4 Kommisjonsforordning (EU) 2019/2019 av 1. oktober 2019 om fastsettelse av krav til miljøvennlig utforming av kjøle-/fryseapparater i henhold til europaparlaments- og rådsdirektiv 2009/125/EF, og om oppheving av kommisjonsforordning (EF) nr. 643/2009
EUROPAKOMMISJONEN HAR
under henvisning til artikkel 114 i traktaten om Den europeiske unions virkemåte,
under henvisning til europaparlaments- og rådsdirektiv 2009/125/EF av 21. oktober 2009 om fastsettelse av en ramme for å fastsette krav til miljøvennlig utforming av energirelaterte produkter1, særlig artikkel 15 nr. 1, og
ut fra følgende betraktninger:
1) I henhold til direktiv 2009/125/EF bør Kommisjonen fastsette krav til miljøvennlig utforming av energirelaterte produkter som representerer betydelige salgs- og handelsvolumer i Unionen, og som har en vesentlig miljøvirkning som gjennom utforming kan reduseres betydelig uten at det medfører urimelige kostnader.
2) Kommisjonsmelding COM(2016) 7732 (arbeidsplan for miljøvennlig utforming), utarbeidet av Kommisjonen i henhold til artikkel 16 nr. 1 i direktiv 2009/125/EF, fastsetter prioriteringene for arbeidet innenfor rammen for miljøvennlig utforming og energimerking for tidsrommet 2016–2019. I arbeidsplanen for miljøvennlig utforming angis de energirelaterte produktgruppene som skal prioriteres ved gjennomføring av forberedende undersøkelser og påfølgende vedtakelse av gjennomføringstiltak samt ved gjennomgåelse av kommisjonsforordning (EF) nr. 643/20093 og delegert kommisjonsforordning (EU) nr. 1060/20104.
3) Tiltakene i arbeidsplanen for miljøvennlig utforming beregnes å kunne gi en årlig oppsummert energisparing på mer enn 260 TWh i 2030, hvilket tilsvarer en reduksjon i klimagassutslippene på ca. 100 millioner tonn per år i 2030. Kjøle-/fryseapparater er en av produktgruppene som er oppført i arbeidsplanen for miljøvennlig utforming, med en estimert årlig oppsummert energisparing på 10 TWh i 2030.
4) Kommisjonen har fastsatt krav til miljøvennlig utforming av kjøle-/fryseapparater til husholdningsbruk i kommisjonsforordning (EF) nr. 643/2009, og i henhold til nevnte forordning bør Kommisjonen jevnlig revidere forordningen i lys av den teknologiske utviklingen.
5) Kommisjonen har revidert forordning (EF) nr. 643/2009 og analysert de tekniske, miljømessige og økonomiske aspektene ved kjøle-/fryseapparater samt den faktiske brukeratferden. Revisjonen ble utført i nært samarbeid med interessenter og berørte parter fra Unionen og tredjeland. Resultatene av revisjonen ble offentliggjort og lagt fram for samrådsforumet nedsatt ved artikkel 18 i direktiv 2009/125/EF.
6) Revisjonen viser fordelene ved videreførte og forbedrede krav som er tilpasset den teknologiske utviklingen av kjøle-/fryseapparater. Den viser særlig at det kan innføres energieffektivitetskrav til vinskap, og at korreksjonsfaktorer kan fjernes eller reduseres betydelig.
7) Det årlige energiforbruket i Unionen for produkter som omfattes av denne forordningen, ble i 2015 beregnet til 86 TWh, tilsvarende et klimagassutslipp på 34 millioner tonn CO2-ekvivalenter. Energiforbruket til kjøle-/fryseapparater i en situasjon der ingen tiltak iverksettes, forventes å bli redusert innen 2030. Denne reduksjonen forventes imidlertid å få en lavere takt med mindre de eksisterende kravene til miljøvennlig utforming oppdateres.
8) Når det gjelder kjøle-/fryseapparatene som omfattes av denne forordningen, er det energiforbruket i bruksfasen, økt energiforbruk over produktets levetid på grunn av utette dørpakninger, dårlige reparasjonsmuligheter og mangelfulle muligheter til å bevare næringsmidlene på en optimal måte, noe som fører til matsvinn som kunne vært unngått, som er identifisert som de vesentlige miljøaspektene for forordningens formål.
9) Kommisjonsmelding til Europaparlamentet, Rådet, Den europeiske økonomiske og sosiale komité og Regionkomiteen COM(2015) 614 final5 (handlingsplan for den sirkulære økonomien) og arbeidsplanen for miljøvennlig utforming understreker viktigheten av å bruke rammen for miljøvennlig utforming til å støtte omstillingen til en mer ressurseffektiv og sirkulær økonomi. Europaparlaments- og rådsdirektiv 2012/19/EU6 viser til direktiv 2009/125/EF og understreker at kravene til miljøvennlig utforming bør gjøre det lettere å ombruke, demontere og gjenvinne avfall fra elektrisk og elektronisk utstyr (WEEE) ved å håndtere problemene i en tidligere fase. Denne forordningen bør derfor fastsette hensiktsmessige krav med hensyn til dette.
10) Kjøle-/fryseapparater til bruk ved direktesalg bør omfattes av krav til miljøvennlig utforming i en egen forordning.
11) Frysebokser, herunder frysebokser til næringsbruk, bør høre inn under denne forordningens virkeområde, ettersom de ikke hører inn under virkeområdet for kommisjonsforordning (EU) 2015/10957 og kan brukes i andre miljøer enn profesjonelle miljøer.
12) Vinskap og støysvake kjøle-/fryseapparater (for eksempel minibarer), herunder apparater med gjennomsiktige dører, brukes ikke ved direktesalg. Vinskap brukes vanligvis enten i husholdninger eller i restauranter, mens minibarer vanligvis brukes i hotellrom. Derfor bør vinskap og minibarer, herunder vinskap og minibarer med gjennomsiktige dører, omfattes av denne forordningen.
13) De relevante produktparametrene bør måles ved hjelp av pålitelige, nøyaktige og reproduserbare metoder. Disse metodene bør bygge på de nyeste allment anerkjente metodene, herunder eventuelle harmoniserte standarder vedtatt av de europeiske standardiseringsorganisasjonene oppført i vedlegg I til europaparlaments- og rådsforordning 1025/20128.
14) I samsvar med artikkel 8 i direktiv 2009/125/EF bør de gjeldende framgangsmåtene for samsvarsvurdering spesifiseres i denne forordningen.
15) For å lette samsvarskontrollen bør produsentene, importørene eller representantene oppgi de opplysningene som er nevnt i vedlegg IV og V til direktiv 2009/125/EF, i den tekniske dokumentasjonen, i den grad opplysningene har relevans for kravene fastsatt i denne forordningen.
16) For markedstilsynsformål bør produsentene, importørene eller representantene kunne vise til produktdatabasen dersom den tekniske dokumentasjonen beskrevet i delegert kommisjonsforordning (EU) 2019/20169 inneholder de samme opplysningene.
17) For å gjøre denne forordningen mer effektiv og for å beskytte forbrukerne bør produkter som automatisk endrer sin ytelse under prøvingsforhold for å forbedre de oppgitte parametrene, forbys.
18) I tillegg til de rettslig bindende kravene fastsatt i denne forordningen bør det i samsvar med del 3 nr. 2 i vedlegg I til direktiv 2009/125/EF angis veiledende referanseverdier for de beste tilgjengelige teknologiene, for å sikre stor utbredelse av og enkel tilgang til opplysninger om miljøprestasjonen gjennom hele livssyklusen til produkter som er omfattet av denne forordningen.
19) Denne forordningen bør revideres med sikte på å vurdere hvor hensiktsmessige og effektive dens bestemmelser er for å nå dens mål. Revisjonen bør foretas etter at det har gått tilstrekkelig tid til å gjennomføre alle bestemmelsene og observere deres innvirkning på markedet.
20) Forordning (EF) nr. 643/2009 bør derfor oppheves.
21) Tiltakene fastsatt i denne forordningen er i samsvar med uttalelse fra komiteen nedsatt ved artikkel 19 nr. 1 i direktiv 2009/125/EF.
VEDTATT DENNE FORORDNINGEN:
Artikkel 1
Formål og virkeområde
1. Denne forordningen fastsetter krav til miljøvennlig utforming av nettdrevne kjøle-/fryseapparater med et samlet volum på mer enn 10 liter og høyst 1 500 liter som skal bringes i omsetning eller tas i bruk.
2. Denne forordningen får ikke anvendelse på
a) kjøle-/fryseskap til næringsbruk og blåsekjølere/-frysere, med unntak av frysebokser til næringsbruk,
b) kjøle-/fryseapparater til bruk ved direktesalg,
c) mobile kjøle-/fryseapparater,
d) apparater der hovedfunksjonen ikke er oppbevaring av næringsmidler ved kjøling.
