5 Støtteordning for første fase av Sørlege Nordsjø II
5.1 Tosidig differansekontrakt
Departementet føreslår at første fase av Sørlege Nordsjø II blir støtta gjennom ein tosidig differansekontrakt. Differansekontrakt er same støttemekanisme som Stortinget viser til for flytande havvind i anmodningsvedtak nr. 704 til Meld. St. 11 (2021–2022):1
«Stortinget ber Regjeringen utrede ulike støtteordninger og virkemidler som kan være utløsende for å få igangsatt prosjekter for flytende havvind, deriblant differansekontrakter.»
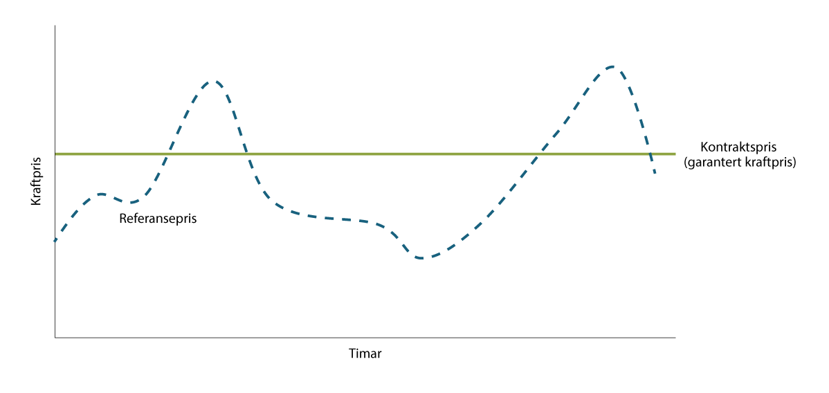
Fleire andre land brukar tosidige differansekontraktar som støttemodell og det er den mest utbreidde støttemodellen for havvind i Europa. Ein tosidig differansekontrakt er ei langsiktig avtale med staten, som gjev produsenten risikoavlasting i form av ein garantert kraftpris i ein avtalt periode av driftsfasen. Kraftprodusenten får dermed ei meir føreseieleg inntekt i driftsfasen ved at staten tar på seg delar av kraftprisriskoen. Det legg til rette for at prosjektet blir realisert. Den tosidige differansekontrakten gjev også ei mogleg oppside for staten viss kraftprisen blir høgre enn forventa. Samtidig gjer det at kraftprodusentane i mindre grad må ta omsyn til kraftprisar i gjennomføringa av prosjektet. Støtta vert fastsett av ein kontraktspris som blir avklart gjennom bodgjevinga i auksjonen. Dersom kraftprisen i marknaden er lågare enn kontraktsprisen, dekker staten differansen. Dersom kraftprisen i marknaden er høgre enn kontraktsprisen får staten differansen frå produsenten. Det totale støttenivået i periodar der kraftprisen er lågare enn kontraktsprisen er lik differansen mellom kontraktsprisen og kraftprisen multiplisert med energiproduksjonen i den same perioden.

Figur 5.1 Illustrasjon av tosidig differansekontrakt
Kjelde: Olje- og energidepartementet
Tildeling av prosjektområdet i ein auksjon vil bidra til å minimere støttenivået ved at det gjev konkurranse mellom dei prekvalifiserte aktørane om den statlege støtta. Dette legg til rette for at prosjektområdet vert tildelt den prekvalifiserte aktøren med det mest kostnadseffektive prosjektet. Staten si eksponering blir avgrensa av to mekanismar; reservasjonspris og eit øvre tak for statsstøtta, jf. avsnitt 5.2.1 og 5.2.2.
