7 Kommisjonsforordning (EU) 2019/2022 av 1. oktober 2019 om fastsettelse av krav til miljøvennlig utforming av husholdningsoppvaskmaskiner i samsvar med europaparlaments- og rådsdirektiv 2009/125/EF, om endring av kommisjonsforordning (EF) nr. 1275/2008, og om oppheving av kommisjonsforordning (EU) nr. 1016/2010
EUROPAKOMMISJONEN HAR
under henvisning til artikkel 114 i traktaten om Den europeiske unions virkemåte,
under henvisning til europaparlaments- og rådsdirektiv 2009/125/EF av 21. oktober 2009 om fastsettelse av en ramme for å fastsette krav til miljøvennlig utforming av energirelaterte produkter1, særlig artikkel 15 nr. 1, og
ut fra følgende betraktninger:
1) I henhold til direktiv 2009/125/EF bør Kommisjonen fastsette krav til miljøvennlig utforming av energirelaterte produkter som representerer betydelige salgs- og handelsvolumer i Unionen, og som har en vesentlig miljøvirkning som gjennom utforming kan reduseres betydelig uten at det medfører urimelige kostnader.
2) Kommisjonsmelding COM(2016) 7732 (arbeidsplan for miljøvennlig utforming), utarbeidet av Kommisjonen i henhold til artikkel 16 nr. 1 i direktiv 2009/125/EF, fastsetter prioriteringene for arbeidet innenfor rammen for miljøvennlig utforming og energimerking for tidsrommet 2016–2019. I arbeidsplanen for miljøvennlig utforming angis de energirelaterte produktgruppene som skal prioriteres ved gjennomføring av forberedende undersøkelser og påfølgende vedtakelse av gjennomføringstiltak, og ved revisjon av kommisjonsforordning (EU) nr. 1016/20103 og delegert kommisjonsforordning (EU) nr. 1059/20104.
3) Tiltakene i arbeidsplanen for miljøvennlig utforming beregnes å kunne gi en årlig oppsummert energisparing på mer enn 260 TWh i 2030, hvilket tilsvarer en reduksjon i klimagassutslippene på ca. 100 millioner tonn per år i 2030. Husholdningsoppvaskmaskiner er en av produktgruppene som er oppført i arbeidsplanen, med en anslått årlig elektrisitetssparing på 2,1 TWh, som fører til en reduksjon i klimagassutslippene på 0,7 millioner tonn CO2-ekvivalenter per år, og en anslått vannsparing på 16 millioner m3 i 2030.
4) Kommisjonen har fastsatt krav til miljøvennlig utforming av husholdningsoppvaskmaskiner i forordning (EU) nr. 1016/2010, og i henhold til nevnte forordning bør Kommisjonen revidere den i lys av den teknologiske utviklingen.
5) Kommisjonen har revidert forordning (EU) nr. 1016/2010 og analysert de tekniske, miljømessige og økonomiske aspektene ved husholdningsoppvaskmaskiner samt den faktiske brukeratferden. Revisjonen ble utført i nært samarbeid med interessenter og berørte parter fra Unionen og tredjeland. Resultatene av revisjonen ble offentliggjort og lagt fram for samrådsforumet nedsatt ved artikkel 18 i direktiv 2009/125/EF.
6) Det framgår av revisjonen at det er nødvendig å revidere kravene til miljøvennlig utforming av husholdningsoppvaskmaskiner, kravene til bruk av vesentlige ressurser som energi og vann, og at det også må innføres krav knyttet til ressurseffektivitet, for eksempel muligheter for reparasjon og materialgjenvinning.
7) Når det gjelder husholdningsoppvaskmaskiner, er det forbruket av energi og vann i bruksfasen, genereringen av avfall når produktene er kassert, og utslippene til luft og vann i produksjonsfasen (på grunn av utvinning og bearbeiding av råstoffer) og i bruksfasen (på grunn av elektrisitetsforbruket) som er identifisert som de vesentlige miljøaspektene i forbindelse med denne forordningen.
8) Det årlige energiforbruket i Unionen for produkter som omfattes av denne forordningen, ble i 2015 beregnet til 31,3 TWh, tilsvarende 11,1 millioner tonn CO2-ekvivalenter. Det antatte energiforbruket til husholdningsoppvaskmaskiner i en situasjon der ingen tiltak iverksettes, forventes å øke til 49,0 TWh i 2030, hovedsakelig på grunn av økningen i det samlede antallet oppvaskmaskiner som er i bruk. Denne økningen i energiforbruket kan imidlertid begrenses dersom de eksisterende kravene til miljøvennlig utforming oppdateres. Likeledes ble husholdningsoppvaskmaskiners vannforbruk anslått til 318 millioner m3 i 2015 og forventes å øke til 531 millioner m3 i 2030 dersom kravene ikke oppdateres. Endelig er det anslått at husholdningsoppvaskmaskinenes levetid i løpet av de siste årene er redusert til rundt 12,5 år, og det er sannsynlig at denne utviklingen vil fortsette dersom det ikke innføres stimuleringstiltak.
9) Kommisjonsmelding til Europaparlamentet, Rådet, Den europeiske økonomiske og sosiale komité og Regionkomiteen COM(2015) 614 final5 (handlingsplan for den sirkulære økonomien) og arbeidsplanen for miljøvennlig utforming6 understreker viktigheten av å bruke rammen for miljøvennlig utforming til å støtte omstillingen til en mer ressurseffektiv og sirkulær økonomi. Europaparlaments- og rådsdirektiv 2012/19/EU7 viser til direktiv 2009/125/EF og understreker at kravene til miljøvennlig utforming bør gjøre det lettere å ombruke, demontere og gjenvinne avfall fra elektrisk og elektronisk utstyr (WEEE) ved å håndtere problemene i en tidligere fase. Denne forordningen bør derfor fastsette hensiktsmessige krav som bidrar til at målene for den sirkulære økonomien nås.
10) Oppvaskmaskiner som ikke er til husholdningsbruk, har særskilte egenskaper og bruksområder. De er underlagt annet regelverk, særlig europaparlaments- og rådsdirektiv 2006/42/EF8 om maskiner, og bør ikke omfattes av denne forordningens virkeområde. Bestemmelsene om husholdningsoppvaskmaskiner bør gjelde for oppvaskmaskiner med samme tekniske egenskaper, uansett i hvilken sammenheng de brukes. Alle husholdningsoppvaskmaskiner bør oppfylle minstekravene til vasking og tørking, uavhengig av hvilke metoder som brukes.
11) Det bør fastsettes særlige krav til laveffekttilstander hos husholdningsoppvaskmaskiner. Kravene i kommisjonsforordning (EF) nr. 1275/20089 bør derfor ikke få anvendelse på husholdningsoppvaskmaskiner som omfattes av denne forordningens virkeområde. Forordning (EF) nr. 1275/2008 bør derfor endres.
