9 Finansielle indikatorer
Omtalen av den økonomiske situasjonen i kommunene og fylkeskommunene er basert på ureviderte KOSTRA-tall fra 2005, publisert av Statistisk sentralbyrå (SSB) 15. mars 2005. Regnskapstallene bygger på rapporter fra i alt 307 kommuner og 18 fylkeskommuner. Følgende indikatorer er benyttet for å beskrive den økonomiske situasjonen:
Netto driftsresultat i prosent av driftsinntektene
Akkumulert regnskapsresultat i prosent av driftsinntektene
Arbeidskapital i prosent av driftsinntektene
Netto lånegjeld i prosent av driftsinntektene
Netto lånegjeld i kroner per innbygger
Netto driftsresultat viser hva kommunene/fylkeskommunen sitter igjen med av løpende inntekter etter at alle løpende utgifter er betalt. I tillegg til inntekter og utgifter knyttet til den ordinære drift, det vil si til administrasjon og tjenestetilbud, inngår også finansinntekter, slik som renteinntekter, mottatt utbytte og eventuelle kursgevinster på finansielle omløpsmidler, og finansutgifter, slik som renteutgifter, avdrag på lån og eventuelle kurstap på finansielle omløpsmidler, i resultatbegrepet. Avskrivninger er derimot holdt utenom. Netto driftsresultat kan benyttes til finansiering av investeringer eller avsettes til senere bruk, og gir dermed en indikasjon på kommunens/fylkeskommunens økonomiske handlefrihet.
Regnskapsmessig mer- eller mindreforbruk er bunnlinjen i kommuneregnskapet og består av årets løpende inntekter og utgifter (netto driftsresultat), samt avsetninger til fond og bruk av tidligere oppsparte midler. Et regnskapsmessig mindreforbruk er de midlene som er til overs etter at netto driftsresultat er disponert i tråd med kommunestyrets budsjettvedtak. Et mindreforbruk innebærer at resultatet ikke er disponert fullt ut. Et regnskapsmessig merforbruk vil si at kommunen/fylkeskommunen har overskredet det vedtatte, balanserte budsjettet. Merforbruket skal dekkes inn i løpet av to år. Akkumulert regnskapsmessig resultat viser differansen mellom uinndekkede merforbruk og udisponerte mindreforbruk. Indikatoren sier således noe om behovet for tilpasninger i driften og hvilke økonomiske utfordringer kommunen står overfor.
Arbeidskapitalen gir uttrykk for kommunenes og fylkeskommunenes likviditet, det vil si deres evne til å betale forpliktelsene etter hvert som de forfaller. Arbeidskapitalen omfatter bankinnskudd, verdipapirer (aksjer, obligasjoner o.l.) og fordringer, fratrukket kortsiktig gjeld, herunder kassakredittlån, sertifikatlån og leverandørgjeld. Utviklingen i arbeidskapital er skapt av frigjorte midler som ikke har blitt brukt til investeringer. Fra 2002 ble det vedtatt nye regler for regnskapsmessig håndtering av pensjonskostnader i kommunesektoren. Avviket mellom betalt pensjonspremie og beregnet netto pensjonskostnad (premieavviket) vil fra og med regnskapsåret 2002 avsettes som en kortsiktig fordring eller kortsiktig gjeld i balanseoppstillingen, noe som medfører at nøkkeltall for arbeidskapital ikke er direkte sammenlignbare med årene fram til 2002.
Netto lånegjeld gir uttrykk for hvor mye av kommunens/fylkeskommunens langsiktige gjeld som skal betjenes av kommunens ordinære driftsinntekter. Netto lånegjeld er definert som langsiktig gjeld fratrukket formidlingslån, utlån av egne midler og ubrukte lånemidler. Kommunens/fylkeskommunens pensjonsforpliktelser er holdt utenom. I likhet med nivået på arbeidskapitalen er netto lånegjeld et resultat av den økonomiske utviklingen i kommunen/fylkeskommunen gjennom flere år. Utviklingen i langsiktig gjeld bestemmes av forholdet mellom nye låneopptak som kommunen/fylkeskommunen tar opp til egne investeringer og avdrag på tidligere opptatte lån. Sammen med arbeidskapitalen uttrykker langsiktig lånegjeld kommunenes/fylkeskommunenes finansielle handlefrihet.
9.1 Fylkeskommunene
De publiserte regnskapstallene viser et betydelig bedre netto driftsresultat i 2004 enn i 2003. Dette gir seg også utslag i et redusert akkumulert merforbruk. Likviditeten målt ved arbeidskapitalen er noe bedre enn for ett år siden, mens gjeldsbelastningen er høyere.
1.1 Netto driftsresultat og akkumulert mer-/mindreforbruk
Netto driftsresultat for fylkeskommunene utenom Oslo i 2004 utgjør 4,3 prosent av driftsinntektene, eller 1 448 millioner kroner. Dette er det største driftsoverskuddet for fylkeskommunene i løpet av de siste ti år, og er en kraftig forbedring fra de foregående årene.

Figur 9.1 Utvikling i netto driftsresultat for fylkeskommunene utenom Oslo

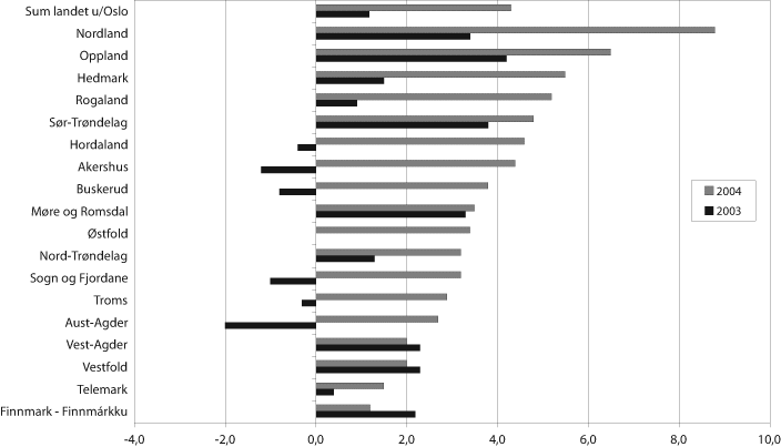
Figur 9.2 Netto driftsresultat i prosent av driftsinntektene for alle fylkeskommunene, 2003 og 2004
Samtlige fylkeskommuner har et positivt netto driftsresultat i 2004. Tolv fylkeskommuner har et netto driftsresultat i størrelsesorden tre prosent eller bedre, som anses som nødvendig for å oppnå en sunn økonomistyring på sikt. Finnmark har det svakeste resultatet på 1,2 prosent, mens Nordland har et driftsoverskudd på 8,8 prosent.
