3 Skatt og arbeidstilbud
av Nils Martin Stølen og Ingvild Svendsen, Statistisk sentralbyrå
3.1 Innledning 1
Skattesystemet har som mål å bringe inn et gitt proveny for å skape rom for offentlig ressursbruk og overføringer til privat sektor samtidig som skattesystemet i seg selv kan benyttes til å påvirke inntektsfordelingen mellom personer. På den andre siden vil høye marginalskatter på arbeidsinntekter innebære en kile mellom den privatøkonomiske og samfunnsmessige avkastningen av arbeid som kan bidra til å dempe arbeidstilbudet og derfor ha en klar negativ effekt på velferden i samfunnet. Denne effekten kan være av ulik betydning for ulike grupper. En endring av skattesystemet vil både ha direkte fordelingsmessige konsekvenser, men også indirekte ved at arbeidstilbudet endres. Dersom arbeidstilbudet blir sterkt påvirket, er det viktig å ta disse effektene i betraktning ved fordelingsanalyser av endringer i skattesystemet ettersom enkle, statiske analyser kan gi et lite dekkende bilde.
Mulige negative effekter av sterk progressivitet i skattesystemet har fått økt oppmerksomhet blant økonomene siden 1970 (se Sandmo (1991) for en oversikt), og oppmerksomheten blant politikerne har også økt. Dette har resultert i skattereformer i de fleste vestlige land. Mulige negative effekter på arbeidstilbudet av høye marginalskatter har også vært en medvirkende årsak til endringene i det norske skattesystemet som har funnet sted det siste tiåret og som kulminerte med reformen i 1992. Den maksimale marginalskatten på lønnsinntekter ble redusert fra 73,8 pst i 1986 til 48,8 pst i 1992 (hevet til 49,5 pst i 1993). Endringen ble gjennomført ved redusert progresjon på nettoinntekt motsvart av økt vekt på beskatning av inntekt før fradrag. Skattegrunnlaget ble også gradvis utvidet fra 1987 til 1992 gjennom blant annet registrering og skattlegging av inntekter som tidligere ikke ble tatt i betraktning.
Til tross for den betydelige reduksjonen i progressiviteten som har funnet sted, argumenterer blant annet Aaberge, Colombino og Strøm (1997) for at en fortsatt bevegelse mot et proporsjonalt skattesystem kan gi en betydelig velferdsgevinst. Dette har sammenheng med mulighetene for økt arbeidstilbud i husholdninger med lav inntekt (særlig blant gifte og samboende kvinner) som ikke i særlig stor grad ble påvirket av reformen i 1992. Analysen viser videre at effektene på arbeidstilbudet for disse husholdningene kan være så store at ulikheten i inntektsfordelingen etter skatt blir redusert av en slik reform. Videre vil en reform i retning av mer proporsjonal skatt kunne innebære en betydelig forenkling av skattesystemet.
Det følger av analysene til Aaberge, Colombino og Strøm at virkningen på arbeidstilbudet for ulike grupper av befolkningen kan være av stor betydning for utslagene på effektivitet og fordeling av en flatere skatt reform. Ulike analyser har gjennom de siste årene gitt ulike resultater når det gjelder sammenhengen mellom skatt og arbeidstilbud. I den forbindelse er det reist spørsmål om anslagene til Aaberge, Colombino og Strøm overdriver sammenhengen ved at verdien av økt fritid er anslått til å være relativt lav. Formålet med denne artikkelen er derfor å vurdere resultatene fra de ulike analysene mot hverandre. Det er spesielt viktig å påpeke sterke og svake sider ved de ulike angrepsmåtene som kan være av betydning for resultatene, men det er også et mål å forsøke å framheve trekk som innebærer en felles forståelse.
Det samlede arbeidstilbudet i et land er både avhengig av demografisk utvikling, yrkesdeltaking for ulike grupper samt gjennomsnittlig arbeidstid. For å få en forståelse av sammenhengen mellom skatt og arbeidstilbud er det nødvendig med analyser av skattens innvirkning på yrkesdeltaking og arbeidstid der en ser dette i sammenheng med andre faktorer av betydning. Ved å betrakte utviklingen i yrkesdeltakingen, gjennomsnittlig arbeidstid og de viktigste forklaringsfaktorene over tid, kan en få en grov oversikt over mulige sammenhenger.
3.2 Utvikling i yrkesdeltakingen for ulike befolkningsgrupper fra 1972 til 1997
Yrkesprosenten er et vanlig mål på yrkesdeltaking, og angir hvor stor pst av befolkningen som deltar i arbeidsstyrken. Arbeidsstyrken består av sysselsatte og arbeidsledige fra 16 til og med 74 år. Ifølge Statistisk sentralbyrås arbeidskraftundersøkelse (AKU) regnes en person som sysselsatt så fremt det utføres inntektsgivende arbeid minst én time per uke og som arbeidsledig hvis de er helt uten inntektsgivende arbeid og har søkt arbeid aktivt de siste fire ukene.
I Norge har yrkesprosenten gjennomgående vist en stigende tendens de siste tiårene (se figur 3.1). Fra starten av 1970-tallet og fram til 1997 steg yrkesprosenten i Norge fra 62 til 73 pst, avbrutt av en periode med avtakende yrkesdeltaking på slutten av 1980-tallet. I tabell 3.1 er det gjengitt yrkesprosenter for menn og kvinner etter alder i noen OECD-land. Når det gjelder strukturen på yrkesdeltakingen i Norge, er ikke yrkesdeltakingen for menn spesielt høy. Norge har derimot høy yrkesdeltaking blant kvinner. For de yngste aldersgruppene skiller ikke Norge seg ut med spesielt høye yrkesprosenter. Det er derimot tilfellet for eldre arbeidstakere, noe som kan skyldes at vi har relativt høye formelle aldersgrenser selv om de reelle grensene er langt lavere.
Tabell 3.1 Yrkesdeltaking i pst etter alder og kjønn i noen OECD-land i 1997
| Menn | Kvinner | |||||
| 15-24 | 25-54 | 55-64 | 15-24 | 25-54 | 55-64 | |
| Norge | 65,4 | 92,6 | 75,1 | 58,1 | 83,3 | 60,6 |
| Danmark | 77,7 | 92,5 | 63,8 | 70,4 | 81,7 | 43,9 |
| Sverige | 48,2 | 89,1 | 70,7 | 45,4 | 84,4 | 64,6 |
| Island | 59,4 | 96,7 | 91,9 | 61,3 | 85,1 | 80,6 |
| USA | 68,2 | 91,8 | 67,0 | 62,6 | 76,7 | 50,6 |
| EU | 50,3 | 92,3 | 52,4 | 42,8 | 69,8 | 29,1 |
Kilde: OECD, Employment Outlook, July 1998, tabell C, s. 197-202.

