fiskeri- og kystdepartementets budsjett. Kystverket vil imidlertid bli bedt om å utrede alternative løsninger med tilsvarende beredskapsnivå.
For å sikre planramma i Nasjonal transportplan for fiskerihavner og farleier fremmes det forslag om å øke bevilgninga med 13 mill. kroner i 2009. Dette kommer i tillegg til økninga på 105 mill. kroner i saldert budsjett for 2008. Med dette vil planramma for inneværende periode følges opp. I tillegg til dette foreslås det å starte utbygginga av Stamsund havn i Vestvågøy kommune med 30 mill. kroner. Dette kommer som et tillegg til planramma. Videre foreslås det å bevilge 5 mill. kroner til å dekke kostnadsøkning til etablering av strømaggregat på Jan Mayen, slik at samlet bevilgning til nye strømaggregater blir 13 mill. kroner. Kostnadsøkninga skyldes blant annet tekniske krav og stigende priser i entreprenørmarkedet.
Sjøtransport og havnepolitikk
Fiskeri- og kystdepartementet vil legge til rette for at Norge som kyststat skal ha en velfungerende infrastruktur som gir sjøtransporten konkurransekraft og samtidig forebygger ulykker og forurensning. Utvikling av internasjonalt regelverk og rammebetingelser er viktig i denne sammenheng.
Det skal arbeides for at tiltak innen forebyggende sjøsikkerhet og beredskapen mot akutt forurensning gir lavest mulig risiko for helseskade og tap av liv, og bidrar til et reint, rikt og produktivt hav. Fiskeri- og kystdepartementet vil legge til rette for utvikling av effektive havner og transportkorridorer. Hovedtyngden av befolkninga og næringslivet er lokalisert nær kysten, og sjøtransporten er derfor viktig i det norske transportsystemet. En konkurransedyktig sjøtransport skal tilfredsstille vareeiernes og passasjerenes behov for transporttjenester. Regjeringa vil derfor arbeide for at havnene kan utvikle seg til effektive knutepunkt i transportkorridorene som binder sammen ulike deler av landet, og som kobler det innenlandske og internasjonale transportnettverket.
Sjøtransporten har en dominerende rolle som transportform for lange godstransporter med store volum, særlig ved import og eksport. Innenriks utgjør transport på kjøl en mindre del av den totale godstransporten. Sjøtransport står for en relativt liten del av den innenlandske persontransporten, men der ferje- og båtruter er det eneste tilbudet til kollektivtransport er trafikken viktig for lokalsamfunnene.
Transportkorridorene skal binde sammen ulike deler av landet, og koble det innenlandske transportnettet til det internasjonale transportnettverket. Gode transportløsninger for eksport og import av varer er en viktig konkurransefaktor for norsk næringsliv. Fiskeri- og kystdepartementet prioriterer derfor å delta i internasjonalt samarbeid og prosjekter med sikte på å etablere gode transportkorridorer for grenseoverskridende transporter.
Stadig økende veitrafikk i Norge og på hovedveinettet i Europa fører til økte miljøbelastninger, forsinkelser og høyere kostnader for næringsliv og forbrukere. Regjeringa vil derfor arbeide for at mer gods blir transportert på kjøl. For å lykkes med dette må det tilbys kombinerte transportløsninger med tilstrekkelig kvalitet til en konkurransedyktig pris. Overføring av transportarbeid til sjø betyr at det må legges til rette for en konsentrasjon av godsstrømmene til knutepunkter og transportkorridorer.
Velfungerende, sikre og effektive havner er en sentral forutsetning for å lykkes i å utvikle transportkorridorer der de ulike transportformene sees i sammenheng. Fiskeri- og kystdepartementet vil derfor legge til rette for at havnene styrker sin posisjon i dør-til-dør-transporter. Det vil også bli lagt vekt på å få til hensiktsmessige havnesamarbeid og god tilknyting til veinett og farleier i de viktigste havnene.
Med basis i Nordområdestrategien ønsker regjeringa generelt å bidra til å utvikle transportkorridorer i nordområdene. Fiskeri- og kystdepartementets videre arbeid med å utvikle transportkorridorer vil forankres i Nasjonal transportplan, og blant annet legge vekt på sjøsikkerhet, oljevernberedskap og utvikling av infrastruktur knyttet til havner.
EUs maritime politikk
EU presenterte våren 2006 ei grønnbok for fellesskapets maritime politikk. Dokumentet setter blant annet sjøtransport, trygg ferdsel på sjø og havneutvikling inn i en større sammenheng. Grønnboka har satt en helhetlig framtidig politikk for maritime næringer og kystnære områder på den politiske dagsorden i Europa. Norge som kyststat har store interesser knyttet til EUs politikkutvikling på området, og Fiskeri- og kystdepartementet er aktivt med på ulike måter. På bakgrunn av konsultasjonsprosessen rundt grønnboka la EU-kommisjonen i oktober 2007 fram flere dokumenter, medregnet den såkalte blåboka med tilhørende handlingsplan. Dokumentene ble vedtatt i desember 2007 og handlingsplanen inneholder en rekke forslag til tiltak og planer som har betydning for Norge. Fiskeri- og kystdepartementet og Kystverket deltar i det norske oppfølgingsarbeidet på de områdene som er omtalt i blåboka. Det har blant annet kommet signaler fra EU om at det ønskes en mer aktiv og harmonisert europeisk havnepolitikk og et større vekt på havner som knutepunkt i logistikkjeden. EU har varslet at forslag til rettsakt for etablering av et indre marked for sjøtransport ”European Maritime Space without barriers” skal fremmes høsten 2008. Hensikten er å forenkle de administrative prosedyrene for sjøtransporten mellom europeiske land. EU ønsker i tillegg at statstøtte til havnevirksomhet skal harmoniseres for å hindre ulike konkurransevilkårene for havner i Europa.
EU vil høsten 2008 følge opp blåboka og legge fram ei hvitbok om strategi for sjøtransport for perioden 2008–2018. Fiskeri- og kystdepartementet deltar i EUs ekspertmøter som er nedsatt i denne forbindelse. Departementet arbeider for at norske interesser blir ivaretatt og er særlig engasjert i utforming av krav til sjøsikkerhet og terrorberedskap, medregnet tiltak framlagt i EUs tredje sjøsikkerhetspakke og EUs endringsdirektiv om økte krav til maritime informasjons- og overvåkningssystemer. Krav til planer om nødhavn, krav til rapportering og informasjon om last, installering av AIS på mindre fiskefartøy og mulighet for utveksling av informasjon mellom stater i Europa er viktig for å styrke de sjøfarendes sikkerhet og for å hindre akutte utslipp fra fartøy. Fiskeri- og kystdepartementet har det nasjonale oppfølgningsansvaret for endringsdirektivet.
Norge er en aktiv medspiller i EUs arbeid for å fremme nærskipsfart i Europa
I hvitboka European transport policy for 2010 – time to decide fra 2001, lanserte EU-kommisjonen et ambisiøst mål for nærskipsfarten. Dette ble fulgt opp med et program for å promotere nærskipsfarten. I hvitboka vises det til at nærsjøfarten øker like mye som veitransporten, men at nærsjøfarten fremdeles har et stort urealisert potensial.
Gjennom deltakelse i EUs kontaktgruppe for havner og nærskipsfart (Focal Point) har Fiskeri- og kystdepartementet og Nærings- og handelsdepartementet vært aktive i arbeidet for å gjennomføre tiltakene som EU-kommisjonen har lansert. Blant annet har norske myndigheter bidratt til opprettelsen av et nasjonalt senter for fremme av nærskipsfarten (Short Sea Shipping Promotion Centre) som er knyttet opp til det europeiske nettverket av slike virksomheter. Disse sentrene skal bidra til å fremme bruken av nærskipsfart gjennom informasjon og kontakt med både rederiene og transportbrukerne. Dette arbeidet er viktig også for Norge, da store deler av norsk utenrikstransport går sjøveien til Europa. Arbeidet med å fjerne flaskehalser som for eksempel tidkrevende administrative prosedyrer, er et prioritert arbeidsområde for Focal Point, og har vært det helt siden dette arbeidet startet i 1999.
EUs transportpolitikk legger også stadig mer vekt på integrerte transportkjeder, intermodalitet og logistikk. Utviklinga av motorveier til sjøs - ”Motorways og the Seas” (MoS) er en del av dette arbeidet. MoS inngår i det transeuropeiske transportnettverket TEN-T. En av målsettingene er å få overført transport fra vei og over til sjø og bane. En maritim motorvei skal være en integrert transportkjede som går fra dør til dør, hvor hovedtyngden av transportarbeidet foregår på sjø. EU arbeider med å realisere MoS i fem havområder rundt det europeiske kontinentet. Fiskeri- og kystdepartementet deltar i EU Kommisjonens arbeid med MoS. Kystverket deltar i EUs arbeidsgruppe som arbeider for å etablere sjøtransportkorridorer gjennom Østersjøen og i Nordsjøen. I dette arbeidet framhever Norge betydningen av å utvikle en sjøtransportkorridor nordover mot Nordvest-Russland og Barentsområdet.
Marco Polo-programmet
EU etablerte programmet Marco Polo for perioden 2003 til 2006 for å redusere belastninga på veinettet i EU og for å fremme miljøsiden i godstransporten og øke kombinert (intermodal) transport. Marco Polo-programmet er EUs viktigste redskap for å overføre transporter fra vei til sjø og bane. Norske myndigheter har bidratt finansielt til programmet, og norske aktører har derfor kunnet søke om midler. EU har videreført programmet gjennom Marco Polo II, og Norge skal delta i denne forlengelsen. Dette betyr at norske aktører kan fortsette å søke om midler fra programmet. Programmet støtter forskjellige typer prosjekter, og kan blant annet gi startstøtte til nye linjetilbud innenfor sjøtransporten.
Nasjonal transportplan
Ved Stortingets behandling av St.meld. nr. 24 (2003–2004) Nasjonal transportplan 2006–2015 ble planrammen for Kystverket fastsatt til 6,5 mrd. kroner (2004-verdi) for perioden 2006–2015. Det gir en samlet ramme på 2,6 mrd. kroner for Kystverkets handlingsprogram for de fire første årene av planperioden. Høsten 2005 fastsatte Kystverket sitt handlingsprogram, som danner grunnlaget for budsjettforslag i perioden 2006–2009.
Transportetatene og Avinor AS ferdigstilte sitt forslag til Nasjonal transportplan 2010–2019 i januar 2008. En ny stortingsmelding skal etter planen legges fram for Stortinget ved årsskiftet 2008/2009.
Soria Moria-erklæringa varsler ei samlet vurdering av alle gebyrer og avgifter innen sjøtransporten, slik at denne får like konkurransevilkår med landtransport. Målet er at mer gods skal fraktes sjøveien. Det er mange avgifter og gebyrer som belastes sjøtransporten og som har innvirkning på transportsektoren som helhet. Det er derfor naturlig at en helhetlig gjennomgang av gebyrer og avgifter innen sjøtransporten sees i sammenheng med rulleringa av Nasjonal transportplan. Resultatet av denne gjennomgangen blir presentert i forbindelse med framleggelsen av Nasjonal transportplan 2010–2019. En del av arbeidet er en intern gjennomgang av Kystverkets gebyrer, jf. omtale i Nasjonal transportplan 2006–2015. Det blir sett på muligheter for å innføre løsninger der brukerne av Kystverkets tjenester i større grad enn i dag betaler etter kostnadsprinsippet samtidig som en ivaretar behovene som følger av de ulike fartøyenes inntjeningsevne. Slike løsninger vil også være en bevegelse i retning av føringer gitt i Finansdepartementets retningslinjer for gebyr- og avgiftsfinansiering av statlige myndighetshandlinger (R-112/2006). Forslag til endringer som følge av gjennomgangen av Kystverkets gebyrer vil bli sendt på høring i 2009.
I gjennomgangen av Kystverkets gebyrer vil det også bli sett på mulige løsninger for å finansiere utskifting av teknisk utstyr på trafikksentralene. Utstyret ved flere av trafikksentralene er gammelt og slitt, og for hvert år som går øker behovet for å fornye dette utstyret. Innenfor den løpende driften har det ikke vært mulig å sette av midler til framtidig utskifting av teknisk utstyr.
Havne- og farleissystem
Stamnettet for sjøtransport omfatter hovedleiene langs kysten fra svenskegrensa til grensa mot Russland, med indre og ytre leier, leier for innseiling til de viktigste havnene, samt seilingsleier utenfor kysten for skip i transitt. De fleste hovedleiene har i utgangspunktet god framkommelighet og stor transportkapasitet, men deler av farleissystemet og innseilinga til enkelte havner har begrensninger knyttet til høyde, dybde og/eller bredde. For å styrke sikkerheten og bedre framkommeligheten for skipstrafikken i norske farvann og havner, arbeides det med å utvikle farleisnormaler som grunnlag for en systematisk gjennomgang av stamnettet. Etableringa av et slikt farleissystem vil også kunne bidra til å avgrense framtidige konflikter om arealbruken i kystsona og gi sjøtransporten bedre forutsigbarhet og utviklingsmuligheter.
Krav til havnesikring og terrorberedskap i havnene – direktivet om havnesikring
FNs sjøfartsorganisasjon IMO etablerte i 2002 et nytt regelverk i SOLAS-konvensjonen (Den internasjonale konvensjonen om sikkerhet for menneskeliv til sjøs) kapittel XI-2 og ISPS-koden (IMOs internasjonale regelverk for sikring av havneterminaler). EU har innført IMOs regelverk gjennom forordning 725/2004 EF og 884/2005 EF. I 2005 vedtok EU et direktiv om bedre sikring av havnene. Direktivet ble innført i Norge ved forskrift av 3. juli 2007 om sikring av havner og havneterminaler mot terrorhandlinger.
Fiskeri- og kystdepartementet har det overordnede ansvaret for det nasjonale regelverket som omhandler havnesikring og terrorberedskap i havner og havneanlegg. Kystverket er delegert utøvende myndighet knyttet til blant annet godkjenning av sikkerhetsorganisasjoner, sårbarhetsvurderinger og planer for sikring av havner og havneanlegg. Kystverket fører tilsyn med at regelverket er innført og følges. For Svalbard gjelder en egen forskrift om havnesikring og terrorberedskap i havner.
Fiskeri- og kystdepartementet arbeider også internasjonalt med problemstillinger relatert til krav om havnesikring og terrorberedskap, blant annet i IMO, gjennom EUs komité for oppfølging av regelverket om havnesikring og terrorberedskap (MARSEC) og mot amerikanske myndigheter.
Innføring av nye internasjonale sikkerhetsstandarder innen alle transportgrener er ei prioritert oppgave i arbeidet for økt samfunnssikkerhet, jf. St.meld. nr. 39 (2003–2004) Samfunnssikkerhet og sivilt militært samarbeid. Etter norsk initiativ er det etablerte en dialog om havnesikkerhet på direktoratsnivå mellom de nordiske landene, inkludert Island og Færøyene. Fiskeri- og kystdepartementet vil følge opp dette initiativet med en nasjonal evaluering slik at en kan sammenlikne tiltakene som er iverksatt som følge av det internasjonale regelverket om terrorsikring med andre relevante EU-land og øvrige stater. Arbeidet med en slik evaluering vil bli satt i gang mot slutten av 2008, og sees i sammenheng med inspeksjoner som allerede er gjennomført av ESA.
Havner som knutepunkt og grunnlag for næringsutvikling
Havnene har viktige funksjoner for næringsutviklinga. Mange offentlige havner har i tillegg en spesielt viktig rolle i å legge til rette for fiskerinæringa, både å være trygge liggehavner og å være service- og mottakshavner for fisk. Havnenes driftsbetingelser og utviklingsmuligheter har mye å si for sjøtransportens konkurranseevne og for næringsutviklinga.
Ot.prp. nr. 75 (2007–2008) Om lov om havner og farvann ble lagt fram i juni 2008. Lovforslaget legger opp til at kommunene får et generelt forvaltningsansvar for sikkerhet og framkommelighet i egne sjøområder, mens staten har ansvaret for hovedleiene og bileiene, de øvrige sjøområdene og for navigasjonsveiledninga. Det foreslås videre et forbud mot bruk av fartøy som kan medføre fare, skade eller ulempe for framkommeligheten eller ferdselen i farvannet eller i havnen. Det foreslås også tydeligere hjemler for inngrep overfor fartøy i fare- og ulykkessituasjoner.
Det foreslås en alminnelig rett til å anløpe havn. Kommunene vil gjennom lovforslaget få større frihet til å organisere havnevirksomheten, og skillet mellom forvaltingsoppgaver og drift tydeliggjøres.
Det foreslås å videreføre reglene om en atskilt økonomi i havnene, men samtidig åpne for en begrenset adgang til utdeling og utbytte fra havnekapitalen etter forskrift fastsatt av departementet. Videre kan det søkes om fritak fra reglene om havnekapitalen.
Etter lovforslaget erstattes havneavgiftene med alminnelig prisfastsettelse for havnetjenester.
Det legges også opp til at departementet kan utpeke havner som er særlig viktige, og at det kan fastsettes nærmere krav til disse, slik som organisering, samarbeid og planlegging.
Lovforslaget ligger nå til behandling i Stortinget.
Stad skipstunnel
I 2001 ble det lagt fram et forprosjekt for en skipstunnel gjennom Stad, og en konsekvensutredning ble sendt på høring. Det har senere vært orientert om Stad skipstunnel i St.prp. nr. 1 for Fiskeri- og kystdepartementet i de påfølgende årene. Departementet bestemte i 2007 å sette i gang nye utredninger av prosjektet, blant annet på bakgrunn av innspill fra fylkesordførerne i Sogn og Fjordane og Møre og Romsdal. Kystverket fikk i oppdrag å foreta en ny utreding av Stad skipstunnel, medregnet utvidet dimensjon og nytteverdi. Kystverket leverte en utredning om konseptvalg i november 2007. Fiskeri- og kystdepartementet gjennomfører nå en ekstern kvalitetssikring (KS1) for å sikre at beslutningsmateriale holder en så god kvalitet som mulig. Første del av kvalitetssikringen vil gjennomføres i løpet av 2008. Dette innebærer at Stortinget tidligst kan orienteres om saken i 2009.