Artikkel 2
Definisjoner
I denne forordningen menes med
1) «nettforsyning» eller «nett» strømforsyningen fra elektrisitetsnettet med 230 volt (± 10 %) og 50 Hz vekselstrøm,
2) «kjøle-/fryseapparat» et isolert skap med en eller flere temperaturregulerte avdelinger som kjøles ved naturlig eller tvungen konveksjon, der kjølingen oppnås ved hjelp av ett eller flere energiforbrukende midler,
3) «avdeling» et lukket rom i et kjøle-/fryseapparat, atskilt fra andre avdelinger med en skillevegg, en beholder eller lignende, som er direkte tilgjengelig gjennom én eller flere utvendige dører, og som selv kan deles inn i underavdelinger; i denne forordningen menes med avdeling både avdelinger og underavdelinger, med mindre annet er angitt,
4) «utvendig dør» en bevegelig eller avtakbar del av et skap som gjør det mulig å flytte last inn i eller ut av skapet,
5) «underavdeling» et lukket rom i en avdeling som har et annet driftstemperaturområde enn avdelingen det befinner seg i,
6) «samlet volum» (V) volumet av rommet innenfor innerkledningen i kjøle-/fryseapparatet, som er lik summen av volumet av avdelingene, uttrykt i dm3 eller liter,
7) «avdelingsvolum» (Vc) volumet av rommet innenfor innerkledningen i avdelingen, uttrykt i dm3 eller liter,
8) «kjøle-/fryseskap til næringsbruk» et isolert kjøle-/fryseapparat med én eller flere avdelinger som nås via én eller flere dører eller skuffer, som konstant opprettholder temperaturen på næringsmidler innenfor fastsatte grenser for kjøle- eller frysetemperaturer ved hjelp av en dampkompresjonssyklus, og som brukes til oppbevaring av næringsmidler andre steder enn i husholdninger, men ikke for at kunder skal se dem utstilt eller ha tilgang til dem, som definert i forordning (EU) 2015/1095,
9) «blåsekjøler/-fryser» et isolert kjøle-/fryseapparat som hovedsakelig er beregnet på rask kjøling av varme næringsmidler til under 10 °C når det gjelder kjøling, og til under –18 °C når det gjelder frysing, som definert i forordning (EU) 2015/1095,
10) «fryseboks til næringsbruk» en fryser der avdelingen(e) er tilgjengelig(e) fra apparatets overside, eller som har avdelinger som både kan åpnes fra oversiden og forsiden, men der bruttovolumet for avdelingen(e) som kan åpnes fra oversiden, overstiger 75 % av apparatets samlede bruttovolum, og som brukes til oppbevaring av næringsmidler andre steder enn i husholdninger,
11) «fryser» et kjøle-/fryseapparat som bare har avdelinger merket med fire stjerner,
12) «fryseavdeling» en avdeling med en måltemperatur på 0 °C eller lavere, dvs. en avdeling uten stjernemerking eller som er merket med én, to, tre eller fire stjerner, som angitt i i vedlegg III i tabell 3,
13) «avdelingstype» den oppgitte avdelingstypen i samsvar med parametrene for kjøleytelse Tmin, Tmax, Tc og andre angitt i tabell 3 i vedlegg III,
14) «minimumstemperatur» (Tmin) minimumstemperaturen inne i en avdeling under oppbevaringsprøving, som angitt i tabell 3 i vedlegg III,
15) «maksimumstemperatur» (Tmax) maksimumstemperaturen inne i en avdeling under oppbevaringsprøving, som angitt i vedlegg III tabell 3,
16) «måltemperatur» (Tc) referansetemperaturen inne i en avdeling under prøving, som angitt i tabell 3 i vedlegg III, som er temperaturen for prøving av energiforbruk uttrykt som gjennomsnittet over tid og for et sett med følere,
17) «avdeling uten stjernemerking» og «avdeling for framstilling og oppbevaring av is» en fryseavdeling med en måltemperatur og oppbevaringsforhold på 0 °C, som angitt i tabell 3 i vedlegg III,
18) «avdeling merket med én stjerne» en fryseavdeling med en måltemperatur og oppbevaringsforhold på –6 °C, som angitt i tabell 3 i vedlegg III,
19) «avdeling merket med to stjerner» en fryseavdeling med en måltemperatur og oppbevaringsforhold på –12 °C, som angitt i tabell 3 i vedlegg III,
20) «avdeling merket med tre stjerner» en fryseavdeling med en måltemperatur og oppbevaringsforhold på –18 °C, som angitt i tabell 3 i vedlegg III,
21) «innfrysingsavdeling» eller «avdeling merket med fire stjerner» en fryseavdeling med en måltemperatur og oppbevaringsforhold på –18 °C og som oppfyller kravene til innfrysingskapasitet,
22) «innfrysingskapasitet» mengden ferskvarer som kan fryses i en innfrysingsavdeling i løpet av 24 timer; kapasiteten skal ikke være lavere enn 4,5 kg per 24 timer per 100 liter volum i innfrysingsavdelingen, og skal minst være 2,0 kg per 24 t,
23) «kjøle-/fryseapparat til bruk ved direktesalg» et kjøle-/fryseapparat som brukes til utstilling og salg til kunder av varer ved angitte temperaturer som er lavere enn omgivelsestemperaturen, der det er direkte tilgang til varene gjennom åpne sider eller via en eller flere dører eller skuffer eller begge deler, herunder også skap med områder som brukes til oppbevaring eller servering av varer som ikke er tilgjengelige for kundene, unntatt minibarer og vinskap som definert i kommisjonsforordning (EU) 2019/202410,
24) «minibar» et kjøle-/fryseapparat med et samlet volum på høyst 60 liter, som hovedsakelig er beregnet på oppbevaring og salg av næringsmidler i hotellrom og lignende lokaler,
25) «vinskap» et særskilt kjøle-/fryseapparat til lagring av vin, som har presisjonsstyring av temperaturen for å ha samme oppbevaringsforhold og måltemperatur som i en vinlagringsavdeling som definert i tabell 3 i vedlegg III, og som er utstyrt med vibrasjonsdemping,
26) «kjøle-/fryseapparat til ett særskilt formål» et kjøle-/fryseapparat med kun én type avdeling,
27) «vinlagringsavdeling» en kjøleavdeling med en måltemperatur på 12 °C, innvendig luftfuktighet på 50 %–80 % og oppbevaringsforhold på 5 °C–20 °C, som definert i tabell 3 i vedlegg III,
28) «mobilt kjøle-/fryseapparat» et kjøle-/fryseapparat som kan brukes på steder der det ikke er tilgang til strømnettet, og som bruker elektrisk kraft med ekstra lav spenning (< 120 V likestrøm) eller drivstoff eller begge deler som energikilde for kjølefunksjonen, herunder et kjøle-/fryseapparat som i tillegg til å kunne drives med elektrisk kraft med ekstra lav spenning eller drivstoff, eller begge deler, kan drives med nettstrøm; et apparat som bringes i omsetning med en AC/DC-omformer, er ikke et mobilt kjøle-/fryseapparat,
29) «næringsmidler» matvarer, ingredienser, drikker, herunder vin, samt andre produkter som hovedsakelig brukes til konsum, og som krever kjøling ved bestemte temperaturer,
30) «energieffektivitetsindeks» (EEI) et indeksnummer for den relative energieffektiviteten til et kjøleapparat uttrykt i prosent, som angitt i nr. 5 i vedlegg III,
31) «støysvakt kjøle-/fryseapparat» et kjøle-/fryseapparat uten dampkompresjon og med utslipp av luftstøy på under 27 A-vektede desibel og en referanseeffekt på 1 picowatt (dB(A) re 1 pW),
32) «utslipp av luftstøy» lydeffektnivået til et kjøle-/fryseapparat, uttrykt i A-vektede desibel og en referanseeffekt på 1 picowatt (dB(A) re 1 pW),
33) «kombiapparat» et kjøle-/fryseapparat som har mer enn én avdelingstype, der minst én er en kjøleavdeling,
34) «kjøleavdeling» en avdelingstype med en måltemperatur på 4 °C eller høyere, dvs. en spiskammeravdeling, en vinlagringsavdeling, en svalavdeling eller en ferskvareavdeling, med oppbevaringsforhold og måltemperaturer som angitt i tabell 3 i vedlegg III,
35) «spiskammeravdeling» en kjøleavdeling med en måltemperatur på 17 °C og oppbevaringsforhold på 14 °C–20 °C som angitt i tabell 3 i vedlegg III,
36) «svalavdeling» en kjøleavdeling med en måltemperatur på 12 °C og oppbevaringsforhold på 2 °C–14 °C som angitt i tabell 3 i vedlegg III,
37) «ferskvareavdeling» en kjøleavdeling med en måltemperatur på 4 °C og oppbevaringsforhold på 0 °C–8 °C som angitt i tabell 3 i vedlegg III,
38) «omgivelsesstyrt kondenshindrende varmeelement» et kondenshindrende varmeelement der oppvarmingskapasiteten avhenger av enten omgivelsestemperaturen eller omgivelsesluftfuktigheten eller begge deler,
39) «kondenshindrende varmeelement» et varmeelement som motvirker kondensering i kjøleapparatet,
40) «hjelpeenergi» (Eaux) den energien som brukes av et omgivelsesstyrt kondenshindrende varmeelement, uttrykt i kWh/a.