Figur 3.1 Arbeidsledinghet og yrkesaktivitet
Kilde: Statistisk sentralbyrå
Figur 3.1 antyder en sammenheng mellom situasjonen på arbeidsmarkedet og arbeidstilbudet. I perioder, eller i områder, med stor ledighet vil en del personer anse muligheten for å finne en passende jobb som såpass lav at de ikke finner det verdt å søke arbeid. En del eldre arbeidstakere får tilbud om ulike former for førtidspensjonering, mens andre går over på uførepensjon. Mekanismene med hensyn på søkeaktivitet og utstøtning reverseres når etterspørselen etter arbeidskraft tar seg opp igjen.
Bak den totale yrkesprosenten skjuler det seg store variasjoner mellom ulike befolkningsgrupper (se figur 3.2). Ser vi perioden 1972 til 1997 under ett, er det kvinnene som har bidratt mest til veksten. Forskjellen i yrkesprosenter mellom kvinner og menn har således blitt redusert. På 1990-tallet har yrkesprosentene for ungdom falt samtidig som andelen under utdanning har steget. Utviklingen for den eldre delen av yrkesbefolkningen (60-74 år) har bidratt til å dempe veksten i den samlede yrkesprosenten. For menn 60-66 år skyldes nedgangen gjennom 1980-tallet økende uføreandeler. På 1990-tallet spiller økt førtidspensjonering en gradvis viktigere rolle. Holder vi den uføre befolkningen utenfor, sank yrkesprosenten for menn 60-66 år med om lag 10 prosentpoeng i løpet av 1972-1996. Uføreratene har også steget for kvinner 60-66 år, noe som trolig er en årsak til at yrkesprosentene for disse ikke har steget tilsvarende som for kvinner i yngre aldersgrupper.

Figur 3.2 Yrkesandeler for ulike befolkningsgrupper
Kilde: Statistisk sentralbyrå
Forskjeller i arbeidstilbudet fra to personer med ulik alder skyldes både at de er i ulike faser i sitt livsløp og at de tilhører ulike alderskohorter. Kohorteffekten gir opphav til ulikheter i arbeidstilbudet over tid for en gitt sammensetning av yrkesbefolkningen med hensyn på kjønn og alder. Figur 3.3 viser utviklingen i yrkesprosentene de siste 25 årene for tre ulike aldersgrupper av kvinner. For alle tre gruppene har det skjedd en utvikling i retning høyere yrkesprosenter, en typisk kohorteffekt.

Figur 3.3 Yrkesdeltaking etter alder, kvinner
Kilde: Statistisk sentralbyrå.
Spesielt kvinner i alderen 25 til 39 år har økt sin yrkesdeltaking fra starten av 1970-tallet og fram til 1997. Forklaringsfaktorer som ofte trekkes fram er økningen i kvinners utdanningsnivå, reduserte fødselsrater og vekst i antall arbeidsplasser innen helse-, omsorgs- og serviceyrker. Vi kommer tilbake til betydningen av reallønn og skatt i senere avsnitt. Den største nedgangen i fødselsratene har funnet sted for kvinner under 25 år. De øvrige aldersgruppene hadde også en nedgang, men denne stoppet opp på midten av 1970-tallet for så å øke på 1980-tallet. Samtidig har det vært en stadig større andel av yngre kvinner som tar høyere utdanning, og færre som slutter etter grunnskole. Figur 3.4 viser utviklingen i samlet fruktbarhetstall, andel barn med barnehagetilbud og andel kvinner i alderen 25-39 år som har utdanning utover 12-årig skolegang.

Figur 3.4 Fruktbarhet, barnehagetilbud og utdanning
Kilde: Statistisk sentralbyrå.
Gevinsten av å ta utdanning avhenger av hvor mye man planlegger å jobbe, samtidig som bedre jobbmuligheter og avlønning som følge av utdanning påvirker valget mellom arbeid og fritid. Dette er trolig viktige mekanismer for å forklare økningen i kvinners yrkesdeltaking og utdanningsnivå som har foregått parallelt fra 1970-tallet og fram til i dag. Økte preferanser for yrkesaktivitet, blant annet som følge av økt utdanning, kan igjen føre til ønske om færre barn. Samtidig vil færre barn pr. kvinne i større grad gjøre dem tilgjengelige for arbeidslivet.
På 1990-tallet har yrkesprosentene for kvinner 25-39 år fortsatt å øke, samtidig som samlet fruktbarhetstall har tatt seg noe opp. Det er verdt å merke seg at fruktbarheten i Norge er meget høy i europeisk sammenheng. Bedre barnehagedekning og utvidet svangerskapspermisjon kan være med på å forklare dette, ved i større grad å legge forholdene til rette for kombinasjonen yrkesaktivitet og barn.
Mens økt utdanningsnivå for kvinner kan ha bidratt til økt yrkesdeltaking, fører den økte andelen av ungdom som er under utdanning til redusert yrkesaktivitet eller færre unge i heltidsstillinger. I Norge har vi sett en kraftig økning i andelen av ungdomskullene som er under utdanning i perioden med høy ledighet fra 1988 og fram til 1995 (se figur 3.5). Utdanning kan i denne perioden ha framstått som en alternativ kilde til forsørgelse, i den grad man er kvalifisert for utdanningsstøtte, i tillegg til at alternativverdien av tid brukt til utdanning er lav for arbeidsledige personer, og da spesielt for ungdom som ofte ikke er berettiget til ledighetstrygd. Perioder med høy ledighet kan også virke motiverende på å ta utdanning for å kunne stille sterkere på arbeidsmarkedet på noe lengre sikt.

Figur 3.5 Arbeidsledighet og utdanningstilbøyelighet
Kilde: Statistisk sentralbyrå.
3.3 Utvikling i gjennomsnittlig arbeidstid
Den gjennomsnittlige årlige arbeidstiden for lønnsmottakere falt fra 1978 til 1996 med 5,0 pst for menn og 5,5 pst for kvinner i hht. Statistisk sentralbyrås arbeidskraftregnskap. I 1996 arbeidet menn og kvinner i gjennomsnitt henholdsvis 1563 og 1142 timer. Reduksjonen i den årlige arbeidstiden for både menn og kvinner over den betraktede perioden har spesielt sammenheng med arbeidstidsforkortelsen i 1987, som reduserte den ukentlige normalarbeidstiden fra 40 til 37,5 timer i mange sektorer. Det store innslaget av deltidsarbeid er en vesentlig årsak til at den gjennomsnittlige arbeidstiden for sysselsatte i Norge er en del lavere enn det som er vanlig i de fleste andre OECD-land.
