Del 2
Skattesystemet i Norge og i andre land
4 Prinsipper for utforming av et skattesystem
4.1 Innledning
I dette kapitlet drøftes prinsipper for utforming av et skattesystem.
Skatter og avgifter er lovpålagte overføringer av midler fra privat til offentlig sektor. Beskatningen av privat sektor kan sies å ha tre hovedoppgaver:
Skatte- og avgiftsinntektene skal skape realøkonomisk rom for den offentlige sektors virksomhet og overføring av tjenester.
Beskatningen skal påvirke inntektsfordelingen mellom personer, slik at forskjellene i disponibel inntekt mellom personer reduseres.
Beskatningen bør innrettes slik at en oppnår en samfunnsøkonomisk mest mulig effektiv bruk av nasjonens ressurser, bl a gjennom økt vekt på bruk av miljøavgifter, og gjennom bruk av enkle og oversiktlige skatteregler.
Skattesystemet blir også brukt til å fremme andre mål, bl a til å motvirke svingninger i den økonomiske aktiviteten, eller som særskilt støtte til ulike næringer og/eller grupper av skattytere. Dersom en ønsker å tilgodese særskilte næringer mv er det imidlertid normalt mer effektivt å støtte disse direkte, enn å gi dem særregler i skattesystemet (skatteutgift).
I avsnitt 4.2 beskrives nivå og sammensetning av skatte- og avgiftsinntektene. Forholdet mellom inntektsfordelingen og skatt er omtalt i avsnitt 4.3. Her omtales også effektive skattesatser. I avsnitt 4.4 er utformingen av optimale skattesystem nærmere beskrevet.
4.2 Skatteproveny
Skatte- og avgiftsnivået bestemmes i stor grad ut fra offentlig sektors finansieringsbehov, som skal dekke offentlige overføringer til privat sektor samt offentlig konsum og investeringer. Tabell 4.1 viser at påløpte brutto skatter og avgifter utgjorde om lag 470 mrd kroner i 1998, eller om lag 42 pst av Norges bruttonasjonalprodukt (BNP).
Tabell 4.1 Skatter og avgifter fordelt på skatte- og avgiftsarter. Anslag for 1998
| Mrd Kroner | Andel | |
| Personlige skattytere | 185,4 | 39,5 |
| Skatt på alminnelig inntekt | 121,6 | 25,9 |
| Toppskatt | 12,3 | 2,6 |
| Trygdeavgift | 45,7 | 9,7 |
| Formuesskatt | 5,8 | 1,2 |
| Eiendomsskatt | 3,0 | 0,6 |
| Arbeidsgiveravgift | 62,4 | 13,3 |
| Merverdi- og investeringsavgift | 110,0 | 23,5 |
| Særavgifter | 61,0 | 13,0 |
| Etterskuddspliktige skattytere | 47,2 | 10,1 |
| Fastlands-Norge | 26,2 | 5,6 |
| Petroleumssektoren | 21,0 | 4,5 |
| Totalt | 469,0 | 100,0 |
Kilde: Finansdepartementet.
Tabell 4.1 illustrerer at hovedtyngden av de samlede skatte- og avgiftsinntektene ble oppkrevet på arbeidsavkastning (lønn mv) og på varer i 1998. Beskatningen av arbeid utgjorde om lag 50 pst av de samlede skatte- og avgiftsinntektene, mens varebeskatningen utgjorde noe over 35 pst. Til sammenligning utgjorde bedriftsbeskatningen, avgrenset som skatten for etterskuddspliktige skattytere, om lag 10 pst av de samlede skatte- og avgiftsinntektene, inkl petroleumssektoren. Det er imidlertid personer i Norge (og utlandet) som bærer den endelige skattebyrden også av den ordinære bedriftsbeskatningen, enten representert ved eierne i form av lavere utbytte/gevinst, kjøperne av bedriftens produkter i form av høyere priser og/eller arbeiderne i form av lavere lønn.
4.3 Skatt og inntektsfordeling
Et viktig hensyn ved utformingen av skattesystemet er at fordelingen av skattebyrden mellom personer skal oppfattes som rimelig og rettferdig. De fleste vil ut fra en rettferdighetstankegang mene at man bør betale mer i skatt jo høyere skatteevne man har. Det kan være uenighet om i hvilken grad en slik omfordeling er særlig ønskelig for arbeidsinntekter eller kapitalinntekter eller begge deler. En omfordeling kan oppnås ved at de som har de høyeste inntektene skal betale en større andel av inntekten i skatt enn skattytere med lavere inntekter. En forutsetning for at en slik omfordeling kan oppnås er at skattegrunnlagene må samsvare mest mulig med skattyternes skatteevne. Dette innebærer at skattyternes faktiske inntekter i så stor grad som mulig bør bringes fram til beskatning, uavhengig av skattyternes disposisjoner. Et smalt skattegrunnlag med mange fradrags- og skattekredittordninger, dvs ordninger som gir skatteutsettelse, vil derfor redusere skattegrunnlaget i forhold til skatteevnen. Samtidig bidrar disse ordningene til at de formelle skattesatsene isolert sett må være høye dersom provenytapet knyttet til de ulike ordningene skal dekkes inn ved økt beskatning. Det blir således mindre samsvar mellom de formelle og de effektive skattesatsene, som igjen vil påvirke fordelings- og effektivitetsegenskapene i skattesystemet. Ut fra disse hensynene er det ønønskelig å ha skattegrunnlag som i størst mulig grad samsvarer med de faktiske inntektene. I boks 4.1 gis det en nærmere beskrivelse av sammenhengen mellom formelle og effektive skattesatser.
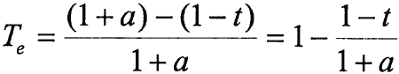
Boks 4.1 Formelle og effektive skattesatser
Det er den effektive skattesatsen som bestemmer fordelingsegenskapene til skattesystemet. Effektiv skattesats kan defineres på følgende måte:
Effektiv skattesats = Formell skattesats • Skattegrunnlag / Faktiske inntekter
Bare dersom skattegrunnlaget er lik de faktiske inntektene vil effektiv skattesats være lik formell skattesats. En skatteomlegging som reduserer skattesatsene og utvider skattegrunnlagene kan altså i prinsippet gjennomføres uten endringer i den effektive skattesatsen samtidig som lønnsomheten av skattetilpasninger blir redusert.
Formelen illustrerer videre at den effektive skattesatsen i prinsippet kan synke med økende reell inntekt selv om den formelle skattesatsen stiger med den skattepliktige inntekten. Dette er tilfellet hvis skattegrunnlaget i mindre og mindre grad samsvarer med reell inntekt når inntektene øker. Årsaken til dette kan være at skattytere med lave og lett kontrollerbare inntektsforhold i liten grad vil kunne tilpasse seg til ulike fradragsmuligheter og skattekredittordninger, mens skattytere med høyere og mer kompliserte inntektsforhold vil ha større muligheter til dette. Det er videre slik at den formelle progresjonen gjør at skattytere med høye inntekter får en høyere avkastning i kroner av en gitt tilpasning enn skattytere med lave og midlere inntekter. Det er således grunn til å tro at muligheten for skattetilpasning øker med inntektsnivået.
Skatte- og avgiftssystemet påvirker også inntektsfordelingen indirekte. Dette skjer dels ved at skatte- og avgiftsinntektene finansierer offentlige overføringer både til enkeltpersoner og næringslivet gjennom ulike former for trygder, stønader, subsidier og næringsstøtte. I Norge tilbakeføres om lag 60 pst av de samlede skatte- og avgiftsinntektene direkte til privat sektor i form av slike overføringer.
Inntektsfordelingen kan også påvirkes gjennom vareskattene, ved at avgiftsbelastningen varierer med forbrukssammensetningen. Dersom høyinntektsgrupper forbruker relativt mer av goder med høye avgifter enn lavinntektsgrupper, vil også avgiftene bidra til en omfordeling av den reelle kjøpekraften. Det er imidlertid få slike avgifter innenfor gjeldende skatte- og avgiftssystem. Dette gir også en svært indirekte virkning med store individuelle forskjeller. Generelt vil indirekte skatter derfor være et mindre treffsikkert virkemiddel i fordelingspolitikken enn direkte skatter.
4.4 Utformingen av optimale skattesystem
I en økonomi kjennetegnet av samfunnsøkonomisk effektivitet vil ressursene utnyttes på en slik måte at de samlede forbruksmulighetene til befolkningen blir størst mulig. Dette innebærer et krav om at det ikke skal sløses med ressursene. Beskatning kan bidra til vridning i ressursbruken, fordi skattene påvirker prisene som igjen påvirker tilpasningen i privat sektor, blant annet arbeidstilbud, sparing og konsum. I beskatningen bør en ta hensyn til dette og utforme skattesystemet slik at effektivitetstapet blir minst mulig og effektivitetsgevinsten størst mulig.
Skatter og avgifter kan deles inn i tre hovedformer:
effektivitetsfremmende skatter
nøytrale skatter
vridende skatter
Effektivitetsfremmende skatter bidrar til å bedre markedsøkonomiens virkemåte, og har sitt grunnlag i ulike former for markedssvikt. Det skyldes at enkelte aktiviteter påfører samfunnet kostnader uten at de som er ansvarlige for aktivitetene må betale noe for ulempene de påfører andre. Et eksempel på dette er forurensende utslipp, der man i utgangspunktet ikke må betale noe for den skaden dette påfører miljøet og dermed andre personer med mindre det offentlige griper inn. Eksempelvis kan korrekt utformede miljøavgifter bidra til en mer effektiv ressursbruk ved at de gjør det relativt sett mindre lønnsomt med miljøskadelige aktiviteter. Slike skatter og avgifter kan mao bidra til å forbedre miljøet, ved at ulike forurensende utslipp mv blir redusert. Beskatningen har dermed en gunstig dobbelteffekt, ved at ressursbruken vris i en effektivitetsmessig ønskelig retning samtidig som offentlig sektor får inn skatteproveny. 1
Nøytrale skatter er skatter som ikke gir insentiver til å endre atferd. Slike skatter er kjennetegnet ved at skattyteren ikke kan redusere skatten gjennom sin tilpasning. Det vil typisk være skatter som pålegges med faste beløp uavhengig av skattyters inntekt, formue, forbruk el (såkalte rundsum-skatter). Det finnes få eksempler på fullstendig nøytrale skatter. Skatt på grunnrente vil virke som en nøytral skatt dersom den er korrekt utformet. Med grunnrente menes i denne sammenheng utnytting av knappe naturressurser (jordområder, skog- og fiskeressurser, vannkraft eller lagerressurser som for eksempel olje), som gir opphav til en meravkastning utover det som er normal avlønning av arbeidskraft, kapital og andre innsatsfaktorer i alternativ virksomhet. I Norge er det innført egne grunnrenteskatter i petroleums- og i kraftsektoren.
Vridende skatter har (når en ser bort fra markedskorrigerende skatter) negative effektivitetsvirkninger. Dette skyldes at konsumenter og produsenter påvirkes av skattene slik at de tilpasser seg på en annen måte enn de ville gjort i en situasjon uten skatter og avgifter, eller i en situasjon med nøytrale skatter og avgifter. Bakgrunnen for dette er at skattene påvirker prisforholdet mellom ulike varer og tjenester, slik at de fører til at det blir et avvik mellom privatøkonomisk lønnsomhet etter skatt og samfunnsøkonomisk lønnsomhet før skatt på marginen.
Eksempelvis vil kostnadene for en arbeidsgiver forbundet med å ansette en person være høyere enn det vedkommende får i lønn etter at alle skatter og avgifter er betalt. Sysselsettingen blir derfor trolig lavere enn den ville blitt uten skatter. Tilsvarende kan det å ha høyere avgifter på noen varer og tjenester enn på andre, bl a påvirke hvor mye som blir produsert av enkelte varer og tjenester. I kapittel 8 gis det en nærmere vurdering av effektivitetsmessig virkninger av beskatningen.
Effektivitetsfremmende og nøytrale skatter, har ingen negative effekter på økonomiens virkemåte. Det er således i utgangspunktet ønskelig å finansiere en størst mulig andel av offentlig sektors virksomhet gjennom slike skatter og avgifter. I praksis er det imidlertid ikke mulig å finansiere de offentlige utgiftene utelukkende gjennom slike skatter. Av den grunn må offentlig sektors virksomhet i stor grad finansieres ved hjelp av såkalte vridende skatter, dvs skatter som påvirker økonomiens virkemåte på en uheldig måte. Hvordan skatte- og avgiftssystemet utformes, har imidlertid stor betydning for omfanget av de samfunnsøkonomiske kostnadene ved beskatning. I boks 4.2 presenteres enkelte prinsipper basert på økonomisk teori for utforming av slike skatter. I NOU 1996: 9, Grønne skatter - en politikk for bedre miljø og høy sysselsetting, og i NOU 1996: 17, I Norge for tiden?, gis det en nærmere redegjørelse for teorien om optimal beskatning.
Boks 4.2 Enkelte prinsipper for utformingen av vridende skatter
Ut fra økonomisk teori kan en utlede enkelte retningslinjer for utformingen av de vridende skattene:
Skattesystemet bør i minst mulig grad påvirke selve produksjonen av varer og tjenester, dvs at prisforholdet mellom ulike innsatsfaktorer ikke bør påvirkes. En konsekvens av dette resultatet er at det normalt ikke bør ilegges skatter på bedriftens kjøp av innsatsfaktorer, med mindre dette har gunstige innvirkninger på ressursanvendelsen i økonomien. Dette innebærer at det isolert sett er effektivt å innføre avgifter som korrigerer for eksterne virkninger i produksjonen. Det er derimot ikke effektivt med fiskale faktoravgifter som fører til at ulike sektorer og produsenter står overfor ulike relative faktorpriser, og heller ikke skatter som vrir prisforholdet mellom importerte og hjemmeproduserte varer, tjenester og innsatsfaktorer.
En bør bruke brede og generelle skattegrunnlag og lave skattesatser. Dette innebærer bl a at det fra et effektivitetsmessig synspunkt er ønskelig med en skattemessig likebehandling mellom ulike varer og tjenester, mellom ulike former for kapitalinntekter, mellom ulike former for arbeidsinntekt mv. Dette prinsippet var sentralt i den norske skattereformen av 1992. En viktig årsak til denne konklusjonen er at effektivitetstapet av skatt isolert sett normalt øker mer enn proporsjonalt med skattesatsen. En dobling av skattesatsen fører med andre ord til at effektivitetstapet mer enn fordobles. I tillegg vil tilpasningen i ett marked kunne påvirkes av tilpasningen i andre markeder, noe som innebærer at det ikke er ønskelig ut i fra et effektivitetshensyn å innføre for store variasjoner i de effektive skattesatsene mellom ulike markeder.
De høyeste skattene bør legges i markeder der aktørenes tilpasning endrer seg minst som følge av skattleggingen. Dette innebærer at en bør ha høyest skattesatser på skattegrunnlag som ikke kan påvirkes. Videre bør en ha høyest skattesatser i markeder der tilbud og etterspørsel etter varer/innsatsfaktorer endrer seg lite som følge av prisendringer. Etter som kapital i mange tilfeller er en mer mobil faktor over landegrensene enn arbeidskraft, er dette ofte benyttet som et argument for å ha høyere skatt på arbeidsinntekter enn på kapitalinntekter.
Ved utformingen av det samlede skattesystemet vil en stå overfor en rekke avveininger, siden de mål en ønsker å oppnå gjennom skattesystemet kan stå i motsetning til hverandre. For det første må nivået på de totale skatteinntektene veies opp mot kostnadene knyttet til å kreve inn skattene. For det andre kan det være en konflikt mellom ønsket om å drive fordelingspolitikk ved hjelp av skattesystemet, og hensynet til at skattene i minst mulig grad skal ha en negativ effekt på økonomiens virkemåte. Hensynet til økonomiens virkemåte tilsier at skattesatsene ikke bør bli for høye, mens fordelingshensyn kan tilsi at en ønsker en progressiv satsstruktur med høye marginale skattesatser på de høyeste inntektene. Både effektivitetshensyn og fordelingshensyn tilsier imidlertid at en bør ha et konsekvent skattesystem med færrest mulig unntak, dvs brede skattegrunnlag.
Ønsket om et mest mulig rettferdig og likebehandlende skattesystem kan føre til at systemet blir svært komplisert. Kompleksiteten må veies opp mot de administrative kostnadene som følger med. Slike kostnader oppstår i forbindelse med innkreving og kontroll av skatten, men også i forbindelse med avgrensning og betaling av skatten. Ved utformingen av skatte- og avgiftssystemet er det derfor viktig at også de administrative kostnadene holdes så lave som mulig, noe som isolert sett taler for å ha enkle regler.
5 Skattesystemer i enkelte andre land
5.1 Oversikt over skattesatser i noen OECD-land
I det følgende gis det en oversikt over regelverket og skattesatsene i enkelte OECD-land. Tabellene nedenfor baserer seg på «The OECD Tax Data Base». Basen bygger på innrapportering fra de enkelte lands myndigheter og inneholder oversikter over skattesatser og hovedtrekk i skattesystemene i medlemslandene. Omtalen av regelverket baserer seg også på databasen «The European Tax Data Base», som er utarbeidet av TheInternational Bureau of Fiscal Documentation.
Det gjøres oppmerksom på at satsstrukturen ikke fullt ut gjenspeiler den effektive beskatning av inntekten. Den effektive beskatningen vil i tillegg til de formelle skattesatsene (som fremgår her), bl a være påvirket av skattegrunnlaget. Skattegrunnlaget vil særlig avhenge av utformingen av de ulike fradragsregler, regler for beregning av inntekten, avskrivningssatser, ulike skattekreditter mv. For å kunne si noe nøyaktig om den effektive beskatning i de enkelte land, måtte det gis en omfattende fremstilling av de enkelte lands skattesystemer, noe det ikke er rom for i denne utredningen. I avsnitt 5.2 gis det imidlertid en fremstilling av de mest sentrale hovedregler i utvalgte lands skattesystemer.
I avsnitt 5.3 er det gitt en oversikt over de reglene i Sverige, Finland og Danmark som tar sikte på å skille mellom arbeids- og kapitalavkastning, dvs regler som til en viss grad svarer til den norske delingsmodellen. Modellene i Sverige og Finland forutsetter i hovedsak at det utbetales lønn eller utdeles utbytte over en beregnet kapitalinntekt, før det skjer beskatning etter de høyere satser for arbeidsinntekt.
Tabell 5.1 viser satser for statsskatt for enslige personer uten forsørgelsesbyrde. Første kolonne viser innslagspunktene for statsskatten, andre kolonne viser skattesatsen som gjelder i intervallet opp til neste trinn, som framgår av tredje kolonne, osv.
I tabell 5.2 er det gitt en sammenstilling av de maksimale statlige skatter og trygdeavgifter samt de gjennomsnittlige lokale skatter. Videre framgår de maksimale marginale skattesatser for arbeids- og næringsinntekter. De siste to kolonnene viser skattesatsene for utbytte og renter. For regler om beskatning av utbytte vises til avsnitt 5.2.
Tabell 5.1 Satser for statsskatt for enslige lønnstakere uten forsørgelsesbyrde i NOK1 1998-regler
| Land | Innslagspunkt | Sats | Trinn | Sats | Trinn | Sats | Trinn | Sats | Trinn | Sats | Trinn | Sats |
| Danmark | 36 900 | 8 | 163 400 | 14 | 295 400 | 29 | ||||||
| Finland | 67 700 | 6 | 91 200 | 16 | 20 | 161 900 | 26 | 254 600 | 32 | 450 300 | 38 | |
| Frankrike | 34 500 | 10,5 | 67 900 | 24 | 119 600 | 33 | 193 600 | 43 | 315 100 | 48 | 388 500 | 54 |
| Norge2 | 31 250 | 18,8 | 248 000 | 28,3 | 272 000 | 32,5 | ||||||
| Sverige | 219 300 | 25 | ||||||||||
| Storbritannia | 50 100 | 20 | 100 900 | 24 | 373 400 | 40 | ||||||
| USA | 52 000 | 15 | 189 600 | 28 | 459 200 | 31 | 958 100 | 36 | 2 082 600 | 39,6 |
1 De ulike beløpsgrenser er omregnet i forhold til kurser pr 13. februar 1999, på dette tidspunkt sto Euroen i 8,75. Beløpene er avrundet til nærmeste hele hundre kroner.
2 De norske satsene inkluderer fellesskatt, trygdeavgift og toppskatt. Innslagspunktet for trygdeavgiften er 17 000 kroner i 1998 og 21 400 i 1999.
Kilde: OECD.
Satsene for statsskatten varierer forholdsvis mye mellom de enkelte land. Mens noen land opererer med relativt høye innslagspunkt (eksempelvis Sverige), opererer andre land med forholdsvis høye beløpsgrenser før de høyeste satser kommer til anvendelse (eksempelvis USA). Dette innebærer at selv om det i tabell 5.2 kan framgå at det ikke er store forskjeller i de maksimale marginale skattesatser, kan den effektive beskatningen av normalinntektene likevel være forskjellig. I denne sammenheng vises det til at i USA ilegges inntekter over om lag 2 mill kroner den øverste skattesatsen, mens innslagspunktet for den høyeste skattesatsen i Norge er 272 000 kroner i 1998, jf tabell 5.1.
Tabell 5.2 Maksimal marginal skattesats for høye inntekter i ulike inntektskategorier.
| Land | Standard statsskatt | Tillegg | Lokal skatt | Trygdeavgift arbeid | Trygdeavgift Næring | Arbeidsinntekt | Næring | Utbytte | Renter |
| Danmark | 23,8 | 34,9 | 3,7 | 3,7 | 62,4 | 62,4 | 40 | 58,7 | |
| Finland | 38 | 19,5 | 4,5a | 1,95 | 62,8 | 59,4 | 57,5 | 28 | |
| Frankrike | 54 | 7,3 | 5 | 61,3 | 59 | 61 | 25 | ||
| Tyskland | 53 | 2,9 | 11b | 20,2c | 55,9c | 66,9 | 55,9 | 55,9 | |
| Norge | 24,7e | 17 | 7,8 | 10,7 | 49,5 | 52,4 | 28 | 28 | |
| Sverige | 25 | 36,6 | 6,95c | 12 | 61,6c | 73,6 | 30 | 30 | |
| Storbritannia | 40 | 10c | 6c | 40c | 40 | 40 | 40 | ||
| USA | 39,6 | 7d | 1,45c | 2,2c | 48 | 48,8 | 46,6 | 46,6 |
a. I Finland betales en ikke fradragsberettiget trygdeavgift med 1,95 pst. I tillegg betales en fradragsberettiget trygdeavgift med 6,1 pst. Samlet effektiv sats blir 4,5 pst.
b. Satsen knytter seg bare til næringsinntekter.
c. Enkelte land opererer med begrensninger oppad for betaling av avgifter til trygdesystemene. Marginalbeskatningen av de øverste inntektene vil således være lavere en den maksimale skattesats. I Tyskland svares ikke trygdeavgifter for årsinntekter over DM 96 000. I Sverige betales ikke trygdeavgifter for årsinntekter over SEK 278 250 for arbeidstakere. I Storbritannia betales ikke trygdeavgifter for årsinntekter over om lag $ 163 25 200. I USA betaler lønnsmottakere en trygdeavgift på 7,65 pst på inntekter opp til $ 68 400. Over dette beløpet betales 1,45 pst. Næringsdrivende betaler trygdeavgift med 15,3 pst på inntekt opp til $ 68 400. Over dette beløp betales 2,9 pst, hvorav halvparten er fradragsberettiget i inntekten. Den effektive satsen blir da 2,2 pst.
d. Basert på et snitt av lokale skattesatser.
e. Fellesskatt på 11 pst og toppskatt trinn 2 på 13,7 pst.
Kilde: OECD.
5.2 Gjeldende skatteregler i de aktuelle land
5.2.1 Danmark
I Danmark ilegges det skatt på inntekt og kapitalgevinster. Inntektene kategoriseres som
personlige inntekter (arbeid og virksomhet)
kapitalinntekter
inntekt fra selskapsandeler
Personlig inntekt og kapitalinntekt underlegges statlig inntektsskatt og lokale inntektsskatter.
I tillegg kan personlig skattytere ilignes skatt på grunnlag av aksjeinntekt, jf avsnitt 5.3.3. Det som skal lignes som aksjeinntekt, inngår ikke i inntektsgrunnlaget skattepliktig inntekt. Skattepliktig inntekt omfatter alle skattepliktige inntekter etter fradrag for alle fradragsberettigede utgifter.
Personbeskatning
Personlig inntekter omfatter all annen inntekt enn kapitalinntekt, det vil si næringsinntekt, lønnsinntekt og pensjoner. Ved beregning av personlig inntekt gis bare fradrag for driftsutgifter for personlig næringsdrivende og premier til pensjonsordninger.
Satsene for kommune- og fylkesskatt fastsettes lokalt og er proporsjonale. Den lokale inntektsskatt er gjennomsnittlig 32,4 pst, inkludert kirkeskatten på 0,7 pst. Den statlige skatten på personlig inntekt er progressiv. Alle over 18 år har et personfradrag på DK 31 400. For personer under 18 år er personfradraget DK 22 500. Statsskatten er utformet slik det følger i tabell 5.1.
Bunnskatt beregnes av den skattepliktige inntekt etter personfradrag. Samlet marginal skatt til stat, fylke og kommune skal ikke overstige 58 pst. Dersom summen i utgangspunktet overstiger 58 pst, settes skatten til staten ned. Den maksimale marginale skattesats, inklusive kirkeskatt på 0,7 pst og trygdeavgift på 3,7 pst, er i 1998 på 62,4 pst.
Folketinget vedtok den 26. juni 1998 flere endringer i personbeskatningen. Bl a skal det nederste trinn i statsskatten gradvis senkes fra 8 til 5,5 pst fram mot år 2002. Høyeste sats for statsskatt blir etter dette 26,5 pst. Samtidig er det ovennevnte tak på 58 pst hevet til 59 pst fra og med 1999. Videre ble det vedtatt en rekke endringer i grunnlagene for beregningen av de statlige personskatter. Personskatten (ekskl toppskatt) skal beregnes av personlig inntekt pluss positiv netto kapitalinntekt over bunnfradragene, mens toppskatt beregnes av personlig inntekt pluss positiv netto kapitalinntekt og innbetalinger til kapitalpensjon (pensjon med engangsutbetaling) over bunnfradraget på DK 251 200. Etter lovendringen beregnes kun kommuneskatten (og kirkeskatten) av den skattepliktige inntekten. Videre vil fradragsverdien for negativ nettokapitalinntekt og lønnstakeres utgifter gradvis reduseres til 32,4 pst. Fradragene får bare virkning i beregningsgrunnlaget for lokale skatter. I 1998 var fradragsverdien for negativ kapitalinntekt på 46,4 pst. Endringen får særlig betydning for de med store renteutgifter.