Det er fastsatt ytterligere definisjoner i vedlegg I til bruk i vedleggene.
Artikkel 3
Krav til miljøvennlig utforming
Kravene til miljøvennlig utforming i vedlegg II får anvendelse fra datoene angitt der.
Artikkel 4
Samsvarsvurdering
1. Framgangsmåten for samsvarsvurdering nevnt i artikkel 8 i direktiv 2009/125/EF skal være systemet for intern kontroll av utformingen beskrevet i vedlegg IV til nevnte direktiv eller styringsordningen beskrevet i vedlegg V til direktivet.
2. Med henblikk på samsvarsvurderingen i henhold til artikkel 8 i direktiv 2009/125/EF skal den tekniske dokumentasjonen inneholde en kopi av produktinformasjonen som gis i samsvar med nr. 4 i vedlegg II, samt de nærmere opplysningene om og resultatene av beregningene angitt i vedlegg III til denne forordningen.
3. Dersom informasjonen i den tekniske dokumentasjonen for en bestemt modell er innhentet
a) fra en modell som har de samme tekniske egenskapene som er relevante for den tekniske informasjonen som skal gis, men er framstilt av en annen produsent, eller
b) gjennom beregninger på grunnlag av konstruksjon eller ekstrapolering fra en annen modell fra samme eller en annen produsent, eller begge deler,
skal den tekniske dokumentasjonen inneholde de nærmere opplysningene om disse beregningene, den vurderingen produsenten har gjennomført for å kontrollere at beregningene stemmer, og, dersom det er relevant, erklæringen om at modellene fra ulike produsenter er identiske.
Den tekniske dokumentasjonen skal inneholde en liste over alle tilsvarende modeller, herunder modellbetegnelsene.
4. Den tekniske dokumentasjonen skal inneholde informasjonen i den rekkefølgen og slik som angitt i vedlegg VI til forordning (EU) 2019/2016. For markedstilsynsformål kan produsenter, importører eller deres representanter, uten at det berører nr. 2 bokstav g) i vedlegg IV til direktiv 2009/125/EF, vise til den tekniske dokumentasjonen som er lastet opp til produktdatabasen som inneholder de samme opplysningene som fastsatt i forordning (EU) 2019/2016.
Artikkel 5
Verifiseringsprosedyre ved markedstilsyn
Medlemsstatene skal benytte verifiseringsprosedyren fastsatt i vedlegg IV når de foretar markedstilsyn som nevnt i artikkel 3 nr. 2 i direktiv 2009/125/EF.
Artikkel 6
Omgåelse
Produsenten, importøren eller representanten skal ikke bringe i omsetning produkter som er konstruert for å kunne oppdage at de blir prøvd (f.eks. ved å gjenkjenne prøvingsforholdene eller prøvingssyklusen), og for å reagere spesifikt gjennom automatisk å endre ytelsen under prøvingen for å oppnå et gunstigere nivå på noen av de parametrene som er oppgitt av produsenten, importøren eller representanten i den tekniske dokumentasjonen, eller som er angitt i den dokumentasjonen som stilles til rådighet.
Verken produktets energiforbruk eller noen av de andre oppgitte parametrene skal bli dårligere etter en programvare- eller fastvareoppdatering når de måles ut fra samme prøvingsstandard som opprinnelig ble brukt til samsvarserklæringen, med mindre sluttbrukeren uttrykkelig har samtykket til dette før oppdateringen.
Artikkel 7
Veiledende referanseverdier
Veiledende referanseverdier for de miljømessig beste produktene og den beste teknologien som finnes på markedet når denne forordningen vedtas, er angitt i vedlegg V.
Artikkel 8
Revisjon
Kommisjonen skal revidere denne forordningen i lys av den teknologiske utviklingen og framlegge resultatene av denne revisjonen, eventuelt sammen med et utkast til endringsforslag, for samrådsforumet senest 25. desember 2025.
Revisjonen skal særlig omfatte en vurdering av
a) kravene til energieffektivitetsindeks for støysvake kjøle-/fryseapparater og for vinskap, herunder vinskap med gjennomsiktige dører,
b) om det bør fastsettes krav til energieffektivitetsindeks for støysvake kombiapparater med fryseavdeling(er),
c) behandlingen av frysebokser til næringsbruk,
d) toleransenivåene,
e) om det er hensiktsmessig med et obligatorisk lydsignal når døren har stått åpen for lenge,
f) kompensasjonsfaktorene og modelleringsparametrene,
g) om det bør fastsettes ytterligere krav til ressurseffektivitet for produkter i samsvar med prinsippene i den sirkulære økonomien, herunder om flere reservedeler bør inngå,
h) om det er hensiktsmessig å inkludere andre hjelpeinnretninger eller -funksjoner enn det omgivelsesstyrte kondenshindrende varmeelementet ved bestemmelse av hjelpeenergien,
i) metoden for å ta hensyn til automatisk og intelligent avriming.
Artikkel 9
Oppheving
Kommisjonsforordning (EF) nr. 643/2009 oppheves med virkning fra 1. mars 2021.
Artikkel 10
Ikrafttredelse og anvendelse
Denne forordningen trer i kraft den 20. dagen etter at den er kunngjort i Den europeiske unions tidende.
Den får anvendelse fra 1. mars 2021. Artikkel 6 får imidlertid anvendelse fra 25. desember 2019.
Denne forordningen er bindende i alle deler og kommer direkte til anvendelse i alle medlemsstater.
Utferdiget i Brussel 1. oktober 2019.
For Kommisjonen
Jean-Claude Juncker
President
VEDLEGG I
Definisjoner som gjelder i vedleggene
I vedleggene menes med
1) «gjennomsiktig(e) dør(er)» utvendig(e) dør(er) laget av et gjennomsiktig materiale som gjør at sluttbrukeren kan se gjenstander gjennom den; minst 75 % av skapets innvendige høyde og 75 % av skapets innvendige bredde, målt på skapets front, skal være gjennomsiktig,
2) «hurtigfrysing» en funksjon som sluttbrukeren kan aktivere etter produsentens, importørens eller representantens anvisninger, og som senker oppbevaringstemperaturen i innfrysingsavdelingen(e), slik at innfrysingen av ufryste næringsmidler skjer raskere,
3) «vinterinnstilling» en reguleringsfunksjon for et kombiapparat med én kompressor og én termostat som etter produsentens, importørens eller representantens anvisninger kan brukes i omgivelsestemperaturer under +16 °C, og som består av en omkoplingsinnretning eller -funksjon som garanterer, selv om det ikke kreves for den avdelingen der termostaten er plassert, at kompressoren fortsetter å arbeide for å opprettholde riktig oppbevaringstemperatur i de andre avdelingene,
4) «avdeling for lett bedervelige næringsmidler» en avdeling som kan regulere sin gjennomsnittstemperatur innenfor et bestemt område uten at brukeren justerer innstillingen, med en måltemperatur på 2 °C og oppbevaringsforhold på mellom –3 °C og 3 °C, som angitt i tabell 3 i vedlegg III,
5) «vakuumisolasjonspanel» (VIP – vacuum insulation panel) et isolasjonspanel som består av et fast, høyporøst materiale som er innkapslet i et tynt, gasstett ytre skall som gassene ledes ut fra og som er forseglet for å hindre at gasser utenfra trenger inn i panelet,
6) «seksjon merket med to stjerner» en del av en avdeling merket med tre eller fire stjerner som ikke har egen dør eller eget lokk, med en måltemperatur og oppbevaringsforhold på –12 °C,
7) «dørpakning» en mekanisk tetning som fyller opp rommet mellom døren og skapet i kjøle-/fryseapparatet for å hindre lekkasje fra skapet til luften utenfor,
8) «reservedel» en separat del som kan erstatte en del med samme eller lignende funksjon i et produkt,
9) «profesjonell reparatør» en operatør eller et foretak som yter profesjonelle reparasjons- og vedlikeholdstjenester for kjøle-/fryseapparater,
10) «frittstående apparat» et kjøle-/fryseapparat som ikke er et innbyggingsapparat,
11) «innbyggingsapparat» et kjøle-/fryseapparat som er konstruert, prøvd og markedsført utelukkende for å
a) bli installert i et skap eller omsluttes (over, under og på sidene) av paneler, og
b) bli festet på en sikker måte til sidene av, toppen av eller gulvet i skapet eller til panelene, og
c) bli utstyrt med en integrert fabrikkprodusert framside eller et spesialtilpasset frontpanel,
12) «garanti» enhver forpliktelse som detaljisten, produsenten, importøren eller representanten har påtatt seg overfor forbrukeren til å
a) tilbakebetale kjøpesummen, eller
b) omlevere, reparere eller på annen måte håndtere kjøle-/fryseapparatet dersom det ikke svarer til de spesifikasjonene som framgår av garantierklæringen eller av den relevante reklamen,