5.2 Rammer for den tosidige differansekontrakten
5.2.1 Reservasjonspris
Departementet vil sette ein reservasjonspris for tildeling av prosjektområde til fornybar energiproduksjon i første fase av Sørlege Nordsjø II. Ein reservasjonspris er ein maksimal kontraktspris som definerer det høgste støttenivået staten er villig til å betale per kilowattime energiproduksjon. Gjennom å sette ein reservasjonspris før auksjonen startar, reduserer staten risikoen for svært høg kontraktspris. Reservasjonspris er eit vanleg instrument i fornybarauksjonar i Europa og er oftast basert på energikostnad over levetida, LCOE (levelized cost of energy). Reservasjonsprisen bør ikkje settast så lågt at bodgjevarane trekk seg frå konkurransen, det vil gje ein mislukka auksjon. Auksjonsrådgivarane Vista Analyse og Guidehouse anbefaler at reservasjonsprisen vert basert på NVE sine estimat for energikostnad over levetida, LCOE, men at det vert lagt på ein margin på 15 prosent.
Departementet har brukt NVE sine estimat for energikostnad over levetida, LCOE, og ein margin på 15 prosent for å anslå reservasjonsprisen og føreslår å fastsette ein reservasjonspris på 66 øre/kWh. Anslaget legg til grunn pessimistiske føresetnader for investerings- og driftskostnader.
5.2.2 Tak for utbetalingar under støtteordninga
Dei totale utbetalingane frå staten under den tosidige differansekontrakten kan avgrensast ved å sette eit øvre tak for den totale statlege støtta. På same måte kan det settast eit øvre tak for dei totale utbetalingane frå kraftprodusenten til staten. Korleis og kor høgt dette taket vert sett betyr mykje for risikofordelinga i prosjektet. Dess lågare støttetaket er, dess mindre risiko vert overført frå havvindprodusenten til staten. Aktørane har i høyringa påpeikt at eit lågare tak kan gje høgre bod, fordi det inneber at aktøren tar ein større del av prosjektrisikoen. Høgre bod kan innebere høgre støtte frå staten. Eit lågt tak kan gje risiko for at prosjektet blir gjennomført i eit mindre omfang, eller at prosjektet ikkje blir realisert. Samtidig set taket ei øvre grense for staten si støtte til prosjektet viss kraftprisutviklinga blir mykje lågare enn venta. Dette bidreg til å avgrense staten sin risiko i prosjektet.
Boks 5.1 Anbefalingar frå auksjonsrådgivarane og høyringsinstansar om tak for statleg støtte og utbetalingar frå produsent
Auksjonsrådgivarane Vista Analyse og Guidehouse anbefaler at det ikkje vert sett eit tak for støtta frå staten. Dei meiner at eit tak kan gje ein mislukka auksjon, til dømes om ingen aktørar er villige til å gjennomføre prosjektet innanfor taket. I staden anbefaler dei at staten brukar reservasjonsprisen til å avgrense staten sin del av risikoen i prosjektet. Dersom budsjettomsyn gjer at det måbli sett eit tak, argumenterer rådgivarane for at taket bør settast så høgt at det ikkje er bindande. I praksis inneber det at taket vert sett med utgangspunkt i pessimistiske estimat for kostnader og kraftprisutvikling. Gitt anslaga for støttebehovet i avsnitt 4.4 vil det innebere at taket for statleg støtte vert sett lik 23 mrd. kroner. Vista Analyse og Guidehouse anbefaler at det heller ikkje vert sett eit øvre tak for utbetalingar frå produsenten til staten. Dei meiner det kan gjere det vanskeleg å peike ut ein vinnar av auksjonen om fleire aktørar er villige til å betale taket for utbetalingar frå produsenten til staten. I høyringa av støtteordninga vart det lagt til grunn at omsynet til dei statlege finansanse gjer det naudsynt å sette ei øvre grense for staten si støtte til prosjektet. I tillegg vart det lagt opp til at taket skal vere symmetrisk. Det vil seie at taket for utbetalingar under støtteordninga bør vere like høgt for utbetalingar frå staten til produsenten som frå produsenten til staten. Fleirtalet av høyringsinstansene argumenterte mot å sette ei øvre grense for statleg støtte under differansekontrakten, men fleire var einige i at eit eventuelt tak bør vere symmetrisk.