Kapitalbeskatning
Det gjelder reduserte satser for personlige skattyteres kapitalinntekt og kapitalgevinst fra aksjer når disse er eiet i minst 3 år. Skattesatsen er progressiv, med 25 pst på inntekter inntil DK 35 000 og 40 pst på det overskytende. Hovedregelen er at alle renteutgifter er fradragsberettiget, uavhengig av om de er pådratt til inntektens ervervelse eller ikke. I utgangspunktet må personlige skattytere fradra renteutgifter som relaterer seg til næring i næringsinntekten, mens alle øvrige renter kan fradras i kapitalinntekten. Tilordning av renter i næringsinntekten skal skje etter en direkte tilordningsmetode.
Kapitalinntekt omfatter en rekke spesielt opptjente inntekter og utgifter, bl a nettobeløp av renteinntekter og renteutgifter, samt kursgevinster og -tap. Uavhengig av innføringen av beregnet aksjeinntekt vil det stadig være noen former for aksjeutbytte og -gevinster som beskattes som kapitalinntekt. Dette gjelder f eks aksjegevinster ved salg av aksjer som er eid i mindre enn 3 år, og aksjeutbytte fra utenlandske selskaper som ikke er undergitt en beskatning tilsvarende den danske. Kapitalinntektene omfatter videre kapitalavkastning etter henholdsvis virksomhetsordningen og kapitalavkastningsordningen. For øvrig vises til omtalen under avsnitt 5.3.3. Det betales boligskatt som kapitalinntekt i forhold til leieverdien av egen bolig med 2 pst av eiendomsverdien opp til DK 2 150 000 for 1998 og med 6 pst over dette beløp. Fra og med år 2000 erstattes ordningen med leieverdi av en eiendomsskatt, som utgjør 10 promille opp til DK 2 365 000 og 30 promille for den del som overstiger grensebeløpet.
Selskapsskatt
Overskudd i danske aksjeselskaper beskattes med en skattesats på 34 pst. Med virkning fra 1999 er satsen redusert til 32 pst. Aksjonæren beskattes, som nevnt, for utdelt utbytte inntil DK 35 000 med en sats på 25 pst. Utbytte over denne grensen beskattes med 40 pst. Utdelt utbytte er ikke fradragsberettiget hos selskapet, og aksjonæren får ikke godtgjørelse for skatt betalt av selskapet. Utbytte til aksjonærer som selv er aksjeselskap, følger egne regler. Når det gjelder selskapsbeskatning for øvrig, vises det til avsnitt 5.3.3.
Trygdeavgift
Trygdeavgift (arbeidsmarkedsbidrag) betales av lønn og virksomhetsinntekt etter en sats på 8 pst. Denne er imidlertid fradragsberettiget i inntekten, hvilket gir en effektiv sats på 3,7 pst. For lønnsmottakere beregnes bidraget av lønnsinntekt og honorarer mv. For selvstendig næringsdrivende beregnes bidraget på grunnlag av den delen av næringsoverskuddet som medregnes i den personlige inntekten. I tillegg betaler arbeidstakeren et fast månedlig bidrag på DK 74,55 til arbeidsmarkedets tilleggspensjon (ATP). Fra 1999 er det innført en ordning med «særlig pensjonsoppsparing». Alle mellom 17 og 67 år skal betale en premie på 1 pst av beregningsgrunnlaget for arbeidsmarkedsbidraget. Pensjonsoppsparingen utbetales ved fylte 67 år, med likt beløp uavhengig av innbetaling. Arbeidsgiver svarer fra år 2000 et arbeidsgiverbidrag med 0,33 pst av lønnsgrunnlaget.
Formuesskatt
Det ilegges ikke formuesskatt i Danmark
5.2.2 Sverige
I Sverige ilegges det statlig inntektsskatt, trygdeavgift på inntekt og lokal inntektsskatt. Det opereres skattemessig med tre inntektsformer. De ulike formene er følgende:
arbeidsinntekt
næringsinntekt
kapitalinntekt
Personbeskatning
Arbeidsinntekt og næringsinntekt ilegges statsskatt og lokal skatt. Den lokale skatten utgjør normalt 31,65 pst og legges på hele nettoinntekten. Statsskatten er i 1998 på 25 pst for inntekt over SEK 229 100, (når det tas hensyn til grunnfradrag på SEK 8 700 og virkningen av fradrag for trygdeavgifter). Fra 1999 gjelder en sats på 20 pst for inntekt mellom SEK 219 000 og 360 000 og 25 pst for inntekt over sistnevnte beløp. Kombinasjonen av lokalskatt og statsskatt gir et progressivt skattesystem med skattesats fra 31,65 pst til 56,65 pst. I tillegg betales trygdeavgift med 6,95 pst på inntekter inntil et tak på SEK 278 250. Når det tas hensyn til at trygdeavgiften er fradragsberettiget, blir samlet maksimal marginal skattesats på arbeidsinntekt 61,6 pst. Denne er imidlertid lavere for de høyeste inntekter som følge av taket på trygdeavgiften.
Kapitalbeskatning
Kapitalinntekt omfatter kapitalgevinster. Gevinst ved salg av egen bolig beskattes kun for 50 pst av gevinsten. Det gis betinget skattefritak dersom det skjer en reinvestering i bolig ervervet inntil ett år før eller etter realisasjonen. Fordel ved bruk av egen bolig beskattes ikke, men det skal betales eiendomsskatt med 1,5 pst av boligens takseringsverdi (om lag 75 pst av gjennomsnittlig markedsverdi). Kapitalinntekt underlegges kun statsskatt og beskattes med en sats på 30 pst. I hovedregelen er alle renteutgifter fradragsberettiget, uavhengig av om de er pådratt til inntektens ervervelse eller ikke. Som følge av ulike skattesatser på ulike inntektsformer får imidlertid tilordningen av rentefradraget betydning. Eksempelvis vil et rentefradrag som tilordnes og (derved reduserer) næringsinntekter, ha større reell betydning enn et rentefradrag som tilordnes kapitalinntekter. Dette som følge av at den marginale skattesats for næringsinntekter kan komme opp i om lag 70 pst, mens den for kapitalinntekter er om lag 30 pst. I næringsvirksomhet er dette løst ved en såkalt rentefordeling.
Selskapsskatt
Overskudd i aksjeselskaper skattlegges med 28 pst. Utbytte fra selskapet skattlegges hos mottaker etter en sats på 30 pst. Det gjelder delingsregler for beregning av kapitalinntekt i selskaper med aktive eiere. For en nærmere omtale av selskapsbeskatning og beskatning av næringsinntekt vises det til avsnitt 5.3.1.
Trygdeavgifter
Trygdeavgift («almänna pensjonsavgiften»), bestående av sykeforsikring og pensjonsandel, betales på lønnsinntekt og virksomhetsinntekt. For næringsinntekt utgjør trygdeavgiften 31,25 pst av nettoinntekten. Denne avgiften er fradragsberettiget i inntekten slik at effektiv marginal sats blir på om lag 12 pst. Trygdeavgiften på lønn betales av arbeidsgiver etter en sats på 33,03 pst, mens arbeidstakeren betaler pensjonsavgift på 6,95 pst av lønnsinntekter opp til SEK 278 250.
Formuesskatt
Sverige har formuesskatt, som beregnes av nettoformuen. Enkelte formuesgjenstander, som børsnoterte aksjer og fast eiendom, verdsettes fordelaktig. Ikke børsnoterte aksjer formuesbeskattes ikke. Formuesskattesatsen er på 1,5 pst av formue over SEK 900 000. Det gjelder en skattebegrensningsregel, som innebærer at formuesskatten ikke skal utgjøre mer enn 60 pst av inntekt fra inntektsformene arbeid og kapital.
5.2.3 Finland
Personbeskatning
I Finland opereres det med progressiv statsskatt, proporsjonal lokal skatt og kapitalskatt til staten etter en flat sats. I tillegg kommer diverse trygdeavgifter og kirkeskatt.
På annen inntekt enn kapitalinntekter er den maksimale marginale skattesats 62,8 pst. Kapitalinntekter ilegges en flat skatt på 28 pst. Dette medfører at henføringene av inntekter til de ulike inntektsformene blir avgjørende. I grensetilfeller blir inntekten ansett for ikke å være kapitalinntekt.
Det ilegges proporsjonale lokale inntektsskatter i intervallet mellom 15 og 19,75 pst, den gjennomsnittlige sats er på 17,5 pst. I tillegg betales kirkeskatt i intervallet 1 til 2 pst. Den statlige inntektsskatten er progressiv, jf tabell 5.1.
Kapitalbeskatning
Kapitalinntekter skattlegges med en sats på 28 pst. Renteutgifter til inntektserverv, boliglån og til studielån er fradragsberettigede. Utover dette må gjeldsrentene knytte seg til inntektens ervervelse (næringsdrift) for å være fradragsberettigede. Det vil her være fordelaktig for den enkelte næringsdrivende å få omklassifisert renter av forbruksgjeld som det ikke er fradragsrett for, og renter til bolig som følge av ulike satser for næringsinntekter og kapitalinntekter.
Beskatningen av fordel ved å bo i egen bolig er opphevet. Det betales ikke skatt på gevinst ved salg av egen bolig. For privatpersoner er hovedregelen at det kun er gjeldsrenter av lån til egen bolig og studielån som er fradragsberettiget.
Selskapsskatt
Overskudd i aksjeselskaper skattlegges etter en sats på 28 pst. Det gjelder en godtgjørelsesmetode for utbytte fra selskaper som er selskapsskattepliktige, slik at dobbeltbeskatning unngås. Det gjelder delingsregler for beregning av kapitalinntekt i ikke-børsnoterte selskaper og for næringsdrivende. Det vises til nærmere omtale av dette i kapittel 5.3.2.
Trygdeavgift
Trygdeavgift svares dels av arbeidstaker og dels av arbeidsgiver. Arbeidstakere betaler en sykepremie med 1,5 pst på inntekter opp til FIM 80 000 og med 2,35 pst på inntekter over nevnte beløp. I tillegg svares en pensjonsavgift med 4,7 pst og en premie til arbeidsledighetstrygd med 1,4 pst. Arbeidsgivere betaler en samlet arbeidsgiveravgift på 26,9 pst.
Formuesskatt
Det ilegges formuesskatt på netto formue. Det gjelder unntak for flere formuesobjekter og flere regler om lav verdsettelse. I 1997 betales en formuesskatt på FIM 500 for skattbar formue over FIM 1,1 mill, med tillegg av 0,9 pst av den delen av formuen som overstiger grensebeløpet. Det gjelder en skattebegrensningsregel, slik at skatter, enkelte typer trygdeavgifter og formuesskatten til sammen ikke kan utgjøre mer enn 70 pst av den skattbare inntekten.
5.2.4 Storbritannia
Personbeskatning
Skattesatsene er delt i tre og stiger i forhold til skattepliktig inntekt, jf tabell 5.1. Marginal skattesats er 40 pst.
Inntekt i form av utbytte og inntekt av sparing skattlegges med 20 pst.
Kapitalbeskatning
I beregnet netto kapitalgevinst gis et bunnfradrag på £ 6 500, overskytende kapitalinntekt skattlegges som om den var lagt til skattyters øvrige inntekt, dvs med skattyters marginale skattesats. Enkelte kapitalgevinster slik som gevinst ved salg av egen bolig, biler mv, er ikke skattepliktige. Renteutgifter er fradragsberettiget på lån opptil £ 30 000 for erverv av bolig.
Selskapsbeskatning
Selskap skattlegges i utgangspunktet med en sats på 31 pst (for 1997-98). Dersom selskapet har inntekt under £ 300 000, er satsen på 21 pst. For inntekter mellom £ 300 000 og 1,5 mill skjer det opptrapping av satsen. I Storbritannia opereres det med et system med godtgjørelse for utbytte.
Trygdeavgifter
Trygdeavgift svares dels av arbeidsgiver, jf tabell 5.2, og dels av arbeidstaker. Avgiften er progressiv og beregnes i forhold til ukentlige inntekter. Arbeidstakere med inntekt over £ 61 betaler 2 pst av de første £ 61 og 10 pst på inntekter mellom £ 61 og 455.
Tabell 5.3 Arbeidsgiver betaler arbeidsgiveravgift dersom den ukentlige inntekt overstiger £ 61 etter følgende tabell:
| Inntekt | Arbeidsgivers andel |
| £ 61-110 | 3 pst |
| £ 110-155 | 5 pst |
| £ 155-210 | 7 pst |
| £ 210- | 10 pst |
Næringsdrivende betaler et ukentlig bidrag på £ 6,15. I tillegg svares 6 pst av årlig inntekt mellom £ 7 010 og £ 24 180.
Formuesskatt
Storbritannia har ingen formuesskatt.
5.2.5 Tyskland
Tyskland operer med tre former for inntektsskatt:
generell inntektsskatt,
solidaritetsskatt og
skatt på handelsinntekt
Solidaritetsskatten er et skattetillegg som beregnes på grunnlag av utliknet inntektsskatt, og er derfor et vedheng til denne, uten egne regler for skattegrunnlag og lignende. Det er ingen lokale inntektsskatter.
Personbeskatning
Skattegrunnlaget er bygd opp av syv like inntektsarter, delt opp etter kilden:
jord- og skogbruksinntekter
handel og forretningsvirksomhet
inntekter fra liberalt yrke
arbeidsinntekter
inntekter av investeringer og kapital
leieinntekter fra fast eiendom, enkelte typer løsøre og royalty
annen inntekt, deriblant spekulasjon og underholdsbidrag
For virksomhetsinntektene (gruppe 1-3) beregnes inntekten som differansen mellom nettoverdien av virksomheten ved inntektsårets slutt og nettoverdien av virksomheten ved inntektsårets begynnelse (valgfritt i gruppe 3). Inntekten utgjør den totale inntekten fra virksomheten, enten den drives personlig eller i selskaps form og omfatter således utbytte fra selskap. I gruppe 4-7 beregnes inntekten som bruttoinntekt fratrukket inntektsrelaterte utgifter.
Kapitalbeskatning
Kapitalinntekt og kapitalgevinster i virksomhet inngår i virksomhetsinntekten, mens kapitalgevinster gjennom private transaksjoner i utgangspunktet er skattefri. Dersom gevinsten er såkalt spekulasjonspreget, er de likevel skattepliktige. Kapitalgevinster på inntil DM 30 mill knyttet til salg av andeler i virksomhet skattlegges med halv sats.
Fordelen ved å bo i egen bolig blir ikke beskattet, men det ilegges lokal eiendomskatt ut fra en ligningsverdi. Det gis derfor heller ikke i utgangspunktet fradrag for utgifter til erverv og vedlikehold av bolig. Tidligere fikk man de første årene etter erverv av nybygd bolig fradrag for renter på lån til boligen og fradrag for en viss del av kostnaden ved ervervet. Disse fradragene er opphevet. Dersom boligen er utleid, er boliglånsrentene fradragsberettiget ved beregningen av den husleieinntekten skattyteren mottar.
Summen av skattyters nettoinntekter fra gruppe 1 til 7 utgjør hans skattbare inntekt, som etter et personfradrag på DM 12 365 (24 730 for ektepar), er grunnlaget for skatt.
Skattesatsene er progressive og varierer fra 0 pst på inntekter inntil DM 12 365 til 53 pst på inntekter over DM 120 041 for enslige slik det fremgår av tabell 5.4. I tillegg kommer solidaritetstillegget på 5,5 pst av inntektsskatten.
Tabell 5.4 Kapitalbeskatningssatser i Tyskland
| Inntekt | Sats | ||
| DM | 0 | - 12 365 | 0 pst |
| DM | 12 366 | - 58 643 | 25,9 - 33,3 pst |
| DM | 58 644 | - 120 041 | 33,4 - 52,7 pst |
| DM | 120 041 | 53 pst | |
Selskapsskatt
Til staten svares skatt for tilbakeholdt inntekt med 45 pst. For overskudd som deles ut, betales en skatt på 30 pst. I tillegg betales solidaritetsskatt med 5,5 pst. Kommunal inntektskatt svares med mellom 13 pst og 20,5 pst. Den kommunale skatten gir rett til fradrag i forhold til statsskatten. Totalt beskattes utdelte inntekter med om lag 40 til 45 pst.
Det gjelder en godtgjørelsesmetode som gir aksjonæren kreditt for den skatten som er betalt av selskapet, slik at dobbeltbeskatning hindres.
Trygdeavgifter
Trygdeavgiften betales med et like stort beløp fra arbeidsgiver og arbeidstaker, beregnet på grunnlag av lønn, opp til et tak. Arbeidstakerens andel til pensjonsdelen er på 9,6 pst av netto lønn opp til et tak på DM 96 000. Helsedel svares av arbeidstakeren med 6,7 pst opp til et tak på DM 72 000. Arbeidsledighetstrygd svares med 3,25 pst opp til DM 96 000. Og endelig svares en omsorgsdel med 0,675 pst opp til DM 72 000. Samlet gir dette en trygdeavgift på opp til 20,2 pst. Hertil kommer arbeidsgivers bidrag som beregnes likt med det som gjelder for arbeidstaker, altså samlet opp til 20,2 pst, med de samme beløpsmessige begrensninger, og tak.
Formuesskatt
Formuesskatten er opphevet fra og med 1. juni 1997. Det ilegges eiendomsskatt.
5.2.6 Frankrike
Personbeskatning
Den skattepliktige inntekten for personlige skattytere består av inntekt, andel av overskuddet i visse selskaper og kapitalgevinst ved salg av enkelte private formuesgjenstander (f eks fast eiendom og aksjer).
Inntekten klassifiseres i ulike kategorier. Hovedkategoriene er virksomhetsinntekt, arbeidsinntekt, kapitalinntekt og kapitalgevinster. Virksomhetsinntekten omfatter inntekt i deltakerliknede selskaper, enten den blir utdelt eller ikke.
Skatten ilegges på nettoinntekten ved at summen av nettoinntektene fra de ulike kategorier utgjør skattegrunnlaget. Det gjelder regler om standardisert beregning av inntekten innenfor enkelte typer mindre virksomheter. Fradrag for tap er i enkelte kategorier begrenset til inntekter i samme kategori.
For å unngå dobbeltbeskatning gis det godtgjørelse for utbytte fra selskaper underlagt selskapsskatt.
Skattesatsen varierer fra 0 til 54 pst. Enkelte inntekter kan underlegges en fast skattesats. Eksempelvis gjelder dette for renter, der skattyter ved å tillate forskuddstrekk av skatt på rentene, kan oppnå en effektiv skattesats på 26 pst.
Kapitalbeskatning
Kapitalgevinster utenfor virksomhet ved salg av andeler og aksjer i selskaper er skattepliktige, men det gjelder et bunnfradrag på FrF 50 000 i 1998. Det gis skattefritak ved reinvestering i bestemte goder. Skattesatsen er avhengig av hvor mange aksjer skattyteren eier. Hvis han eier mindre enn 25 pst av aksjene, blir gevinsten underlagt en fast skattesats, der den effektive skattesatsen er på 20,9 pst. Har den skattepliktige mer enn 25 pst av aksjene, blir gevinsten skattlagt etter en fast skattesats på 26 pst (effektiv). Det samme gjelder ved salg av andel i deltakerliknede selskaper.
Fordelen ved å bo i egen bolig blir ikke skattlagt. Det gis i utgangspunktet ikke fradrag for utgifter til erverv og vedlikehold av egen bolig. Boliglånsrenter pådratt utelukkende i forbindelse med skattyterens hovedbolig er delvis fradragsberettiget i inntektsskatten. Kapitalgevinst ved salg av egen bolig samt personlige eiendeler er ikke skattepliktig.
Selskapsskatt.
Overskudd i selskaper skattlegges i utgangspunktet med 33,3 pst (i 1997). Beskatningen av kapitalgevinster i virksomhet varierer etter om den er oppstått innenfor en bedrift som defineres som småbedrift eller ikke, og etter om den er en gevinst på en kortsiktig investering eller på en langsiktig investering. Gevinster på langsiktige investeringer skattlegges etter en redusert effektiv sats på 26 pst. Gevinster på kortsiktige investeringer inngår i virksomhetsinntekten.
Trygdeavgift
Det eksisterer ulike trygdeordninger med ulike satser. Samlet svarer arbeidstakere en trygdeavgift med mellom 15 og 20 pst av inntekten mens arbeidsgiveren betaler mellom 35 og 45 pst.
Formuesskatt
Formuesskatt betales på formue over FrF 4,7 mill i 1998. Visse formuesgoder er unntatt fra formuesskatt. Formuesskatten er progressiv og kan komme opp i 1,5 pst på formue over FrF 45 580 000. Det gjelder en skattebegrensningsregel, slik at skatt på formue og inntekt ikke kan komme opp i mer enn 85 pst av inntekten.
5.2.7 USA
Personbeskatning
Personer skattlegges for deres samlede inntekter med progressive satser, avhengig av sivilstatus og forsørgelsesbyrde. I inntekten inngår lønn, inntekt fra virksomhet, renter, utbytte mv. Inntekter over om lag $ 271 000 skattlegges føderalt med 39,6 pst. Hertil kommer lokale skatter til de delstater, kommuner mv som skriver ut slike skatter. I snitt ligger disse skattene på 7,4 pst. De lokale skattene er fradragsberettiget i statsskatten, noe som gir en gjennomsnittlig effektiv lokal skattesats på om lag 4,5 pst.
Kapitalbeskatning
Kapitalinntekter skattlegges i utgangspunktet sammen med øvrig inntekt. Visse typer inntekter fra langsiktige investeringer (over ett år) skattlegges som kapitalinntekter med 28 pst. Etter hovedregelen er alle renteutgifter fradragsberettiget.
Selskapsbeskatning
Selskaper beskattes progressivt i forhold til den skattepliktige inntekt. Maksimal marginalskatt på selskapsinntekt er 35 pst. Inntekt inntil $ 50 000 skattlegges med 15 pst, de neste $ 25 000 skattlegges med 25 pst. Inntekter mellom $ 75 000 og $ 10 mill skattlegges med en sats på 34 pst. USA praktiserer dobbeltbeskatning, slik at utbytte fra selskap er skattepliktig hos mottaker samtidig som overskuddet er beskattet hos selskapet. Når det er et selskap som mottar utbytte, gis et fradrag med 70 pst av den mottatte godtgjørelse. Dersom selskapene tilhører samme konsern, gis 100 pst fradrag for mottatt utbytte.
Trygdeavgift
Arbeidstakerens andel til pensjonsdelen er i utgangspunktet på 6,2 pst av netto lønn inntil et tak på $ 68 400. I tillegg svares en sykedel med 1,45 pst. Samlet utgjør således arbeidstakerens andel av trygdeavgiften 7,65 pst inntil $ 68 400. Arbeidsgiveren svarer en avgift lik arbeidstakerens. Videre betaler arbeidsgiver et tillegg til arbeidsledighetsforsikringen på 6,2 pst av de første $7 000.
Næringsdrivende svarer en trygdeavgift på 15,3 pst for inntekter opp til $ 68 400 og på 2,9 pst for inntekter over dette beløp. Halvparten av avgiften er fradragsberettiget i næringsinntekten.
Formuesskatt
Det er ingen føderal formueskatt, men enkelte delstater, kommuner mv pålegger skatt på personlig formue.
5.3 Skatt på næringsvirksomhet i de nordiske landene
5.3.1 Sverige
Med virkning fra og med inntektsåret 1995 gjeninnførte Sverige et system med dobbeltbeskatning av aksjeutbytte. Likeledes er aksjegevinster skattepliktig fullt ut som kapitalinntekt.
I Sverige beskattes overskudd i aksjeselskaper med en skattesats på 28 pst. Utbytte fra aksjeselskapet skattlegges som kapitalinntekt med en sats på 30 pst. Marginal skattesats for arbeidsinntekt er på 61,6 pst i 1998. I tillegg svarer arbeidsgiver en arbeidsgiveravgift på 33,03 pst. Marginal skattesats på næringsinntekt er 73, 6 pst. Som følge av satsforskjellene vil det kunne være lønnsomt å klassifisere størst mulig av uttaket fra selskapet som utbytte og ikke som arbeidsinntekt. For å motvirke skattemessige tilpasninger der det er et nært interessefellesskap mellom selskap og aktive eiere, er det innført særregler for skattlegging av såkalte «fåmannsforetak». De særlige utbytte- og gevinstreglene som framstilles i det følgende, gjelder bare de aksjonærer som er eller har vært aktive i de siste fem foregående inntektsår. For passive aksjonærer gjennomføres bare alminnelig utbytte- og aksjegevinstbeskatning. Reglene for fåmannsselskaper gjelder ikke for selskaper som er børsnoterte, og heller ikke for boligselskaper.
Fåmannsforetak er definert som et aksjeselskap eller en økonomisk forening hvor én eller et fåtall fysiske personer eier så mange andeler at de har mer enn halvparten av stemmene som aksjene gir. I praksis er grensen satt ved om lag 10 personer. I det svenske systemet finnes det også et sett av regler som skal hindre omgåelser ved en identifikasjon av ulike aksjonærer. Hovedpoenget kan i likhet med det norske sies å være å skille ut aktive aksjonærer som har en viss kontroll over og interesse i det økonomiske resultat.
Hovedprinsippet i særreglene for aktive aksjonærer er at det for selskapet beregnes en «normalavkastning». Den delen av utdelt utbyttet som ligger innenfor normalavkastningen, skal beskattes som kapitalinntekt. Utbytte som overstiger den aktuelle normalavkastning, beskattes som arbeidsinntekt. I hovedregelen skjer beregningen av normal-avkastningen på grunnlag av aksjenes historiske kostpris, tillagt ikke utdelt kapitalavkastning fra tidligere år. Avkastningsgrunnlaget multipliseres med en avkastningsrate fastsatt som statslånsrenten tillagt 5 pst, for 1996 er dette om lag 14 pst. Utover aksjenes kostpris kan den del av selskapets lønnskostnader som overstiger 10 «basbelopp» (basbeloppet for 1998 er SEK 36 400) tillegges beregningsgrunnlaget. Det er en forutsetning at den aktive aksjonær selv har tatt ut en lønn fra selskapet tilsvarende minst 120 pst av høyeste arbeidsgodtgjørelse til annen arbeidstaker i selskapet eller at den er minst 10 basbelopp.
Den beregnede normalavkastning beskattes altså som kapitalinntekt på aksjonærenes hånd, mens uttak ut over denne beregnede størrelsen skattlegges som arbeidsinntekt. Normalavkastningen vil også være belastet med selskapsskatt. Dersom faktisk uttak er lavere enn den beregnede normalavkastning, vil differansen kunne tas ut som kapitalinntekt senere år. Den del av normalavkastningen som ikke tas ut av selskapet, skal videre inngå i beregningsgrunnlaget for senere års utbytte, slik at det vil øke beløpet som kan tas ut som kapitalinntekt i senere år.