12) De relevante produktparametrene bør måles ved hjelp av pålitelige, nøyaktige og reproduserbare metoder. Disse metodene bør bygge på de nyeste allment anerkjente målemetodene, herunder eventuelle harmoniserte standarder vedtatt av de europeiske standardiseringsorganisasjonene oppført i vedlegg I til europaparlaments- og rådsforordning (EU) nr. 1025/201210.
13) I samsvar med artikkel 8 i direktiv 2009/125/EF bør de gjeldende framgangsmåtene for samsvarsvurdering spesifiseres i denne forordningen.
14) For å lette samsvarskontrollen bør produsentene, importørene eller representantene oppgi de opplysningene som er nevnt i vedlegg IV og V til direktiv 2009/125/EF, i den tekniske dokumentasjonen, i den grad opplysningene har relevans for kravene fastsatt i denne forordningen.
15) Dersom parametrene i den tekniske dokumentasjonen, som definert i denne forordningen, er identiske med parametrene i produktdatabladet definert i delegert kommisjonsforordning (EU) 2019/201711, bør produsenter, importører eller representanter legge inn de tilsvarende dataene i produktdatabasen definert i europaparlaments- og rådsforordning (EU) 2017/136912, og ikke lenger trenge å gi dem til markedstilsynsmyndighetene som en del av den tekniske dokumentasjonen.
16) For å sikre at forordningen er effektiv og troverdig, og for å beskytte forbrukerne bør det ikke være tillatt å bringe i omsetning produkter som automatisk endrer sin ytelse under prøvingsforhold for å forbedre de oppgitte parametrene.
17) I tillegg til kravene fastsatt i denne forordningen bør det i samsvar med del 3 nr. 2 i vedlegg I til direktiv 2009/125/EF angis veiledende referanseverdier for de beste tilgjengelige teknologiene, for å sikre stor utbredelse av og enkel tilgang til opplysninger om miljøprestasjonen gjennom hele livssyklusen for produkter som er omfattet av denne forordningen.
18) Denne forordningen bør revideres med sikte på å vurdere hvor hensiktsmessige og effektive dens bestemmelser er for å nå dens mål. Revisjonen bør foretas etter at det har gått tilstrekkelig tid til å gjennomføre alle bestemmelsene og observere deres innvirkning på markedet.
19) Forordning (EU) nr. 1016/2010 bør oppheves.
20) For å lette overgangen mellom forordning (EU) nr. 1016/2010 og denne forordningen bør betegnelsen «eco» tillates brukt i stedet for «standardprogram» fra det tidspunktet denne forordningen trer i kraft.
21) Tiltakene fastsatt i denne forordningen er i samsvar med uttalelse fra komiteen nedsatt ved artikkel 19 nr. 1 i direktiv 2009/125/EF.
VEDTATT DENNE FORORDNINGEN:
Artikkel 1
Formål og virkeområde
1. Denne forordningen fastsetter krav til miljøvennlig utforming av nettdrevne husholdningsoppvaskmaskiner som skal bringes i omsetning eller tas i bruk, herunder husholdningsoppvaskmaskiner for innbygging og nettdrevne husholdningsoppvaskmaskiner som også kan drives med batteri.
2. Denne forordningen får ikke anvendelse på
a) oppvaskmaskiner som hører inn under virkeområdet for direktiv 2006/42/EF,
b) batteridrevne husholdningsoppvaskmaskiner som kan koples til nettforsyningen med en AC/DC-omformer som kjøpes separat.
Artikkel 2
Definisjoner
I denne forordningen menes med
1) «nettforsyning» eller «nett» strømforsyningen fra elektrisitetsnettet med 230 volt (± 10 %) og 50 Hz vekselstrøm,
2) «husholdningsoppvaskmaskin» en maskin som vasker og skyller bordservise, og som ifølge samsvarserklæringen fra produsenten oppfyller kravene i europaparlaments- og rådsdirektiv 2014/35/EU13 eller europaparlaments- og rådsdirektiv 2014/53/EU14,
3) «husholdningsoppvaskmaskin for innbygging» en husholdningsoppvaskmaskin som er utformet, prøvd og markedsført utelukkende for å
a) installeres i et skap eller kles (over, under og på sidene) med paneler,
b) festes på en sikker måte til sidene, toppen eller bunnen av skapet eller til panelene, og
c) utstyres med en integrert fabrikkprodusert frontplate eller monteres med et spesialtilpasset frontpanel,
4) «tilsvarende modell» en modell som har de samme tekniske egenskapene som er relevante for den tekniske informasjonen som skal gis, men som bringes i omsetning eller tas i bruk av samme produsent, importør eller representant som en annen modell med en annen modellbetegnelse,
5) «modellbetegnelse» koden (vanligvis alfanumerisk) som skiller en bestemt modell av et produkt fra andre modeller med samme varemerke eller produsentnavn, importørnavn eller representantnavn,
6) «produktdatabase» en systematisk ordnet samling av data om produkter, som omfatter en forbrukerrettet del der opplysninger om parametre for de enkelte produktene er tilgjengelige elektronisk, en nettportal som gjør databasen lett tilgjengelig, og en samsvarsdel med klart angitte krav til tilgjengelighet og sikkerhet, som fastsatt i forordning (EU) 2017/1369,
7) «program» en serie operasjoner som er forhåndsdefinert og som produsenten, importøren eller representanten har oppgitt som egnet for visse nivåer av smuss eller visse typer oppvask, eller begge deler,
8) «eco» navnet på programmet i en husholdningsoppvaskmaskin som av produsenten, importøren eller representanten er oppgitt å være egnet til å vaske normalt skittent bordservise, og som kravene til miljøvennlig utforming med hensyn til energieffektivitet, vaskeevne og tørkeevne gjelder for.
Det er fastsatt ytterligere definisjoner i vedlegg I til bruk i vedleggene.
Artikkel 3
Krav til miljøvennlig utforming
Kravene til miljøvennlig utforming i vedlegg II får anvendelse fra datoene angitt der.
Artikkel 4
Samsvarsvurdering
1. Framgangsmåten for samsvarsvurdering nevnt i artikkel 8 i direktiv 2009/125/EF skal være systemet for intern kontroll av utformingen beskrevet i vedlegg IV til nevnte direktiv eller styringsordningen beskrevet i vedlegg V til direktivet.
2. Angående samsvarsvurderingen i henhold til artikkel 8 i direktiv 2009/125/EF skal den tekniske dokumentasjonen inneholde de oppgitte verdiene for parametrene oppført i vedlegg II nr. 2, 3 og 4, samt de nærmere opplysningene om og resultatene av beregningene foretatt i henhold til vedlegg III.
