11 Nærmere om gjeldende delingsmodell

11.1 Innledning

Utvalget foreslår primært å innføre en utbytteskatt med skjerming for aksjeselskaper og en lignende uttaksmodell for deltakerlignede selskaper. På sikt er det videre ønskelig om en lignende uttaksmodell kan innføres også for enmannsforetak. Grunnlaget for å innføre en uttaksbeskatning for deltakerlignede selskaper og enmannsforetak må imidlertid utredes nærmere før delingsmodellen kan oppheves for slike foretak.

Dersom delingsmodellen likevel skal videreføres for både aksjeselskaper, deltakerlignede selskaper og enmannsforetak, mener utvalget at den må utformes på en måte som gjør den mer treffsikker enn i dag. Det bør således innføres strammere regler for fastsettelse av beregnet personinntekt, samtidig som det bør innføres regler som kan begrense muligheten til å tilpasse seg bort fra delingsmodellen. Videre legger utvalget vekt på at modellen skal behandle alle næringer likt, og foreslår derfor å oppheve skillet mellom liberale og ikke-liberale yrker.

Dersom aksjonærmodellen innføres for aksjeselskaper uten at det innføres en lignende uttaksmodell for deltakerlignede selskaper eller enmannsforetak, vil det også være nødvendig med en strammere delingsmodell.

I avsnittene 11.2 og 11.3 redegjøres det for gjeldende delingsmodell og endringer av denne fra 1992 fram til i dag. I avsnitt 11.4 følger en empirisk gjennomgang av delingspliktige virksomheter. Utvalget peker her på ulike forhold som indikerer at omfanget av tilpasninger til delingsmodellen er betydelige. I avsnitt 11.5 følger utvalgets vurdering av dagens delingsmodell, samt forslag til endringer av denne.

11.2 Nærmere om gjeldende delingsmodell

11.2.1 Reglene før 1992 om beskatning av næringsdrivendes arbeidsavkastning

Før skattereformen i 1992, var strukturen i inntektsbeskatningen noe annerledes enn i dag. Men også før reformen ble arbeidsinntekter beskattet høyere enn kapitalinntekter, ved at arbeidsinntekter inngikk i skattegrunnlaget pensjonsgivende inntekt. Pensjonsgivende inntekt ble ilagt trygdeavgift, og fra 1988 også toppskatt.

Som følge av satsforskjellen mellom arbeidsinntekter og kapitalinntekter, samt behovet for å fastsette et grunnlag for beregning av rettigheter i folketrygden, hadde en også før skattereformen en modell for å fastsette pensjonsgivende inntekt. Reglene gjaldt imidlertid kun for eiere av enmannsforetak, deltakere i ansvarlige selskaper, og den ansvarlige deltaker i kommandittselskaper og stille selskaper.

For disse ble det fastsatt pensjonsgivende inntekt etter regler i folketrygdloven, under forutsetning av at de deltok aktivt i driften. I utgangspunktet ble netto næringsinntekt ansett som pensjonsgivende inntekt. Alle driftsutgifter kunne trekkes fra i den pensjonsgivende inntekten. Tilsvarende gjaldt for beløp som kunne avsettes skattefritt. Andre fradrag, som reise mellom hjem og arbeidssted, skulle ikke trekkes fra. Følgende særskilte kapitalinntekter ble holdt utenfor grunnlaget for pensjonsgivende inntekt:

  • Inntekt av bankinnskudd, obligasjoner, aksjer og lignende,

  • inntekt ved bortleie av fast eiendom og av rettigheter til slik eiendom,

  • avhendelsesgevinster utenom avskrivbare driftsmidler og næringstomter.

I tillegg ble pensjonsgivende næringsinntekt redusert med et standardfradrag på 10 pst. Det ble også gitt fradrag for renter på gjeld, i den utstrekning gjeldsrentene oversteg summen av renteinntektene samt 20 pst. av næringsinntekten før standardfradraget. Fradrag for gjeldsrenter ble likevel ikke gitt med mer enn 75 pst. av inntekten.

Reglene for beregning av pensjonsgivende inntekt gjaldt ikke for aksjonærer, selv om disse arbeidet i eget selskap. Selskapet kunne dermed i utgangspunktet bestemme om utdelinger til aktive aksjonærer skulle klassifiseres som utbytte eller lønn. Ligningsmyndighetene hadde imidlertid en viss adgang til å omklassifisere utbytte til lønn dersom interessefellesskapet mellom selskapet og aksjonæren medførte at aksjonærens pensjonsgivende inntekt ble redusert. Ligningsmyndighetene hadde også mulighet til å fastsette arbeidsinntekten skjønnsmessig uten at det var foretatt uttak, jf. dagjeldende skattelov § 54 første ledd. Denne muligheten ble visstnok sjelden benyttet.

Satsforskjellen mellom lønnsinntekter og utbytter var stor også før 1992, selv om den var vesentlig mindre enn etter skattereformen. I 1991 var høyeste marginale skattesats på lønnsinntekt 57,8 pst. + arbeidsgiveravgift (maksimalt 16,7 pst.).

I aksjeselskaper ble overskudd som ikke ble tatt ut som utbytte, i utgangspunktet beskattet med en formell skattesats på 50,8 pst. Effektiv marginalskattesats var omtrent 39,3 pst. når en tar hensyn til at selskapet kunne avsette 23 pst. av inntekten til konsolideringsfond. Som følge av at utdelt utbytte var fradragsberettiget i grunnlaget for statsskatt på selskapet, ble imidlertid overskudd som ble utdelt som utbytte i praksis beskattet med 23 pst. på selskapets hånd. Utbyttet var skattepliktig for aksjonæren ved statsskatteligningen. Skattesatsen for utbytter varierte fra null til 19,5 pst. i 1991. Effektiv skattesats på utdelt utbytte varierte dermed etter aksjonærens marginalskattesats på utbyttet, og graden av utbytteutdeling fra selskapet. For at selskapet skulle få fradrag for utdelt utbytte, var det et vilkår at utbyttet stammet fra årets overskudd. Utdeling fra tidligere års overskudd ga ikke fradragsrett, og kunne dermed medføre dobbeltbeskatning.

11.2.2 Aarbakkegruppens vurdering

Reglene fra før 1991 medførte at pensjonsgivende inntekt for deltakere i deltakerlignede selskaper og eiere av enmannsforetak ble fastsatt på en svært vilkårlig måte. Reglene ga til dels urimelige virkninger ved at næringsdrivende og lønnstakere ble beskattet svært ulikt. I NOU 1998:14 konkluderte Aarbakkegruppen med at det var:

”tvingende nødvendig å skille ut personinntekten på enn annen måte enn i dag, med sikte på å få fram et bedre grunnlag for trygdeavgift og eventuell annen personskatt i tillegg til den alminnelige inntektsskatten. (...) Mulighetene til å unngå trygdeavgift og toppskatt er nå så store at gruppen antar at dette problemet må få en løsning uansett hvilke reformer som ellers måtte bli iverksatt.”

Som nevnt fantes det ikke noen tilsvarende beregning av pensjonsgivende inntekt for aktive aksjonærer før skattereformen, noe som kunne gi incentiver til å omdanne virksomhet til aksjeselskapsform. Om dette skriver Aarbakkegruppen:

”(...) det må være en delingsordning for selskaper med aktive deltakere. Uten en slik delingsordning oppnår en ikke den nøytraliteten i forhold til eierform som må være et hovedformål med bedriftsskattereformen. En får også en forskjellsbehandling av lønnstakere og næringsdrivende som det vil være vanskelig å leve med.”

Aarbakkegruppen pekte på at det finnes to hovedmodeller for å dele næringsinntekt for skatteformål, hhv. en uttaksmodell og en kildemodell. I NOU 1998:14 s. 244 beskrives disse modellene på følgende måte:

”i) Deling mellom den delen av næringsinntekten som beholdes i næringen og den delen som tas ut til eget forbruk. En slik deling etter hvordan næringsinntekten anvendes vil gjøre det mulig å beskatte inntekt som går til privat forbruk og sparing forskjellig fra inntekt som spares i bedriften. Men den er ikke egnet til å skille personinntekt fra kapitalinntekt. Denne delingsordningen kan kalles ”uttaksmodellen”.

ii) Deling mellom den delen av næringsinntekten som skriver seg fra den kapitalen som er investert i næringen og den delen som skriver seg fra andre faktorer, i første rekke den næringsdrivendes arbeidsinnsats. En slik deling etter kilden for inntekten gjør det mulig å beskatte kapitaldelen og persondelen av næringsinntekten forskjellig. Denne delingsmodellen kalles nedenfor ”kildemodellen”.”

Om hvilke hovedmålsettinger en delingsmodell skal oppnå, skriver Aarbakkegruppen videre:

”Ved vurderingen av de to delingsmodellene har gruppen lagt vekt på at en delingsordning bør imitere de skattemessige forholdene som ellers blir gjort gjeldende for henholdsvis bedrifts- og kapitalbeskatningen på den ene siden og personbeskatningen på den andre siden. Mer presist bør følgende mål oppfylles:

Delingsmodellen bør i størst mulig grad sikre like skattemessige vilkår for næringsvirksomhet, enten virksomheten organiseres som selskap eller den utøves som personlig næringsvirksomhet. Det betyr at skattereglene og skattesatsene for selve næringsdriften hos personlig næringsdrivende ikke bør skille seg fra skattereglene for selskaper.

Delingsordningen bør sørge for at den næringsdrivende som person så langt som mulig undergis de samme skatteregler som andre personer, herunder lønnstakere, for den inntekten som tilflyter ham fra næringsvirksomheten. Hensikten er først og fremst at den næringsdrivende blir skattlagt for den inntekten han opptjener gjennom sin arbeidsinnsats i virksomheten på samme måte som om inntekten var opptjent som lønnstaker. Likeledes bør inntekt i form av avkastning på eierens kapital i næringen skattlegges på samme måte som annen kapitalinntekt som opptjenes av personer.”

Aarbakkegruppen pekte med andre ord på to hovedmålsettinger som en delingsmodell måtte ivareta:

  • Skattemessig likehandling av næringsvirksomhet uavhengig av organisasjonsform.

  • Skattemessig likebehandling av personers opptjening av arbeidsinntekt og kapitalinntekt, uavhengig av om den er opptjent gjennom næringsvirksomhet eller ikke.

Gitt disse hovedmålsettingene, konkluderte Aarbakkegruppen med at en burde innføre en kildemodell, og at denne burde gjelde både for personlig næringsdrivende og for aktive eiere i aksjeselskaper. Gruppen mente dessuten at hensynet til sparing og kapitalallokering også taler for å velge en kildemodell, da en uttaksmodell kan ha innelåsingseffekter ved at midler som spares i en bedrift skattlegges lavere enn andre spareformer.

Aarbakkegruppen vurderte videre hvordan en skulle splitte næringsinntekten i en del som skal beskattes som arbeidsinntekt, og en del som skal beskattes som kapitalinntekt. Ett alternativ var å fastsette personinntekten først, og la residualen blir skattlagt som kapitalinntekt. Et annet alternativ var å fastsette kapitalinntekten først, og la residualen bli skattlagt som kapitalinntekt. Aarbakkegruppen pekte på problemer knyttet til begge løsninger, men endte med å anbefale en modell der kapitalinntekten fastsettes først.

Den vedtatte delingsmodellen er i tråd med Aarbakkegruppens anbefalinger, dvs. en kildemodell der en først foretar en sjablonmessig fastsettelse av kapitalinntekten, og der arbeidsinntekten bestemmes residualt.

11.2.3 Generelt om delingsmodellen

For en som arbeider i sin egen virksomhet, vil næringsinntekten/selskapsoverskuddet delvis være en godtgjørelse for den kapitalen som er investert i selskapet, og delvis en godtgjørelse for arbeidsinnsatsen eieren har lagt inn i selskapet.

For enmannsforetak kommer ikke dette skillet fram i regnskapet eller på annen måte, ettersom det ikke foretas noen lønnsutbetaling som sådan. I aksjeselskaper og deltakerlignede selskaper er det i og for seg et skille mellom lønnsutbetalinger til de aktive aksjonærene/deltakerne og andre uttak fra virksomheten (aksjeutbytte mv.). Også i slike virksomheter kan imidlertid den aktive aksjonæren/deltakeren i stor grad selv avgjøre om uttak fra virksomheten skal skje i form av lønn eller i form av utbytte e.l., uten at det vil være mulig for utenforstående å kontrollere i hvilken grad reell arbeidsavkastning tas ut som lønn. I praksis står en altså overfor de samme identifikasjonsproblemer i aksjeselskaper og deltakerlignede selskaper som i enmannsforetak.