For å motvirke at det spares opp arbeidsinntekt i selskapet, som senere realiseres gjennom salg av aksjer, gjelder det at halvparten av aksjegevinsten skal beskattes som arbeidsinntekt. Her er det imidlertid innført et øvre tak på 100 basbelopp tilsvarende SEK 3,64 mill.
5.3.1.2 Enmannsforetak
Inntekter som innehavere av enmannsforetak oppebærer, skal enten beskattes som næringsinntekt eller som kapitalinntekt. Næringsinntekten omfatter den del av inntekten som skal henføres til næringsvirksomheten, beregnet etter nærmere regler. Den resterende delen av inntekten beskattes som kapitalinntekt. Kapitalinntekten beskattes med en skattesats på 30 pst, og næringsinntekten beskattes med en maksimal marginalskatt på om lag 66 pst, inklusive pensjonsavgifter.
Renter på bankinnskudd skal kun behandles som næringsinntekt dersom innskuddet kan henføres til næringsvirksomheten. Renter på kundefordringer og rente og utdelinger på omløpsmidler skal alltid anses som inntekt av næringsvirksomhet. Rente og utdelinger på verdipapir som ikke er omløpsmidler, skal beskattes som kapitalinntekt, uansett om verdipapiret er knyttet til virksomheten eller ikke. Vurderingen av om et verdipapir er et omløpsmiddel eller ikke, beror på regnskapsføringen, og dermed god regnskapsskikk. Utbytte og gevinst på aksjer, der aksjeeiet er betinget av næringsvirksomheten, skal beskattes som næringsinntekt dersom aksjene klassifiseres som omløpsmiddel, og som kapitalinntekt dersom aksjene er anleggsmiddel i virksomheten.
For å oppnå likebehandling i forhold til andre organisasjonsformer (særlig enmannsaksjeselskaper) skal den delen av inntekten som anses som næringsinntekt, deles i en nærings- og en kapitalinntektsdel. Det oppnås ved dette en skattlegging av normalavkastningen som kapitalinntekt. Delingen skjer ved en såkalt rentefordeling på grunnlag av et beregnet fordelingsgrunnlag.
Fordelingsgrunnlaget utgjør som hovedregel forskjellen mellom eiendeler og gjeld (egenkapitalen) i næringsvirksomheten ved utgangen av året før inntektsåret, beregnet i forhold til skattemessige verdier. Som eiendeler regnes ikke aksjer, andel i svensk «ekonomisk förening«, fordringer, utenlandsk valuta eller løsøre med mindre realisasjonsgevinst er å anse som næringsinntekt. Som gjeld regnes også enkelte typer avsetninger, f eks garantiavsetninger.
Positiv rentefordeling innebærer at det gis fradrag for en sjablonmessig beregnet avkastning av fordelingsgrunnlaget. Avkastningen settes til statslånsrenten tillagt 5 pst (om lag 14 pst). Det beløp som fradras i næringsinntekten, beskattes som kapitalinntekt.
Negativ rentefordeling anvendes der fordelingsgrunnlaget er negativt. Den beregnede avkastning skal da fradras i kapitalinntekten. Avkastningen beregnes til statslånsrenten tillagt 1 pst (om lag 10 pst i 1998). Ordningen med negativ rentefordeling skal hindre misbruk ved at lån ment til privat forbruk opptas i næringsvirksomheten.
Skattesatsen for aksjeselskaper er 28 pst, mens den er inntil 66 pst på marginen for næringsdrivende. For ytterligere å likestille personlige næringsdrivende med aksjeselskaper er det innført en ordning med «expansionmedel».
Ordningen innebærer at det gis fradrag i næringsinntekten for avsetninger til ekspansjonsmidler, mens reduksjon i ekspansjonsmidler skal inntektsføres. Ved avsetning til ekspansjonsmidler betales det en «expantionsmedelskatt» på 28 pst (tilsvarende den skatt aksjeselskaper ville ha betalt på overskudd som senere brukes til investeringer). Ved reduksjon av ekspansjonsmidlene godskrives skattyteren et beløp som tilsvarer 28 pst av reduksjonen. For at ikke midler skal kunne nyttes utenfor virksomheten eller til privat konsum, er det innført et tak for avsetninger til ekspansjonsmidler. Taket tilsvarer i prinsippet fordelingsgrunnlaget etter rentefordelingen.
Ved opphør av næringsvirksomhet må ekspansjonsmidlene reduseres til null og tas til inntekt slik som beskrevet ovenfor, og de beskattes da som næringsinntekt med progressive satser. Ved omdannelse til deltakerliknet selskap eller aksjeselskap gjelder særregler som innebærer at ekspansjonsmidlene ikke behøver reduseres med dertil hørende beskatning.
5.2.1.3 Deltakerliknede selskaper
Deltakerliknede selskaper betegnes i Sverige som «handelsbolag». I likhet med det som gjelder i Norge, er slike selskaper ikke egne skattesubjekter, men er beregningsenheter for likning av deltakerne. Det vil si at de skattlegges etter en nettoligningsmetode der resultatet fastsettes på selskapets hånd for deretter å fordeles på deltakerne etter deres andeler i selskapet.
I prinsippet beskattes all inntekt i et handelsbolag som næringsinntekt. Til forskjell for det som gjelder for enmannsforetak henføres således gevinster på aksjer og andre verdipapirer til næringsvirksomheten. Det samme gjelder for renter og utdelinger.
Reglene om rentefordeling og ekspansjonsmidler gjelder også for de deleiere i handelsbolag som er fysiske personer. Det innebærer at også deltakere i handelsbolag beskattes for en beregnet kapitalinntektsdel av næringsinntekten som kapitalinntekt, og dermed bare beskattes med 28 pst for midler som holdes tilbake i selskapet.
Ved avhendelse av andel i handelsbolag skal ekspansjonsmidlene reduseres til null. Det samme gjelder ved oppløsning av selskapet. Dette innebærer at innestående ekspansjonsmidler beskattes som næringsinntekt.
Ved realisasjon av andel gjelder, tilsvarende det norske system, at inngangsverdien økes med tilskudd til selskapet og reduseres med uttak. Inngangsverdien skal videre økes med skattepliktig inntekt og reduseres med fradragsberettiget underskudd.
5.3.2 Finland
5.3.2.1 Aksjeselskap
I Finland skattlegges overskudd i aksjeselskaper med en sats på 28 pst. Maksimal marginal skattesats for lønn og næringsinntekt er 62,8 pst i 1998. Ved beskatning av aksjeutbytte skilles det i Finland mellom børsnoterte og ikke-børsnoterte selskaper.
Utbytte på aksjer i børsnoterte selskaper beskattes som kapitalinntekt med en sats på 28 pst. I likhet med det som gjelder i Norge gis det godtgjørelse for den skatt selskapet har betalt på overskudd, hvilket i praksis gjør utbytte fra børsnoterte selskaper skattefri på aksjonærenes hender.
For ikke-børsnoterte aksjeselskaper er utbytte inntil 15 pst (13,5 pst fom 1999) av aksjenes verdi skattefritt på aksjonærens hånd på samme måte som i børsnoterte selskaper. Aksjeverdien er beregnet på grunnlag av selskapets substansverdier (i hovedregelen fastsatt til skattemessig nedskrevet verdi). Overskytende utbytte skattlegges med progressive skattesatser som arbeidsinntekt.
Uttaksmetoden for aksjeutbytte gjelder for alle aksjonærer uten hensyn til om de er aktive i selskapet eller ikke. Dette innebærer i prinsippet en høyere beskatning av passiv kapitalplassering i ikke-børsnoterte selskaper enn det som gjelder ved kapitalplassering i børsnoterte selskaper. I praksis er det likevel grunn til å tro at det vil være svært få passive aksjonærer som vil få utbyttet beskattet som lønnsinntekt, da det bare unntaksvis er aktuelt med utbytte som overstiger 15 pst av aksjenes beregnede verdi (13,5 pst fom 1999).
På den annen side vil reglene kunne innebære en for lav beskatning av de aktive aksjonærene, ved at ikke hele den delen av overskuddet som skyldes deres arbeidsinnsats, blir behandlet som arbeidsinntekt. De aktive aksjonærene kan forhøye den delen av utdelingen som skal behandles som utbytte, ved å ta ut mindre lønn og derved la det økte overskuddet inngå i grunnlaget for kapitalinntektsdelen av framtidige utbytteutdelinger.
Ved valg av metode for beskatning ble det lagt vekt på å ha en metode som var enkel å praktisere og som ikke oppfordret til uønskede tilpasninger. Etter myndighetenes oppfatning var det ikke mulig å utforme tilfredsstillende kriterier for å skille mellom aktive og passive aksjonærer.
Dersom utbytteutdelingen et år er lavere enn 15 pst (13,5 pst fom 1999) av aksjenes beregnede verdi, kan den ubenyttede kapitalinntektsdel ikke framføres til senere år. Dette innebærer at reglene motiverer til at det hvert år deles ut utbytte opp til grensen for kapitalinntekter. På den annen side medfører forbudet mot framføring at reglene blir likningsmessig enkle.
Aksjegevinster er skattepliktig med 28 pst, og det er ikke systemer til motvirkning av dobbeltbeskatning av tilbakeholdt beskattet overskudd i selskapet (tilsvarende RISK i Norge). Det er heller ikke innført noe skille mellom aktive og passive aksjonærer. Det forhold at ikke noe av gevinsten beskattes som lønnsinntekt, innebærer at virkningen av underbeskatning av aktive aksjonærer forsterkes. Aktive aksjonærer kan ta ut lite lønn og heller ta ut tilbakeholdt overskudd som kapitalinntekt ved salg av aksjene. Selv om det da vil bli en dobbeltbeskatning kan dette likevel være lønnsomt som følge av høy marginalskattesats på lønnsinntekt (61 pst i 1998).
5.3.2.2 Enmannsforetak
Virksomhetsinntekt i enmannsforetak beskattes som næringsinntekt med en maksimal marginal sats på 61 pst. Virksomhetsutøverens kapitalinntekt skal beskattes med en sats på 28 pst. Forskjellen i satsene gjør det avgjørende hvor grensen trekkes.
For å sikre nøytralitet i forhold til aksjeselskaper blir næringsinntekt fra enmannsforetak delt opp i en kapitalinntektsdel og en næringsinntektsdel. Det skal beregnes en kapitalavkastning som kan trekkes fra den samlede næringsinntekt og som så skal skattlegges som kapitalinntekt med 28 pst.
Den beregnede kapitalavkastning skal også for personlig næringsdrivende settes til 18 pst av virksomhetens nettoformue. Ved verdsettelsen benyttes verdiene ved formuesligningen, hvilket i hovedregelen tilsvarer skattemessig nedskrevne verdier.
I motsetning til det som gjelder i Sverige og Danmark, er det ingen regler som gir adgang til at overskudd som holdes tilbake i virksomheten, kan beskattes med en lavere sats. Det har i den senere tid vært vurdert å innføre en ordning med ekspansjonsmidler lik den som gjelder i Sverige, men dette er ikke funnet formålstjenlig.
5.3.2.3 Deltakerliknede selskaper
Ansvarlige selskaper, kommandittselskaper mv er heller ikke i Finland egne skattesubjekter. Beskatningen av deltakerne i slike selskaper skjer i hovedregelen på samme måte som for enmannsforetak.
5.3.3 Danmark
5.3.3.1 Aksjeselskaper
Det er ikke innført særregler for aktive eiere i aksjeselskaper. Lønn til aktive eiere fradragsføres hos selskapet og inntektsføres hos mottaker. Som følge av dobbelbeskatning av utbytte blir den samlede beskatning av lønn og utbytte relativt lik, og ligningsmyndighetene aksepterer derfor i stor grad selskapenes fordelinger. Det kan imidlertid oppstå problemer ved verdsettelsen av overføringer. Her vil imidlertid likningsmyndighetene kunne korrigere den verdsettelse som skattyter har gjort, etter det såkalte armlengdeprinsippet. Folketinget vedtok den 26. juni 1998 en lov som direkte lovfester armlengdeprinsippet.
Privatpersoners gevinst ved salg av aksjer er skattepliktig og medregnes i kapitalinntekten når skattyteren har eid aksjene i mindre enn 3 år. For tap på slike aksjer gjelder en tapsbegrensningsregel, som innebærer at tap kun kan trekkes fra i fortjeneste på andre aksjer som avhendes innen 3 år etter ervervelsen. Overskytende tap, som ikke kommer til fradrag i inntektsårets fortjeneste, kan framføres til fradrag i fortjenester på avståelsen av aksjer i de følgende 5 inntektsårene for aksjer som er eiet i mindre enn 3 år. Det gjelder både børsnoterte og unoterte aksjer.
For aksjer som er eid i mer enn 3 år, må en imidlertid skille mellom børsnoterte og ikke-børsnoterte aksjer.
Privatpersoners gevinst ved salg av børsnoterte aksjer som er eid i minst 3 år, fra beholdninger som overstiger en kursverdi på DK 110 200, beskattes som aksjeinntekt, dvs med 25 pst for beløp inntil DK 35 000 og med 40 pst for overstigende beløp. Kursverdien må ikke ha oversteget det nevnte beløp verken ved utløpet av et inntektsår, umiddelbart før en avhendelse eller umiddelbart etter et erverv. Tap på slike børsnoterte aksjer, hvor fortjenesten ville ha vært skattepliktig, kan kun trekkes fra i inntektsårets fortjeneste på andre børsnoterte aksjer fra en beholdning over bunnbeløpet og som man har eid i 3 år eller mer. Overskytende tap kan framføres i de følgende 5 inntektsårene til fradrag i fortjeneste på børsnoterte aksjer over det nevnte bunnbeløpet og som er eid i minst 3 år.
Gevinst ved salg av ikke-børsnoterte aksjer eid i 3 år eller mer er alltid skattepliktig og beskattes som aksjeinntekt, dvs med 25 pst inntil DK 35 000 og med 40 pst av overstigende beløp. Tap på ikke-børsnoterte aksjer eid i 3 år eller mer kan trekkes fra ved oppgjør av aksjeinntekten. For ikke-børsnoterte aksjer, som avhendes 3 år eller mer etter ervervet, gjelder derfor ingen fradragsbegrensning, slik tilfellet er for aksjer eiet under 3 år og for børsnoterte aksjer. Blir aksjeinntekten etter tapsfradraget negativ, kan tapet medregnes i det skattepliktige beløpet med samme skattesats som for positiv aksjeinntekt. Et overskytende beløp kan framføres til det skattepliktige beløpet for de fem etterfølgende inntektsårene.
5.3.3.2 Enmannsforetak
For personlig næringsdrivende er det etablert en frivillig virksomhetskatteordning. Ordningen forutsetter at det utarbeides et selvstendig regnskap for virksomheten. For å oppnå likebehandling med øvrige eierformer skal en del av overskuddet, tilsvarende en beregnet kapitalavkastning, beskattes som kapitalinntekt.
Næringsdrivende som velger å stå utenfor ordningen, beskattes etter de vanlige regler for personbeskatning.
Utgangspunktet for ordningen er at nettoen av alle aktiva og passiva (verdsatt etter skattemessige verdier) som kan henføres til næringen, skal inngå i en innskuddskonto. Aksjer, anpart i anpartselskaper, andelsbevis samt visse typer obligasjoner holdes utenfor. Dette begrunnes med at gevinster på disse objektene i stor grad er skattefrie.
Etter at virksomhetsinntekten er gjort opp etter skattelovgivningens alminnelig regler, skal det overskudd som framkommer, deles opp i en kapitalavkastningsdel og et resterende overskudd. Den delen av kapitalavkastning som utbetales til den næringsdrivende, beskattes som kapitalinntekt, mens resten, som forblir i virksomheten, beskattes med virksomhetskatt på 34 pst. Når den oppsparte kapitalavkastning senere utbetales, beskattes den som personlig inntekt med fradrag av den innbetalte selskapsskatten.
Ved beregning av kapitalavkastningsdelen må det først fastsettes et kapitalavkastningsgrunnlag som tilsvarer virksomhetens egenkapital. Avkastningsgrunnlaget fastsettes til verdien av eiendelene som er omfattet av ordningen, fratrukket gjeld. Verdsettelsen skjer i hovedsak etter de samme regler som gjelder for innskuddskontoen, jf ovenfor.
Avkastningsgrunnlaget multipliseres med avkastningssatsen. Denne satsen fastsettes til gjennomsnittlig effektiv obligasjonsrente for årets første seks måneder, avrundet ned til nærmeste prosentpoeng. For 1997 utgjør denne 5 pst. Den beregnede kapitalavkastning kan ikke overstige årets skattepliktige overskudd og kan heller ikke settes lavere enn null. Resten av overskuddet kan overføres til den skattepliktige og beskattes da som personlig inntekt. Det som ikke overføres til den skattepliktige, men blir stående i næringen, beskattes med en sats på 34 pst.
Overføres tilbakeholdt overskudd til eieren på et senere tidspunkt, skal det gjennomføres en etterbeskatning som innebærer at skatten totalt sett blir som for personlig inntekt. For å skille mellom hva som tas ut av selskapet, er det innført en lovfestet rekkefølge for uttak. Oppspart kapitalavkastning og resterende overskudd fra foregående inntektsår som overføres til den skattepliktige innen utløpet av selvangivelsesfristen, 2 anses tatt ut først. Deretter følger kapitalavkastningen og dernest resterende overskudd for gjeldende inntektsår. Etter det igjen følger oppspart overskudd som overføres til skattyterens private del, før innestående på innskuddskontoen (egenkapitalen) til slutt følger.
Dersom skattyteren velger å tre ut av ordningen, skal kontoen for oppspart overskudd gjøres opp slik at beskatningen blir som for personlig inntekt. Det må derfor gjennomføres en etterbeskatning, da denne inntekten tidligere bare er beskattet med virksomhetsskatt på 34 pst. Det samme gjelder ved opphør eller salg av virksomheten. Det gjelder imidlertid en maksimeringsregel som innebærer at det ikke oppnås fradrag i den personlige inntekt for ervervsmessige renteutgifter, hvis det ikke er noe overskudd av virksomheten. Det oppnås heller ikke et slikt fradrag når den netto kapitalinntekten er positiv.
Som et alternativ til den relativt kompliserte virksomhetsordningen, kan den noe enklere kapitalavkastningsordningen benyttes. Den næringsdrivende oppnår med denne ordningen bl a full skatteverdi for rentefradrag vedrørende lån som kan knyttes til næringsvirksomheten. Dette skjer ved at det beregnes en kapitalavkastning av virksomhetens næringsaktiva, hvor gjeld som hovedregel ikke inngår i beregningsgrunnlaget. Den beregnede kapitalavkastning kommer til fradrag i den personlig inntekten og tillegges kapitalinntekten. Kapitalavkastningsordningen innebærer således at det gis et sjablonmessig fradrag i personlig inntekt for næringsvirksomhetens renteutgifter.
Både virksomhetsordningen og kapitalavkastningsordningen gir således mulighet for næringsdrivende til å oppnå fullt fradrag for renteutgifter knyttet til næringsvirksomhet.
5.3.3.3 Deltakerliknede selskaper
Deltakerliknede selskaper er ikke selvstendige skattesubjekter i Danmark. Som i Norge, er det dermed deltakerne som er skattesubjekter for selskapets resultat.
De enkelte deltakere kan benytte seg av de særregler som gjelder for selvstendig næringsdrivende etter de samme vilkår som gjelder for disse.
6 Skattesystemet i Norge
6.1 Innledning
I dette kapitlet gis en beskrivelse av skattesystemet i Norge. I avsnitt 6.2 drøftes hovedprinsipper i utformingen av det norske skatte- og avgiftssystemet. I avsnitt 6.3 gis det en beskrivelse av regler for personbeskatning i Norge, i hovedsak basert på 1998-regler. I avsnitt 6.4 gis det en nærmere vurdering av beskatningen av arbeid og kapital. I avsnitt 6.5 oppsummeres de viktigste momentene i kapitlet.
6.2 Hovedprinsipper ved utformingen av det norske skatte- og avgiftssystemet
Det har skjedd vesentlige endringer i det norske skattesystemet siden 1987. Omleggingene har gått i retning av mer generelle og brede skattegrunnlag, kombinert med en demping av skatteprogresjonen. Målsettingen har vært å øke avkastningen av kapital og arbeid, samtidig som skatteinntektene og inntektsfordelingen skulle være om lag uendret.
Skattesystemet var før reformen karakterisert ved høye formelle skattesatser, kombinert med omfattende fradrags- og skattekredittordninger, dvs ordninger som gav skatteutsettelse. Mange investeringer ble gjennomført med bakgrunn i de fradragsmulighetene og skattekredittene som var knyttet til dem. Verdien av fradragene og skattekredittene var høyest for dem med høyest marginalskatt. Skattesystemet oppmuntret til skatteplanlegging og disposisjoner som ikke var samfunnsøkonomisk lønnsomme. Selv om de formelle skattesatsene var høye, svekket de mange fradragsordningene den reelle omfordelende virkningen av skattesystemet.
Reformene i beskatningen ble innledet i inntektsåret 1987 gjennom økt vekt på bruttobeskatning og redusert progresjon på nettoinntekten. De maksimale skattesatsene på nettoinntekt ble gradvis senket fram mot skattereformen 1992. Dette medførte bl a at for høyinntektsgruppene ble den skattemessige verdien av fradrag redusert. Det ble videre lagt økt vekt på bruttobeskatning av skattytere med høye arbeidsinntekter mv. Skattytere med lavere og midlere inntekter ble skjermet.
Skattegrunnlaget ble også gradvis utvidet fra og med 1987. Dette skjedde gjennom registrering og skattlegging av inntekter som tidligere ikke inngikk i skattegrunnlaget og bortfall av særskilte fribeløp.
Skattereformen i 1992 omfattet både lønnstakere, trygdede, selskaper og personlig næringsdrivende. Et viktig trekk ved skattereformen var bl a innføring av en felles, flat skatt på 28 pst på alminnelig inntekt. Alminnelig inntekt for personer består av alle typer inntekt etter fradrag for bl a gjeldsrenter. Også bedrifter betaler 28 pst skatt på sitt overskudd. Andre viktige elementer i skattereformen var den såkalte kildemodellen for deling av personlig næringsdrivendes og aktive eieres inntekter (delingsmodellen), bredere skattegrunnlag mer i samsvar med faktiske inntekter kombinert med reduserte formelle satser, samt innføring av en toppskatt på arbeids- og pensjonsinntekter (personinntekt).
Hovedprinsippene bak reformen kan oppsummeres som følger:
Likebehandling (nøytralitet). Det vil si at skatten i størst mulig grad skal være den samme uavhengig av skattyternes disposisjoner. Dette omfatter likebehandling mellom bedrifter og personer, mellom ulike spareformer uavhengig av hvordan avkastningen anvendes, mellom ulike typer investeringer og næringer, mellom ulike eierformer, mellom ulike finansieringsformer, mellom nye og veletablerte bedrifter og mellom gevinster og annen kapitalinntekt.
Symmetri. Inntekter og tilhørende utgifter skal behandles likt. Det samme prinsippet for tidfesting (periodisering) skal legges til grunn både for skattepliktige inntekter og fradragsberettigede kostnader. Videre skal kostnader komme til fradrag med samme skattesats som tilsvarende inntekter skattlegges med.
Samordning. Underskudd skal kunne føres til fradrag mot overskudd.
Lave skattesatser. Lavere satser reduserer isolert sett avviket mellom samfunnsøkonomisk og privatøkonomisk lønnsomhet av ulike disposisjoner, og reduserer motivene for skatteomgåelser og lønnsomheten av skatteplanlegging.
Brede skattegrunnlag. Brede skattegrunnlag innebærer nærmere samsvar mellom faktiske inntekter og skattegrunnlaget. Dette styrker fordelingsegenskapene ved skattesystemet.
Andre viktige hensyn ved utformingen av skattesystemet har vært:
Skatteevneprinsippet. Ved utforming av skattesystemet bør det tas hensyn til den enkelte skattyters skatteevne. Det kreves et visst minimum av inntekt før den enkelte kan sies å ha noen økonomisk evne til å betale skatt. Når det gjelder personlige skattytere, er det naturlig ikke bare å se på den enkelte isolert, men også å ta hensyn til vedkommendes forsørgelsesbyrde. I tråd med et prinsipp om skatteevne, kan det være rimelig at det gis fradrag ved beregning av den skattbare inntekt for utgifter som har medgått til å anskaffe inntekten.
Fordelingshensyn.Skattesystemet har en målsetning om å virke inntektsutjevnende. Dette kan dels oppnås ved progressive skattesatser og dels ved ulike fradrag og overføringer, jf avsnitt 4.3.
Atferdsmessige ønsker.Enkelte skatteregler, det gjelder bla ulike fradragsordninger, er i hovedsak etablert ut fra et politisk ønske om bestemt atferd. Eksempel på fradrag som er ment å stimulere til en gitt økonomisk atferd er skattefradrag i forbindelse med sparing i BSU og AMS.
6.3 Gjeldende regler for beskatning av personer
I dette avsnittet beskrives hovedtrekkene i personbeskatningen i Norge. Det er i hovedsak tatt utgangspunkt i skattereglene for 1998.
I avsnitt 6.3.1 beskrives de generelle reglene for beskatning av personer. I avsnittene 6.3.2-6.3.4 følger en beskrivelse av reglene for beregning av inntektsskatt for hhv lønnstakere, pensjonister og personlig næringsdrivende. I avsnitt 6.3.5 omtales delingsmodellen. I avsnitt 6.3.6 beskrives sentrale fradrag i inntekt og skatt for lønnstakere. I avsnitt 6.3.7 redegjøres det for reglene for beskatning av kapitalavkastning, formue og eiendom, samt skatt på arv og gaver. Reglene for barnetrygd omtales i avsnitt 6.3.8.
6.3.1 Generelle regler for beskatning av personer
Personlige skattytere betaler inntektsskatt av to ulike grunnlag; personinntekt og alminnelig inntekt. Et unntak fra denne hovedstrukturen gjelder for pensjonister og en del enslige forsørgere med lave og midlere inntekter.
Alminnelig inntekt beregnes for alle skattepliktige, både personer og selskaper. Den alminnelige inntekten omfatter alle typer skattepliktige inntekter fra arbeid, virksomhet og kapital. For selskaper framkommer alminnelig inntekt etter fradrag for kostnader knyttet til næringsvirksomheten. Alminnelig inntekt for personer er personinntekt pluss næringsinntekter og kapitalinntekter minus minstefradrag, fradrag for utgifter til inntektens ervervelse og fradrag for gjeldsrenter mv.
Personinntektberegnes kun for personlige skattytere. Personinntekten omfatter inntekt av arbeid og pensjon uten fradrag av noen art. For personlig næringsdrivende, herunder lønnstakere med næringsinntekt og aktive eiere i selskaper, blir inntekt fra arbeid i virksomheten sjablonmessig beregnet ved hjelp av delingsmodellen. Trygdeavgiften og toppskatten utlignes på grunnlag av personinntekt.