3. Dersom informasjonen i den tekniske dokumentasjonen for en bestemt modell er innhentet
a) fra en modell som har de samme tekniske egenskapene som er relevante for den tekniske informasjonen som skal gis, men er framstilt av en annen produsent, eller
b) gjennom beregninger på grunnlag av konstruksjon eller ekstrapolering fra en annen modell fra samme eller en annen produsent, eller begge deler,
skal den tekniske dokumentasjonen inneholde de nærmere opplysningene om disse beregningene, den vurderingen produsenten har gjennomført for å kontrollere at beregningene stemmer, og, dersom det er relevant, erklæringen om at modellene fra ulike produsenter er identiske.
Den tekniske dokumentasjonen skal inneholde en liste over alle tilsvarende modeller, herunder modellbetegnelsene.
4. Den tekniske dokumentasjonen skal inneholde informasjonen i den rekkefølgen og slik som angitt i vedlegg VI til forordning (EU) 2019/2017. For markedstilsynsformål kan produsenter, importører eller deres representanter, uten at det berører nr. 2 bokstav g) i vedlegg IV til direktiv 2009/125/EF, vise til den tekniske dokumentasjonen som er lastet opp til produktdatabasen som inneholder de samme opplysningene som fastsatt i forordning (EU) 2019/2017.
Artikkel 5
Verifiseringsprosedyre ved markedstilsyn
Medlemsstatenes myndigheter skal benytte verifiseringsprosedyren fastsatt i vedlegg IV når de foretar markedstilsyn som nevnt i artikkel 3 nr. 2 i direktiv 2009/125/EF.
Artikkel 6
Omgåelse
Produsenten, importøren eller representanten skal ikke bringe i omsetning produkter som er konstruert for å kunne oppdage at de blir prøvd (f.eks. ved å gjenkjenne prøvingsforholdene eller prøvingssyklusen), og for å reagere spesifikt gjennom automatisk å endre ytelsen under prøvingen for å oppnå et gunstigere nivå på noen av de parametrene som er oppgitt av produsenten, importøren eller representanten i den tekniske dokumentasjonen, eller som er angitt i den dokumentasjonen som stilles til rådighet.
Verken produktets energi- og vannforbruk eller noen av de andre oppgitte parametrene skal bli dårligere etter en programvare- eller fastvareoppdatering når de måles ut fra samme prøvingsstandard som opprinnelig ble brukt til samsvarserklæringen, med mindre sluttbrukeren uttrykkelig har samtykket til dette før oppdateringen. Det skal ikke skje noen endring av ytelsen som følge av at oppdateringen avvises.
Artikkel 7
Veiledende referanseverdier
Veiledende referanseverdier for de miljømessig beste produktene og teknologiene som finnes på markedet når denne forordningen vedtas, er angitt i vedlegg V.
Artikkel 8
Revisjon
Kommisjonen skal revidere denne forordningen i lys av den teknologiske utviklingen og framlegge resultatene av denne revisjonen, eventuelt sammen med et utkast til endringsforslag, for samrådsforumet innen 25. desember 2025.
Ved revisjonen skal det særlig legges vekt på følgende:
a) Forbedringspotensialet med hensyn til energiytelse og miljøprestasjon hos husholdningsoppvaskmaskiner, idet det blant annet tas hensyn til tørkeevne.
b) Nivået for verifiseringstoleransene.
c) En vurdering av utviklingen i forbrukernes atferd og utbredelsen av husholdningsoppvaskmaskiner i EUs medlemsstater.
d) Effektiviteten av eksisterende krav til ressurseffektivitet.
e) Om det bør fastsettes ytterligere krav til ressurseffektivitet for produkter i samsvar med målene for den sirkulære økonomien, herunder om flere reservedeler bør inngå.
Artikkel 9
Endring av forordning (EF) nr. 1275/2008
I nr. 1 i vedlegg I til forordning (EF) nr. 1275/2008 utgår oppføringen «Oppvaskmaskiner».
Artikkel 10
Oppheving
Forordning (EU) nr. 1016/2010 oppheves fra 1. mars 2021.
Artikkel 11
Overgangstiltak
Som unntak fra kravet i del 1 nr. 1 i vedlegg I til forordning (EU) nr. 1016/2010 kan fra og med 25. desember 2019 til og med 28. februar 2021 betegnelsen «eco» brukes om standardprogrammet i samsvar med nr. 1 i vedlegg II til denne forordningen, i stedet for betegnelsen «standardprogram».
Artikkel 12
Ikrafttredelse og anvendelse
Denne forordningen trer i kraft den 20. dagen etter at den er kunngjort i Den europeiske unions tidende.
Den får anvendelse fra 1. mars 2021. Artikkel 6 første ledd og artikkel 11 får imidlertid anvendelse fra 25. desember 2019.
Denne forordningen er bindende i alle deler og kommer direkte til anvendelse i alle medlemsstater.
Utferdiget i Brussel 1. oktober 2019.