Sikkerhet og oljevernberedskap
Å styrke sjøsikkerheten og beredskapen mot akutt forurensning står sentralt i regjeringas arbeid med å legge til rette for sjøtransport som en moderne, miljøvennlig og effektiv transportform, er styrking av sjøsikkerhet og beredskap mot akutt forurensning viktige elementer. Dersom det skjer en ulykke, må beredskapen mot akutt forurensning være organisert og ha ressurser og kompetanse som gjør det mulig å begrense miljøskadene. Det viktigste er å hindre ulykker gjennom forebyggende tiltak, slik at skade på liv, helse og miljø kan unngås. Det er derfor viktig å se beredskapen i sammenheng med arbeidet for å forebygge hendelser og ulykker.
St.meld. nr. 14 (2004–2005) På den sikre siden – sjøsikkerhet og oljevernberedskap danner et viktig grunnlag for arbeidet med sjøsikkerhet og beredskap mot akutt forurensning. I St.meld. nr. 14 (2004–2005) ble det lagt fram en analyse av miljørisikoen knyttet til skipstrafikken i norske farvann. Risikoanalysen sammenlikner situasjonen i 2003 med antatt utvikling fram mot 2015 som følge av den forventede veksten i skipstrafikken. Analysen viser at risikoen for miljøskade forventes å øke innenfor nærmere avgrensede geografiske områder i årene som kommer, dersom det ikke iverksettes tiltak. Meldinga gir en oversikt over tiltak som bør følges opp innen forebyggende sjøsikkerhet og beredskap mot akutt forurensning for å møte den ventede risikoøkninga. En rekke av tiltakene er iverksatt eller under arbeid og er nærmere beskrevet nedenfor.
Klimautfordringene for sjøtransport og havner er blant annet knyttet til mer ekstremvær. Kystverket arbeider med betydningen dette har for dimensjonering og vedlikehold av maritim infrastruktur. Med mer ekstremvær vil Kystverkets varslings-, trafikksentral- og navigasjonssystemer blir enda viktigere framover.
Sjøtransportens internasjonale karakter gjør at rammevilkårene for en sikker, effektiv og miljøvennlig sjøtransport i stor grad reguleres av internasjonal rett. Fiskeri- og kystdepartementet arbeider derfor aktivt innenfor IMO og EU for å ivareta norske interesser.
Forebyggende sjøsikkerhet
Fiskeri- og kystdepartementets arbeid med forebyggende sjøsikkerhet skal bidra til å redusere sannsynligheten for at det skjer hendelser eller ulykker. Det grunnleggende elementet i Fiskeri- og kystdepartementets arbeid på området er en hensiktsmessig maritim infrastruktur og tjenester som legger til rette for sikker sjøtransport og god framkommelighet i norske farvann.
Departementet mener det er viktig med en helhetlig tilnærming i dette arbeidet, og iverksetter tiltak som virker sammen for å redusere sannsynlighetene for ulykker. I områder med særlig høy risiko iverksettes det derfor både regulering av sjøtrafikken, overvåking og kontroll med at trafikken følger fastsatte reguleringer og tiltak for å hindre at avvik eller hendelser utvikler seg til ulykker. Virkemidlene innen Fiskeri- og kystdepartementets forebyggende sjøsikkerhetsarbeid omfatter utbygging og drift av navigasjonsinnretninger og elektroniske navigasjonshjelpemidler, utbedring av farleier, fastsetting av regler om bruk av farvann (seilingsregler og seilingsleier), lostjeneste, maritime trafikksentraler for overvåking og kontroll med sjøtrafikken og iverksetting av tiltak ved avvik eller hendelser og slepebåtberedskap.
Som ansvarlig departement for forebyggende sjøsikkerhet er det viktig å følge med i den teknologiske utviklinga på området og ta i bruk ny teknologi som kan bidra til å redusere sannsynligheten for sjøulykker. Utviklinga av ny teknologi kan også gi grunnlag for å fase ut gamle og utidsmessige løsninger. Både innen navigasjon, overvåking og kommunikasjon er nye elektroniske hjelpemidler tatt i bruk. I overskuelig framtid vil det imidlertid fortsatt være behov for tradisjonelle visuelle navigasjonshjelpemidler som fyrlykter og merker, både for at fartøyene skal kunne kontrollere at elektroniske navigasjonshjelpemidler gir rett posisjon og som en sikkerhet ved svikt i elektroniske hjelpemidler.
Fiskeri- og kystdepartementet legger stor vekt på å delta i internasjonalt arbeid med utvikling av elektroniske navigasjonshjelpemidler. Departementet og Kystverket er aktive i det internasjonale arbeidet med å etablere en overordnet strategi for e-navigasjon, som innebærer bruk av elektroniske navigasjons- og informasjonssystemer til sjøs og på trafikksentraler for å redusere faren for navigasjonsuhell.
Seilingsleier utenfor territorialfarvannet
I arbeidet med å forebygge ulykker er det viktig at myndighetene har tilstrekklig handlingsrom, både for å kunne regulere trafikken slik at hendelser eller ulykker kan unngås og å kunne iverksette tiltak når det skjer hendelser, for så langt som mulig å reduseres konsekvensene av disse.
Det norske territorialfarvann ble utvidet fra fire til tolv nautiske mil 1. januar 2004. Det ble samtidig etablert seilingsleier i Nord-Norge ut til tolv nautiske mil for skipstrafikk som representerer en særlig miljørisiko. Behovet for å flytte trafikken ytterligere ut fra kysten førte til at Fiskeri- og kystdepartementet i 2006 la fram et forslag for IMO om å opprette seilingsleier utenfor territorialfarvannet fra Vardø til Røst. Forslaget ble akseptert av IMO i desember 2006 og iverksatt 1. juli 2007. Seilingsleisystemet ligger omlag 30 nautiske mil fra kysten og består av åtte systemer for trafikkseparasjon knyttet sammen av sju anbefalte ruter. Det gir myndighetene bedre mulighet til å sette i verk tiltak for å assistere og forhindre ulykker som kan medføre alvorlig forurensning. For å sikre AIS-dekning (automatisk identifikasjonssystem) i området, vil det i løpet av 2008 bli etablert tre nye basestasjoner på strekninga.
Basert på erfaringene med seilingsleisystemet i Nord-Norge fortsetter Fiskeri- og kystdepartementet og Kystverket arbeidet med forslag til seilingsleier utenfor Nordland, Midt-Norge, Vestlandet og Sørlandet og Østlandet. I disse områdene er det både stor fiskeriaktivitet og et mer sammensatt trafikkbilde. Utenfor Vestlandet og i den sørlige Nordsjøen er det også en betydelig petroleumsaktivitet. Disse forholdene gir utfordringer i utforminga av seilingsleier. I Skagerrakområdet er samarbeid med nabolandene en forutsetning for å komme fram til hensiktsmessige tiltak. Utforming av tiltak langs kysten av Vestlandet kan medføre behov for tilsvarende samarbeid.
Trafikksentraler
Kystverkets fem trafikksentraler er etablert i samsvar med internasjonale retningslinjer i områder der trafikken representerer en særskilt risiko for sjøsikkerheten og miljøet. Trafikksentralene er det sentrale verktøyet for koordinering av trafikkovervåkning og trafikkontroll i Norge. Tjenesten opererer i samvirke og reagerer på trafikksituasjoner som utvikler seg i området. Trafikksentralen for Nord-Norge i Vardø ble satt i drift 1. januar 2007. Trafikksentralen i Vardø overvåker at fartøyene overholder reglene for seilingsleisystemet fra Vardø til Røst. Dersom fartøy avviker fra systemet, vil trafikksentralen kalle opp og veilede fartøyet på rett kurs og eventuelt rekvirere assistanse. Det vil være et tett samarbeid mellom trafikksentralen i Vardø og trafikksentralen i Murmansk.
Med Vardø trafikksentral har Kystverket sammen med norsk industri og forskningsmiljø utviklet en ny generasjon trafikksentral for å møte framtidige behov innen elektronisk navigasjon, blant annet overvåkings- og informasjonssystemene Vessel Traffic Management (VTM) og Vessel Traffic Monitoring and Information System (VTMIS). Det er utviklet et operatørstøttesystem for informasjonsinnhenting og elektronisk loggføring. Systemet skal innføres på alle trafikksentralene og i Kystverkets beredskapsvaktlag.
Elektroniske navigasjonshjelpemidler
Elektroniske navigasjonshjelpemidler omfatter differensiell GPS (Differential Global Posistioning System) og AIS (Automatisk identifikasjonssystem). AIS og DGPS er et tillegg til, og ikke til erstatning for, tradisjonelle hjelpemidler som fyr og merker.
Automatisk identifikasjonssystem (AIS)
Automatisk identifikasjonssystem (AIS) sender informasjon om fartøyets identitet, posisjon, kurs, hastighet, last med mer til andre fartøy i farvannet med AIS og til AIS-mottakere på land. AIS er et viktig hjelpemiddel både for navigatørene på fartøy og for å identifisere, overvåke, kontrollere og rettleie skip fra land.
IMO har innført krav om at lastefartøy over 300 bruttotonn og alle passasjerskip og tankskip i internasjonal fart skal ha AIS. EU har videre pålagt fiskefartøy over 45 meter som anløper havn innen EU/EØS-området å ha AIS. Sjøfartsdirektoratet stiller krav til AIS ombord i passasjer- og lasteskip over 300 bruttotonn, hurtigbåter over 150 bruttotonn og fiskefartøy over 45 meter i innenriks trafikk.
Kystverket har etablert et nasjonalt system for mottak av AIS-signaler fra skip langs hele norskekysten. Informasjon fra dette systemet er gjort tilgjengelig for andre statlige virksomheter, havner og relevante brukere. Et prøveprosjekt med AIS-mottaker på Bjørnøya er etablert. Signalene blir sendt via satellitt og levert gjennom Kystverkets system til Fiskeridirektoratet, Tollvesenet og Kystvakta til bruk i ressurskontrollen. Kystverket har også tilgang til AIS-data fra nasjonale AIS-nettverk fra landene rundt Østersjøen. Det er spesielt den utvidede AIS-dekninga i Skagerrak og Kattegat somhar interesse for norske myndigheter. Kystverket er også i kontakt med flere oljeselskaper på norsk sokkel med tanke på å utveksle data fra AIS-mottakere på offshoreinstallasjoner. Tilgang til disse AIS-data vil gi dekning inntil 100-150 nautiske mil ut fra kysten i de aktuelle områdene.
Den internasjonale fyrvesenorganisasjonen (IALA) har startet et arbeid med tanke på å etablere en global utveksling av AIS-data mellom myndigheter – kalt IALA-NET. Fiskeri- og kystdepartementet deltar i dette arbeidet. Bruk av andre kilder til overvåking langs kysten som Forsvarets fly og sivile satellitter blir også vurdert.
Som følge av ulykkene med Erika (1999) og Prestige (2002) la EU fram sin tredje sjøsikkerhetspakke. Sjøsikkerhetspakken inneholder forslag til syv nye rettsakter som skal supplere gjeldende sjøsikkerhetskrav. Forslagene er i hovedsak rettet mot myndighetene som henholdsvis flaggstat, havnestat og kyststat. Forslagene berører flere departementer og omfatter trafikkovervåknings- og informasjonssystem for sjøtrafikk, havnestatskontroll, etterforskning av maritime sjøulykker, skjerpede krav til klasse og flaggstater, passasjeransvar samt erstatning og begrensning av reders ansvar. Førstnevnte forslag, som faller inn under Fiskeri- og kystdepartementets område, inneholder endringer for å effektivisere og harmonisere de europeiske statenes implementering av regler om maritim trafikkovervåkning, systemer for mottakelse og videreformidling av maritim informasjon og tilrettelegging av nødhavner. En av hovedbestemmelsene er å innføre AIS-krav (klasse A) til fiskefartøy ned til 15 meter i fart i europeiske farvann. Tidsfristene for å gjennomføre kravene er knyttet til fartøyenes lengde. Innføring av AIS for mindre fiskefartøy vil bedre mulighetene for identifisering og sporing av fartøyene. Spesielt vil fartøyene bli synlig for større handelsfartøy, og dermed redusere faren for ulykker. AIS skal i utgangspunktet være operasjonelt hele tiden. Kun i unntakstilfeller har fiskefartøy rett til å slå av AIS dersom dette er nødvendig av hensyn til fartøyets sikkerhet.
AIS på satellitt
Regjeringa varslet i sin nordområdestrategi at den vil vurdere muligheten for å utvikle et satellittbasert AIS-system. Et slikt system vil på sikt kunne dekke de norske interesseområdene i nord, og vil være et viktig redskap for havovervåkning. Den europeiske romorganisasjonen ESA har bedt Norge om å lede arbeidet med å teste ut AIS-utstyr på den internasjonale romstasjonen. Norge er allerede i gang med bygging av en demonstrasjonssatellitt for AIS som skal skytes opp vinteren 2009/2010. En norsk AIS-satellitt skal etter planen skytes opp et halvt år senere. Kystverket er en viktig støttespiller for Norsk Romsenter og Forsvarets forskningsinstitutt, som leder arbeidet med å utvikle AIS på satellitt. I samarbeidet ivaretar Kystverket behovet for å definere brukerbehovene innen sivil bruk av AIS. Systemet vil bli integrert i dagens landbaserte AIS-system slik at alle relevante aktører får tilgang til samordnede data.
DGPS (Differential Global Positioning System)
DGPS leverer korreksjonssignaler til GPS-mottakere. Det innebærer at brukerne kan bestemme egen posisjon med større nøyaktighet og brukerne blir varslet ved feil i GPS-systemet. Som et ledd i den løpende vurderinga av elektroniske navigasjonshjelpemidler vil Fiskeri- og kystdepartementet og Kystverket ha en gjennomgang av tjenesten, der vi også vil ta hensyn til hva andre land legger til grunn for bruk av DGPS.
Langtrekkende identifikasjon og sporing (LRIT)
IMO har vedtatt å etablere langtrekkende idetifikasjon av sporing (Long Range Identification and Tracking, LRIT) av skip. LRIT er et nytt globalt sivilt satellittbasert system for identifikasjon og sporing av fartøy. Datasentre vil fire ganger daglig ta imot informasjon om identitet, posisjon og tidspunkt for den oppgitte posisjon fra fartøy som har plikt til å ha LRIT-sender ombord. LRIT blir obligatorisk for alle passasjerskip, for lasteskip over 300 bruttotonn og for flyttbare offshore boreenheter. LRIT-systemet skal etter planen være operasjonelt innen 31. desember 2008. Fiskeri- og kystdepartementet koordinerer den nasjonale innføringen av systemet.
LRIT-meldinger vil være nyttige for flere etater med ansvar knyttet til de store havområdene i Norge. Informasjonen kan blant annet brukes slik:
I forbindelse med overvåking og kontroll med fartøy som utgjør en fare for sjøsikkerheten eller en trussel mot kyststaten.
Til å lokalisere forulykkede og omkringliggende fartøy i forbindelse med redningsaksjoner.
Til overvåking av fartøy involvert i ulovlig, urapportert og uregulert fiske eller andre ulovlige aktiviteter.
Innen transportplanlegging.
Meldings- og informasjonssystem
Fiskeri- og kystdepartementet prioriterer å utvikle effektive systemer for sikker og rask flyt av informasjon innen sjøtransporten. Kystverket har en viktig rolle i drift og utvikling av tekniske løsninger.
Kystverket deltar i utviklinga av systemer og løsninger for det europeiske meldings- og informasjonssystemet SafeSeaNet. SafeSeaNet er et elektronisk rapporterings- og meldingssystem for skipstrafikken utviklet av EU. Reglene omfatter alle skip over 300 bruttotonn, og alle skip uavhengig av størrelse som fører farlig og/eller forurensende last.
I EUs tredje sjøsikkerhetspakke er det bl.a. foreslått et endringsdirektiv til Direktiv 2002/59/EF om etablering av et europeisk overvåkings- og informasjonssystem som innebærer å gjøre SafeSeaNet obligatorisk for EUs medlemsstater. Et felles europeisk meldingssystem vil forenkle rapporteringen for skipsfarten og gjøre informasjon om det enkelte fartøy, inkludert last, lettere tilgjengelig for relevante parter. Det vil også kunne bli et viktig verktøy ved ulykker og hendelser til sjøs.
I tillegg til SafeSeaNet utvikler Kystverket flere tjenester og systemer for registrering av skipsrelatert informasjon, som for eksempel navigasjonsvarsler, ismeldinger og bølge- og strømvarsling.
For å forenkle innrapporteringen for skipsfarten ved anløp til norsk farvann arbeider Kystverket, med basis i SafeSeaNet, med å samordne meldingssystemtjenestene til Forsvaret, Tollvesenet, Sjøfartsdirektoratet, Fiskeridirektoratet og havnene slik at alle pålagte rapporteringer kan skje til et felles mottak i Kystverket.
E-navigasjon
IMO har foreløpig definert e-navigasjon som harmonisert innsamling, integrering, utveksling, presentasjon og analyse av maritim informasjon om bord og på land ved hjelp av elektroniske hjelpemidler.