Det progressive elementet i inntektsbeskatningen er i hovedsak ivaretatt gjennom bunnfradrag (klassefradrag og minstefradrag) og gjennom toppskatten. 3 Dette innebærer at skattytere med høye inntekter betaler forholdsvis mer i inntektsskatt enn personer med lave inntekter. Formuesskatten innebærer et progressivt element også i kapitalbeskatningen. Alle personlige skattytere er skattepliktig for nettoformue over et visst nivå.
Skattesystemet har to skatteklasser. Skatteklasse 2 omfatter ektefeller som lignes sammen og enslige forsørgere. Øvrige skattytere lignes i klasse 1. Ektefeller kan velge å bli lignet hver for seg i klasse 1. Det er kun hvis den ene ektefellen har ingen eller svært lav inntekt at det vil lønne seg for et ektepar å bli lignet sammen i klasse 2. Ektefeller skal alltid lignes sammen for formue, dvs i klasse 2. Enslige alderspensjonister lignes også alltid i skatteklasse 2 for formue.
Tabell 6.1 gir en oversikt over viktige skatteregler for 1998 og 1999. Skattesatser, ulike beløpsgrenser og de viktigste fradragene er gjengitt. Barnetrygden er tradisjonelt blitt oppfattet som en del av skattesystemet (som en negativ skatt) og barnetrygdsatsene er derfor også gjengitt i tabellen.
Tabell 6.1 Skattesatser og beløpsgrenser mv for 1998 og 1999
| Formuesskatten | 1998-regler | 1999-regler | ||
| Grenser. Kroner | Satser. Pst | Grenser. Kroner | Satser. Pst | |
| Kommune | ||||
| Klasse 1 og klasse 2 | 0 - 120 000 | 0,0 | 0 - 120 000 | 0,0 |
| 120 000 - | 0,7 | 120 000 - | 0,7 | |
| Stat | ||||
| Klasse 1 | 0 - 120 000 | 0,0 | 0 - 120 000 | 0,0 |
| 120 000 - 540 000 | 0,2 | 120 000 - 540 000 | 0,2 | |
| 540 000 - | 0,4 | 540 000 - | 0,4 | |
| Klasse 2 | 0 - 150 000 | 0,0 | 0 - 150 000 | 0,0 |
| 150 000 - 580 000 | 0,2 | 150 000 - 580 000 | 0,2 | |
| 580 000 - | 0,4 | 580 000 - | 0,4 | |
1 For Nord-Troms og Finnmark er satsen på 9,5 pst beholdt i 1999, men innslagspunktet er oppjustert til 269 100 kroner i klasse 1 og 318 600 kroner i klasse 2.
2 For fritidshus er det ikke bunnbeløp på 51 250 kroner for 1. trinn.
Kilde: Finansdepartementet.
6.3.2 Lønnstakere
6.3.2.1 Skatt på lønnsinntekter
Lønnsinntekt inngår i personinntekt og alminnelig inntekt. Alminnelig inntekt skattlegges med en flat sats på 28 pst. For personlige skattytere i Finnmark og Nord-Troms er satsen 24,5 pst.
Boks 6.1 Større endringer i skatteregler for 1999
Skattereglene for 1999 er i hovedsak en videreføring av skattereglene for 1998, jf tabell 6.1. Nedenfor angis de viktigste endringene i skattereglene for 1999:
Toppskatten er forenklet til kun ett trinn fom 1999 med en sats på 13,5 pst. Toppskattesatsen utgjør 9,5 pst for skattytere i Finnmark og Nord-Troms. Grensen for det nye trinnet er satt til 269 100 kroner i klasse 1 og 318 600 kroner i klasse 2.
Øvre grense i minstefradraget utgjør 34 900 kroner i 1999. Satsen er hevet fra 20 til 21 pst. Nedre grense i minstefradraget utgjør 3 900 kroner.
Særfradraget både for alder og uførhet mv utgjør 17 640 kroner i 1999. Dette innebærer en heving av særfradraget for alder som var 12 000 kroner i 1998, mens særfradraget for uførhet mv er nominelt uendret.
Grensen for betaling av trygdeavgift er hevet fra 17 000 kroner til 21 400 kroner i 1999.
Maksimalt fradrag for innbetalt fagforeningskontingent inkl forsikringspremie er redusert fra 1 800 kroner til 900 kroner i 1999.
Foreldrefradraget for dokumenterte utgifter til pass og stell av barn er økt til 25 000 kroner for ett barn og 30 000 kroner for to eller flere barn i 1999.
Fradrag for utgifter til reise mellom hjem og arbeid er forenklet i forhold til regelverket i 1998, samtidig som regelverket for bruk av bil er strammet inn. Denne omleggingen er nærmere omtalt i avsnitt 6.3.6.3.
Fribeløpet i arveavgiften er hevet fra 100 000 kroner til 200 000 kroner i 1999.
Av personinntekten beregnes det trygdeavgift på 7,8 pst og toppskatt til staten. Toppskatten hadde to trinn i 1998. Det første trinnet startet på 248 000 kroner i klasse 1 og 300 000 kroner i klasse 2. Skattesatsen på dette trinnet var 9,5 pst. Det andre trinnet startet på 272 000 kroner i klasse 1 og 305 000 kroner i klasse 2. Her var skattesatsen 13,7 pst. Personlige skattytere i Finnmark og Nord-Troms var fritatt for det øverste trinnet i toppskatten. I 1999 er de to trinnene i toppskatten erstattet med et nytt trinn med en sats på 13,5 pst. Toppskattesatsen utgjør 9,5 pst for skattytere i Finnmark og Nord-Troms. Grensen for det nye trinnet er satt til 269 100 kroner i klasse 1 og 318 600 kroner i klasse 2.
For skattytere med de aller laveste inntektene gjelder det spesielle regler. Det ble ikke betalt trygdeavgift av personinntekter under 17 000 kroner i 1998. Siden trygdeavgiften aldri skal utgjøre mer enn 25 pst av inntekten utover dette beløpet og det ikke blir innkrevd skatt hvis samlet skatt er under 300 kroner, ble det ikke betalt skatt av inntekter under 18 200 kroner i 1998. Grensen for å betale trygdeavgift utgjør 21 400 kroner i 1999, med en tilhørende «frikortgrense» på 22 600 kroner.
Bunnfradragene i gjeldende skattesystem består av minste- og klassefradrag. Minstefradraget gis i alminnelig inntekt og beregnes på grunnlag av lønns- og pensjonsinntekter mv begrenset opp til et visst nivå. Klassefradraget trekkes fra i alminnelig inntekt før skatten beregnes, og gis i utgangspunktet til alle personlige skattytere. Renteutgifter og enkelte andre kapitalutgifter og -tap er fradragsberettiget fullt ut. Ellers gis det en rekke særskilte fradrag, som f eks fradrag for skattytere bosatt i Finnmark og Nord-Troms, foreldrefradrag og fisker- og sjømannsfradrag. En oversikt over de viktigste fradragene er gitt i tabell 6.1 og i avsnitt 6.3.6.
Den marginale verdien av et fradrag tilsvarer skattesatsen på alminnelig inntekt. Figur 6.1 viser utviklingen i den maksimale marginale verdien av fradrag i netto inntekt/alminnelig inntekt fra 1986 til 1998. Denne verdien er gradvis blitt redusert fra 66,4 pst i 1986 til 28 pst fra og med 1992, og er nå lik for de aller fleste skattytere, uavhengig av inntektens størrelse.

Figur 6.1 Maksimal verdi av fradrag i nettinntekt/alminnelig inntekt for lønnstaker i klasse 1. 1998. Prosent
Bruttoelementet i inntektsbeskatningen kan defineres som den delen av skatten som avhenger av arbeidsinntekten alene, uavhengig av størrelsen på eventuelle inntektsfradrag. Bruttoelementet i dagens skattesystem er lik summen av trygdeavgift og toppskatt, fratrukket den reduksjon i skatt på alminnelig inntekt som følger av minstefradraget. Minstefradraget fungerte på samme måte som en reduksjon i trygdeavgiften på 5,6 prosentpoeng for lønnsinntekter inntil 163 000 kroner i 1998 og med 5,9 prosentpoeng for lønnsinntekter inntil 166 200 kroner i 1999. Figur 6.2 illustrerer utviklingen i bruttoelementet i inntektsskatten for ulike lønnsinntekter. Det framgår at endringene fra 1986 til 1998 har medført reduksjon i bruttoelementet i inntektsskatten for lønnstakergrupper med lave og midlere inntekter. Dette skyldes i all hovedsak økningen av minstefradraget. En ser også at bruttoelementet i inntektsskatten har økt markert for høyinntektsgrupper. Dette skyldes økningen i toppskatten.

Figur 6.2 Bruttoelementet1 i inntektsskatten for lønnstaker i klasse 1. Prosent av lønnsinntekten. 1998-kroner
1 Trygdeavgift fratrukket minstefradrag og tillagt eventuell toppskatt.
6.3.2.2 Arbeidsgiveravgiften
Alle som har ansatte plikter å betale arbeidsgiveravgift av lønn og annen godtgjørelse som utbetales til ansatte. Dette gjelder også for arbeidsgivere som ellers ikke er skattepliktige. Arbeidsgiveravgiften beregnes i all hovedsak på det samme grunnlaget som trygdeavgiften.
Arbeidsgiveravgiften er geografisk differensiert og satsene er inndelt i fem soner, jf tabell 6.2. I tillegg er arbeidsgiveravgiften ytterligere 12,5 prosentpoeng høyere for inntekter som overstiger 16 G, som utgjør 710 600 kroner i 1998. Ordningen er generelt utformet og knyttet til den enkelte arbeidstakers bosted. Ordningen er lik for alle bedrifter (med unntak av statlig sektor), og omfatter også utenlandske arbeidstakere bosatt i Norge eller utenlandsk eide bedrifter.
Arbeidstakere som er bosatt i kommuner i distriktene har jevnt over lavere arbeidsgiveravgift enn arbeidstakere bosatt i kommuner i sentrale strøk. Det framgår av tabell 6.2 at nærmere 90 pst av det samlede grunnlaget for arbeidsgiveravgiften omfattes av sone 1 og sone 2. Gjennomsnittlig nivå for arbeidsgiveravgiften var i 1996 12,6 pst.
Satsene for arbeidsgiveravgiften og andel av samlet avgiftsgrunnlag i de ulike avgiftssonene er gjengitt i tabell 6.2.
Tabell 6.2 Sats for arbeidsgiveravgift og fordeling av grunnlaget for arbeidsgiveravgiften etter sone. (1. januar 1996)
| Sone og sats | Prosentvis fordeling |
| 1 (14,1 pst) | 77,6 pst |
| 2 (10,6 pst) | 11,8 pst |
| 3 (6,4 pst) | 0,3 pst |
| 4 (5,1 pst) | 8,4 pst |
| 5 (0,0 pst) | 2,0 pst |
De ulike geografiske sonene er sammensatt som følger:
Sone 1: Sentrale kommuner i Sør- og Midt-Norge
Sone 2: Øvrige kommuner i Sør- og Midt-Norge unntatt de som omfattes av sone 3 og sone 4
Sone 3: Frøya, Hitra, Osen, Roan, Åfjord og Smøla
Sone 4: Alle kommuner i Troms unntatt de som omfattes av sone 5, kommunene i Nordland samt 13 kommuner i Nord-Trøndelag
Sone 5: Alle kommuner i Finnmark samt 7 kommuner i Nord-Troms
Kilde: Statistisk sentralbyrå.
6.3.3 Pensjonister
Pensjonister og trygdede blir i utgangspunktet skattlagt på samme måte som lønnstakere. Det er imidlertid viktige unntak som sikrer at pensjonister betaler lavere skatt enn lønnstakere med tilsvarende inntekt. Dette gjelder på alle inntektsnivå, men forskjellen er relativt størst for personer med lave inntekter.
De viktigste særreglene er knyttet til den lavere trygdeavgiften på 3 pst på pensjonsinntekt mv, særfradrag for alder og uførhet mv, og at pensjonister med lav eller midlere inntekt får redusert inntektsskatten etter en særskilt skattebegrensningsregel (skatteloven § 78). Hovedsiktemålet med skattebegrensningsregelen er at minstepensjonister uten særlig formue eller inntekt utenom pensjon skal slippe å betale skatt, og at denne fordelen skal avtrappes gradvis når inntekten eller formuen øker. Alle pensjonister, både enslige og ektepar, blir dessuten skattlagt i klasse 2 for formue. Dette innebærer en fordel for enslige pensjonister sammenlignet med enslige lønnstakere.
På inntekter som ikke gir opptjening av pensjonspoeng, det vil si pensjoner og ev lønnsinntekt for skattytere over 69 år, betales lav trygdeavgift på 3 pst.
I 1998 utgjorde fullt særfradrag for alder 12 000 kroner, som med en skattesats på alminnelig inntekt på 28 pst isolert sett gav en skattereduksjon på 3 360 kroner. Særfradraget for uførhet utgjorde 17 640 kroner i 1998 som isolert sett gav en skattereduksjon på 4 939 kroner. I 1999 utgjør særfradraget både for alder og uførhet mv 17 640 kroner. Pensjonistektepar har kun rett til ett særfradrag, med mindre de begge er eller tidligere har vært uførepensjonister.
Skattebegrensningsregelen omfatter skatt på alminnelig inntekt og trygdeavgift, men ikke toppskatt eller formuesskatt. Ektefellers inntekter og eventuell formue ses alltid under ett når de skattlegges etter skattebegrensningsregelen. Regelen kan benyttes av alle som har fylt 70 år innen utgangen av inntektsåret. Skattytere som er yngre enn dette, men som har mottatt alders- eller uførepensjon fra folketrygden, etterlattepensjon eller førtidspensjon (AFP) har imidlertid også rett til å komme inn under skattebegrensningsregelen. Det samme har enslige forsørgere med overgangsstønad.
Det skulle ikke beregnes skatt for skattytere som har krav på skattebegrensning når alminnelig inntekt (før særfradrag mv) med tillegg av 3 pst av ev nettoformue over 200 000 kroner var under 69 700 kroner for enslige i 1998. Den tilsvarende grensen for ektepar var 108 500 kroner dette året. I 1999 utgjør de tilsvarende grensene hhv 71 800 kroner for enslige og 117 500 kroner for ektepar. Når beregningsgrunnlaget overstiger disse inntektsgrensene, skal skatten begrenses til 55 pst av det overskytende beregningsgrunnlaget.
For dem som omfattes av skattebegrensningsregelen ble den effektive marginalskatten på pensjons- og lønnsinntekt 44 pst etter 1998-regler, fordi en kunne trekke fra minstefradraget på 20 pst av lønns- og pensjonsinntekten. Regelen medførte at enslige pensjonister uten andre inntekter enn pensjon, uten nettoformue over 200 000 kroner og uten andre fradrag enn standardfradrag, kunne ha opptil 87 125 kroner i pensjon i 1998 uten å betale skatt. 4 Det tilsvarende nivået for pensjonistektepar var 135 625 kroner i 1998. Disse grensene utgjør 90 885 kroner for enslige pensjonister og 148 735 kroner for pensjonistektepar basert på regelverket i 1999.
For pensjonister med formue skal den skattepliktige inntekten ved fastsettelsen av beregningsgrunnlaget for skattebegrensningsregelen tillegges et beløp tilsvarende 3 pst av eventuell nettoformue over 200 000 kroner. Grensen gjelder både enslige og ektepar. Formuestillegget kan derfor innebære at pensjonister med lav inntekt, men relativt høy formue, får lavere skatt ved å benytte de ordinære skattereglene for pensjonister.
For en enslig alderspensjonist uten andre inntekter enn pensjon, uten nettoformue over 200 000 kroner og ingen fradrag utover minstefradraget og eventuelt særfradrag, gav ligning etter skattebegrensningsregelen lavere skatt enn ordinære skatteregler ved inntekter opp til en inntekt på om lag 150 400 kroner i 1998. Tilsvarende grense for ektepar var 225 700 kroner, når den ene er minstepensjonist. I 1999 utgjør de tilsvarende grensene i skatteberegningsregelen hhv 148 320 for enslige alderspensjonister og 243 100 kroner for ektepar, når den ene er minstepensjonist.
Figur 6.3 illustrerer beregnet skatt i 1998 etter skattereglene for en enslig lønnstaker og en enslig pensjonist (regnet inklusive og eksklusive skattebegrensningsregelen). Det er lagt til grunn at pensjonisten bare har pensjonsinntekt.

Figur 6.3 Beregnet skatt for en enslig lønnstaker og for en enslig alderspensjonist (inklusive og eksklusive skattebegrensningsregelen). 1998-regler. Det er lagt til grunn at skattyterne ikke har andre inntekter enn lønn/pensjon, og at de ikke betaler formuesskatt
Tabell 6.3 viser gjennomsnittsskatt og skatt i kroner i 1998 for en enslig lønnstaker og en enslig alderspensjonist på ulike inntektsnivå. Tabellen illustrerer at forskjellene i gjennomsnittsskatt målt i prosentpoeng er størst for lave inntekter.
Tabell 6.3 Gjennomsnittsskatt og skatt i kroner på utvalgte inntekter for en enslig lønnstaker og en enslig alderspensjonist1. Regler for 1998.
| Lønnstaker | Alderspensjonist | |||||
| Inntekt Kroner | Gj.snittsskatt i pst | Skatt Kroner A | Gj.snittsskatt i pst | Skatt Kroner B | Skattefordel Kroner A-B | Skattefordel i prosentpoeng |
| 75 000 | 20,9 | 15 650 | 0 | 0 | 15 650 | 20,9 |
| 100 000 | 23,2 | 23 200 | 5,7 | 5 665 | 17 535 | 17,5 |
| 125 000 | 24,6 | 30 750 | 13,3 | 16 665 | 14 085 | 11,3 |
| 150 000 | 25,5 | 38 300 | 18,4 | 27 665 | 10 635 | 7,1 |
| 175 000 | 26,6 | 46 522 | 19,9 | 34 762 | 11 760 | 6,7 |
| 200 000 | 27,7 | 55 472 | 21,3 | 42 512 | 12 960 | 6,4 |
| 225 000 | 28,6 | 64 422 | 22,3 | 50 262 | 14 160 | 6,3 |
| 250 000 | 29,4 | 73 562 | 23,3 | 58 202 | 16 360 | 6,1 |
| 275 000 | 30,9 | 85 013 | 24,9 | 68 453 | 16 560 | 6 |
| 300 000 | 32,5 | 97 388 | 26,5 | 79 628 | 17 760 | 6 |
1 Det forutsettes at personene ikke har formue eller andre inntekter eller andre fradrag enn standardfradrag.
6.3.4 Personlig næringsdrivende
For personlig næringsdrivende gjelder den samme satsstrukturen som for lønnstakere, med visse unntak. For det første gis det ikke minstefradrag i næringsinntekt. Næringsdrivende kan imidlertid trekke fra faktiske utgifter knyttet til virksomheten. For det andre betaler næringsdrivende trygdeavgift etter en sats på 10,7 pst for beregnet personinntekt opp til 12 G. Over dette nivået gjelder den ordinære trygdeavgiftssatsen på 7,8 pst opp til et visst nivå, jf avsnitt 6.3.5.2. Det svares ikke arbeidsgiveravgift av næringsinntekt.
I praksis vil nær alle personlige næringsdrivende få fastsatt fordelingen av næringsinntekten på hhv kapitalinntekt og arbeidsinntekt gjennom delingsmodellen, jf neste avsnitt.
6.3.5 Delingsmodellen
6.3.5.1 Prinsipiell begrunnelse
Arbeidsinntekter (personinntekt) beskattes gjennomgående med en høyere skattesats enn kapitalinntekter (alminnelig inntekt), jf tabell 6.1. Denne to-delte satsstrukturen skaper behov for et eget regelverk for næringsdrivende. Dette skyldes at inntekter fra næringsvirksomhet hvor eierne deltar aktivt dels er avkastning på arbeid og dels er avkastning på kapital, men uten at dette skillet kommer fram i regnskapet eller på annen måte. Arbeidsavkastningens del av den samlede næringsinntekten må derfor anslås for skatteformål, slik at den kan ilegges trygdeavgift og ev toppskatt. Delingsmodellen har som siktemål å gjøre dette, og bygger bro mellom personbeskatning og næringsbeskatning ved at den sikter mot å beskatte arbeidsinnsats i næringsvirksomhet likt med f eks lønnstakernes arbeidsinnsats.
Delingsmodellen gjelder også for aksjeselskaper og deltakerlignede selskaper. Hvis ikke delingsmodellen hadde vært gjort gjeldende for selskaper der aktive eiere har betydelige eierinteresser, ville forskjellen i skattesatsen på kapitalinntekter og arbeidsinntekter gitt sterke motiver til skattemessige tilpasninger. En aktiv eneaksjonær ville f eks betale vesentlig mindre skatt hvis han reduserte sin egen lønn i selskapet og i stedet tok ut utbytte. Videre ville næringsdrivende kunne omdanne virksomheten til selskap og ta ut kompensasjon for arbeidsinnsats som aksjeutbytte, noe som ville medført forskjellsbehandling overfor lønnstakere. I boks 6.2 gis en beskrivelse av reglene for å fastsette hvem som er delingspliktige.
Boks 6.2 Kriterier for deling
Skatteloven stiller opp visse kriterier som skal være oppfylt for at deling blir aktuelt. Disse kriteriene kan deles i tre typer:
1. Organisasjonsform
Det kan beregnes personinntekt for:
Personlig næringsdrivende (enmannsforetak)
Deltakere i deltakerlignede selskaper, dvs ansvarlige selskaper, kommandittselskaper, indre selskaper og selskaper med delt ansvar
Aksjonærer i aksjeselskaper med nærmere angitte kjennetegn
2. Aktivitet
Deling skal bare gjennomføres når kravet til eierens/aksjonærens aktivitet er oppfylt. For personlig næringsdrivende i enmannsforetak er aktivitetskravet praktisk talt alltid oppfylt.
I aksjeselskaper kan det være vanskelig å fastslå om aktivitetskravet er oppfylt. Aktivitet forutsetter at aksjonæren deltar i driften av selskapet, men det kreves ikke at eieren har sin overveiende beskjeftigelse i selskapet. Det kreves heller ikke at den aktive deltar i selskapets ledelse. Styreverv anses alene ikke som aktivitet.
Hovedregelen for aktivitetskravet er at den enkelte eiers arbeidsinnsats må være mer enn sporadisk og utgjøre mer enn 300 timer i det enkelte år. For liberale yrker gjelder ikke 300-timerskravet. Har eieren i løpet av året påbegynt eller opphørt med arbeidsinnsats i foretaket regnes arbeidsinnsatsen som aktivitet bare dersom den strekker seg over en lengre periode enn to måneder.
3. Eierandel/utbyttekrav
Deling av inntekt gjennomføres i selskaper der en eller flere aktive i selskapet alene eller til sammen eier to tredeler eller mer av aksjene/andelene i selskapet, eller har rett til mer enn to tredeler av utbyttet i selskapet. Grensen må ses på bakgrunn av at en gruppe med to tredelers eierandel vil ha den vesentlige eierinnflytelsen i selskapet. Grensen er også begrunnet ut fra en rent økonomisk synsvinkel. Lønnsomheten av å øke utbyttet ved å redusere lønnen er liten for den aktive dersom passive eiere (som mottar utbytte, men ikke lønn) har en betydelig eierandel i selskapet. Med en eierandel under to tredeler er en slik tilpasning vanligvis ikke lønnsom, med mindre den aktive betaler høyeste toppskattesats.
Ved vurdering av eierandeler tas det også hensyn til aksjer som er eid av den aktives nærstående (identifikasjon). Identifikasjon betyr at aksjer som eies av nærstående behandles som om de var eid av den aktive selv. Bakgrunnen for denne regelen er at deling ellers kunne unngås ved at en aktiv eier eksempelvis overførte halvparten av aksjene til ektefelle eller mindreårige barn. Skatten for aksjer eid av nærstående tilordnes den aktive, slik at nærstående aldri selv blir tilordnet noen skatt på beregnet personinntekt.
Identifikasjon omfatter aksjer eid av deler av den aktives nære familie, samt aksjer som er eid av selskaper der den/de aktive eier minst to tredeler av aksjene eller har krav på minst to tredeler av utbyttet. Som nærstående regnes ektefelle, samboer og umyndige barn.
Hvis minst to tredeler av aksjene i selskapet eies av ansatte som hver for seg ikke eier mer enn 5 pst av aksjene, skal det som hovedregel likevel ikke foretas deling. Bakgrunnen for regelen er at den praktiske muligheten til å tilpasse fordelingen mellom lønn og utbytte er antatt å være langt lavere i selskaper med mange små aktive aksjonærer enn i selskaper med noen få store.
6.3.5.2 Prinsippene for å beregne skatt for delingspliktige
I dette avsnittet beskrives reglene for å beregne skatten for personlig næringsdrivende. Det er nødvendig med enkelte tilleggsregler for å tilpasse regelverket til aktive eiere i aksjeselskaper. Dette beskrives nærmere i avsnitt 6.3.5.3.
Delingsmodellen bygger på kildeprinsippet. Dette innebærer at næringsinntekten (skattepliktig årsresultat) korrigert for faktiske kapitalutgifter og tap, samt nærmere bestemte faktiske kapitalinntekter og gevinster blir delt etter antatt kilde til inntekten (arbeidsinntekt og kapital). Ved deling beregnes først hvor mye som skal regnes som avkastning på den investerte kapitalen, og som dermed skal beskattes med 28 pst som annen kapitalinntekt. Rent teknisk settes beregnet kapitalinntekt lik verdien av kapitalen i næringen multiplisert med en fast normert avkastningssats («kapitalavkastningsraten«). Videre gis det et lønnsfradrag etter nærmere fastsatte retningslinjer. Resten av næringsinntekten beskattes etter hovedregelen som personinntekt med trygdeavgift og toppskatt.
Dersom beregnet personinntekt blir negativ, kan denne framføres mot positiv beregnet personinntekt fra samme næring/selskap i senere år. Samordning med lønn/annen beregnet personinntekt er generelt ikke tillatt.
Nærmere om lønnsfradraget
I virksomheter med ansatte gis det lønnsfradrag. Lønnsfradraget utgjør 20 pst av samlet lønn, arbeidsgiveravgift og andre trygdeavgifter for de ansatte inkludert eiers egen lønn. Lønnsfradraget kan likevel ikke redusere den beregnede personinntekten for den enkelte skattyter til under 6 G (266 500 kroner i 1998).
Lønnsfradraget kan sies å være et brudd med en «ren» kildemodell, der hele den samlede avkastningen deles på hhv arbeid og kapital. Begrunnelsen for at det likevel er innført et lønnsfradrag er at fradraget til en viss grad kan ivareta hensynet til at enkelte former for immateriell kapital burde vært behandlet som en del av kapitalgrunnlaget. Dette gjelder blant annet immateriell kapital som gir seg utslag i en ekstra avkastning som følge av at ansatte jobber sammen. I slike tilfeller er summen av de ansattes innsats innenfor virksomheten høyere enn den ville vært om de ansatte jobbet hver for seg utenfor virksomheten.