Som følge av de bedrede netto driftsresultat har enkelte fylkeskommuner med akkumulert merforbruk også vært i stand til å dekke inn hele eller deler av disse. Dersom de ureviderte tallene viser seg å være korrekte, vil antallet fylkeskommuner i Registeret for betinget godkjenning og kontroll (ROBEK) reduseres innen utgangen av juni, når fylkestingene har vedtatt regnskapet. Det er per 1. mai 2005 fire fylkeskommuner i ROBEK.
1.2 Arbeidskapital og netto lånegjeld
Samlet arbeidskapital i prosent av driftsinntektene for fylkeskommunene utgjør 9,8 prosent ved utgangen av 2004, en økning på 0,9 prosentpoeng fra året før og på nivå med tallene for 2002. Møre og Romsdal, Sogn og Fjordane og Finnmark har høyest arbeidskapital per 31. desember 2004. I Akershus og Nord-Trøndelag er arbeidskapitalen negativ, det vil si at kortsiktig gjeld er større enn omløpsmidlene.
Fylkeskommunenes gjeldsbelastning øker for syvende år på rad. Netto lånegjeld (ekskl. pensjonsforpliktelser) utgjør 26,3 prosent av fylkeskommunens totale driftsinntekter. Akershus og Nord-Trøndelag har negativ netto lånegjeld, det vil si at utlån, formidlingslån og ubrukte lånemidler samlet overstiger den langsiktige gjelden. Den økte lånegjelden for fylkeskommunene samlet, skyldes hovedsakelig investeringer innen videregående skole som følge av store elevkull de kommende årene.
Tabell 9.1 Finansielle nøkkeltall for fylkeskommunene, 2004
Netto driftsresultat (pst.) | Akkumulert regnskapsresultat (pst.) | Arbeidskapital (pst.) | Netto lånegjeld (pst.) | Netto lånegjeld (kr per innbygger) | |
Østfold | 3,4 | 0,9 | 13,3 | 41,8 | 2 783 |
Akershus | 4,4 | 1,0 | -0,6 | -3,1 | -186 |
Hedmark | 5,5 | 0,0 | 16,7 | 36,5 | 3 028 |
Oppland | 6,5 | 0,0 | 10,2 | 15,6 | 1 451 |
Buskerud | 3,8 | -0,2 | -0,6 | 17,0 | 1 155 |
Vestfold | 2,0 | 0,5 | 1,9 | 49,7 | 3 330 |
Telemark | 1,5 | -0,1 | 0,5 | 41,0 | 3 230 |
Aust-Agder | 2,7 | 0,0 | 9,0 | 26,9 | 2 299 |
Vest-Agder | 2,0 | 0,0 | 10,6 | 52,4 | 4 316 |
Rogaland | 5,2 | 2,6 | 5,5 | 39,7 | 2 851 |
Hordaland | 4,6 | -1,0 | 7,6 | 45,8 | 3 408 |
Sogn og Fjordane | 3,2 | 0,0 | 38,7 | 42,5 | 5 280 |
Møre og Romsdal | 3,5 | 1,6 | 28,5 | 23,9 | 2 095 |
Sør-Trøndelag | 4,8 | 0,9 | 0,7 | 68,2 | 5 272 |
Nord-Trøndelag | 3,2 | 3,2 | -2,8 | -110,0 | -11 899 |
Nordland | 8,8 | 1,3 | 12,9 | 3,1 | 392 |
Troms | 2,9 | 0,0 | 14,4 | 35,6 | 4 276 |
Finnmark | 1,2 | 0,2 | 24,2 | 50,3 | 7 183 |
Landet utenom Oslo | 4,3 | 0,7 | 9,8 | 26,3 | 2 173 |
9.2 Kommunene
Ureviderte KOSTRA-tall for 2003, basert på regnskap fra 307 kommuner som omfatter om lag 85 prosent av befolkningen, tyder på at den økonomiske sitasjonen har bedret seg betydelig også for kommunene. Netto driftsresultat er på 2,2 prosent, sammenlignet med 0,7 prosent i 2003. Store deler av kommunenes akkumulerte merforbruk er dekket inn. Likviditeten er noe bedre enn for ett år siden, mens gjeldsbelastningen holder seg på omtrent samme nivå.
I den videre presentasjonen av de finansielle nøkkeltallene er kommunene gruppert etter størrelse og inntektsnivå. For nærmere informasjon om kommunegruppene vises det til vedlegg 10.
2.1 Netto driftsresultat og akkumulert mer-/mindreforbruk
Netto driftsresultat på landsbasis har gått opp fra 0,7 prosent i 2003 til 2,2 prosent i 2004. Driftsresultatet ligger dermed på omtrent samme nivå som fra slutten av 1990-tallet og fram til 2001, jf. figur 9.3. På lengre sikt anses et netto driftsresultat i størrelsesorden tre prosent eller over som nødvendig for sunn økonomistyring.

Figur 9.3 Utviklingen i netto driftsresultat for kommunene
Små kommuner med høye inntekter samt de aller rikeste kommunene har relativt høye netto driftsresultater, jf. tabell 9.2. Sistnevnte gruppe har med 6,4 prosent et netto driftsresultat langt over gjennomsnittet. For øvrig er det små variasjoner mellom de ulike gruppene på denne indikatoren. På landsbasis har 69 av de totalt 307 kommunene som har rapportert, et negativt netto driftsresultat i 2004.
Samlet akkumulert mer-/mindreforbruk har blitt redusert fra -1,6 prosent ved utgangen av 2003, til -0,4 prosent per 31. desember 2004. Det akkumulerte merforbruket forventes imidlertid å øke noe når tall for samtlige kommuner, deriblant Bergen, foreligger. Det er i første rekke de større kommunene som har akkumulerte merforbruk. Disse utgjør en stor del av kommunesektorens totale omfang og har dermed også stor innvirkning på gjennomsnittet.
2.2 Arbeidskapital og netto lånegjeld
Arbeidskapitalen har økt med 0,3 prosentpoeng til 23,7 prosent av driftsinntektene ved utgangen av 2004. Blant små og mellomstore kommuner har kommuner med lave og middels inntekter bedre likviditet enn kommuner med høye inntekter. Større kommuner ligger over landsgjennomsnittet.
Kommunenes gjeldsbelastning, målt ved netto lånegjeld eksklusive pensjonsforpliktelser, har økt både sett i forhold til kommunenes driftsinntekter og innbyggertallet. Netto lånegjeld utgjør nå 53,7 prosent av inntektene, en økning på ett prosentpoeng fra 2003.