13) «klimaklasse» det omgivelsestemperaturområdet angitt i nr. 1 bokstav i) i vedlegg III som kjøle-/fryseapparatene er beregnet på bruk innenfor, og der kravene til oppbevaringstemperaturer angitt i tabell 3 i vedlegg III er oppfylt samtidig i alle avdelinger,
14) «produktdatabase» en systematisk ordnet samling av data om produkter, som omfatter en forbrukerrettet del der opplysninger om parametrer for de enkelte produktene er tilgjengelige elektronisk, en nettportal som gjør databasen lett tilgjengelig, og en samsvarsdel med klart angitte krav til tilgjengelighet og sikkerhet, som fastsatt i europaparlaments- og rådsforordning (EU) 2017/136911,
15) «årlig energiforbruk» (AE) det gjennomsnittlige daglige energiforbruket multiplisert med 365 (dager per år) uttrykt i kilowattimer per år (kWh/a), beregnet i samsvar med nr. 3 i vedlegg III,
16) «daglig energiforbruk» (Edaily) den elektriske kraften som et kjøle-/fryseapparat bruker på 24 timer under referanseforhold uttrykt i kilowattimer per døgn (kWh/24h), beregnet i samsvar med nr. 3 i vedlegg III,
17) «dispenser» en innretning som på anmodning leverer kjølte eller fryste artikler fra et kjøle-/fryseapparat, for eksempel en isbitdispenser eller en kaldtvannsdispenser,
18) «avdeling med variabel temperatur» en avdeling beregnet på bruk som to (eller flere) alternative avdelingstyper (for eksempel en avdeling som enten kan være en ferskvareavdeling eller en innfrysingsavdeling), der temperaturen kan stilles inn av brukeren til konstant å opprettholde det driftstemperaturområdet som gjelder for hver angitte avdelingstype. En avdeling som er beregnet på bruk som en enkelt avdelingstype, og som også kan oppfylle oppbevaringskravene til andre avdelingstyper (for eksempel en avdeling for lett bedervelige næringsmidler som også kan oppfylle kravene til en avdeling uten stjernemerking), er ikke en avdeling med variabel temperatur,
19) «nettverk» en kommunikasjonsinfrastruktur med en lenketopologi og en arkitektur som omfatter fysiske komponenter, organisatoriske prinsipper og kommunikasjonsprosedyrer og -formater (protokoller),
20) «effektforbruk i stasjonær tilstand» (Pss) det gjennomsnittlige effektforbruket i stasjonær driftstilstand, uttrykt i watt (W),
21) «ekstra energiforbruk ved avriming og gjenoppretting» (ΔΕd-f) det ekstra gjennomsnittlige energiforbruket ved en avrimings- og gjenopprettingsoperasjon, uttrykt i wattimer (Wh),
22) «automatisk avriming» en funksjon som ved alle temperaturinnstillinger avrimer avdelinger uten at brukeren må gripe inn for å sette i gang fjerning av rim og is som har dannet seg, eller for å gjenopprette normal drift, og der vannet som dannes ved avrimingen, fjernes automatisk,
23) «avrimingsintervall» (td-f) det representative gjennomsnittlige intervallet, uttrykt i timer (h), mellom aktiveringen av avrimingsvarmeelementet i to etterfølgende avrimings- og gjenopprettingssykluser eller, dersom det ikke finnes noe avrimingsvarmeelement, mellom deaktiveringen av kompressoren i to etterfølgende avrimings- og gjenopprettingssykluser,
24) «avrimings- og gjenopprettingsperiode» perioden fra en avrimingssyklus aktiveres til stabil driftstilstand er gjenopprettet,
25) «avrimingstype» metoden som brukes til å fjerne rim og is som har dannet seg på fordamperen/fordamperne i et kjøle-/fryseapparat, dvs. automatisk eller manuell avriming,
26) «manuell avriming» at det mangler en funksjon for automatisk avriming,
27) «lastfaktor» (L) en faktor som tar hensyn til den ekstra kjølelasten (utover det som allerede er forventet gjennom den høyere gjennomsnittlige omgivelsestemperaturen ved prøving) som oppstår når varme næringsmidler legges inn, med verdiene angitt i nr. 3 bokstav a) i vedlegg III,
28) «årlig standardenergiforbruk» (SAE) det årlige referanseenergiforbruket for et kjøle-/fryseapparat uttrykt i kilowattimer per år (kWh/a), beregnet i samsvar med nr. 4 i vedlegg III,
29) «kombiparameter» (C) en modelleringsparameter som tar hensyn til synergivirkningen som oppstår når forskjellige avdelingstyper kombineres i ett apparat, med verdiene angitt i tabell 4 i vedlegg III,
30) «dørens varmetapsfaktor» (D) en kompensasjonsfaktor for kombiapparater som fastsettes ut fra antall avdelinger med forskjellige temperaturer eller antall utvendige dører, etter hva som er lavest, som angitt i tabell 5 i vedlegg III. Når det gjelder denne faktoren, viser «avdeling» ikke til underavdeling,
31) «avrimingsfaktor» (Ac) en kompensasjonsfaktor som tar hensyn til om kjøle-/fryseapparatet har automatisk eller manuell avriming, med verdiene angitt i tabell 5 i vedlegg III,
32) «innbyggingsfaktor» (Bc) en kompensasjonsfaktor som tar hensyn til om kjøle-/fryseapparatet er et innbyggingsapparat eller frittstående, med verdiene angitt i tabell 5 i vedlegg III,
33) «Mc» og «Nc» modelleringsparametrer som tar hensyn til at energiforbruket avhenger av volumet, med verdiene angitt i tabell 4 i vedlegg III,
34) «termodynamisk parameter» (rc) en modelleringsparameter som korrigerer det årlige standardenergiforbruket til en omgivelsestemperatur på 24 °C, med verdiene angitt i tabell 4 i vedlegg III,
35) «tilsvarende modell» en modell som har de samme tekniske egenskapene som er relevante for den tekniske informasjonen som skal gis, men som skal bringes i omsetning eller tas i bruk av samme produsent, importør eller representant som en annen modell med en annen modellbetegnelse,
36) «modellbetegnelse» den koden, vanligvis alfanumerisk, som skiller en bestemt modell av et produkt fra andre modeller med samme varemerke eller samme leverandørnavn,
37) «kjøle- og fryseskap» et kombiapparat som har minst én innfrysingsavdeling og minst én ferskvareavdeling.
VEDLEGG II
Krav til miljøvennlig utforming
1. Krav til energieffektivitet
a) Fra 1. mars 2021 skal energieffektivitetsindeksen (EEI) for kjøle-/fryseapparater ikke være høyere enn verdiene angitt i tabell 1.
Tabell 1
Høyeste EEI for kjøle-/fryseapparater, uttrykt i %
EEI | |
|---|---|
Støysvake kjøle-/fryseapparater med kun ferskvareavdeling(er) | 375 |
Støysvake kjøle-/fryseapparater med gjennomsiktige dører | 380 |
Andre støysvake kjøle-/fryseapparater, unntatt støysvake kombiapparater med fryseavdeling | 300 |
Vinskap med gjennomsiktige dører | 190 |
Andre vinskap | 155 |
Alle andre kjøle-/fryseapparater, unntatt støysvake kombiapparater med fryseavdeling | 125 |
b) Fra 1. mars 2024 skal EEI for kjøle-/fryseapparater ikke være høyere enn verdiene angitt i tabell 2.
Tabell 2
Høyeste EEI for kjøle-/fryseapparater, uttrykt i %
EEI | |
|---|---|
Støysvake kjøle-/fryseapparater med kun ferskvareavdeling(er) | 312 |
Støysvake kjøle-/fryseapparater med gjennomsiktig(e) dør(er) | 300 |
Andre støysvake kjøle-/fryseapparater, unntatt støysvake kombiapparater med fryseavdeling | 250 |
Vinskap med gjennomsiktig(e) dør(er) | 172 |
Andre vinskap | 140 |
Alle andre kjøle-/fryseapparater, unntatt støysvake kombiapparater med fryseavdeling | 100 |
2. Funksjonskrav
Fra 1. mars 2021 skal kjøle-/fryseapparater oppfylle følgende krav:
a) Enhver hurtigfrysfunksjon, eller enhver lignende funksjon som aktiveres ved å endre temperaturinnstillingen for innfrysingsavdelinger, skal, når de aktiveres av sluttbrukeren i henhold til produsentens, importørens eller representantens anvisninger, automatisk gå tilbake til forutgående normale oppbevaringsforhold etter høyst 72 timer.
b) Vinterinnstillingene skal aktiveres eller deaktiveres automatisk i samsvar med behovet for å holde fryseavdelingen(e) på riktig temperatur.
c) Hver avdeling skal være merket med det riktige identifikasjonssymbolet. For fryseavdelingene skal dette angis med antall stjerner. For avdelingene for lett bedervelige næringsmidler og kjøleavdelingene skal dette være en angivelse som produsenten, importøren eller representanten har valgt for den typen næringsmidler som bør oppbevares i avdelingen.
d) Dersom kjøle-/fryseapparatet inneholder vakuumisolasjonspaneler, skal det klart synlig og leselig merkes med bokstavene «VIP».
e) Når det gjelder underavdelinger eller seksjoner merket med to stjerner, gjelder følgende:
En underavdeling eller en seksjon merket med to stjerner er atskilt fra volumet med tre eller fire stjerner med en skillevegg, en beholder eller lignende.