Opplysninger fra AKU viser at deltidsandelen for kvinner økte markant fra begynnelsen av 1970-tallet fram til begynnelsen av 1980-tallet (se figur 3.6). Dette har trolig nær sammenheng med veksten i den kvinnelige yrkesdeltakingen hvor en stor del gikk inn i deltidsarbeid. Fra begynnelsen av 1980-tallet har deltidsandelen blant kvinner vist en synkende tendens og har isolert sett bidratt til økt gjennomsnittlig arbeidstid. En vridning av sysselsettingens sammensetning i retning privat og offentlig tjenestyting med lavere gjennomsnittlig arbeidstid (for kvinner særlig helse- og sosialsektoren) samt et økt omfang av fravær på grunn av permisjoner (blant annet utvidet fødselspermisjon) har bidratt til å trekke gjennomsnittlig arbeidstid ned.

Figur 3.6 Deltidsandel for kvinner
1Brudd i tallserien i 1988.
2For 1972-87 20-30 timer pr. uke, senere år 20-36 timer med unntak av personer med arbeidstid 32-36 timer som oppgir at dette utgjør heltid.
31-19 timer pr. uke.
Kilde: Statistisk sentralbyrå.
Det har ikke vært noen betydelig endring i gjennomsnittlig arbeidstid hverken for menn eller for kvinner siden 1987. Et relativt stabilt nivå samsvarer rimelig godt med opplysninger om gjennomsnittlig ukentlig faktisk arbeidstid i AKU, som riktignok viser noe nedgang for sysselsatte menn (inklusive selvstendige) fra 1988 til 1997, men om lag uendret gjennomsnittlig arbeidstid for kvinner. Ettersom gjennomsnittlig arbeidstid har endret seg lite, er det derfor ikke uten videre enkelt å si at reallønnsutviklingen (med klar vekst, se figur 3.7) eller skattereformen har påvirket arbeidstiden i særlig grad i disse årene.
3.4 Elementer fra arbeidstilbudsteorien
I følge den enkle, statiske arbeidstilbudsteorien 2 vil en person på et gitt tidspunkt maksimere sin nytte av konsum og fritid, gitt budsjettbetingelsen og en grense for hvor mye tid som maksimalt kan brukes på inntektsgivende arbeid. Budsjettbetingelsen begrenser verdien av konsumet til summen av arbeidsfri inntekt og disponibel lønnsinntekt. Den disponible lønnsinntekten avhenger av antall timer jobbet, timelønnen og skatt på arbeid. Den arbeidsfrie inntekten kan blant annet avhenge av ektefelle eller foreldres inntekt, offentlige overføringer og stønader som barnetrygd, kontantstøtte, alders- og uførepensjon, bidrag til aleneforeldre, og netto avkastning av egen formue. En optimal, indre tilpasning innebærer at forholdet mellom grensenytten av henholdsvis fritid og konsum er lik realdisponibel timelønn. Dette forholdet er aktørens skyggepris på fritid og avhenger av total disponibel tid, lønn, skatt, antall timer jobbet, arbeidsfri inntekt og pris på konsum, i tillegg til nyttestrukturen. Nyttestrukturen kan blant annet avhenge av familiesituasjon og utdanning. Utdanning vil i tillegg påvirke en persons relative lønnsmuligheter.
Men som kjent, indre løsning er ikke alltid tilfelle. En del personer vil ønske å jobbe mer enn det maksimalt tillatte, mens andre vil ende i den motsatte hjørneløsningen og ikke jobbe i det hele tatt. For enkelte som ønsker å jobbe noe, kan restriksjoner på mulige stillingsandeler gjøre det mer optimalt å ikke jobbe, mens for andre er hjørneløsningen det optimale. Den laveste realdisponible timelønnen aktøren vil velge å tilby sin arbeidskraft til, kalles reservasjonslønnen. I den enkle teorien avhenger denne av aktørens nyttestruktur og realverdien av arbeidsfri inntekt.
En økning i den arbeidsfrie inntekten gir en inntektseffekt som trekker i retning av et ønske om å jobbe færre timer for dem som er i arbeid. Inntektseffekten kan videre føre til at reservasjonslønna for enkelte aktører stiger til over det realdisponible timelønnsnivået. Disse aktørene vil trekke seg ut av arbeidsmarkedet. For aktører som i utgangspunktet ikke tilbyr arbeid, har en økning i den arbeidsfrie inntekten ingen effekt.
En økning i realdisponibel timelønn (via økt timelønn, redusert skatt eller redusert konsumpris) gir opphav til både en inntektseffekt og en substitusjonseffekt som trekker i hver sin retning med hensyn på arbeidstilbudet. Aktøren vil ønske å bruke mer penger på konsum, men det er usikkert om han vil ønske å jobbe mer eller mindre. Reservasjonslønna vil være upåvirket av realdisponibel timelønn. Imidlertid kan lønnsøkningen føre til at enkelte som tidligere ikke arbeidet kommer i en situasjon hvor realdisponibel timelønn overstiger deres reservasjonslønn. Disse vil nå tilby sin arbeidskraft.
Vi kan foreløpig konkludere med at økt arbeidsfri inntekt fører til redusert arbeidstilbud, både i form av antall personer og i form av antall timer. En økning i realdisponibel timelønn har en usikker effekt på antall timeverk som tilbys av dem som i utgangspunktet er i arbeid, men vil gi en økning i antall yrkesaktive personer.
Når en person velger å ikke jobbe, kan det både skyldes en høy verdsetting av fritid i forhold til konsum, høy arbeidsfri inntekt eller at personen står overfor en lav potensiell realdisponibel markedslønn. Den lave yrkesaktiviteten blant norske kvinner på 1960-tallet (spesielt gifte kvinner) har vært forklart ved alle disse forholdene; lave kvinnelønner, høy verdi av alternativ anvendelse av tid i hjemmet, et skattesystem som tidligere ga høy marginalskatt på kvinners inntekt, samt at mannens inntekt kunne ses på som del av den arbeidsfrie inntekten for gifte kvinner. Men holdningen til å gå ut i arbeid blant norske kvinner på 1960-tallet var trolig en annen enn i dag.
Den enkle modellen vi har skissert over har åpenbare svakheter, og i litteraturen er den utviklet i ulike retninger. Viktigst er utvidelser som tar hensyn til hvordan arbeidstilbudet påvirkes av ikke-lineære budsjettbetingelser som følge av for eksempel kompliserte skattesystemer, at man er del av en familie, og modeller som studerer aktørens tilpasning over livsløpet med hensyn på utdanning, barn, arbeidstilbud og pensjoneringstidspunkt. Det observerte arbeidstilbudet kan også være avhengig av de sysselsettingsmulighetene som foreligger. De empiriske analysene vi refererer til i avsnitt 5, viser at flere av disse faktorene har stor betydning for tilbudet av arbeidskraft.