Departementet held fast på si vurdering om å sette ei øvre kostnadsramme for staten si samla støtte under den tosidige differansekontrakten. Statlege budsjettomsyn gjer dette naudsynt. Olje- og energidepartementet føreslår at taket vert sett til 15 mrd. kroner og at det er symmetrisk. At taket er symmetrisk inneber at taket for utbetalingar frå produsenten til staten er like høgt som taket for statsstøtte. Viss fleire aktørar er villige til å betale taket for utbetalingar til staten i auksjonen, vil prosjektområdet i første fase av Sørlige Nordsjø II bli tildelt aktøren med best resultat i prekvalifiseringsprosessen. Departementet si vurdering er at 15 mrd. kroner vil gje tilstrekkeleg kostnads- og risikoavlasting til at prosjektet vert gjennomført. Både taket for statsstøtte og utbetalingar frå produsenten vil vere netto tak, jf. boks 5.2.
Boks 5.2 Døme på utbetalingsprofil for den tosidige differansekontrakten
Dømet i figur 5.2 viser ein mogleg utbetalingsprofil for den tosidige differansekontrakten. I figuren er referanseprisen (kraftprisen i avtalt periode) lågare enn kontraktsprisen frå 2030 til 2042. Havvindprodusenten vil få støtte frå staten fram til taket for statleg støtte er nådd. I figuren blir taket nådd i 2039. Staten vil derfor ikkje betale noko til havvindprodusenten i åra 2040 til 2042, sjølv om referanseprisen er lågare enn kontraktsprisen. I åra 2043 til 2045 er derimot referanseprisen høgre enn kontraktsprisen, og derfor skal produsenten betale til staten. Begge tak er netto slik at viss produsenten i ein periode betalar til staten fordi kontraktsprisen er høgre enn referanseprisen, har produsenten rett til støtte for tilsvarandebeløp i framtida viss kontraktsprisen er lågare enn referanseprisen (fram til taket blir nådd eller støtteperioden er over).

Figur 5.2 Døme på utbetalingar under støtteordninga
Kjelde: Olje- og energidepartementet
5.2.3 Føresetnader for differansekontrakten
Referansepris: Krafta som blir produsert frå første fase av Sørlege Nordsjø II vil bli knytt til prisområde NO2 (Sørlandet). Referanseprisen vil bli sett månad for månad og svare til månadleg gjennomsnittspris i NO2. Viss inndelinga av prisområdet blir endra innanfor avtaleperioden til differansekontrakten, vil referanseprisen bli sett basert på den månadlege gjennomsnittsprisen i prisområdet vindparken høyrer til etter endringa.
Departementet føreslo i utgangspunktet ein referanseperiode på eitt år i høyringa. Fordelane med ein lang referanseperiode er at insentiva til å produsere i tråd med marknadsprisen er høgre enn med ein kort referanseperiode på til dømes ein time. Det kan innverka på utforminga av havvindparken. Det gjev også høgre insentiv til å på sikt investere i lagringsteknologiar som til dømes batteri eller hydrogen. Ein lang referanseperiode kan også gje høgre insentiv til å inngå langsiktige kraftkjøpsavtaler (PPA) i marknaden. Ein kort referanseperiode på ein time vil skjerme produsenten frå svingingar i kraftprisen og inneber at staten tar den største delen av kraftprisrisikoen. Produsenten vil stå overfor ein konstant kontraktspris og vil maksimere produksjonsvolum og minimere kostnader. Ei rekke høyringsinstansar trakk fram at ein lang referanseperiode på eit år vil auke risikoen for produsenten og at dette vil gje høgre bod i auksjonen. Høyringsinstansane meiner kraftprisrisikoen heller burde berast av staten. Ved å innføre ein kort referanseperiode blir den kortsiktige prisrisikoen i kraftmarknaden overført frå produsenten til staten. Fleirtalet av høyringsinstansane argumenterte for at ein lengre referanseperiode ikkje vil gje vesentlege insentiv til å produsere i tråd med marknadsprisen. Dette skuldast at havvind er variabel energiproduksjon, som gjer at det er vindforholda som avgjer produksjonen. Det er også vanskeleg å tilpasse vedlikehald av havvindparken til kraftprisen. På grunn av vêrforholda i Nordsjøen vil vedlikehald bli gjennomført om sommaren, og det må planleggast i god tid. Sesongprofilen for vedlikehald samsvarar også godt med periodar med låg forventa kraftpris.