Behovet for å skille disse to delene fra hverandre rent administrativt kan oppstå i den grad beskatningen av arbeidsinntekter og kapitalinntekter er forskjellig (ulike skattesatser) og/eller i den grad det er særskilte rettigheter knyttet til en av inntektsartene, f.eks. opptjening av pensjonspoeng. I Norge beskattes arbeidsinntekter hardere enn kapitalinntekter, særlig på marginen. Samtidig er en rekke pensjons- og trygderettigheter knyttet til opptjening av arbeidsinntekter (innenfor visse rammer).

Arbeidsinntekter (personinntekt) beskattes etter reformen gjennomgående med en høyere skattesats enn kapitalinntekter (alminnelig inntekt). Forskjellen mellom skattesatsen på arbeidsinntekter og kapitalinntekter har økt siden reformen. Arbeidsinntekter skattlegges i dag med en marginalskatt på inntil 55,3 pst. (48,8 pst. i 1992). I tillegg må det betales arbeidsgiveravgift på inntil 26,6 pst. på lønn (16,7 pst. i 1992), slik at høyeste samlede skattesats på lønn er 64,7 pst. (56,1 pst. i 1992). Kapitalinntekter skattlegges med en flat sats på 28 pst. Den maksimale satsforskjellen er mao. 27,3 prosentpoeng eksklusive, og 36,7 prosentpoeng inklusive arbeidsgiveravgift (i 1992 var satsforskjellene hhv. 20,8 og 28,1 prosentpoeng). Med dagens satsforskjell foreligger det med andre ord svært sterke skattemessige incentiver til å få arbeidsavkastning til å bli skattlagt som kapitalinntekt.

Delingsmodellen har som formål å fastsette arbeidsavkastningens del av den samlede næringsinntekten for skatteformål, slik at den kan ilegges trygdeavgift og eventuelt toppskatt. Delingsmodellen skal på denne måten bygge bro mellom personbeskatningen og næringsbeskatningen.

Delingsmodellen gjelder for aksjeselskaper, for deltakerlignede selskaper og for enmannsforetak. Som nevnt var det en form for delingsmodell for deltakerlignede selskaper og enmannsforetak også før skattereformen. Den nye delingsmodellen som ble innført i forbindelse med reformen, skulle imidlertid også omfatte aksjeselskaper. Dette må ses i sammenheng med de øvrige endringer som ble innført i selskapsbeskatningen. Selskapsoverskudd blir etter reformen skattlagt som alminnelig inntekt med en flat skattesats på 28 pst. Videre er det ingen dobbeltbeskatning av utbytter og aksjegevinster som følge av godtgjørelses- og RISK-systemet.

Dersom delingsmodellen ikke hadde omfattet aksjeselskaper, ville dagens satsstruktur gitt sterke motiver til skattemessige tilpasninger. En aktiv aksjonær kunne f.eks. redusert sin lønn i selskapet, og i stedet tatt ut deler av arbeidsavkastningen som utbytte. Videre kunne næringsdrivende omdannet sin virksomhet til aksjeselskap for å ta ut kompensasjon for sin arbeidsinnsats som aksjeutbytte.

11.2.4 Nærmere om utformingen av gjeldende delingsmodell

Prinsippene i dagens delingsmodell er at næringsinntekten for skatteformål skal deles etter antatt kilde til inntekten. Først beregnes det hvor mye som skal anses som avkastning av den investerte kapitalen i virksomheten. Denne beskattes som annen kapitalinntekt med 28 pst. Resten av inntekten anses som arbeidsavkastning, og skal således ilegges trygdeavgift og eventuelt toppskatt.

Nedenfor følger en beskrivelse av kriteriene for delingsplikt, samt reglene for fastsettelse av bereget personinntekt etter delingsmodellen.

11.2.4.1 Kriterier for deling

Skatteloven stiller opp visse kriterier som må være oppfylt for at deling skal bli aktuelt. Disse kriteriene kan deles i tre typer:

Organisasjonsform

Det kan beregnes personinntekt for:

  • Aksjonærer i aksjeselskaper med nærmere angitte kjennetegn,

  • deltakere i deltakerlignede selskaper, dvs. ansvarlige selskaper (med delt og udelt ansvar), kommandittselskaper og indre selskaper,

  • personlig næringsdrivende i enmannsforetak.

Aktivitet

Hovedregelen for aktivitetskravet er at den enkelte eiers arbeidsinnsats må være mer enn sporadisk, og utgjøre mer enn 300 timer i det enkelte år. Dersom eieren arbeider i flere foretak, og foretakene har stor grad av innholdsmessig eller økonomisk nærhet, skal 300-timerskravet vurderes samlet for disse foretakene. 300-timersregelen ble innført i forbindelse med evalueringen av delingsmodellen i 1995. Det ble argumentert med at en slik regel ville bidra til en forenkling av modellen.

300-timersregelen gjelder ikke for såkalte liberale yrker, dvs. advokater, leger, tannleger, ulike konsulenter mv. (det er gitt nærmere regler i forskrift om hvilke yrker som skal regnes som liberale). Regelen kommer heller ikke til anvendelse for foretak der skattyterens lønnede yrke har vesentlige likhetstrekk med foretakets virksomhet. I slike tilfeller anses aktivitetskravet oppfylt dersom eieren er mer enn sporadisk aktiv i foretaket. Ren forvaltning av eierinteresser og ordinær deltakelse i styre eller selskapsmøter, regnes ikke alene som aktivitet.

Dersom eieren i løpet av året har påbegynt eller opphørt med sin arbeidsinnsats i foretaket, regnes arbeidsinnsatsen som aktivitet bare dersom den strekker seg over en lengre periode enn to måneder.

Eierandel/utbyttekrav

Deling av inntekt gjennomføres i selskaper der en eller flere aktive i selskapet, direkte eller indirekte eier to tredeler eller mer av aksjene/andelene i selskapet, eller har rett til mer enn to tredeler av overskuddet/utbyttet i selskapet. Grensen må ses på bakgrunn av at en gruppe med to tredelers eierandel vil ha den vesentlige eierinnflytelsen i selskapet. Grensen er også begrunnet ut fra rent økonomiske forhold: Det ble ansett som lite lønnsomt for en aktiv eier å gi avkall på 1/3 eller mer av overskuddet, for på den måten å omgå delingsmodellen.

Ved fastsettelsen av den aktives eierandel tas det også hensyn til aksjer/andeler som eies av den aktives nærstående (identifikasjon). Slike aksjer anses som eid av den aktive selv. Bakgrunnen for denne regelen er at deling ellers kunne vært unngått ved at en aktiv eier eksempelvis overførte halvparten av aksjene til sin ektefelle eller mindreårige barn. Skatt på personinntekt som er knyttet til aksjer eid av nærstående, tilordnes den aktive.

Identifikasjonsreglene omfatter aksjer eid av deler av den aktives nære familie. For ikke-liberale yrker gjelder dette skattyters ektefelle, samboer og mindreårige barn. For liberale yrker gjelder dette skattyters slektninger i rett nedstigende eller rett oppstigende linje, ektefelle, samboer, søsken og ektefelles eller samboers foreldre eller barn. Reglene for identifikasjon er endret en rekke ganger.

På samme måte likestilles aksje eller andel eid av selskap eller innretning hvor aktive skattytere og/eller personer, selskaper eller innretninger disse skal identifiseres med, har en eierandel på minst to tredeler, eller oppebærer eller har krav på minst to tredeler av overskuddet eller utbyttet.

Ved eie av aksje eller andel gjennom flere ledd, anses vilkårene for deling å være oppfylt dersom de aktive deltakerne og/eller personer, selskaper eller innretninger disse skal identifiseres med, eier minst to tredeler av aksjene eller andelene i hvert ledd i eierkjeden, eller oppebærer eller har krav på minst to tredeler av overskuddet eller utbyttet i hvert ledd i eierkjeden.

Dersom to eller flere skattytere utøver aktivitet i forskjellige selskaper som helt eller delvis eies gjennom felles eierselskap, skal den enkelte skattyters aksjer eller andeler i eierselskapet likestilles med aksje eller andel eid av de øvrige aktive. Slik identifikasjon gjelder også om en eller flere av skattyterne utøver aktivitet i det felles eierselskap.

Dersom aksjene i et ellers delingspliktig selskap eies av aktive aksjonærer som hver for seg ikke eier mer enn 5 pst. av aksjene, skal det som hovedregel likevel ikke foretas deling. Regelen ble innført i 1993. Den ble begrunnet med at den praktiske muligheten for å tilpasse fordelingen mellom lønn og utbytte ble antatt å være langt lavere i selskaper med mange aktive aksjonærer med små eierandeler, enn i selskaper med noen få store aktive aksjonærer.

11.2.4.2 Prinsippene for å beregne skatt for delingspliktige

Utgangspunktet for beregningen av personinntekt etter delingsmodellen, er foretakets alminnelige inntekt. For å beregne arbeidsdelen av inntekten foretas det flere korrigeringer. For det første trekkes en del faktiske kapitalinntekter og -gevinster fra, mens faktiske kapitalutgifter og -tap legges til. Videre trekkes et sjablonmessig fastsatt kapitalavkastningsfradrag fra. Kapitalavkastningsfradraget beregnes på grunnlag av verdien av et kapitalavkastningsgrunnlag bestående av bl.a. foretakets driftsmidler. Grunnlaget multipliseres med en kapitalavkastningsrate. Videre trekkes det fra et lønnsfradrag.

Personinntekten fordeles på de aktive eiere etter deres krav på utbytte eller overskudd i selskapet. I enmannsforetak og deltakerlignede selskaper, blir personinntekten tilordnet eierne/deltakerne for det inntektsåret inntekten opptjenes i foretaket. I aksjeselskaper blir personinntekten av praktiske grunner først tilordnet aksjonærene i året etter det år inntekten er opptjent i selskapet.

I selskaper kan aksjonærene/deltakerne kreve refusjon av skatt på personinntekt fra selskapet.

Nærmere om korrigering for visse kapitalinntekter

Ved beregningen av personinntekten trekkes faktiske kapitalinntekter fra i selskapets alminnelige inntekt. Dette gjelder avkastning av aksjer, bankinnskudd, obligasjoner, gjeldsbrev, utestående fordringer o.l. Videre trekkes også gevinster ved realisasjon av slike formuesobjekter fra i alminnelig inntekt. Det samme gjelder inntektsført beløp fra gevinst- og tapskonto, mottatt aksjonærbidrag og konsernbidrag, og korreksjonsinntekt. Tilsvarende legges følgende fradragsposter til: faktiske kapitalkostnader og –tap, fradragsført beløp på gevinst- og tapskonto, framførbart underskudd, avgitt aksjonærbidrag og konsernbidrag, reverseringsfradrag, samt sjømanns- og fiskerfradrag.

Nærmere om lønnsfradraget

I virksomheter med ansatte gis det et lønnsfradrag. Lønnsfradraget utgjør 20 pst. av samlet lønn, arbeidsgiveravgift og andre trygdeavgifter for de ansatte, inkludert eiers egen lønn. Lønnsfradraget kan likevel ikke redusere den beregnede personinntekten for den enkelte skattyter til under 6 G.

Departementets opprinnelige forslag til delingsmodell inneholdt ikke et slikt lønnsfradrag. Lønnsfradraget ble vedtatt i forbindelse med stortingsbehandlingen av delingsmodellen, opprinnelig med en sats på 10 pst. Begrunnelsen for å innføre et slikt fradrag var antagelsen om at ansatte som jobber sammen medfører en ekstra kapitalavkastning i selskapet (organisasjonskapital). Det ble med andre ord antatt at verdien av de ansattes innsats innenfor virksomheten er høyere enn den ville vært dersom de ansatte jobbet hver for seg utenfor virksomheten, og at denne meravkastningen gir seg utslag i høyere kapitalavkastning for eieren av bedriften framfor høyere lønn for de ansatte.

Nærmere om kapitalavkastningsgrunnlaget

Jo høyere kapitalavkastningsgrunnlaget er, jo lavere blir den beregnede personinntekten. Kapitalavkastningsgrunnlaget består av varige og betydelige driftsmidler, ervervet goodwill og andre ervervede immaterielle eiendeler, samt varer og kundefordringer. Grunnlaget reduseres med leverandørkreditter og kundeforskudd hvis disse er rentefrie, eller dersom renten ligger vesentlig under markedsrenten.

Eiendelene som inngår i kapitalavkastningsgrunnlaget, skal i utgangspunktet verdsettes til skattemessig bokført verdi. Skattemessig formuesverdi (ligningsverdi) benyttes for ikke-avskrivbare driftsmidler når denne er høyere enn skattemessig bokført verdi. Eiendeler kan verdsettes til regnskapsmessig bokført verdi dersom slik verdsettelse ble lagt til grunn for eiendelen i inntektsåret 1999.