3.5 Empiriske analyser av sammenhengen mellom skatt og arbeidstilbud
Tilgang på data er ofte avgjørende for valg av angrepsmåte ved analyser av økonomiske atferdssammenhenger. Generelt kan slike analyser utføres både ved bruk av mikrobaserte tverrsnittsdata og aggregerte tidsseriedata, og begge angrepsmåtene er benyttet i kartleggingen av hvilke faktorer som er av betydning for arbeidstilbudet i Norge. Analyser av arbeidstilbudet for gifte kvinner og menn basert på norske tverrsnittsdata fra 1979 ble første gang publisert av Dagsvik et al. (1986), og Dagsvik og Strøm (1988) og utgjør grunnlaget for presentasjonen i Aaberge, Dagsvik og Strøm (1995). Analysen er senere oppdatert med tverrsnittsdata fra 1986, og resultatene er summarisk publisert i Aaberge, Colombino og Strøm (1997), i Aaberge og Strøm (1998) og i vedlegg 2 til denne utredningen. Kornstad og Thoresen (1998) benytter også et tilsvarende opplegg med diskret valg i sine analyser av gifte kvinners arbeidstilbud med utgangspunkt i tverrsnittsdata fra 1995. Valgmulighetene er imidlertid ikke representert på samme måte som hos Aaberge et al. (1995 og 1997). Den første tidsserieanalysen for utviklingen i yrkesdeltakingen for ulike sosioøkonomiske grupper basert på norske data for perioden 1964-1985 er dokumentert i Lindquist, Sannes og Stølen (1990). Denne analysen er senere oppdatert av Zakariassen (1994) og videre av Svendsen (1998a), mens Svendsen (1998b) analyserer kvinners arbeidstilbud med utgangspunkt i en annen gruppeinndeling enn i tidligere arbeider.
Begge angrepsmåtene har sterke og svake sider, og kan sies å utfylle hverandre ved at de gir informasjon om ulike forhold. En styrke ved de gjennomførte mikrobaserte analysene er at en i større grad får ivaretatt heterogeniteten i befolkningen når det gjelder faktorer av betydning for arbeidstilbudet. Selv om tidsserieanalysene splitter opp den yrkesaktive befolkningen i 7-8 grupper, kan aggregeringsproblemene være betydelige. De mikrobaserte analysene gir også mulighet til å analysere tilpasningen til ektepar i sammenheng, noe som ikke er mulig med aggregerte tidsseriedata. Videre gir de mikrobaserte analysene rom for å ivareta detaljerte budsjettsammenhenger. Skattesystemet er relativt komplisert, og ved bruk av aggregerte tidsseriedata er det bare mulig med en svært forenklet behandling. En vanlig måte å gjøre det på er å benytte grove anslag på gjennomsnittlige marginal og gjennomssnittsskatter ved å anvende skattereglene på gjennomsnittsinntekter i befolkningen. Bruk av mikrodata åpner også muligheten for analyser av diskret valg slik det er gjennomført av Aaberge, Dagsvik og Strøm (1995). I dette opplegget får en tatt hensyn til at individene står overfor ulike muligheter når det gjelder valg av arbeidstid, timelønn og andre jobbkarakteristika. Opplegget er spesielt relevant ved analyser av tilpasningen av arbeidstid da en del ikke arbeider i det hele tatt, det er sterk konsentrasjon rundt full tid og en viss konsentrasjon rundt deltidsandeler på 50 og 75-80 pst.
På den andre siden kan det være en styrke ved tidsserieanalysene at de gir en bedre mulighet til å fange opp effekten av forklaringsvariable som i første rekke varierer over tid og i mindre grad på tvers av befolkningen. Dette kan spesielt gjelde faktorer som fanger opp utviklingen på etterspørselssiden i det norske arbeidsmarkedet og utviklingen i arbeidsledigheten, som både ut fra figurbetraktningene i avsnitt 2 og de gjennomførte tidsserieanalysene ser ut til å ha en direkte effekt på arbeidstilbudet. Det samme kan være tilfellet ved større skatte- eller trygdeendringer, som ved reformen av 1992. På grunn av en svært grov behandling av skatt i de norske tidsserieanalysene referert til ovenfor, er imidlertid det siste aspektet ikke spesielt godt ivaretatt. Tidsseriedata gir også større mulighet til å få kartlagt dynamikken i tilpasningen ettersom det kan det gå noe tid fra en endring inntreffer i en forklaringsfaktor til det gir seg utslag i arbeidstilbudet.
Bruk av paneldata kan være en framgangsmåte som utnytter de sterke sidene ved begge de to angrepsmåtene ovenfor. Bortsett fra Kornstads (1995) forsøk på å estimere en livsløpsmodell for arbeidstilbud og konsum, har problemer med å skaffe gode serier for individenes arbeidstilbud begrenset bruken av slike data i empiriske analyser av arbeidstilbudet i Norge. Aarbu og Thoresen (1997) har imidlertid utnyttet panelet i Statistisk sentralbyrås Inntekts- og formuesundersøkelser for årene 1991-1994 til å analysere i hvilken grad skattereformen fra 1992 har påvirket inntekt før skatt. I analysen har de sett på hvordan bruttoinntekten for dem som opplevde den største endringen i marginalskatten (høyinntektsgruppene) har endret seg over perioden i forhold til endringen i bruttoinntekten for grupper med lavere inntekter, som bare opplevde små endringer i de marginale skattesatsene, jf Feldstein (1995).
Resultatene fra analysene som Aaberge, Dagsvik og Strøm (1995) gjennomførte på grunnlag av tverrsnittsdata fra 1979, er gjengitt i tabell 3.2. Elastisitetene er beregnet med hensyn på gjennomsnittlig lønnsnivå for henholdsvis gifte menn og kvinner i alt og fordelt på undergrupper av husholdninger etter inntektens størrelse. Den første delen av tabellen presenterer elastisitetene for sannsynligheten for yrkesdeltaking med hensyn på lønna, den andre delen elastisitetene for timer arbeidet gitt yrkesdeltaking, mens den tredje delen viser elastisiteten for ubetinget arbeidstilbud. I hver del er det dessuten presentert elastisiteter for hhv de 10 pst rikeste og fattigste husholdningene, de 80 pst i midten og for alle husholdninger samlet.