Tabell 9.2 indikerer at små kommuner stort sett har en noe lavere netto lånegjeld enn mellomstore kommuner med et tilsvarende inntektsnivå. Samtidig ser det ut til at kommunene med lavest frie inntekter har en høyere gjeldsbelastning enn kommuner av tilsvarende størrelse, men med høyere frie inntekter.
Tabell 9.2 Finansielle nøkkeltall gruppert etter kommunestørrelse og inntektsnivå, 2004
Tabell 9.2
Netto driftsresultat (pst.) | Akkumulert regnskapsresultat (pst.) | Arbeidskapital (pst.) | Netto lånegjeld (pst.) | |
|---|---|---|---|---|
Små kommuner med lave inntekter | 1,8 | 1,2 | 22,9 | 57,0 |
Små kommuner med middels inntekter | 1,9 | 0,4 | 25,8 | 54,3 |
Små kommuner med høye inntekter | 3,4 | 0,3 | 18,4 | 51,8 |
Mellomstore kommuner med lave inntekter | 2,1 | 0,0 | 24,2 | 58,7 |
Mellomstore kommuner med middels inntekter | 1,9 | -0,6 | 20,9 | 60,6 |
Mellomstore kommuner med høye inntekter | 2,0 | 0,4 | 14,5 | 50,8 |
Kommuner med innbyggertall over 20 000 (eksklusive storbyene) | 1,9 | -0,9 | 25,6 | 56,2 |
Trondheim og Stavanger Bergen kommune har ikke rapportert ureviderte regnskapstall for 2004. | 3,8 | -0,3 | 24,2 | 17,6 |
De ti kommunene med høyest inntekt | 6,4 | 2,2 | 75,8 | 9,2 |
Landet utenom Oslo | 2,2 | -0,4 | 23,7 | 53,7 |
Tabell 9.3 Fylkesvise gjennomsnitt for finasielle nøkkeltall for kommuner, 2004
Tabell 9.3
Netto driftsresultat (pst.) | Akkumulert regnskapsresultat (pst.) | Arbeidskapital (pst.) | Netto lånegjeld (pst.) | Netto lånegjeld (kr per innbygger) | |
Østfold | 0,6 | -3,5 | 13,7 | 60,3 | 23 800 |
Akershus | 3,1 | 0,1 | 29,9 | 74,9 | 29 219 |
Oslo | 1,1 | -0,4 | 5,0 | -42,7 | -22 012 |
Hedmark | 3,2 | 0,0 | 19,1 | 43,8 | 18 586 |
Oppland | 2,7 | 0,7 | 25,0 | 49,3 | 21 044 |
Buskerud | 1,5 | -0,9 | 10,6 | 21,4 | 8 469 |
Vestfold | 1,4 | -1,1 | 59,6 | 49,9 | 19 472 |
Telemark | 0,7 | -0,9 | 25,3 | 55,2 | 24 251 |
Aust-Agder | 3,1 | 3,5 | 26,4 | 63,6 | 27 885 |
Vest-Agder | 0,4 | -0,4 | 34,2 | 66,7 | 28 128 |
Rogaland | 2,1 | -0,2 | 9,2 | 10,9 | 4 309 |
Hordaland | 1,6 | -0,8 | 26,8 | 58,1 | 24 126 |
Sogn og Fjordane | 3,0 | 1,5 | 29,6 | 86,3 | 41 383 |
Møre og Romsdal | 2,2 | -0,8 | 25,4 | 64,1 | 27 031 |
Sør-Trøndelag | 3,9 | -0,2 | 37,4 | 31,8 | 13 323 |
Nord-Trøndelag | 1,8 | 0,2 | 8,9 | 80,1 | 35 235 |
Nordland | 1,7 | -0,2 | 14,9 | 68,8 | 30 714 |
Troms | 1,9 | -0,7 | 4,8 | 86,9 | 39 522 |
Finnmark | 3,9 | -0,1 | 11,6 | 74,4 | 41 114 |
Landet utenom Oslo | 2,2 | -0,4 | 23,7 | 53,7 | 22 330 |
Tabell 9.4 Finansielle nøkkeltall for hver enkelt kommune, 2004
Tabell 9.4
Kommune | Netto driftsresultat (pst.) | Akkumulert regnskaps resultat (pst.) | Arbeids kapital (pst.) | Netto lånegjeld (pst.) | Netto lånegjeld (kr per innbygger) |
|---|---|---|---|---|---|
0101 Halden | 3,0 | -1,4 | 6,6 | 48,0 | 18 700 |
0104 Moss | -0,5 | -7,2 | 1,8 | 6,0 | 2 433 |
0105 Sarpsborg | 2,0 | 1,4 | 7,1 | 50,4 | 19 687 |
0106 Fredrikstad | -1,8 | -7,4 | 21,4 | 89,7 | 35 499 |
0111 Hvaler | 4,9 | ||||
0118 Aremark | -5,2 | 0,0 | 27,2 | 35,7 | 17 627 |
0119 Marker | |||||
0121 Rømskog | 4,1 | 5,0 | 39,5 | 27,7 | 15 156 |
0122 Trøgstad | 8,4 | 1,3 | 38,9 | 52,3 | 21 559 |
0123 Spydeberg | 4,0 | 1,0 | 20,5 | 45,2 | 19 600 |
0124 Askim | 2,1 | -7,7 | 3,2 | 64,6 | 25 634 |
0125 Eidsberg | 0,6 | 0,1 | 20,4 | 80,5 | 31 849 |
0127 Skiptvet | 1,6 | ||||
0128 Rakkestad | 2,4 | 1,9 | 9,6 | 69,1 | 28 854 |
0135 Råde | 1,2 | -6,2 | 27,0 | 58,9 | 21 283 |
0136 Rygge | -2,8 | -3,3 | 17,1 | 70,4 | 25 303 |
0137 Våler | 0,2 | 0,0 | 28,0 | 59,9 | 23 285 |
0138 Hobøl | -0,6 | -4,3 | 21,1 | 70,8 | 28 067 |