For eiendeler som er anskaffet før 1. januar 1992, kan en i tillegg velge å bruke følgende to metoder ved førstegangsverdsettelsen (gjelder kun for driftsmidler):

  • 35 pst. av forsikringsverdien pr. 31/12-1990.

  • Takstverdi etter særskilt taksering.

Verdiene skal reduseres med den maksimale skattemessige avskrivningssatsen for vedkommende saldo.

Avkastningsgrunnlaget verdsettes til middelverdien av de inngående og utgående verdier.

Nærmere om kapitalavkastningsraten

Kapitalavkastningsraten fastsettes av Stortinget for det enkelte inntektsår. Ved fastsettelsen tas det utgangspunkt i en risikofri rente med relativt lang løpetid, for eksempel statsobligasjoner med fem års gjenstående løpetid. I tillegg gis det et risikotillegg som i dag utgjør 4 prosentpoeng. For inntektsåret 2003 er kapitalavkastningsraten 10 pst.

Den fastsatte kapitalavkastningsraten er en maksimalsats, og den næringsdrivende kan fritt velge en lavere rate (ned til 0 pst.). Begrunnelsen for å innføre en slik valgadgang var at beregnet personinntekt kan bli lav eller negativ i næringer med lav avkastning i forhold til kapitalinnsatsen, og at slike næringsdrivende i liten grad kunne opparbeide seg trygderettigheter. Med en fleksibel rate nedover er det mulig å opparbeide seg trygderettigheter mot å betale noe mer skatt.

Nærmere om taket på beregnet personinntekt

Delingsmodellen bygger delvis på sjablonregler. Resultatene av de sjablonpregede beregningene kan derfor avvike fra de reelle forholdene. I enkelte tilfeller kan den beregnede personinntekten bli så høy at det er rimelig å anta at deler av inntekten har en annen kilde enn den næringsdrivendes arbeidsinnsats. Slike utslag vil blant annet kunne oppstå i sterkt konjunkturrelaterte virksomheter, og i virksomheter med innslag av monopolprofitt/markedsmakt.

For at delingsmodellen ikke skal medføre for store avvik fra de reelle forhold, er det innført såkalte takregler som skal begrense den beregnede personinntekten. Inntekt over taket skattlegges som alminnelig inntekt med kun 28 pst. Taket beregnes med utgangspunkt i den aktives samlede personinntekt (både lønn mv. og beregnet personinntekt) fra delingspliktige foretak. Dette innebærer at aktive eiere med lønn som tilsvarer taket på beregnet personinntekt, ikke må svare trygdeavgift og toppskatt på positiv beregnet personinntekt. Det er imidlertid bare den beregnede personinntekten som kan nedsettes.

Departementet foreslo opprinnelig et tak på 2,5 mill. kroner. I forbindelse med stortingsbehandlingen ble imidlertid taket satt til 34 G. Takreglene er imidlertid endret flere ganger. Etter gjeldende regler er taket 16 G for ikke-liberale yrker. For personinntekt mellom 75 G og 134 G skal det likevel betales bruttoskatter.

For delingspliktige i liberale yrker, dvs. advokater, leger, tannleger, ulike konsulenter mv., er det ikke lenger noen takregel. Begrunnelsen for å innføre denne forskjellen, var at delingsmodellen som sjablonregel ble antatt å være mer treffsikker i tilfeller der det vesentlige av virksomhetsinntekten skriver seg fra arbeidsinnsats (typisk for liberale yrker), enn i mer kapitalintensive bedrifter. For skattytere i liberale yrker antas således all beregnet personinntekt i foretaket å skrive seg fra den næringsdrivendes arbeidsinnsats.

Nærmere om refusjonsordningen

Det er de aktive aksjonærene/deltakerne som skal tilordnes den beregnede personinntekten. Den skatten som aksjonæren/deltakeren faktisk har betalt som følge av hans andel av beregnet personinntekt i selskapet, kan imidlertid kreves refundert fra selskapet. Dersom skattyteren er lignet for personinntekt ut over skattyters andel i den beregnede personinntekten i selskapet, skal den beregnede personinntekten utgjøre den øverste delen av samlet personinntekt. Dette innebærer at skattyteren kan få full refusjon av toppskatten dersom han f.eks. har lønnsinntekt i tillegg til beregnet personinntekt.

Refusjonsbestemmelsen var ikke med i de opprinnelige delingsreglene. Den ble begrunnet med at aktive aksjonærer skattlegges for sin andel av den beregnede personinntekten i selskapet uavhengig av om de rent faktisk mottar denne inntekten. Dette innebærer at vedkommende skattyter kan bli skattlagt for en andel av selskapets overskudd uten at det er foretatt noen tilsvarende utbetaling fra selskapet. Dette kan medføre likviditetsproblemer for skattyter.

11.3 Endringer i delingsmodellen etter 1992

Delingsmodellen er endret flere ganger siden den ble innført i 1992. Etter utvalgets vurdering har de mange endringene gjort modellen mindre treffsikker og mer komplisert enn den opprinnelig var. Hyppige endringer i regelverket er dessuten i seg selv et problem, både ved at reglene blir lite forutsigbare, og ved at en stadig må forholde seg til nye administrative rutiner for beregning og betaling av skatt.

I Revidert Nasjonalbudsjett for 1997 er det bl.a. uttalt følgende:

«Utviklingen av delingsmodellen fra den ble vedtatt i 1991 fram til i dag, viser at bakgrunnen for de aller fleste endringene har vært å bidra til lempeligere beskatning. Svært få av endringene har hatt som siktemål å gjøre modellen enklere. Problemene med kompleksiteten knytter seg til summen av de reglene som regulerer om deling skal finne sted og reglene for å beregne personinntekten. De enkeltreglene som er særlig kompliserte, er aktivitetskravet, herunder 300-timersregelen, identifikasjonsreglene og reglene om begrensning av beregnet personinntekt (takreglene). Selv om mange av de øvrige reglene isolert sett ikke er svært kompliserte, kan likevel reglene samlet sett framstå som vanskelige og volde praktiske problemer for såvel skattyterne som ligningsmyndighetene».

Departementets forslag til delingsmodell hadde følgende hovedinnhold:

  1. Den omfattet alle foretaksformer

  2. Vilkår om aktiv deltakelse i driften (mer enn sporadisk)

  3. Identifikasjon for aksjer/andel eiet av følgende nærstående:

    • Ektefelle/samboer

    • Barn under 18 år

    • Annet selskap mv. der aktiv har to tredjedeler eierskap eller utbytterett

  4. Kapitalavkastningsgrunnlaget ble verdsatt i forhold til eiendelens skattemessige verdi

  5. Kapitalavkastningsraten skulle fastsettes med utgangspunkt i gjennomsnittlig rente på statsobligasjoner med fem års gjenstående løpetid med et risikotillegg på 2 pst.

  6. Det gjaldt et generelt tak for beregnet personinntekt (34 G)

Ved behandlingen i Stortinget ble det gjort følgende endringer i forhold til departementets forslag:

  1. Identifikasjonsreglene ble utvidet slik at også barn over 18 år, egne og/eller ektefelles/samboers foreldre ble omfattet

  2. Reglene for verdsettelse av kapitalavkastningsgrunnlaget ble fastsatt, slik at den delingspliktige som alternativ til skattemessig verdi kunne velge regnskapsmessig verdi, omsetningsverdi fastsatt ved takst, eller andel av forsikringsverdi pr. 31.12.1990 (de to sistnevnte metoder gjaldt bare for eiendeler anskaffet før 1.1.1992)

  3. Risikopremien i kapitalavkastningsraten ble fastsatt til 6 pst.

  4. Personinntekten skulle reduseres med følgende lønnsfradrag:

    • 10 pst. av totale lønnskostnader

    • Ikke redusere personinntekt under 145 pst. av høyest lønnede ansatte

    I perioden fra delingsmodellen ble innført og fram til det ble foretatt en evaluering av skattereformen i 1994, ble det foretatt følgende endringer og tilføyelser i delingsmodellen:

  5. Det ble innført rett til refusjon fra selskapet for faktisk betalt skatt på personinntekt

  6. Satsen for lønnsfradraget ble økt fra 10 til 12 pst.

  7. Det ble innført unntak fra delingsplikt for bedrifter der to tredjedeler av aksjene eies av aktive, men hvor ingen av de aktive eier over 3 pst.

  8. Godtgjørelse for deltakers arbeidsinnsats skulle klassifiseres direkte som personinntekt (og ikke inngå i beregnet personinntekt)

  9. Korreksjonsinntekt/reverseringsfradrag skulle ikke tas med i beregningsgrunnlaget for personinntekt

    I forbindelse med evalueringen av skattereformen (Ot.prp. nr. 19 og Innst. O. nr. 72 (1994-95)) ble det vedtatt følgende endringer og tilføyelser i delingsmodellen:

  10. Refusjonsregelen ble endret slik at beregnet personinntekt skulle utgjøre den øverste delen av personinntekten

  11. Det ble innført en 300-timers begrensning for aktivitetskravet

  12. Reglene om tilordning av indirekte aktivitet, eierkravet, samt identifikasjonsregelen i forhold til aktivitet i eierselskap og ved aktives indirekte eie gjennom flere selskaper ble presisert

  13. Grensen for unntak fra delingsplikt ved spredt eierskap ble hevet fra 3 til 5 pst. eierandel

  14. Adgangen til å samordne positiv og negativ personinntekt i primærnæringene ble utvidet

  15. Kravet om at en eiendel må ha virket i virksomheten for å inngå i kapitalavkastningsgrunnlaget ble endret

  16. Kapitalavkastningsraten ble endret til å være en maksimumssats, slik at skattyter kan velge en lavere rate

  17. Endringer i lønnsfradraget

    • Satsen ble økt fra 12 til 20 pst.

    • Nedre grense ble endret fra 145 pst. av høyeste lønn til ansatt, til 6 G.

    • Lønnskostnadene kommer bare til fradrag i det inntektsår de oppstår.

    • Lott for fiskere (til andre enn aktive eiere) inngår i lønnsfradraget.

  18. Takreglene ble endret, og det ble innført en totaksmodell som skilte mellom liberal og ikke-liberal virksomhet:

    • For liberal virksomhet ble det innført et tak på 75 G

    • For annen virksomhet skulle det gjelde et tak på 23 G. For beregnet personinntekt mellom 75 G og 127 G skulle det likevel betales bruttoskatt

    Etter evalueringen av skattereformen er det foretatt følgende endringer i delingsmodellen:

  19. Lønn til aktive skal inngå i lønnsfradraget

  20. Lavt tak for beregnet personinntekt ble senket fra 23 G til 16 G. Øvre grense ble hevet fra 127 G til 134 G

  21. Identifikasjonsreglene ble gjort lempeligere slik at kun ektefelle, samboer og barn under 18 år omfattes. Etter kort tid ble de imidlertid strammet inn for liberale yrker, slik at skattyters slektninger i rett nedstigende eller oppstigende linje, ektefelle, samboer, søsken og ektefelles eller samboers foreldre og barn, omfattes

  22. Taket for beregnet personinntekt og 300-timersregelen ble opphevet for liberale yrker

  23. Arbeidsgodtgjørelse for deltakere i deltakerlignede selskaper skal anses som andel av overskudd ved vurdering av delingsplikt

  24. Reglene for verdsettelse av kapitalavkastningsgrunnlaget ble endret slik at driftsmidler som ikke inngikk i kapitalavkastningsgrunnlaget for 1999, bare kan verdsettes til skattemessig verdi

Statsforskjellene var betydelige allerede i 1992. Etter 1992 har de høyeste skattesatsene på lønn økt ytterligere, både gjennom økt toppskatt, og gjennom økt arbeidsgiveravgift. Dette har ført til at det har blitt mer lønnsomt å få arbeidsavkastning til å bli skattlagt som kapitalinntekt. Det er god grunn til å tro at dette er bakgrunnen for at det har vært et betydelig press for å få vedtatt lempeligere regler for delingspliktige.

Oversikten ovenfor viser etter utvalgets vurdering at denne innsatsen har vært belønnet med stor suksess. De fleste endringene har ført til at den beregnede personinntekten, og dermed skatten, har blitt lavere for de som faktisk skattlegges etter delingsmodellen. I tillegg har flere av endringene bidratt til å gjøre det enklere å tilpasse seg ut av delingsmodellen.