Ein referanseperiode på ein månad har nokon av fordelane frå begge alternativa. Ein månadleg referanseperiode vil gje produsenten sterkare insentiv til å produsere i tråd med marknadsprisen enn ein timesbasert referanseperiode, og legge betre til rette for samfunnsmessig rasjonell produksjon. Samtidig vil det gje produsenten ei meir føreseieleg inntekt enn ein årleg referanseperiode, og dermed gje produsenten meir risikoavlastning. Ein månadleg referansepris kan dermed gje ei god balanse mellom å legge til rette for at prosjektet blir realisert og gje insentiv til samfunnsmessig rasjonell produksjon. Departementet foreslår derfor ein referanseperiode på ein månad.
Varigheit: Utbetalingane under den tosidige differansekontrakten vil tre i kraft når prosjektet er sett i drift. Enkelte høyringsinstansar har ønska ein differansekontrakt på 20 år. Departementet meiner at ein differansekontrakt på 15 år frå planlagt oppstartsdato er tilstrekkeleg og legg dette til grunn. Til dømes har Storbritannia same lengd på differansekontraktar til havvind.
Opphøyr av støtte ved låge prisar og nullprisar: For å unngå at vindparken produserer kraft på tidspunkt der verdien av produksjonen er negativ, vil det ikkje bli gjeve støtte i timar med svært låge eller negative prisar i spotmarknaden. Minsteprisen for støtte blir sett til 5 øre/kWh. Dette er i tråd med EU-lovgjevinga for statsstøtte.2
Andre justeringar for å gje produsenten riktige insentivar: Ved månadleg referensepris kan det oppstå situasjonar der det er samfunnsmessig rasjonelt at vindparken produserer og der produsenten skal betale staten i henhold til differansekontrakta, men der spotprisen kombinert med betalinga vil gjere at produsenten går med tap. For å unngå at vindparken stopper produksjonen i slike situasjonar vil det vere ein regel som nedjusterar kor mykje produsenten skal betale til staten i ein slik situasjon.
Inflasjonsjustering: Det er stor usikkerheit rundt framtidige kostnader til havvind, blant anna på grunn av kapasitetssituasjonen i leverandørkjeda til havvind og inflasjon, jf. avsnitt 4.3.1. Kontraktsprisen, minsteprisen og støttetaket (kostnadsramma) vil bli inflasjonsjustert etter konsumprisindeksen med verknad frå 1. kvartal 2024 fram til det første kvartalet der havvindparken er sett i drift.
5.2.4 Staten sine kostnader og risiko i fornybar energiproduksjon frå første fase av Sørlege Nordsjø II
Nivået på statsstøtte til første fase av Sørlege Nordsjø II vil bli avgjort ved tildeling av prosjektområdet. Prosjekområdet vil bli tildelt aktøren som byr lågast kontraktspris i auksjonen. Den garanterte kraftprisen (kontraktsprisen) til aktøren som blir tildelt prosjektområdet avgjer kor mykje staten maksimalt vil betale per kWh energiproduksjon. Den faktiske støtta frå staten til første fase av Sørlege Nordsjø II vil i tillegg avhenge av kraftprisutviklinga og energiproduksjonen til havvindanlegget. Den faktiske støtta frå staten vil dermed kunne auke, opp til taket for statleg støtte (kostnadsramma).
Staten vil ikkje gje statsstøtte før havvindparken er sett i drift og staten er berre forplikta til å betale den garanterte kontraktsprisen. Om aktøren sine kostnader for å realisere prosjektet blir høgre enn antatt ved auksjonstidspunktet, er staten ikkje forplikta til å dekke dette. Staten er heller ikkje forplikta til å dekke aktøren sine kostnader om konsesjonen om fornybar energiproduksjon frå første fase av Sørlige Nordsjø II blir avslått. Statsstøtte til første fase av Sørlege Nordsjø II føreset at statsstøtta blir godkjend av ESA, jf. avsnitt 2.2.4.