Tabell 3.2 Gjennomsnittlige arbeidstilbudselastisiteter for gifte menn og kvinner, 1979
| Menn | Kvinner | ||||
| Egen lønnselastisitet (Cournot) | Krysselastisitet (Cournot) | Egen lønnselastisitet (Cournot) | Krysselastisitet (Cournot) | ||
| Yrkes- | I | 1,89 | -1,04 | 1,85 | -1,44 |
| deltaking | II | 0,09 | -0,08 | 0,66 | -0,29 |
| III | 0,03 | 0,01 | 0,07 | -0,03 | |
| IV | 0,29 | -0,08 | 0,83 | -0,25 | |
| 1986 | 0,17 | -0,03 | 0,37 | -0,12 | |
| Arbeidstid | I | 0,29 | -0,15 | 1,04 | -1,04 |
| gitt yrkes- | II | 0,07 | -0,09 | 0,78 | -0,29 |
| deltaking | III | 0,03 | -0,01 | 0,12 | -0,06 |
| IV | 0,16 | -0,07 | 0,99 | -0,26 | |
| Ubetinget | I | 2,23 | -1,18 | 3,09 | -2,33 |
| for totalt | II | 0,16 | -0,17 | 1,49 | -0,57 |
| arbeids- | III | 0,06 | -0,01 | 0,19 | -0,08 |
| tilbud | IV | 0,45 | -0,15 | 1,82 | -0,51 |
Merk: I omfatter de 10 pst fattigste husholdningene, II de 80 prosentene midt i inntektsfordelingen, III de 10 pst rikeste husholdningene og IV alle husholdningene
Kilde: Aaberge, Dagsvik og Strøm (1995)
Resultatene viser at elastistitetene er klart størst for husholdningene med lavest inntekt og klart større for kvinner enn for menn. Dette er et vanlig funn innenfor denne typen analyser. Elastisitetene for yrkesdeltaking er også klart større enn for timer arbeidet gitt yrkesdeltaking. Analysen som er gjennomført på data fra 1986, ga estimater for enkelte av strukturparametrene som avvek noe fra resultatene med data fra 1979. Som en følge av dette og klart høyere yrkesdeltaking og inntekt i 1986 er de aggregerte elastisitetene anslått til å være klart mindre. Ifølge Aaberge og Strøm (1998) kan en fortsatt økning i yrkesdeltakingen og inntektene fram til 1998 tilsi at elastisitene nå er ytterligere redusert. Resultatene basert på dataene fra 1986 viser fortsatt at elastisitetene er størst for husholdninger med lavest inntekt og klart større for kvinner enn for menn.
Selv om resultatene fra ulike analyser av arbeidstilbudet spriker en del, og ulike metodiske opplegg og ulike data setter grenser for hvor langt en kan gå i å foreta sammenligninger, er det ikke stort avvik mellom resultatene til Aaberge, Colombino og Strøm (1997) og andre norske analyser, både basert på tverrsnittsdata og tidsseriedata, samt analyser fra utlandet. Ved å benytte et lignende diskret valg opplegg som Aaberge, Dagsvik og Strøm (1995) for gifte kvinners arbeidstilbud basert på data fra 1995, finner Kornstad og Thoresen (1998) en noe lavere lønnselastisitet for gifte kvinner samlet enn det som rapporteres hos Aaberge og Strøm (1998) basert på dataene fra 1986. Inntekts- og substitusjonseffekten ser i større grad ut til å motvirke hverandre enn hos Aaberge, Colombino og Strøm ved at inntektseffekten er anslått til å være noe større. I tillegg til at estimeringen er utført på data fra 1995, kan resultatene trolig være påvirket av at beregningen av timelønn og arbeidstid er forskjellig i de to analysene. Som påpekt av Aaberge og Strøm kan den måten de har avledet arbeidstid på med utgangspunkt i observerte timelønninger og inntekter, innebære at responsen på arbeidstilbudet av endringer i skatt og lønn er noe overvurdert. Motsatt kan Kornstad og Thoresens opplegg med å beregne timelønn på grunnlag av observert arbeidsinntekt og intervjudata for arbeidstid medføre at responsen i arbeidstilbudet er undervurdert. Valgalternativene som individene står overfor i sin beslutning med hensyn til arbeid og andre aktiviteter er også noe snevrere hos Kornstad og Thoresen enn hos Aaberge, Colombino og Strøm, og mennenes arbeidstilbud tas som gitt.
I sin analyse av skattereformen i 1992 ved hjelp av paneldata fra 1991 til 1994 finner Aarbu og Thoresen (1997) bare ubetydelige effekter på inntektene før skatt. Selv om det i dette opplegget ikke blir benyttet en strukturell arbeidstilbudsmodell, gir resultatene en klar indikasjon på at skattereformen av 1992 ikke ga store effekter på arbeidstilbudet. Relatert til analysen utført av Aaberge, Colombino og Strøm må det anføres at skattereformen i 1992 grovt sagt bidro til å redusere marginalskatten for personer med de høyeste inntektene, mens gjennomsnittsskatten ble holdt noenlunde uendret. Personer med lav inntekt ble i mindre utstrekning berørt av reformen. En analyse av skatterformen av 1992 med elastisitetene til Aaberge, Colombino og Strøm ville derfor trolig ha gitt klart svakere effekter på arbeidstilbudet enn det som er tilfellet med den tenkte flat skatt reformen. I motsetning til en flat skatt reform, som også i stor grad kan berøre husholdninger med lavere inntekter, har de små arbeidstilbudseffektene som følge av reformen i 1992 sammenheng med at den i hovedsak omfattet husholdninger med høyere inntekter og relativt små arbeidstilbudselastisiteter.
Arbeidstilbudselastisitene rapportert i analysen til Aaberge, Colombino og Strøm (1997) avviker heller ikke mye fra det som framkommer i utenlandske anlyser. En oversikt over en del tidligere sentrale utenlandske analyser er bl a utarbeidet av Pencavel (1986), Killingsworth og Heckman (1986), Blundell (1993) og Blundell og MaCurdy (1998). Resultatene fra den siste oversikten er gjengitt i tabell 3.3, hvor resultatene til Aaberge, Dagsvik og Strøm (1997) og Kornstad og Thoresen (1998) også er satt inn for sammenligning. Anslag på arbeidstilbudsresponsene for gifte og samboende kvinner fra en nylig publisert analyse av Blundell, Duncan og Meghir (1998), der de blant annet tar hensyn til barnetallet, er også inkludert Ettersom elastisitetene avhenger av skattesystemene, yrkesdeltakingen og inntektsforholdene i de ulike landene, samtidig som datakvalitet og valg av empirisk metode kan ha påvirket resultatene, skal en være forsiktig med å trekke sammenligningen for langt.