For Kommisjonen
Jean-Claude Juncker
President
VEDLEGG I
Definisjoner som gjelder i vedleggene
I vedleggene menes med
1) «energieffektivitetsindeks» (EEI) forholdet mellom eco-programmets energiforbruk og standardprogrammets energiforbruk,
2) «eco-programmets energiforbruk» (EPEC – eco programme energy consumption) energiforbruket til en husholdningsoppvaskmaskin når eco-programmet brukes, uttrykt i kilowattimer per syklus,
3) «standardprogrammets energiforbruk» (SPEC – standard programme energy consumption) referanseenergiforbruket som en funksjon av den nominelle kapasiteten, uttrykt i kilowattimer per syklus,
4) «kuvert» (ps – place setting) et sett med bordservise til bruk av én person, ikke medregnet serveringsdeler,
5) «serveringsdeler» artikler som brukes til tilberedning og servering av mat og kan omfatte gryter, serveringsskåler, serveringsbestikk og fat,
6) «nominell kapasitet» det høyeste antallet kuverter som sammen med serveringsdelene kan vaskes, skylles og tørkes i en husholdningsoppvaskmaskin når maskinen er fylt i samsvar med produsentens, importørens eller representantens anvisninger,
7) «vaskeevneindeks» (IC) forholdet mellom vaskeevnen til en husholdningsoppvaskmaskin og vaskeevnen til en referanseoppvaskmaskin til husholdningsbruk,
8) «tørkeevneindeks» (ID) forholdet mellom tørkeevnen til en husholdningsoppvaskmaskin og tørkeevnen til en referanseoppvaskmaskin til husholdningsbruk,
9) «programvarighet» (Tt) den tiden det tar fra det valgte programmet blir startet, ikke medregnet eventuell brukerprogrammert utsatt start, til det angis at programmet er avsluttet og brukeren har tilgang til oppvasken,
10) «syklus» en komplett vaske-, skylle- og tørkeprosess, slik dette er definert for det valgte programmet, som består av en serie operasjoner til all aktivitet opphører,
11) «avslått tilstand» en tilstand der husholdningsoppvaskmaskinen er tilkoplet nettforsyningen, men ingen av funksjonene er aktive; følgende skal også betraktes som avslått tilstand:
a) tilstander som bare viser at maskinen er i avslått tilstand,
b) tilstander som bare muliggjør funksjoner som skal sikre elektromagnetisk kompatibilitet i henhold til europaparlaments- og rådsdirektiv 2014/30/EU15,
12) «hviletilstand» en tilstand der husholdningsoppvaskmaskinen er koplet til nettforsyningen og bare har følgende funksjoner, som kan opprettholdes i ubegrenset tid:
a) reaktiveringsfunksjon, eller reaktiveringsfunksjon sammen med en enkel indikasjon på at reaktiveringsfunksjonen er innkoplet, og/eller
b) reaktiveringsfunksjon gjennom tilkopling til et nettverk, og/eller
c) informasjons- eller statusvisning, og/eller
d) detekteringsfunksjon for nødtiltak,
13) «nettverk» en kommunikasjonsinfrastruktur med en lenketopologi og en arkitektur som omfatter fysiske komponenter, organisatoriske prinsipper og kommunikasjonsprosedyrer og -formater (protokoller),
14) «utsatt start» en tilstand der brukeren har valgt å utsette starttidspunktet for syklusen til det valgte programmet,
15) «reservedel» en separat del som kan erstatte en del med samme eller lignende funksjon i et produkt,
16) «profesjonell reparatør» en operatør eller et foretak som yter tjenester for reparasjon og profesjonelt vedlikehold av husholdningsoppvaskmaskiner,
17) «eco-programmets vannforbruk» (EPWC – eco programme water consumption) vannforbruket til en husholdningsoppvaskmaskin når eco-programmet brukes, uttrykt i liter per syklus,
18) «garanti» enhver forpliktelse som detaljisten eller produsenten har påtatt seg overfor forbrukeren til å
a) tilbakebetale kjøpesummen, eller
b) omlevere, reparere eller på annen måte utbedre husholdningsoppvaskmaskiner dersom de ikke svarer til spesifikasjonene i garantierklæringen eller i den relevante reklamen.
VEDLEGG II
Krav til miljøvennlig utforming
1. PROGRAMKRAV
Fra 1. mars 2021 skal husholdningsoppvaskmaskiner ha et eco-program som oppfyller følgende krav:
a) Dette programmet skal
betegnes «eco» på innretningen for programvalg på husholdningsoppvaskmaskinen, i skjermvinduet på husholdningsoppvaskmaskinen, dersom et slikt finnes, og i den relevante nettapplikasjonen, dersom en slik finnes,
være fabrikkinnstilt for husholdningsoppvaskmaskiner som er utstyrt med automatisk programvalg eller en funksjon som opprettholder programvalget, eller, dersom det ikke finnes noe automatisk programvalg, være tilgjengelig for direktevalg uten at det er nødvendig med andre valg, for eksempel en bestemt temperatur eller last.
b) Betegnelsen «eco» skal brukes utelukkende til dette programmet. Formateringen av betegnelsen «eco» har ingen begrensninger med hensyn til skrifttype, skriftstørrelse, store eller små bokstaver eller farge. De eneste ytterligere opplysningene som kan kombineres med betegnelsen «eco», er eco-programmets temperatur.
c) Angivelsene «normal», «daglig», «vanlig» og «standard» og oversettelsene av disse på alle offisielle EU-språk skal ikke brukes i programnavn for husholdningsoppvaskmaskiner, verken alene eller sammen med andre opplysninger.
2. KRAV TIL ENERGIEFFEKTIVITET
Fra 1. mars 2021 skal husholdningsoppvaskmaskiner oppfylle følgende krav:
a) Energieffektivitetsindeksen (EEI) skal være på under 63.
Fra 1. mars 2024 skal husholdningsoppvaskmaskiner oppfylle følgende krav:
b) EEI skal være på under 56 for husholdningsoppvaskmaskiner med en nominell kapasitet på ti kuverter eller mer.
EEI skal beregnes i samsvar med vedlegg III.
3. FUNKSJONSKRAV
Fra 1. mars 2021 skal husholdningsoppvaskmaskiner oppfylle følgende krav:
a) Vaskeevneindeksen (IC) skal være større enn 1,12.
b) Tørkeevneindeksen (ID) skal være større enn 1,06 for husholdningsoppvaskmaskiner med en nominell kapasitet på mer enn sju kuverter.
c) Tørkeevneindeksen (ID) skal være større enn 0,86 for husholdningsoppvaskmaskiner med en nominell kapasitet på sju kuverter eller mindre.
IC og ID skal beregnes i samsvar med vedlegg III.
4. LAVEFFEKTTILSTANDER
Fra 1. mars 2021 skal husholdningsoppvaskmaskiner oppfylle følgende krav:
a) Husholdningsoppvaskmaskiner skal ha en avslått tilstand eller en hviletilstand, eller begge deler. Effektforbruket i disse tilstandene skal ikke overstige 0,50 W.
b) Dersom hviletilstanden omfatter visning av informasjon eller status, skal effektforbruket i denne tilstanden ikke overstige 1,00 W.
c) Dersom hviletilstanden gir mulighet for tilkopling til et nettverk og nettverkstilkoplet hviletilstand som definert i kommisjonsforordning (EU) nr. 801/201316, skal effektforbruket i denne tilstanden ikke overstige 2,00 W.
d) Senest 15 minutter etter at husholdningsoppvaskmaskinen er slått på, eller etter at et program og tilhørende aktiviteter er avsluttet, eller etter enhver interaksjon med utstyret, skal maskinen, dersom det ikke igangsettes en annen tilstand, herunder nødtiltak, automatisk skifte til avslått tilstand eller hviletilstand.
e) Dersom husholdningsoppvaskmaskinen har funksjon for utsatt start, skal effektforbruket i denne tilstanden, inkludert eventuell hviletilstand, ikke overstige 4,00 W. Brukeren skal ikke kunne programmere utsatt start med mer enn 24 timer.
f) Alle husholdningsoppvaskmaskiner som kan koples til et nettverk, skal gi mulighet for å aktivere og deaktivere nettverkstilkoplingen. Nettverkstilkoplingen skal som standard være deaktivert.
5. KRAV TIL RESSURSEFFEKTIVITET
Fra 1. mars 2021 skal husholdningsoppvaskmaskiner oppfylle følgende krav:
1) Tilgang til reservedeler
a) Produsenter eller importører av husholdningsoppvaskmaskiner eller deres representanter skal gjøre tilgjengelig for profesjonelle reparatører minst følgende reservedeler i minst sju år etter at den siste enheten av modellen er brakt i omsetning:
Motor.