Nærmere om kapitalavkastningsgrunnlaget
Jo høyere kapitalavkastningsgrunnlaget er, jo lavere blir den beregnede personinntekten og dermed skatten. Kapitalavkastningsgrunnlaget består av varige og betydelige driftsmidler, ervervet goodwill og andre ervervede immaterielle eiendeler, varer og kundefordringer. Grunnlaget reduseres med leverandørkreditter og kundeforskudd hvis disse er rentefrie eller dersom renten ligger vesentlig under markedsrenten.
Driftsmidlene som inngår i kapitalavkastningsgrunnlaget og som er anskaffet etter 1. januar 1992 kan verdsettes etter to alternative metoder:
Skattemessig bokført verdi. Skattemessig formuesverdi (ligningsverdi) benyttes for ikke-avskrivbare driftsmidler når denne er høyere enn skattemessig bokført verdi.
Regnskapsmessig bokført verdi.
For eiendeler som er anskaffet før 1. januar 1992 kan en i tillegg velge å bruke følgende to metoder (gjelder kun for driftsmidler):
35 pst av forsikringsverdien pr 31/12-1990.
Takstverdi etter særskilt taksering.
Avkastningsgrunnlaget verdsettes til middelverdien av inngående og utgående verdi.
Nærmere om kapitalavkastningsraten
Ved fastsettelse av kapitalavkastningsraten tas det utgangspunkt i det generelle rentenivået; nærmere bestemt renten på statsobligasjoner med fem års gjenstående løpetid. Det legges til et risikotillegg for å ta hensyn til at det kreves høyere forventet avkastning i næringsvirksomhet som gir usikker avkastning enn ved sikker plassering i form av bankinnskudd/obligasjoner. Risikotillegget er 6 pst.
Den fastsatte kapitalavkastningsraten er en maksimalsats, og en kan fritt velge en lavere rate (ned til 0 pst). Bakgrunnen for dette er at det i enkelte næringer kan være lav avkastning i forhold til kapitalinnsatsen, og at beregnet personinntekt derfor blir lav/negativ. Dette fører igjen til at de næringsdrivende i liten grad opparbeider seg trygderettigheter. Med en fleksibel rate nedover, vil det være mulig å opparbeide seg trygderettigheter mot å betale noe mer skatt.
Kapitalavkastningsraten er 11 pst i 1998 og 1999.
Nærmere om taket på beregnet personinntekt
Delingsmodellen bygger delvis på sjabloner. Resultatene av de sjablonpregede beregningene kan derfor avvike fra de reelle forholdene. I enkelte tilfeller vil den beregnede personinntekten være så høy at det kan være rimelig å anta at deler av denne springer ut av andre kilder enn den næringsdrivendes arbeidsinnsats. Slike utslag vil blant annet kunne oppstå i sterkt konjunkturrelaterte virksomheter, og i virksomheter med innslag av monopolprofitt/markedsmakt.
Det er fastsatt et tak på personinntekt fra delingsforetak. Inntekt over taket skattlegges som alminnelig inntekt, med 28 pst. Taket beregnes med utgangspunkt i samlet personinntekt den aktive opptjener i virksomheten. Dette omfatter lønn og sykepenger som erstatter lønn og beregnet personinntekt. Det er imidlertid bare beregnet personinntekt som kan nedsettes. Dette innebærer at aktive eiere med en lønn som tilsvarer taket på beregnet personinntekt ikke må svare trygdeavgift og toppskatt på positiv beregnet personinntekt.
Etter gjeldende regler er det et generelt tak på 16 G (710 600 kroner i 1998). Næringsdrivende og aktive eiere skal likevel betale bruttoskatter for den delen av personinntekten som ligger mellom 75 G (3 330 975 kroner i 1998) og 134 G (5 951 300 kroner i 1998).
For delingspliktige i liberale yrker, dvs kunnskapsbasert virksomhet som advokater, leger, tannleger, ulike konsulenter mv er det ikke lenger noen begrensningsregel. (Det er gitt nærmere regler om hvilke yrker som skal anses som liberale i forskrift). Årsaken til denne forskjellen er at delingsmodellen som sjablonregel antas å være langt mer treffsikker i tilfeller der det vesentlige av virksomhetsinntekten skriver seg fra arbeidsinnsats (typisk for liberale yrker), enn i mer kapitalintensive bedrifter. Dette har man ment innebærer at det ikke er det samme behov for å begrense personinntekten for skattytere i liberale yrker, da det antas at den personinntekten som beregnes i foretaket faktisk skriver seg fra arbeidsinnsats. For lønnstakere skjer det ingen begrensning av personinntekten. Av hensyn til likebehandling mellom lønnstakere og næringsdrivende foretas det heller ikke noen begrensning av personinntekten for skattytere med personinntekt fra liberale yrker.
6.3.5.3 Nærmere om deling i aksjeselskaper
Beregnet personinntekt for selskapet som helhet fastsettes etter de samme prinsippene som benyttes for personlig næringsdrivende, jf avsnitt 6.3.5.2. Den beregnede personinntekten fordeles på de aktive eierne etter eierandel, ev etter hvor stor andel av utbyttet de har krav på. De aktive aksjonærene må svare trygdeavgift og toppskatt av sin del av den beregnede personinntekten. Trygdeavgiftssatsen er som for personlig næringsdrivende.
Aktive aksjonærer blir ilignet skatt på beregnet personinntekt uavhengig av hvordan selskapets overskudd er disponert. Dette innebærer at aksjonærene kan bli skattlagt for andel av total beregnet personinntekt uavhengig av om aksjonærene har mottatt utbytte fra selskapet tilsvarende grunnlaget for den beregnede personinntekten.
Det kan tenkes at utbetalingene fra selskapet er lavere enn den skatten på selskapets personinntekt som tilordnes aksjonæren. I slike tilfeller kan det oppstå et likviditetsproblem. På denne bakgrunn er det innført en refusjonsordning, som går ut på at de aktive aksjonærene har krav på å få refundert skatten på beregnet personinntekt fra selskapet.
6.3.6 Sentrale fradrag i inntekt og skatt for lønnstakere
I det følgende gis en fremstilling av hovedreglene i tilknytning til de mest sentrale fradragene for personlige skattytere. I avsnitt 11.3 gis en nærmere vurdering av det enkelte fradrag.
6.3.6.1 Minstefradraget
Minstefradraget kan i hovedregelen kreves av alle med lønns- og pensjonsinntekter. Fradraget tilsvarte 20 pst av inntekten for 1998, begrenset oppad til 32 600 kroner og nedad til 3 700 kroner. I 1999 er satsen hevet til 21 pst av inntekten, opp til maksimalt 39 900 kroner. Nedre grense i minstefradraget utgjør tilsvarende 4 000 kroner i 1999. Minstefradraget kan dog ikke være høyere enn inntekten som fradraget beregnes av. Minstefradraget er et standardisert fradrag som skal omfatte de ulike fradrag som den enkelte har i forbindelse med utøvelsen av et arbeid, hvilket i hovedsak omfatter:
Flytteutgifter
Utgifter ved tjenestereiser (der dette ikke godtgjøres fra arbeidsgiver)
Utgifter til reise hjem/arbeidssted (under 7 000 kroner)
Kostutgifter ved lengre daglige fravær fra hjemmet
Hjemmekontor
Faglitteratur
Arbeidstøy/uniform
Verktøy
Utgifter til stedfortreder (vikar)
Premie til frivillig syke- og ulykkesforsikring
Premie til frivillig trygd etter folketrygdloven
Premie til pensjonstrygd for fiskere
Dersom de faktiske utgifter som minstefradraget er ment å dekke er større enn minstefradraget, kan det i stedet kreves fradrag for de virkelige utgiftene. Dersom en ektefelle krever fradrag for faktiske utgifter, kan den andre ektefellen kreve det standardiserte minstefradraget.
6.3.6.2 Klassefradrag
Klassefradrag gis til fysiske personer og kommer til fradrag i alminnelig inntekt. Personlige skattytere er delt i to klasser. I 1998 utgjorde klassefradraget 25 000 kroner i klasse 1 og 50 000 kroner i klasse 2. Beløpsgrensene er hevet til 26 300 kroner i klasse 1 og 52 000 kroner i klasse 2 i 1999.
6.3.6.3 Fradrag for reiseutgifter til og fra arbeidsstedet
Den delen av reiseutgifter mellom hjem og arbeidssted som overstiger 7 000 kroner kan det kreves fradrag for. Fradraget gis på grunnlag av kostnader til rutegående transport, uavhengig av hvilken transportmetode skattyter velger. Dersom bruk av bil er billigst, har det inntil inntektsåret 1998 vært gitt fradrag etter standardsats (1,95 kroner pr km). Fradraget ble beregnet på grunnlag av antall arbeidsdager i året, i hovedregelen 230 dager. Hadde skattyter fravær som følge av tjenestereiser, permisjoner el ble dette tatt hensyn til. Skattyter kunne kreve fradrag for bruk av bil dersom bilbruk forkortet samlet reisetid tur/retur med minst to timer.
Fra og med inntektsåret 1999 er det standardiserte regler for fradrag for utgifter til reise mellom hjem og arbeidssted (reiseavstandsmodell). Fradraget er 1,40 kroner pr km uavhengig av reisemåte og uavhengig av faktiske reisekostnader.
6.3.6.4 Kontingenter
Lønnstakere kan etter sktl § 44, fjerde ledd nr 1 kreve fradrag for kontingent til arbeidstakerorganisasjon dersom organisasjonen i vesentlig grad tar seg av medlemmenes lønns- og arbeidsvilkår og organisasjonen er landsomfattende og normalt organiserer lønnstakere fra flere enn én bedrift.
Fradrag for kontingent var begrenset til 1 800 kroner i 1998. I 1999 utgjør fradraget maksimalt 900 kroner.
Arbeidsgivere kan etter sktl § 44, fjerde ledd nr 2 kreve fradrag for kontingent til arbeidsgiverforening. Med arbeidsgiverforening menes enhver sammenslutning av arbeidsgivere eller arbeidsgiverforeninger, som har til formål å ivareta arbeidsgivernes interesser overfor deres arbeidstakere. Dersom en arbeidsgiver nekter å inngå tariffavtale med en ansatt som er organisert, bortfaller fradragsretten i sin helhet.
Fradrag for kontingent var begrenset til 4 promille av samlet lønnsutbetaling i 1998. Fradraget er redusert til 2 promille i 1999.
6.3.6.5 Innskudd til egen pensjonsordning
Etter sktl § 44 annet ledd kommer innbetalinger til individuell pensjonsavtale etter skatteloven (IPA) til fradrag i alminnelig inntekt. En individuell pensjonsavtale kan enten være en pensjonsforsikringsavtale eller en pensjonsspareavtale. Individuelle pensjonsavtaler erstatter og viderefører ordningen med egen pensjonsforsikring etter skatteloven (EPES).
Fradragsbeløpet er begrenset til 40 000 kroner i både 1998 og 1999. Den gjelder for alle personlige skattyteres avtaler om egen pensjonsordning og inkluderer innbetaling til premiefond. Beløpet må være innbetalt innen 31.12 i inntektsåret.
Fradragsrammen gjelder for hver av ektefellene. Innbetalingen er fradragsberettiget hos den av ektefellene som har betalt den. Ubenyttet del av fradragsrammen hos den ene ektefellen kan ikke overføres til den andre, selv om forsikringen er tegnet på den andre ektefellen. Dersom en ektefelle innbetaler 80 000 kroner, får denne ikke fradrag for mer enn 40 000 kroner.
6.3.6.6 Premie til pensjonsordning i arbeidsforhold
Arbeidstakerens andel av innbetalinger til pensjonsordninger i arbeidsforhold er fradragsberettiget i alminnelig inntekt. Arbeidsgivers andel til pensjonsordningen er fradragsberettiget hos arbeidsgiver og inngår i beregningsgrunnlaget for arbeidsgiveravgift. Arbeidsgivers andel er heller ikke skattepliktige hos arbeidstakeren på innbetalingstidspunktet. Utbetaling av pensjoner fra ordningen skattlegges som personinntekt for arbeidstakeren.
6.3.6.7 Gjeldsrenter
Etter skatteloven § 44 første ledd har alle skattytere rett til fradrag for renter. Fra den alminnelige hovedregel om rett til fradrag for alle typer renter er det gjort visse unntak. Når det gjelder renter ved kredittkjøp er det gjort visse begrensinger i fradragsretten. For øvrig er det ikke rett til fradrag for renter på restskatt (den manglende fradragsrett er hensyntatt ved fastsettelsen av renten).
6.3.6.8 Underholdsbidrag
Underholdsbidrag er normalt fradragsberettiget for den som betaler dette etter sktl § 44 første ledd bokstav e og skattepliktig for mottaker etter sktl § 42 fjerde ledd. Dette gjelder selv om bidragsyter ikke får fradrag i sin inntekt fordi vedkommende ikke har skattepliktig inntekt i Norge.
For at det skal kunne kreves fradrag for underholdsbidrag, må det foreligge en regelmessig understøttelse som en er forpliktet til å yte etter lov eller avtale og ytelsen må regnes som skattepliktig inntekt formottakeren.
Fradrag gis bare i alminnelig inntekt hos bidragsyter og er like ens bare skattepliktig som alminnelig inntekt hos mottaker. Det gis et ekstra minstefradrag i mottatt underholdsbidrag.
6.3.6.9 Foreldrefradrag
Etter sktl § 44 sjette ledd kan det kreves fradrag for dokumenterte utgifter til pass og stell av barn. Som barn regnes barn som er 11 år eller yngre, eller eldre barn med spesielle omsorgsbehov.
Fra og med inntektsåret 1998 er det etter hovedregelen tilstrekkelig at det foreligger dokumenterte utgifter til pass og stell av barn for å kreve fradraget. Fradraget gis i alminnelig inntekt og gis først i den høyeste inntekt dersom det ikke er enighet om en annen fordeling. Fradrag som ikke kan nyttiggjøres i den høyeste inntekten, kan overføres til fradrag i den laveste inntekten. Fradrag utgjorde inntil 20 700 kroner for ett barn og inntil 24 700 kroner for to eller flere barn i 1998. I 1999 er de tilsvarende beløpene/grensene hhv 25 000 kroner for ett barn og 30 000 kroner for to eller flere barn.
6.3.6.10 Særfradrag
Etter sktl §§ 76 og 77 gis særfradrag som følge av alder, uførhet, sykdomsutgifter og forsørgelsesbyrde.
Fradraget gis for det første i forhold til objektive kriterier etter sktl § 77 nr 1 og 2. Særfradrag for alder etter § 77 nr 1 utgjorde 1 000 kroner pr måned i 1998 fra fylte 70 år eller fra fylt 67 år når det ble hevet alderspensjon i folketrygden. Særfradrag som følge av uførhet gis etter § 77 nr 2 til uførepensjonister med minst 2/3 redusert ervervsevne. For denne gruppen var fradraget på kr 1 470 pr måned i 1998. I 1999 utgjør fradraget 1 470 kroner pr måned både til alders- og uførepensjonister.
Særfradrag kan for det andre innrømmes etter sktl § 77 nr 4 i forhold til mer skjønnsmessige kriterier. Skattytere som har sykdomsutgifter som overstiger 5 880 kroner (i 1998 og 1999) har rett til særfradrag. Når skattyter har rett til særfradrag settes dette i utgangspunktet til 8 820 kroner, både etter 1998- og 1999-regler. Dersom det kan dokumenteres høyere utgifter fastsettes fradraget likt med utgiftene.
For det tredje kan det gis særfradrag etter sktl § 76 for forsørgelse. I 1998 utgjorde beløpet inntil 5 000 kroner pr forsørget person. Fradraget er holdt uendret i 1999. Begrunnelsen for fradrag er at det ville virke urimelig å la forsørgerbyrden være uten betydning for skattleggingen av forsørgeren. I praksis gis det ikke slikt forsørgerfradrag der skattyter enten mottar barnebidrag, eller har rett på forsørgerfradrag i skatten.
6.3.6.11 Underskudd
Etter sktl § 45 kan en skattyter trekke fra et underskudd som oppstår i en næring eller virksomhet i inntekten fra andre næringer eller inntektskilder. En skattyter som både driver næring og er lønnsmottaker vil således kunne trekke fra et eventuelt underskudd i næringen i lønnsinntekten. For det tilfellet at det ikke er noen positiv inntekt å fradra underskuddet, følger det av sktl § 53 at ubenyttede underskudd som oppstår ett år kan fremføres til fradrag i de neste 10 års eventuelle overskudd.
Skattemessig underskudd vil oppstå når de fradragsberettigede utgifter er større enn den motsvarende skattemessige inntekten. Dette underskuddet kan også skyldes avskrivningsregler som gir høyere fradrag enn den faktiske verdireduksjon på den enkelte saldoobjekt. (Det aktuelle fradrag vil komme som en inntekt ved en eventuell realisasjon av driftsmidlet).
6.3.6.12 Sjømanns- og fiskerfradraget
Etter sktl § 44 syttende ledd kan sjøfolk kreve et særskilt sjømannsfradrag med inntil 30 pst av inntekten begrenset oppad til 70 000 kroner i 1998 og 1999. Hovedvilkår for sjømannsfradraget er at en har arbeidet minst 130 dager i inntektsåret på skip eller flytende installasjon og at dette har vært vedkommendes hovedbeskjeftigelse. Etter sktl § 49 nr 2 har fiskere som i minst 130 dager har utøvet fiske rett til et tilsvarende fradrag.
6.3.6.13 Særlige skatteregler for bosatte i Finnmark og Nord-Troms
Personlige skattytere i Finnmark og Nord-Troms er omfattet av enkelte særskilte skattemessige ordninger, jf avsnitt 6.3.2.1. For det første er skattesatsen for alminnelig inntekt 24,5 pst og ikke 28 pst som for øvrige skattytere. Dernest er det bare en sats for toppskatt, 9,5 pst. I 1998 ble det svart toppskatt av personinntekt over 233 000 kroner i klasse 1 og 282 500 kroner i klasse 2. I 1999 utgjør de tilsvarende inntektsgrensene hhv 269 100 kroner i klasse 1 og 318 600 kroner i klasse 2. Maksimal marginal skattesats for lønnstakere og næringsdrivende bosatt i Finnmark eller Nord-Troms er således hhv 41,8 pst og 44,7 pst. Videre har skattytere bosatt i Finmark og Nord-Troms rett til et særskilt fradrag i alminnelig inntekt på 15 000 kroner i klasse 1 og 30 000 kroner i klasse 2. Denne gruppen skattytere har også rett på forhøyet barnetrygd med 3 792 kroner pr barn pr år. Endelig betales det ikke generell arbeidsgiveravgift i Finnmark og Nord-Troms. Både i 1998 og 1999 skal det imidlertid svares en arbeidsgiveravgift på 12,5 pst på lønnsinntekter overskytende 16 G, som tilsvarer 710 600 kroner i 1998.
6.3.6.14 Aksjesparing med skattefradrag (AMS)
Reglene om Aksjesparing med skattefradrag (AMS) fremgår av sktl § 44 og innebærer at det gis fradrag i skatt med 15 pst av beløpet innbetalt til AMS-ordning, begrenset oppad til 5 000 kroner for skattytere i skatteklasse 1 og 10 000 kroner for skattytere i skatteklasse 2, dvs at maksimalt fradrag i skatt er hhv 750 kroner og 1 500 kroner. Det investerte beløp har en bindingstid på fire år. Skjer realisasjon eller pantsettelse før fristen, skal det gjøres et tilsvarende tillegg direkte i skatten.
6.3.6.15 Boligsparing for ungdom (BSU)
Reglene om Boligsparing for ungdom (BSU) fremgår av sktl § 44 11. ledd nr 1. Det gis fradrag i skatt med 20 pst av beløp innbetalt til BSU-konto begrenset oppad til 15 000 kroner, dvs at maksimalt årlig fradrag i skatt er 3 000 kroner. Samlet innbetalt sparebeløp på konto kan ikke overstige 100 000 kroner. For ektefeller som lignes under ett gjelder beløpsgrensene for hver av ektefellene. BSU-ordningen kan benyttes til og med det året skattyteren fyller 33 år. Det oppsparte beløp kan bare benyttes til anskaffelse av bolig. Dersom vilkårene for BSU-kontrakten brytes skal det gjøres tillegg i skatten det inntektsår et eventuelt kontraktsbrudd foreligger.
6.3.6.16 Forsørgerfradrag
Etter lov av 10. desember 1976 om forsørgerfradrag i skatt for barn og ungdom gis et fradrag i skatt for forsørgelsesbyrde. Fradraget er på 1 820 kroner for barn til og med det året de fyller 15 og på 2 540 kroner fra de fyller 16 til de fyller 18. Dersom det ikke foreligger tilstrekkelig skatt eller trygdeavgift å trekke forsørgerfradraget fra i, kommer differensen til utbetaling.
6.3.7 Skatt på kapitalavkastning, formue og eiendom
Kapitalbeskatningen omfatter skatt på inntekter fra kapital (kapitalavkastning i form av renteinntekter, aksjeutbytte, kapitalgevinster, leieinntekter ol), skatt på eiendomsrett til kapital (formuesskatt og eiendomsskatt) og skatt på overføringer av eiendomsrett til kapital (arveavgift og dokumentavgift (for fast eiendom)). I dette avsnittet gjennomgås den skattemessige behandlingen av kapitalinntekter, formue, eiendom og arv for personlige skattytere.
6.3.7.1 Renter mv
Renteinntekter og annen løpende avkastning av sparekapital inngår i alminnelig inntekt og skattlegges med 28 pst, mens renteutgifter kommer fullt ut til fradrag i det samme grunnlaget.
6.3.7.2 Gevinst og inntekt av egen bolig
Gevinst ved salg av bolig er i utgangspunktet skattepliktig som alminnelig inntekt. Har eieren før salget eid boligen mer enn ett år og brukt den som bolig i minst ett av de to siste årene, er eieren imidlertid fritatt for skatt på eventuell gevinst ved salg av boligen, selv om midlene ikke brukes til å reinvestere i ny bolig. Tilsvarende er tap fradragsberettiget bare dersom gevinst ville vært skattepliktig.
Beregnet inntekt (fordel) av egen bolig inngår i alminnelig inntekt. Ved beregning av fordelen tas det utgangspunkt i ligningsverdien på boligen. Fordelen beregnes i tre intervaller med tre ulike satser, jf tabell 6.1. I prinsippet skal den beregnede inntekten gjenspeile boligens leieverdi, med fradrag for utgifter til vedlikehold mv. Det er med andre ord snakk om en sjablonmessig beregning av eierens nettoinntekt på boligen.
Begrunnelsen for fordelsbeskatningen er at den som bor i egen bolig får en avkastning på den kapitalen som er investert i boligen i form av den leien som vedkommende ellers måtte ha betalt for å leie boligen. Fordelsbeskatning av egen bolig må også ses i sammenheng med fradragsretten for boliglånsrenter. I land der en ikke har inntektsskatt på egen bolig, er gjennomgående fradragsretten for gjeldsrenter enten avskaffet eller betydelig begrenset, jf avsnitt 5.2. I Norge blir full fradragsrett for gjeldsrenter kombinert med en inntektsbeskatning av bolig som ligger betydelig lavere enn inntektsbeskatningen av mer rendyrket sparing, f eks bankinnskudd.
Nivået på gjeldende ligningstakster er gjennomgående atskillig lavere enn boligens omsetningsverdi. Som følge av at takstene er fastsatt sjablonmessig over en lang periode, er takstnivået svært varierende også innenfor samme kommune.
Stortinget har gitt retningslinjer for et nytt takserings- og skattesystem for boligeiendommer, herunder fritidseiendommer og regnskapslignede boliger, jf Innst S nr 143 (1996-97). De fleste boliger vil trolig slippe boligskatt etter det nye systemet. Dette skyldes at takseringen tar utgangspunkt i særlige sjablonregler og at verdien av boligenes tomtegrunn i liten grad medregnes i det nye takseringssystemet, samtidig som det er skissert at det skal gis et bunnfradrag på 1 050 000 kroner i forhold til boligens brutto takst.
6.3.7.3 Aksjeutbytte og -gevinst
Overskuddet i bedriftene skattlegges med 28 pst. Dette inkluderer også den delen av overskuddet som deles ut til aksjonærene. For å unngå økonomisk dobbeltbeskatning av utbyttet, benyttes den såkalte godtgjørelsesmetoden. Metoden består i at selskapet betaler skatt av hele overskuddet uten fradrag for utdelt aksjeutbytte. Det mottatte utbyttet inngår i aksjonærens alminnelige inntekt, men ved ligningen får aksjonæren et godtgjørelsesfradrag i skatt som tilsvarer det selskapet betalte i skatt på utbyttet. Når selskap og aksjonær har samme skattesats på alminnelig inntekt, som er hovedregelen i skattesystemet, forhindrer godtgjørelsesmetoden økonomisk dobbeltbeskatning av utbytte.
Godtgjørelsesmetoden bygger på at utbytteutdelingen allerede er beskattet. Aksjeselskaper som deler ut inntekt som enda ikke er beskattet skal betale en korreksjonsskatt. Korreksjonsskatten skal hindre at det blir delt ut utbytte med rett til godtgjørelse for aksjonærene uten at inntekten som ligger til grunn for utdelingen er fullt beskattet på selskapets hånd.
Aksjegevinster beskattes som alminnelig inntekt. RISK-metoden (Regulering av Inngangsverdien av Skattlagt Kapital) er innført for å avverge at inntekt skattlagt på selskapets hånd blir skattlagt også hos aksjonærene gjennom skattlegging av verdistigningen på aksjene. Metoden innebærer at det ved beregning av aksjegevinst tas hensyn til endring i skattlagt kapital i selskapet i løpet av aksjonærens eiertid. Dette gjøres ved at inngangsverdien på aksjene i selskapet oppreguleres med netto økning, eventuelt nedreguleres med netto reduksjon, av selskapets skattlagte inntekt i løpet av eiertiden. Dette betyr at aksjegevinsten (salgssum RISK-justert inngangsverdi) endres tilsvarende, men med motsatt fortegn av RISK-justeringen. Metoden innebærer at aksjegevinster som skyldes andre forhold enn tilbakeholdt overskudd beskattes med en sats på 28 pst.
6.3.7.4 Formuesskatt
Personlige skattytere betaler formuesskatt både til staten og kommunen.
Formuesskatten til kommunen kan fastsettes i et intervall fom 0 pst tom 0,7 pst etter både 1998- og 1999-regler. Alle 435 kommuner fastsatte imidlertid formuesskatten etter den høyeste satsen i 1998. Formuesskattesatsene for personlige skattytere er gjengitt i tabell 6.1.