E-navigasjon er et konsept som først ble lansert av Den internasjonale fyrvesenorganisasjonen (IALA). IMO arbeider med å utvikle en strategi for utvikling av e-navigasjon. Arbeidet foregår i ulike underkomiteer der Fiskeri- og kystdepartementet og Kystverket deltar. Fiskeri- og kystdepartementet har det nasjonale ansvaret for e-navigasjon. Det viktigste målet med e-navigasjon er å redusere faren for navigasjonsuhell ved at navigatøren får en mer integrert, enhetlig og brukervennlig presentasjon av informasjon som er nødvendig for sikker navigasjon. Dette bidrar til å redusere faren for menneskelige feil. Det vokser fram mange ulike teknologiske systemer og utstyr til bruk om bord på fartøy og på land som varierer i kvalitet og som i ulik grad er integrert i hverandre. Gjennom arbeidet med e-navigasjon jobbes det for å optimalisere denne utviklinga og sikre en helhetlig tilnærming til trygg navigasjon. IMOs underkomité for navigasjon har nå vedtatt en anbefaling for en overordnet strategi for e-navigasjon som bl.a. identifiserer potensielle brukere, felles brukerbehov, en strategisk visjon for utviklinga av e-navigasjon og forslag om implementering av strategien. Anbefalingen skal behandles av IMOs sjøsikkerhetskomité i november/desember 2008.
Helhetlig overvåknings- og varslingssystem for nordområdene
Regjeringa varslet i nordområdestrategien at den vil arbeide for et helhetlig sivilt overvåknings- og varslingssystem for nordområdene. Fiskeri- og kystdepartementet og Utenriksdepartementet har siden januar 2007 ledet arbeidet med å utrede behov og muligheter med et slikt system. Utredninga har så langt vist at Norge har utviklet delsystemer innen overvåking av blant annet skipsfarten, fiskeflåten, havmiljøet og metrologi.
SINTEF har fått i oppdrag å kartlegge relevante brukergrupper, både innen det offentlige og det private, nasjonalt og internasjonalt. Det er lagt vekt på at kunnskapsmiljøene i nord skal trekkes med. Internasjonalt legges det vekt på å få til samarbeid med EU, USA, Canada og at det på sikt bør åpnes for samarbeid med Russland. Dette forprosjektet skal leveres departementene innen utgangen av 2008.
Å opprette et helhetlig overvåknings- og varslingssystem vil være viktig nasjonalt og det vil også ha en utenrikspolitisk dimensjon. Både EU og andre land arbeider med lignende systemer. For å få gjennomslag for norsk politikk og prioriteringer i nordområdene er det viktig å ha kvalitetssikret informasjon, framstilt på tilgjengelig måte. Slik informasjon kan være avgjørende på viktige områder for nasjonen, som for eksempel ved regulering av sjøtransporten, i fiskeriforvaltninga og i energi-, miljø- og klimapolitikken.
Lostjenesten
Kystverket har laget en rapport med forslag til revisjon av rammen for lostjenesten. Rapporten tilrår tiltak som kan gi en effektiviseringsgevinst samtidig som sjøsikkerheten blir tatt vare på. Det er blant annet flere forslag knyttet til utskriving og bruk av farleibevis og justeringer av krav til losplikt. Rapporten peker også på forslag som må utredes nærmere, og departementet har på denne bakgrunn bedt Kystverket om en nærmere avklaring av de administrative og økonomiske konsekvensene av forslagene før saken sendes på høring i 2009.
Omlasting av olje mellom skip
Omlasting av olje mellom skip er et område der Norge som kyststat har sterke interesser. Omlasting er mest aktuelt i Finnmark som ledd i transport av petroleumsprodukter fra Russland. Det er viktig å legge til rette for slik næringsaktivitet samtidig som det må settes tilstrekkelig strenge krav for å sikre havmiljøet. Fiskeri- og kystdepartementet og Kystverket har deltatt i IMOs arbeid med regler for omlasting av olje mellom skip og vil delta i IMOs arbeid med revisjon av retningslinjer om blant annet omlasting av olje i isfylte farvann.
Beredskap mot akutt forurensning
Beredskapen mot akutt forurensning må ses i nær sammenheng med sjøsikkerhet. Det viktigste er å bidra til at det ikke skjer ulykker. Dersom en ulykke likevel skjer, må beredskapen være organisert og ha ressurser som er tilstrekkelige til å redusere de miljømessige konsekvensene mest mulig.
Den samlede nasjonale beredskapen mot akutt forurensning består av private aktørers beredskap (særlig fra petroleumsvirksomheten), kommunal beredskap og den statlige beredskapen. Kystverket har ansvaret for drift og utvikling av statens beredskap mot akutt forurensning, medregnet statens aksjonsorganisasjon, og skal kunne overta en aksjon helt eller delvis dersom den private eller kommunale beredskapen ikke strekker til.
Staten har utstyr på 16 hoveddepot og ni mellomdepot og utstyr om bord i ni kystvaktfartøy. I tillegg operer kystverket fire fartøy som er særlig godt egnet for arbeid nær land og i strandsona.
Kystverket har levert en statusrapport for oljevernmateriell i statlige depot langs kysten, med en tilrådd plan for utskifting fram til 2010. Som en oppfølging av denne rapporten ble bevilgninga til fornying av oljevernutstyr styrket med 25 mill. kroner mill. kroner i 2008. I tillegg ble det i revidert statsbudsjett for 2007 bevilget 29 mill. kroner til etablering av hoveddepotet på Fedje. Regjeringa fremmer for 2009 forslag om ytterligere å øke bevilgningene til oljevernberedskap med 88 mill. kroner. Midlene vil blant annet bli benyttet til å følge opp Kystverkets utskiftingsplan av oljevernmateriell i de statlige depotene langs kysten. Kystverket vil utruste de nye fartøyene til Kystvakta med oljevernutstyr etter hvert som de kommer i operativ tjeneste.
Arbeidet med å oppdatere oversikten over egnede nødhavner langs hele norskekysten fortsetter. Det blir gjort i nært samarbeid med partene dette vedkommer, blant annet kommunene. Oppdatert oversikt forligger nå for Rogaland, Hordaland og Sogn og Fjordane.
Flere departementer og etater har ansvar for oppgaver innen kystsikkerhet og beredskap. En effektiv forvaltning krever god koordinering og utveksling av informasjon mellom aktørene. Fiskeri- og kystdepartementet har derfor tatt initiativ til en bedre koordinering og samordning av beredskapen mellom aktørene som bidrar i den nasjonale beredskapen mot akutt forurensning. Departementet har også tatt initiativ til at det i samarbeid med andre departementer og etater blir utarbeidet en samlet oversikt over pågående og nye forsknings- og utredningsprosjekter innen området sjøsikkerhet og beredskap, med særlig vekt på olje-i-is-problematikk.
Kystverket vil videreutvikle samarbeidet med andre etater og fagmiljø for å bedre behandlingen av akutte forurensninger og dermed redusere skadevirkningene. Kartlegging av skader som følge av akutt forurensning og hvordan den påvirker det ytre miljøet er en del av samarbeidet.
Det fremmes forslag om å leie inn et slepefartøy over Fiskeri- og kystdepartementets budsjett med en ramme på 74 mill. kroner Slepefartøyet skal inngå i den statlige slepebåtberedskapen i Nord-Norge. Dette innebærer at Kystvakta faser ut ett av sine fartøy i 2009. Fra 2010 legges det opp til en styrking av slepeberedskapen i Nord-Norge til tre helårs slepefartøy over Fiskeri- og kystdepartementets budsjett. Kystverket vil imidlertid bli bedt om å utrede alternative løsninger med tilsvarende beredskapsnivå.
Boks 7.12 Ekstern evaluering av Kystverkets håndtering av Server-aksjonen
Norconsult har på oppdrag fra Fiskeri- og kystdepartementet gjennomført ei evaluering av Kystverkets håndtering av situasjonen med akutt forurensning som oppstod den 12. januar 2007 da lasteskipet M/S Server grunnstøtte utenfor Fedje i Hordaland. Norconsults mandat var å gjennomføre ei bred evaluering av Kystverkets samlede håndtering av den oppståtte situasjonen og påfølgende strandrensingsarbeid, sett i lys av etatens beredskapsplanverk, regelverket for offentlige anskaffelse, HMS-rutiner, informasjonshåndtering, bruk av tilgjengelige ressurser og samarbeid med andre aktører. Videre skulle Norconsult gi anbefalinger om tiltak for å styrke Kystverkets aksjonsledelse ved akutt forurensning.
Evalueringa ble avgitt i september 2008. I evalueringa blir Kystverkets operative disposisjoner under Server-aksjonen vurdert som akseptable gitt premissene for den statlige beredskapen. Videre vurderes Kystverkets praktiske håndtering av sikkerhet, helse og arbeidsmiljø under aksjonen i hovedsak som tilfredsstillende. Når det gjelder strategisk, juridisk og økonomisk styringsinformasjon, påpekes det at slik informasjon i liten grad ble kommunisert. Norconsult peker på at styringssystemene og oppfølgingen av disse var mangelfull og at anskaffelsessystemene under aksjonen framstår som lite bevisst de krav som gjelder for offentlige innkjøp. Norconsult framhever videre at aksjonen innebar store utfordringer spesielt med hensyn til personellkapasitet og utholdenhet, til tross for at Server-aksjonen i statistisk sammenheng er en mindre hendelse i et område med kompetente interkommunale utvalg for akutt forurensning (IUA).
Norconsult mener at Kystverket i arbeidet med statens beredskap i større grad bør bruke hele sin organisasjon med hensyn til økonomistyring, juridisk rådgivning, informasjonshåndtering og administrativ støtte. Norconsult foreslår en rekke enkelttiltak for å styrke den administrative håndteringen av statlige aksjoner. Videre viser Norconsult til at gapet mellom de dimensjonerende scenarier som er lagt til grunn for statens beredskap mot akutt forurensning og den faktiske beredskapsevnen hos kommunene, må lukkes.
Fiskeri- og kystdepartementet har oversendt rapporten til Kystverket for kommentar, der det blant annet bes om at Kystverket vurderer Norconsults forslag til tiltak i lys av Kystverkets egenevaluering av Server-aksjonen og oppfølginga av denne. Når Kystverkets kommentarer foreligger, vil departementet vurdere behov for videre oppfølging av rapporten fra Norconsult.
Skipsvrak
Skipsvrak generelt
Statens forurensningstilsyn (SFT) fikk i 1991 i oppdrag av Miljøverndepartementet å starte et arbeid for å skaffe oversikt over totalt antall skip som er gått ned i norsk territorialfarvann. Formålet var å undersøke om noen av disse skipene utgjorde en fare for akutt forurensning. SFT kartla om lag 2 300 vrak av skip med tonnasje over 100 brutto registertonn som hadde forlist etter 1914. Ut fra tekniske og historiske opplysninger ble vrakene plassert i følgende kategorier:
Kategori I: Ingen forurensningsrisiko, om lag 1 700 vrak
Kategori M: Moderat forurensningsrisiko, om lag 350 vrak
Kategori S: Stor forurensningsrisiko, om lag 30 vrak
I forbindelse med overføringa av ansvaret for statens beredskap mot akutt forurensning fra Miljøverndepartementet og SFT til Fiskeri- og kystdepartementet og Kystverket i 2003, ble også oppfølginga av akutt forurensning fra skipsvrak overført til Kystverket.
Kystverket har, som første fase i en oppdatert vurdering av forurensningsfaren fra skipsvrak, vurdert faren for oljeforurensning fra vrakene. I 2006 leverte Kystverket en rapport om dette til Fiskeri- og kystdepartementet. Av de 30 vrakene som SFT mente hadde ”stor forurensningsrisiko”, har Kystverket prioritert fem vrak for tiltak. Dette er basert på en totalvurdering av potensiell fare for oljeforurensning av betydning for miljø og friluftsliv, vrakenes plassering, påvist og estimert oljemengde. Vraket av ”Nordvard” ved Moss ble tømt for 483 000 liter diesel i 2007/2008 og en operasjon for å tømme vraket av ”Welheim” utenfor Florø for oljeprodukter ble påbegynt i september 2008. Kystverket har tilrådd at de tre andre vrakene ”Boardale”, i Vesterålen, ”Erich Giese” og ”Neuenfels” i Narvik, blir undersøkt og eventuelt tømt i 2010.
I tillegg til den helhetlige vurderinga av faren for oljeforurensning fra vrak, sluttfører Kystverket i høst ei vurdering av tiltak for å best mulig håndtere kvikksølvforurensinga fra vraket av ubåten ”U-864” utenfor Fedje. Dette er nærmere omtalt i ett eget avsnitt. Kystverket gjennomførte videre en særlig undersøkelse i 2007 av vraket ”Orizaba” ved Skjervøy i Troms på grunn av mistanke om gjenværende kvikksølv i dette vraket. Undersøkelsene viste at det ikke var kvikksølv i vraket. Kystverket har også startet ei ny vurdering av vraket av krysseren ”Murmansk” ved Sørvær, med sikte på at dette skal fjernes. Se nærmere omtale av saken i Boks 10.2
Den andre fasen i vurderinga av forurensningsfaren fra skipsvrak, vil dreie seg om en helhetlig vurdering av annen fare for forurensning fra vrak enn oljeforurensning. Dette arbeidet vil Kystverket starte i 2008. Etaten vil konsentrere seg om å framskaffe kunnskap om status som grunnlag for en tilrådning om videre tiltak. Dette vil i hovedsak gjennomføres som en studie av dokumentasjon med sikte på å finne fram til de skipsvrakene som representerer den største risikoen for miljøforurensning av andre stoffer enn olje. Målet er å fremme en rapport med tilrådninger om tiltak i løpet av 2009.
U-864
Vraket av den tyske ubåten U-864 ble funnet utenfor Fedje i Hordaland i 2003. Vraket inneholder store mengder metallisk kvikksølv (anslagsvis 65-70 tonn). Det ble i 2005 og 2006 utført omfattende undersøkelser av vraket og områdene rundt. Undersøkelsene har bekreftet at ubåten har kvikksølvlast, men har ikke avdekket i hvilken tilstand kvikksølvbeholderne er. Fiskeri- og kystdepartementet fastsatte den 21. september 2006 en forskrift om ferdsels- og fiskeforbud i et nærmere definert område rundt vraket.
Kystverket oversendte en rapport til Fiskeri- og kystdepartementet i desember 2006 der de vurderer alternative metoder for å håndtere registrert og potensiell forurensning fra vraket. Rapporten er basert på fysiske undersøkelser av selve vraket og området rundt, og vurderinger av blant annet forurensningsomfang, havbunnens stabilitet og mulighetsstudier av heving og innkapsling hentet fra en rekke norske og internasjonale fagmiljøer. I rapporten tilrår Kystverket å tildekke vraket og de forurensede sedimentene ved hjelp av olivinsand, som har god evne til å binde kvikksølv. Tilrådinga la til grunn at risikoen forbundet med å røre på vraket og de forurensede bunnmassene er stor uavhengig av metode, og at den samlede risikoen for miljøet er lavere ved tildekking enn ved heving.
Våren 2007 ble det holdt to høringer i Stortinget knyttet til behandlinga av Dok. 8:33 (2006–2007). Under høringene kom det forslag til andre metoder for både heving av ubåten og fjerning av lasten. Fiskeri- og kystdepartementet avgjorde derfor at Kystverket skulle sette i gang en ny prosess for å få utredet hevingsalternativene nærmere. Kystverkets tilrådning vil bli levert til Fiskeri- og kystdepartementet høsten 2008. Regjeringa vil på egnet måte komme tilbake til Stortinget om saken.
Boks 7.13 Vraket Murmansk
Krysseren Murmansk grunnstøtte juleaften 1994 utenfor Sørvær i Hasvik kommune. Det ble like etter forliset foretatt undersøkelser av vraket der det ble konkludert med at vraket ikke utgjorde akutt fare for oljeforurensning. På dette grunnlag prioriterte staten ikke å fjerne vraket av Murmansk. Senere undersøkelser har også bekreftet nevnte konklusjon. I november 2005 mottok imidlertid Fiskeri- og kystdepartementet opplysninger om mulig innhold av PCB og bromerte flammehemmere i vraket. Departementet ba på denne bakgrunn Kystverket om å vurdere faren for akutt forurensning fra vraket og eventuelle tiltak som kunne settes inn. I brevet fra departementet blir det vist til opplysninger om mulig PCB og bromerte flammehemmere i vraket. Kystverket opplyste våren 2006 at håndteringa av Murmansk ville bli behandlet i to faser, der en i fase to ville vurdere faren for utslipp av andre miljøfarlige stoffer enn olje.
Da det sommeren 2008 kom fram opplysninger om en radioaktiv kilde i vraket økte bekymringa og usikkerheten blant innbyggerne i Sørvær. Representanter for Kystverket og Statens Strålevern reiste i august 2008 til Sørvær for befaring av vraket, og det er blitt tatt prøver som vil undersøkes for radioaktivitet, PCB, tungmettaler og andre miljøgifter. Statens strålevern har analysert miljøprøver som er tatt rundt vraket. Resultatene gir ingen indikasjoner på forurensning fra radioaktive stoffer fra skipsvraket. Kystverket har videre bedt Havforskningsinstituttet gjennomføre en miljøundersøkelse på og rundt vraket, og har etablert ei gruppe med deltakere fra SFT, Mattilsynet, Statens strålevern, NIFES og Folkehelseinstituttet for å gi faglige råd innen sine ansvarsområder. Kystverket skal på bakgrunn av dette og tekniske og økonomiske vurderinger, fremme forslag til departementet med sikte på å fjerne vraket av ”Murmansk” på en sikker og miljømessig måte. Regjeringa vil komme tilbake til saken på egnet måte.
Samarbeid med Russland
Et godt samarbeid med nabolandene våre er viktig for å styrke sjøsikkerheten i norske havområder. Norge og Russland underskrev i 2006 en intensjonsavtale om styrking av samarbeidet innen sjøsikkerhet og beredskap mot akutt oljeforurensning for å øke sjøsikkerheten i seilingsrutene i Norskehavet og Barentshavet. Fiskeri- og kystdepartementet og det russiske transportministeriet følger opp avtalen gjennom en styringsgruppe og norsk-russiske arbeidsgrupper for sjøsikkerhet og beredskap mot akutt forurensning.