Østfold | 0,6 | -3,5 | 13,7 | 60,3 | 23 800 |
0211 Vestby | 2,2 | -2,0 | 34,2 | 61,7 | 21 044 |
0213 Ski | 1,1 | 0,1 | 14,9 | 72,0 | 26 690 |
0214 Ås | 0,2 | -0,2 | 33,4 | 92,9 | 37 210 |
0215 Frogn | 3,5 | 2,7 | 21,3 | 95,1 | 35 019 |
0216 Nesodden | 0,3 | -0,4 | 15,9 | 63,2 | 22 165 |
0217 Oppegård | 3,1 | 0,9 | 18,0 | 60,9 | 24 182 |
0219 Bærum | 5,8 | 0,0 | 47,8 | 63,3 | 28 276 |
0220 Asker | 5,8 | 1,2 | 46,2 | 82,5 | 34 705 |
0221 Aurskog-Høland | 5,2 | 3,0 | 32,1 | 97,7 | 36 453 |
0226 Sørum | -0,1 | 0,1 | 3,1 | -5,0 | -1 718 |
0227 Fet | 2,8 | 1,1 | 8,6 | 128,0 | 43 980 |
0228 Rælingen | 2,0 | 0,4 | 7,3 | 63,3 | 19 749 |
0229 Enebakk | 1,5 | -4,0 | 20,8 | 51,0 | 17 218 |
0230 Lørenskog | 0,6 | -1,9 | 10,1 | 79,3 | 29 842 |
0231 Skedsmo | 1,4 | 0,2 | 22,8 | 68,6 | 25 734 |
0233 Nittedal | 0,6 | -0,8 | 22,9 | 68,9 | 24 496 |
0234 Gjerdrum | 0,1 | -0,6 | 43,2 | 80,6 | 29 140 |
0235 Ullensaker | 1,0 | 0,1 | 18,9 | 115,4 | 42 927 |
0236 Nes | 0,4 | -1,0 | 15,8 | 83,7 | 30 232 |
0237 Eidsvoll | |||||
0238 Nannestad | 5,1 | 1,7 | 37,1 | 154,2 | 60 200 |
0239 Hurdal | |||||
Akershus | 3,1 | 0,1 | 29,9 | 74,9 | 29 219 |
0301 Oslo | 1,1 | -0,4 | 5,0 | -42,7 | -22 012 |
0402 Kongsvinger | -1,2 | 0,0 | 0,2 | 0,0 | -6 |
0403 Hamar | 2,7 | 0,8 | 15,1 | 55,5 | 22 791 |
0412 Ringsaker | 10,3 | 0,0 | 42,4 | 29,2 | 11 247 |
0415 Løten | 3,8 | 0,0 | 11,9 | 53,9 | 20 461 |
0417 Stange | |||||
0418 Nord-Odal | 2,6 | 1,1 | 27,1 | 98,0 | 44 153 |
0419 Sør-Odal | 0,6 | 0,0 | 13,2 | 49,2 | 19 239 |
0420 Eidskog | |||||
0423 Grue | |||||
0425 Åsnes | -3,4 | -5,1 | 19,7 | 43,9 | 19 672 |
0426 Våler | -1,7 | -7,4 | 6,4 | 55,8 | 25 914 |
0427 Elverum | 3,7 | 2,2 | 16,3 | 25,5 | 9 965 |
0428 Trysil | 2,9 | 0,0 | 9,8 | 44,2 | 21 141 |
0429 Åmot | -0,1 | -0,7 | 15,8 | 96,1 | 50 602 |
0430 Stor-Elvdal | 3,6 | 3,1 | 26,4 | 64,3 | 34 422 |
0432 Rendalen | 3,4 | 0,0 | 11,0 | 74,2 | 45 559 |
0434 Engerdal | 6,4 | 0,1 | 38,8 | 28,4 | 18 689 |
0436 Tolga | 1,4 | -0,5 | 12,5 | 61,2 | 33 116 |
0437 Tynset | 1,4 | 0,3 | 13,1 | 71,8 | 35 837 |
0438 Alvdal | 1,2 | 0,7 | 19,3 | 57,2 | 28 427 |
0439 Folldal | -0,4 | -2,4 | 5,1 | 46,0 | 26 383 |
0441 Os | |||||
Hedmark | 3,2 | 0,0 | 19,1 | 43,8 | 18 586 |
0501 Lillehammer | 1,6 | 0,0 | -0,4 | 69,9 | 28 997 |
0502 Gjøvik | 2,7 | -0,2 | 61,0 | 50,0 | 20 032 |
0511 Dovre | 1,0 | 0,0 | 19,7 | 45,9 | 20 762 |
0512 Lesja | 7,3 | 2,0 | 15,6 | 3,0 | 1 691 |
0513 Skjåk | 6,0 | 2,9 | 40,8 | 29,0 | 14 814 |
0514 Lom | 11 059 | ||||
0515 Vågå | 1,4 | 0,1 | 30,3 | 27,8 | 12 603 |
0516 Nord-Fron | 4,5 | 2,7 | 22,8 | 26,6 | 12 282 |
0517 Sel | 0,6 | 0,0 | 20,8 | 34,1 | 15 356 |
0519 Sør-Fron | |||||
0520 Ringebu | 4,2 | 2,0 | 18,4 | 56,5 | 27 193 |
0521 Øyer | -3,7 | -3,9 | 2,7 | 42,1 | 17 559 |
0522 Gausdal | 8,3 | 1,4 | 38,0 | 43,6 | 18 987 |
0528 Østre Toten | 0,4 | 0,0 | 27,1 | 47,9 | 19 440 |
0529 Vestre Toten | -0,6 | 0,0 | 15,0 | 65,4 | 24 904 |
0532 Jevnaker | 4,4 | 0,9 | 21,3 | 69,2 | 27 054 |
0533 Lunner | 3,7 | 1,5 | 23,2 | 46,7 | 17 038 |
0534 Gran | 3,4 | 1,4 | 18,3 | 44,6 | 18 316 |
0536 Søndre Land | |||||
0538 Nordre Land | 5,9 | 5,0 | 36,4 | 60,1 | 27 167 |
0540 Sør-Aurdal | -0,4 | 0,0 | 25,1 | 68,8 | 34 493 |
0541 Etnedal | |||||
0542 Nord-Aurdal | -0,3 | -2,3 | 9,0 | 48,4 | 25 089 |
0543 Vestre Slidre | 4,6 | 1,7 | 21,4 | 18,6 | 10 569 |
0544 Øystre Slidre | 10,2 | 8,0 | 22,1 | 27,7 | 13 938 |
0545 Vang | 8,9 | 4,6 | 30,1 | 3,7 | 2 904 |
Oppland | 2,7 | 0,7 | 25,0 | 49,3 | 21 044 |
0602 Drammen | 4,2 | 1,7 | 5,7 | -15,0 | -5 478 |
0604 Kongsberg | -4,8 | -10,2 | 0,1 | 80,9 | 31 598 |
0605 Ringerike | -1,8 | ||||