Nærmere om formuesskattegrunnlaget
Grunnlaget for formuesskatten er i utgangspunktet omsetningsverdien. Gjeld kommer til fradrag i bruttoformuen, slik at det er nettoformuen som er gjenstand for formuesbeskatning.
Vanskeligheter med å registrere eller fastslå verdien av enkelte formuesobjekter gjør at det for noen viktige formuesobjekter er gjort unntak fra skattelovens hovedregel om verdsettelse til omsetningsverdi. Blant annet er formuesobjekter av særlig betydning for moderne næringsvirksomhet, som all goodwill og egenutviklede immaterielle verdier, helt tatt ut av formuesbeskatningen. Men også for formuesgjenstander der formuesverdien relativt lett lar seg observere er det gitt omfattende lempninger:
Boliger verdsettes til ligningsverdi, som gjennomgående er lav i forhold til boligens omsetningsverdi, jf avsnitt 6.3.7.2.
Ikke-børsnoterte aksjer verdsettes til 65 pst av aksjenes forholdsmessige andel av selskapets samlede skattemessige formuesverdi pr 1. januar året forut for ligningsåret. Den underliggende formuesverdien av aksjer i ikke-børsnoterte selskaper vil imidlertid normalt være lavere enn aksjenes reelle verdi. Ved verdsettelsen av aksjer notert på Oslo Børs' SMB-liste legges 65 pst av kursverdien pr 1. januar i ligningsåret til grunn.
Innbo og annet løsøre, inkludert det som er fritidsbolig, regnes som formue når salgsverdien er høyere enn 100 000 kroner. Verdi av innbo og løsøre fastsettes på grunnlag av brannforsikringsverdien:
| Forsikringssum | Skattepliktig formue |
| Under 1 mill kr | 10 pst |
| 1 mill kr - 1,4 mill kr | 20 pst |
| Over 1,4 mill kr | 40 pst |
Driftsmidler blir som hovedregel verdsatt til skattemessige saldoverdier med unntak av forretningsbygg, industrieiendommer og tomter som verdsettes på grunnlag av avholdte skattetakster eller ved ligningstakst.
For skip benyttes takseringsregler fastsatt av Skattedirektoratet. Nye skip skal i leveringsåret verdsettes til 85 pst av kostpris uansett når i året de leveres. Fra år 2 til og med år 15 skal gjenværende formuesverdi årlig reduseres med 15 pst. Fra og med år 15 blir skip verdsatt til 6 pst av kostpris.
Kapitalforsikringer/livsforsikringer formuesbeskattes på grunnlag av gjenkjøpsverdien.
Verdien av tjenestepensjonsordninger og egne pensjonsordninger er ikke formuesskattepliktige
80-prosentregelen
Dersom den skattepliktiges formuesskatt og skatt på alminnelig inntekt overstiger 80 pst av alminnelig inntekt eksklusive særfradrag for alder mv, skal formuesskatten nedsettes slik at denne grensen ikke overskrides. Formuesskatt til staten nedsettes først, deretter formuesskatt til kommunen. For å hindre at skattytere med store formuer helt unngår formuesskatt, kan ikke skatt av nettoformue over 1 mill kroner nedsettes til under 0,6 pst av overskytende formue.
6.3.7.5 Eiendomsskatt
Eiendomsskatten er en skatt som kommunene har rett til å skrive ut på faste eiendommer i kommunen. Det er kommunestyret i den enkelte kommune som avgjør om slik skatt skal skrives ut. I 1996 bodde anslagsvis 2,5 mill personer i de knapt halvparten av landets kommuner hvor det ble skrevet ut eiendomsskatt. I en del av disse kommunene var imidlertid boligeiendommer fritatt for eiendomsskatt. Samlet proveny fra eiendomsskatt var om lag 3 mrd kroner dette året.
Som utgangspunkt er det kun adgang til å skrive ut eiendomsskatt i områder som helt eller delvis er bymessig bebygget. Utenfor utbygde områder er det imidlertid adgang til å skrive ut eiendomsskatt på «verk og bruk». Som «verk og bruk» anses eiendommer med industriell karakter, men ikke handelsbedrifter, hoteller, jordbrukseiendommer o l. Kraftverk er et viktig eiendomsskatteobjekt.
Eiendomsskatt er en objektskatt, og det gis ikke fradrag for eventuell gjeld på eiendommen ved beregning av skatten. Skattesatsen skal ligge mellom 0,2 og 0,7 pst av takstverdien, og satsen kan ikke økes med mer enn 0,2 prosentpoeng pr år. For boligeiendommer kan det benyttes bunnfradrag i takstgrunnlaget.
Eiendomsskattetakstene fastsettes særskilt, uavhengig av ligningstakstene, dvs de takstene som ligger til grunn for formuesskatten. Takstene fastsettes ved besiktigelser av eiendommene, i utgangspunktet hvert tiende år. Etter loven skal takstnivået tilsvare omsetningsverdi på takseringstidspunktet, men i praksis ligger takstnivået ofte atskillig lavere. Takstnivået varierer fra kommune til kommune. Det har lenge vært forutsatt at eiendomsskattetakstene skulle samordnes med ligningstakstene når et nytt takseringssystem for bolig- og fritidseiendommer er etablert, og St meld nr 45 (1995-96) Boligtaksering og prinsipper for boligbeskatning bygger på en slik forutsetning. Samordning av takstene er allerede vedtatt satt i kraft for kraftverk.
Eiendomsskatteutvalget, NOU 1996: 20, har foreslått å samordne eiendomsskattetakstene med ligningstakstene, og har understreket behovet for at takstene økes opp mot omsetningsverdiene. Maksimalsatsen for eiendomsskatt anbefales senket fra 0,7 pst til 0,3 pst for å holde det samlede provenyet om lag uendret. Flertallet gikk inn for at det ikke skal være adgang til å benytte bunnfradrag i takstgrunnlaget, under henvisning til at eiendomsskatten ikke er særlig egnet som fordelingspolitisk virkemiddel (bl a fordi det ikke tas hensyn til gjeld).
6.3.7.6 Dokumentavgift
Avgiftsplikt inntrer ved tinglysing av dokument som overfører hjemmel til fast eiendom. Avgiften er en verdiavgift som oppkreves med 2,5 pst av salgsverdien. Ved overføring av hjemmel til selveierleilighet/eierseksjoner ved oppløsning av borettslag og boligaksjeselskap betales en fast avgift på 1 000 kroner.
6.3.7.7 Skatt på arv og gave
Arveavgift
I utgangspunktet skal alle som mottar arv eller gave fra noen som de etter loven eller testament har arverett til, betale arveavgift av alle overførte økonomiske verdier. Slik avgift betales ikke ved overføringer mellom ektefeller. Gaver er arveavgiftspliktig på lik linje med ordinær arv. Arv eller gave er ikke skattepliktig inntekt for arving eller gavemottaker.
Arveavgiftssatsene for 1998 er gjengitt i tabell 6.4.
Tabell 6.4 Arveavgiftssatser. 1998
| Sats ved arv/gave til egne barn | Sats ved arv/gave til andre enn egne barn | |
| Av de første kr 100 000 | 0 pst | 0 pst |
| Av de neste kr 300 000 | 8 pst | 10 pst |
| Av overskytende | 20 pst | 30 pst |
I 1999 utgjør fribeløpet 200 000 kroner.
Fribeløpene og grensene gjelder pr arvelater og pr arvemottaker. Reglene innebærer at den effektive arveavgiften ved hvert enkelt oppgjør varierer etter antall arvemottakere.
Som følge av ektefellers rett til å sitte i uskiftet bo vil ofte overføringen av arven til arvingene først skje når lengstlevende dør. Ved skifte av et uskiftet bo regnes arven å komme både fra førstavdøde og lengstlevende. I praksis vil det bare være overføringstidspunktet som er skutt ut i tid, men arvingene er som følge av den vide disposisjonsrett lengstlevende har, ikke sikret at det foreligger noe til skifte ved oppgjøret av boet.
Fribeløpet i arveavgiften innebærer at én livsarving ved oppgjør av et uskiftet bo, først skal svare arveavgift når grunnlaget overstiger 400 000 kroner i 1999. Med to livsarvinger i uskiftet bo vil boet tilsvarende måtte verdsettes til over 800 000 kroner før det skal utlignes arveavgift.
Verdsettelsesgrunnlaget for arveavgift
Ved verdsettelse skal boets eiendeler som hovedregel settes til markedsverdi, og normalt ikke lavere enn den verdien som er lagt til grunn ved skiftet/arveoppgjøret mellom arvingene. Ved privat skifte legges verdiene og arveavgiftssatsene på tidspunktet for dødsfallet til grunn, mens man ved offentlig skifte bygger på verdiene og arveavgiftssatsene på tidspunktet for utlodning (utdeling). Synker boets verdier etter dødsfallet, f eks ved at aksjekursen faller, blir samlet arveavgift lavere med offentlig skifte. Skulle verdiene i boet øke etter tidspunktet for dødsfallet, vil samlet arveavgift bli høyere.
Hovedregelen om at arveavgiftspliktige formuesgjenstander skal verdsettes til omsetningsverdi, innebærer f eks at arv i form av aksjer notert på hovedlisten eller på SMB-listen til Oslo Børs verdsettes til kursverdien på arvetidspunktet. Det gjelder imidlertid noen viktige unntak fra hovedregelen, blant annet:
Ikke-børsnoterte aksjer verdsettes valgfritt til 30 eller 100 pst av aksjenes forholdsmessige andel av selskapets skattemessige formuesverdi 1. januar i året forut for året aksjene arves. Ved eventuelt salg av aksjene, vil inngangsverdien være lik det beløpet aksjene er verdsatt til i arveavgiftsgrunnlaget. Hvis en ønsker å realisere arven raskt, kan det derfor lønne seg å betale arveavgift etter full omsetningsverdi. Dette vil gjelde i de tilfellene der den økte arveavgiften blir lavere enn skatten på aksjegevinsten av de tilsvarende beløp ved lav verdsettelse.
Andeler i ansvarlige selskaper verdsettes valgfritt til 30 eller 100 pst av andelens skattemessige formuesverdi 1. januar i det året andelen arves.
For fast eiendom som er gjenstand for åsetesrett, 5 i praksis landbrukseiendom, gjelder at skiftetakst skal legges til grunn for avgiftsberegningen når eiendommen overtas av den åsetesberettigede i henhold til slik takst. Denne regelen innebærer i praksis et avvik fra prinsippet om verdsetting til salgsverdi, idet skiftetakster normalt er lavere. Dersom en eiendom overtas av åsetesberettiget uten at det skjer i henhold til skiftetakst, eller dersom en annen slektning i rett nedstigende linje overtar, skal eiendommen verdsettes til tre fjerdedeler av salgsverdien. Det kan legges til grunn at alternativet skiftetakst gir minst like stor rabatt som dette ved verdsettelsen.
Diskontinuitet ved arv
Gjeldende rett bygger som hovedregel på skattemessig diskontinuitet ved arv- og gaveoverføring av formuesgjenstander. Diskontinuitet betyr at det skjer et brudd i beskatningen i forbindelse med arvefallet eller gaveoverføringen. Arvefallet eller gaveoverføringen utløser ikke skatteplikt, verken hos mottaker eller hos giver i form av gevinstbeskatning. Den som arver en bedrift vil imidlertid oppføre driftsmidler, varebeholdning mv til full verdi, men likevel ikke høyere enn det beløpet som er lagt til grunn ved fastsettelsen av arveavgiften.
Et driftsmiddel som skattemessig er nedskrevet til null i arvelaterens eiertid, kan dermed avskrives helt eller delvis en gang til etter arvefallet, slik at både arvelater og arving får skattefradrag for verdiforringelsen på det samme driftsmidlet.
Ved overføring av næringsvirksomhet som drives i form av aksjeselskap, gjelder også prinsippet om diskontinuitet. Verdien på de aksjene som overtas, kan således skrives opp til omsetningsverdien uten at det utløser gevinstbeskatning. Overføringen får imidlertid ingen betydning for selskapets skattemessige verdier og selskapenes avskrivningsgrunnlag, slik at regelen om diskontinuitet har størst økonomisk betydning for personlig drevet virksomhet.
Arveavgiftslovutvalget med professor Fredrik Zimmer som leder har fått i mandat å gi en bred gjennomgang av arveavgiftssystemet. Utvalget skal legge fram sin rapport innen utgangen av 1999.
6.3.8 Barnetrygd
Barnetrygd ytes til alle barn bosatt i Norge. Barnetrygden er en skattefri ytelse. Stønaden utbetales fra og med måneden etter barnet er født og til og med måneden barnet fyller 16 år. Det gis et ekstra tillegg i barnetrygden for alle barn mellom ett og tre år samt ekstra barnetrygd for barn i Finnmark og Nord- Troms. Satsene for 1998 og 1999 er oppgitt i tabell 6.1. Det har vært vanlig å betrakte barnetrygden som en del av skattesystemet, dvs som en negativ skatt.
Enslige forsørgere mottar barnetrygd og ev småbarnstillegg for ett barn mer enn de har.
6.4 Om skattlegging av arbeid og kapital
6.4.1 Innledning
Tabell 6.1 gav en oversikt over de vedtatte formelle skattesatsene på kapitalinntekter, lønn og pensjoner slik de framgår av lov eller skattevedtak. Tabellen viser at det er en markant forskjell mellom høyeste formelle marginalskattesats på arbeids- og kapitalinntekter. Denne differansen gir motiver til tilpasninger, omgåelser og press for å få reelle arbeidsinntekter skattelagt som kapitalinntekter. Dette vil spesielt gjelde for personlig næringsdrivende og aktive eiere som kommer inn under delingsmodellen. Slike tilpasninger innebærer at skattyternes disponible inntekter øker uten at skattyterne øker sin arbeidsinnsats eller kapitalinntekt. Videre vil provenyet fra beskatningen synke, i tillegg til at omfordelingen gjennom skattesystemet blir mindre. Fra et samfunnsøkonomisk perspektiv er derfor slike tilpasninger uheldige, jf avsnitt 4.4. Større grad av skattemessig likebehandling kan dermed isolert sett redusere dagens «spenninger» i delingsmodellen. I avsnitt 11.5.4.3 er det gitt en nærmere vurdering av tilpasninger til delingsmodellen.
De formelle marginale skattesatsene kan, som bl a nevnt over, gi begrenset informasjon om den reelle skattebelastningen av hhv arbeids- og kapitalinntekter. I dette avsnittet drøftes noen momenter av betydning for den effektive marginale beskatningen av arbeidskraft og kapital, dvs den samlede beskatningen av siste opptjente krone (ved beskatning av arbeid) og den siste investerte krone (ved beskatning av kapital). De effektive marginale skattesatsene kan i likhet med de formelle marginale skattesatsene ikke si noe om gjennomsnittsbeskatningen av de to ulike inntektsartene, jf avsnitt 2.1.
I avsnittene 6.4.2 og 6.4.3 gis det en nærmere vurdering av forhold av betydning for den effektive marginale beskatningen av hhv arbeid og kapital.
6.4.2 Effektive marginalskatter på arbeidskraft
Den skatten som utlignes på inntekt fra arbeid (trygdeavgift, skatt på alminnelig inntekt og ev toppskatt) gir ikke det fulle bildet av den samlede marginale beskatningen av arbeidskraft. En må også ta hensyn til arbeidsgiveravgiftenfor å få fram forskjellen mellom arbeidskraftkostnadene for arbeidsgiver, og det arbeidstakeren sitter igjen med etter skatt. All skatt på forbruk, uansett om det er en generell merverdiavgifteller om det er særavgifter på spesielle varer, vil også påvirke tilpasningen i arbeidsmarkedet. I den grad arbeidstakerens valg om å øke sin arbeidsinnsats utelukkende er påvirket av hvilken kjøpekraftlønnen gir opphav til, spiller det i prinsippet liten rolle om skatten trekkes direkte fra lønnsinntekten eller om skatten legges på forbruket (forutsatt at lønnen benyttes til avgiftsbelagt konsum innenlands). I begge tilfeller reduserer skatten den mengden varer og tjenester en arbeidstaker kan kjøpe seg for en gitt bruttolønn før skatt, og dermed avkastningen av arbeidsinnsatsen.
Som følge av den geografiske differensieringen av arbeidsgiveravgiften, er den reelle effektive marginale skattesatsen på lønn avhengig av hvor arbeidstakerne er bosatt. For personer bosatt innenfor arbeidsgiveravgiftens sone 5 (Finnmark og Nord-Troms) er dessuten marginalskatten på lønnsinntekter lavere enn ellers i landet, jf avsnitt 6.3.6.14.
Tabell 6.5 viser de effektive marginale skattesatsene for lønnsmottakere bosatt i en kommune innenfor henholdsvis sone 1 og sone 5 for arbeidsgiveravgiften etter 1998-regler. Tabellen illustrerer at den effektive marginale skattesatsen også avhenger av i hvilken grad lønnsinntektene benyttes til avgiftspliktig konsum eller ikke. Metodene som er brukt for å regne ut de effektive skattesatsene i tabell 6.5 er omtalt i boks 6.3.
Tabell 6.5 Effektive marginale skattesatser på lønnsinntekter etter regler for 19981
| Ekstra arbeidsgiveravgift på lønnsinntekt over 16 G2 | Maks toppskatt3 (13,7 pst) | Ingen toppskatt4 | ||||
| Inkl mva | Ekskl mva | Inkl mva | Ekskl mva | Inkl mva | Ekskl mva | |
| Arbeidsgiveravgift, sone 1 (14,1 pst) | 67,6 pst | 60,1 pst | 64,0 pst | 55,7 pst | 54,2 pst | 43,7 pst |
| Arbeidsgiveravgift, sone 5 (0 pst)2 | 57,9 pst | 48,3 pst | 52,7 pst | 41,8 pst | 45,0 pst | 38,3 pst |
1 De effektive marginale skattesatsene er regnet som marginal inntektsskatt, arbeidsgiveravgift og ev merverdiavgift dividert på summen av brutto lønn, arbeidsgiveravgift og ev merverdiavgift, jf boks 6.3.
2 Det ilegges en ekstra arbeidsgiveravgift på 12,5 pst på lønnsinntekter over 16 G, tilsvarende 710 600 kroner i 1998. Dette gjelder uavhengig av avgiftssone.
3 Omfatter personer med en personinntekt overskytende 272 000 kroner i klasse 1 og 305 000 kroner i klasse 2 i 1998.
4 Omfatter personer med en personinntekt lavere enn 248 000 kroner i klasse 1 og 300 000 kroner i klasse 2 i 1998.
Boks 6.3 Metode for utledning av effektive marginalskattesatser på arbeidskraft
Bruk av arbeidskraft skattlegges både på den ansattes hånd og gjennom arbeidsgiveravgiften, slik at bedriftens arbeidskraftskostnad blir brutto lønn pluss arbeidsgiveravgift. Arbeidsgiveravgiften beregnes på brutto lønnsutbetalinger, dvs normalt det sammme grunnlaget som inntektsskatten beregnes på. Pr krone utbetalt lønn er bedriftens kostnad (1+a), der a er arbeidsgiveravgiften. Den ansatte vil på sin side sitte igjen med (1-t), der t er marginalskatten på lønn. Den effektive skattesatsen, Te, er differansen mellom bedriftens brutto arbeidskraftkostnad og arbeidstakerens netto lønn, regnet i pst av bedriftens brutto arbeidskraftskostnad, dvs:

Arbeidskraften skattlegges også indirekte gjennom vareskatter som særavgifter og merverdiavgift. En bedrift som maksimerer overskuddet vil tilpasse innsatsen av arbeidskraft slik at inntektsøkningen, eksklusive avgifter, ved økt bruk av arbeidskraft minst tilsvarer økningen i brutto lønnsutbetaling. Pr krone i økt lønnsutbetaling må bedriften minst kunne selge varen/tjenesten for en pris lik (1+a)(1+m), der m er avgift på varen/tjenesten. Regner vi nå samlede skatter og avgifter i pst av markedsprisen av produksjonen, får vi følgende uttrykk for effektiv skattesats:

Det framgår av tabell 6.5 at dersom en betrakter en person som er bosatt i en kommune med høyeste arbeidsgiveravgiftssats og en tar hensyn til merverdiavgiften, vil den effektive marginale skattesatsen på arbeid variere fra om lag 54 pst for en person som ikke er i toppskatteposisjon (men som får utnyttet minstefradraget fullt ut) til om lag 64 pst for en person i full toppskatteposisjon. Har personen en lønnsinntekt som overstiger 16 G (710 600 kroner i 1998), vil den effektive marginalskatten stige fra om lag 64 pst til nærmere 68 pst som følge av at det ilegges ekstra arbeidsgiveravgift på lønnsinntekt over dette nivået. Dette innebærer at dersom personen øker sin arbeidsinnsats med 1 krone (og samtidig forbruker de ekstra inntektene), vil 68 øre av denne kronen gå til skatt og avgifter.
6.4.3 Effektive marginalskatter på kapitalavkastning
I skattereformen fra 1992 ble det lagt vekt på lik skattemessig behandling av ulike kapitalinntekter. Det er like fullt en del ikke-nøytrale elementer igjen i dagens skattesystem som innebærer at ulike kapitalformer er gjenstand for ulik skattemessig behandling. Normalt er det vesentlig mer komplisert å gjennomføre beregninger av effektive marginalskattesatser på kapital enn for arbeidskraft. Det er flere grunner til dette.
Kapitalinntekter og kapitalgevinster er i utgangspunktet gjenstand for ordinær inntektsbeskatning. Kapital beskattes også gjennom andre skattearter som f eks formuesbeskatning, arveavgift ved generasjonsskifte og enkelte særavgifter. I tillegg kan realkapital illegges eiendomsskatt (i de kommuner som har innført eiendomsskatt). Grunnlaget for formuesskatt og eiendomsskatt er i de fleste tilfeller ikke samordnet.
Grunnlaget for formuesskatten er i utgangspunktet omsetningsverdien. Gjeld kommer til fradrag i bruttoformuen, slik at det er nettoformuen som er gjenstand for formuebeskatning. Det er store variasjoner i verdsettelsen av ulike formuesobjekter. Dette skyldes bl a at det for kapital som sjelden omsettes kan være vanskelig å fastsette omsetningsverdien. I tillegg er det for mange formuesobjekter gitt lempning i verdsettelsen ut fra politiske hensyn. Dette innebærer bl a at verdsettelsen av boligkapitalen ligger langt under markedsverdien og at verdsettelsen av ikke-børsnoterte aksjer mv for formuesskatteformål er lavere enn andre former for finansformue. De lempelige verdsettingsreglene har innvirkning på den skattepliktige kapitalbeholdningen og i noen tilfeller også på den skattepliktige kapitalavkastningen, jf fordelsbeskatningen av egen bolig. Isolert sett vil de effektive skattesatsene bli lavere jo mindre skattegrunnlaget er i forhold til markedsverdien.
Inflasjon og annen verdistigning har ulik innvirkning på beskatningen av ulike typer investeringer. I et skattesystem basert på nominelle verdier, som bl a det norske, vil inflasjonen forsterke den reelle beskatningen av finansielle fordringer som f eks bankinnskudd, og tilsvarende redusere byrden ved å ha gjeld. For f eks driftsmidler og boliger kan kompensasjon for prisstigningen komme i form av verdistigning på kapitalen. Denne kompensasjonen beskattes først ved realisasjon, der gevinsten settes lik salgsvederlag fratrukket skattemessig inngangsverdi. 6 Dette gir dermed en skattekreditt sammenlignet med objekter med løpende beskatning. Begrunnelsen for å beskatte urealiserte gevinster er dels å unngå bl a likviditetsproblemer hos skattebetalerne, og dels å lette kapitalbeskatningen. Effektiv skattesats blir da mindre eller lik 28 pst i fravær av andre skattearter, uavhengig av inflasjonsraten, avhengig av størrelsen på skattekreditten som følge av utsatt gevinstbeskatning. Effektiv skattesats på bankinnskudd vil derimot isolert sett øke ved høyere inflasjon. Dette skyldes at renteinntektene skattlegges løpende fullt ut, selv om en del av renteinntektene vil være kompensasjon for reelt verdifall på bankinnskuddet. Inflasjon kan dermed medføre en diskriminering av bankinnskudd sammenlignet med plasseringer i f eks fast eiendom.
Det gjelder en del spesielle regler for når inntekter kommer til beskatning og når kostnader kan trekkes fra (periodiseringsregler). Dersom periodiseringen i henhold til loven avviker fra den bedriftsøkonomiske riktige periodiseringen, vil det påvirke den reelle beskatningen. Eksempelvis vil romslige avskrivningsmuligheter bidra til at de effektive skattesatsene blir lavere enn de formelle.
Kapitalavkastning kan bli skattlagt gjennom flere ledd, f eks dersom både et selskap og selskapets eiere helt eller delvis blir skattlagt for den samme inntekten. Etter skattereformen er dette imidlertid i liten grad tilfellet i Norge, som følge av RISK-metoden og godtgjørelsesmetoden, jf avsnitt 6.3.7.3.
Kort om analysemetoden
Utvalget har utført beregninger som belyser hvordan inntekts-, formues- og eiendomsbeskatningen påvirker beskatningen av ulike formuesplasseringer, hhv bankinnskudd, aksjeinvesteringer og boliginvesteringer. Utgangspunktet for analysen er å beregne den avkastningen investeringene minst må gi før skatt (marginalt avkastningskrav før skatt), for en gitt avkastning etter skatt. 7 Sammenligning av avkastningen etter skatt på alternative investeringer gir et bilde av den minste avkastningen en investering kan ha for at denne skal betraktes som privatøkonomisk lønnsom. Denne nedre lønnsomhetsgrensen er i de videre beregningene bestemt ut fra realrenten etter skatt, dvs den avkastningen som en vil oppnå ved å plassere investeringsbeløpet i en bank. I en liten åpen økonomi med tilnærmet full kapitalmobilitet kan en anta at denne realrenten fastsettes i internasjonale finansmarkeder.
Beregninger av denne typen kan først og fremst gi informasjon om hvilke potensielle vridninger skattesystemet skaper mellom ulike formuesplasseringer. Store forskjeller i avkastningskrav før skatt kan innebære at en får for høye investeringer der avkastningskravet før skatt er lavt, og for lave investeringer i de samfunnsøkonomisk mest lønnsomme næringene. Hvis dette er tilfelle, bidrar skattesystemet til å redusere den samlede avkastningen av kapitalen. Beregningene sier ikke noe om i hvilken grad skattereglene faktisk fører til skattemotiverte investeringer og dermed feilallokering av kapital, og heller ikke om hva den faktiske avkastningen av ulike investeringer er.