I 2006 ble det satt i gang et initiativ for å øke aktiviteten i den norsk-russisk grenseregionen i tilknytning til Vardø trafikksentral (Vardø-initiativet). Vardø-initiativet, som drives i regi av Vardø kommune og Vardø Promor, har 2007 og 2008 lagt vekt på opplæring innen oljevern og sjøsikkerhet, og gjennomført kurs om transportutvikling, havnesamarbeid og logistikkutfordringer i nordområdene. Disse aktivitetene er gjennomført både i Vardø og i Murmansk. Fiskeri- og kystdepartementet har gitt årlige tilskudd til Vardø-initiativet.
Nordlige Dimensjon
Fra 1. januar 2007 er Norge likestilt med Russland, Island og EU innenfor rammen av Nordlig Dimensjon (ND). Det innebærer at de fire partnerne har felles ansvar for å operasjonalisere de politiske målene som er nedfelt i Nordlig Dimensjon. Målet er å utvikle samarbeidet i den nordlige delen av Europa. Samarbeidsplattformen ble formelt vedtatt på et toppmøte i Helsinki 24. november 2006 etter invitasjon fra det daværende finske EU-formannskapet.
I følge den politiske deklarasjonen fra møtet skal en se på mulighetene til å opprette et partnerskap for transport og logistikk. Fra norsk side har Fiskeri- og kystdepartementet, Samferdselsdepartementet og Utenriksdepartementet deltatt i en arbeidsgruppe om dette. Arbeidsgruppa bestod ellers av deltakere fra EU-kommisjonen, Russland, medlemsland i EU og internasjonale finansieringsinstitusjoner.
Arbeidsgruppa tilrår i sin endelige rapport at det er ønskelig å opprette et partnerskap for transport og logistikk innenfor den Nordlige Dimensjon og skisserer hvordan et slikt partnerskap kan organiseres.
Sjøtransporten vil ha en sentral plass i et eventuelt partnerskap, og det vil kunne bli et viktig forum for samarbeid med blant annet Russland og EU om grenseoverskridende transporter. Fiskeri- og kystdepartementet vil delta i det videre arbeidet.
EUs sjøsikkerhetsorgan EMSA
Fiskeri- og kystdepartementet og Kystverket deltar i EU/EMSA (European Maritime Safety Agency) for å ivareta norske interesser på området sjøsikkerhet og beredskap mot akutt forurensning. EMSA foreslår at innsamling av AIS-informasjon i ulike regioner er en måte som kan nyttes for å medvirke til å oppfylle forpliktelsene i direktivet om etablering av et felles europeisk system for overvåking og informasjon. EMSA arbeider med et sentralisert AIS-basert system for overvåking av skipstrafikk, basert på informasjon fra regionale overvåkningsområder i Europa. Norske myndigheter har fått i oppdrag fra EMSA å koordinere arbeidet med å etablere regioner. Fiskeri- og kystdepartementet arbeider for å utvikle dette i samarbeid med britiske, danske, islandske og færøyske myndigheter.
Barentsregionen
I oppfølginga av forvaltningsplanen for Barentshavet og havområdene utenfor Lofoten, er det satt ned et forum for samarbeid om risikoen for akutt forurensning. Forumet blir ledet av Kystverket og skal bl.a. koordinere overvåking som er relevant for risikohåndtering, særlig med tanke på sjøtransporten, og bidra til god kommunikasjon og utveksling av informasjon om risiko mellom de ulike etatene med ansvar innen miljøforvaltning, petroleumsvirksomhet og sjøtransport. Forumet skal bidra til å identifisere de mest kostnadseffektive risikoreduserende tiltakene på tvers av administrative ansvarsområder.
Svalbard
Navigasjonsforholdene rundt Svalbard er særlig krevende. Samtidig er skipstrafikken i farvannet økende, jf. omtale i St.meld. nr. 14 (2004–2005). Fiskeri- og kystdepartementet har derfor fastsatt en forskrift som innfører havne- og farvannsloven på Svalbard med virkning fra 1. mai 2008. Dette etablerer det samme juridisk rammeverket på Svalbard som på fastlands-Norge for regulering av og tilrettelegging for sikker sjøtrafikk. Ved å innføre havne- og farvannsloven på Svalbard, får Fiskeri- og kystdepartementet det overordnede ansvaret for havne- farvannsforvaltninga på øygruppa. Dette innebærer også et ansvar for fyr- og merketjenesten. Innføringa av havne- og farvannsloven på Svalbard er blant annet fulgt opp ved at Kystverket har sendt forslag til forskrift om rapporteringsplikt for fartøy i farvannet på høring.
Kystverket har på oppdrag fra departementet utredet muligheten for å opprette en formalisert kjentmannstjeneste med hjemmel i losloven. Det gjenstår noen risikovurderinger før et forskriftsforslag kan sendes på høring.
Navigasjonspolitikk
Fiskeri- og kystdepartementet har ansvaret for å koordinere den sivile navigasjonspolitikken, og leder departementsgruppa for spørsmål om navigasjon. Navigasjonsinnretninger er en forutsetning for sjøsikkerhet og forebygging av sjøulykker. Tradisjonelle fysiske installasjoner som fyr, lykter og merker spiller en viktig rolle for sikker navigering langs kysten. I tillegg bidrar utviklinga av elektroniske navigasjonshjelpemidler, radionavigasjon og satellitteknologi til å bedre navigasjonen for sjøfarende.
Regjeringa har bestemt at driften av de fire norske Loran C-stasjonene skal videreføres. Dette på bakgrunn av den internasjonale utviklinga knyttet til mulig bruk av en videreutviklet versjon av Loran C, kalt eLoran (enhanced Loran) som støtte for globale satellittnavigasjonssystemer.
Det er allment og internasjonalt lagt til grunn at satellittbaserte navigasjonssystemer vil være de primære systemene for posisjonering, navigasjon og tidsreferanse. I dag er det primært ett globalt satellittnavigasjonssystem (GNSS), nemlig det amerikanske GPS. Dette systemet benyttes til flere formål enn tradisjonell navigasjon. Kontinuerlig tilgang til informasjon om nøyaktig posisjon og tid fra GPS er av stor betydning for systemfunksjonalitet og sikkerhet på en rekke samfunnsområder. Posisjonsinformasjon fra GPS brukes for eksempel innen maritim trafikkovervåking, transport og logistikk, landbruk og skogsdrift og bygg og anlegg. Tidsinformasjon brukes bl.a. til styring/synkronisering av kommunikasjonsnettverk, kraftnettverk og tidsstempling av elektroniske transaksjoner innen bank-/finanssystemer. Denne omfattende bruken av GPS innebærer at samfunnet er sårbart for systemfeil. I NOU 2006:6 ”Når sikkerhet er viktigst” defineres satellittnavigasjonssystemene som kritisk infrastruktur og behov for reserveløsninger for å sikre samfunnskritiske funksjoner som er avhengig av denne infrastrukturen understrekes. Modernisering av GPS og Europas etablering av Galileo, som et sivilt og alternativt system til GPS, og tilgang til signaler fra andre satellittnavigasjonssystemer vil redusere sårbarheten knyttet til feil i ett enkelt satellittnavigasjonssystem. Disse systemene har imidlertid en felles svakhet ved at signalene fra satellittene er relativt svake og kan forstyrres eller blokkeres med andre radiosignaler, ved uhell eller med overlegg. Flere land og internasjonale organisasjoner for samarbeid innen navigasjon, framholder derfor at det er behov for en reserve for GNSS, og de har pekt på at en videreutviklet versjon av det bakkebaserte navigasjonssystemet Loran C, kalt e-Loran, bør vurderes i denne sammenhengen. Dette fordi Loran C-signalene er vanskeligere å forstyrre enn GNSS-signalene, da de både har annen bølgelengde og er sterkere. I dag dekker Loran C regioner som bl.a. USA og Canada, store deler av Russland, deler av det Fjerne Østen (samarbeid mellom Japan, Sør-Korea, Kina og Russland) og Nordvest-Europa. Fiskeri- og kystdepartementet mener at spørsmålet om drift av våre Loran C-stasjoner må ses i sammenheng med den internasjonale utviklinga rundt Loran. Vi kan sette opp følgende status:
USA vurderer det slik at de har behov for å ha et selvstendig, nasjonalt system for posisjonering, navigasjon og tidsreferanse, som reserve til deres eget GPS og har besluttet å videreføre sitt Loran C-system og å videreutvikle dette til et eLoran-system.
I Asia har Japan, Sør-Korea, Kina og Russland satt eLoran på arbeidsplanen i samarbeidsorganet FERNS (Far East Radionavigation Service).
I Europa har Storbritannia etablert en Loran-sender med eLoran-kapasitet. Den foreløpige tidshorisonten for driften av denne senderen er 15 år. Storbritannia samarbeider også med Tyskland om drift av sendestasjonen på Sylt. Frankrike driver to sendestasjoner og et kontrollsenter og samarbeider i tillegg med Danmark om drift av en sendestasjon på Færøyene.
Underkomiteen for navigasjon i FNs sjøfartsorganisasjon IMO har framholdt at det er behov for et internasjonalt omforent alternativ til de satellittbaserte systemene for å få til en bedre integrering av de mange ulike navigasjons- og informasjonssystemene.
Den internasjonale organisasjonen for maritime navigasjonshjelpemidler (IALA) har påpekt at Loran er det eneste bakkebaserte elektroniske navigasjonssystemet tilgjengelig som dekker større regioner og som kan tjene som reserve til GNSS, og at eLoran sannsynligvis vil være en komponent i den verdensomspennende radionavigasjonsplanen som utvikles av IALA. IALA-medlemmer oppfordres derfor til å opprettholde eksisterende Loran-stasjoner og støtte utvikling og internasjonale prosesser for standardisering av eLoran.
Norge har forvaltningsansvar og interesser i store havområder og en lang kyst med særlig utfordrende navigasjonsforhold. Dette gjør at Norge har betydelige interesser i å ha kontroll med og påvirke utviklinga av framtidens navigasjonsinfrastruktur. Dersom den internasjonale utviklinga går videre i retning av at eLoran blir ansett som nødvendig reserve for den satellittbaserte infrastrukturen for posisjonering, navigasjon og tidsreferanse – også i forhold til det europeiske Galileo-systemet - vil Norge bli en strategisk viktig samarbeidspartner for EU og andre berørte nasjoner på dette området. Dette fordi de norske Loran-stasjonene vil være en avgjørende del av den samlede europeiske infrastrukturen på dette området. Fiskeri- og kystdepartementet vil på denne basis fortsette arbeidet knyttet til eLoran i EU og andre internasjonale fora og organisasjoner.
Fiskeri- og kystdepartementet arbeider, i samarbeid med Norsk Romsenter, med en revisjon av Norsk Radionavigasjonsplan fra 2003. Departementet deltar parallelt i arbeidet med å etablere den europeiske radionavigasjonsplanen i regi av EU-kommisjonen. Fiskeri- og kystdepartementet samarbeider med Utenriksdepartementet og Nærings- og handelsdepartementet om mulig norsk tilknytning til de styrende organer i Galileo.
Fiskeri- og kystdepartementet arbeider gjennom IMO med å utforme rammer for langtrekkende identifisering og sporing av skip (LRIT). I Norge leder Kystverket ei arbeidsgruppe med deltakelse fra Sjøfartsdirektoratet og Statens kartverk for å utvikle en nasjonal e-navigasjonsstrategi. Det danner grunnlaget for norske posisjoner i IMO. Fiskeri- og kystdepartementet ved Kystverket deltar i ei rådgivende gruppe for videreutvikling av det amerikanske GPS-systemet, som fremdeles er det dominerende satelitt-navigasjonssystemet.
I 2007 vedtok IMO å etablere fem nye NAVAREAS (internasjonalt ansvarsområde for koordinering og formidling av navigasjonsvarsel) i nordområdene. Norge ved Fiskeri- og kystdepartementet og Kystverket har påtatt seg å være områdekoordinator for ett av dem, NAVAREA XIX.
Etatsmuseum for Kystverket
Etatsmuseet er etablert som en nettverksmodell med fire samarbeidspartnere. Disse partene er:
Lindesnes Fyr, som også er tusenårssted for Vest-Agder fylke. Fylkeskommunen har satset både investerings- og driftsmidler på stedet. Lindesnes er tiltenkt rollen som koordinator og pådriver i nettverket.
Lofotmuseet i Vågan kommune. Museet er tilknyttet den regionale museumsstrukturen, som en del av Museum Nord (Nordland fylkeskommune).
Tungenes Fyrmuseum i Randaberg kommune. Museet søker konsolidering med Jærmuseet (Rogaland fylkeskommune). Tungenes fyr er etablert som et lokalt museum.
Samlingene i Dalsfjord i Volda kommune. Samlingene søker å bli konsolidert med Sunnmøre museum (Møre og Romsdal fylke).
For å kunne administrere etatsmuseet som et nettverk er det lagt til grunn at Kystverket styrer hver av de fire enhetene i museumsnettverket gjennom årlige tildelingsbrev. I tildelingsbrevene vil Kystverket kunne fordele prosjektmidler/tiltaksmidler til de enkelte institusjonene, i tillegg til driftsmidler, for å sikre et best mulig samsvar mellom mål og virkemidler for virksomhetene.
Det nåværende Fyrmuseumsnettverket har vært bindeleddet mellom de involverte institusjonene. Dette nettverket er nå formalisert som fagråd. Fagrådet skal bestå av en representant fra hver av de fire institusjonene, med oppdrag om å få en mest mulig samlet og koordinert museumsvirksomhet. Ledelse og sekretariat for fagrådet foreslås lagt til Lindesnes.
Det foreslås å bevilge 3 mill. kroner i 2009 knyttet til helårsvirkning av etablering av etatsmuseet for Kystverket, jf. omtale kap 1000 post 71. Budsjettforslaget for Museumsnettverket for 2009 forutsetter statlig bidrag på 6 mill. kroner og lokalt/regionalt bidrag på 4 mill. kroner. Tallene tar utgangspunkt i fordelingsnøkkelen som er basert på minimum 40 pst. lokale/regionale bidrag til driften av den enkelte enhet. Saken er også omtalt under kap. 1000.
Fritidsbåter
Fiskeri- og kystdepartementet vil utarbeide en fritidsbåtstrategi. Formålet med dette arbeidet er å identifisere mulige områder og tiltak innenfor departementets ansvarsområde som kan bidra til å redusere ulykker med fritidsbåter i norske farvann.
Kystverket deltar i relevante utvalg og samarbeidsfora med sikte på å legge til rette for en trygg og tilgjengelig kyst for fritidsflåten. Blant annet deltar Kystverket i ei arbeidsgruppe som skal forbedre og videreutvikle tjenesten for værvarsel, sammen med Kongelig Norske Båtforbund (KNBF), Met.no og Telenor Maritim Radio. Kystverket deltar også på aktuelle fritidsbåtmesser og -arrangementer. Hovedarrangementet er ”Sjøen for alle”. Det blir lagt vekt på å utarbeide holdningsskapende informasjonsmateriell til bruk på disse arrangementene.
En annen viktig oppgave er bedre merking av fritidsbåtleier og farvann som blir nyttet av fritidsbåter. I den sammenhengen arbeider Kystverket med å identifisere områder som kan være aktuelle å merke.
Secora AS
Ved behandlinga av St.prp. nr. 1 Tillegg nr. 6 (2004–2005), jf. St. prp. nr. 63 (2003–2004) Tilleggsbevilgninger og omprioriteringer i statsbudsjettet medregnet folketrygden 2004 og St.prp. nr. 1 (2004–2005) for Fiskeri- og kystdepartementet, vedtok Stortinget at Kystverket produksjonsvirksomhet skulle skilles ut som en egen virksomhet. Virksomheten ble omdannet til statsaksjeselskap pr. 1. januar 2005 og fikk navnet Secora AS. Selskapet er 100 pst. konkurranseutsatt.
Secora AS skal framstå som en kompetent og effektiv entreprenørbedrift, og stå fritt til å konkurrere i ulike markeder. Infrastruktur for sjøtransport er utgangspunktet for selskapets virksomhetsområde, og selskapets forretningsområde er å utbygge og vedlikeholde fiskerihavner, farleier og navigasjonsinstallasjoner. Secora AS drives etter bedriftsøkonomiske prinsipper.
Det foreligger ikke tunge sektorpolitiske eller andre grunner som tilsier at Fiskeri- og kystdepartementet fortsatt bør eie Secora AS. På denne bakgrunn er forvaltninga av statens eierskap i Secora AS overført fra Fiskeri- og kystdepartementet til Nærings- og handelsdepartementet, med virkning fra 1. juli 2008.
Kap. 1062 Kystverket
(i 1 000 kr) | ||||
|---|---|---|---|---|
Post | Betegnelse | Regnskap 2007 | Saldert budsjett 2008 | Forslag 2009 |
01 | Driftsutgifter , kan nyttes under post 45 | 1 016 205 | 979 940 | 1 186 920 |
21 | Spesielle driftsutgifter | 179 525 | 3 900 | 4 070 |
30 | Nyanlegg og større vedlikehold , kan overføres | 266 129 | 341 250 | 398 100 |
45 | Større utstyrsanskaffelser og vedlikehold , kan overføres, kan nyttes under post 01 | 54 117 | 45 800 | 47 400 |
46 | Trafikksentral Nord-Norge , kan overføres | 30 806 | ||
60 | Tilskudd til fiskerihavneanlegg , kan overføres | 23 286 | 30 100 | 30 800 |
70 | Tilskudd Redningsselskapet | 40 000 | 40 000 | 41 000 |
72 | Tilskudd til omstilling Secora AS , kan overføres | 24 000 | ||
Sum kap. 1062 | 1 610 069 | 1 464 990 | 1 708 290 |
Kystverket er Fiskeri- og kystdepartementets fagetat innen sjøtransport, sjøsikkerhet, havner og beredskap mot akutt forurensning. Kystverket arbeider for en effektiv og sikker sjøtransport ved å ivareta transportnæringas behov for framkommelighet og effektive havner. Kystverket vil forebygge og avgrense skadeeffektene ved akutt forurensning, og medvirke til en bærekraftig utvikling av kystsona.