Disse endringene kan trolig forklare hvorfor andelen næringsdrivende og aktive eiere med negativ beregnet personinntekt har økt på 1990-tallet, til tross for at dette har vært en periode preget av gode konjunkturer og en relativt sterk lønnsvekst for ansatte i ledende posisjoner i mange næringer. Endringene forklarer også hvorfor andelen delingspliktige aksjeselskaper har falt kraftig i den samme perioden.

De første 5-6 årene etter reformen, bidro stort sett alle endringene til redusert skatt for alle delingspliktige. Mot slutten av 90-tallet ble imidlertid delingsmodellen strammet inn på flere områder overfor såkalte liberale yrker. Mange av disse innstrammingene hadde en fordelingspolitisk begrunnelse, ettersom en del næringsdrivende i slike yrker har en svært høy inntekt sammenlignet med mange lønnstakere. Dette har ført til at det i realiteten er to delingsmodeller, en med til dels svært lempelige regler for ikke-liberale yrker, og en med vesentlig strengere regler for liberale yrker. Dette har bidratt til å komplisere regelverket, og har i realiteten ført til større forskjeller i den effektive beskatningen av ulike organisasjonsformer og næringer.

11.4 Empiri om delingspliktige virksomheter og tilpasninger til delingsmodellen

11.4.1 Aksjeselskaper

Aksjeselskapene hadde i 2000 en samlet skattepliktig inntekt på drøye 337 mrd. kroner. Av dette hadde de delingspliktige aksjeselskapene en samlet skattepliktig inntekt på knappe 41 mrd. kroner. Tabell 11.1 gir en oversikt over delingspliktige og ikke-delingspliktige aksjeselskaper fordelt etter næring. Av tabellen framgår det at om lag 32 pst. av i alt 145 000 aksjeselskaper var omfattet av delingsmodellen i 2000. Den høyeste andelen delingspliktige selskaper finnes i gruppen bygge- og anleggsvirksomhet (52 pst.), varehandel, hotell og restaurantvirksomhet (39 pst.) og andre tjenester (38 pst.). Innenfor forretningsmessig tjenesteyting (23 pst.), og transport og kommunikasjon (28 pst.), er andelen relativt lav. Blant de delingspliktige selskapene utgjør varehandel, hotell- og restaurantvirksomhet (ca. 37 pst.), samt forretningsmessig tjenesteyting og eiendomsdrift (ca. 26 pst.) de største gruppene.

Tabell 11.1 Antall aksjeselskap etter delingsstatus og næring. 2000

Næring1I altSelskap som ikke omfattes av delingsmodellenSelskap som omfattes av delingsmodellen2
  AntallAntallProsentAntallProsent
I alt144 59297 9176846 67532
Jordbruk, skogbruk og fiske2 8001 9356986531
Tjenester i tilknytning til utvinning av råolje og naturgass32329993247
Industri og bergverksdrift13 8309 028654 80235
Bygge og anleggsvirksomhet11 8125 713486 09952
Varehandel, hotell- og restaurantvirksomhet43 89626 6396117 25739
Transport og kommunikasjon8 0415 793722 24828
Forretningsmessig tjenesteyting, eiendomsdrift52 30540 2337712 07223
Andre tjenester7 8044 831622 97338
Uoppgitt3 7813 446913359

Opplysninger om næring er hentet fra Det Sentrale Bedrifts- og Foretaksregisteret i Statistisk sentralbyrå.

Delingspliktige aksjeselskap er identifisert ved at beregnet personinntekt er forskjellig fra null. Delingspliktige aksjeselskaper som faktisk hadde null i personinntekter vil derfor ligge i gruppen for selskap som ikke omfattes av delingsmodellen.

Kilde: Statistisk sentralbyrå, skattestatistikk for etterskuddspliktige 2000

Den totale andelen delingspliktige aksjeselskaper har sunket fra om lag 55 pst. i 1992 1, 42 pst. i 1995 og videre til 32 pst. i 2000, mens antall aksjeselskaper har økt betydelig i løpet av 1990-tallet. Særlig gruppen forretningsmessig tjenesteyting og eiendomsdrift, og gruppen varehandel, hotell- og restaurantvirksomhet, har hatt en stor økning i antall selskaper. Figur 11.1 viser utviklingen i andelen delingspliktige aksjeselskaper for utvalgte næringsgrupper fra 1995 til 2000. Figuren viser at i samtlige næringsgrupper har denne andelen sunket i løpet av perioden.

Figur 11-1 Andelen delingspliktige selskaper i utvalgte næringsgrupper (1996-2000)

Figur 11-1 Andelen delingspliktige selskaper i utvalgte næringsgrupper (1996-2000)

Kilde: Statistisk sentralbyrå, skattestatistikk for etterskuddspliktige

Tabell 11.2 viser antallet aksjeselskaper etter delingsstatus og antall ansatte. Det framgår av tabellen at andelen selskaper som omfattes av delingsmodellen, synker når antall ansatte stiger. Det er likevel slik at 44 pst. av selskaper med over 20 ansatte omfattes av delingsmodellen. I gruppen 0 og uoppgitt, har stort sett alle som er registrert med uoppgitt, i realiteten 0 ansatte. I denne gruppen er det likevel bare 17 pst. av selskapene som omfattes av delingsmodellen, selv om gruppen inkluderer alle enmannsaksjeselskaper . I 1995 var det drøye 50 000 selskaper med 0 ansatte. Av disse var 28 pst. delingspliktige. I 1997 var 20 pst. delingspliktige i denne gruppen. Det er grunn til å anta at den lave, stadig synkende andelen delingspliktige i denne gruppen reflekterer at mange av disse selskapene har en eierstruktur der passive eiere har en eierandel på minst 1/3. Andelen aksjeselskaper med 0 ansatte utgjør 25,6 pst. av det totale antall delingspliktige selskaper. I 1992 var denne andelen om lag 14,5 pst. Gjennomsnittlig antall ansatte i delingsforetakene har sunket relativt mye siden 1992.

Tabell 11.2 Antall aksjeselskap etter delingsstatus og sysselsetting. 2000

Antall ansatte1I altSelskap som ikke omfattes av delingsmodellenSelskap som omfattes av delingsmodellen2
  AntallAntallProsentAntallProsent
I alt144 59297 9176846 67532
0 og uoppgitt70 77358 8248311 94917
113 9077 804566 10344
210 8125 414505 39850
37 8113 904503 90750
4-511 3035 501495 80251
6-1013 9086 802497 10651
11-208 5744 471524 10348
21-504 9223 118631 80437
51-1001 3559887336727
Over 1001 2271 0918913611

Opplysninger om antall ansatte er hentet fra Det Sentrale Bedrifts- og Foretaksregisteret i Statistisk sentralbyrå.

Delingspliktige aksjeselskaper er identifisert ved at beregnet personinntekt er forskjellig fra null. Delingspliktige aksjeselskaper som faktisk hadde null i personinntekt, vil derfor ligge i gruppen for selskap som ikke omfattes av delingsmodellen.

Kilde: Statistisk sentralbyrå, skattestatistikk for etterskuddspliktige 2000

Hovedvekten av de delingspliktige selskapene, om lag 63 pst., har kun én aktiv eier, jf. tabell 11.3. Gjennomsnittlig antall aktive eiere i norske aksjeselskap er 1,6. Fordelingen av antall aktive eiere i selskapene har vært svært stabil over tid. I 2000 var det totalt 17 594 aktive eiere, fordelt på 3 825 i liberale yrker, og 13 769 i ikke-liberale yrker jf. tabell 11.5.

Tabell 11.3 Delingspliktige aksjeselskap etter antallet aktive eiere. 1995-2000. Prosent

  199519961997199819992000
Gjennomsnittlig antall eiere1,61,61,61,51,61,6
1 aktiv eier626262646263
2 aktive eiere272727262626
3 aktive eiere877677
4 aktive eiere222232
Mer enn 4 aktive eiere222222

Kilde: Statistisk sentralbyrå, Inntekts- og formuesundersøkelsen for aksjeselskap 2000.

11.4.2 Næringsdrivende og deltagerlignede selskaper

Tabell 11.4 viser antallet næringsdrivende fordelt etter næringsgruppe. Personlig næringsdrivende er her definert som personer med hovedinntekti næring, dvs. at næringsinntekten er høyere enn eventuell annen lønns- eller pensjonsinntekt. Etter denne definisjonen var det om lag 167 000 personlig næringsdrivende i Norge i år 2000. En tredjedel av de personlig næringsdrivende drev i primærnæringene. I 1992 var antallet personlig næringsdrivende drøyt 200 000. Antall næringsdrivende har sunket jevnt siden 1992. Andelen som driver i liberale yrker, har steget fra 37 pst. i 1995 til 42 pst. i år 2000. Det har altså vært en økning i antall aksjeselskaper, samtidig som antall personlig næringsdrivende er redusert. Dette kan være en indikasjon på at flere personlig næringsdrivende har omdannet sin virksomhet til aksjeselskap, og at de deretter har tilpasset seg slik at de unngår delingsmodellen, jf. den lave andelen delingspliktige blant enmannsaksjeselskapene i tabell 11.2.

Tabell 11.4 Personer med hovedinntekt i næring, fordelt etter næringsgruppe. 1995 og 2000

  19952000
  AntallProsentAntallProsent
I alt182 499100166 699100
Primærnæring664013654 48533
Håndverk20 4591117 68411
Handel21 3901218 52611
Industri7 33846 4034
Frie yrker66 9113769 60142

Kilde: Statistisk sentralbyrå, selvangivelsesstatistikk.

Tabell 11.5 viser beregnet personinntekt for personlig næringsdrivende, deltakere i deltakerlignede selskaper, og aktive eiere i aksjeselskaper. Om lag 260 000 personer hadde positiv beregnet personinntekt i 2000, hvorav knapt 18 000 var aktive eiere. Om lag 31 pst. av antall personer i enmannsforetak eller deltakerlignet selskap med positiv beregnet personinntekt drev i primærnæringer, om lag 15 pst. i liberale yrker, og de resterende 54 pst. i ikke-liberale yrker. Gjennomsnittlig beregnet personinntekt og total personinntekt er høyest i liberale yrker, om lag dobbelt så høy som i ikke-liberale yrker. Den samme forskjellen finner en ikke for aksjeselskaper.

Tabell 11.5 Personer med positiv BPI fra enmannsforetak, deltakerlignet foretak eller AS. Gjennomsnitt, 2000

  Personlig næringsdrivende og deltagerlignet virksomhet:Aktiv eier i AS:
  Primær- næringAnnen næringLiberalt yrkeLiberalt yrkeAnnen næring
Antall med beløp:75 217130 27336 5083 82513 769
Beregnet positivpersoninntekt118 700155 700319 400241 000298 900
Samlet lønnsinntekt64 40085 200150 600358 200284 700
Lønn fra delingsforetak10040090056 80060 900
Beregnet person-inntekt fra næring137 700168 800335 300292 300317 700
Total personinntekt215 200266 100500 200663 600613 100

Kilde: Statistisk sentralbyrås selvangivelsesstatistikk 2000

11.4.3 Tilpasninger til delingsmodellen

Det er hovedsakelig tre forhold som har betydning for tilpasninger til delingsmodellen. Det ene er den store forskjellen i marginalskatten på arbeids- og kapitalinntekter. Det er denne som skaper incentiver til å få arbeidsinntekter klassifisert som kapitalinntekter ved å unngå deling. Det andre er reglene for hvem som er delingspliktig, og at det er enkelt er å tilpasse seg slik at en ikke omfattes av delingsmodellen. Det siste er reglene for fastsettelse av beregnet personinntekt for dem som omfattes av delingsmodellen. Lempelige regler for fastsettelse av beregnet personinntekt vil gjøre det mindre lønnsomt å unngå delingsmodellen. For personer som får lav eller negativ beregnet personinntekt, kan det være en fordel å bli skattlagt etter delingsmodellen, blant annet fordi ligningsmyndighetene ikke har anledning til å omklassifisere aksjeutbytte til lønn dersom virksomheten er delingspliktig.

Forskjeller i de marginale skattesatsene

I prinsippet er det forskjellen mellom de effektive skattesatsene på arbeid og kapital som gir motiver til å omklassifisere inntekt. De effektive skattesatsene er bestemt av de formelle skattesatsene, samt definisjonen av skattegrunnlaget. En høy formell skattesats på et smalt skattegrunnlag kan gi den samme effektive skattesatsen som en lav formell skattesats på et bredt skattegrunnlag. Dersom omklassifisering av inntekt ikke i nevneverdig grad endrer beløpet som blir ført fram til beskatning, vil det først og fremst være den formelle skattesatsforskjellen som motiverer til tilpasninger.