Sirkulasjons- og avløpspumpe.
Varmeanlegg og varmeelementer, herunder varmepumper (separat eller samlet).
Rør og tilhørende utstyr, herunder alle slanger, ventiler, filtre og vannstoppere.
Konstruksjonsdeler og innvendige deler for dørenheter (separat eller samlet).
Kretskort.
Elektroniske skjermer.
Trykkbrytere.
Termostater og følere.
Programvare og fastvare, herunder tilbakestillingsprogramvare.
b) Produsenter eller importører av husholdningsoppvaskmaskiner eller deres representanter skal gjøre tilgjengelig for profesjonelle reparatører og sluttbrukere minst følgende reservedeler: dørhengsler og -tetninger, andre forseglinger, spylearmer, avløpsfiltre, innvendig innredning og utstyr i plast, f.eks. kurver og lokk, i minst ti år etter at den siste enheten av modellen er brakt i omsetning.
c) Produsenter eller importører av husholdningsoppvaskmaskiner eller deres representanter skal sikre at reservedelene nevnt i bokstav a) og b) kan skiftes ved hjelp av allment tilgjengelig verktøy uten å forårsake permanent skade på produktet.
d) Listen over reservedeler nevnt i bokstav a) og framgangsmåten for å bestille dem skal være offentlig tilgjengelig på produsentens, importørens eller representantens fritt tilgjengelige nettsted senest to år etter at den første enheten av en modell er brakt i omsetning, og til utgangen av den perioden da disse reservedelene skal være tilgjengelige.
e) Listen over reservedeler nevnt i bokstav b) og framgangsmåten for å bestille dem samt reparasjonsanvisningene skal være offentlig tilgjengelig på produsentens, importørens eller representantens fritt tilgjengelige nettsted når den første enheten av en modell bringes i omsetning, og til utgangen av den perioden da disse reservedelene skal være tilgjengelige.
2) Maksimal leveringstid for reservedeler
a) I perioden nevnt i nr. 1 skal produsenten, importøren eller representanten sikre at reservedeler leveres innen 15 virkedager etter mottak av bestillingen.
b) Når det gjelder reservedeler nevnt i nr. 1 bokstav a) kan tilgangen til reservedeler være begrenset til profesjonelle reparatører som er registrert i samsvar med nr. 3 bokstav a) og b).
3) Tilgang til opplysninger om reparasjon og vedlikehold
To år etter at den første enheten av en modell er brakt i omsetning, og fram til utgangen av perioden nevnt i nr. 1, skal produsenten, importøren eller representanten gi profesjonelle reparatører tilgang til opplysninger om reparasjon og vedlikehold av apparatet på følgende vilkår:
a) Produsentens, importørens eller representantens nettsted skal angi hvordan profesjonelle reparatører skal registrere seg for å få tilgang til opplysninger. For å godta en anmodning om registrering kan produsentene, importørene eller representantene kreve at den profesjonelle reparatøren kan godtgjøre at
i) den profesjonelle reparatøren har den tekniske kompetansen til å reparere husholdningsoppvaskmaskiner og oppfyller de gjeldende reglene for reparatører av elektrisk utstyr i de medlemsstatene der vedkommende driver virksomhet; en henvisning til et offisielt registreringssystem for profesjonelle reparatører, dersom det finnes et slikt system i de aktuelle medlemsstatene, skal godtas som bevis på samsvar med dette punktet,
ii) den profesjonelle reparatøren har en forsikring som dekker ansvar som følger av reparatørens virksomhet, uansett om dette kreves i medlemsstaten.
b) Produsentene, importørene eller representantene skal godta eller avslå registrering innen fem virkedager etter at anmodningen ble framsatt.
c) Produsentene, importørene eller representantene kan pålegge rimelige og forholdsmessige gebyrer for tilgang til opplysninger om reparasjon og vedlikehold eller for regelmessige oppdateringer. Et gebyr er rimelig dersom det ikke er til hinder for slik tilgang ved at det tar i betraktning i hvilket omfang den profesjonelle reparatøren benytter opplysningene.
Når en profesjonell reparatør er registrert, skal vedkommende ha tilgang til opplysningene om reparasjon og vedlikehold innen én virkedag etter å ha anmodet om dem. Opplysningene kan gis for en tilsvarende modell eller en modell av samme familie, dersom det er relevant.
Tilgjengelige opplysninger om reparasjon og vedlikehold skal omfatte
entydig identifisering av apparatet,
et demonteringsskjema eller en tegning i uttrekksperspektiv,
en liste over nødvendig reparasjons- og prøvingsutstyr,
komponent- og diagnostiseringsopplysninger (for eksempel laveste og høyeste teoretiske verdier for målinger),
kablings- og koplingsskjemaer,
diagnostiske feilkoder (herunder produsentspesifikke koder i relevante tilfeller),
anvisninger for installasjon av relevant programvare og fastvare, herunder tilbakestillingsprogramvare, og
opplysninger om hvordan man får tilgang til registrerte data for rapporterte feilhendelser som er lagret i husholdningsoppvaskmaskinen (dersom det er relevant).
4) Krav til opplysninger om kjølemiddelgasser
Uten at det berører europaparlaments- og rådsforordning (EU) nr. 517/201417 skal husholdningsoppvaskmaskiner som er utstyrt med en varmepumpe, på en synlig og lesbar måte være permanent merket med den kjemiske betegnelsen for den benyttede kjølemiddelgassen eller en tilsvarende henvisning, for eksempel et symbol, en etikett eller en logo som er allment brukt og kjent, på utsiden av apparatet, for eksempel på bakplaten. Det kan brukes mer enn én henvisning for samme kjemiske betegnelse.
5) Krav til demontering med henblikk på materialutnytting og materialgjenvinning, samtidig som forurensning unngås
Produsentene, importørene eller representantene skal sikre at husholdningsoppvaskmaskinene er konstruert slik at materialene og komponentene nevnt i vedlegg VII til direktiv 2012/19/EU kan fjernes ved hjelp av allment tilgjengelige verktøy.
Produsentene, importørene eller representantene skal oppfylle forpliktelsene i artikkel 15 nr. 1 i direktiv 2012/19/EU.