Hovedmålene for Kystverket er:
Sikker seilas.
Reint miljø.
Fra vei til sjø.
Livskraftige kystsamfunn.
Kvalitet i alle ledd.
Alltid til stede.
Satsningsområdene til Kystverket i 2009 er å:
Utvikle god overvåking, sikkerhet og beredskap knyttet til trafikken langs kysten.
Fortsette arbeidet med å etablere seilingsleier utenfor kysten.
Tilpasse hovedleiene og leiene til de viktigste havnene til endringer i brukernes behov.
Forenkle administrative rutiner, regelverk og forskrifter.
Fra 1. juni 2007 fikk etaten nytt samlende navn. Kystdirektoratet ble tatt ut som eget navn, og erstattet med Kystverket hovedkontoret. Samtidig fikk distriktskontorene nytt navn, regioner. Hovedkontoret er plassert i Ålesund og omfatter også Beredskapsavdelinga som ligger i Horten. Kystverket Rederi ligger i Ålesund. Kystverket har fem regionkontor, i Arendal, Haugesund, Ålesund, Kabelvåg og Honningsvåg.
Boks 7.14 Hovedprioriteringer 2009 for Kystverket
Hovedprioriteringer for Kystverket i 2009 er å:
Videreutvikle systemet SafeSeaNet til en felles portal for skipsfartens innrapportering til havner og offentlige etater ved anløp i norsk farvann.
Gjennomføre effektiviseringstiltak i lostjenesten.
Utvikle og vedlikeholde navigasjonsinnretningene slik at sjøtransporten kan ferdes uten hindringer og uønskede hendelser.
Levere tjenester til skipsfarten for å sikre trygg ferdsel.
Overvåke skipstrafikken langs norskekysten med spesiell vekt på fartøy med farlig og forurensende last.
Fortsette arbeidet med å etablere nødhavner langs norskekysten.
Samordne den private, kommunale og statlige beredskapen til et nasjonalt beredskapssystem mot akutt forurensning og ivareta statens beredskapsansvar.
Intensivere opplæring og kompetanseheving for statlig og kommunalt beredskapspersonell gjennom kurs- og øvingsaktiviteter.
Etablere, vedlikeholde og videreutvikle kompetanse og utstyr for å håndtere akutt forurensning.
Følge opp offentlige og private havner i forhold til krav og kriterier i Nasjonal Transportplan.
Arbeide for intermodale og multimodale transportløsninger gjennom samarbeid med andre transportetater, lokale myndigheter og private aktører.
Bidra til å balansere interessene til ulike brukergrupper i kystsona.
Bidra til at fiskerihavnene inngår som nyttig infrastruktur for fiskerinæringa i samarbeid med lokale/regionale myndigheter og brukere.
Avvikle ikke-næringsaktive fiskerihavner.
Administrativ effektivisering.
Delta i Fiskeri- og kystdepartementets arbeid med utvikling av internasjonalt regelverk, standarder og teknologi som er av betydning for Kystverkets fagområde.
Sjøtransport og havner
Kystverket har etatsansvar for sjøtransporten i arbeidet med Nasjonal transportplan. De fire transportetatene Avinor AS, Jernbaneverket, Statens vegvesen og Kystverket har et tett samarbeid om felles utredninger og faglig plangrunnlag for Nasjonal transportplan. De fire transportformene både konkurrerer og utfyller hverandre. Transportformene møtes i passasjer- og omlastingsterminaler der havnene er knutepunkt mellom land og sjø. Offentlige og private havner er viktige aktører for en effektiv og konkurransedyktig sjøtransport.
Mål og prioriteringer
Ivareta hensynet til en sikker og effektiv sjøtransport i alt planarbeid.
Ivareta Kystverkets mål og strategier i planarbeid og planmedvirkning.
Sikre høy faglig kvalitet på utredninger.
Levere Kystverkets innspill og bidrag til forvaltningsplaner for norske havområder.
Levere Kystverkets innspill og bidrag til stortingsmelding om Nasjonal transportplan.
Sikre at Norges forpliktelser til innføring av internasjonalt regelverk om havnesikring blir oppfylt.
Bidra i arbeidet med å utvikle det internasjonale regelverket om sikring og terrorberedskap i havner ( ISPS-regelverket).
Bidra til evaluering av Norges innføring av ISPS- regelverket.
Følge opp eventuelle avvik og forbedringer etter interne revisjoner og eksterne inspeksjoner i Norge av ESA.
Krav til sikring i norske havner
Norge har et ansvar for å følge opp arbeidet med innføringen av IMO og EU sitt regelverk om sikring og terrorberedskap i norske havner. Arbeidet innebærer blant annet å godkjenne vurderinger om sårbarhet og planer om havnesikring, og å føre tilsyn og kontroll for å sikre at tiltakene blir innført. Kystverket har utøvende myndighet knyttet til dette arbeidet.
I 2007 startet Kystverket prosessen med å bygge opp en fast organisering av oppgavene med havnesikring. Kystverkets utgifter dekkes gjennom en årsavgift pålagt havneterminalene. De totale utgiftene til Kystverkets arbeid med havnesikring er beregnet til 13,5 mill kroner i 2008.
Resultat 2007–2008
Kystverket har i 2007 brukt plan- og utredningskapasitet på å arbeide fram det faglige grunnlaget for Nasjonal transportplan 2010–2019. Forslag til Nasjonal transportplan ble overlevert til departementene i januar 2008. Vesentlige ressurser er også brukt på bidrag til ekstern kvalitetssikring (KS1) av Stad skipstunnel, Forvaltningsplanen for Norskehavet og oppfølging av Forvaltningsplanen for Barentshavet og havområdene utenfor Lofoten.
Innenfor ISPS-området var de prioriterte arbeidsoppgavene å foreta kontroll og verifikasjon av de havneterminalene som i 2005 og 2006 fikk godkjent sitt sikkerhetsplanverk. Hensikten var å bekrefte at foreskrevne tiltak har blitt innført. Det er en forutsetning for å få utstedt endelig erklæring om godkjenning (”Statement of Compliance”) og for fortsatt å stå som ISPS-godkjent terminal i IMOs internasjonale database. Videre har revisjon av forskriften som fanger opp EU-direktiv 2005/65 stått sentralt, likeså utvikling av prosedyrer og styrende dokument for mellomliggende revisjoner av godkjente havneterminaler. Per februar 2008 er det godkjent planverk for 630 havneterminaler i Norge. Av disse er 530 ferdig verifisert og har fått utstedt godkjenningen ”Statement of Compliance”. Ytterligere 30 terminaler er klarmeldt for verifikasjon, og venter på inspeksjon fra Kystverket. 52 er strøket fra lista over godkjente terminaler på grunn av manglende innføring av planverket.
Resultatindikatorer 2008–2009
Oppfølging av arbeidet med Nasjonal Transportplan etter stortingsmeldinga.
Handlingsplan for miljø i Kystverket.
Bidra i arbeidet med kvalitetssikring av utredninga om Stad skipstunnel.
Tall på gjennomførte tilsyn og revisjoner knyttet til oppfølging av regelverket om sikring og terrorberedskap i havner.
Kystsoneforvaltning
Kystverket utøver myndighet etter havne- og farvannsloven, losloven med tilhørende forskrifter og deler av forurensningsloven. Kystverket bidrar med råd og innspill til kommunal og fylkeskommunal planlegging etter plan- og bygningsloven. Kystverkets planmedvirkning skal ivareta sjøtransportens interesser på vegne av havnene og sjøtransportørene. Krav til framkommelighet og trygg ferdsel på sjøen er sentrale elementer som etaten legger vekt på i en helhetlig forvaltning av kystsona.
Mål og prioriteringer
Mål:
God kvalitet i myndighetsutøvelsen
Effektiv saksbehandling
God kvalitet på innspill i lokal og regional kystsoneplanlegging
Ivareta Kystverkets ansvar i tilknyting til at EUs vanndirektiv blir innført i Norge.
Kystverket sine hovedprioriteringer på området i 2009 er:
Arbeidet med terrorsikring i havnene.
Kompetanseheving knyttet til myndighetsutøvelse for det regelverket som Kystverket forvalter.
Å delta i videre arbeid med ny havne- og farvannslov, blant annet gjennomgang og tilpasning av forskriftsverket.
Være faglig bidragsyter til Fiskeri- og kystdepartementet, blant annet i forbindelse med regelverksarbeid.
Å delta i offentlig planlegging for bruk av kystsona, primært for å ivareta kystforvaltningas behov for areal innenfor bærekraftige rammer.
Arbeidet med å innføre EUs rammedirektiv for vann blir videreført, blant annet ved å utvikle forvaltningsplaner for vannressursene.
Resultat 2007–2008
Det er et viktig og arbeidskrevende felt å ivareta sjøtransportens og havnenes rolle innen kystsoneforvaltninga. Dette er ofte knyttet opp til løpende prosesser med flere involverte myndighetsnivåer. Under følger en omtale av noen av prosessene i 2007 og 2008.
Det er utarbeidet forslag til et nytt kapittel i sjøtrafikkforskriften for innseiling til Nyhavna og gjennomført høring av dette. En omfattende rapport om polarlostjeneste på Svalbard, inkludert utkast til forskrift, er sendt til departementet. Mye arbeid er utført for å innføre havne- og farvannsloven og losloven på Svalbard. Arbeidet blir videreført i 2008.
Kystverket har gjennomført høring og forberedt forskrifter som innfører tre EU-direktiv om havnesikring.
Kystverket har fastsatt og godkjent flere lokale forskrifter om fartsavgrensning, om havnedistrikt i sjøen og om bruk av og orden i havner.
Etter innføring av trafikkseparasjonssystemet i norsk økonomisk sone på strekninga mellom Vardø og Røst, har Kystverkets laget interninstruks om håndtering av spørsmål fra brukerne.
Nye krav til merking av havbruksanlegg i tråd med internasjonale retningslinjer ble satt i verk i 2008. Samtidig ble det utgitt en veileder om merking av havbruksanlegg. Hensikten er å forhindre at anleggene blir pårent av fartøyer, og slik ivareta både sikkerheten til sjøs og hindre rømming av fisk.
Kystverket har i tillegg behandlet søknader og klagesaker om tiltak i sjøen, laget veileder til kommunene om saksbehandling etter havne- og farvannsloven, behandlet spørsmål fra havner og havnebrukere, særlig om forvaltning av havnekassen og gitt hjelp til kommunene i saker som gjelder vrakfjerning.
Resultatindikatorer for 2008–2009
Antall saker som gjelder enkeltvedtak som er eldre enn tre måneder.
Antall enkeltvedtak som er påklaget og antall klager der vedtaket blir endret, enten i førsteinstans eller i klageinstansen.
Antall avdekte avvik i forhold til merking og plassering av havbruksanlegg og antall avvik som er fulgt opp med tiltak fra Kystverket.
Fiskerihavner
Mål og prioriteringer
Gjennomføre prosjektering og utbygging av fiskerihavner etter Kystverkets handlingsprogram for perioden 2006 – 2015 til planlagt omfang, kvalitet, kostnad og framdrift.
Gjennomføre nødvendig forvaltning, drift og vedlikehold av moloer og øvrige installasjoner i statens fiskerihavner.
Planlegge nye fiskerihavnetiltak i tråd med Kystverkets handlingsprogram for perioden 2006–2015.
Gjennomføre avhending eller overføring til nye bruksformål av ikke næringsaktive fiskerihavner og avvikle statens ansvar for bunnkjettingsanlegg i fiskerihavner.
Ved utbygging av fiskerihavner skal prosjekter som har stor betydning for den nasjonale verdiskapinga i fiskerinæringa prioriteres. Videre er tiltak som bidrar til å ivareta fiskerihavnebehov i mindre lokalsamfunn, viktig.
Kystverkets utbygging av fiskerihavner er konsentrert om grunnleggende infrastruktur som skjerming av utsatte innseilinger, nyanlegg, vedlikehold av moloer og utdyping av havneområder. Kaier, flytebrygger og industriarealer i fiskerihavnene er et kommunalt ansvar, men det er behov for å yte tilskudd slik at mindre fiskerihavneprosjekter kan realiseres i lokal regi. Kystverket forvalter derfor en tilskuddsordning for kommunale fiskerihavnetiltak. Forslag til fordeling av disse tilskuddsmidlene framkommer i utrykt vedlegg til denne proposisjonen.
Den framtidige utviklinga av strukturen innenfor både flåten og industrien vil være av betydning for framtidig utbygging av fiskerihavner. En endring til større fiskefartøyer er en medvirkende årsak til økende behov for større dybde. Transport av fisk og fiskeprodukter til markedene er viktige hensyn ved utbygging av fiskerihavner og for å bedre framkommeligheten i farleiene. I dag fraktes fersk fisk i hovedsak med lastebil og/eller fly, mens frossen fisk i større grad fraktes på sjø. Anløp av større gods-, fryse- og containerskip for transport av fisk og fiskeprodukter til markedene stiller også større krav til dybde og manøvreringsareal i havnene.
Kystverket vil arbeide for å samordne sine forslag om fiskerihavneutbygging med strategier som legges for marin verdiskaping. Det innebærer systematisk kontakt med Fiskeridirektoratet, Innovasjon Norge og fylkeskommunene.
Økte miljøkrav til opprydding i havner og farleier øker kostnadene ved utdypinger der det er forurensede bunnsedimenter. Kostnadene vil ofte måtte bæres av tiltakshaver, som i dette tilfellet vil være Kystverket. Når det i tillegg er nye krav om mer omfattende planprosesser før arbeid kan startes, fører det til at de samlede utgiftene til prosjektene blir høyere enn tidligere. Planleggingen av nye tiltak i fiskerihavner er beskrevet i Kystverkets handlingsprogram for perioden 2006–2015.
Fiskerinæringas behov for fiskerihavner endrer seg. Staten har vedlikeholdsansvar for en del havner som ikke lenger har noen betydning for næringa. Stortinget har samtykket i at slike ikke næringsaktive fiskerihavner skal avhendes. Fra og med budsjettet for 2003 er det gitt en årlig fullmakt til at inntil 10 mill. kroner av salgsinntekter fra salg av ikke næringsaktive fiskerihavner kan benyttes til å dekke salgsomkostninger, nødvendig rehabilitering av fiskerihavner før overdragelse til andre eiere og vedlikehold av andre fiskerihavner.
For 2009 foreslås det å øke bevilgninga med 13 mill. kroner til fiskerihavner og farleier. Dette innebærer at planramma for inneværende periode for fiskerihavner og farleier nås. I tillegg til dette foreslås det å starte utbygginga av Stamsund havn i Vestvågøy kommune med 30 mill. kroner. Dette kommer som et tillegg til planramma.
Prioriteringer av de enkelte utbyggingsprosjektene framkommer i et utrykt vedlegg til denne proposisjonen.
Resultat 2007–2008
Utdyping av Strand havn i Osen kommune Sør-Trøndelag er utført i 2007–2008. Anlegget ble utført i forbindelse med tiltak i farleia ved Buholmråsa og Sandviksberget i samme kommune.
Utdyping av Sørlandsvågen og Røsnesvågen og ny oppmerking av innseilinga til havna på Værøy i Nordland er også finansiert over budsjettet i 2006–2008. Det samme gjelder ny innseiling til Melbu fiskerihavn i Nordland. Begge anleggene ble ferdigstilt sommeren 2008.
Nye anlegg i 2008 er reparasjon av moloen i Lista fiskerihavn i Farsund kommune i Vest-Agder og start av reparasjon av moloen i Laukvik i Vågan kommune Nordland. Tiltaket i Laukvik er utsatt som følge av høye kostnader og endrede planer. Reparasjonen av Lista molo vil trolig være ferdig i 2008, med noe etterarbeid i 2009. Forberedelser til reparasjon av Laukvik molo, uttak og lagring av steinblokker blir utført i 2008, mens reparasjonsarbeidet blir utført i 2009.
Tiltak i Havøysund er under planlegging med start høsten 2008. Arbeidet utføres i 2009 og 2010.
Staten har fortsatt ansvar for om lag 30 bunnkjettingsanlegg i de tre nordligste fylkene. Det har i 2007 ikke vært utført tiltak eller avhending av bunnkjettingsanlegg i Troms og Finnmark. I Nordland foregår det forhandlinger om avhending til kommuner og private. Det er planlagt å fjerne 15 anlegg i løpet av 2008.
Kystverket solgte i 2007 Rekstadvågen fiskerihavn i Flora kommune. Rekstadvågen er ei fiskerihavn som ikke er aktiv. Salgsinntekter blir brukt til dekning av salgskostnader og vedlikeholdtiltak.
Resultatindikatorer for 2008–2009
Gjennomførte utbyggingsprosjekt etter årsplan.
Gjennomførte reparasjoner og vedlikeholdstiltak.
Gjennomførte planer og undersøkelser for neste handlingsprogram.
Salg av ikke-næringsaktive fiskerihavner.
Tildeling av tilskudd til kommunale fiskerihavneanlegg i tråd med gitte retningslinjer.
Avvikling av statens ansvar for bunnkjettingsanlegg i fiskerihavner.
Sjøsikkerhet
Utbedring av farleier
Mål og prioriteringer
Kystverkets utbygging av farleier bidrar direkte til Kystverkets mål om sikker seilas. Planlagte tiltak er fastsatt i Kystverkets handlingsprogram for perioden 2006–2015.
Kystverkets utbygging av farleier skal bedre sikkerheten og framkommeligheten ved bruk av skipsleia.
Kystverket skal være en pådriver for elektronisk visualisering av norskekysten.
Planlagte tiltak for perioden 2006–2009 i Kystverkets handlingsprogram skal søkes gjennomført.
Holde farleiskatalogen oppdatert.
Fastsette en etatshåndbok for Kystverket om farleisstandarder.
Farleiene utgjør en sentral del av transportinfrastrukturen. Det er i dag om lag 150 hovedleier og 700 bileier.