I Aarbakkegruppens innstilling ble det konkludert med at den høyeste marginale satsforskjellen på arbeids- og kapitalinntekter ikke bør overstige 20 pst. for at ikke presset på delingsmodellen skulle bli for stort. De marginale satsforskjellene har som nevnt økt ytterligere etter 1992, og utgjør nå 36,7 pst. inkludert arbeidsgiveravgift. 2 Satsforskjellene har dermed økt til et nivå som er langt over hva som ble ansett som et maksimum i Aarbakkegruppens innstilling, og er etter utvalgets mening klart høyere enn hva delingsmodellen tåler.

Tilpasningsmuligheter for å unngå delingsmodellen

Skattebesparelsen ved å tilpasse seg ut av delingsmodellen ligger i at en mindre andel av totalinntekten blir klassifisert som arbeidsinntekt. For en lønnstaker vil det derfor fra et økonomisk synspunkt være interessant å gjennomføre tilpasninger dersom gjennomsnittsskatten på summen av beregnet personinntekt og lønn er høyere enn 28 pst., hvilket normalt vil være tilfelle for all næringsinntekt og lønn som overstiger om lag 300 000 kroner. Ved å overdra minst 1/3 av aksjene til en passiv eier, som ikke kan identifiseres som nærstående til den (eller de) aktive eier(e), vil ikke foretaket være delingspliktig, og det foreligger dermed mulighet for å få beregnet personinntekt og lønn skattlagt som utbytte.

Dagens delingsmodell har vesentlig lempeligere regler for å ta inn nær familie som passive eiere i ikke-liberale yrker (håndverkere, fabrikkproduksjon mv.) enn i liberale yrker (advokater, leger, konsulenter, meglere mv.). Det er derfor lettere å tilpasse seg eierkravet ved å ha mer enn 1/3 passive eiere i ikke-liberale yrker enn i liberale yrker.

Aktive eiere kan tilpasse seg bort fra delingsmodellen ved å selge eierandeler i virksomheten. En gir dermed avkall på en del av overskuddet i virksomheten mot at det resterende overskuddet blir skattlagt som kapitalinntekt i stedet for å inngå i personinntekten. I foretak som ikke er delingspliktig, kan riktignok ligningsmyndighetene omklassifisere uttatt utbytte til lønn. I praksis vil imidlertid dette ofte ikke bli gjort.

Andelen aksjeselskaper som omfattes av delingsmodellen har falt fra 46 pst. i 1994 til 32 pst. i 2000. Videre har andel aksjeselskaper som skiftet status fra delt til ikke-delt, økt fra 5 pst. i 1993 til 8,5 pst. i 1995. Det er også en del selskaper som har skiftet status fra ikke-delt til delt i samme periode, om enn i noe mindre omfang (2-3 pst.), og andelen har vært stabil over tid. Disse tallene indikerer at tilpasninger foretas i et visst omfang.

Det har også vært en kraftig økning i antall enmannsaksjeselskaper uten ansatte, og andelen delingspliktige blant disse har falt over tid. Samtidig er antallet personlig næringsdrivende redusert. Dette er trolig også en indikasjon på at en del personlig næringsdrivende og lønnstakere har opprettet aksjeselskaper og deretter tilpasset seg slik at de unngår delingsmodellen, jf. den lave andelen delingspliktige blant enmannsaksjeselskapene i tabell 11.2.

Tabell 11.6 viser hvordan inntektssammensetningen for personer som i 1999 hadde over 500 000 kroner i bruttoinntekt, og hvorav minst 250 000 kroner var kapitalinntekt, har endret seg siden 1993.

Tabell 11.6 Gjennomsnittsinntekter for personer (over 17 år) som i 1999 hadde over 500 000 kroner i bruttoinntekt og over 250 000 i kapitalinntekt. Tallene er målt i 1999-kroner. Tallene i parentes viser endring i pst. fra 1993

  I altSelvstendig næringsdrivende i primærnæringSelvstendig næringsdrivende i andre næringerAnsatte
  19931999199319991993199919931999
Bruttoinntekt946 3001 713 000 (81,1)842 8001 763 700 (109,3)1 559 5002 687 600 (72,3)851 6001 640 800 (92,7)
Av dette:
 Lønn299 800323 100 (7,8)47 50069 600 (46,5)79 00095 900 (21,4)410 000463 200 (13)
Nærings inntekter156 300111 900 (-28,4)485 000571 200 (17,8)875 6001 022 600 (16,8)14 30010 700 (-25,2)
Kapital inntekter444 3001 204 900 (171,2)277 0001 055 000 (280,9)552 7001 495 300 (170,5)401 4001 135 500 (182)

Kilde: Statistisk sentralbyrå selvangivelsesstatistikk 1993 og 1999.

Det har vært en betydelig vekst i bruttoinntekten til denne gruppen skattytere fra 1993 til 1999, i hovedsak som følge av en betydelig reell økning i kapitalinntektene på 171,2 pst. i forhold til 1993. Veksten i lønnsinntektene har tilsvarende vært relativt lav i denne perioden, mens det har vært en reduksjon i næringsinntektene for gruppen under ett. Kapitalinntektenes andel av samlet bruttoinntekt har derfor økt vesentlig i denne perioden, mens lønnsinntektenes og næringsinntektenes andel av bruttoinntekten tilsvarende har falt. Det er grunn til å anta at noe av denne endrede inntektssammensetningen skyldes skattetilpasninger, ved at lønnstakere og næringsdrivende får ut en del av arbeidsavkastningen som aksjeutbytte, ved å opprette et aksjeselskap og ha en passiv eier slik at de unngår delingsmodellen.

Riksrevisjonens rapport om delingsmodellen

Riksrevisjonen la i juni 2002 fram en rapport om delingsmodellen, hvor formålet med undersøkelsen blant annet var å kartlegge omfanget av tilpasninger til delingsreglene, samt å undersøke hvilken effekt dette har hatt på skatteprovenyet. Rapporten er i hovedsak konsentrert om aksjeselskaper, og det er fokusert på følgende problemstillinger:

  • Fordelingen av delingspliktige og ikke-delingspliktige aksjeselskaper, og forholdet mellom lønn og aksjeutbytte til eierne i disse selskapene

  • Omfanget av tilpasninger til delingsmodellen over tid

  • Effekten av tilpasninger på skatteprovenyet

  • Ligningsmyndighetenes praktisering av delingsreglene

Totalt var det i 1998 vel 400 000 virksomheter i Norge, fordelt på 246 000 enmannsforetak, 22 000 deltakerlignede selskaper, og 137 000 aksjeselskaper. Undersøkelsen viser at om lag 80 pst. av virksomhetene kommer inn under delingsreglene. Så godt som samtlige enmannsforetak og ansvarlige selskaper, samt 54 000 aksjeselskaper, var delingspliktige i 1998. I følge rapporten kommer bare om lag 2 000 av de delingspliktige aksjeselskapene skattemessig dårligere ut som følge av delingsreglene, sammenlignet med hva de ville gjort utenfor delingsmodellen. Rapporten anslår provenytapet knyttet til tilpasninger til om lag 3 mrd. kroner. Dette er trolig et forsiktig anslag, blant annet fordi det i beregningene er benyttet en gjennomsnittlig skattesats på 15 pst., og fordi toppskattesatsene har økt siden 1998.

Undersøkelsen bidrar til å sannsynliggjøre at det skjer tilpasninger i delingsmodellen ved at aksjeselskaper med god lønnsomhet i stor grad har tilpasset seg bort fra delingsreglene, og at de resterende selskapene i stor grad er karakterisert ved lav lønnsomhet og lav beregnet personinntekt. Dette kan skyldes to ting. Det ene er at det er enkelt å tilpasse seg bort fra delingsmodellen, noe som fører til at selskaper med høy lønnsomhet går ut av delingsmodellen. Det andre skyldes at reglene for fastsettelse av beregnet personinntekt er for gunstige. Dette medfører at også selskaper med høy lønnsomhet kan få lav beregnet personinntekt.

Rapporten konkluderer med at det store omfanget av tilpasninger til delingsmodellen skyldes regelverket, og ikke ligningsmyndighetenes praktisering av dette.

Fradragsordninger og fastsettelsen av beregnet personinntekt

De lempelige fradragsordningene i delingsmodellen innebærer trolig at en for stor del av samlet næringsinntekt i et foretak regnes som kapitalinntekt, slik at beregnet personinntekt (lønnsinntekt) blir satt for lavt i forhold til den reelle arbeidsavkastningen. I tillegg vil takreglene for ikke-liberale yrker medføre at beregnet personinntekt ikke kan overstige 16 G, med unntak for inntekter mellom 75 G og 143 G som likevel skal regnes som personinntekt . En illustrasjon på at fastsettelsen av beregnet personinntekt er lav, er at nærmere 80 pst. av alle aktive aksjonærer fikk tilordnet negativ beregnet personinntekt i 1998. I 1992 var den tilsvarende andelen 65 pst. Andelen aktive eiere med en positiv beregnet personinntekt over 300 000 kroner, falt fra 10 pst. til 3,5 pst. i samme periode. I 1998 var det kun om lag 2 900 aktive eiere som fikk en positiv beregnet personinntekt over 300 000 kroner. Det virker lite trolig at den faktiske verdien av arbeidsinnsatsen til aktive eiere er så lav som disse tallene indikerer, noe som i så fall viser at fradragsreglene i delingsmodellen er for gunstige.

Til sammenligning er det om lag 93 pst. av enmannsforetakene som får positiv beregnet personinntekt. Dette er trolig en indikasjon på at denne gruppen skatteytere i mindre grad har fordel av at fradragsreglene i delingsmodellen er relativt gunstige. For delingspliktige som får lav eller negativ beregnet personinntekt, er det trolig en fordel å bli skattlagt etter delingsmodellen framfor å ikke bli det, blant annet fordi ligningsmyndighetene ikke har anledning til å omklassifisere utbytte til lønn for aktive eiere. Det er derfor grunn til å tro at det primært er personer som får høy beregnet personinntekt, som har tilpasset seg ut av delingsmodellen.

Figur 11.2 viser utviklingen i næringsinntekt og beregnet personinntekt for aktive eiere i aksjeselskaper fra 1996 til 2000. Figuren viser at næringsinntekt i forhold til beregnet personinntekt har økt siden 1998, hvilket kan være en indikasjon på at reglene for fastsettelse av beregnet personinntekt er lempelige.

Figur 11-2 Næringsinntekt og beregnet personinntekt for aktive eiere i AS. Millioner kroner.

Figur 11-2 Næringsinntekt og beregnet personinntekt for aktive eiere i AS. Millioner kroner.

Kilde: Statistisk sentralbyrå, inntektsundersøkelsen for aksjeselskap.

Tabell 11.7 viser at en svært høy andel av de delingspliktige aksjeselskapene hadde negativ, eller svært lav beregnet personinntekt i år 2000. Dette underbygger påstanden om lempelige delingsregler slik det er redegjort for ovenfor. For det første er det en indikasjon på at det er for enkelt å tilpasse seg ut av delingsmodellen. Hele 72,5 pst. av de delingspliktige selskapene hadde negativ beregnet personinntekt, og kun et lite fåtall av selskapene er i en posisjon hvor delingsmodellen potensielt gir en hardere beskatning enn ved å ta ut alt overskudd som utbytte. Andelen delingspliktige selskaper med negativ beregnet personinntekt har steget fra 66,7 pst. i 1994 og 71,9 pst. i 1996. Tabell 11.7 viser beregnet personinntekt på foretaksnivå, slik at lønnsomheten av at selskapet er delt eller ikke, vil avhenge av antall aktive eiere foretakets beregnede personinntekt skal fordeles på. For det andre går det fram av tabellen at kapitalavkastningsfradraget og lønnsfradraget for denne gruppen er svært høyt i forhold til næringsinntekten. Den store andelen selskaper med lav eller negativ beregnet personinntekt, antyder at reglene for fastsettelse av beregnet personinntekt er for gunstige.

Tabell 11.7 Aksjeselskap. Næringsinntekt, kapitalavkastning og lønnsfradrag etter beregnet personinntekt(2000, Mill. kr.)

  Antall observasjonerJustert næringsinntekt2KAGBeregnet kapitalavkastningLønnsfradrag
Alle2 55719 822158 79315 7985 101
- Liberale3091 9306 980690749
- Ikke liberale2 24817 892151 81315 1084 351
Beregnet personinntekt:1Andel
Negativ inntekt72,5 %8 040127 16012 6521 995
0 - 99 99911,8 %2 73911 3451 1301 272
100 000 - 499 9998,6 %2 6016 742666722
500 000 - 999 9992,4 %1 4502 936292365
1 000 000 - 2 499 9992,4 %1 8353 586359308
2 500 000 - 4 999 9990,7 %7681 363135150
5 000 000 -1,6 %2 3895 661564289

Beregnet personinntekt er på foretaksnivå.