Volumet i underavdelingen eller seksjonen med to stjerner overstiger ikke 20 % av avdelingens samlede volum.
f) For avdelinger merket med fire stjerner skal den spesifikke innfrysingskapasiteten være slik at innfrysingstiden som kreves for å bringe temperaturen på lett last (3,5 kg/100 l) fra +25 til –18 °C ved en omgivelsestemperatur på 25 °C, er høyst 18,5 t.
Fram til 1. mars 2024 skal kravene fastsatt i nr. 2 bokstav a) og b) ikke gjelde for kombiapparater med én elektromekanisk termostat og én kompressor som ikke er utstyrt med et elektronisk kontrollpanel.
3. Krav til ressurseffektivitet
Fra 1. mars 2021 skal kjøle-/fryseapparater oppfylle følgende krav:
a) Tilgang til reservedeler
1) Produsenter eller importører av kjøle-/fryseapparater eller deres representanter skal gjøre tilgjengelig for profesjonelle reparatører minst følgende reservedeler: termostater, temperaturfølere, kretskort og lyskilder i minst sju år etter at den siste enheten av modellen er brakt i omsetning.
2) Produsenter eller importører av kjøle-/fryseapparater eller deres representanter skal gjøre tilgjengelig for profesjonelle reparatører og sluttbrukere minst følgende reservedeler: dørhåndtak, dørhengsler, brett og kurver i minst sju år og dørpakninger i minst ti år etter at den siste enheten av modellen er brakt i omsetning.
3) Produsentene skal sikre at disse reservedelene kan skiftes ved hjelp av allment tilgjengelig verktøy uten å forårsake permanent skade på apparatet.
4) Listen over reservedeler nevnt i nr. 1 og framgangsmåten for å bestille dem skal være offentlig tilgjengelig på produsentens, importørens eller representantens fritt tilgjengelige nettsted senest to år etter at den første enheten av en modell er brakt i omsetning, og til utgangen av den perioden da disse reservedelene skal være tilgjengelige.
5) Listen over reservedeler nevnt i nr. 2 og framgangsmåten for å bestille dem samt reparasjonsanvisningene skal være offentlig tilgjengelig på produsentens, importørens eller representantens fritt tilgjengelige nettsted når den første enheten av en modell bringes i omsetning, og til utgangen av den perioden da disse reservedelene skal være tilgjengelige.
b) Tilgang til opplysninger om reparasjon og vedlikehold
To år etter at den første enheten av en modell eller av en tilsvarende modell er brakt i omsetning, og fram til utgangen av perioden nevnt i bokstav a), skal produsenten, importøren eller representanten gi profesjonelle reparatører tilgang til opplysninger om reparasjon og vedlikehold av apparatet på følgende vilkår:
1) Produsentens, importørens eller representantens nettsted skal angi hvordan profesjonelle reparatører skal registrere seg for å få tilgang til opplysninger. For å godta en anmodning om registrering kan produsentene, importørene eller representantene kreve at den profesjonelle reparatøren kan godtgjøre at
i) den profesjonelle reparatøren har den tekniske kompetansen til å reparere kjøle-/fryseapparater og oppfyller de gjeldende reglene for reparatører av elektrisk utstyr i de medlemsstatene der reparatøren driver virksomhet; en henvisning til et offisielt registreringssystem for profesjonelle reparatører, dersom det finnes et slikt system i de berørte medlemsstatene, skal godtas som bevis på samsvar med dette punktet,
ii) den profesjonelle reparatøren har en forsikring som dekker ansvar som kan oppstå i reparatørens virksomhet, uansett om dette kreves i medlemsstaten.
2) Produsentene, importørene eller representantene skal godta eller avslå registrering innen fem virkedager regnet fra den datoen da den profesjonelle reparatøren anmodet om det.
3) Produsentene, importørene eller representantene kan pålegge rimelige og forholdsmessige gebyrer for tilgang til opplysninger om reparasjon og vedlikehold eller for regelmessige oppdateringer. Et gebyr er rimelig dersom det ikke hindrer slik tilgang, ved at det tar hensyn til i hvilken grad den profesjonelle reparatøren bruker opplysningene.
Når en profesjonell reparatør er registrert, skal vedkommende ha tilgang til opplysningene om reparasjon og vedlikehold innen én virkedag etter å ha anmodet om dem. Tilgjengelige opplysninger om reparasjon og vedlikehold skal omfatte
entydig identifisering av apparatet,
et demonteringsskjema eller en tegning i uttrekksperspektiv,
en liste over nødvendig reparasjons- og prøvingsutstyr,
komponent- og diagnostiseringsopplysninger (for eksempel laveste og høyeste teoretiske verdier for målinger),
kablings- og koplingsskjemaer,
diagnostiske feilkoder (herunder produsentspesifikke koder i relevante tilfeller), og
registrerte data for rapporterte feilhendelser som er lagret i kjøle-/fryseapparatet (dersom det er relevant).
c) Maksimal leveringstid for reservedeler
1) I perioden nevnt i nr. 3 bokstav a) punkt 1) og i nr. 3 bokstav a) punkt 2) skal produsenten, importøren eller representantene sikre at reservedeler til kjøle-/fryseapparater leveres innen 15 virkedager etter mottak av bestillingen.
2) Når det gjelder reservedeler som bare er tilgjengelige for profesjonelle reparatører, kan denne tilgjengeligheten være begrenset til profesjonelle reparatører som er registrert i samsvar med bokstav b).
d) Krav til demontering med henblikk på materialutnytting og materialgjenvinning, samtidig som forurensning unngås
1) Produsentene, importørene eller representantene skal sikre at kjøle-/fryseapparatene er konstruert slik at materialene og komponentene nevnt i vedlegg VII til direktiv 2012/19/EU kan fjernes ved hjelp av allment tilgjengelige verktøy.
2) Produsentene, importørene eller representantene skal oppfylle forpliktelsene i artikkel 15 nr. 1 i direktiv 2012/19/EU.
4. Krav til informasjon
Fra 1. mars 2021 skal bruksanvisningene for installatører og sluttbrukere, og fritt tilgjengelige nettsteder som tilhører produsentene, importørene eller representantene, inneholde følgende informasjon:
a) Hvilken kombinasjon av skuffer, kurver og hyller som gir mest energieffektiv utnyttelse av kjøle-/fryseapparatet.
b) Klar veiledning om hvor og hvordan næringsmidler skal oppbevares i et kjøle-/fryseapparat for best mulig bevaring over lengst mulig tid for å unngå matsvinn.
c) Anbefalt innstilling av temperaturer i hver avdeling med sikte på optimal bevaring av næringsmidler. Disse innstillingene skal ikke være i strid med oppbevaringsforholdene fastsatt i tabell 3 i vedlegg III.
d) En estimering av hvordan temperaturinnstillingene påvirker matsvinnet.
e) En beskrivelse av virkningene av bestemte tilstander og funksjoner, særlig hvordan temperaturene påvirkes i hver avdeling og hvor lenge,
f) Når det gjelder vinskap: «Dette apparatet skal utelukkende brukes til lagring av vin». Dette gjelder ikke for kjøle-/fryseapparater som ikke er spesialkonstruert for vinlagring, men som kan brukes til dette formålet, eller for kjøle-/fryseapparater som har en vinlagringsavdeling som er kombinert med en annen avdelingstype.
g) Anvisninger for korrekt installasjon og sluttbrukerens vedlikehold, herunder rengjøring, av kjøle-/fryseapparatet.
h) Når det gjelder frittstående apparater: «Dette kjøle-/fryseapparatet er ikke beregnet på bruk som innbyggingsapparat».
i) Når det gjelder apparater uten avdeling merket med fire stjerner: «Dette kjøle-/fryseapparatet er ikke egnet til innfrysing av næringsmidler.»
j) Opplysninger om tilgang til profesjonell reparasjon, for eksempel nettsteder, adresser, kontaktopplysninger.
k) Relevante opplysninger om bestilling av reservedeler, direkte eller gjennom andre kanaler som tilbys av produsenten, importøren eller representanten.
l) Det tidsrommet reservedeler som er nødvendige for reparasjon av apparatet, som et minimum er tilgjengelige.
m) Korteste garantitid som produsenten, importøren eller representanten gir for kjøle-/fryseapparatet.
n) Når det gjelder kjøle-/fryseapparater med klimaklasse:
Utvidet temperert: «Dette kjøle-/fryseapparatet er beregnet for bruk i omgivelsestemperaturer på mellom 10 °C og 32 °C».