Skipsfarten endres i retning av færre, men større fartøy, høyere fart og flere spesialfartøy. Endringer i type fartøy og endret trafikkbilde setter nye krav til farleier og havner, med økt behov for utdyping og manøvreringsareal. Utdyping og utretting av leia medfører at det også må gjøres ny oppmerking i farleia. Framkommeligheten blir bedre ved utretting av trange leier og det blir større rom for manøvrering til havn.
Nye krav til opprydding i havner og farleier øker kostnadene ved utdyping i urene bunnsediment. Kostnadene må bæres av tiltakshaver, og ved utdyping i farleier er dette Kystverket. Økte krav til dokumentasjon og planlegging etter plan- og bygningsloven har også økt kostnadene ved utbyggingstiltak.
For at ei farlei skal være farbar for et såkalt dimensjonerende skip må den oppfylle visse krav til dybde, bredde, fri høyde, svingradius med mer. For deler av farleisnettet er det behov for vesentlig utbedring for å oppfylle kravene.
Farleiskatalogen omfatter farleier og bruksområder i kystfarvann, og dekker blant annet behovet for følgende:
Å kunne definere ei farlei eller et bruksområde på en standardisert og kortfattet måte.
Å fastsette farleias eller bruksområdets viktighet, for å kunne planlegge og prioritere ressursinnsatsen best mulig.
Etatshåndboka om farleisstandarder skal primært være et verktøy for saksbehandling i Kystverket, samtidig som den også kan være veileder for andre aktører.
Kystverket arbeider videre med å oppdatere farleiskatalogen og vil i 2009 fastsette ei etatshåndbok om farleisstandarder.
Resultat 2007–2008
Utdyping av Buholmråsa og Sandviksberget i Osen kommune Sør-Trøndelag blir utført i 2008 sammen med utdyping av Strand havn i samme kommune. Urene masser fra utdypninga i Strand blir tildekket med rene masser fra tiltaket i den nærliggende farleia ved Sandviksberget. Været på Buholmråsa har forsinket framdriften, men alle utdypningstiltakene er ventet ferdige høsten 2008.
Fjerning av grunne i Røyrasundet under Herøybrua i Møre og Romsdal blir fullført i 2008.
Arbeidet med ny innseiling til Gunhildvågen i Flora kommune er startet i 2008 for utføring over to år.
Anleggsarbeidet med utdyping av Brevikstrømmen i Bamle og Porsgrunn kommuner i Telemark startet i 2008 og vil bli videreført i 2009.
Oppmerking av ferdige utdypninger i Drøbaksundet og Svelvikstrømmen skal være ferdige i 2008.
Resultatindikatorer 2008–2009
Gjennomførte utbyggingsprosjekt etter årsplan.
Navigasjonsinnretninger (merking av farleier og kystfarvannet)
Navigasjonsinnretningene omfatter fyr, lykter, lanterner, indirekte belysning (flomlys), lysbøyer og staker, faste merker og radarsvarer. Det er om lag 20 000 innretninger i Norge. Tallene er hentet fra Kystverkets FDV-system (Forvaltning, Drift og Vedlikeholdssystem). Foreløpig er data for innretninger som ikke sender ut lyssignal usikre. Utgiftene til forvaltning, drift og vedlikehold av Kystverkets innretninger finansieres med 34 pst. av brukerne gjennom kystgebyret. Inntektene fra kystgebyret ble som budsjettert i 2007 og utgjorde 93 mill. kroner.
Mål og prioriteringer
Tilby navigasjonsinnretninger i samsvar med behovene til de sjøfarende, blant annet sette opp nye navigasjonsinnretninger, spesielt i leier som blir brukt av hurtiggående fartøy og passasjerferjer.
Sørge for effektiv fornying, drift og vedlikehold av navigasjonsinnretningene.
Opprettholde en operativ oppetid for innretninger som gir lys- eller radarsignal på minst 99,8 pst. i samsvar med retningslinjer gitt av Den internasjonale fyrvesenorganisasjonen IALA.
Navigasjonsinnretningene står i et miljø med til dels store påkjenninger og krever regelmessig tilsyn og vedlikehold. Enkelte steder har vedlikeholdet vært mangelfullt slik at særlig bygningsmessig standard på innretningene ikke har blitt opprettholdt. Et nytt forvaltnings-, drifts- og vedlikeholdssystem (FDV-system) vil bli brukt til å skaffe oversikt over tilstanden og følge opp tiltak for å bedre situasjonen.
Gjennomføring av tiltakene i Kystverkets handlingsprogram/Nasjonal transportplan blir prioritert, samtidig som en vil oppfylle kravene til drift og legge vekt på fornying og vedlikehold av navigasjonsinnretningene. Utvikling og forenkling av tekniske løsninger for navigasjonsinnretningene og geografiske informasjonssystem / nautisk fagsystem videreføres i 2008. Utveksling av data mellom Kystverket og Sjøkartverket vil være en viktig del av arbeidet.
Resultat 2007–2008
Det er i 2007 ikke registrert uhell eller ulykker som kan føres tilbake til sviktende navigasjonsinnretninger eller mangelfull navigasjonsveiledning i farleiene og kystfarvannet.
Drift og vedlikehold skal sikre at navigasjonsinnretningene oppfyller sin funksjon på kort og lang sikt. Et viktig driftsmål er krav til operativ oppetid. For 5 765 innretninger som sender ut lys- eller radarsignal ble det i 2007 oppnådd en operativ oppetid på 99,90 pst., noe som betyr at resultatmålet er oppfylt. Det var i alt 768 slukninger som gav 2 095 slukningsdøgn. Slukningsstatistikken er basert på rapportering fra de sjøfarende. Derfor kan det ha vært slukninger som ikke er registrert.
Det er i 2007 og 2008 som i årene før satt opp nye innretninger for å bedre navigasjonsveiledninga. Eksempel på nye tiltak i 2007 og som etter planen blir fullført i 2008, er ny merking av Fugleleia på Hustadvika (Møre og Romsdal) og merking av leia Tonnes-Vågaholmen via Selsøyvik (Nordland). Den første farleia er til nytte for alle skip og fartøy, mens den andre primært er til nytte for hurtigbåter.
Antall innretninger med kort rekkevidde for nærnavigasjon har økt de seneste årene. Det er fortsatt et udekt behov for slike navigasjonsinnretninger, særlig i farleier som blir benyttet av hurtiggående fartøy og passasjerferjer.
Resultatindikatorer for 2008–2009
Det skal ikke skje uhell eller ulykker som kan føres tilbake til sviktende navigasjonsinnretninger eller mangelfull navigasjonsveiledning i leiene og kystfarvannet.
Operativ oppetid skal opprettholdes i samsvar med fastsatte mål.
Antall opprettede og nedlagte navigasjonsinnretninger.
Elektroniske navigasjonshjelpemidler
Mål og prioriteringer
Det skal ikke skje uhell eller ulykker som kan føres tilbake til sviktende elektroniske navigasjonshjelpemiddel, inkludert AIS-nettet eller mangelfull navigasjonsveiledning i oppmerkede leier langs kysten.
Offentlige brukere/etater skal sikres tilgang til data fra AIS-nettet.
AIS-data skal utnyttes optimalt for å fremme sikkerheten på sjøen.
Elektroniske navigasjonshjelpemiddel omfatter DGPS (Differential Global Positioning System) og AIS (automatisk identifikasjonssystem).
DGPS-tjenesten leverer korreksjonssignal til GPS- mottakerer som er tilknyttet ulike posisjons-, navigasjons- og kommunikasjonsutstyr på skip, offshore og på land. DGPS-tjenesten tilbyr brukerne mer nøyaktig informasjon om posisjon og varsel ved feil i GPS-systemet. Det er etablert tolv stasjoner for utsendelse av DGPS-signaler.
Kystverkets DGPS-tjeneste nærmer seg grensen for teknisk levealder. Internasjonalt er det en rekke land som opererer med tilsvarende tjenester. Igjennom IALA arbeider disse landene med anbefalinger for framtida til tjenesten. Kystverket deltar i dette arbeidet.
Kystverket har etablert et landbasert AIS-nett med 36 basestasjoner for overvåkning av skip langs hele kysten. Det er også etablert prøvedrift for AIS fra Bjørnøya. Basestasjonene mottar alle AIS-meldinger sendt fra fartøy i dekningsområdet og informasjonen er gjort tilgjengelig for andre statsetater. I tillegg er det etablert et godt samarbeid om utveksling av AIS-data med flere land.
AIS bidrar til å øke sikkerheten for skip og miljø, og å bedre trafikkovervåkninga og sjøtrafikktjenestene. AIS er et viktig hjelpemiddel i skip-til-skip-situasjoner for å forhindre kollisjoner, fordi det bedrer situasjonsforståelsen om bord. Det er også et virkemiddel for kyststater til å innhente informasjon om skip og last og et verktøy for trafikksentralen i skip-til-land-sammenheng.
Kystverkets AIS-nett skal ha stabil drift, og det skal sikres optimal tilgang til og bruk av data fra systemet. Kvalitet og bruk av data fra systemet skal forbedres. Det skal utredes om brukere ut over det offentlige skal få tilgang til AIS-data fra Kystverkets AIS-nett. Tre nye AIS- stasjoner vil opprettes i løpet av 2008 i tilknytning til etableringa av seilingsleier utenfor territorialfarvannet i Nord-Norge.
Resultat 2007–2008
Enkelte av DGPS-stasjonene til Kystverket har ikke overholdt kravet til signaltilgjenglighet (99,5 pst. regnet over to år). Årsaken er vanskelig atkomst til enkelte senderstasjoner. Dette fører til at disse stasjonene blir stående ute av drift i lengre tid enn ønskelig ved feil.
Driftssituasjonen i AIS-nettverket har vært tilfredsstillende. Tilgjenglighet på AIS-data har vært bedre enn 99,5 pst regnet over siste toårsperiode. Både Kystverket og andre offentlige etater har hatt tilgang på AIS-data innenfor resultatkravet. Brukerforum for AIS-tjenesten ble startet gjennom AIS 2010-prosjektet og er nå avsluttet. Nytt brukerforum ble etablert i 2008 med deltakelse fra offentlige etater, rederi, agenter, fiskerinæring og havner.
Avtalen med Christian Michelsen Research (CMR) om presentasjonsløsning for AIS-data er videreført. Løsningen gir gode trafikkbilder og noe statistikk. I Kystverket blir løsningen brukt i en rekke operative tjenester, i saksbehandling og ved planlegging av tiltak. Tollvesenet, Sjøfartsdirektoratet, politi, havner, Forsvaret og Fiskeridirektoratet er eksterne brukere.
Det er ikke registrert uhell som kan føres tilbake til manglende eller sviktende elektroniske navigasjonssystem. Målet om tilgjengelighet er i stor grad opprettholdt, med unntak av problem med enkelte DGPS-stasjoner.
Resultatindikatorer 2009–2010
Tilgjengligheten av AIS-data fra hver enkelt AIS-basestasjon bør være 99,5 pst. eller bedre, regnet over en toårsperiode.
Kystverkets DGPS-tjeneste bør innenfor sitt dekningsområde ha en signaltilgjengelighet på minst 99,5 pst. over en toårsperiode.
Kystverkets trafikksentraler bør sikres tilgang til AIS-data med maksimalt ett sekund forsinkelse.
Andre brukere i Kystverket og offentlige etater med behov bør sikres tilgang til AIS-data med maksimalt to sekunder forsinkelse.
Kystverket skal arrangere brukerforum for å fremme bruken av AIS-data og bidra til optimal utnyttelse av slike data.
Meldingstjenester
Mål og prioriteringer
Det skal ikke skje skipsuhell eller skipsulykker på kyststrekninger eller i skipsleier som har bølge- vind- og strømvarsling, som følge av manglende varsling av farlige vind-, strøm- eller bølgeforhold.
Resultat 2007–2008
Bølgemodeller for Stad og Hustadvika er utviklet og gjort tilgjengelige på internett. I 2008 skal bølgemodellene for Vestfjorden og Breisundet være ferdigutviklet. Ved utgangen av 2008 vil Kystverket ha tilgjengelig bølgevarsel for syv strekninger. Bølgevarslingstjenesten utføres i nært samarbeid med Meteorologisk Institutt som til en hver tid legger ut rett varsel sammen med annen værvarsling. Tjenesten har prioritert utsatte områder med hurtigbåttrafikk. Det er startet et arbeid for å bedre tilgjengeligheten for fritidsbåter.
Resultatindikatorer 2008–2009
Bølgevarsel for Stad, Trondheimsleia, Sletta, Boknafjorden, Nyhavna/ Hustadvika, Vestfjorden og Breisundet skal være tilgjengelig på Kystverkets internettsider.
Økt tilgjengelighet til bølgevarsling for fritidsbåter.
Meldingssystem
Mål og prioriteringer
Tilby et elektronisk rapporterings- og meldingssystem for skip i samsvar med nasjonale og internasjonale forskrifter.
Videreutvikle SafeSeaNet til ett felles system som de sjøfarende kan benytte mot det offentlige Norge.
Øke brukervennligheten til meldingssystem.
Alle fartøy som har meldeplikt skal benytte SafeSeaNet.
Resultat 2007–2008
Kystverket har ansvaret for tjenester om meldinger fra og om skipstrafikken. Kystverket har ansvaret for den norske SafeSeaNet løsningen. Meldingene i den norske løsningen har opplysninger om anløp, farlig og/eller forurensende last, så vel som informasjon omkring fysisk sikring. Den norske løsningen sender automatisk meldinger direkte til den sentrale løsingen i EU som er operert av EMSA.
Kystverket har i 2008 arbeidet videre for å nå målet om å etablere en tjeneste som gjør det mulig for skip å rapportere til norske myndigheter gjennom ett felles system. SafeSeaNet-systemet er forbedret det siste året og er tett knyttet til det nyutviklede systemet for bestilling av los. Det vil lette arbeidet med kontroll av brudd på meldeforskriftene.
Resultatindikatorer for 2008–2009
Statistikk over brudd på meldingsforskriftene.
SafeSeaNet oppetid.
Statistikk over tall på mottatte meldinger.
Los
Mål og prioriteringer
Det skal ikke oppstå ulykker med fartøy som har los om bord.
Det skal ikke oppstå ulykker med fartøy som seiler på farleibevis.
Fartøy som ber om los skal få dette innen en time av bestilt tidspunkt.
Rekruttering av loslærlinger skal være av et slik antall og av en slik kvalitet at en kan opprettholde et loskorps som kan ivareta sikkerheten langs kysten på dagens nivå.
All losbestilling skal skje elektronisk.
Kystverket har som mål å ha en effektiv losbåtflåte som til enhver tid tilfredsstiller myndighetenes krav. Det innebærer å anskaffe losbåter slik at gjennomsnittsalderen på losbåtene ikke øker.
Lostjenesten finansieres av gebyr betalt av brukerne. I tillegg til statslosene omfatter tjenesten losfartøy, losformidling og administrasjon. Tjenesten skal bedre sikkerheten til sjøs, bidra til god framkommelighet og beskytte det marine miljøet. Kystverket vil i 2009 prioritere innføring av tiltak for å effektivisere lostjenesten.
Resultat 2007–2008
Den lospliktige trafikken i 2007 økte 4,5 pst. sammenlignet med 2006. Antall losoppdrag ble 7,1 pst. høyere enn i 2006. Antall dispensasjoner økte noe det siste året, mens det var en reduksjon i tallet på skip som seilte på farleibevis. Trafikken var rekordstor i 2007 og hver statslos utførte i gjennomsnitt flere losoppdrag enn tidligere år, når vi ser på perioden 1995–2007. Driften av lostjenesten fikk et overskudd på 28,7 mill. kroner som vil benyttes til å finansiere kjøp av nye losbåter de kommende årene.
Kystverket har i 2007 fått levert ny losbåt. Ved årsskiftet 2008/2009 vil det bli levert ny forsterket losbåt for farvann med is vinterstid. De 18 hovedfartøyene var i gjennomsnitt 13,9 år gamle ved utgangen av 2007. Levetiden for hovedfartøy er satt til 15 år. I tillegg har Kystverket åtte reservefartøy i drift med langt høyere alder. Gjennomsnittlig alder for totalt 25 losfartøy i drift er 17,2 år. Til sammenligning er gjennomsnittlig levetid beregnet til 16,4 år. For å redusere den gjennomsnittlige alderen på flåten er det lagt opp til et relativt tett innkjøpsprogram.
Det ble i 2007 registrert 14 ulykker med fartøy som hadde los om bord. Ved slike ulykker gjennomføres det undersøkelser i samarbeid med Sjøfartsdirektoratet for å finne årsaka til hendelsen. I ti av ulykkene er det fastslått at losen ikke kan klandres. Tallet på ulykker med fartøy som seiler med farleibevis var også 14. Det har ikke vært ulykker med fartøy som har seilt på dispensasjon fra plikten til å ha los om bord.
Over 97 pst. av losoppdragene som har blitt etterspurt innenfor fastlagt bestillingsfrist, har hatt kortere ventetid enn en time. Det er i 2007 rapportert inn syv brudd på losplikten og/eller farleibevisforskriftene. Ett farleibevis er inndratt mens tre saker er politianmeldt. Tallet på brudd har gått ned hvert år siden 2004.
I 2008 skal lostjenesten ta i bruk et nyutviklet system for losformidling. Kystverket forventer at systemet skal bidra til å effektivisere tjenesten.
Resultatindikatorer 2008–2009:
Måling av losaktiviteten gjennom:
Antall ulykker med fartøy med los om bord.
Antall ulykker med fartøy som seiler med farleibevis.
Statistikk over ventetid for bestilling av los.
Statistikk på antall dispensasjoner.
Omfanget av losbestillinger som ikke skjer elektronisk.
Gjennomsnittsalder på losbåtene.
