2 Valg av indikatorer, beregning av indeksverdier og kvalitetssikring
I dette kapitlet vil vi se nærmere på kriterier for valg av indikatorer og hvordan vi beregner distriktsindeksen ved å trunkere, indeksere og summere indikatorer. Vi avslutter kapitlet med å redegjøre for hvordan vi kvalitetssikrer distriktsindeksen.
2.1 Kriterier for valg av indikatorer
Distriktsindeksen er satt sammen av to typer indikatorer som måler kommunenes utfordringer knyttet til
- geografiske ulemper, dvs. kommuner som er usentrale, med lite befolknings- og markedsgrunnlag og med lang reiseavstand
- samfunnsutfordringer som følger av geografiulempene
Figur 2.1 Figur 2.1 Skjematisk framstilling av distriktsindeksens logikk og oppbygging og kriterer for valg av indikatorer.

Det er en rekke kriterier som er brukt for å velge de indikatorene som inngår i indeksen. Kriteriet om relevans regulerer hvilke forhold/utfordringer som er knyttet til det å være distrikt, jf. figur 2.1 . Valg av indikator for å fange opp den konkrete distriktsutfordringen vurderes etter kriteriene tilgjengelighet, robusthet og stabilitet, representativitet, distinkthet, håndterbarhet og likebehandling.
2.1.1 Relevans – indikatoren skal fange opp distriktsutfordringer
Distriktsindeksen er et uttrykk for graden av distriktsutfordringer i en kommune. Indikatorene må derfor fange opp samfunnsutfordringer som følger av å være en distriktskommune. Sentralt her er derfor begrepet distrikt. I Meld. St. 18 (2016–2017) er distrikt beskrevet som områder med særlige utfordringer på grunn av geografien (sentralitet, reiseavstand og befolkningstetthet), avstandsulemper og små markeder, samt ubalanse i befolkningssammensetningen. I Meld. St. 5 (2019–2020) Levende lokalsamfunn for fremtiden— Distriktsmeldingen står det at ”[d]istriktskommuner kjennetegnes ved at de har lite arbeidsmarked og liten tilgang til private tjenester, eller lang reiseavstand til større arbeidsmarkeder og tjenester”. Dette innebærer at distriktsindeksen skal ha vekt på indikatorer som fanger opp kommuner som er usentrale, dvs. med lite befolknings- og markedsgrunnlag og med lang reiseavstand.
Rangering av kommuner i en distriktsindeks kunne i utgangspunktet kun inneholdt indikatorer som fanger opp størrelses- og avstandsulemper. Det er slike ulemper distriktspolitikken er ment å kompensere for. Det er samtidig å forvente at disse ulempene gir seg utslag i svakere samfunnsutvikling. Ved å inkludere indikatorer som viser utviklingen på samfunnsområder som henger sammen med geografiulempene, sikrer vi at kommunene rangeres innbyrdes etter hvem som har de største distriktsutfordringene. Det som da er viktig, er at indikatorene man tar inn fanger opp samfunnsutfordringer som er spesifikke distriktsutfordringer, dvs. at indikatoren samvarierer med sentralitet. Videre må indikatoren være egnet til å skille mellom distriktskommuner basert på geografiske ulemper, og samfunnsutfordringen må være forankret i regional- og distriktspolitiske mål. Det bør altså være en høy terskel for å ta inn indikatorer på samfunnsutfordringer i tillegg til geografiindikatorene, for ikke å vanne ut det primære formålet med distriktsindeksen.
2.1.2 Tilgjengelighet – indikatoren skal være tilgjengelig på kommunenivå
Data for hver av indikatorene må være lett tilgjengelig på kommunenivå. Dette er nødvendig for å sikre løpende informasjonstilgang og mulighet for oppdatering. Det er også et mål at indikatorene skal være etterprøvbare og dermed tilgjengelige for andre. I praksis innebærer tilgjengelighetskravet at vi bruker data som kan hentes fra kilder som SSB (Statistikkbanken eller datakjøp), Panda eller Nav. Indikatorene bør også i hovedsak bygge på offisiell statistikk.