Tabell 3.3 Arbeidstilbudselastisiteter for menn og gifte kvinner fra internasjonale analyser
| Land | Ukompensert lønnselastisitet | Inntektselastisitet | |
| Menn | |||
| Blomquist (1983) | Sverige | 0,08 | -0,03 - -0,04 |
| Blomquist og Hansson-Brusewitz (1990) | Sverige | 0,08 - 0,13 | -0,01 - 0,00 |
| Bourgiugnon og Magnac (1990) | Frankrike | 0,1 | -0,07 |
| Blundell og Walker (1986) | Storbritannia | 0,02 | -0,29 |
| Hausman (1981) | USA | 0,00 - 0,03 | -0,95 - -1,03 |
| Kaiser, Essen og Spahn (1992) | Tyskland | -0,004 | -0,28 |
| MaCurdy, Green og Paarch (1990) | USA | 0 | -0,01 |
| Triest (1990) | USA | 0,05 | 0 |
| van Soest, Woittiez og Kapteyn (1990) | Nederland | 0,12 | -0,01 |
| Aaberge, Colombino og Strøm (1997) | Norge | 0,31 | 0,01 |
| Gifte kvinner | |||
| Arellano og Mehgir (1992) | Storbritannia | 0,29 - 0,71 | -0,13 - -0,40 |
| Arrufat og Zabalza (1986) | Storbritannia | 2,03 | -0,2 |
| Blomquist og Hansson-Brusewitz (1990) | Sverige | 0,58 - 0,79 | -0,05 - -0,24 |
| Blundell, Meghir, Symons og Walker (1988) | Storbritannia | 0,09 | -0,26 |
| Bourgiugnon og Magnac (1990) | Frankrike | 0,05 - 1,0 | -0,2 - -0,3 |
| Colombino og Del Boca (1990) | Italia | 0,66 - 1,18 | 0,52 |
| Hausman (1981) | USA | 0,91 - 1,00 | -0,12 - -0,13 |
| Kaiser, Essen og Spahn (1992) | Tyskland | 1,04 | -0,18 |
| Kuismanen (1997) | Finland | -0,01 - 0,01 | 0,11 - 0,27 |
| Triest (1990) | USA | 0,28 - 0,97 | -0,17 - -0,33 |
| van Soest, Woittiez og Kapteyn (1990) | Nederland | 0,79 | -0,23 |
| Blundell, Duncan og Meghir (1998) | Storbritannia | 0,14 - 0,44 | 0,00 - -0,19 |
| Aaberge, Colombino og Strøm (1997) | Norge | 0,92 | -0,06 |
| Kornstad og Thoresen (1998) | Norge | 0,4 | -0,3 |
Kilde: Blundell og MaCurdy (1998). På grunn av en ikke helt perfekt referanseliste i denne publikasjonen har det beklageligvis ikke vært mulig å sette opp referansene til alle undersøkelsene.
Tabell 3.3 viser en betydelig variasjon mellom de ulike analysene når det gjelder elastisitetene for kvinner. Med unntak av Arrufat og Zabalza (1986) ligger resultatene til Aaberge, Colombino og Strøm i øvre del av det intervallet som er estimert, mens de rapporterer en noe høyere elastisitet for menn enn det som framkommer i andre analyser. Lønnselastisiteten for gifte kvinner er også noe større enn det som er funnet for de andre nordiske land. Dette gjelder både i forhold til resultatene til Blomquist og Hansson-Brusewitz (1990) for Sverige og Kuismanen (1997) for Finland. I Aaberge, Colombino og Strøm (1997) blir det påvist at et tilsvarende opplegg som er anvendt for de norske datatene, gir noe lavere elastisiteter både med svenske og italienske data. Aronsson og Palme (1998) finner en gjennomsnittlig arbeidselastisitet for menn i aldersgruppen 25-55 år på 0,12, gitt at de er i arbeid, og en tilsvarende elastisitet for kvinner på 0,44. På grunn av høy yrkesdeltaking for kvinner i Sverige, mener de at de ikke taper så mye på å se bort fra beslutningen om yrkesaktivitet eller ikke. Litt høyere yrkesdeltaking for kvinner i Sverige enn i Norge kan trolig tilsi at arbeidstilbudselastisitetene er noe lavere der.
De makrobaserte studiene på norske data opererer med en inndeling av yrkesbefolkningen i syv (åtte) demografiske grupper; ungdom 16-19 år/20-24 år, menn 25-59 år/60-66 år (ekskl. uføre), ugifte/gifte kvinner 25-66 år (kvinner 25-39 år/40-59 år/60-66 år) og pensjonister 67-74 år. Studiene finner små, men positive effekter av realdisponibel lønn for menns (25-59 år) og kvinners (25-39 år) yrkesdeltaking, med en elastisitet på 0,12 (Svendsen (1998a)) for menn og 0,08 (Svendsen (1998b)) for kvinner. De små elastisitetene er ikke uventet ettersom det er tilpasningen mellom jobb - ikke-jobb som analyseres, i tillegg til at yrkesprosentene for disse gruppene ligger på et relativt høyt nivå. Med unntak av ungdom 16-19 år (elastisitet på 1,09) og kvinner 60-66 år (elastisitet på 0,85), finner undersøkelsen ikke signifikante lønnseffekter for de øvrige gruppene. For menn 60-66 år finner man imidlertid en negativ effekt på deres arbeidstilbud av økt realdisponibel trygd for uføre. Elastisiteten av realdisponibel trygd er beregnet til -0,49. Uføretrygd kan tolkes som en arbeidsfri alternativinntekt. Elastisiteten av økt realdisponibel lønn på den totale yrkesprosenten (16-74 år) er på grunnlag av resultatene i Svendsen (1998a og 1998b) beregnet til 0,14 pst.
I makroøkonomisk sammenheng synes effekten av situasjonen i arbeidsmarkedet å være sterk i forhold til de tradisjonelle faktorene som teorien fokuserer på. For de fleste gruppene finner man at arbeidstilbudet avhenger negativt av arbeidsledighetsraten - en støtte til hypotesen om utstøtning og redusert søkeadferd i perioder med høy ledighet. En endring i ledighetsraten har størst effekt på arbeidstilbudet til de helt unge og de eldste.