Utvalget har valgt å presentere beregningsresultatene i form av effektive skattesatser. De illustrerer den samlede skattebelastningen på marginen målt i pst av marginalavkastningen før skatt på skatteobjektet. Beregningsresultatene kan alternativt presenteres i form av marginale avkastningskrav eller skattekiler (dvs differansen mellom marginalt avkastningkrav før og etter skatt). Det vises til avsnitt 5.3 i NOU 1996: 20 for en nærmere omtale av de ulike begrepene, og det formelle oppsettet for disse beregningene.
Beregningsresultater
Tabell 6.6 viser hvordan den effektive marginalskatten for avkastning på bankinnskudd, aksjeinvesteringer og boliginvesteringer avhenger av bl a inflasjonen og om skattyter betaler formuesskatt eller ikke. Tabellen viser også virkningene av at boligeiendom kan bli ilagt eiendomsskatt. I tilfellet med formuesskatt er det benyttet en formuesskattesats på 1,1 pst og i tilfellet med eiendomsskatt er det benyttet en sats på 0,7 pst. Dette tilsvarer maksimalsatsene for formuesskatt og eiendomsskatt i 1998. Forutsetningene for beregningene er omtalt i boks 6.4.
Tabell 6.6 Effektive skattesatser for avkastning av utvalgte investeringer etter ulike inflasjonsforutsetninger og i en situasjon med og uten formues- og eiendomsskatt. 1998-regler. Realrente før skatt er beregningsmessig satt til 4 pst.
| Formuesskatt: 0 pst Inflasjonsrater | Formuesskatt: 1,1 pst Inflasjonsrater | |||||
| 1 pst | 3 pst | 5 pst | 1 pst | 3 pst | 5 pst | |
| Bankinnskudd | 34,9 | 48,4 | 61,3 | 63,1 | 76,5 | 89,3 |
| Aksjer | ||||||
| Børsnoterte aksjer | 28 | 28 | 28 | 59,2 | 67,2 | 80 |
| Ikke-børsnoterte aksjer | ||||||
| Underliggende ligningstakst utgjør 0 pst av markedsverdi | 28 | 28 | 28 | 28 | 28 | 28 |
| Underliggende ligningstakst utgjør 100 pst av markedsverdi | 28 | 28 | 28 | 51,9 | 59,4 | 73,2 |
| Boliginvesteringer | ||||||
| Ligningstakst utgjør 25 pst av markedsverdi | ||||||
| Eiendomsskatt 0 pst | 6,2 | 7,6 | 9,7 | 23,3 | 32,1 | 50,7 |
| Eiendomsskatt 0,7 pst | 11,8 | 14,3 | 18,1 | 29,7 | 39,7 | 58,9 |
| Ligningstakst utgjør 100 pst av markedsverdi | ||||||
| Eiendomsskatt 0 pst | 21,0 | 24,8 | 30,1 | 54,9 | 65,4 | 80,4 |
| Eiendomsskatt 0,7 pst | 34,9 | 40,1 | 46,9 | 62,8 | 72,5 | 85,2 |
| Memo: | ||||||
| Effektiv marginalskatt for lønnstaker med toppskatt inkl arbeidsgiveravgift (sone 1) | 55,7 | 55,7 | 55,7 | 55,7 | 55,7 | 55,7 |
| Effektiv marginalskatt for lønnstaker uten toppskatt inkl arbeidsgiveravgift (sone 1) | 43,7 | 43,7 | 43,7 | 43,7 | 43,7 | 43,7 |
Boks 6.4 Beregninger av effektive skattesatser på avkastning av bankinnskudd, aksjeinvesteringer og boliginvesteringer
Det er beregningsmessig lagt til grunn en konstant realrente før skatt på 4 pst og at kapitalobjektene eies av skattyter gjennom hele inntektsåret. Realrenten på fem års statsobligasjoner har variert mellom om lag 2 pst og 6 pst de siste 5 årene. De effektive marginale skattesatsene vil isolert sett øke hvis realrenten reduseres.
I beregningene er det sett bort fra eventuelle skattekreditter gjennom avskrivningsreglene. Dette er gjort ved å sette reelt verdifall lik skattemessige avskrivninger i alle perioder. Isolert sett vil skattekreditter trekke i retning av lavere effektive skattesatser på investeringer i avskrivbare driftsmidler, noe som innebærer at disse beregningene blir avhengig av inflasjonsforutsetningene. Videre forutsettes det at kapitalen ikke selges (eventuelt at gevinsten er skattefri), dvs at det ikke skjer noen gevinstbeskatning av kapitalen.
Ved investeringer i aksjer kan kompensasjon for prisstigning komme i form av verdistigning på (real)kapitalen. I beregningene er det forutsatt at verdiøkningen av aksjekapitalen som følge av inflasjonen materialiseres i en økning i aksjeverdien. Siden driftsmidlene ikke realiseres, skattlegges ikke verdiøkningen. I fravær av formues- og eiendomsskatt vil de effektive skattesatsene således være uavhengig av inflasjonsforutsetningene.
Den urealiserte verdiøkningen av aksjekapitalen kan alternativt materialiseres fortløpende som aksjeutbytte, f eks gjennom belåning av aksjekapitalen. Dersom utbetalt aksjeutbytte tilsvarer avkastningen på bankinnskuddet med et slikt sett av forutsetninger, vil dette innebære lik skattemessig behandling av bankinnskudd og børsnoterte aksjer. Ikke-børsnoterte aksjer vil også være gjenstand for lik skattemessig behandling som de øvrige finansplasseringene i tilfellet uten formuesskatt. For formuesskatteformål vil imidlertid ikke-børsnoterte aksjer bli skattlagt etter noe lavere satser som følge av aksjerabatten.
Det er lagt til grunn to ulike forutsetninger om den underliggende formuesverdien (verdien før aksjerabatten) av de ikke-børsnoterte selskapene, hhv at ligningsverdien tilsvarer markedsverdien og at den er satt til null. Den underliggende formuesverdien av aksjer i ikke-børsnoterte selskaper vil normalt være lavere enn aksjenes reelle verdi. Dette skyldes at verdsettingen av aksjer i ikke-børsnoterte selskaper tar utgangspunkt i den skatteplikige formueverdien av selskapets eiendeler. Ved formuesberegningen vil f eks fast eiendom bli verdsatt til ligningstakster med lav skattemessig verdi og driftsmidler til skattemessig nedskrevne verdier. I tillegg blir opparbeidede immaterielle rettigheter ikke formuesbeskattet i ikke-børsnoterte selskaper.
Det er lagt til grunn skattlegging på beregnet marginalinntekt på egen bolig etter den lave satsen på 2,5 pst, dvs at ligningsverdien er mellom 51 250 kroner og 451 000 kroner. Dette innebærer isolert sett lavere effektive skattesatser på boligkapitalen enn dersom en hadde benyttet satsen på 5 pst, dvs at ligningsverdien overstiger 451 000 kroner. I eksemplene er det videre beregnet effektive skattesatser med to forskjellige forutsetninger om forholdet mellom eiendommenes skattegrunnlag og markedsverdi, hhv at ligningsverdien tilsvarer markedsverdien og at den er 25 pst av markedsverdien. Det siste kan anses å være et meget grovt anslag på forholdet mellom den gjennomsnittlige markedsverdien og den gjennomsnittlige ligningsverdien av alle personlig skattyteres boligkapital etter gjeldende system. Det er videre forutsatt at eiendomsskattetakstene er lik formuesskattetaksten. Isolert sett vil de effektive skattesatsene på boligkapitalen bli lavere jo mindre skattgrunnlaget er i forhold til markedsverdien.
Ved investering i objekter som har en ligningsverdi som er lavere enn markedsverdien, kan skattyters formuesposisjon endres. I beregningene er det lagt til grunn at skattyter står overfor samme formelle formuesskattesats også etter investeringen. I tilfeller hvor investering i f eks bolig fører til at skattyter står overfor en lavere formell formuesskattesats, vil også de effektive skattesatsene reduseres.
I disse beregningene er det av forenklingshensyn forutsatt at den effektive beskatningen av kapital ikke påvirkes av merverdiavgiften. Kjøpekraften som kapitalinntektene gir opphav til vil i praksis kunne påvirkes av merverdiavgiften.
Beregningene i tabell 6.6 illustrerer med de forutsetningene som er valgt, at den effektive beskatningen av de ulike kapitalobjektene øker betydelig ved stigende inflasjonsrater i de fleste situasjoner (bortsett fra for boliginvesteringer og aksjeinvesteringer i tilfellet uten formues- og eiendomsskatt). Dette gjelder i større grad for bankinnskudd enn for de øvrige investeringsobjektene. Det har sammenheng med at inntektsbeskatningen bygger på et nominelt inntektsbegrep der også rene inflasjonsinntekter inngår.
Reglene for skattemessig verdsetting av formuen bidrar også til å redusere de effektive skattesatsene på fast eiendom. Dette kommer av at økte boliginvesteringer finansiert ved lån eller redusert bankinnskudd mv reduserer skattyterens nettoformue som følge av at boligens skattemessige formuesverdi er lavere enn markedsverdien. Denne effekten blir mindre jo høyere andel ligningsverdien utgjør av markedsverdien. Mens maksimal effektiv marginalskatt ved 5 pst inflasjon blir nærmere 60 pst for boliginvesteringer som utgjør 25 pst av markedsverdien i tilfellet med formues- og eiendomsskatt, blir tilsvarende marginalskatt om lag 85 pst når boligen verdsettes til markedsverdi. For husholdninger som har en nettoformue som er lavere enn bunnfradragene i formuesskatten vil økt investering i bolig ikke påvirke formuesskatten.
Tabell 6.6 viser at den effektive beskatningen av kapitalinntekter kan bli svært høy innenfor gjeldende skattesystem, særlig ved formue som i stor del er i finansielle fordringer, og i mange tilfeller høyere enn den effektive beskatningen av arbeidsinntekter selv med høyeste toppskattesats, med de forutsetningene som er valgt for beregningene. Beregningene viser imidlertid at skattesystemet medfører betydelige forskjeller i den effektive beskatningen av ulike kapitalobjekter. Spesielt kan den lave verdsettelsen av fast eiendom innebære at den effektive beskatningen av boligkapital kan bli svært lav sammenlignet med andre kapitalobjekter. Den skattemessige forskjellsbehandlingen av ulike kapitalobjekter kan derfor medføre et samfunnsøkonomisk tap, ved at rekkefølgen på de ulike investeringsobjektene ikke blir i tråd med det som gir høyest samfunnsøkonomisk avkastning.
Ut fra beregningene i tabell 6.6 ser en at boligkapital i hovedsak beskattes etter lavere satser enn arbeidskraftsbeskatningen når ligningstaksten utgjør 25 pst av markedsverdien. Beskatningen av finansinvesteringer og i første rekke bankinnskudd og investeringer i børsnoterte aksjer er tilsvarende gjennomgående høyere enn den effektive beskatningen av arbeidsinntekt, spesielt når inflasjonen er høy, innenfor dette beregningsopplegget.
De effektive skattesatsene på kapital påvirkes av forutsetningen om realrenten. Isolert sett vil de effektive marginale skattesatsene øke hvis realrenten reduseres. Det henger sammen med at skattebelastningen skjer på et nominelt grunnlag, slik at den relative virkningen av inflasjon blir høyere jo lavere realrenten er. Dette gjelder generelt (unntatt for fast eiendom mv i tilfellet uten eiendomsskatt og formuesskatt).
Formålet med beregningene i tabell 6.6 har vært å illustrere den isolerte skattemessige behandlingen av utvalgte formuesplasseringer. I beregningsopplegget overfor er dette gjort ved å forutsette at de ulike investeringsobjektene har lik realavkastning etter skatt. I praksis kan imidlertid forventet realavkastning etter skatt variere betydelig mellom ulike kapitalobjekter, bl a som følge av at risikoen og likviditetsbehovet kan være forskjellig. Eksempelvis må en normalt godta å få en lavere avkastning av sparekapitalen sin ved å sette pengene sine i banken med sikker avkastning og høy likviditet enn i aksjemarkedet hvor den forventede avkastningen er mer usikker. Nettoavkastningen av ulike spareformer kan derfor i praksis være forskjellig både som følge av at realavkastningen før skatt er ulik og fordi den isolerte skattemessige behandlingen av de ulike kapitalobjektene kan variere. I boks 6.5 er det gitt et eksempel på dette.
Boks 6.5 Nettoavkastningen av ulike spareformer - enkelte typeeksempler
Anta at personene A, B og C hver har en nettoformue med en markedsverdi på 1 mill kroner ved inngangen av 1998 og at de lignes skatteklasse 1. Det forutsettes 2 pst inflasjon.
Person A har plassert hele sin formue i bankinnskudd med en nominell avkastning på 3,5 pst.
Person B har plassert hele sin formue i børsnoterte aksjer med en nominell avkastning på 14 pst.
Person C har opprettet et ikke-børsnotert selskap og plassert hele sin formue i børsnoterte aksjer med en nominell avkastning på 14 pst gjennom dette selskapet.
Ved utgangen av 1998 har de tre personene fått følgende realavkastning av sine spareformer.
| Person A | Person B | Person C | |
| Nominell avkastning | 35 000 | 140 000 | 140 000 |
| Inntektsskatt | 9 800 | 39 200 | 39 200 |
| Formuesskatt | 8 948 | 9 271 | 5 270 |
| Nominell kapitalbeholdning | 1 016 252 | 1 091 529 | 1 095 530 |
| Realkapitalbeholdning etter skatt | 996 326 | 1 070 126 | 1 074 049 |
| Prosentvis endring i realkapitalbeholdning etter skatt | -0,4 | 6,6 | 6,9 |
Eksemplene illustrerer at person A får en negativ realavkastning på 0,4 pst ved å plassere sin formue i banken. Tilsvarende får person B og person C positiv realavkastning på hhv 6,6 pst og 6,9 pst ved å plassere sparekapitalen i aksjemarkedet. Årsaken til at person C har fått en høyere nettoavkastning av sparekapitalen sin enn person B er aksjerabatten på ikke-børsnoterte selskaper.
6.5 Oppsummering
Det norske skatte- og avgiftssystemet har gjennomgått store endringer det siste tiåret. Omleggingene er i hovedsak basert på en utvidelse i retning av brede skattegrunnlag kombinert med en demping av skatteprogresjonen. Målsettingen har generelt vært å øke avkastningen av kapital og arbeid samtidig som skatteinntektene og fordelingseffektene skulle være om lag uendret.
Inntektsbeskatning av personer skjer etter dagens skattesystem av to ulike skattegrunnlag.
Alminnelig inntekt omfatter både de såkalte arbeidsinntekter, slik som lønns- og pensjonsinntekter, og de såkalte kapitalinntekter slik som renter, realisasjonsgevinster, næringsinntekter mv. Alminnelig inntekt er et netto beregningsgrunnlag, dvs at det først skal svares skatt av det grunnlag som fremkommer når man trekker alle fradragsberettigede utgifter, særfradrag etc fra inntekten.
Personinntekt omfatter bare en viss del av inntektstypene, og i hovedregel bare de inntekter som knytter seg til arbeid. I hovedsak vil dette være lønn, godtgjørelse og pensjoner, samt beregnet personinntekt for aktive eiere i selskap og enmannsforetak etter delingsmodellen. Personinntekt er et brutto beregningsgrunnlag, dvs at det ikke er adgang til noen form for fradrag.
Kapitalinntektene beskattes med 28 pst, mens det for personinntektene i tillegg betales toppskatt og folketrygdavgift. Den maksimale marginale skattesats er summen av skatt på alminnelig inntekt som er 28 pst, høyeste sats toppskatt som er 13,7 pst og trygdeavgiften som er på 7,8 pst for lønnstakere og 10,7 pst for næringsdrivende. For lønnstakere er den maksimale marginalskatten på 49,5 pst, mens den for næringsdrivende er 52,4 pst. De overnevnte prosentsatsene er basert på 1998-regler. I 1999 utgjør den maksimale toppskattesatsen 13,5 pst, mens satsen på alminnelig inntekt og trygdeavgiftene er uendret i forhold til 1998. Etter gjeldende regler utgjør derfor den maksimale marginalskatten 49,3 pst for lønnstakere og 52,2 pst for næringsdrivende.
Det progressive elementet i inntektsbeskatningen er i hovedsak ivaretatt gjennom bunnfradrag (klassefradrag og minstefradrag) og gjennom toppskatten. Dette innebærer at skattytere med høye inntekter betaler forholdsvis mer i inntektsskatt enn personer med lave inntekter. Formuesskatten innebærer et progressivt element også i kapitalbeskatningen. Alle personlige skattytere er skattepliktig for nettoformue over et visst nivå.
Skattesystemet har to skatteklasser. Skatteklasse 2 omfatter ektefeller som lignes sammen og enslige forsørgere. I likhet med de øvrige skattyterne vil imidlertid de fleste ektepar der begge ektefellene har noe inntekt lignes i klasse 1. Ektefeller skal alltid lignes sammen for formue, dvs i klasse 2. Enslige alderspensjonister lignes også alltid i skatteklasse 2 for formue.
Skattesatsen på overskudd i næringsvirksomhet er lik skattesatsen på alminnelig inntekt, dvs 28 pst. Det er ikke skattemessig fradrag for utbytte, slik at utdelt utbytte blir fullt ut beskattet på selskapets hånd. Godtgjørelsesmetoden sikrer at mottakeren av utbyttet ikke betaler skatt på utbyttet i tillegg til det som allerede er utlignet på selskapet. Utbytte blir derfor beskattet likt med f eks renter på bankinnskudd. Gjennom RISK-metoden sikrer en videre at kapital skattlagt på selskapets hånd og tilbakeholdt i selskapet ikke blir skattlagt også hos aksjonærene gjennom skattlegging av verdistigningen på aksjene.
Den to-delte satsstrukturen i gjeldende inntektsskattesystem innebærer at det er markert forskjell på høyeste formelle marginalskattesats på arbeidsinntekter og kapitalinntekter. Forskjellen i skattesatsen på kapitalinntekter og arbeidsinntekter skaper behov for et eget regelverk for næringsdrivende og aktive aksjonærer. Dette skyldes at næringsdrivendes inntekter fra virksomheten dels er avkastning på arbeid og dels er avkastning på kapital, men uten at dette skillet kommer fram i regnskapet eller på annen måte. Arbeidsavkastningens del av den samlede næringsinntekten må derfor anslås for skatteformål, slik at den kan ilegges trygdeavgift og eventuell toppskatt. Delingsmodellen har som siktemål å bygge bro mellom personbeskatning og næringsbeskatning ved at den sikter mot å beskatte arbeidsinnsats i næringsvirksomhet likt med f eks lønnstakernes arbeidsinnsats.
Som hovedregel er personlige skattytere som er inntektsskattepliktige også formuesskattepliktige. Dette innebærer at personlig eid finans- og realformue både i og utenfor næring er skattepliktig. Aksjeselskaper og likestilte selskaper og sammenslutninger hvor deltakerne til sammen eier selskapsformue, og aksje- og obligasjonsfond er fritatt for formuesskatteplikt. Grunnlaget for formuesskatten er etter lovens formelle utgangspunkt omsetningsverdien. Gjeld kommer til fradrag i bruttoformuen, slik at det er nettoformuen som er gjenstand for formuesbeskatning. Vanskeligheter med å registrere eller fastslå verdien av enkelte formuesobjekter gjør at det for noen viktige formuesobjekter er gjort unntak fra skattelovens hovedregel om verdsettelse til omsetningsverdi. Men også for formuesgjenstander der formuesverdien relativt lett lar seg observere er det imidlertid gitt lempninger. For eksempel verdsettes ikke-børsnoterte aksjer mv til 65 pst av aksjenes forholdsmessige andel av selskapets samlede skattemessige formuesverdi pr 1. januar året forut for ligningsåret. Ved verdsettelsen av aksjer notert på SMB-listen legges 65 pst av kursverdien pr 1. januar i ligningsåret til grunn. Videre ligger nivået på boligtakstene normalt betydelig lavere enn boligenes omsetningsverdi. Som følge av at takstene er fastsatt skjønnsmessig over en lang periode er takstnivået svært varierende, også innenfor samme kommune.
De formelle skattesatsene kan gi begrenset informasjon om de reelle økonomiske forholdene ved beskatningen. Dette skyldes bl a at nivået på kapitalbeskatningen vil variere fordi skattebelastningen kan være spredt på flere skattarter og grunnlag, og som følge av inflasjon. Arbeidsinntekter gir også, i motsetning til kapitalinntekter, grunnlag for pensjonsopptjening.
Beregningene i avsnitt 6.4 viser at den effektive beskatningen av kapitalinntekter, som gir uttrykk for beskatningen av siste investerte krone, i mange tilfeller kan bli høyere enn den effektive beskatningen av arbeidsinntekter. Dette gjelder særlig for kapitalobjekter som bankinnskudd mv, men også for annen kapital hvor inflasjonsgevinster skattlegges fullt ut. Den effektive beskatningen av kapitalobjekter som bl a fast eiendom mv blir imidlertid gjennomgående vesentlig lempeligere enn den reelle arbeidskraftsbeskatningen. Dette har bl a sammenheng med at boligeiendommer mv for skatteformål verdsettes lavere enn reell verdi og fordi inflasjonsgevinster ikke skattlegges løpende.
7 Skatter og avgifter i Norge og andre land
Nedenfor gis en oversikt over beskatningen i Norge og andre OECD-land. Kapitlet tar for seg utviklingen i skatteinntektene og drøfter nærmere beskatningen av arbeids- og kapitalinntekter.
7.1 Utviklingen i skatteinntektene i OECD-landene
Fra 1980 og fram til 1997 har de totale skatteinntektene i OECD-området økt noe raskere enn samlet verdiskaping (BNP), jf figur 7.1. I OECD-området som helhet har skatteinntektene økt fra 30,6 pst av BNP i 1980 til 33,8 pst i 1997. 8 I Norge utgjorde derimot skatteinntektene en like stor andel av BNP i 1997 som i 1980 (om lag 42,5 pst). I denne perioden har andelen vært nede i 39,9 pst (i 1984) og oppe i 45,5 pst (i 1986). I Danmark, Finland og Sverige har derimot variasjonen i skatteinntektene målt som andel av BNP vært betydelig større. Ser vi perioden 1980-1997 under ett, har dessuten skatteandelen vokst i alle de tre landene.
I Norge har skatteinntektene målt som andel av BNP ligget rundt gjennomsnittlig EU-nivå de siste årene. Andelen for Danmark, Finland og Sverige har derimot ligget betydelig høyere. Det samme gjelder også for Norge dersom man kun betrakter Fastlands-Norge. Dette skyldes at verdiskapingen i petroleumssektoren har vært relativt høy i forhold til skatteinntektene. Det er likevel verdt å merke seg at også Fastlands-Norge har ligget lavere enn både Danmark, Finland og Sverige de siste årene.

Figur 7.1 Totale skatteinntekter i prosent av BNP1 i Norge og OECD-området2.
1Norge foretok en omfattende revisjon av sitt nasjonalregnskap i 1995. Dette medførte at tidligere års BNP-anslag ble oppjustert med om lag 10 pst. Det er kun Danmark og Canada av OECD-landene som har foretatt en tilsvarende revisjon. Når de resterende OECD-land får revidert sine respektive nasjonalregnskap, kan vi vente oss et noe annerledes bilde enn det figur 7.1 tegner.
2For OECD og EU som helhet er det brukt veide gjennomsnitt. Tall for 1997 foreligger ikke for Danmark og USA.
Kilde: OECD og Finansdepartementet.
Et forhold som må tas i betraktning ved internasjonale sammenligninger, er at skattenivået i ulike land vil ha sammenheng med blant annet hvorvidt de ulike landene har satset på offentlige eller private pensjonssystemer, og i hvilken grad pensjoner og andre offentlige kontantytelser er skattepliktige. Norge og de andre nordiske landene har for eksempel et relativt godt utbygd offentlig pensjonssystem sammenlignet med andre OECD-land.
Av figur 7.2 går det klart fram at de totale nettoskatteinntektene målt i pst av BNP er nesten like høye i Norge som i Danmark og Sverige, og høyere enn i Finland. Dette skyldes at overføringene og subsidiene målt i pst av BNP er høyere i våre tre naboland enn i Norge. Man må imidlertid se dette i lys av de norske statsfinansenes styrke. Dersom overskuddet på det norske statsbudsjettet hadde blitt pløyd tilbake til private i stedet for å bli avsatt i et petroleumsfond, ville nettoskattene i Norge målt i pst av BNP vært lavere enn det som framgår av figur 7.2.

Figur 7.2 Offentlige overføringer og subsidier til private og nettoskatter1 i prosent av BNP i Norge og enkelte OECD-land. 19962
1Bruttoskatter i alt minus overføringer i alt.
2Det er brukt 1995-tall for Danmark.
Kilde: OECD og Finansdepartementet.
Av tabell 7.1 framgår det klart at sammensetningen av skatteinntektene i OECD-området har endret seg i perioden 1965-1996. De indirekte skattene har i hele perioden utgjort den største inntektskilden. Betydningen avtok noe fram til midten av 1970-tallet, men har deretter holdt seg stabil. De indirekte skattene utgjorde en like stor andel av de samlede skatteinntekter i 1996 som i 1975 (om lag 32,5 pst).
Den nest største inntektskilden i OECD-området har i hele perioden vært inntektsskatt for personer. Den personlige inntektsskattens relative betydningen styrket seg noe fram til begynnelsen av 1980-tallet, men har deretter falt tilbake til 1965-nivået på om lag 26 pst.
Trygdeavgiftene har i løpet av perioden 1965-1996 blitt stadig viktigere, og har økt fra 18 pst i 1965 til drøyt 25 pst i 1996. Formuesskatter, eiendomsskatter mv utgjorde derimot en mindre andel av de samlede skatteinntekter i 1996 enn i 1965.
Tabell 7.1 Ulike skattearter målt som andel av samlede skatteinntekter i Norge og OECD-området som helhet. 1965-1996. Pst
| 1965 | 1975 | 1985 | 1990 | 1995 | 1996 | |
| OECD-området: | ||||||
| Inntektsskatt for personer | 26,1 | 30,0 | 29,8 | 29,4 | 27,0 | 26,8 |
| Inntektsskatt for bedrifter | 8,8 | 7,5 | 7,9 | 7,9 | 8,0 | 8,2 |
| Trygdeavgifter1 | 18,0 | 22,1 | 22,4 | 22,8 | 25,1 | 25,1 |
| Skatt på formue, eiendom mv | 7,8 | 6,2 | 5,1 | 5,6 | 5,3 | 5,4 |
| Indirekte skatter (skatt på varer og tjenester) | 38,1 | 32,6 | 33,5 | 31,9 | 32,3 | 32,5 |
| Sum | 98,8 | 98,4 | 98,7 | 97,6 | 97,7 | 98,0 |
| Norge: | ||||||
| Inntektsskatt for personer | 39,6 | 31,5 | 22,5 | 26,2 | 25,9 | 26,0 |
| Inntektsskatt for bedrifter | 3,8 | 2,8 | 17,2 | 9,0 | 9,2 | 10,5 |
| Trygdeavgifter | 11,9 | 24,8 | 20,8 | 26,3 | 23,5 | 23,3 |
| Trygdeavgift lønnstakere | - | 4,9 | 5,6 | 8,4 | 8,2 | 8,2 |
| Arbeidsgiveravgift | 10,2 | 18,5 | 14,4 | 16,6 | 13,8 | 13,6 |
| Trygdeavgift på nærings- og pensjonsinntekt | 1,7 | 1,4 | 0,8 | 1,3 | 1,5 | 1,5 |
| Skatt på formue, eiendom mv | 3,1 | 2,3 | 1,9 | 2,9 | 2,8 | 2,1 |
| Indirekte skatter (skatt på varer og tjenester) | 41,2 | 37,7 | 37,6 | 35,6 | 38,6 | 38,1 |
| Sum | 99,6 | 99,1 | 100,0 | 100,0 | 100,0 | 100,0 |
1 Tilsvarer arbeidsgiveravgift og trygdeavgifter på lønnsinntekt, pensjonsinntekt og næringsinntekt.
Kilde: OECD.