2.1.3 Robusthet og stabilitet – indikatoren skal i liten grad være følsom for tilfeldig variasjon
Indikatorene bør i liten grad være følsomme for tilfeldig variasjon og utslag fra år til år. Endringer i indikatorverdier bør reflektere substansielle endringer. Dette er spesielt viktig for de indikatorene som oppdateres årlig. Hvis indikatorer skal skiftes, bør det være tungtveiende grunner for det.
2.1.4 Representativitet – indikatoren skal reflektere den virkeligheten den er ment å representere
Indikatorene bør reflektere den virkeligheten de er ment å representere, dvs. at indikatoren er dekkende for samfunnsutfordringen den er ment å skulle reflektere.
2.1.5 Distinkthet – indikatoren skal skille seg distinkt fra de andre indikatorene
Hver av indikatorene bør skille seg distinkt fra de andre. Det betyr at hver indikator bør representere ett og bare ett distriktsproblem. Dersom korrelasjonen mellom to indikatorer er tett, trenger vi ikke begge.
2.1.6 Håndterbarhet – antall indikatorer skal begrenses
Antall indikatorer bør begrenses til et håndterbart nivå.
2.1.7 Likebehandling – alle kommuner skal behandles likt
Det er viktig at kommunene blir behandlet likt. Derfor må informasjon som påvirker indikatorverdier i distriktsindeksen være tilgjengelig for samtlige kommuner.
2.2 Trunkering, standardisering, vekting og summering
Hensikten med indeksen er å fordele kommunene relativt til hverandre for å kunne vurdere hvilke kommuner som har de største distriktsutfordringene. For å hindre at ekstremverdier påvirker indeksen i for stor grad blir indikatorene trunkert, mens standardisering gjør det mulig å summere ulike typer indikatorer. Indeksen beregnes slik at kommunene i indeksen vil få en gjennomsnittsverdi på 0. De kommunene som har lavest (negative) verdier, har de største distriktsutfordringene, mens kommunene med høyest verdier har minst distriktsutfordringer. Når vi har beregnet distriktsindeksen, indekserer vi den til verdier mellom 0 og 100 for å kunne bruke den på samme måte som tidligere.
2.2.1 Trunkering
Å trunkere betyr å kutte av. Slengere, eller ekstreme verdier, kan påvirke distriktsindeksen mye ved at indikatorverdien for flertallet av kommuner i for stor grad hoper seg opp rundt en medianverdi. Konsekvensen av en slik opphoping er at det kan bli vanskelig å skille kommunene fra hverandre. Det er derfor ønskelig å spre kommunene mer utover, slik at vi unngår dette problemet. Jo mer vi trunkerer, desto mer vil kommunene som ligger nær medianen, bli spredt utover. Samtidig ønsker vi ikke å undertrykke reelle utfordringer for den enkelte kommune. Dersom en kommune har en ekstremt lav verdi på en indikator, gir det uttrykk for at kommunen har spesielle utfordringer som er sterkere enn det andre kommuner har.
Vi velger derfor å trunkere ekstremverdier for alle indikatorer. Dette gjøres ved at verdier som er 2,5 ganger større eller mindre enn standardavviket for det uveide gjennomsnittet, blir trunkert. Verdien blir i stedet satt til grenseverdien for trunkering. Dette er en mye mindre radikal metode for trunkering enn den som har vært i bruk til nå. I den gamle metoden blir de ti prosent laveste og de ti prosent høyeste verdiene trunkert. Dette har innebåret at over 80 kommuner (i overkant av 70 kommuner med ny kommunestruktur) har fått trunkert sine verdier. Den nye metoden gjør at langt færre kommuner blir trunkert, det vil si får oppjustert eller nedjustert sine indikatorverdier. De eksakte verdiene blir redegjort for i kapittel 3 og 4. Asplan Viak foreslo det samme i sin gjennomgang av distriktsindeksen.
2.2.2 Standardisering og indeksering
Asplan Viak (2019) foreslo i sin gjennomgang å standardisere verdiene for distriktsindeksen heller enn å indeksere dem. Med standardisering vil alle standardiserte indikatorer ha gjennomsnitt lik 0 og standardavvik lik 1. Det blir dermed lettere å forstå om en kommune ligger langt fra eller nært gjennomsnittet for en gitt indikator.