0612 Hole | 8,3 | 6,6 | 23,2 | 71,4 | 32 225 |
0615 Flå | 5,7 | ||||
0616 Nes | -0,3 | 0,0 | 12,2 | 18,3 | 9 442 |
0617 Gol | 1,7 | 0,0 | 13,0 | 37,6 | 18 992 |
0618 Hemsedal | 7,5 | 5,7 | 14,7 | 65,5 | 37 885 |
0619 Ål | |||||
0620 Hol | 6,7 | 0,0 | 33,9 | 1,3 | 896 |
0621 Sigdal | 3,6 | 0,5 | 17,8 | 9,2 | 4 175 |
0622 Krødsherad | 7,9 | 6,1 | 22,4 | -0,6 | -263 |
0623 Modum | 2,4 | 0,0 | 23,0 | 18,1 | 7 242 |
0624 Øvre Eiker | 1,4 | 0,5 | 18,2 | 44,1 | 16 090 |
0625 Nedre Eiker | 1,7 | 0,1 | 0,2 | 0,0 | 0 |
0626 Lier | -0,5 | -0,9 | 5,0 | 70,6 | 25 249 |
0627 Røyken | 1,5 | -5,9 | 18,3 | -9,1 | -3 074 |
0628 Hurum | |||||
0631 Flesberg | |||||
0632 Rollag | 22 126 | ||||
0633 Nore og Uvdal | 2,9 | -0,9 | 26,5 | 7,9 | 5 355 |
Buskerud | 1,5 | -0,9 | 10,6 | 21,4 | 8 469 |
0701 Horten | -4,5 | -1,2 | 58,3 | 61,1 | 24 685 |
0702 Holmestrand | -1,2 | -6,0 | 52,0 | 73,9 | 28 969 |
0704 Tønsberg | 2,5 | 0,8 | 49,2 | 65,4 | 26 522 |
0706 Sandefjord | 2,3 | 0,7 | 84,4 | 17,4 | 6 477 |
0709 Larvik | 2,4 | -4,0 | 65,7 | 55,4 | 21 141 |
0711 Svelvik | -1,2 | -8,5 | 37,1 | 61,0 | 22 964 |
0713 Sande | 0,5 | 0,1 | 32,4 | 52,9 | 20 203 |
0714 Hof | 2,9 | 4,6 | 63,8 | 18,0 | 7 649 |
0716 Re | |||||
0719 Andebu | 2,0 | 0,0 | 62,0 | 64,9 | 25 087 |
0720 Stokke | |||||
0722 Nøtterøy | 4,9 | 0,0 | 33,8 | 42,6 | 16 751 |
0723 Tjøme | -0,7 | 0,6 | 76,4 | 61,9 | 25 266 |
0728 Lardal | 5,8 | 2,4 | 76,8 | 43,2 | 18 607 |
Vestfold | 1,4 | -1,1 | 59,6 | 49,9 | 19 472 |
0805 Porsgrunn | 0,9 | 0,0 | 54,1 | 82,5 | 34 024 |
0806 Skien | 0,3 | 0,3 | 27,6 | 55,3 | 21 950 |
0807 Notodden | -5,3 | -13,6 | 6,3 | 38,9 | 16 380 |
0811 Siljan | 3,5 | 2,6 | 32,7 | 47,7 | 19 617 |
0814 Bamble | 3,7 | 2,2 | 39,1 | 69,3 | 28 827 |
0815 Kragerø | 2,4 | -0,1 | 4,7 | 46,6 | 19 175 |
0817 Drangedal | 1,2 | -1,5 | 5,2 | 8,4 | 3 619 |
0819 Nome | 0,9 | 0,0 | 8,1 | 82,1 | 45 287 |
0821 Bø | |||||
0822 Sauherad | 0,0 | -6,5 | -10,4 | 79,8 | 37 823 |
0826 Tinn | 2,1 | 0,0 | 0,2 | 0,0 | 0 |
0827 Hjartdal | |||||
0828 Seljord | -0,2 | 0,0 | 3,4 | 85,1 | 38 912 |
0829 Kviteseid | |||||
0830 Nissedal | -0,4 | 0,4 | 18,3 | 40,2 | 23 869 |
0831 Fyresdal | 4,1 | 0,0 | 21,3 | 19,7 | 12 504 |
0833 Tokke | 1,1 | 0,0 | 25,0 | 5,4 | 3 465 |
0834 Vinje | 1,7 | 1,9 | 9,8 | 17,2 | 12 356 |
Telemark | 0,7 | -0,9 | 25,3 | 55,2 | 24 251 |
0901 Risør | 0,1 | -0,5 | 20,3 | 77,3 | 36 405 |
0904 Grimstad | 2,7 | 0,8 | 27,1 | 45,3 | 17 513 |
0906 Arendal | 4,7 | 0,0 | 19,2 | 87,1 | 35 269 |
0911 Gjerstad | -3,2 | 103,7 | 20,4 | 80,6 | 38 533 |
0912 Vegårshei | 1,9 | 1,9 | 56,9 | 54,4 | 28 048 |
0914 Tvedestrand | -0,3 | 0,5 | 25,9 | 52,9 | 22 275 |
0919 Froland | 0,1 | -2,3 | 8,0 | 59,7 | 23 866 |
0926 Lillesand | 3,8 | ||||
0928 Birkenes | 1,4 | ||||
0929 Åmli | 4,5 | 2,6 | 17,4 | 39,4 | 22 744 |
0935 Iveland | 3,7 | 2,5 | 42,2 | 16,4 | 8 780 |
0937 Evje og Hornnes | 0,3 | 0,6 | 23,2 | 48,9 | 20 472 |
0938 Bygland | |||||
0940 Valle | 7,0 | 2,5 | 41,0 | 31,0 | 30 155 |
0941 Bykle | 7,9 | 0,0 | 114,5 | -38,0 | -63 638 |
Aust-Agder | 3,1 | 3,5 | 26,4 | 63,6 | 27 885 |
1001 Kristiansand | -0,7 | 0,0 | 20,3 | 69,9 | 28 952 |
1002 Mandal | |||||
1003 Farsund | 1,5 | -0,1 | 38,2 | 65,9 | 25 953 |
1004 Flekkefjord | 1,5 | 0,0 | 17,0 | 49,6 | 21 366 |
1014 Vennesla | -1,5 | -2,0 | 16,8 | 70,8 | 26 649 |
1017 Songdalen | 6,5 | 0,0 | 96,5 | 77,2 | 30 939 |
1018 Søgne | 0,1 | -1,2 | 41,6 | 92,9 | 33 337 |
1021 Marnardal | 3,8 | 4,6 | 79,4 | 53,2 | 27 806 |
1026 Åseral | 11,8 | 11,5 | 191,1 | 1,3 | 1 199 |
1027 Audnedal | 10,7 | 1,9 | 253,5 | 57,3 | 31 164 |
1029 Lindesnes | 3,8 | -15,9 | 62,7 | 83,3 | 34 730 |