Enkelte skatteformer har hatt en noe annerledes utvikling i Norge enn i OECD-området sett under ett. Den personlige inntektsskattens relative betydning har avtatt fra 1965 til midt på 1980-tallet. Inntektsskattens andel var lav i 1985 og utgjorde da 22,5 pst av de samlede skatteinntektene. Inntektsskatten tok seg imidlertid noe opp igjen mot slutten av 1980-tallet, og har på hele 1990-tallet ligget stabilt på om lag 26 pst. Mens den norske inntektsskatten for personer i 1965 lå drøyt 14 prosentpoeng høyere enn i OECD-området, har den på hele 1990-tallet ligget noe under gjennomsnittet i OECD-området.
Mens inntektsskatten for personer var rekordlav i 1985, var inntektsskatten for bedrifter det samme året rekordhøy og utgjorde 17,2 pst av de samlede skatteinntektene. Til sammenligning utgjorde den 2,8 pst i 1975 og 10,5 pst i 1996. Toppnoteringen i 1985 skyldtes at skatteinntektene fra petroleumssektoren var svært høye dette året.
I likhet med OECD-området har trygdeavgiftene i Norge blitt relativt viktigere. Dette gjelder spesielt trygdeavgiften for lønnstakere, og i mindre grad arbeidsgiveravgiften, som er redusert i betydning fra 1975 til 1996. De indirekte skattene er noe høyere i Norge enn i OECD-området, men har i likhet med formues-, eiendomsskatter mv avtatt noe i betydning i perioden 1965-1996.
I tabell 7.1 er inntektsskatten fordelt på bedrifter og personer. Dette kan gi en grov indikasjon på hvor stor andel av inntektsskattene som legges på hhv kapital og arbeid. Trygdeavgiftene og arbeidsgiveravgiften kan betraktes som en skatt på arbeid, mens formues- og eiendomsskatter mv kan betraktes som skatt på kapital. I realiteten vil imidlertid også en del av inntektsskatten for bedrifter kunne tilordnes arbeid, mens en del av inntektsskatten for personer vil kunne tilordnes kapital.
7.2 Beskatning av arbeid
Med utgangspunkt i formelle skatteregler og skattesatser kan beskatningen av en gjennomsnittlig lønnstaker sammenlignes land i mellom. Land med svært lave inntektsskatter, som f eks Frankrike, Nederland, Østerrike og Tyskland, har ofte høye trygdeavgifter. Tilsvarende har land med relativt høye formelle inntektsskatter ofte relativt lave trygdeavgifter. I Norge, USA, Storbritannia og Italia utgjør trygdeavgiften noe under halvparten av inntektsskatten.
Tabell 7.2 Personlig inntektsskatt1 og trygdeavgift i Norge og utvalgte OECD-land. 1985, 1990 og 1996. Landene er rangert etter nivået på samlet inntektsskatt og trygdeavgift i 1996. Pst av brutto lønnsinntekt for en gjennomsnittlig industriarbeider2
| Inntektsskatt | Trygdeavgift | Inntektsskatt og trygdeavgift | |||||||
| 1985 | 1990 | 1996 | 1985 | 1990 | 1996 | 1985 | 1991 | 1996 | |
| Japan | 8,8 | 8,2 | 6,7 | 7,0 | 7,0 | 7,0 | 15,8 | 15,2 | 13,7 |
| New Zealand | 27,9 | 23,7 | 22,3 | - | - | - | 27,9 | 23,7 | 22,3 |
| USA | 22,8 | 18,4 | 18,2 | 7,1 | 7,6 | 7,7 | 29,8 | 26,0 | 25,8 |
| Storbritannia | 22,3 | 18,9 | 17,4 | 9,0 | 7,6 | 8,4 | 31,3 | 26,5 | 25,8 |
| Østerrike | 10,2 | 7,6 | 9,2 | 16,4 | 16,5 | 18,1 | 26,6 | 24,2 | 27,3 |
| Frankrike | 7,4 | 6,9 | 8,9 | 15,2 | 18,0 | 18,9 | 22,6 | 24,9 | 27,8 |
| Italia | 18,4 | 16,5 | 18,1 | 8,7 | 8,5 | 9,9 | 27,0 | 25,0 | 28,0 |
| Norge | 22,7 | 25,3 | 21,9 | 10,1 | 7,8 | 7,8 | 32,7 | 33,1 | 29,7 |
| Sverige | 35,6 | 34,5 | 28,8 | - | - | 4,9 | 35,6 | 34,5 | 33,7 |
| Finland | 30,5 | 29,8 | 29,5 | 3,7 | 3,2 | 8,1 | 34,2 | 33,0 | 37,6 |
| Nederland | 11,3 | 11,1 | 5,8 | 26,7 | 29,1 | 33,3 | 38,0 | 40,2 | 39,2 |
| Tyskland | 18,1 | 17,2 | 21,0 | 17 | 17,8 | 20,2 | 35,0 | 35,0 | 41,3 |
| Belgia | 23,9 | 22,9 | 27,4 | 12,1 | 12,1 | 13,9 | 35,9 | 35,0 | 41,3 |
| Danmark | 40,0 | 43,9 | 36,0 | 6,3 | 2,6 | 8,8 | 46,3 | 46,5 | 44,8 |
1 Det legges kun formelle satser og standardfradrag til grunn. Renteinntekter og rentefradrag, dokumenterte fradragsberettigede utgifter mv er ikke hensyntatt.
2 Brutto lønnsinntekt tilsvarer gjennomsnittslønnen til en industriarbeider. I Norge var denne på 230 200 kroner i 1996.
Kilde: OECD.
Fra 1990 til 1996 har spesielt Norge, Danmark, Sverige og Nederland redusert inntektsskatten for en skatteyter med gjennomsnittlig industriarbeiderlønn. Virkningen av nivåreduksjonen av beskatningen av arbeid har i Sverige og Danmark dels blitt oppveid av økte trygdeavgifter. I Finland har økt trygdeavgift medført at gjennomsnittsskatten samlet sett har økt.
I tillegg til å skattlegges på arbeidstakers hånd gjennom personlige inntektsskatter og trygdeavgifter, skattlegges arbeidskraften også direkte på arbeidsgivers hånd gjennom arbeidsgiveravgiften.

Figur 7.3 Gjennomsnittlig arbeidsgiveravgift i Norge og utvalgte OECD-land. 1996. Pst av brutto lønnsinntekt for en gjennomsnittlig industriarbeider1
1Brutto lønnsinntekt tilsvarer gjennomsnittslønnen til en industriarbeider. I Norge var denne på 230 200 kroner i 1996.
Kilde: OECD (The tax/benefit position of employees 1995-1996).
Figur 7.3 viser gjennomsnittlig arbeidsgiveravgift for en lønnstaker med gjennomsnittlig industriarbeiderlønn i Norge og utvalgte OECD-land. Arbeidsgiveravgiften varierer betydelig fra Frankrike og Italia hvor arbeidsgiveravgiften er høyere enn 40 pst, til Nederland og USA hvor arbeidsgiveravgiften er lavere enn 10 pst. Arbeidsgiveravgiften i Norge og Storbritannia er også relativt lave med hhv 12,6 pst og 10,2 pst av brutto lønnsinntekt i 1996 for en «typisk» industriarbeider.
Tabell 7.3 viser utviklingen i den samlede beskatningen av lønn, hvor det er tatt hensyn til inntektsskatter, trygdeavgifter og arbeidsgiveravgifter. Beregningsgrunnlaget er gjennomsnittlig industriarbeiderlønn i 1979, 1985, 1991 og 1996 i Norge og utvalgte OECD-land.
Tabell 7.3 1 Personlig inntektsskatt, trygdeavgifter og arbeidsgiveravgift i Norge og utvalgte OECD-land. 1979, 1985, 1991 og 1996. Landene er rangert på bakgrunn av 1996-tallene. Pst av brutto lønnsutgifter for en gjennomsnittlig industriarbeider2
| Land | 1979 | 1985 | 1991 | 1996 |
| Japan | 16,7 | 21,6 | 21,5 | 19,4 |
| New Zealand | 26,0 | 27,9 | 23,8 | 22,3 |
| USA | 31,9 | 33,6 | 31,3 | 31,1 |
| Storbritannia | 36,1 | 37,8 | 33,2 | 32,6 |
| Norge | 43,5 | 41,8 | 41,2 | 37,6 |
| Østerrike | 36,5 | 40,3 | 39,1 | 41,5 |
| Nederland | 48,0 | 49,9 | 46,5 | 43,8 |
| Danmark | 40,6 | 47,8 | 46,7 | 44,8 |
| Frankrike3 | - | - | - | 49,7 |
| Sverige | 50,7 | 50,9 | 46,0 | 50,2 |
| Finland | 41,6 | 45,2 | 44,5 | 50,3 |
| Italia | 45,3 | 50,0 | 48,8 | 50,8 |
| Tyskland | 40,8 | 44,5 | 46,4 | 51,2 |
| Belgia | - | 51,0 | 53,7 | 56,4 |
1 Det legges til grunn at skatteyter ikke har fradrag utover standardfradrag.
2 Samlede lønnsutgifter tilsvarer utbetalt lønn og arbeidsgiveravgift.
3 Det mangler observasjoner for Frankrike.
Kilde: OECD.
Beskatningen av lønn for en «typisk» industriarbeider har økt både i Danmark, Finland, Italia og Tyskland, mens den har vært om lag uendret i Sverige og USA perioden sett under ett. I Norge, New Zealand og Nederland har beskatningen blitt redusert i perioden. For Norges vedkommende er dette spesielt tydelig i perioden fra 1991 til 1996. Beregningene tar imidlertid ikke hensyn til utvidede skattegrunnlag. I Europa er det bare Storbritannia som har lavere samlet skattebelastning enn Norge sett i forhold til brutto lønnsutgifter.
Tabell 7.4 Høyeste direkte marginalskatt på arbeidsinnsats i Norge og utvalgte OECD-land. 1996. Landene er rangert etter nivået på skatteprosenten i kolonnene lengst til høyre. Pst
| Marginalskatt medregnet inntektsskatt og trygdeavgift | Marginalskatt medregnet inntektsskatt, trygdeavgift og arbeidsgiveravgift1 | |||||
| Lønnsinntekt i pst av gj.sn. lønnsinntekt2 | 67 pst | 100 pst | 167 pst | 67 pst | 100 pst | 167 pst |
| Japan | 15,0 | 19,4 | 28,4 | 20,7 | 24,8 | 29,8 |
| Storbritannia | 34,0 | 34,0 | 24,0 | 38,3 | 40,1 | 31,0 |
| New Zealand | 25,0 | 26,2 | 33,0 | 25,0 | 26,2 | 33,0 |
| USA | 29,9 | 29,9 | 42,9 | 34,9 | 34,9 | 47,0 |
| Nederland | 47,0 | 55,0 | 50,0 | 52,2 | 57,5 | 50,0 |
| Frankrike | 33,9 | 35,7 | 36,4 | 52,1 | 55,1 | 54,9 |
| Norge | 35,8 | 45,3 | 49,5 | 43,0 | 51,4 | 55,2 |
| Østerrike | 47,5 | 39,7 | 46,2 | 57,8 | 51,5 | 56,7 |
| Italia | 34,2 | 40,5 | 40,4 | 55,1 | 59,4 | 57,6 |
| Tyskland | 48,8 | 51,9 | 54,4 | 57,4 | 60,0 | 59,6 |
| Danmark | 51,7 | 51,7 | 65,3 | 51,7 | 51,7 | 65,3 |
| Finland | 47,5 | 52,1 | 57,7 | 58,3 | 61,9 | 66,4 |
| Sverige | 38,0 | 58,8 | 56,7 | 53,4 | 69,0 | 67,4 |
| Belgia | 54,8 | 55,9 | 60,5 | 66,5 | 67,3 | 70,7 |
1 Marginalskatten er regnet i forhold til samlede lønnsutgifter, som tilsvarer utbetalt lønn og arbeidsgiveravgift.
2 Gjennomsnittlig lønnsinntekt tilsvarer gjennomsnittslønnen til industriarbeidere. I Norge var denne på 230 200 kroner i 1996.
Kilde: OECD.
Effektivitetstapet ved beskatning av arbeidskraft er knyttet til marginalskatten på arbeid, jf avsnitt 8.4. Tabell 7.4 viser marginalskatten i Norge og utvalgte OECD-land i 1996 for en lønnstaker med inntekt i størrelsesorden 67 pst, 100 pst og 167 pst av inntekten til en gjennomsnittlig industriarbeider. De fleste landene i tabellen har progres sive satser ved at høyeste marginalskatt øker når inntektsnivået øker fra 67 pst til 100 pst og fra 100 pst til 167 pst. I land som Frankrike, Italia, Nederland, Storbritannia og Tyskland er imidlertid marginalskatten høyest når inntektsnivået tilsvarer lønnen til en gjennomsnittlig industriarbeider.
Tabell 7.4 viser skattekilen i arbeidsmarkedet når det tas hensyn til inntektsskatt, trygdeavgift og arbeidsgiveravgift. I tillegg vil imidlertid indirekte skatter og avgifter påvirke en arbeidsinntekts kjøpekraft. Vi kan eksempelvis tenke oss at en mindre økning i den indirekte beskatningen i sin helhet overveltes på prisene. I figur 7.4 er det tatt hensyn til de indirekte skattene i Norge og utvalgte OECD-land ved beregning av effektive marginale skattesatser på arbeidsinnsats for en arbeidsstaker med gjennomsnittlig industriarbeiderlønn.

Figur 7.4 Effektiv marginal skattesats1 for en gjennomsnittlig lønnstaker2 i Norge og utvalgte OECD-land. 1996. Pst
1 Den effektive marginale skattesatsen omfatter trygdeavgift og arbeidsgiveravgift, personlig inntektsskatt (det legges kun formelle satser og standardfradrag til grunn), samt netto indirekte skatter (indirekte skatter fratrukket subsidier beregnet som andel av BNP).
2 Gjennomsnittlig lønnsinntekt tilsvarer gjennomsnittslønnen til en industriarbeider. I Norge var denne på 230 200 kroner i 1996.
Kilde: OECD.
Den effektive marginale skattesatsen på arbeidsinnsats, slik den er beregnet i figur 7.4, varierte i 1996 kraftig mellom de ulike OECD-land, fra knapt 30 pst i Japan til drøyt 72 pst i Sverige. I Norge var den effektive marginale skattesatsen på snaut 57 pst i 1996.
7.3 Beskatning av kapital
Real- og finanskapital beskattes på flere ulike måter. Avkastning av kapital inntektsbeskattes, men skattebelastningen er i betydelig grad avhengig av avkastningsform. Videre pålegges eksisterende finans- og realkapital i ulik grad formues- og eiendomsskatter.
Nedenfor følger en omtale av ulike sider ved beskatning av selskapsoverskudd. Det gis videre noen kommentarer til beskatning av kapitalinntekter på personers hånd.
7.3.1 Beskatning av selskapsoverskudd
Avkastning på næringskapital (selskapsoverskudd) beskattes i de fleste land på selskapets hånd. Selskaper betaler normalt ikke formuesskatt, men de betaler i flere land eiendomsskatt.
Mange av OECD-landene har siden midten av 1980-tallet gjennomført skattereformer som i særlig grad har berørt bedriftsbeskatningen. Et hovedmål med reformene har vært å utvide skattegrunnlaget, redusere skattesatsene og redusere/fjerne motiver som påvirker investeringssammensetningen, jf kapittel 2 og 10. Til tross for at det i mange OECD-land har vært en gjennomgående reduksjon i satsene for beskatningen av overskudd i aksjeselskaper, har mange land beholdt en viss særbehandling av enkelte typer bedrifter. I Belgia, Frankrike, Irland, Japan, Luxemburg, Storbritannia og USA beskattes overskudd under en viss størrelse etter lavere satser, dvs en progressiv beskatning.
De formelle skattesatsene på overskudd i aksjeselskap varierer kraftig i OECD-området, jf tabell 7.5. Som det framgår av tabellen, har Norge etter skattereformen i 1992 hatt den laveste formelle skattesatsen på selskapsoverkudd (ved siden av Finland og Sverige fra 1997).
Tabell 7.5 Utvikling i formelle skattesatser for selskapsoverskudd. Norge og utvalgte OECD-land. Pst1
| Land | 1986 | 1992 | 1997 |
| Norge | 52 | 28 | 28 |
| Sverige | 52 | 30 | 28 |
| Finland | 50 | 36 | 28 |
| Tyskland | 56 | 36/50 | 30/45 |
| Storbritannia | 35 | 33 | 33 |
| Frankrike | 45 | 34 | 33 |
| New Zealand | 45 | 33 | 33 |
| Danmark | 50 | 34 | 34 |
| Østerrike | 30/40/50/55 | 30 | 34 |
| Nederland | 42 | 35/40 | 35 |
| Japan | 62 | 57 | 37,5 |
| USA | 15/18/30/40/46 | 40,5 | 39,5 |
| Belgia | 45 | 39 | 40,17 |
| Belgia | 45 | 52 | 52,2 |
1 Spesielle unntak fra de generelle satsene er ikke gjengitt i tabellen.
Kilde: OECD.
Den effektive bedriftsbeskatningen avhenger imidlertid ikke bare av den formelle skattesatsen, men også av hvordan skattegrunnlaget fastsettes. I alle land finnes det forskjellige former for unntak fra det generelle regelverket som er innført med det formål å favorisere visse næringer, aktiviteter, regioner mv. Slike skattemessige særordninger omtales normalt som skatteutgifter. Skatteutgiftene kan ta form av skattefrihet, spesielle skattesatser, diverse former for skattekreditter og/eller utvidet fradragsrett. Avskrivningsreglene og avskrivningssatsene er også viktige for den effektive beskatningen av ulike former for kapital. Det samme gjelder den skattemessige behandlingen av f eks utbytte. Dette gjør det f eks svært vanskelig å sammenligne den reelle beskatningen av selskaper i ulike land.
7.3.2 Beskatning av kapital på personers hånd
Kapital skattlegges på personers hånd dels ved beskatning av avkastning og gevinster, og i noen land dels ved formuesbeskatning og eventuelt eiendomsbeskatning, jf kapittel 5. OECD fører ikke statistikk over beskatningen av kapitalinntekter. OECD mener imidlertid at det er grunn til å anta at denne utgjør en relativt liten andel av den samlede inntektsskatten for personer.
Satsene og grunnlaget for formuesskatten kan variere betydelig fra land til land. Det er derfor i utgangspunktet vanskelig å foreta en direkte sammenligning av de norske og de utenlandske skattereglene.
Motivasjonen til å investere i ulike former for kapital vil avhenge av den effektive beskatningen. Lempelige regler kan føre til at en for stor del av investeringene rettes mot eksempelvis boliger og annen fast eiendom. Hvis det er fradragsrett for renteutgifter knyttet til kjøp av varige goder samtidig som kapitalen ikke gir noen målbar avkastning som beskattes, vil dette redusere den effektive beskatningen av varige goder sammenlignet med annen kapital. Økt skatt på kapitalinntekter kan derfor øke denne forskjellen, og gi økte motiver for å investere i varige goder. I OECD-området har mange land, bl a Belgia, Frankrike, Italia, Japan og Storbritannia, kun fradragsrett for renteutgifter knyttet til næringsvirksomhet, mens land som Norge, Danmark, Sverige, Finland, Nederland og USA i hovedsak har fradragsrett for alle renteutgifter. I land hvor det er full fradragrett for renteutgifter knyttet til boliger, blir det ofte beregnet en fordel av å bo i egen bolig. Dette blir gjort i eksempelvis Norge, Danmark, Nederland og Sverige. I USA blir det imidlertid ikke beregnet en inntekt av å bo i egen bolig til tross for at det er full adgang til å kreve rentefradrag for lån til kjøp av bolig.

Figur 7.5 Samlet skatt på formue og eiendom 1996. I pst av BNP og i pst av de samlede skatteinntekter
Kilde: OECD.
Statistikk viser at den samlede skatten på eiendom og formuebeholdning er lav i Norge sammenlignet med andre land, jf figur 7.5. Den samlede skatten på formue og eiendom i Norge utgjorde 0,9 pst av BNP i 1996, mens gjennomsnitt for OECD-landene var på 1,9 pst. Tsjekkia, Tyrkia, Ungarn og Østerrike var de landene som hadde lavere samlet skatt på formue og eiendom som andel av BNP enn Norge. Det er særlig eiendomsskatten og dokumentavgiften mv som er lav i Norge sammenlignet med andre land. 9 Canada, USA og Storbritannia er land med særlig høy eiendomsskatt. Den utgjør i disse landene om lag 3 pst av BNP. Formuesskatten er derimot høyere i Norge enn i de øvrige nordiske landene og høyere enn gjennomsnittet for OECD-landene. Over halvparten av samlet skatt på formue og eiendom i Norge stammer fra formuesskatten, men den tilsvarende andelen for eksempel for Sverige er 15 pst, Nederland 13,5 pst og Danmark 5 pst. 10
7.4 Sammenfatning
Mens sammensetningen av skatteinntektene i OECD-området som helhet har holdt seg relativt stabil de siste 30 år, har skatteinntektene som andel av BNP vokst i nesten samtlige OECD-land, om enn med noe ulik hastighet. Dette henger sammen med en mangeårig vekst i offentlige utgifter. I forhold til andre land kan skattenivået i Norge verken betegnes som spesielt høyt eller lavt. Norge har de siste årene ligget på gjennomsnittlig EU-nivå. Dette er lavere enn både Danmark, Finland og Sverige. Dersom man kun betrakter Fastlands-Norge, stiger forholdstallet noe, men Norge blir fremdeles liggende lavere enn våre tre nordiske naboer. Korrigerer man derimot for offentlige overføringer og subsidier til private, passeres Finland og vi tar nesten igjen Danmark og Sverige.
Det samfunnsøkonomiske effektivitetstapet som følge av skatt på arbeidsinnsats er knyttet til den effektive 11 marginale skattesatsen. Denne var i gjennomsnitt på 56,9 pst i Norge i 1996, noe som plasserer Norge i det internasjonale mellomsjiktet. Satsen i Norge er på nivå med Danmark og Østerrike, men nesten dobbelt så høy som i USA og Japan. Belgia og Sverige ligger høyest i OECD med hhv 70,4 pst og 72,3 pst.
Norge har etter skattereformen i 1992 hatt den laveste formelle skattesatsen på selskapsoverkudd (ved siden av Finland og Sverige fra 1997). Dette skyldes trolig at skattegrunnlaget i bedriftsbeskatningen er bredere i Norge enn i de fleste OECD-land. Det er liten grunn til å anta at bedriftsbeskatningen er lavere enn i andre land. Inntektsskatten betalt av bedrifter utgjør da også en noe større andel av de samlede skatteinntekter i Norge enn i OECD-området som helhet, jf f eks tabell 7.1.
Når det gjelder den effektive beskatningen av kapital, så er den vanskelig å måle. Spesielt beskatningen av formue og eiendom gjør bildet svært uoversiktlig. Den samlede skatten på eiendom og formue er lav i Norge sammenlignet med andre land. Formuesskatten er derimot høyere i Norge enn i de øvrige nordiske landene og høyere enn gjennomsnittet for OECD-landene. Selv om utvalget ikke har internasjonalt sammenlignbare tall for effektiv beskatning av finanskapital, er utvalget av den oppfatning at den effektive beskatningen av finanskapital er relativt høy i Norge.
Fotnoter
Det finnes også andre former for virkemidler enn bruk av miljøavgifter som kan bidra til å redusere miljøskadelig aktivitet. I praksis har det vært mest vanlig å benytte forbud, utslippskvoter, frivillige avtaler og andre administrative virkemidler.
Selvangivelsesfristen for et inntektsår er den 1. juli i det etterfølgende inntektsåret.
Progressiviteten i skattesystemet avhenger også bl a av den særskilte skattebegrensningregelen for pensjonister og av den ekstra arbeidsgiveravgiften på 12,5 pst på lønnsinntekter over 16 G (710 600 kroner i 1998). Til en viss grad påvirker også delingsmodellen progresjonen i skattesystemet, som følge av at satsstrukturen varierer med størrelsen på overskuddet fra foretaket.
En pensjonsinntekt på 87 125 kroner fratrukket minstefradraget på 20 pst av pensjonen er lik 69 700 kroner, som er grensen for skatteplikt.
Åsetesrett («rett til å sitte på gården«) er livsarvingers rett til å kreve arvelaterens odelsjord eller hovedparten av den utlagt til seg på skifte for en pris som er fastsatt i testamente eller, hvis testamente mangler, for en rimelig takst.
Boliger hvor eieren har bodd i minst ett av de to siste årene før salget, er imidlertid fritatt for gevinstbeskatning, jf. avsnitt 6.3.8.
Den samfunnsøkonomiske avkastningen av kapitalen er normalt lik avkastningen før skatt. Kapitaleierne søker imidlertid høyest mulig avkastning etter skatt. Ut fra hensynet til effektiv ressursbruk er det viktig at de prosjektene som har høyest avkastning før skatt, også gir den høyeste avkastningen etter skatt, dvs skatten skal ideelt sett ikke endre rangeringen av prosjektene. Da vil de prosjektene som velges ut fra privatøkonomiske motiver, være de som også gir den høyeste samfunnsøkonomiske avkastningen. For en nærmere utdyping av dette vises det til kap 8.
Et veid gjennomsnitt over alle OECD-land. Dersom et uveid gjennomsnitt legges til grunn, har skatteinntektene i OECD-området som helhet økt fra 33,0 pst av BNP i 1980 til 37,8 pst i 1997.
I Norge kom i underkant av en tidel av inntektene fra eiendomsskatten i 1996 fra kraftforetak. Husholdningene betaler grovt sett en tredel av eiendomsskatten.
Kilde: Finansdepartementet.
Personlig inntektsskatt, trygdeavgift og arbeidsgiveravgift er hensyntatt.