Tabell 5.1 gjev ei overordna skildring av staten sine kostnader, risiko og ansvar i samsvar med gjeldande utkast til differansekontrakt. Risikomatrisa omfattar ikkje forhold knytt til staten si rolle som konsesjonsmyndigheit eller Statnett si rolle som nettselskap eller systemansvarleg. Heller ikkje risikoforhold knytt til prekvalifisering og konkurranseforhold er omfatta. Departementet vil ha dialog med relevante aktørar i ferdigstillinga av kontrakten, og det kan kome endringar som følge av innspela. Endringar i differansekontrakten vil kunne påverke innhaldet i risikovurderinga.
Tabell 5.1 Risikomatrise – staten sine kostnader, ansvar og risiko
Overordna | |
Støttemodell | Produsenten (i avtalen kalla støttemottakar og i andre samanhengar kalla søkar eller tiltakshavar) skal bygge og drive produksjonsanlegg og nettanlegg (samla: energianlegg) for eiga rekning og risiko. Staten yter verken investerings- eller driftstilskot. Dette inneber at produsenten sine investerings- og driftskostnader er utan betydning for omfanget av staten sine kostnader. I støtteperioden yter staten tilskot (pristillegg) i periodar kor referanseprisen for kraft er lågare enn kontraktsprisen. I periodar kor referanseprisen er høgre enn kontraktsprisen, skal produsenten betale differansen til staten (prisfrådrag). Kontraktsprisen er prisen produsenten baud og fekk tilslag på i auksjonen for tildeling av prosjektområdet. Referanseprisen er gjennomsnittet av alle spotprisar i ein månad. Både den samla betalinga frå staten til produsenten og den samla betalinga frå produsenten til staten i løpet av støtteperioden er avgrensa til 15 mrd. kroner (før inflasjonsjustering). Støtteperioden er 15 år frå produksjons- og nettanlegget er ferdig bygd og sett i drift. |
Pristillegg | Når referanseprisen er lågare enn kontraktsprisen, skal staten betale produsenten eit beløp likt prisdifferansen mellom kontraktsprisen og referanseprisen per eining kraft (kWh) produsert. Samla betaling frå staten til produsenten i ein gitt tidsperiode vil dermed vere produktet av mengda produsert kraft og (den negative) prisdifferansen i perioden. |
Prisfrådrag | Når referanseprisen er høgre enn kontraktsprisen, skal produsenten betale staten eit beløp likt prisdifferansen mellom kontraktsprisen og referanseprisen per eining kraft (kWh) produsert. Samla betaling frå produsenten til staten i ein gitt tidsperiode vil dermed vere produktet av mengda produsert kraft og (den positive) prisdifferansen i perioden. |
Månadleg berekning og betaling | Det er lagt opp til månadleg berekning og betaling av pristillegg og prisfrådrag. |
Tak på betaling frå staten til utbyggjar | Staten si samla utbetaling i løpet av støtteperioden er beløpsmessig avgrensa. Berekninga skjer på netto basis, slik at det avgjerande er storleiken på samla pristillegg minus samla prisfradrag. Taket kan bli nådd dersom referanseprisen over lengre tid er lågare enn kontraktsprisen. Dersom taket blir nådd, vil betaling frå staten til utbyggjar bli suspendert inntil samla netto betaling frå staten til produsent igjen fell under taket. Dette vil kunne skje dersom referanseprisen i ein etterfølgande periode er høgre enn kontraktsprisen (slik at produsent må betale prisfrådrag til staten). |
Tak på betaling frå produsent til staten | Også produsenten sin samla betaling til staten i løpet av støtteperioden er beløpsmessig avgrensa. Taket kan bli nådd dersom referanseprisen over lengre tid er høgre enn kontraktsprisen. Dersom taket blir nådd, vil betalinga frå produsenten til staten bli suspendert inntil samla netto betaling frå produsenten til staten igjen fell under taket. Dette vil kunne skje dersom referanseprisen i ein etterfølgande periode er lågare enn kontraktsprisen (slik at staten må betale pristillegg til produsenten). |