1032 Lyngdal | -2,7 | -1,3 | 13,5 | 59,9 | 23 863 |
1034 Hægebostad | 6,9 | 5,7 | 61,8 | 22,0 | 12 027 |
1037 Kvinesdal | -1,2 | ||||
1046 Sirdal | 2,5 | 1,4 | 46,1 | 36,3 | 38 571 |
Vest-Agder | 0,4 | -0,4 | 34,2 | 66,7 | 28 128 |
1101 Eigersund | 3,7 | -0,5 | 9,5 | 55,0 | 22 502 |
1102 Sandnes | -1,9 | -2,3 | 5,8 | -36,3 | -12 442 |
1103 Stavanger | 2,5 | -0,7 | -3,6 | 14,9 | 6 075 |
1106 Haugesund | 1,9 | 0,0 | 11,8 | 54,5 | 22 164 |
1111 Sokndal | 9,5 | -3,9 | 12,7 | 6,1 | 2 601 |
1112 Lund | |||||
1114 Bjerkreim | -0,4 | 5,1 | 13,5 | 9,0 | 3 625 |
1119 Hå | 4,3 | 0,1 | 27,5 | -4,3 | -1 727 |
1120 Klepp | 3,3 | 0,8 | 12,1 | 21,7 | 7 587 |
1121 Time | 1,4 | 0,0 | 4,3 | 17,0 | 6 078 |
1122 Gjesdal | 2,6 | 0,4 | 9,5 | 61,1 | 22 869 |
1124 Sola | 1,9 | -1,2 | 30,8 | 23,4 | 8 532 |
1127 Randaberg | 5,9 | 3,0 | 11,1 | 24,8 | 9 655 |
1129 Forsand | 8,6 | 0,7 | 98,6 | 45,6 | 38 357 |
1130 Strand | 2,6 | 1,7 | 6,4 | -235,0 | -86 309 |
1133 Hjelmeland | |||||
1134 Suldal | 6,0 | 3,5 | 35,5 | 6,6 | 4 920 |
1135 Sauda | -2,7 | -0,2 | 18,6 | 40,4 | 20 101 |
1141 Finnøy | 6,6 | 0,2 | 1,4 | 0,0 | 0 |
1142 Rennesøy | -0,8 | 0,0 | 14,2 | 55,4 | 23 416 |
1144 Kvitsøy | 2,1 | -0,4 | 5,0 | 15,7 | 9 193 |
1145 Bokn | -4,9 | -4,6 | 7,5 | 84,8 | 51 567 |
1146 Tysvær | 1,9 | 0,9 | 10,9 | 45,7 | 22 596 |
1149 Karmøy | 3,8 | 1,3 | 22,9 | 23,7 | 8 662 |
1151 Utsira | 4,1 | 3,5 | 44,4 | -10,7 | -9 953 |
1154 Vindafjord | |||||
1159 Ølen | -1,8 | 0,0 | 0,9 | 65,1 | 28 619 |
Rogaland | 2,1 | -0,2 | 9,2 | 10,9 | 4 309 |
1201 Bergen | |||||
1211 Etne | 2,8 | 0,6 | 12,4 | 62,3 | 27 215 |
1216 Sveio | 3,3 | 0,4 | 15,7 | 21,5 | 8 816 |
1219 Bømlo | -0,7 | 0,0 | 0,9 | 52,0 | 19 360 |
1221 Stord | -3,9 | -18,1 | 31,3 | 61,7 | 22 411 |
1222 Fitjar | |||||
1223 Tysnes | 1,3 | 1,2 | 0,8 | 43,2 | 21 847 |
1224 Kvinnherad | 8,9 | 7,2 | 56,7 | 79,7 | 39 306 |
1227 Jondal | |||||
1228 Odda | -5,7 | -2,6 | -0,4 | -3,8 | -2 076 |
1231 Ullensvang | 0,5 | 0,0 | 12,2 | 43,0 | 23 523 |
1232 Eidfjord | 7,5 | 5,3 | 57,0 | -26,1 | -30 180 |
1233 Ulvik | |||||
1234 Granvin | -0,4 | 0,0 | 55,2 | 70,1 | 41 226 |
1235 Voss | -0,4 | -1,2 | 8,9 | 33,4 | 14 699 |
1238 Kvam | -3,9 | 2,5 | 39,6 | 63,4 | 32 282 |
1241 Fusa | 2,4 | 3,1 | 20,3 | 48,7 | 22 102 |
1242 Samnanger | 0,4 | 1,0 | 13,5 | 53,7 | 24 245 |
1243 Os | 3,0 | 2,0 | 68,1 | 155,0 | 52 545 |
1244 Austevoll | |||||
1245 Sund | |||||
1246 Fjell | 6,1 | 0,0 | 30,7 | 39,2 | 12 974 |
1247 Askøy | 2,8 | 0,6 | 23,5 | 68,5 | 24 602 |
1251 Vaksdal | |||||
1252 Modalen | |||||
1253 Osterøy | |||||
1256 Meland | |||||
1259 Øygarden | 8,8 | 0,0 | 4,3 | 53,5 | 35 571 |
1260 Radøy | |||||
1263 Lindås | -0,6 | -3,5 | 24,8 | 49,9 | 21 190 |
1264 Austrheim | |||||
1265 Fedje | |||||
1266 Masfjorden | 39 797 | ||||
Hordaland | 1,6 | -0,8 | 26,8 | 58,1 | 24 126 |
1401 Flora | -1,6 | -0,3 | 5,6 | 96,4 | 42 475 |
1411 Gulen | 3,0 | -6,5 | 5,0 | 40,7 | 23 490 |
1412 Solund | |||||
1413 Hyllestad | |||||
1416 Høyanger | |||||
1417 Vik | |||||
1418 Balestrand | 2,3 | 1,6 | 37,2 | 27,2 | 21 526 |
1419 Leikanger | 14,1 | 8,2 | 107,4 | 98,1 | 45 944 |
1420 Sogndal | 5,6 | 2,5 | 32,3 | 77,4 | 32 680 |
1421 Aurland | 5,2 | -1,5 | 16,3 | 29,8 | 25 228 |
1422 Lærdal | |||||
1424 Årdal | 2,0 | 3,0 | 28,8 | 74,6 | 42 739 |
1426 Luster | 4,3 | 1,9 | 60,1 | 56,9 | 33 198 |
1428 Askvoll | |||||
1429 Fjaler | |||||
1430 Gaular | |||||
1431 Jølster | |||||
1432 Førde | 3,8 | 4,9 | 25,0 | 172,0 | 70 489 |
1433 Naustdal | |||||
1438 Bremanger | -0,7 | 0,0 | 9,4 | 90,2 | 50 071 |
1439 Vågsøy | 6,2 | 1,5 | 13,1 | 88,6 | 38 028 |