Vi anvender Asplan Viaks (2019) tilnærming. Samtidig er bruken av distriktsindeksen innarbeidet, og anvendelsen av den er enklere når den indekseres til verdier mellom 0 og 100. Vi velger derfor å videreføre den etablerte praksisen med å indeksere distriktsindeksen til verdier fra 0 til 100. Forskjellen fra tidligere er at vi indekserer distriktsindeksen etter at vi har laget distriktsindeksen på standardisert form. Dette gir et litt annet resultat enn om vi hadde indeksert verdiene utenom å ta veien om standardisering.
Alle indikatorene måler i utgangspunktet forskjellige fenomener. For å kunne måle indikatorene etter samme skala, standardiserer vi indikatoren. Standardisering gjøres etter følgende formel der xi er indikatorverdien for kommune i, µx er gjennomsnittet og σx er standardavviket for indikatoren x:
Formel 1 – Formel for standardisering av indikatorverdier

2.2.3 Vekting og summering
Til slutt gis den enkelte indikator en vekt. Vekten angir hvor stor prosent indikatoren skal telle i summeringen av indeksen. Den endelige verdien av distriktsindeksen for den enkelte kommune blir dermed summen av de enkelte trunkerte og standardiserte og veide indikatorene.
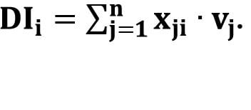
Hvis vi kaller distriktsindeksen for kommune i for DIi, den enkelte standardiserte og trunkerte indikatorverdi for kommune i for xji for indikator j, n antall indikatorer og den enkelte vekt for indikatoren vj, så er
Formel 2 – Formelen for distriktsindeksen i hver kommune

2.3 Kvalitetssikring
Kvalitetssikring handler om å vurdere om det er feil i tallmaterialet og om distriktsindeksen lar seg reprodusere. Fra tid til annen endres definisjoner av statistikkvariabler. Et eksempel på dette er SSBs overgang fra bruk av Nav-data til A-ordningen når det gjelder sysselsettingsstatistikk. Slike definisjonsbrudd får konsekvenser, og de er ikke alltid nøytrale med hensyn til geografi. Vi gjennomgår derfor indikatorene og sammenlikner årgangene med hverandre. Dersom endringene i indikatorverdier er store, forsøker vi å avdekke årsakene til dette. I de fleste tilfeller vil det være reelle endringer som forårsaker sprang, men det kan også avdekkes enten feil eller endringer i produksjonsopplegget for statistikken. En annen feilkilde er grensejusteringer mellom kommuner. Dette kan føre til at indikatorer som går på endring over tid, enten over- eller undervurderes for de aktuelle kommunene.
Videre handler kvalitetssikringen om at det ikke er skjedd feil i databruk eller utregningen. Hovedgrepet her er at to medarbeidere lager distriktsindeksen uavhengig av hverandre. Dersom verdiene på distriktsindeksen er identisk, legger vi til grunn at vi ikke har gjort strukturelle feil i produksjonen av den.
Vi vil håndtere kommunesammenslåinger ved at vi beregner distriktsindeksen hvert år med kommunestrukturen som gjelder i det påfølgende året. Distriktsindeksen som foreligger i denne rapporten, bruker kommunestrukturen som gjelder fra og med 2020.
2.4 Datafangst
Kommunereformen har gjort det nødvendig å bruke data som er spesialbestilt fra SSB. Kommunereformen trådte i kraft fra og med 1.1.2020. Distriktsindeksen skal lages for den nye kommunestrukturen. For å få et mest mulig riktig bilde av tilstand og utvikling i den enkelte kommune, har vi derfor fått levert data for sentralitet, befolkning, sysselsetting og næringsstruktur med ny kommunestruktur. For befolkning og sysselsetting, har vi fått tidsserier tilbake til 2008.
Konsekvensene av at vi har fått egne tidsserier er at det er noe avvik mellom publisert statistikk i statistikkbanken og de dataene vi bruker i distriktsindeksen. Avvikene er i de fleste tilfeller ubetydelige, men i kommuner der det har vært grensejusteringer i forbindelse med kommunereformen, kan de være betydelige. Dette gjelder særlig de fem kommunene Narvik, Orkland, Heim, Hitra og Hamarøy. I disse kommunene er sysselsettingen i statistikkbanken satt til 0 i hele perioden 2008-2018. Det er åpenbart at dette ville gitt et uriktig bilde. Vi finner betydelig avvik også i andre kommuner, som Hammerfest og Nes.