Temperert: «Dette kjøle-/fryseapparatet er beregnet for bruk i omgivelsestemperaturer på mellom 16 °C og 32 °C».
Subtropisk «Dette kjøle-/fryseapparatet er beregnet for bruk i omgivelsestemperaturer på mellom 16 °C og 38 °C».
Tropisk «Dette kjøle-/fryseapparatet er beregnet for bruk i omgivelsestemperaturer på mellom 16 °C og 43 °C».
o) Anvisninger om hvordan modellopplysningene i produktdatabasen skal finnes, jf. forordning (EU) 2019/2016, ved hjelp av en lenke til et nettsted med de modellopplysningene som er lagret i produktdatabasen, eller en lenke til produktdatabasen og opplysninger om hvordan modellbetegnelsen for produktet skal finnes.
VEDLEGG III
Måle- og beregningsmetoder
Med henblikk på samsvar og kontroll med at kravene i denne forordningen er oppfylt, skal målinger og beregninger utføres ved bruk av harmoniserte standarder, eller ved bruk av andre pålitelige, nøyaktige og reproduserbare metoder som bygger på de nyeste allment anerkjente metodene, og som er i samsvar med bestemmelsene angitt nedenfor. Referansenumrene for disse harmoniserte standardene er offentliggjort for dette formålet i Den europeiske unions tidende:
1. Alminnelige vilkår for prøving
a) Når det gjelder kjøle-/fryseapparater med kondenshindrende varmeelementer som sluttbrukeren kan slå på og av, skal de kondenshindrende varmeelementene være slått på og, dersom de kan justeres, satt på høyeste oppvarming, og de skal regnes med i det årlige energiforbruket (AE) som daglig energiforbruk (Edaily).
b) Når det gjelder kjøle-/fryseapparater med omgivelsesstyrte kondenshindrende varmeelementer, skal de omgivelsesstyrte kondenshindrende varmeelementene om mulig være avslått eller på annen måte deaktivert når energiforbruket måles.
c) Når det gjelder kjøle-/fryseapparater med dispensere som sluttbrukeren kan slå på og av, skal dispenserne være slått på under prøvingen av energiforbruket, men de skal ikke være i bruk.
d) Ved måling av energiforbruket skal avdelinger med variabel temperatur brukes ved den laveste temperaturen som sluttbrukeren kan stille inn for konstant opprettholdelse av temperaturområdet, som angitt i tabell 3, for den avdelingstypen som har lavest temperatur.
e) Når det gjelder kjøle-/fryseapparater som kan koples til et nettverk, skal kommunikasjonsmodulen være aktivert, men det er ikke nødvendig å ha en bestemt type kommunikasjon og/eller datautveksling under prøvingen av energiforbruket. Under prøvingen av energiforbruket skal det sikres at enheten er koplet til et nettverk.
f) Når det gjelder ytelsen til avdelinger for lett bedervelige næringsmidler:
1) For en avdeling med variabel temperatur som er klassifisert som en ferskvareavdeling og/eller en avdeling for lett bedervelige næringsmidler, skal energieffektivitetsindeksen (EEI) fastsettes for hver temperaturtilstand, og den høyeste verdien skal brukes.
2) En avdeling for lett bedervelige næringsmidler skal kunne regulere sin gjennomsnittstemperatur innenfor et bestemt område uten at brukeren justerer innstillingen. Dette kan verifiseres under prøvingene av energiforbruket ved en omgivelsestemperatur på 16 °C og 32 °C.
g) Når det gjelder avdelinger med regulerbart volum der sluttbrukeren kan justere volumene i to avdelinger i forhold til hverandre, skal energiforbruket og volumet prøves når volumet i avdelingen med den høyeste måltemperaturen er justert til sitt minste volum.
h) Den spesifikke innfrysingskapasiteten beregnes som 12 ganger vekten av en lett last dividert med den innfrysingstiden som kreves for å bringe temperaturen på lett last fra +25 til –18 °C ved en omgivelsestemperatur på 25 °C, uttrykt i kg/12 h og avrundet til én desimal. Vekten av en lett last er 3,5 kg per 100 liter av volumet i fryseavdelingene, og skal være minst 2,0 kg.
i) Med hensyn til fastsettelsen av klimaklassene (akronym for omgivelsestemperaturområdene) SN, N, ST eller T, gjelder følgende:
1) Utvidet temperert (SN) har et temperaturområde fra 10 °C til 32 °C.
2) Temperert (N) har et temperaturområde fra 16 °C til 32 °C.
3) Subtropisk (ST) har et temperaturområde fra 16 °C til 38 °C.
4) Tropisk (T) har et temperaturområde fra 16 °C til 43 °C.
2. Oppbevaringsforhold og måltemperaturer per avdelingstype
Tabell 3 angir oppbevaringsforhold og måltemperatur per avdelingstype.
3. Fastsettelse av AE
a) For alle kjøle-/fryseapparater, unntatt støysvake kjøle-/fryseapparater:
Energiforbruket skal fastsettes ved prøving ved en omgivelsestemperatur på 16 °C og 32 °C.
Ved bestemmelsen av energiforbruket skal de gjennomsnittlige lufttemperaturene i hver avdeling være lik eller lavere enn måltemperaturene angitt i tabell 3 for hver avdelingstype som angis av produsenten, importøren eller representanten. Verdier over og under måltemperaturene kan eventuelt brukes til å beregne energiforbruket ved måltemperaturen for hver relevante avdeling ved hjelp av interpolering.
De viktigste delene av energiforbruket som skal fastsettes, er følgende:
Et sett med verdier for effektforbruk i stasjonær tilstand (Pss) uttrykt i W og avrundet til én desimal, hver ved en bestemt omgivelsestemperatur og ved et sett med avdelingstemperaturer som ikke nødvendigvis er måltemperaturene.
Det representative ekstra energiforbruket ved avriming og gjenoppretting (ΔΕd-f), uttrykt i Wh og avrundet til én desimal, for produkter med ett eller flere systemer for automatisk avriming (hver med sin egen avrimingssyklus) målt ved en omgivelsestemperatur på 16 °C (ΔΕd-f16) og 32 °C (ΔΕd-f32).
Avrimingsintervallet (td-f), uttrykt i h og avrundet til tre desimaler, for produkter med ett eller flere avrimingssystemer (hver med sin egen avrimingssyklus) målt ved en omgivelsestemperatur på 16 °C (td-f16) og 32 °C (td-f32); td-f skal fastsettes for hvert system under en bestemt rekke forhold.
For hver prøving som utføres, legges Pss og ΔΕd-f sammen til et daglig energiforbruk ved en bestemt omgivelsestemperatur ET = 0,001 × 24 × (Pss + ΔΕd-f/td-f), uttrykt i kWh/24h, for hver innstilling som er brukt.
Eaux, uttrykt i kWh/a, avrundet til tre desimaler. Eaux er begrenset til det omgivelsesstyrte kondenshindrende varmeelementet og fastsettes ut fra varmeelementets effektforbruk ved en rekke omgivelsestemperatur- og luftfuktighetsforhold, multiplisert med sannsynligheten for at denne omgivelsestemperaturen og luftfuktigheten oppstår, og verdiene legges deretter sammen; dette resultatet multipliseres deretter med en tapsfaktor for å ta hensyn til varme som lekker inn i avdelingen og deretter fjernes gjennom kjølesystemet.
Tabell 3
Oppbevaringsforhold og måltemperatur per avdelingstype
Gruppe
Avdelingstype
Merknad
Oppbevaringsforhold
Tc
Tmin
Tmax
Navn
Navn
Nummer
°C
°C
°C
Kjøleavdelinger
Spiskammer
(1)
+14
+17
+20
Vinlagring
(2) (6)
+5
+12
+20
Sval
(1)
+2
+12
+14
Ferskvarer
(1)
0
+4
+8
Avdeling for lett bedervelige næringsmidler
Lett bedervelige næringsmidler
(3)
–3
+3
+2
Fryseavdelinger
Uten stjernemerking / for framstilling og oppbevaring av is
(4)
i.r.
0
0
En stjerne
(4)
i.r.
–6
–6
To stjerner
(4) (5)
i.r.
–12
–12
Tre stjerner
(4) (5)
i.r.
–18
–18
Fryser (fire stjerner)
(4) (5)
i.r.