6. KRAV TIL OPPLYSNINGER
Bruks- og installasjonsanvisningen skal gis i form av en brukerhåndbok på produsentens, importørens eller representantens fritt tilgjengelige nettsted og skal omfatte
1) opplysninger om at eco-programmet er egnet til vask av normalt skittent bordservise, at det for denne bruken er det mest effektive programmet når det gjelder samlet energi- og vannforbruk, og at det brukes til å vurdere samsvar med EUs regelverk for miljøvennlig utforming,
2) opplysninger om at lasting av husholdningsoppvaskmaskinen opp til den kapasiteten som produsenten har angitt, vil bidra til energi- og vannsparing, opplysninger om korrekt lasting av bordservise samt de viktigste konsekvensene av feilaktig lasting,
3) opplysninger om at manuell forhåndsskylling av bordservise medfører økt vann- og energiforbruk, og ikke anbefales,
4) opplysninger om at vask av bordservise i en husholdningsoppvaskmaskin vanligvis forbruker mindre energi og vann i bruksfasen enn oppvask for hånd så lenge husholdningsoppvaskmaskinen brukes i samsvar med produsentens anvisninger,
5) verdiene for programvarighet samt energi- og vannforbruk for alle programmer som har en syklus,
6) opplysninger om at de angitte verdiene for andre programmer enn eco-programmet bare er veiledende, og
7) anvisninger om hvordan modellopplysningene i produktdatabasen skal finnes, som angitt i forordning (EU) 2019/2017, ved hjelp av en lenke til et nettsted med de modellopplysningene som er lagret i produktdatabasen, eller en lenke til produktdatabasen og opplysninger om hvordan modellbetegnelsen for produktet skal finnes.
Bruksanvisningen skal også inneholde anvisninger om hvordan brukeren utfører vedlikehold. Slike anvisninger skal minst omfatte
8) korrekt installasjon (herunder vannrett plassering, tilkopling til nettforsyningen, tilkopling til vanninntak, kaldt og/eller varmt dersom det er relevant),
9) riktig bruk av vaskemiddel, salt og andre tilsetningsstoffer, og de viktigste konsekvensene av feil dosering,
10) fjerning av fremmedlegemer fra husholdningsoppvaskmaskinen,
11) regelmessig rengjøring, herunder optimal hyppighet og forebygging av kalkbelegg, med framgangsmåte,
12) regelmessig kontroll av filtre, herunder optimal hyppighet, med framgangsmåte,
13) identifisering av feil, hva de betyr og hvilke tiltak som kreves, herunder identifisering av feil som krever bistand fra fagfolk,
14) hvordan man får tilgang til fagmessig reparasjon (nettsteder, adresser, kontaktopplysninger).
Slike anvisninger skal også inneholde opplysninger om
15) eventuelle konsekvenser for sluttbrukernes sikkerhet og garantien ved å utføre reparasjoner selv eller få dem utført av ikke-kvalifiserte personer,
16) det tidsrommet reservedeler til husholdningsoppvaskmaskinen som et minimum er tilgjengelige.
VEDLEGG III
Måle- og beregningsmetoder
Med henblikk på samsvar og kontroll med at kravene i denne forordningen er oppfylt, skal målinger og beregninger utføres ved bruk av harmoniserte standarder hvis referansenumre er offentliggjort for dette formålet i Den europeiske unions tidende, eller ved bruk av andre pålitelige, nøyaktige og reproduserbare metoder som bygger på de nyeste allment anerkjente metodene, og i samsvar med følgende bestemmelser:
Eco-programmet ved nominell kapasitet skal brukes til måling og beregning av en husholdningsoppvaskmaskinmodells energieffektivitetsindeks (EEI), vannforbruk, programvarighet, vaske- og tørkeevne og utslipp av luftstøy. Energiforbruk, vannforbruk, programvarighet, vaskeevne og tørkeevne skal måles samtidig.
Eco-programmets vannforbruk (EPWC) uttrykkes i liter per syklus og avrundes til én desimal.
Eco-programmets varighet (Tt) uttrykkes i timer og minutter og avrundes til nærmeste minutt.
1. ENERGIEFFEKTIVITETSINDEKS
Ved beregning av EEI for en husholdningsoppvaskmaskinmodell blir maskinens energiforbruk med eco-programmet (EPEC) sammenlignet med dens energiforbruk med standardprogrammet (SPEC).
a) EEI beregnes på følgende måte og avrundes til én desimal:
EEI = (EPEC/SPEC) × 100
der
EPEC er husholdningsoppvaskmaskinens energiforbruk med eco-programmet, målt i kWh/syklus og avrundet til tre desimaler,
SPEC er husholdningsoppvaskmaskinens energiforbruk med standardprogrammet.
b) SPEC beregnes i kWh/syklus og avrundes til tre desimaler på følgende måte:
i) For husholdningsoppvaskmaskiner med en nominell kapasitet på ps ≥ 10 og bredde > 50 cm:
SPEC = 0,025 × ps + 1,350
ii) For husholdningsoppvaskmaskiner med en nominell kapasitet på ps ≤ 9 eller bredde ≤ 50 cm:
SPEC = 0,090 × ps + 0,450
der ps er antall kuverter.
2. VASKEEVNEINDEKS
Ved beregning av vaskeevneindeksen (IC) for en husholdningsoppvaskmaskinmodell sammenlignes eco-programmets vaskeevne med vaskeevnen til en referanseoppvaskmaskin.
IC beregnes på følgende måte og avrundes til to desimaler:
IC = exp (ln IC)
og

der :
CT,i er vaskeevnen til eco-programmet på den husholdningsoppvaskmaskinen som prøves i én prøving (i), avrundet til to desimaler,
CR,i er vaskeevnen til referanseoppvaskmaskinen i én prøving (i), avrundet til to desimaler,
n er antall prøvinger.
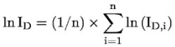
3. TØRKEEVNEINDEKS
Ved beregning av tørkeevneindeksen (ID) for en husholdningsoppvaskmaskinmodell sammenlignes eco-programmets tørkeevne med tørkeevnen til referanseoppvaskmaskinen.
ID beregnes på følgende måte og avrundes til to desimaler:
ID = exp (ln ID)
og

der:
ID,i er tørkeevneindeksen for eco-programmet på den husholdningsoppvaskmaskinen som prøves, i én prøving (i),
n er antallet prøvinger med kombinert vasking og tørking.
ID,i beregnes på følgende måte og avrundes til to desimaler:
ln ID,i= ln (DT,i/DR,t)
der
DT,i er den gjennomsnittlige tørkeevnen til eco-programmet på den husholdningsoppvaskmaskinen som prøves i én prøvingsrunde (i), avrundet til to desimaler.
DR,t er målverdien for tørkeevnen til referanseoppvaskmaskinen, avrundet til to desimaler.
4. LAVEFFEKTTILSTANDER
Effektforbruket i avslått tilstand (Po), hviletilstand (Psm) og eventuelt ved utsatt start (Pds) måles. De målte verdiene uttrykkes i W og avrundes til to desimaler.
Ved måling av effektforbruket i laveffekttilstander skal følgende kontrolleres og registreres:
Om informasjon vises eller ikke.
Om nettverkstilkopling er aktivert eller ikke.