Hvorvidt det finnes arbeid som passer med ens kvalifikasjoner og interesser, kan også være avgjørende for om en person finner det interessant å melde seg på arbeidsmarkedet (jfr. jobb-match modeller). På 1970- og 1980-tallet fant det sted en kraftig vekst i arbeidsplasser som passet bra med kvinners kvalifikasjoner, såkalte kvinnearbeidsplasser. De makrobaserte studiene viser at utviklingen i dette arbeidsmarkedet bidrar til å forklare utviklingen i yrkesdeltakingen for både kvinner og ungdom. Selv om denne forklaringsfaktoren er konstruert slik at den primært skal fange opp vridningen i næringsstrukturen med økt omfang av næringer innen privat og offentlig tjenesteyting med mange kvinnearbeidsplasser, er variabelen ikke helt uproblematisk. Framveksten av disse arbeidsplassene var bare mulig fordi kvinnene i så stor grad gikk ut i arbeidslivet. Det kan derfor diskuteres hva som er årsak og virkning. Denne variabelen er ikke med i modelleringen av kvinners arbeidstilbud i Svendsen (1998b).
For kvinners del bekrefter i tillegg de aggregerte tidsseriestudiene betydningen av økt utdanningsnivå og færre barn pr. kvinne.
3.6 Oppsummering og vurdering av resultatene
Selv om det ikke uten videre er enkelt å sammenligne resultatene fra analyser basert på ulike metodiske opplegg, ulike data og ulike tidsperioder, ser det ut til å være en rimelig grad av konsensus om hvordan endringer i lønn og skatt påvirker arbeidstilbudet i Norge. Resultatene fra både de mikrobaserte tverrsnittsanalysene og de aggregerte tidsserieanalysene indikerer at det er grupper med relativt lav inntekt som reagerer sterkest. De mikrobaserte studiene tyder også på at kvinner i sin tilpasning i forhold til arbeidsmarkedet er mer følsom for lønn og skatt enn det menn er. Effektene på yrkesdeltakingen er også klart større enn på timer arbeidet for gitt yrkesdeltaking.
Noe avvik i resultatene mellom de ulike studiene, kan skyldes at de er basert på data fra ulike tidsperioder. Ettersom det har vært en klar økning i kvinners yrkesdeltaking i Norge gjennom de siste 30 årene samtidig som det har vært en betydelig økning i reallønn og reallinntekt (jf figur 3.7), er det rimelig at arbeidstilbudselastisitetene i 1998 er klart lavere enn det estimater basert på data fra f eks 1979 viser. Måten dataene for timelønn og arbeidstid er konstruert på i analysen til Aaberge, Dagsvik og Strøm (1995), drar isolert sett i retning av at effektene på arbeidstilbudet kan være noe overvurdert, mens de av tilsvarende grunner kan være undervurdert hos Kornstad og Thoresen (1998). Resultatet hos Aarbu og Thoresen (1997) om at skattereformen av 1992 ikke ser ut til å ha hatt en særlig stor effekt på arbeidstilbudet, er godt i samsvar med resultatene til Aaberge, Colombino og Strøm (1997) da reformen i 1992 i særlig grad berørte de høyere inntektene med relativt liten arbeidstilbudselastisitet.
Ved en sammenligning av resultatene fra ulike analyser er det viktig å være klar over det i tidsserieanalysene til Svendsen (1998a og 1998b) og i flere av tverrsnittsanalysene ikke er skilt mellom mannslønn og kvinnelønn slik at det er nettoelastisitetene som er estimert. For å sammenligne med resultatene til Aaberge, Colombino og Strøm (1997) må en derfor ta hensyn til de anslåtte krysseffektene. Ved en slik sammenligning er det ikke stort avvik mellom den samlede elastisiteten for kvinners og menns yrkesdeltaking i denne analysen og resultatene for alle grupper samlet i Svendsen.
Det kan tenkes at tidsserieanalysen undervurderer effekten av skatt og reallønn på arbeidstilbudet, og da særlig for kvinner, ettersom det er vanskelig å skille den positive trendutviklingen i disponibel realtimelønn fra trendutviklingen i kvinners utdanninngsnivå, arbeidsmarkedsindikatoren og nedgangen i barnetallet. De beslutninger som kvinnene har tatt når det gjelder utdanning, yrkesdeltaking og det å få barn, kan som påpekt av Ljones (1979) ha blitt fattet simultant, og hverken de refererte tidsserieanalysene eller tverrsnittsanalysene har behandlet dette.
På den andre siden ser den samlede elastisiteten for kvinners arbeidstilbud hos Aaberge, Colombino og Strøm (1997) ut til å være noe høyere enn det som er funnet for de andre nordiske land, deriblant Sverige. En kan kanskje stille seg undrende til at atferden hos norske kvinner er såpass forkjellig. Høyere yrkesdeltaking i utgangspunktet i Sverige kan muligens tilsi en noe lavere elastisitet, men kan neppe utgjøre hele forklaringen. En relativt stor elastisitet for kvinners arbeidstilbud i Norge kan ha sammenheng med større fleksibilitet i arbeidsmarkedet enn i mange andre land. Dette gjelder spesielt mulighetene til å arbeide deltid.
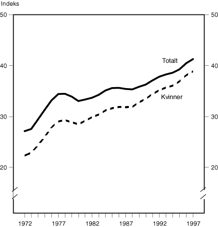
Til tross for åpenbare svakheter i forhold til et mikrobasert opplegg, som problemet med aggregering over ikke homogene individer, kan et makrobasert opplegg ha sin styrke at det i større grad fanger opp effekten av forklaringsvariable som utvikler seg over tid, bl a situasjonen på arbeidsmarkedet. En sentral forklaringsvariabel som er benyttet i de aggregerte tidsserieanalysene, er utviklingen i realdisponibel timelønn vist i figur 3.7.

Figur 3.7 Realdisponibel timelønn
Kilde: Statistisk sentralbyrå.
Hvis den samlede lønnselastisiteten for kvinners yrkesdeltaking hadde vært stor, ville det med utgangspunkt i denne kurven ha vært vanskelig å forklare den faktiske utviklingen i yrkesdeltakingen for kvinner vist i figur 3.2. Allerede på 1960-tallet var det en klar vekst i kvinners reallønn uten at det hadde nevneverdig utslag på veksten i kvinners yrkesdeltaking. Fra 1977 til 1980 var det et fall i realdisponibel timelønn, mens veksten i yrkesdeltakingen fortsatte. I årene 1988 til 1993 var derimot yrkesdeltakingen for kvinner tilnærmet uendret til tross for klar reallønnsvekst. Andre faktorer enn realdisponibel timelønn har som nevnt i avsnitt 2 og 5 vært av betydning, men dette er det forsøkt korrigert for.