Trafikksentraler (VTS)
Mål og prioriteringer
Fremme effektivitet og sikkerhet i farleier og havner og beskytte det marine miljøet gjennom å tilby kvalitetsmessig gode og behovsmessig tilpasset VTS- og beredskapstjenester.
Bidra til å redusere omfanget og konsekvenser av hendelser/ ulykker gjennom samhandling med Kystverkets beredskapsorganisasjon.
Ingen uhell eller ulykker skal kunne føres tilbake til feil eller svikt ved trafikksentralene.
Trafikksentralene utfører trafikkovervåking og kontroll av skipstrafikken. Trafikksentraltjenesten (Vessel Traffic Services – VTS) har som formål å bedre sjøsikkerheten og beskytte det marine miljøet. Tjenesten skal samvirke med fartøy og respondere på trafikksituasjoner som kan utvikle seg til uønskede hendelser.
VTS-tjenesten bygger på informasjon fra radar, AIS-nettet, fartøysrapportering (SafeSeaNet), VHF-kommunikasjon, kamera og meteorologiske stasjoner. I samsvar med internasjonale tilrådinger deles VTS-tjenesten inn i kategoriene:
informasjonstjenester
navigasjonsveiledning
trafikkregulering
Kystverket driver fem trafikksentraler. For trafikksentralene i Horten, Brevik, Kvitsøy og Fedje er kravet at driften skal være selvfinansierende. Driften av Vardø VTS dekkes over etatsbudsjettet fordi den i hovedsak overvåker passerende trafikk utenfor norsk territorialfarvann, hvor det ikke er adgang til å pålegge skipsfarten gebyr. Kostnadene skal holdes så lave om mulig, samtidig som kravet til sikker seilas og et forsvarlig nivå på tjenestene ved trafikksentralene skal ivaretas.
Resultat 2007–2008
Vardø trafikksentral ble satt i ordinær drift 1. januar 2007. Evaluering av system og operative oppgaver det første året viste et behov for justeringer og datakoordinering for å oppnå en optimal utnyttelse av trafikksentralen. Erfaringene fra arbeidet vil benyttes i forbindelse med framtidig fornying av eksisterende trafikksentraler.
I 2007 besluttet IMO å etablere fem nye internasjonale ansvarsområder for koordinering og utsending av navigasjonsvarsel (NAVAREA) i nordområdene. Norge ved Fiskeri- og kystdepartementet og Kystverket er tildelt oppgaven å være områdekoordinator for det nye NAVAREA XIX. Oppgaven vil bli ivaretatt ved trafikksentralen i Vardø, som er samlokalisert med Vardø kystradio. Kystverket har sammen med Telenor Maritime Radio satt i gang forberedelser til å ta på seg oppgaven som NAVAREA-koordinator fra 2009. Russland og Canada er også involvert i dette arbeidet.
Driften av de selvfinansierende trafikksentralene hadde et overskudd på 4,6 mill. kroner i 2007, mot et overskudd på 6,2 mill. kroner i 2006. Tjenesten har et akkumulert underskudd fra tidligere år, som med overskuddet fra 2007 er redusert til 0,904 mill. kroner. Arbeidet med å bringe tjenesten i økonomisk balanse fortsetter i 2008. Rekruttering av trafikkledere er en utfordring i dagens arbeidsmarked, og fører til økte lønnskostnader på grunn av mer bruk av overtid. Kystverket vil gjennomgå bemanningsbehovet på trafikksentralene i 2008. Trafikken og gebyrgrunnlaget økte fra 2006 til 2007.
De fire trafikksentralene i Sør-Norge gjorde til sammen gjennomsnittlig 328 inngrep per måned for å avklare trafikksituasjonen eller korrigere kurs og/eller fart på fartøy. I 2007 var det seks ulykker innenfor trafikksentralenes virkeområde, men ingen av disse kan føres tilbake til svikt i trafikksentraltjenesten.
Resultatindikatorer 2008–2009
Antall inngrep fra trafikksentralene for å avklare trafikksituasjoner eller korrigere kurs og/eller hastighet på fartøy.
Antall skipsulykker i VTS-området.
Antall skipsulykker i VTS-området som skyldes enten svikt i VTS-tjenesten, eller manglende håndhevelse av regelverket.
Antall rapporterte avvik/brudd på gjeldende seilingsregler og lospliktbestemmelser.
Antall døgn VTS-området er overvåket.
Beredskap mot akutt forurensing
Mål og prioriteringer
Akseptabel nasjonal beredskap mot akutt forurensning i forhold til risiko for miljøskade som følge av slik forurensning.
Velfungerende beredskapsorganisasjon, med nødvendig utstyr og kompetanse i alle ledd, for å redusere akutt forurensning på sjø og land og ivareta statens aksjonsansvar.
Kompetent tilsynsmyndighet for å redusere miljørisiko som følge av akutt forurensning fra kilder på sjø og land.
Utvikle og gjøre bruk av nasjonale og internasjonale avtaler om gjensidig bistand og samarbeid ved akutt forurensning.
Bedre utnyttelsen og samordninga av private, kommunale og statlige ressurser innen den nasjonale beredskapen mot akutt forurensning.
Realisere mulige koordineringsgevinster med tanke på lokalisering av depot.
Ha tilstrekkelig slepeberedskap og nødhavner langs hele norskekysten.
Kystverket har ansvaret for drift og utvikling av den statlige beredskapen mot akutt forurensning, og fører tilsyn med tiltak og aksjoner i regi av private virksomheter og kommuner når akutt forurensning har skjedd. Det omfatter følgende:
Ha en vakt- og beredskapsorganisasjon som utnytter Kystverkets samlede kapasitet og kompetanse, og som samarbeider med eksterne aktører i beredskapen mot sjøulykker og akutt forurensning.
Gjennomføre opplæringstiltak og realistiske øvelser for å være best mulig rustet til å håndtere aksjoner.
Ha tilgjenglig egnet utstyr med en geografisk formålstjenlig spredning for å sikre kort responstid og redusere skadevirkninger ved akutt forurensning.
Ha miljøfaglig kompetanse.
Det skal arbeides videre med oppfølging av St.meld. nr. 14 (2004–2005) På den sikre siden – sjøsikkerhet og oljevernberedskap og St.meld. nr. 8 (2005–2006) Helhetlig forvaltning av det marine miljø i Barentshavet og havområder utenfor Lofoten. Innsatsen blir konsentrert om følgende hovedområder:
Anskaffe oljevernutstyr for håndtering av akutt forurensning.
Følge opp rapporten om status for tidligere undersøkte vrak langs norskekysten.
Følge opp tiltak i forbindelse med vraket av den tyske ubåten U-864.
Videreføre og utvikle den operative beredskapen ved å øke innsatsen på kompetanseheving i egen og samarbeidende beredskapsorganisasjoner.
Budsjettet for beredskap mot akutt forurensing ble styrket med 25 mill. kroner i 2008. For 2009 foreslås det å øke bevilgninga ytterligere med 88 mill. kroner. Med dette vil Kystverkets anbefalte utskiftingsplan følges opp innen 2010. Videre fremmes det forslag om å leie inn et nytt slepefartøy over Fiskeri- og kystdepartementets budsjett med ei ramme på 74 mill. kroner. Slepefartøyet skal gå inn i den statlige slepebåtberedskapen i Nord-Norge. Dette fartøyet skal erstatte ett av Kystvaktas fartøy. Fra 2010 legges det opp til en styrking av slepeberedskapen i Nord-Norge til tre helårs slepefartøy over Fiskeri- og kystdepartementets budsjett. Kystverket vil imidlertid bli bedt om å utrede alternative løsninger med tilsvarende beredskapsnivå.
Resultat 2007–2008
I 2007 mottok beredskapstelefonen til Kystverket 1 311 meldinger om fare for akutt forurensning. Det er en økning på 122 tilfeller fra året før.
Det er i perioden gjennomført følgende tiltak for å videreutvikle den statlige beredskapen med hensyn på miljørisiko:
Startet oppfølgingsarbeidet med statusrapporten for oljevernutstyr.
Det er utført en vurdering av nødhavner langs kysten av Rogaland, Hordaland og Sogn og Fjordane ut fra miljø og nautiske hensyn. Arbeidet blir videreført for resten av norskekysten i 2008. Det er utarbeidet en rettledning for å velge ut nødhavner basert blant annet på miljørisiko og nautiske vurderinger.
Det er i 2007 gjennomført en omfattende revisjon og videreutvikling av Kystverkets beredskapsplanverk. Det reviderte planverket legger opp til at ressursene til trafikksentralene og lostjenesten skal brukes mer aktivt i oljevernberedskapen. I 2008 vil det legges vekt på å øke tilgjengligheten til planverket med tilhørende hjelpedokumenter.
Kurs- og øvingsaktivitetene ble redusert i 2007 på grunn av oljevernaksjonen etter forliset av Server 12. januar 2007. Det er gjennomført 27 kurs- og øvingsaktiviteter på nasjonalt plan. To var større samordningsøvelser med andre beredskapsparter. I tillegg er det gjennomført en nordisk regionøvelse med samarbeidsparter under København-avtalen, og en øvelse med Russland under JPG-avtalen. For 2008 er det planlagt en vesentlig økning i kurs- og øvingsaktiviteter sammenlignet med 2007.
Kystverket samarbeider nært med Forsvaret for å kunne reagere raskere når akutt forurensning truer eller har inntruffet. Kystvakta er inne i et større fornyingsprogram for sine fartøy og Kystverket finansierer oljevernutstyr til de nye kystvaktfartøyene både i indre og ytre Kystvakt. I tillegg kommer oljevernutstyr for håndtering av akutt forurensning og nødlossepakker plassert på depot.
I Kystverkets rapport om vrak og tilstand som ble overlevert Fiskeri- og kystdepartementet i september 2006 er det foreslått tiltak for fem vrak. Av disse er det iverksatt tiltak knyttet til ”Nordvard” i Mossesundet og ”Welheim” ved Florø.
Under andre verdenskrig ble en tysk ubåt, U-864, senket utenfor Fedje i Hordaland. Ubåten var lastet med bl.a. kvikksølv da den ble torpedert. Det representerer en betydelig fare for miljøet fordi kvikksølv blir akkumulert i næringskjeden. I 2006 ble det gjennomført en kartlegging av havbunnen og av vrakrester. Et hevings- og et tildekkingsalternativ ble utredet som mulige tiltak for å redusere forurensningsfaren. Kystverket anbefalte tildekkingsalternativet ut fra en samlet vurdering av alternativene og risikoen ved disse. I den påfølgende håndteringa av saken har Fiskeri- og kystdepartementet bedt om at hevingsalternativet skal utredes nærmere før det blir tatt endelig stilling til valg av tiltak. Utredning av flere hevingsalternativ ble gjennomført i 2007 og 2008. Kystverket vil overlevere anbefaling om tiltak til Fiskeri- og kystdepartementet høsten 2008. Regjeringa vil komme tilbake til saken på egnet måte.
Arbeidet med informasjon om vrakene i Skagerrak og varslingsprosedyre for fiskere i tråd med ny rettledning i regi av OSPAR (Oslo-Paris-konvensjonen) ble sluttført i 2007. Kystverket har nå utarbeidet og distribuert ei veiledning til norske fiskere ved funn av kjemiske stridsmidler i disse områdene. Brosjyren inneholder veiledning om varsling, strakstiltak og hvilket utstyr som bør finnes om bord. I tillegg er det utarbeidet en tiltaksliste som fiskerne kan bruke om bord.
Det er på grunnlag av etablerte rutiner gjennomført erfaringsutveksling med russiske samarbeidspartnere i Murmansk. Det er iverksatt tiltak for å styrke den forebyggende og skadereduserende beredskapen i nordområdene. Det er bl.a. gjennomført oljevernkurs i Murmansk. Norsk industri og SINTEF har tatt initiativ til å etablere et laboratorium i Murmansk for å forbedre kunnskapen om russiske råoljer.
I 2007 ble det gjennomført en omfattende oljevernaksjon etter MS Servers forlis ved Fedje 12. januar 2007. Strandsaneringsaksjonen ble avsluttet i midten av juni. Kystverket fikk en tilleggsbevilgning på 225,5 mill. kroner til å dekke kostnadene i forbindelse med aksjonen. Det vil bli krevd regress for statens kostnader ved oljevernaksjonen i samsvar med gjeldende regelverk. Det er fortsatt usikkert hva den samlede kostnaden blir da ikke alle krav fra eksterne aktører er ferdige, men tilleggbevilgninga vil trolig være tilstrekklig. Miljøundersøkelser som Kystverket har fått gjennomført under og etter Servers forlis viser moderate konsekvenser for naturmiljøet.
Resultatindikatorer 2008–2009
Antall påbegynte og gjennomførte aksjoner mot akutt forurensning.
Antall avsluttede aksjoner mot akutt forurensning.
Antall gjennomførte kurs og øvelser for å videreutvikle kompetansen i den operative beredskapen.
Antall meldinger til beredskapsvakten.
Kystverket rederi
Kystverket rederi disponerer fartøy som er særlig tilpasset arbeid med navigasjonsinnretninger, annet lettere byggearbeid i sjø og aksjoner ved akutt forurensning av olje. Fartøyene har en høy gjennomsnittsalder og krever derfor mye vedlikehold og er heller ikke så miljøvennlige i drift som ønskelig. Kystverket har utarbeidet en fornyelsesplan for rederiflåten som er oversendt Fiskeri- og kystdepartementet. Som en start på oppfølginga av flåtefornyelsesplanen, har departementet gitt Kystverket adgang til å starte anskaffelsesprosessen med et nytt hjelpefartøy innefor gjeldende budsjettramme.
Tabell 7.9 Sammenligning av planrammen i Nasjonal transportplan 2006–2015 (NTP) og forslag til budsjett 2009 (alle tall i mill. 2009-kroner)
Kystverkets handlingsprogram 2006-20151 | Saldert budsjett 2008 | Budsjett- forslag 2009 | |
|---|---|---|---|
Maritim infrastruktur | |||
Fiskerihavner og farleier | 256,1 | 307,2 | 350,0 |
Tilskudd fiskerihavner | 28,1 | 31,4 | 30,8 |
Navigasjonsinstallasjoner | 286,4 | 287,7 | 287,0 |
Navigasjons- og meldingssystem | 4,8 | 4,7 | 4,7 |
Statens beredskap mot akutt forurensning/slepefartøy | 132,9 | 140,8 | 300,1 |
Maritime tjenester | |||
Los | 452,6 | 495,7 | 495,6 |
VTS (trafikksentraler) | 72,7 | 77,2 | 77,2 |
Transportplanlegging, kystforvaltning og administrasjon | 104,0 | 121,9 | 121,9 |
Sum | 1 337,6 | 1 466,6 | 1 667,3 |
Brukerfinansiert | 592,1 | 646,3 | 652,7 |
Statlig finansiert | 745,5 | 820,3 | 1014,6 |
1 For nærmere omtale av transportetatens handlingsprogram vises det til St.prp. nr. 1 (2005-2006) for Samferdselsdepartementet.
Tabell 7.10 Bevilgninger på Kystverkets poster fordelt på virksomhetsområde (alle tall i 1000 2009-kroner)
Virksomhetsområde/poster1 | Post 01 | Post 21 | Post 30 | Post 45 | Post 60 | Sum |
|---|---|---|---|---|---|---|
Maritim infrastruktur | ||||||
Fiskerihavner og farleier | 350 035 | 30 800 | 380 836 | |||
Navigasjonsinstallasjoner | 229 762 | 48 065 | 9 124 | 286 951 | ||
Navigasjon og meldingstjenester | 2 100 | 2 600 | 4 700 | |||
Maritime tjenester | ||||||
Los | 478 344 | 17 232 | 495 576 | |||
Trafikkovervåking | 75 830 | 1 340 | 77 170 | |||
Kystforvaltning og transportplanlegging | 113 501 | 8 429 | 121 930 | |||
Beredskap mot akutt forurensning | 287 383 | 4 070 | 8 676 | 300 129 | ||
Sum | 1 186 920 | 4 070 | 398 100 | 47 400 | 30 800 | 1 667 290 |
1 Det vil kunne bli foretatt noen mindre justeringer av fordelinga mellom de ikke gebyrfinansierte virksomhetsområdene. Fordelinga mellom poster vil ligge fast, med unntak for fordelingen mellom post 01 og 45 hvor det er knyttet stikkordet ”kan nyttes under post 01/45” til hhv. postene 01 og 45.
NSSR – Redningsselskapet (jf. post 70)
Mål og prioriteringer
Redningsselskapet er en landsdekkende frivillig, humanitær organisasjon. Redningsselskapets primære formål er å redde liv og berge verdier på sjøen og å opprettholde og utføre søks-, rednings- og hjelpetjeneste langs den norske kysten og i tilstøtende havområder. Redningsselskapet driver også opplysende og ulykkesforebyggende virksomhet. Redningsselskapet og Kystverket ønsker å formalisere samarbeidet og drøfter muligheter for å videreutvikle det innenfor definerte områder.
Resultater 2007–2008
De siste ti årene har Redningsselskapets reddet omtrent et og et halvt liv per uke i snitt hvert år, og hatt en vekst i antall assistanser til fartøy i nød med nesten 50 pst.
For 2008 mottar Redningsselskapet et statlig tilskudd på 40 mill. kroner. Gjennom rammetilskuddet vil staten bistå i å opprettholde Redningsselskapets innsats innen den aksjonsrettede redningstjenesten og det ulykkesforebyggende arbeidet innen kystforvaltning. Tilskuddet skal dekke en andel av selskapets driftsutgifter forbundet med søk- og redningsaksjoner og en andel av utgiftene til beredskapen. I tillegg til dette vil Redningsselskapet i 2008 motta om lag 71,5 mill. kroner over Kultur- og kirkedepartementets budsjett som kompensasjon for bortfall av inntekter fra den tidligere spilleautomatvirksomheten i selskapet. Redningsselskapet opplyser at utbetalingen for 2009 er beregnet til om lag 132,5 mill. kroner.