–18
–18
Merknader:
(1) Tmin og Tmax er gjennomsnittsverdiene målt i løpet av prøvingsperioden (gjennomsnitt over tid og for et sett følere).
(2) Gjennomsnittlig temperaturvariasjon i løpet av prøvingsperioden for hver føler skal ikke være mer enn ± 0,5 kelvin (K). I en avrimings- og gjenopprettingsperiode skal gjennomsnittet for alle følere ikke stige mer enn 1,5 K over gjennomsnittsverdien for avdelingen.
(3) Tmin og Tmax er momentanverdiene i løpet av prøvingsperioden.
(4) Tmax er den høyeste verdien målt i løpet av prøvingsperioden (høyeste over tid og for et sett følere).
(5) Dersom avdelingen har automatisk avriming, skal temperaturen (definert som den høyeste for alle følere) ikke stige mer enn 3,0 K i løpet av en avrimings- og gjenopprettingsperiode.
(6) Tmin og Tmax er gjennomsnittsverdiene målt i løpet av prøvingsperioden (gjennomsnitt over tid for hver føler), og definerer det høyeste tillatte driftstemperaturområdet.
i.r. = ikke relevant.
Hver av disse parametrene skal fastsettes ved en separat prøving eller et sett med prøvinger. Gjennomsnittet for måledataene beregnes over en prøvingsperiode som finner sted etter at apparatet har vært i bruk i en viss tid. For å gjøre prøvingen mer effektiv og nøyaktig skal prøvingsperiodens lengde ikke være fast, men den skal være tilstrekkelig til at apparatet er i stasjonær tilstand i denne prøvingsperioden. Dette valideres ved å undersøke alle data innenfor denne prøvingsperioden mot et sett stabilitetskriterier og kontrollere om nok data kunne samles inn i denne stasjonære tilstanden.
AE, uttrykt i kWh/a og avrundet til to desimaler, skal beregnes slik:
AE = 365 × Edaily/L+ Eaux
der
– lastfaktoren L = 0,9 for kjøle-/fryseapparater med bare fryseavdelinger, og L = 1,0 for alle andre apparater, og
– der Edaily, uttrykt i kWh/24h og avrundet til tre desimaler, beregnes ut fra ET ved en omgivelsestemperatur på 16 °C (E16) og en omgivelsestemperatur på 32 °C (E32) slik:
Edaily = 0,5 × (E16 + E32)
der E16 og E32 utledes ved interpolering av energiprøvingen ved måltemperaturene angitt i tabell 3.
b) For støysvake kjøle-/fryseapparater:
Energiforbruket skal fastsettes som i nr. 3 bokstav a), men ved en omgivelsestemperatur på 25 °C i stedet for 16 °C og 32 °C.
Edaily, uttrykt i kWh/24h og avrundet til tre desimaler ved beregning av AE, beregnes slik:
Edaily = E25
der E25 er ET ved en omgivelsestemperatur på 25 °C og utledes ved interpolering av energiprøvingene ved måltemperaturene i tabell 3.
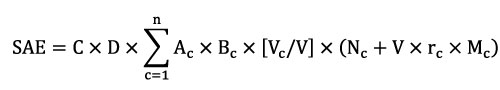
4. Bestemmelse av årlig standardenergiforbruk (SAE)
a) For alle kjøle-/fryseapparater:
SAE, uttrykt i kWh/a og avrundet til to desimaler, beregnes slik:

der
c er indeksnummeret for en avdelingstype fra 1 til n, der n er det samlede antall avdelingstyper,
Vc, uttrykt i dm3 eller liter og avrundet til én desimal, er avdelingsvolumet,
V, uttrykt i dm3 eller liter og avrundet til nærmeste heltall, er samlet volum der
rc , Nc , Mc og C er modelleringsparametrer som er spesifikke for hver avdeling, med verdier som angitt i tabell 4. og
Ac , Bc og D er kompensasjonsfaktorene med verdier som angitt i tabell 5.
Når beregningene ovenfor utføres for avdelinger med variabel temperatur, velges den avdelingstypen som er oppgitt å være egnet for den laveste måltemperaturen.
b) Modelleringsparametrer per avdelingstype ved beregning av SAE:
Modelleringsparametrene er angitt i tabell 4.
Tabell 4
Verdiene for modelleringsparametrene per avdelingstype
Avdelingstype
rc(a)
Nc
Mc
C
Spiskammer
0,35
75
0,12
mellom 1,15 og 1,56 for kombiapparater med avdelinger merket med tre eller fire stjerner(b), 1,15 for andre kombiapparater, 1,00 for andre kjøle-/fryseapparater
Vinlagring
0,60
Sval
0,60
Ferskvarer
1,00
Lett bedervelige næringsmidler
1,10
138
0,12
Uten stjernemerking / for framstilling og oppbevaring av is
1,20
138
0,15
En stjerne
1,50
To stjerner
1,80
Tre stjerner
2,10
Fryser (fire stjerner)
2,10
(a) rc = (Ta–Tc)/20, der Ta = 24 °C og Tc har verdier som angitt i tabell 3.
(b) C for kombiapparater med avdelinger merket med tre eller fire stjerner fastsettes på følgende måte,
der frzf er volumet av avdelingen merket med tre eller fire stjerner (Vfr) som en brøkdel av V (frzf = Vfr/V):
– dersom frzf ≤ 0,3, er C = 1,3 + 0,87 × frzf,
– eller dersom 0,3 < frzf < 0,7 er C = 1,87 – 1,0275 × frzf,
– ellers er C = 1,15.
c) Kompensasjonsfaktorer per avdelingstype ved beregning av SAE:
Kompensasjonsfaktorene er angitt i tabell 5.
Tabell 5
Verdiene for kompensasjonsfaktorene per avdelingstype
Avdelingstype
Ac
Bc
D
Manuell avriming
Automatisk avriming
Frittstående apparat
Innbyggingsapparat
≤ 2(a)
3(a)
4(a)
> 4(a)
Spiskammer
1,00
1,00
1,02
1,00
1,02
1,035
1,05
Vinlagring
Sval
Ferskvarer
Lett bedervelige næringsmidler
1,03
Uten stjernemerking / for framstilling og oppbevaring av is
1,00
1,10
1,05
En stjerne
To stjerner
Tre stjerner
Fryser (fire stjerner)
(a) Antall utvendige dører eller avdelinger, alt etter hva som er lavest.
5. Fastsettelse av EEI
EEI, uttrykt i % og avrundet til én desimal, beregnes slik:
EEI = AE/SAE.
VEDLEGG IV
Verifiseringsprosedyre ved markedstilsyn
Verifiseringstoleransene som angis i dette vedlegget, gjelder bare for medlemsstatenes myndigheters verifisering av de målte parametrene, og de skal ikke brukes av produsenten, importøren eller representanten som en tillatt toleranse ved fastsettelse av verdiene i den tekniske dokumentasjonen eller til tolking av disse verdiene med sikte på å oppnå samsvar, eller for på noe vis å gi inntrykk av bedre ytelse.
Dersom en modell er konstruert for å kunne oppdage at den blir prøvd (f.eks. ved å gjenkjenne prøvingsforholdene eller prøvingssyklusen), og for å reagere spesifikt gjennom automatisk å endre ytelsen under prøvingen for å oppnå et gunstigere nivå på noen av de parametrene som er angitt i denne forordningen, i den tekniske dokumentasjonen eller i den dokumentasjonen som stilles til rådighet, skal modellen og alle tilsvarende modeller anses for ikke å oppfylle kravene.
Når medlemsstatenes myndigheter i henhold til artikkel 3 nr. 2 i direktiv 2009/125/EF verifiserer en produktmodells samsvar med kravene fastsatt i denne forordningen, skal de benytte følgende prosedyre for kravene nevnt i vedlegg II:
1. Medlemsstatenes myndigheter skal verifisere én enhet av modellen.
2. Modellen skal anses for å oppfylle gjeldende krav dersom
a) verdiene som er oppgitt i den tekniske dokumentasjonen i henhold til nr. 2 i vedlegg IV til direktiv 2009/125/EF (oppgitte verdier), og, dersom det er relevant, de verdiene som er brukt for å beregne dem, ikke er gunstigere for produsenten, importøren eller representanten enn resultatene av tilsvarende målinger utført i henhold til bokstav g) i nevnte nummer, og
b) de oppgitte verdiene oppfyller alle krav fastsatt i denne forordningen, og de påkrevde produktopplysningene som offentliggjøres av produsenten, importøren eller representanten, ikke inneholder verdier som er gunstigere for produsenten, importøren eller representanten enn de oppgitte verdiene, og
c) medlemsstatenes myndigheter under kontrollen av modellenheten kontrollerer at produsenten, importøren eller representanten har innført et system som oppfyller kravene i artikkel 6 andre ledd, og
d) modellenheten oppfyller funksjonskravene i nr. 2 bokstav a)–f) i vedlegg II og kravene til ressurseffektivitet i nr. 3 i vedlegg II når medlemsstatenes myndigheter kontrollerer den, og
e) verdiene som påvises når medlemsstatenes myndigheter prøver modellenheten (verdiene for de relevante parametrene slik de er målt ved prøvingen, og de verdiene som er beregnet ut fra disse målingene), er i samsvar med de respektive verifiseringstoleransene i tabell 6.