Selv om figurbetraktningen over ikke gir rom for en stor arbeidstilbudselastisitet for kvinner sett under ett, er dette nødvendigvis ikke i motstrid med resultateter som viser at det spesielt er kvinner i husholdninger med lav inntekt som er følsomme for endringer i skatt og lønn. Fleksibiliteten på arbeidsmarkedet er trolig større for disse gruppene enn for grupper med høy yrkesdeltaking og stort innslag av heltid. Et ønske om å opprettholde et minstenivå på inntektene kan også spille en rolle. Større fleksibilitet i forhold til arbeidsmarkedet for kvinner er med på å underbygge robustheten i resultatet om høyere arbeidstilbudselastisiteter enn for menn
Referanser
Aaberge, R., U. Colombino og S. Strøm (1997): Welfare Effects of Proportional Taxation: Empirical Evidence from Italy, Norway and Sweden. Discussion Papers 171, Statistisk sentralbyrå.
Aaberge, R., J.K. Dagsvik og S. Strøm (1995): Labour Supply Responses and Welfare Effects of Tax Reforms. Scandinavian Journal of Economics97, 635-659.
Aaberge, R. og S. Strøm (1998): Virkninger på arbeidstilbud og velferd av flat beskatning. Sosialøkonomennr. 9, 1998, s. 29-37.
Aarbu, K.O. og T.O. Thoresen (1997): The Norwegian Tax Reform; Distributional Effects and the High-income Response. Discussion Papers 207, Statistisk sentralbyrå.
Arellano, M. og C. Meghir (1992): Female Labour Supply and On-the-Job Search. An Empirical Model Estimated using Complementary Data Sets. Review of Economic Studies53(3), No. 200, 537-559.
Aronsson, T. og M. Palme (1998): A Decade of Tax and Benefit Reforms in Sweden: Effects on Labour Supply, Welfare and Inequality. Economica65, 39-67.
Arrufat, J.L. og A. Zabalza (1986): Female Labour Supply with Taxation, Random Preferences and Optimization Errors. Econometrica54, 47-63.
Blomquist, N.S. (1983): The Effect of Income Taxation on the Supply of Married Men in Sweden. Journal of Public Economics22, 169-197.
Blomquist, N.S. og U. Hansson-Brusewitz (1990): The Effects of Taxes on Male and Female Labour Supply in Sweden. Journal of Human Resources25, 317-357.
Blundell, R.W. (1993): «UK Taxation and Labour Supply Incentives» i A.B. Atkinson og G.V. Mogensen (red.): Welfare and Work Incentives: A North-European Perspective. Clarendon Press, Oxford.
Blundell, R.W. og I. Walker (1986): A Life Cycle Consistent Empirical Model of Labour Supply using Cross Section Data. Review of Economic Studies 53, 539-558.
Blundell, R.W., C. Meghir, E. Symons og I. Walker (1988): Labour Supply Specification and the Evaluation of Tax Reforms. Journal of Public Economics36, 23-52.
Blundell, R.W., A. Duncan og C. Meghir (1998): Estimating Labor Supply Responses Using Tax Reforms. Econometrica 66, 827-861.
Blundell, R.W og T. MaCurdy (1998): Labour Supply: A Review of Alternative Approaches. Working Paper Series No. W98/18. The Institute for Fiscal Studies.
Bourgiugnon, F. og T. Magnac (1990): Labour Supply and Taxation in France. Journal of Human Resources25, 358-389.
Colombino, U. og D. Del Boca (1990): The Effect of Taxes and Labour Supply in Italy. Journal of Human Resources 25, 390.414.
Dagsvik, J., O. Ljones, S. Strøm og R. Aaberge (1986): Gifte kvinners arbeidstilbud, skatter og fordelingsvirkninger. Rapporter 86/14, Statistisk sentralbyrå.
Dagsvik, J. og S. Strøm (1988): A Labour Supply Model for Married Couples with Non-Convex Budget Sets and Latent Rationing. Discussion Paper 36, Statistisk sentralbyrå.
Feldstein, M. (1995): The Effect of Marginal Tax Rates on Taxable Income: A Panel Study of the 1996 Tax Reform Act. Journal of Political Economy103, 551-572.
Hausman, J.A. (1981): «Labour Supply» i H.J. Aaron og J.A. Pechman (red.): How Taxes Affect Economic Behaviour. Brookings Institutions, Washington D.C.
Kaiser, H., U. van Essen og P.B. Spahn (1992): Income Taxation and the Supply of Labour in West Germany. Jahrbucher fur Nationalokonomie und Statistik209/1-2, 87-105.
Killingsworth, M. R. (1983): Labor Supply, Cambridge Surveys of Economic Literature, Cambridge University Press, New York.
Killingsworth, M. og J.J. Heckman (1986): «Female Labour Supply: A Survey» i O. Ashenfelter og R. Layard (red.): Handbook of Labour Economics. Elsevier, Amsterdam.
Kornstad, T. (1995): Empirical Life Cycle Models of Labour Supply and Consumption. Sosiale og økonomiske studier 91, Statistisk sentralbyrå.
Kornstad, T. og T.O. Thoresen (1998): Means-testing the Child Benefit. A Microsimulation Approach. Upublisert notat, Statistisk sentralbyrå.
Kuismanen, M. (1997): Labour Supply, Unemployment and Income Taxition: An Empirical Application for Finnish Females. VATT Discussion Papers 145.
Lindquist, K.G., L. Sannes og N.M. Stølen (1990): Arbeidstilbudet i MODAG. En analyse av utviklingen i yrkesdeltakingen for ulike sosiodemografiske grupper. Rapporter 90/4, Statistisk sentralbyrå.
Ljones, O. (1979): Kvinners yrkesdeltaking i Norge. Samfunnsøkonomiske studier 39, Statistisk sentralbyrå.
MaCurdy, T., D. Green og H. Paarsch (1990): Assessing Empirical Approaches for Analyzing Taxes and Labour Supply. Journal of Human Resources25, 415-490.
Pencavel, J. (1986): «Labour Supply of Men: A Survey» i O. Ashenfelter og R. Layard (red.): Handbook of Labour Economics. Elsevier, Amsterdam.
Sandmo, A. (1991): Economists and the Welfare State. European Economic Review 35, 213-239.
Svendsen, I. (1998a): Arbeidstilbudsblokka i MODAG - en økonometrisk analyse av yrkesprosenter. Upublisert notat, Statistisk sentralbyrå.
Svendsen, I. (1998b): Female labour participation rates in Norway - trends and cycles. Upublisert notat, Statistisk sentralbyrå.
Van Soest, A., I. Woittiez og A. Kapteyn (1990): Labour Supply, Income Taxes and Hours Restrictions in the Netherlands. Journal of Human Resources25, 517-558.
Zakariassen, H.M.B. (1994): Tilbud av arbeidskraft i Norge. Rapporter 94/3, Statistisk sentralbyrå.