Næringsinntekt er justert for kapitalkostnader og kapitalinntekter.

Kilde: Statistisk sentralbyrå, Inntekts- og formuesundersøkelse for aksjeselskap, 2000

For enmannsforetak har andelen med negativ beregnet personinntekt sunket siden delingsmodellen ble innført, og var i 1999 på om lag 15 pst., altså vesentlig lavere enn for aksjeselskaper. Dette skyldes både at stort sett alle selvstendig næringsdrivende er delingspliktige, og at kapitalavkastningsfradraget og lønnsfradraget utgjør en vesentlig mindre andel av justert næringsinntekt for disse enn for aksjeselskapene. Mens summen av lønns- og kapitalavkastningsfradrag utgjorde drøyt 105 pst. av justert næringsinntekt for aksjeselskaper i 2000, var den tilsvarende andelen for selvstendig næringsdrivende drøyt 19 pst. samme år.

11.5 Utvalgets vurderinger og forslag

11.5.1 Innledning

Utvalget foreslår primært å innføre en utbytteskatt med skjerming for aksjeselskaper, og en lignende uttaksmodell for deltakerlignede selskaper. På sikt er det videre ønskelig å innføre en lignende uttaksmodell også for enmannsforetak. Forslaget forutsetter at dagens delingsmodell avvikles for aksjeselskaper og deltakerlignede selskaper, og eventuelt også for enmannsforetak.

Dersom delingsmodellen likevel skal videreføres, vil utvalget foreslå ulike endringer i gjeldende delingsmodell. Forslagene er primært utformet med tanke på at modellen videreføres for samtlige virksomhetsformer, men vil i stor grad være relevante også dersom modellen kun beholdes for enmannsforetak og eventuelt deltakerlignede selskaper.

Delingsmodellens formål er at all arbeidsavkastning i størst mulig grad skal behandles likt skattemessig, uavhengig av om avkastningen faktisk tas ut som lønn. Gjeldende modell har imidlertid svakheter som medfører at slik likebehandling ikke alltid oppnås i praksis. For det første er det for lett å tilpasse seg bort fra modellen. For det andre er modellen basert på sjabloner som gjør den lite treffsikker. Dette medfører at det beregnes for lav personinntekt i forhold til reell arbeidsavkastning i mange av foretakene som omfattes av modellen. En tredje svakhet ved gjeldende delingsmodell er at den skiller mellom såkalte liberale og ikke-liberale yrker både når det gjelder reglene for maksimalt beregnet personinntekt (takreglene), aktivitetskravet, og identifikasjonsreglene. Gjeldende delingsmodell er også sterkt preget av at satsforskjellen på arbeids- og kapitalinntekter er for stor. Som påpekt ovenfor, har dette ført til at det er betydelige tilpasninger til delingsmodellen.

Utvalget mener på denne bakgrunn at det er behov for innstramninger i delingsmodellen, uavhengig av om den videreføres generelt, eller kun for enmannsforetak. Hovedmålsettingen med utvalgets forslag til innstramninger er å få en strammere delingsmodell, som i størst mulig grad sikrer at reell arbeidsavkastning ikke blir skattlagt som kapitalinntekt.

Det foreslås full likebehandling av næringer, slik at det blir felles skjermingsregler, aktivitetskrav og identifikasjonsregler.

11.5.2 Endringer i reglene om fastsettelse av beregnet personinntekt

11.5.2.1 Kapitalavkastningsgrunnlaget (KAG)

Verdsettelse

Utgangspunktet for fastsettelse av beregnet personinntekten er foretakets alminnelige inntekt. Fra dette grunnlaget skal det gjøres fradrag for kapitalavkastningen i foretaket. Dette gjøres dels ved at enkelte faktiske kapitalinntekter trekkes fra og tilsvarende utgifter legges til, dels ved at det gis et kapitalavkastningsfradrag basert på et nærmere fastsatt kapitalavkastningsgrunnlag. Jo høyere kapitalavkastningsgrunnlaget er, jo høyere blir den beregnede kapitalavkastningen, og tilsvarende lavere blir den beregnede personinntekten. Isolert sett vil det derfor være lønnsomt å få mest mulig av foretakets aktiva tilordnet kapitalavkastningsgrunnlaget, med høyest mulig verdi.

Etter skatteloven § 12-13 annet ledd bokstav d, skal eiendeler som inngår i kapitalavkastningsgrunnlaget verdsettes til middelverdien av eiendelens inngående og utgående verdi ved inntektsårets begynnelse og slutt. Som hovedregel skal eiendelenes skattemessige verdi legges til grunn ved verdsettelsen. Ikke-avskrivbare eiendeler skal imidlertid verdsettes til den høyeste verdi av eiendelens historiske kostpris og ligningsverdi (verdien som er lagt til grunn ved formuesligningen). Eiendeler som i 1999 ble verdsatt til regnskapsmessig verdi, kan fortsatt verdsettes til denne verdien.

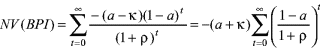
Boks 11.2 Skattemessige avskrivninger i kapitalavkastningsgrunnlaget

Denne boksen viser at dersom kapitalavkastningsgrunnlaget reduseres med skattemessige avskrivninger, og foretakets diskonteringsrente er lik kapitalavkastningsraten, vil beregnet personinntekt være uavhengig av avskrivningssatsene.

Hvis de skattemessige avskrivningene i en periode er høyere enn faktisk økonomisk verdifall, vil den beregnede personinntekten bli tilsvarende lav i en periode, for så å bli høyere i senere perioder når avskrivningene er lavere enn økonomisk verdifall. Dette er i utgangspunktet en skattekreditt, hvor rentene tilfaller skattyter, mao. et rentefritt lån fra staten. For delingspliktige vil imidlertid denne skattekreditten bli motsvart av at kapitalavkastningsgrunnlaget reduseres med de skattemessige avskrivningene, noe som reduserer den beregnede personinntekten i foretaket. Dersom kapitalavkastningsraten tilsvarer foretakets diskonteringsrente, vil dette utligne effekten av skattekreditten som oppstår av for høye avskrivningssatser. Skattekreditten blir med andre ord belastet med en rente som tilsvarer kapitalavkastningsraten. Dersom kapitalavkastningsraten er lik diskonteringsrenten, vil nåverdien av beregnet personinntekt være uavhengig av avskrivningssatsen. Dette impliserer at nåverdien av beregnet personinntekt er uavhengig av om verdsettelsen av kapitalavkastningsgrunnlaget til skattemessige saldoverdier samsvarer med faktisk økonomisk verdi. Dette resultatet kan vises som følger:

La avkastningen før avskrivninger og finanskostnader være 0 i alle perioder, og kapitalavkastningsgrunnlaget være 1 i første periode. Da vil beregnet personinntekt i år t være lik:

Figur  

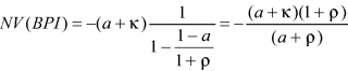
der a er avskrivningssatsen og k er kapitalavkastningsraten. La r betegne diskonteringsraten, slik at nåverdien av beregnet personinntekt vil være

Figur  

Siste faktoren i dette uttrykket er summen av en uendelig geometrisk rekke og uttrykket kan dermed skrives som

Figur  

Vi ser at dersom κ=ρ, dvs. at kapitalavkastningsraten er lik diskonteringsraten, vil dette uttrykket være uavhengig av avskrivningssatsen a.

Den skattemessige verdien vil ikke alltid gi uttrykk for eiendelens reelle verdi. Ved å benytte eiendelens skattemessig verdi, vil en imidlertid oppnå en symmetrisk behandling av kapitalavkastningsgrunnlaget og avskrivningene i fastsettelsen av personinntekten. Avskrivninger som er høyere enn faktisk verdifall, innebærer at alminnelig inntekt – som personinntekten fastsettes på grunnlag av – blir lavere. Samtidig vil kapitalavkastningsfradraget bli lavere dersom eiendelens skattemessig verdi legges til grunn ved beregningen av kapitalavkastningsgrunnlaget. Se boks 11.2 for en nærmere redegjørelse for hvordan dette vil virke symmetrisk.

Dersom en benytter regnskapsmessige verdier ved fastsettelsen av kapitalavkastningsgrunnlaget, vil regnskapsføringen få virkning også for skattemessige forhold. En slik løsning vil være uheldig da regnskapet i størst mulig grad bør gi informasjon om de reelle økonomiske forhold i bedriften, og ikke være påvirket av rene skattemessige disposisjoner. Dersom økte regnskapsmessige verdier på eiendeler gir lavere skatt, kan dette veie tyngre enn hensynet til å gi korrekt informasjon om eiendelenes verdi. Dette vil redusere regnskapenes informasjonsverdi, noe som vil være uheldig både for kreditorer, for bedriftens eiere, og for allmennheten.

På denne bakgrunn foreslår utvalget å endre verdsettelsesreglene for kapitalavkastningsgrunnlaget, slik at alle avskrivbare driftsmidler skal verdsettes til skattemessig verdi, mens alle ikke-avskrivbare driftsmidler skal fastsettes til den høyeste verdi av eiendelens historisk kostpris og ligningsverdi. Dette forslaget gjelder uavhengig av om delingsmodellen videreføres generelt, eller kun for enmannsforetak (og eventuelt for deltakerlignede selskaper).

Leverandørkreditter og forskuddsbetaling fra kunder

Etter skatteloven § 12-13 annet ledd bokstav c, skal leverandørkreditter og forskuddsbetaling fra kunder trekkes fra i kapitalavkastningsgrunnlaget. Dette gjelder imidlertid kun dersom renten på leverandørkreditten er under 8 pst. og kredittiden er lengre enn 30 dager, jf. Finansdepartementets skattelovforskrift § 12-13-3. For å få brakt eventuelle avtaler om renter og kredittid på det rene, må alle underliggende fakturaer sjekkes. Erfaringen fra ligningsmyndighetene er at bestemmelsen ofte medfører praktiske problemer

Behandlingen av virksomhetens leverandørkreditter og forskuddsbetaling fra kunder kan synes noe inkonsekvent i forhold til behandlingen av kundefordringer, siden rentebærende kundefordringer er inkludert i kapitalavkastningsgrunnlaget, mens rentebærende leverandørkreditter ikke kommer til fradrag. Utvalget mener det bør være en symmetrisk behandling av virksomhetens kundefordringer og leverandørkreditter. For å oppnå slik symmetri, foreslår utvalget at all forskuddsbetaling fra kunder og alle leverandørkreditter skal komme til fradrag i kapitalavkastningsgrunnlaget, uavhengig av betalingsbetingelsene. Til gjengjeld må skatteloven §12-13 annet ledd bokstav a utvides, slik at også forskudd til leverandører inngår i kapitalavkastningsgrunnlaget på linje med virksomhetens kundefordringer. Dette forslaget gjelder uavhengig av om delingsmodellen videreføres generelt, eller kun for enmannsforetak (og eventuelt for deltakerlignede selskaper).

Overdragelse av goodwill mv.

Hovedregelen er at omdanning fra en eierform/selskapsform til en annen, innebærer en realisasjon av aktiva i foretaket som omdannes. Det må derfor foretas et gevinst-/tapsoppgjør for alle aktiva knyttet til virksomheten som omdannes.

Skattefri omdanning kan foretas med hjemmel i skatteloven § 11-20, eller etter samtykke fra Finansdepartementet med hjemmel i skatteloven §11-22. Enmannsforetak og deltakerlignede selskaper (ANS, DA, KS og indre selskaper) kan på visse vilkår omdannes skattefritt til aksjeselskap. Videre kan enmannsforetak omdannes skattefritt til deltakerlignet selskap, og deltakerlignet selskap omdannes skattefritt til annet deltakerlignet selskap. Dersom foretaket benytter seg av reglene om skattefri omdanning, skal skatteposisjoner knyttet til virksomheten overføres uendret til det overtakende selskapet.

Omdanning fra en foretaksform til en annen kan også skje uten at en benytter reglene om skattefri omdanning. Omdanningen vil da anses som realisasjon, med den følge at en oppnår nye skattemessige verdier på de overdratte eiendelene.

I praksis forekommer det tilfeller der et delingspliktig foretak, for eksempel et ANS, overdras til et nyopprettet selskap, for eksempel et AS, med de samme eller vesentlig samme eiere, uten at skattefritaksreglene benyttes. Pga. usymmetrisk behandling av inntekter og utgifter på driftsmidler, kan dette innebære en fordel for eierne i forhold til fastsettelsen av personinntekt.