3. Dersom resultatene nevnt i nr. 2 bokstav a), b), c) eller d) ikke oppnås, anses modellen og alle tilsvarende modeller for ikke å være i samsvar med denne forordningen.
4. Dersom resultatet nevnt i nr. 2 bokstav e) ikke oppnås, skal medlemsstatenes myndigheter velge ut ytterligere tre enheter av samme modell for prøving. Alternativt kan de tre ytterligere enhetene som velges ut, være av en eller flere tilsvarende modeller.
5. Modellen skal anses for å oppfylle gjeldende krav dersom det aritmetiske gjennomsnittet av de verdiene som påvises for disse tre enhetene, er i samsvar med de respektive verifiseringstoleransene i tabell 6.
6. Dersom resultatet nevnt i nr. 5 ikke oppnås, anses modellen og alle tilsvarende modeller for ikke å være i samsvar med denne forordningen.
7. Medlemsstatenes myndigheter skal framlegge alle relevante opplysninger for de øvrige medlemsstatenes myndigheter og Kommisjonen umiddelbart etter at det i samsvar med nr. 3 eller 6 er truffet beslutning om at modellen ikke oppfyller kravene.
Medlemsstatenes myndigheter skal bruke de måle- og beregningsmetodene som er fastsatt i vedlegg III.
Medlemsstatenes myndigheter skal benytte bare verifiseringstoleransene angitt i tabell 6 og bare prosedyren beskrevet i nr. 1–7 for de kravene som er angitt i dette vedlegget. For parametrene i tabell 6 skal ingen andre toleranser, f.eks. toleranser angitt i harmoniserte standarder eller i andre målemetoder, benyttes.
Tabell 6
Verifiseringstoleranser
Parametrer | Verifiseringstoleranser |
|---|---|
Samlet volum og avdelingsvolum | Den påviste verdien(a) skal ikke ligge mer enn 3 % eller 1 liter under den oppgitte verdien, avhengig av hvilken verdi som er høyest. |
Innfrysingskapasitet | Den påviste verdien(a) skal ikke ligge mer enn 10 % under den oppgitte verdien. |
E16, E32 | Den påviste verdien(a) skal ikke ligge mer enn 10 % over den oppgitte verdien. |
Eaux | Den påviste verdien(a) skal ikke ligge mer enn 10 % over den oppgitte verdien. |
Årlig energiforbruk | Den påviste verdien(a) skal ikke ligge mer enn 10 % over den oppgitte verdien. |
Innvendig luftfuktighet i vinskap (%) | Den påviste verdien(a) skal ikke avvike mer enn 10 % fra grenseverdiene for det fastsatte området. |
Utslipp av luftstøy | Den påviste verdien(a) skal ikke ligge mer enn 2 dB(A) re 1 pW over den oppgitte verdien. |
(a) Dersom tre ytterligere enheter prøves som fastsatt i nr. 4, er den påviste verdien det aritmetiske gjennomsnittet av verdiene som er påvist for disse tre ytterligere enhetene.
VEDLEGG V
Referanseverdier
På tidspunktet for denne forordningens ikrafttredelse ble følgende utpekt som den beste tilgjengelige teknologien på markedet for kjøle-/fryseapparater når det gjelder energieffektivitetsindeks (EEI) og utslipp av luftstøy.
Tallene nedenfor ble innhentet ved hjelp av en forenklet konvertering fra EEI-verdiene fastsatt i samsvar med forordning (EF) nr. 643/2009. Tallene i parentes angir EEI-verdiene fastsatt i samsvar med forordning (EF) nr. 643/2009.
Kjøle-/fryseapparater:
Kjøle-/fryseapparat ment kun for ferskvarer («kjøleskap»):
Stort: | EEI = 57 % [18 %], | V = 309 liter, | AE = 70 kWh/a. |
Bordmodell: | EEI = 63 % [22 %], | V = 150 liter, | AE = 71 kWh/a. |
Vinskap:
Isolert utvendig dør: | EEI = 113 % [33 %], | V = 499 liter, | AE = 111 kWh/a. |
Gjennomsiktig dør: | EEI = 140 % [42 %], | V = 435 liter, | AE = 133 kWh/a. |
Kjøle- og fryseskap
EEI = 59 % [18 %], | V = 343 liter (223/27/93 liter for ferskvarer / lett bedervelige næringsmidler / fryser), | AE = 146 kWh/a. |
Fryser:
Lite skap: | EEI = 52 % [20 %], | V = 103 liter, | AE = 95 kWh/a. |
Middels stort skap: | EEI = 63 % [22 %], | V = 206 liter, | AE = 137 kWh/a. |
Fryseboks: | EEI = 55 % [22 %], | V = 230 liter, | AE = 116 kWh/a. |
Laveste rapporterte støy (for alle modeller): 34–35 dB(A) re 1 pW
Støysvakt kjøle-/fryseapparat (kjøle-/fryseapparat med kun svalskap eller spiskammer):
Isolert utvendig dør: | EEI = 233 % [73 %], | V = 30 liter, | AE = 182 kWh/a. |
Gjennomsiktig dør: | EEI = 330 % [102 %], | V = 40 liter, | AE = 255 kWh/a. |
Støysvake apparater rapporteres å ha utslipp av luftstøy som er lavere enn 15 dB(A) re 1 pW i samsvar med gjeldende prøvingsstandarder.
Fotnoter
EUT L 285 av 31.10. 2009, s. 10.
Kommisjonsmelding. Arbeidsplan for miljøvennlig utforming 2016–2019 (COM(2016) 773 final, 30.11.2016).
Kommisjonsforordning (EF) nr. 643/2009 av 22. juli 2009 om gjennomføring av europaparlaments- og rådsdirektiv 2005/32/EF når det gjelder krav til miljøvennlig utforming av kjøleapparater til husholdningsbruk (EUT L 191 av 23.7.2009, s. 53).
Delegert kommisjonsforordning (EU) nr. 1060/2010 av 28. september 2010 om utfylling av europaparlaments- og rådsdirektiv 2010/30/EU med omsyn til energimerking av kjøleapparat til hushaldsbruk (EUT L 314 av 30.11.2010, p. 17).
Kommisjonsmelding til Europaparlamentet, Rådet, Den europeiske økonomiske og sosiale komité og Regionkomiteen: «Closing The Loop — An EU action plan for the circular economy» (COM(2015) 614 final, 2.12.2015).
Europaparlaments- og rådsdirektiv 2012/19/EU av 4. juli 2012 om avfall fra elektrisk og elektronisk utstyr (WEEE) (EUT L 197 av 24.7.2012, s. 38).
Kommisjonsforordning (EU) 2015/1095 av 5. mai 2015 om gjennomføring av europaparlaments- og rådsdirektiv 2009/125/EF når det gjelder krav til miljøvennlig utforming av kjøleskap og fryseskap til yrkesbruk, blåsekjølere og -frysere, kondenseringsaggregater og prosesskjølere (EUT L 177 av 8.7.2015, s. 19).
Europaparlaments- og rådsforordning (EU) nr. 1025/2012 av 25. oktober 2012 om europeisk standardisering og om endring av rådsdirektiv 89/686/EØF og 93/15/EØF samt europaparlaments- og rådsdirektiv 94/9/EF, 94/25/EF, 95/16/EF, 97/23/EF, 98/34/EF, 2004/22/EF, 2007/23/EF, 2009/23/EF og 2009/105/EF og om oppheving av rådsvedtak 87/95/EØF og europaparlaments- og rådsbeslutning nr. 1673/2006/EF (EUT L 316 av 14.11.2012, s. 12).
Delegert kommisjonsforordning (EU) 2019/2016 av 11. mars 2019 om utfylling av europaparlaments- og rådsforordning (EU) 2017/1369 med hensyn til energimerking av kjøle-/fryseapparat og om oppheving av delegert kommisjonsforordning (EU) nr. 1060/2010 (EUT L 315 av 5.12.2019, s. 102).
Kommisjonsforordning (EU) 2019/2024 av 1. oktober 2019 om fastsettelse av krav til miljøvennlig utforming av kjøle-/fryseapparater til bruk ved direktesalg i henhold til europaparlaments- og rådsdirektiv 2009/125/EF (EUT L 315 av 5.12.2019, s. 313.)
Europaparlaments- og rådsforordning (EU) 2017/1369 av 4. juli 2017 om fastsetjing av ei ramme for energimerking og om oppheving av direktiv 2010/30/EU (EUT L 198 av 28.7.2017, s. 1).