VEDLEGG IV
Verifiseringsprosedyre ved markedstilsyn
Verifiseringstoleransene som angis i dette vedlegget, gjelder bare for medlemsstatenes myndigheters verifisering av de oppgitte parametrene, og de skal ikke brukes av produsenten, importøren eller representanten som en tillatt toleranse ved fastsettelse av verdiene i den tekniske dokumentasjonen eller for å tolke disse verdiene med sikte på å oppnå samsvar, eller for på noe vis å gi inntrykk av bedre ytelse.
Dersom en modell er konstruert for å kunne oppdage at den blir prøvd (f.eks. ved å gjenkjenne prøvingsforholdene eller prøvingssyklusen), og for å reagere spesifikt gjennom automatisk å endre ytelsen under prøvingen for å oppnå et gunstigere nivå på noen av de parametrene som er angitt i denne forordningen, i den tekniske dokumentasjonen eller i den dokumentasjonen som stilles til rådighet, skal modellen og alle tilsvarende modeller anses for ikke å oppfylle kravene.
Når medlemsstatenes myndigheter i henhold til artikkel 3 nr. 2 i direktiv 2009/125/EF verifiserer en produktmodells samsvar med kravene fastsatt i denne forordningen, skal de med hensyn til kravene nevnt i dette vedlegget benytte følgende prosedyre:
1) Medlemsstatenes myndigheter skal verifisere én enhet av modellen.
2) Modellen skal anses for å oppfylle gjeldende krav dersom
a) verdiene som er oppgitt i den tekniske dokumentasjonen i henhold til nr. 2 i vedlegg IV til direktiv 2009/125/EF (oppgitte verdier), og, dersom det er relevant, de verdiene som er brukt for å beregne dem, ikke er gunstigere for produsenten, importøren eller representanten enn resultatene av tilsvarende målinger utført i henhold til bokstav g) i nevnte nummer, og
b) de oppgitte verdiene oppfyller alle krav fastsatt i denne forordningen, og de påkrevde produktopplysningene som offentliggjøres av produsenten, importøren eller representanten, ikke inneholder verdier som er gunstigere for produsenten, importøren eller representanten enn de oppgitte verdiene, og
c) medlemsstatenes myndigheter under kontrollen av modellenheten konstaterer at produsenten, importøren eller representanten har innført et system som oppfyller kravene i artikkel 6 andre ledd og
d) modellenheten oppfyller programkravene, kravene til ressurseffektivitet og opplysningskravene i henholdsvis nr. 1, 5 og 6 i vedlegg II når medlemsstatenes myndigheter kontrollerer den, og
e) verdiene som påvises når medlemsstatenes myndigheter prøver modellenheten (verdiene for de relevante parametrene slik de er målt ved prøvingen, og de verdiene som er beregnet ut fra disse målingene), er i samsvar med de respektive verifiseringstoleransene i tabell 1.
3) Dersom resultatene nevnt i nr. 2 bokstav a), b), c) eller d) ikke oppnås, anses modellen og alle tilsvarende modeller for ikke å være i samsvar med denne forordningen.
4) Dersom resultatet nevnt i nr. 2 bokstav e) ikke oppnås, skal medlemsstatenes myndigheter velge ut ytterligere tre enheter av samme modell for prøving. Alternativt kan de tre ytterligere enhetene som velges ut, være av en eller flere tilsvarende modeller.
5) Modellen skal anses for å oppfylle gjeldende krav dersom det aritmetiske gjennomsnittet av de verdiene som påvises for disse tre enhetene, er i samsvar med de respektive verifiseringstoleransene i tabell 1.
6) Dersom resultatet nevnt i nr. 5 ikke oppnås, anses modellen og alle tilsvarende modeller for ikke å være i samsvar med denne forordningen.
7) Medlemsstatenes myndigheter skal framlegge alle relevante opplysninger for de øvrige medlemsstatenes myndigheter og Kommisjonen umiddelbart etter at det i samsvar med nr. 3 eller 6 er truffet beslutning om at modellen ikke oppfyller kravene.
Medlemsstatenes myndigheter skal bruke de måle- og beregningsmetodene som er fastsatt i vedlegg III.
Medlemsstatenes myndigheter skal benytte bare verifiseringstoleransene angitt i tabell 1 og bare prosedyren beskrevet i nr. 1–7 for de kravene som er nevnt i dette vedlegget. For parametrene i tabell 1 skal ingen andre toleranser, f.eks. toleranser angitt i harmoniserte standarder eller i andre målemetoder, benyttes.
Tabell 1
Verifiseringstoleranser
Parameter | Verifiseringstoleranser |
|---|---|
Eco-programmets energiforbruk (EPEC) | Den påviste verdien(*) skal ikke overstige den oppgitte verdien for EPEC med mer enn 5 %. |
Eco-programmets vannforbruk (EPWC) | Den påviste verdien(*) skal ikke overstige den oppgitte verdien for EPWC med mer enn 5 %. |
Vaskeevneindeks (IC) | Den påviste verdien(*) skal ikke ligge mer enn 14 % under den oppgitte verdien for IC. |
Tørkeevneindeks (ID) | Den påviste verdien(*) skal ikke ligge mer enn 12 % under den oppgitte verdien for ID. |
Programvarighet (Tt) | Den påviste verdien(*) skal ikke overstige den oppgitte verdien med mer enn 5 % eller 10 minutter, alt etter hva som er lengst. |
Effektforbruk i avslått tilstand (Po) | Den påviste verdien(*) for effektforbruk Po skal ikke overstige den oppgitte verdien med mer enn 0,10 W. |
Effektforbruk i hviletilstand (Psm) | Den påviste verdien(*) for effektforbruk Psm skal ikke overstige den oppgitte verdien med mer enn 10 % dersom den oppgitte verdien er høyere enn 1,00 W, eller med mer enn 0,10 W dersom den oppgitte verdien er lavere enn eller lik 1,00 W. |
Effektforbruk med utsatt start (Pds) | Den påviste verdien (*) for effektforbruk Pds skal ikke overstige den oppgitte verdien med mer enn 10 % dersom den oppgitte verdien er høyere enn 1,00 W, eller med mer enn 0,10 W dersom den oppgitte verdien er lavere enn eller lik 1,00 W. |
(*) Dersom tre ytterligere enheter prøves som fastsatt i nr. 4, er den påviste verdien det aritmetiske gjennomsnittet av verdiene som er påvist for disse tre ytterligere enhetene.