En slik overdragelse kan særlig medføre en fordel i forhold til egenutviklet goodwill, som i utgangspunktet ikke kan avskrives. Overdragelsen medfører imidlertid at goodwillen endrer karakter til ervervet goodwill, som avskrives med 20 pst. i det overtakende selskapet. Avskrivningen vil redusere grunnlaget for beregnet personinntekt direkte, samtidig som den gjennom kapitalavkastningsfradraget vil redusere personinntekten med 10 pst. av middelverdien av inngående og utgående verdi av saldoen for goodwill. Samlet sett betyr dette at ervervet goodwill kan redusere grunnlaget for beregnet personinntekt betydelig. Gevinsten på goodwillen inntektsføres gjennom gevinst- og tapskonto med 20 pst. pr. år i det overdragende foretaket. Selv om dette foretaket framdeles er delingspliktig etter overdragelsen, får gevinsten ikke betydning for personinntekten i og med at inntektsføring fra gevinst- og tapskonto skal fradragsføres ved beregningen av personinntekt.

En lignende effekt kan en oppnå ved å overføre andre driftsmidler som ikke skal føres på samlesaldo. Gevinst på disse skal også føres på gevinst- og tapskonto og tas til inntekt med 20 pst. pr. år. Men da avskrivningssatsene på slike driftsmidler varierer fra 2 til 14 pst., vil det ikke alltid lønne seg å overdra slike driftsmidler. For driftsmidler på samlesaldo skal inntektsføringen skje via saldoen. Effekten blir 15-30 pst. inntektsføring pr. år. Slike inntektsføringer vil inngå i personinntekten i det overdragende foretaket, men dette foretaket vil ofte ikke være delingspliktig etter overdragelsen. I så fall kan overdragelsen få en tilsvarende effekt som for goodwill.

Utvalget har vurdert ulike alternativer som kan motvirke at slike overdragelser skal kunne redusere personinntekten i virksomheter.

Det er som nevnt overføring av egenutviklet goodwill som er hovedproblemet ved slike omdanninger. Et av problemene er at gevinst ved salg av goodwill aldri anses som personinntekt etter dagens regler, uavhengig av om det overdragende foretaket er delingspliktig eller ikke. En løsning på dette problemet kan være å innføre en regel som sikrer at egenutviklet goodwill skattlegges som bruttoskattepliktig personinntekt ved salg. Dette bør gjelde uavhengig av om selger omfattes av delingsreglene i de inntektsårene gevinsten inntektsføres. Det må imidlertid være et vilkår at selger var delingspliktig i inntektsåret før salget. Videre bør goodwill som er overført fra et foretak med hovedsakelig samme eierkrets som det mottakende foretaket, unntas fra kapitalavkastningsgrunnlaget. Ved disse tiltakene vil det ikke lenger være lønnsomt å overføre goodwill ved en skattepliktig omdanning. Dette forslaget gjelder uavhengig av om delingsmodellen videreføres generelt, eller kun for enmannsforetak (og eventuelt for deltakerlignede selskaper).

11.5.2.2 Kapitalavkastningsraten

Etter gjeldende regler er kapitalavkastningsraten 10 pst., definert som en risikofri rente på 6 pst., tillagt en risikopremie på 4 prosentpoeng.

I fastsettelsen av kapitalavkastningsraten er formålet å oppnå investeringsnøytralitet. I den grad en investor har mulighet til å redusere eller fjerne sin risiko ved å diversifisere investeringsporteføljen, innebærer dette at risikotillegget bør reduseres eller fjernes. Dersom investoren fritt kan tilpasse sin risikoprofil, vil et risikotillegg medføre en vridning i investeringene mot mer risikable prosjekter. Investeringsnøytralitet vil dermed kun oppnås ved at risikotillegget er null, forutsatt at et eventuelt framførbart underskudd renteberegnes.

Som nevnt i kapittel 10, innebærer aksjonærmodellen en tilnærmet symmetrisk behandling av aksjeinntekter, uavhengig av om avkastningen i det aktuelle selskapet ligger over eller under den beregnede alternativavkastningen. Aksjonærmodellen innebærer på den ene siden at det offentlige oppnår ekstra skatteinntekter der selskapsinvesteringen gir en avkastning over alternativavkastningen. På den annen side tar det offentlige en del av aksjonærens risiko der selskapsinvesteringen gir en lavere avkastning enn alternativavkastningen. Dette er også bakgrunnen for at utvalget foreslår en skjermingsrente med kun et beskjedent risikotillegg, f.eks. renten på 5-årige statsobligasjoner.

Delingsmodellen innebærer ikke en tilsvarende risikodeling mellom den aktive og det offentlige. Ved fastsettelsen av kapitalavkastningsraten bør det derfor gis et risikotillegg. Etter utvalgets syn virker gjeldende risikotillegg på 4 pst. rimelig. Utvalget vil derfor ikke foreslå endringer i kapitalavkastningsraten.

11.5.2.3 Vurdering av skjermingstiltak

Behovet for skjermingsregler

Delingsmodellen bygger i stor grad på sjabloner ved fastsettelse av arbeidsinntekten. Det er i praksis ikke mulig innenfor en slik modell å få til et system som medfører et fullt ut rimelig resultat i alle henseender. Den administrative beregningen av kapitalavkastningen kan være for høy eller for lav i forhold til et individuelt estimat i næringen. En for høy beregnet kapitalavkastning vil være en fordel for skattyter gjennom en lavere beskatning av næringsinntekten. Motsatt vil en for lav kapitalavkastning føre til høyere beskatning enn den individuelt burde være. I enkelte tilfeller kan personinntekten bli så høy at deler av den med stor sannsynlighet kan henføres til andre kilder enn den aktives arbeidsinnsats. Utvalget ser derfor behov for skjermingsregler for å unngå at den beregnede personinntekten blir for høy.

At den beregnede kapitalavkastningen blir for lav, kan særlig skyldes to forhold. Det ene er at driftsmidler som skal tilordnes kapitalavkastningsgrunnlaget er verdsatt for lavt i forhold til reell verdi. Det andre er at immateriell kapital mv. ikke reflekteres i den beregnede kapitalavkastningen, med unntak av ervervet goodwill.

Delingsreglene har i dag to sett skjermingsregler som skal virke korrigerende der den beregnede kapitalavkastningen er fastsatt for lavt. Det ene er en begrensning av maksimalt beregnet personinntekt (takreglene). Dette regelsettet gjelder bare for såkalte ikke-liberale yrker. Det andre er lønnsfradraget, som skal ta hensyn til at foretaket kan ha en viss ikke-registrerbar organisatorisk kapital.

Nærmere om lønnsfradraget

Under behandlingen av Ot.prp. nr. 35 (1990-91) Skattereformen 1992, vedtok Stortinget at det skulle gis et såkalt lønnsfradrag ved fastsettelsen av beregnet personinntekt. Det samlede lønnsfradraget utgjør for tiden 20 pst. av de totale lønnskostnadene. Lønnsfradraget kan ikke redusere personinntekten for den enkelte aktive til under 6 G. Personinntekt her betyr all personinntekt fra det delingspliktige foretaket, dvs. at en regner med både lønn og arbeidsgodtgjørelse i tillegg til den beregnede personinntekten. Beregnet personinntekt kan gjennom lønnsfradraget bringes ned i null, men lønnsfradraget kan ikke redusere annen personinntekt fra foretaket (lønn og arbeidsgodtgjørelse).

Lønnsfradraget er bl.a. begrunnet ut fra hensynet til at avkastning av organisasjonskapital skal behandles som en del av kapitalavkastningsgrunnlaget.

Nærmere om takreglene

Dagens takregler bygger på et skille mellom ulike bransjer. Beregnet personinntekt etter delingsmodellen skal i utgangspunktet begrenses til 16 G, jf. skatteloven § 12-17. For beregnet personinntekt mellom 75 G og 134 G skal det likevel betales trygdeavgift og eventuelt toppskatt. Beregnet personinntekt fra foretak hvor den eller de aktives arbeidsinnsats på grunn av bransje, særlige kvalifikasjoner eller andre forhold muliggjør en særlig stor foretaksinntekt (såkalte liberale foretak), skal ikke begrenses.

Begrunnelsen for takreglene er at de sjablonpregede reglene i delingsmodellen kan medføre en beregnet personinntekt som er høyere enn den reelle avkastningen av den aktives arbeidsinnsats. Reglene var opprinnelig ment som en generell sikkerhetsventil, og taket skulle settes høyt. I Ot.prp. nr 35 (1990-91) antydet departementet en grense på 2,5 millioner kroner. Stortinget fastsatte grensen lavere, til 34 G. I forbindelse med evalueringen av skattereformen, ble det innført høyere tak for liberale foretak enn for andre. Fra og med inntektsåret 1998 ble taket for liberale foretak opphevet.

Vurderinger og forslag

Kapitalavkastningen i delingsforetak fastsettes på grunnlag av ulike sjablonregler. For å sikre at reell kapitalavkastning ikke blir beskattet som personinntekt, kan det være behov for skjermingsregler. Utvalget ser imidlertid store svakheter med gjeldende skjermingsregler.

Begrunnelsen for å innføre lønnsfradraget var at immaterielle aktiva burde behandles som en del av bedriftens kapitalavkastningsgrunnlag.

Etter utvalgets vurdering er imidlertid lønnsfradraget et lite treffsikkert virkemiddel for å fange opp immateriell kapital og virksomhetskapital i bedriftene. En bestemmelse som skal fange opp immateriell kapital mv. i bedriften, bør utformes på en langt mer treffsikker måte. Utvalget har imidlertid ikke kommet fram til noe alternativ til dagens lønnsfradrag.

På denne bakgrunn foreslår utvalget at lønnsfradraget videreføres. Utvalget er imidlertid av den oppfatning at lønnsfradraget bør reduseres betraktelig da det som nevnt er lite treffsikkert ut fra sitt formål. På denne bakgrunn foreslår utvalget at effekten av lønnsfradraget reduseres fra 20 pst. til 10 pst. av de totale lønnskostnadene.

Logikken i delingsmodellen tilsier at det ikke bør være noe tak som begrenser den beregnede personinntekten. Delingsmodellen inneholder imidlertid flere sjablonmessige regler som kan gjøre den lite treffsikker i enkelte tilfeller. Utvalget ser derfor at det kan være behov for takregler som begrenser personinntekten der denne ellers ville blitt fastsatt urimelig høyt. Utvalget mener imidlertid at dagens takregler er gitt en uheldig utforming. Utvalget foreslår derfor å erstatte disse med et felles tak for liberale og ikke-liberale foretak. Taket bør settes høyt, f.eks. i størrelsesorden 2,5 - 4 millioner kroner.

Disse forslagene gjelder uavhengig av om delingsmodellen videreføres generelt, eller kun for enmannsforetak (og eventuelt for deltakerlignede selskaper).

11.5.3 Endringer for å redusere tilpasninger ut av delingsmodellen

11.5.3.1 Eierkravet

Utvalget har vurdert behovet for å endre eierkravet slik at det blir vanskeligere å tilpasse seg bort fra delingsmodellen.

Etter utvalgets syn bør kravet til eierandel reduseres dersom ikke satsforskjellen mellom kapital- og arbeidsinntekter reduseres tilstrekkelig. Dette for å unngå tilpasninger ved at aktive eiere f.eks. overdrar 34 pst. av aksjene/andelene i selskapet til passive eiere.

Eierkravet i dagens delingsmodell ble bl.a. fastsatt ut fra en økonomisk betraktning om at det ikke ville være lønnsomt for en aktiv eier å gi avkall på 1/3 eller mer av overskuddet, for på den måten å unngå delingsmodellen. Med dagens skattesatser vil denne grensen være i overkant av 38 pst. for eiere med trinn 1 i toppskatten, og om lag 51 pst. for eiere med høyeste toppskatt og ekstra arbeidsgiveravgift (kakseskatt).

Etter utvalgets vurdering bør en imidlertid ikke legge avgjørende vekt på denne typen beregninger, ettersom dette kun illustrerer lønnsomheten på marginen av å gi bort en del av overskuddet slik at eieren kan ta ut arbeidsavkastningen som utbytte framfor som lønn.

Eierandelen gir normalt uttrykk for aksjonærens/andelshaverens økonomiske og forvaltningsmessige innflytelse i selskapet. Dette må det tas hensyn til ved fastsettelsen av kravet til eierandel. Som hovedregel kreves det simpelt flertall for at generalforsamlingen i aksjeselskaper og allmennaksjeselskaper skal kunne treffe en beslutning.