1441 Selje | |||||
1443 Eid | 2,1 | 1,3 | 46,5 | 66,1 | 26 625 |
1444 Hornindal | 7,3 | 2,0 | 64,6 | 62,0 | 32 113 |
1445 Gloppen | |||||
1449 Stryn | 1,9 | 0,0 | 44,1 | 71,3 | 30 865 |
Sogn og Fjordane | 3,0 | 1,5 | 29,6 | 86,3 | 41 383 |
1502 Molde | 3,9 | 1,9 | 23,1 | 78,0 | 31 026 |
1503 Kristiansund | 2,3 | 1,0 | 15,9 | 84,3 | 37 394 |
1504 Ålesund | 0,9 | -5,2 | 5,6 | 7,4 | 2 665 |
1511 Vanylven | 2,1 | 1,4 | 7,7 | 53,2 | 23 735 |
1514 Sande | 1,4 | -7,3 | 51,3 | 62,7 | 33 396 |
1515 Herøy | 0,4 | 0,4 | 27,8 | 61,6 | 23 857 |
1516 Ulstein | 6 522 | ||||
1517 Hareid | -2,4 | -9,1 | 4,7 | 198,2 | 80 364 |
1519 Volda | 4,3 | 0,6 | 37,9 | 133,4 | 56 249 |
1520 Ørsta | 0,9 | 0,0 | 31,1 | 88,5 | 37 008 |
1523 Ørskog | 1,7 | 0,9 | 9,4 | 65,9 | 37 974 |
1524 Norddal | -0,3 | 0,1 | 7,9 | 62,1 | 40 173 |
1525 Stranda | 2,0 | 0,6 | 30,4 | 111,9 | 51 543 |
1526 Stordal | 1,8 | 1,0 | 70,6 | 56,8 | 31 709 |
1528 Sykkylven | 0,1 | -7,4 | 14,4 | 87,9 | 32 748 |
1529 Skodje | -2,2 | -3,2 | 48,4 | 87,6 | 36 677 |
1531 Sula | 3,7 | 3,4 | 44,5 | 71,6 | 27 026 |
1532 Giske | 4,3 | 3,4 | 67,7 | 71,6 | 25 388 |
1534 Haram | 10,3 | 0,2 | 85,5 | 103,9 | 43 667 |
1535 Vestnes | 50 615 | ||||
1539 Rauma | 0,7 | -1,1 | 13,6 | 23,3 | 9 792 |
1543 Nesset | |||||
1545 Midsund | -1,8 | -2,4 | 49,9 | 51,7 | 27 206 |
1546 Sandøy | 6,3 | -2,7 | 102,3 | 33,7 | 20 699 |
1547 Aukra | 2,1 | ||||
1548 Fræna | 4,9 | 0,5 | 43,1 | 60,7 | 24 675 |
1551 Eide | 1,1 | -0,3 | 43,0 | 74,4 | 34 583 |
1554 Averøy | -1,0 | 0,0 | 20,3 | 96,4 | 38 838 |
1556 Frei | 2,1 | 0,1 | 12,9 | 40,7 | 14 295 |
1557 Gjemnes | |||||
1560 Tingvoll | 1,1 | 0,1 | 10,4 | 65,2 | 36 753 |
1563 Sunndal | 3,3 | 1,8 | 13,1 | 37,4 | 20 273 |
1566 Surnadal | 3,0 | -0,6 | 16,2 | 47,0 | 21 247 |
1567 Rindal | 1,5 | -0,2 | 0,9 | -2,9 | -1 473 |
1569 Aure | 2,9 | 1,6 | 19,8 | 38,0 | 24 187 |
1571 Halsa | -2,8 | -1,3 | 15,6 | 59,1 | 30 872 |
1572 Tustna | |||||
1573 Smøla | 0,2 | 0,0 | 29,3 | 49,5 | 26 699 |
Møre og Romsdal | 2,2 | -0,8 | 25,4 | 64,1 | 27 031 |
1601 Trondheim | 4,7 | 0,0 | 44,1 | 19,5 | 8 121 |
1612 Hemne | -1,5 | 0,0 | 38,4 | 57,8 | 23 859 |
1613 Snillfjord | -2,6 | 0,0 | 5,8 | 56,2 | 32 823 |
1617 Hitra | |||||
1620 Frøya | 2,9 | 2,5 | 21,1 | 59,6 | 26 527 |
1621 Ørland | |||||
1622 Agdenes | |||||
1624 Rissa | 2,9 | 1,0 | 22,9 | 70,3 | 29 648 |
1627 Bjugn | |||||
1630 Åfjord | |||||
1632 Roan | |||||
1633 Osen | |||||
1634 Oppdal | 5,0 | 0,0 | 19,4 | 59,5 | 26 669 |
1635 Rennebu | -1,1 | -0,3 | 20,9 | 66,8 | 34 089 |
1636 Meldal | -1,0 | 0,0 | 21,6 | 52,9 | 26 849 |
1638 Orkdal | 4,2 | 1,2 | 19,8 | 47,7 | 19 079 |
1640 Røros | |||||
1644 Holtålen | 2,3 | -3,8 | 16,4 | 82,5 | 41 090 |
1648 Midtre Gauldal | |||||
1653 Melhus | 3,2 | ||||
1657 Skaun | |||||
1662 Klæbu | 5,1 | 3,6 | 11,6 | 62,8 | 29 092 |
1663 Malvik | -0,6 | -8,9 | 19,2 | 82,4 | 29 042 |
1664 Selbu | |||||
1665 Tydal | |||||
Sør-Trøndelag | 3,9 | -0,2 | 37,4 | 31,8 | 13 323 |
1702 Steinkjer | |||||
1703 Namsos | 2,0 | 0,0 | 3,4 | 99,0 | 47 777 |
1711 Meråker | 2,6 | 2,1 | 35,5 | 80,7 | 45 885 |
1714 Stjørdal | 1,9 | 0,0 | 9,4 | 79,5 | 30 358 |
1717 Frosta | -0,4 | -1,6 | 3,4 | 71,3 | 31 882 |
1718 Leksvik | |||||
1719 Levanger | |||||
1721 Verdal | 3,9 | 1,0 | 9,3 | 73,9 | 28 678 |
1723 Mosvik | 3,6 | 2,4 | 18,9 | 45,1 | 27 652 |
1724 Verran | -1,5 | -2,8 | 4,1 | 69,0 | 35 259 |
1725 Namdalseid | 1,4 | 0,2 | 9,2 | 85,5 | 45 775 |
1729 Inderøy | 2,8 | 0,6 | 6,0 | 87,5 | 35 464 |
1736 Snåsa | -3,3 | 0,0 | 8,2 | 67,3 | 34 502 |
1738 Lierne | -0,1 | 0,0 | 10,7 | 45,3 | 30 613 |
1739 Røyrvik | |||||
1740 Namsskogan | |||||