VEDLEGG V
Referanseverdier
1. VEILEDENDE REFERANSEVERDIER FOR HUSHOLDNINGSOPPVASKMASKINER MED HENSYN TIL VANN- OG ENERGIFORBRUK, UTSLIPP AV LUFTSTØY OG PROGRAMVARIGHET
På tidspunktet for denne forordningens ikrafttredelse ble følgende utpekt som den beste tilgjengelige teknologien på markedet for husholdningsoppvaskmaskiner når det gjelder energieffektivitet, energi- og vannforbruk, utslipp av luftstøy og programvarighet for eco-programmet:
1) Husholdningsoppvaskmaskiner med 14 kuverter (uten varmepumpeteknologi):
a) Energiforbruk: 0,67 kWh/syklus.
b) Vannforbruk: 9,9 l/syklus.
c) Utslipp av luftstøy: 44 dB(A).
d) Programvarighet: 222 minutter (3 timer og 42 minutter).
2) Husholdningsoppvaskmaskiner med 13 kuverter (med varmepumpeteknologi):
a) Energiforbruk: 0,55 kWh/syklus.
b) Vannforbruk: 8,8 l/syklus.
c) Utslipp av luftstøy: 46 dB(A).
d) Programvarighet: 295 minutter (4 timer og 55 minutter).
3) Husholdningsoppvaskmaskiner med 10 kuverter:
a) Energiforbruk: 0,66 kWh/syklus.
b) Vannforbruk: 9,5 l/syklus.
c) Utslipp av luftstøy: 44 dB(A).
d) Programvarighet: 195 minutter (3 timer og 15 minutter).
4) Husholdningsoppvaskmaskiner med 6 kuverter:
a) Energiforbruk: 0,62 kWh/syklus.
b) Vannforbruk: 8,0 l/syklus.
c) Utslipp av luftstøy: 48 dB(A).
d) Programvarighet: 225 minutter (3 timer og 45 minutter).
2. VEILEDENDE REFERANSEVERDIER FOR HUSHOLDNINGSOPPVASKMASKINER MED HENSYN TIL EFFEKTFORBRUK I LAVEFFEKTTILSTANDER
På tidspunktet for denne forordningens ikrafttredelse ble følgende utpekt som den beste tilgjengelige teknologien på markedet for husholdningsoppvaskmaskiner når det gjelder effektforbruk i laveffekttilstander:
1) Hviletilstand: 0,20 W.
2) Nettverkstilkoplet hviletilstand: Ethernet 0,60 W, Wi-Fi 0,70 W.
Fotnoter
EUT L 285 av 31.10. 2009, s. 10.
Kommisjonsmelding. Arbeidsplan for miljøvennlig utforming 2016–2019 (COM(2016) 773 final, 30.11.2016).
Kommisjonsforordning (EU) nr. 1016/2010 av 10. november 2010 om gjennomføring av europaparlaments- og rådsdirektiv 2009/125/EF med omsyn til krav til miljøvenleg utforming av hushaldsoppvaskmaskiner (EUT L 293 av 11.11.2010, s. 31).
Delegert kommisjonsforordning (EU) nr. 1059/2010 av 28. september 2010 om utfylling av europaparlaments- og rådsdirektiv 2010/30/EU med omsyn til energimerking av hushaldsoppvaskmaskiner (EUT L 314 av 30.11.2010, p. 1).
Kommisjonsmelding til Europaparlamentet, Rådet, Den europeiske økonomiske og sosiale komité og Regionkomiteen: «Closing The Loop — An EU action plan for the circular economy» (COM(2015) 614 final av 2.12.2015).
COM(2016) 773 final av 30.11.2016.
Europaparlaments- og rådsdirektiv 2012/19/EU av 4. juli 2012 om avfall fra elektrisk og elektronisk utstyr (WEEE) (EUT L 197 av 24.7.2012, s. 38).
Europaparlaments- og rådsdirektiv 2006/42/EF av 17. mai 2006 om maskiner, og om endring av direktiv 95/16/EF (EUT L 157 av 9.6.2006, s. 24).
Kommisjonsforordning (EF) nr. 1275/2008 av 17. desember 2008 om gjennomføring av europaparlaments- og rådsdirektiv 2005/32/EF når det gjelder krav til miljøvennlig utforming av elektriske og elektroniske husholdningsapparater og kontorutstyr med hensyn til effektforbruk i hviletilstand og avslått tilstand (EUT L 339 av 18.12.2008, s. 45).
Europaparlaments- og rådsforordning (EU) nr. 1025/2012 av 25. oktober 2012 om europeisk standardisering og om endring av rådsdirektiv 89/686/EØF og 93/15/EØF samt europaparlaments- og rådsdirektiv 94/9/EF, 94/25/EF, 95/16/EF, 97/23/EF, 98/34/EF, 2004/22/EF, 2007/23/EF, 2009/23/EF og 2009/105/EF og om oppheving av rådsvedtak 87/95/EØF og europaparlaments- og rådsbeslutning nr. 1673/2006/EF (EUT L 316 av 14.11.2012, s. 12).
Delegert kommisjonsforordning (EU) 2019/2017 av 11. mars 2019 om utfylling av europaparlaments- og rådsforordning (EU) 2017/1369 med omsyn til energimerking av hushaldsoppvaskmaskiner og om oppheving av delegert kommisjonsforordning (EU) nr. 1059/2010 (EUT L 315 av 5.12.2019, s. 134).
Europaparlaments- og rådsforordning (EU) 2017/1369 av 4. juli 2017 om fastsetjing av ei ramme for energimerking og om oppheving av direktiv 2010/30/EU (EUT L 198 av 28.7.2017, s. 1).
Europaparlaments- og rådsdirektiv 2014/35/EU av 26. februar 2014 om harmonisering av medlemsstatenes lovgivning om tilgjengeliggjøring på markedet av elektrisk utstyr bestemt til bruk innenfor visse spenningsgrenser (EUT L 96 av 29.3.2014, s. 357).
Europaparlaments- og rådsdirektiv 2014/53/EU av 16. april 2014 om harmonisering av medlemsstatenes lovgivning om tilgjengeliggjøring på markedet av radioutstyr og om oppheving av direktiv 1999/5/EF (EUT L 153 av 22.5.2014, s. 62).
Europaparlaments- og rådsdirektiv 2014/30/EU av 26. februar 2014 om harmonisering av medlemsstatenes lovgivning om elektromagnetisk kompatibilitet (EUT L 96 av 29.3.2014. s. 79).
Kommisjonsforordning (EU) nr. 801/2013 av 22. august 2013 om endring av forordning (EF) nr. 1275/2008 når det gjelder krav til miljøvennlig utforming av elektrisk og elektronisk husholdnings- og kontorutstyr med hensyn til effektforbruk i hviletilstand og avslått tilstand, og om endring av forordning (EF) nr. 642/2009 når det gjelder krav til miljøvennlig utforming av fjernsyn (EUT L 225 av 23.8.2013, s. 1)
Europaparlaments- og rådsforordning (EU) nr. 517/2014 av 16. april 2014 om fluorholdige klimagasser og om oppheving av forordning (EF) nr. 842/2006 (EUT L 150 av 20.5.2014, s. 195).