Redningsselskapet reddet 50 mennesker fra drukning i 2007. Av de om lag 6 300 fartøy som Redningsselskapet assisterte i 2007, var ca. 2 770 fritidsbåter, 1 200 fiskefartøy og 385 fartøy i nyttetrafikk. Øvrige assisterte fartøy omfatter oppdrag rekvirert fra hovedredningssentralene, ikke-fartøyrelaterte oppdrag og transporttjenester. Behovet for assistanse øker mest blant fritidsfolket, men også bistand til nyttetrafikken hadde en betydelig vekst i 2007. Et utdrag av Redningsselskapets statistikk for 2005, 2006, 2007 og per 30. august 2008 framgår av tabell 10.3.
Tabell 7.11 Utdrag fra Redningsselskapets aktivitetsstatistikk
2005 | 2006 | 2007 | Per 31.08.08 | |
|---|---|---|---|---|
Reddede personer | 32 | 43 | 46 | 20 |
Bergede fartøy | 101 | 136 | 144 | 62 |
Assisterte personer | 11 524 | 15 691 | 15 971 | 8 876 |
Assisterte fartøy | 5 864 | 5 595 | 6 275 | 4 607 |
Dykkeroppdrag | 1 472 | 1 377 | 1 400 | 1 043 |
Slep | 1 877 | 2 026 | 2 373 | 1 803 |
Søk | 102 | 110 | 124 | 91 |
Losskyss | 2 166 | 1 753 | 1 941 | 1 290 |
Sjøredningsberedskap
Redningsselskapet har kontinuerlig beredskap med 26 redningsskøyter som er bemannet med fast mannskap og 14 skøyter som er bemannet med frivillige. Redningsskøytene er strategisk stasjonert langs norskekysten og på Mjøsa og Femunden. Stasjoneringen fastsettes etter omfattende høringer hos redningsmyndigheter og brukerorganisasjoner. Nye frivillige sjøredningskorp i Brønnøysund og Alta etableres i 2008.
Redningsselskapet vil utdanne mannskapet slik at det møter nasjonale krav til redningsmenn. Redningsselskapet etablerte derfor i 2007/2008 en sjøredningsskole i Stavern for å utdanne og sertifisere redningsmenn. Kursene for sjøredningsmenn starter høsten 2008 og vil etter hvert tilbys andre, nasjonalt og internasjonalt.
Forbyggende arbeid
Redningsselskapet har mange aktiviteter innen forebyggende arbeid for barn og unge, og ga i 2007 opplæring og informasjon om sjøvett til mer enn 20 000 barn og unge. I 2008 gjennomfører selskapet et nytt program med sommerskoler og ungdomsleire. På ungdomsleirene er målet båtførerbevis for deltakerne. Redningsselskapet er en stor aktør innen båtføreropplæring.
Budsjettforslag 2009
Post 01 Driftsutgifter, kan nyttes under post 45
Posten omfatter drift av navigasjonsinstallasjoner, losing, trafikkovervåkning og kontroll, transportplanlegging, kystforvaltning, drift og utvikling av statens beredskap mot akutt forurensning og Kystverkets administrasjon.
Det foreslås ei økning på 88 mill. kroner knyttet til arbeidet med oljevernberedskap. Det fremmes videre forslag om en økt bevilgning på 74 mill. kroner for å dekke anslåtte kostnader knyttet til innleie av et nytt slepefartøy over Fiskeri- og kystdepartementets budsjett som skal gå inn i den statlige slepebåtberedskapen i Nord-Norge. Sammen med tidligere bevilgning på 31 mill. kroner til innleie av et slepefartøy i vinterhalvåret foreslås det derfor satt av til sammen 105 mill. kroner innenfor bevilgninga til innleie av slepefartøy.
Nye beregninger av påløpte kostnader til NOx-avgift viser at kompensasjonsnivået ligger om lag 3 mill. kroner høyere enn de anslåtte kostnadene. Bevilgninga på posten til kompensasjon for NOx-avgift foreslås derfor satt ned med 3 mill. kroner.
Det fremmes forslag om å bevilge 1 186,920 mill. kroner på posten i 2009.
Post 21 Spesielle driftsutgifter
Posten dekker utgifter til aksjoner og bekjempelse av akutt forurensning. I tilfeller av akutt forurensning kan det raskt være behov for midler til aksjoner som staten setter i gang, eller for garantier for kommuner som setter i gang aksjoner med vesentlige utgifter, og som selv ikke er i stand til å dekke utgiftene før erstatningsbeløpet er innbetalt. Det fremmes eget forslag til romertallsvedtak om at Fiskeri- og kystdepartementet gis fullmakt til å utgiftsføre inntil 15 mill. kroner utover bevilgninga dersom det er nødvendig for å iverksette tiltak uten opphold og før Kongen har gitt sitt samtykke.
Det fremmes forslag om å bevilge 4,07 mill. kroner på posten i 2009.
Post 30 Nyanlegg og større vedlikehold, kan overføres
Denne posten omfatter utbygging av havner, farleier og navigasjonsinstallasjoner.
For å sikre full oppfølging av planramma i Nasjonal transportplan, medregnet etterslepet fra 2006 og 2007, fremmes det forslag om å bevilge 13 mill. kroner til utbygging av fiskerihavner og farleier. I tillegg til dette foreslås det en startbevilgning til utbygginga av Stamsund havn i Vestvågøy kommune på 30 mill. kroner.
Det fremmes derfor forslag om å bevilge 398,1 mill. kroner på posten i 2009.
Det fremmes også forslag til romertallsvedtak om at Fiskeri- og kystdepartementet gis fullmakt til å foreta bestillinger i forbindelse med utbygging av havner og farleier på inntil 287 mill. kroner utover bevilgninga.
Post 45 Større utstyrsanskaffelser og vedlikehold, kan nyttes under post 01
Post 45 omfatter Kystverkets investeringer som overstiger 200 000 kroner.
Det fremmes forslag om å bevilge 47,4 mill. kroner på posten i 2009. Det fremmes også forslag til romertallsvedtak om at Fiskeri- og kystdepartementet gis fullmakt til å foreta bestillinger på inntil 3 mill. kroner utover bevilgninga.
Post 60 Tilskudd til fiskerihavneanlegg, kan overføres
Posten omfatter tilskudd til fiskerihavneanlegg, og går til delfinansiering av kommunale fiskerihavneanlegg etter søknad.
Det fremmes forslag om å bevilge 30,8 mill. kroner på posten i 2009. Det fremmes også forslag om en tilsagnsfullmakt på 20 mill. kroner knyttet til posten, jf. eget forslag til romertallsvedtak.
Post 70 Tilskudd til Redningsselskapet
Det fremmes forslag om å bevilge 41 mill. kroner i tilskudd til Redningsselskapet i 2009.
Dette tilskuddet kommer i tillegg til midler som gis over Kultur- og kirkedepartementets budsjett som kompensasjon for bortfall av inntekter fra den tidligere spilleautomatvirksomheten i selskapet.
Kap. 4062 Kystverket
(i 1 000 kr) | ||||
|---|---|---|---|---|
Post | Betegnelse | Regnskap 2007 | Saldert budsjett 2008 | Forslag 2009 |
01 | Gebyrinntekter | 661 849 | 623 020 | 655 021 |
02 | Andre inntekter | 16 488 | 8 778 | 9 160 |
Sum kap. 4062 | 678 338 | 631 798 | 664 181 |
Post 01 Gebyrinntekter
Posten omfatter losberedskapsgebyr, losgebyr, sikkerhetsgebyr og kystgebyr. Losvirksomheten er 100 pst. gebyrfinansiert. Sikkerhetsgebyret skal dekke driftskostnadene for de gebyrfinansierte trafikksentralenes trafikkovervåking og kontroll.
Det fremmes forslag om å bevilge 655,021 mill. kroner på posten i 2009.
Post 02 Andre inntekter
Posten omfatter refusjoner og inntekter fra eksterne, samt inntekter knyttet til statens beredskap mot akutt forurensning.
Det fremmes forslag om å bevilge 9,16 mill. kroner på posten i 2009.
Kap. 1070 Samfunnet Jan Mayen
(i 1 000 kr) | ||||
|---|---|---|---|---|
Post | Betegnelse | Regnskap 2007 | Saldert budsjett 2008 | Forslag 2009 |
01 | Driftsutgifter | 30 617 | 29 450 | 31 200 |
45 | Større utstyrsanskaffelser og vedlikehold , kan overføres | 708 | 5 000 | |
Sum kap. 1070 | 31 324 | 29 450 | 36 200 |
Innledning
Fiskeri- og kystdepartementet koordinerer driften av og har budsjettansvaret for Samfunnet Jan Mayen. Fiskeri- og kystdepartementet har også ansvaret for driften av Loran-C-systemet. Samfunnet Jan Mayen omfatter all infrastruktur på øya og det personell som driver denne. Samfunnet yter i dag tjenester til Loran-C, Det norske meteorologiske institutt, Telenors kystradio og eventuelle andre som har virksomhet på øya.
Fiskeri- og kystdepartementet og Forsvarsdepartementet har inngått en avtale om drift av Samfunnet Jan Mayen. Avtalen innebærer at Fiskeri- og kystdepartementet kjøper tjenester for driften av Samfunnet Jan Mayen fra Forsvarets logistikkorganisasjon. Det norske meteorologiske institutt og Telenor Nett A/S refunderer Fiskeri- og kystdepartementet for sine deler av felleskostnadene.
Kap. 1070 omfatter driften av Samfunnet på Jan Mayen og alle driftsutgifter for navigasjonssystemer og investeringer knyttet til Loran-C systemet, som er et sivilt radionavigasjonssystem for bruk i Nordvest-Europa.
Prioriteringer
Regjeringa gikk i 2006 inn for å videreføre driften ved de fire norske Loran-C-stasjonene Værlandet (Askvoll kommune i Sogn og Fjordane), Bø i Vesterålen (Nordland), Berlevåg (Finnmark) og Jan Mayen ut 2009, jf. St.prp. nr. 1 (2006-2007) for Fiskeri- og kystdepartementet. Bakgrunnen er en fornyet interesse for dette bakkebaserte navigasjonssystemet i Europa som et støttesystem for satellittbaserte navigasjons-hjelpemidler.
Regjeringa foreslår å videreføre driften av Loran-C. Bakgrunnen for denne tilrådinga er den internasjonale utviklinga omkring Loran-C. Det blir fra flere hold framholdt at det er et økende behov for et internasjonalt omforent alternativ til de satellittbaserte systemene, slik at man kan komme fram til en bedre integrering av de mange ulike navigasjons- og informasjonssystemer som er etablert. Loran oppfattes å være det eneste bakkebaserte tilgjengelige elektroniske navigasjonssystemet som dekker større regioner og som kan tjene som støttesystem til satellittbaserte navigasjonssystemer. De fire norske Loran-stasjonene vil være en avgjørende del av den samlede europeiske infrastrukturen for posisjonering, navigasjon og tidsreferanse. Det vises til nærmere omtale av saken under Programkategori 16.60.
I behandlinga av revidert nasjonalbudsjett for 2007 ble det vedtatt ei bevilgning på 8 mill. kroner til utskifting av strømaggregat på Jan Mayen. Anskaffelsen har blitt forsinket, jf. omtale i St.prp. nr. 59 (2007–2008) Tilleggsbevilgninger og omprioriteringer i statsbudsjettet 2008. Det foreslås å bevilge 5 mill. kroner til å dekke kostnadsøkning til etablering av strømaggregat på Jan Mayen. Kostnadsøkninga skyldes blant annet tekniske krav og stigende priser i entreprenørmarkedet.
Under arbeidet med Regjeringas nordområdestrategi ble det bestemt at det skulle etableres to arbeidsgrupper som skal vurdere norsk tilstedeværelse på Bjørnøya og Hopen og på Jan Mayen.
Fiskeri- og kystdepartementet fikk i oppdrag å lede en tverrdepartemental gruppe som skulle se på hva slags aktivitet det kan være aktuelt og relevant å ha på Jan Mayen, med og uten videre drift av Loran-C. Gruppa skulle videre vurdere hvilke behov som kan bli aktuelle i et noe lengre tidsperspektiv, knyttet til infrastruktur og fornyelse av boligmasse. Bygningsmassen i Samfunnet Jan Mayen er av eldre dato. Statsbygg vurderte i 2002 alternativer for bygningsinvesteringer på Jan Mayen, og pekte på at rehabilitering av eksisterende bygninger er vanskelig å gjennomføre og det er en kostbar løsning. Videre er kjøretøyparken på Jan Mayen av eldre dato, og det er behov for å skifte ut tyngre kjøretøy og utstyr på øya. Det er også avdekket et behov for vedlikehold og oppjustering på Loran-C-stasjonene på fastlandet.
Gruppa avleverte rapport høsten 2007. Gruppa legger til grunn at det vil være nok aktivitet på Jan Mayen i årene framover. Aktiviteten vil være knyttet til driften av Loran C, meteorologiske observasjoner, ulike automatiserte tjenester som drift av en kystradiostasjon og vitenskapelige målinger. I tillegg vil det på sikt være aktuelt med aktiviteter knyttet til en økende sjøtrafikk, forsknings- og mulige petroleumsaktiviteter.
Resultater 2007–2008
De norske Loran-C stasjonene Bø, Jan Mayen, Værlandet og Berlevåg har i hele perioden sendt ut signaler i samsvar med de operative kravene til det tidligere nordvesteuropeiske Loran-C-systemet (Nothwest European Loran C System NELS).
I behandlinga av revidert budsjett 2007, jf. St.prp. nr. 69 (2006–2007), ble det vedtatt ei tilleggsbevilgning på 8 mill. kroner til utskiftning av strømaggregat på Jan Mayen. Arbeidet med å skifte ut strømaggregatene har tatt lengre tid enn først antatt, og kostnadene er vesentlig økt. Bevilgninga på 8 mill. kroner er derfor overført til 2008, og vil også bli søkt overført til 2009.
Budsjettforslag 2009
Post 01 Driftsutgifter
Bevilgninga på posten dekker kostnadene til drift av fellesfunksjonene på Jan Mayen og drift av de fire norske Loran-C-stasjonene. Det fremmes forslag om å bevilge 31,2 mill. på posten i 2009.
Post 45 Større utstyrsanskaffelser og vedlikehold
Bevilgninga på posten dekker kostnader for utstyr til produksjon av ferskvann, ingeniørmateriell og vedlikeholdsmidler på Jan Mayen og brannvernutbedring på stasjon Bø. Det fremmes forslag om å bevilge 5 mill. på posten i 2009 for å dekke anslåtte merkostnader knyttet til utskifting av strømaggregater på Jan Mayen.
Kap. 4070 Samfunnet Jan Mayen
(i 1 000 kr) | ||||
|---|---|---|---|---|
Post | Betegnelse | Regnskap 2007 | Saldert budsjett 2008 | Forslag 2009 |
01 | Inntekter fra kioskdrift | 585 | 500 | 520 |
07 | Refusjoner | 2 881 | 3 760 | 3 925 |
Sum kap. 4070 | 3 467 | 4 260 | 4 445 |
Post 01 Inntekter fra kioskdrift
Posten omfatter inntekter fra kioskdrift på Jan Mayen, hvor tilsvarende utgifter bevilges over kap. 1070 post 01. Det fremmes forslag om å bevilge 520 000 kroner på posten i 2009.
Post 07 Refusjoner
Posten omfatter refusjoner fra Det norske meteorologiske institutt og Telenor for deler av felleskostnadene knyttet til Samfunnet Jan Mayen. Det fremmes forslag om å bevilge 3,925 mill. på posten i 2009.
Programområde 33
Programkategori 33.40 Arbeidsliv
Utgifter under programkategori 33.40 fordelt på kapitler
(i 1 000 kr) | |||||
|---|---|---|---|---|---|
Kap. | Betegnelse | Regnskap 2007 | Saldert budsjett 2008 | Forslag 2009 | Pst. endr. 08/09 |
2540 | Stønad under arbeidsledighet til fiskere og fangstmenn | 40 000 | 30 000 | -25,0 | |
Sum kategori 33.40 | 40 000 | 30 000 | -25,0 |
Kap. 2540 Stønad under arbeidsledighet til fiskere og fangstmenn administreres for Fiskeri- og kystdepartementet av Garantikassen for fiskere.
Rett til a-trygd for fiskere gjelder i en rekke tilfeller når fartøy blir satt ut av drift blant annet som følge av sykdom, havari og ishindringer, ved stopp i fisket grunnet reguleringer, sesongavslutning eller leveringsvansker. Ordninga omfatter alle fiskere som står oppført i fiskarmantallets blad B eller som fyller betingelsene for opptak, og som har vært sysselsatt ombord i fartøy innført i merkeregisteret for norske fiskefartøyer på seks meter lengste lengde og over. Ordninga omfatter også fiskere som er blitt oppsagt og som dermed står uten fartøytilknytning.
Utviklinga i utbetalinger av a-trygd har blant annet sammenheng med utviklinga i den totale ledigheten i landet. Dagpengesatsen var i 2008 360 kroner per dag.
A-trygdordninga blir i sin helhet finansiert innenfor det beløp som fiskere betaler i produktavgift ved førstehåndsomsetning av fisk og fiskevarer.
Kap. 2540 Stønad under arbeidsledighet til fiskere og fangstmenn
(i 1 000 kr) | ||||
|---|---|---|---|---|
Post | Betegnelse | Regnskap 2007 | Saldert budsjett 2008 | Forslag 2009 |
70 | Tilskudd , overslagsbevilgning | 40 000 | 30 000 | |
Sum kap. 2540 | 40 000 | 30 000 |
Post 70 Tilskudd, overslagsbevilgning
Basert på prognoser for forbruk og antatt behov foreslås det å redusere kap. 2540 post 70 med 10 mill. kroner i 2009. Det fremmes forslag om å bevilge 30 mill. kroner til a-trygd for fiskere og fangstmenn i statsbudsjettet for 2009.