1742 Grong | |||||
1743 Høylandet | |||||
1744 Overhalla | |||||
1748 Fosnes | |||||
1749 Flatanger | |||||
1750 Vikna | |||||
1751 Nærøy | |||||
1755 Leka | -4,6 | -3,1 | 8,3 | 70,0 | 44 333 |
Nord-Trøndelag | 1,8 | 0,2 | 8,9 | 80,1 | 35 235 |
1804 Bodø | 2,6 | 0,0 | 17,7 | 80,9 | 31 844 |
1805 Narvik | 0,1 | -0,2 | 10,9 | 59,6 | 26 861 |
1811 Bindal | 4,7 | 2,5 | 10,8 | 59,4 | 38 550 |
1812 Sømna | |||||
1813 Brønnøy | |||||
1815 Vega | |||||
1816 Vevelstad | |||||
1818 Herøy | |||||
1820 Alstahaug | -1,1 | -1,9 | 0,6 | 74,8 | 34 365 |
1822 Leirfjord | 1,1 | 0,0 | 6,4 | 35,6 | 19 157 |
1824 Vefsn | 1,2 | 0,3 | 13,3 | 33,2 | 14 799 |
1825 Grane | 4,1 | 1,3 | 21,1 | 31,6 | 16 848 |
1826 Hattfjelldal | 12,1 | 0,0 | 60,6 | 56,6 | 36 158 |
1827 Dønna | |||||
1828 Nesna | 2,0 | 1,2 | 12,1 | 42,7 | 25 483 |
1832 Hemnes | 18 885 | ||||
1833 Rana | 0,1 | -0,8 | 21,9 | 56,5 | 23 586 |
1834 Lurøy | |||||
1835 Træna | |||||
1836 Rødøy | |||||
1837 Meløy | 4,1 | 1,0 | 12,2 | 58,4 | 31 355 |
1838 Gildeskål | 3,8 | 0,4 | 4,1 | 55,6 | 38 890 |
1839 Beiarn | 5,9 | 0,0 | 55,0 | 56,4 | 36 517 |
1840 Saltdal | 1,3 | -2,3 | 5,6 | 43,2 | 26 534 |
1841 Fauske | |||||
1842 Skjerstad | |||||
1845 Sørfold | |||||
1848 Steigen | |||||
1849 Hamarøy | |||||
1850 Tysfjord | |||||
1851 Lødingen | |||||
1852 Tjeldsund | |||||
1853 Evenes | |||||
1854 Ballangen | -3,2 | -2,8 | 7,3 | 65,4 | 32 852 |
1856 Røst | 0,8 | 2,0 | 18,4 | 95,9 | 69 075 |
1857 Værøy | |||||
1859 Flakstad | |||||
1860 Vestvågøy | 2,7 | 0,0 | 15,1 | 30,4 | 13 006 |
1865 Vågan | 3,7 | 0,0 | 16,0 | 219,5 | 95 351 |
1866 Hadsel | |||||
1867 Bø | |||||
1868 Øksnes | 0,7 | 0,3 | 12,1 | 64,2 | 30 228 |
1870 Sortland | 0,3 | 0,0 | 8,3 | 78,9 | 35 855 |
1871 Andøy | |||||
1874 Moskenes | |||||
Nordland | 1,7 | -0,2 | 14,9 | 68,8 | 30 714 |
1901 Harstad | 0,2 | -0,5 | 5,1 | 78,8 | 33 645 |
1902 Tromsø | 3,1 | -0,4 | 1,8 | 94,4 | 38 600 |
1911 Kvæfjord | 2,3 | -0,8 | 6,5 | 151,6 | 133 177 |
1913 Skånland | 2,7 | 1,7 | 4,6 | 54,0 | 27 622 |
1915 Bjarkøy | 6,4 | 4,4 | 15,6 | 29,0 | 28 353 |
1917 Ibestad | 3,6 | 3,3 | 17,8 | 53,1 | 33 610 |
1919 Gratangen | 3,3 | 1,0 | 21,0 | 76,2 | 47 715 |
1920 Lavangen | |||||
1922 Bardu | |||||
1923 Salangen | 2,0 | -0,9 | 15,6 | 72,0 | 47 675 |
1924 Målselv | |||||
1925 Sørreisa | |||||
1926 Dyrøy | |||||
1927 Tranøy | |||||
1928 Torsken | |||||
1929 Berg | 52 674 | ||||
1931 Lenvik | |||||
1933 Balsfjord | |||||
1936 Karlsøy | |||||
1938 Lyngen | |||||
1939 Storfjord | -9,0 | -2,0 | 20,6 | 36,1 | 17 835 |
1940 Gaivuotna - Kåfjord | |||||
1941 Skjervøy | -0,2 | -3,7 | 13,6 | 82,5 | 44 359 |
1942 Nordreisa | -1,7 | -7,4 | 1,3 | 53,0 | 27 333 |
1943 Kvænangen | |||||
Troms | 1,9 | -0,7 | 4,8 | 86,9 | 39 522 |
2002 Vardø | -1,7 | -4,6 | 2,2 | 58,9 | 33 756 |
2003 Vadsø | 3,3 | ||||
2004 Hammerfest | 7,3 | 1,3 | 3,7 | 78,3 | 43 386 |
2011 Guovdageaidnu - Kautokeino | 1,7 | -0,7 | 10,6 | 139,7 | 77 373 |
2012 Alta | 3,0 | 0,1 | 17,5 | 69,3 | 33 821 |
2014 Loppa | 6,0 | 2,7 | 8,3 | 71,1 | 53 139 |
2015 Hasvik | 2,1 | -2,4 | 3,5 | 52,8 | 39 946 |
2017 Kvalsund | |||||
2018 Måsøy | 3,5 | 0,3 | 15,8 | 38,2 | 26 254 |
2019 Nordkapp | 5,5 | 0,0 | 11,7 | 86,4 | 49 580 |
2020 Porsanger | |||||
2021 Karasjohka - Karasjok | |||||
2022 Lebesby | |||||
2023 Gamvik | 4,3 | -5,1 | -4,6 | 90,1 | 65 022 |
2024 Berlevåg | 3,7 | 1,2 | 40,7 | 17,4 | 12 352 |
2025 Deatnu - Tana | |||||
2027 Unjarga - Nesseby | |||||
2028 Båtsfjord | |||||
2030 Sør-Varanger | |||||
Finnmark | 3,9 | -0,1 | 11,6 | 74,4 | 41 114 |
Landet utenom Oslo | 2,2 | -0,4 | 23,7 | 53,7 | 22 330 |