For endringer i selskapets vedtekter kreves det imidlertid 2/3 flertall. Selskapets vedtekter er et vesentlig styringsinstrument for generalforsamlingen. En endring i eierkravet til under 2/3 medfører at et selskap vil kunne omfattes av delingsmodellen uten at de aktive aksjonærene har den samme innflytelse når det gjelder endringer av selskapets vedtekter. Dette kan tale mot å redusere eierkravet til under 2/3.

På den annen side treffes beslutning om utdeling av utbytte i aksjeselskaper og allmennaksjeselskaper med simpelt flertall av generalforsamlingen etter forslag fra styret. Det vil si at det normalt ikke er nødvendig med mer enn simpelt flertall for å ha den forvaltningsmessige kontrollen over utbytteutdelingen. Aksjonærer som til sammen eier mer enn 50 pst. av aksjene, vil dermed ha vesentlig kontroll over beslutningen om anvendelse av selskapets overskudd. På denne bakgrunn foreslår utvalget at eierkravet reduseres til mer enn 50 pst. Dette forslaget gjelder kun dersom delingsmodellen videreføres generelt.

Aksjeselskaper med stor spredning i eierstrukturen blant de ansatte

Etter skatteloven § 12-10 tredje ledd er aksjeselskaper og allmennaksjeselskaper unntatt fra deling når minst to tredjedeler av selskapets aksjer eies av aktive som hver for seg ikke eier mer enn fem pst. av selskapets aksjer, forutsatt at alle aksjene har lik rett til utbytte fra selskapet. Videre er det et vilkår at ikke vedtekter eller annen bestemmelse i selskapet, eller mellom aksjonærene, setter begrensninger i aksjenes omsettelighet. Unntaket gjelder ikke når lønn til en eller flere aktive aksjonærer er vesentlig lavere enn den lønnen som antas å ville ha vært avtalt dersom vedkommende ikke hadde eierinteresser i selskapet. Departementet kan dispensere fra kravet til aksjenes frie omsettelighet i første punktum.

Utvalget ser få faglige grunner til å opprettholde bestemmelsen i skatteloven § 12-10 tredje ledd. Prinsipielt sett bryter en slik grense med logikken i delingsmodellen. Det må videre legges til grunn at selv om det er mange aktive aksjonærer i et selskap, vil de aktive ha felles interesse av at mest mulig av inntekten i selskapet utbetales som utbytte i stedet for som lønn. Bestemmelsen inneholder riktignok et krav om markedsmessig lønn til aksjonærene, men i praksis vil det være vanskelig å kontrollere om et slikt krav er oppfylt.

På denne bakgrunn foreslår utvalget at unntaksreglene i skatteloven § 12-10 tredje ledd oppheves. Dette forslaget er kun relevant dersom delingsmodellen videreføres for aksjeselskaper og/eller for deltakerlignede selskaper.

11.5.3.2 Identifikasjon

Ved beregningen av eierkravet i delingsmodellen, regnes aksjer/andeler eiet av den aktives nærstående, som aksjer/andeler eiet av den aktive selv. Aktive i et ikke-liberalt foretak identifiseres med ektefelle, samboer og mindreårige barn. For aktive i liberale foretak er personkretsen videre. I slike foretak identifiseres den aktive med slektninger i rett nedstigende og rett oppstigende linje, ektefelle, samboer, søsken og ektefelles eller samboers foreldre og barn. Reglene for identifikasjon mellom nærstående var opprinnelig like for liberale og ikke-liberale foretak. De lempelige reglene for ikke-liberale foretak ble innført fra og med inntektsåret 1997.

Identifikasjonsreglene er begrunnet ut fra interessefellesskapet mellom den aktive og eieren av aksjene/andelene. Når det foreligger et økonomisk interessefellesskap mellom den aktive og eieren av aksjene/andelene, vil den aktive kunne ha samme reelle innflytelse i foretaket som om han eide aksjene/andelene selv. Interessefellesskapet kan også lede til forsøk på illojale tilpasninger ved at den aktive overdrar sine aksjer/andeler til en nærstående i den hensikt at det ikke fastsettes personinntekt, mens han i realiteten beholder sine økonomiske og forvaltningsmessige interesser i selskapet.

Som det framkommer ovenfor, er det ulike identifikasjonsregler for aktive i liberale og ikke-liberale foretak. Dette medfører at det er lettere for aktive i ikke-liberale foretak å unngå delingsmodellen enn for aktive i liberale foretak. Etter utvalgets vurdering kan denne forskjellsbehandlingen vanskelig forsvares. Utvalget foreslår derfor å oppheve skillet mellom liberale og ikke-liberale foretak i forhold til delingsmodellens identifikasjonsregler.

Identifikasjonsreglene må avgrenses slik at de på en hensiktsmessig og effektiv måte treffer de tilfeller der det normalt foreligger et interessefellesskap mellom den aktive og eieren av aksjene/andelene. De lempeligere identifikasjonsreglene for ikke-liberale yrker medfører at aktive aksjonærer kan unngå deling ved å overdra aksjer f.eks. til myndige barn. For å redusere disse tilpasningsmulighetene, foreslår utvalget å stramme inn identifikasjonsreglene for ikke-liberale yrker, ved å innføre de samme reglene som for liberale yrker (den aktive identifiseres med slektninger i rett nedstigende og rett oppstigende linje, ektefelle, samboer, søsken og ektefelles eller samboers foreldre og barn).

Dette forslaget er kun relevant dersom delingsmodellen videreføres for aksjeselskaper og/eller for deltakerlignede selskaper.

11.5.3.3 Aktivitetskravet

Formålet med delingsmodellen er å fastsette en avkastning av eiernes arbeidsinnsats i virksomheten. Etter skatteloven § 12-10 er det derfor et vilkår for deling at eierne deltar aktivt i virksomheten. Aktivitetskravet er nærmere regulert i Finansdepartementets skattelovforskrift. For at noe skal regnes som aktivitet, stilles det krav til både type aktivitet, og til omfanget av aktiviteten.

Når det gjelder omfanget av aktiviteten, er det for det første et vilkår at aktiviteten ikke bare er sporadisk. Med sporadisk aktivitet menes at aktiviteten ikke er regelmessig, og at den er kortvarig. For ikke-liberale yrker er det et ytterligere krav om at arbeidsinnsatsen må overstige 300 timer for å regnes som aktivitet, jf. avsnitt 11.2.3.1.

Da 300-timersregelen ble innført i 1995, gikk mange over fra å være aktive til å bli passive eiere. Regelen ble innført av forenklingshensyn. I praksis har imidlertid bestemmelsen vært med på å komplisere vilkårene for aktivitet. Den har gitt opphav til fortolkningstvil, i tillegg til at bevisvurderingen har skapt problemer. Problemene gjelder dels hva slags type aktivitet som skal inn under regelen, og dels hvordan en skal telle timer.

Utvalget ser klare uheldige sider ved at aktivitetskravet er knyttet til et visst timeantall. Det er administrativt vanskelig å kontrollere om aktiviteten er oppfylt med et slikt krav. At det er utøvet noe aktivitet i foretaket, kan kontrolleres ved å undersøke om dokumenter er undertegnet mv. Det er langt vanskeligere å kontrollere hvor mange timer som er brukt på arbeidet. Etter utvalgets vurdering er også 300-timerskravet svært liberalt. Det er liten grunn til at de som arbeider mindre enn 300 timer i et foretak, ikke skal bli tilordnet personinntekt på avkastningen av sin arbeidsinnsats. På denne bakgrunn foreslår utvalget at 300-timersregelen oppheves for ikke-liberale yrker. Dette vil samtidig medføre at skillet mellom liberale og ikke-liberale foretak oppheves også i forhold til aktivitetskravet. Dette forslaget gjelder uavhengig av om delingsmodellen videreføres generelt, eller kun for enmannsforetak.

Etter utvalgets syn bør det imidlertid gjelde en viss minstegrense for når aktivitetskravet skal anses oppfylt. Det bør være mulig for en eier å utføre en beskjeden arbeidsinnsats ved kortere sykdomsforfall eller andre spesielle omstendigheter. Det bør således gjelde en skjønnsmessig minstegrense som kan medføre en viss fleksibilitet, men som samtidig tar hensyn til ligningsmyndighetenes kontrollbehov.

Etter utvalgets syn bør aktivitet av kortvarig og sporadisk karakter framdeles ikke være tilstrekkelig til å oppfylle aktivitetskravet i delingsmodellen. Ren forvaltning av eierinteresser bør dermed ikke alene anses som aktiv deltakelse. Heller ikke ordinær deltakelse i styre eller selskapsmøter bør alene anses som aktivitet.

Det bør vurderes å forskriftsregulere nærmere hva som ligger i aktivitetskravet.

11.5.4 Modell der arbeidsavkastningen fastsettes direkte

Utvalget har også vurdert en modell der arbeidsavkastningen, og dermed også personinntekten, fastsettes direkte ut fra fastsatt næringsinntekt. En slik modell innebærer at en må vurdere verdien av den delingspliktiges arbeidsinnsats direkte i stedet for å fastsette den residualt. Ved å beregne arbeidsavkastningen direkte, vil en unngå dagens problemer knyttet til verdsettelsen av kapitalavkastningsgrunnlaget, samt den unøyaktighet dette skaper i forhold til fastsettelsen av personinntekten.

En slik modell har også tidligere vært vurdert av Aarbakkegruppen i NOU:1989:14, og i Ot.prp. nr. 35 (1990-91) Skattereformen 1992. Modellen ble den gang avvist med henvisning til de problemer som kunne oppstå dersom den næringsdrivendes inntekt skulle fastsettes ut fra den inntekt vedkommende ville hatt dersom han utførte tilsvarende arbeid i et vanlig ansettelsesforhold. En svensk utredning, SOU 2002:52, avviste nylig en lignende modell for beskatning av små foretak, en såkalt "normallønemodell”, med en tilsvarende begrunnelse.

I praksis vil det vanskelig la seg gjøre å fastsette arbeidsavkastningen direkte, og samtidig ivareta kravet om individuell riktighet i forhold til verdien av den enkeltes arbeidsinnsats. Fastsettelsen må i utgangspunktet skje etter sjablonregler. Fordelingshensyn og hensynet til likebehandling mellom lønnstakere og skattyter som får beregnet personinntekten etter modellen, tilsier imidlertid at en må ta hensyn til visse sentrale inntektsbestemmende faktorer ved beregningen. Disse faktorene er først og fremst hvilken arbeidstype som utføres, skattyters kvalifikasjoner (arbeidserfaring og utdannelse), og omfanget av arbeidsinnsatsen.

En mulig løsning kunne være å fastsette arbeidsavkastningen direkte på grunnlag av lønnsstatistikk i de enkelte bransjer, sett i forhold til den aktives tidsinnsats det enkelte år. Arbeidsavkastningen kunne så framkomme ved å multiplisere arbeidstiden med et beløp pr. tidsenhet. En slik modell vil imidlertid ikke være særlig treffsikker, da den vanskelig vil kunne ta høyde for den enkeltes kvalifikasjoner, yrkeserfaring mv.

En slik modell vil dessuten være svært ressurskrevende for ligningsmyndighetene, bl.a. fordi det vil være nødvendig å kontrollere alle delingspliktige mht. om de har jobbet halv dag, hel dag, hvor mye de jobber overtid, hvor mye ferie de har hatt mv.

En fastsettelse av arbeidsavkastningen direkte vil også medføre problemer i de tilfeller en næringsdrivende utfører forskjellige oppgaver som faller innenfor ulike næringskategorier.

En praktisk virkning av å fastsette arbeidsavkastningen direkte, er at beskatningen vil bli regressiv, dvs. at gjennomsnittsskatten synker når inntekten øker. Dette skyldes at den første inntektsdelen, den beregnede personinntekten, beskattes med høy sats, mens det overskytende blir beskattet med lav sats. Inntekter av den næringsdrivendes overtidsarbeid vil dermed i stor grad bli beskattet som kapitalinntekt. For lønnstakere vil tilsvarende inntekter bli progressivt beskattet. Denne forskjellen gjelder for så vidt også i dag pga. takreglene for ikke-liberale foretak, men vil begrenses dersom takreglene endres i tråd med utvalgets forslag.

På bakgrunn av det ovennevnte vil utvalget ikke anbefale en modell der arbeidsavkastningen fastsettes direkte.

Fotnoter

1

Ot.prp. nr. 19 (1994-95) Evaluering av deler av skattereformen.

2

Se figur 8.1 for en fremstilling av den høyeste marginale satsforskjellen mellom arbeids- og kapitalinntekter fra 1980 til 2002. Satsforskjellen har økt vesentlig i løpet av denne perioden.