Kostnader i byggeperioden | |
Investeringskostnader | Produsenten skal bygge produksjons- og nettanlegg for eiga rekning og risiko. Staten yter ikkje investeringstilskot. Dette inneber at staten heller ikkje ber kostnader eller risiko knytt til produsenten sine eventuelle auka investeringskostnader. |
Kostnader og inntekter i driftsperioden (støtteperioden) | |
Støtteperiode | Støtteperioden på 15 år byrjar når produksjons- og nettanlegget er ferdig bygd og sett i drift. Ferdigstilling føreset at størstedelen av vindturbinane er tilkopla og har levert kraft. Eventuell kraftproduksjon før krava til ferdigstilling er oppnådd gjev ikkje rett til tilskot, men gjev staten heller ikkje rett til betaling sjølv om referanseprisen skulle vere høgre enn kontraktsprisen. |
Driftskostnader | Produsenten skal drive produksjons- og nettanlegg for eiga rekning og risiko. Staten yter ikkje driftstilskot. Dette inneber at staten heller ikkje ber kostnader eller risiko knytt til eventuelle auka driftskostnader. |
Inntekter frå kraftproduksjon | Inntektene frå sal av produsert kraft går til produsenten. Dette gjeld uansett korleis krafta blir seld og til kva for pris produsenten får. Det har til dømes ingen innverknad på staten sine kostnader eller inntekter om krafta blir selt på ein regulert kraftbørs eller gjennom ein langsiktig kraftkjøpsavtale (PPA). Det avgjerande for staten sine kostnader og inntekter er forholdet mellom kontraktspris og referansepris. I periodar kor referanseprisen er lågare enn kontraktsprisen, er staten forplikta til å dekke differansen (pristillegg). I periodar kor referanseprisen er høgre enn kontraktsprisen, skal produsenten betale differansen til staten (prisfrådrag). I denne situasjonen vil ein del av inntektene frå kraftproduksjonen dermed gå til staten. |
Balansekostnader | Alle balansekostnader (eller inntekter) som følge av avvik mellom innmeldt og avrekna produksjon må dekkast av produsenten. Produsenten sine ubalansar eller ubalansekostnader påverkar dermed ikkje staten sine kostnader (eller inntekter). |
Avleidde produkt eller sertifikat (opphavsgarantiar) | Alle inntekter (og kostnader) knytt til avleidde sertifikat eller produkt går til produsenten. På noverande tidspunkt vil dette omfatte sal av opphavsgarantiar. Dette påverkar dermed ikkje staten sine kostnader (eller inntekter). |
Referansepris, markedsrisiko og produksjons-/volumrisiko | |
Referansepris | Referanseprisen er gjennomsnittet av alle spotprisar i ein månad. I støtteperioden tar staten risikoen for utviklinga i referanseprisen. |
Marknadsrisiko | Bruk av gjennomsnittsprisar inneber at produsenten er sikra mot langsiktige svingingar i kraftprisen, men inneber eksponering for kortsiktige prissvingingar innanfor den aktuelle månaden. Staten vil dermed ha risikoen for gjennomsnittsprisen, men ikkje for kortsiktige prissvingingar i forhold til gjennomsnittsprisen. |
Produksjons-/volumrisiko | Både pristillegg og prisfrådrag blir berekna for produsert kraft som blir levert i tilknytingspunktet i kraftnettet på land. Det inneber at produsenten har risikoen for mengden kraft som blir produsert (produksjonsrisiko/volumrisiko), og risikoen for tap i nettanlegget frem til tilknytingspunktet. Dette gjeld uansett årsak, til dømes at det ikkje blæs, vedlikehald, feil og nedetid på produksjonsanlegget, eller feil og nedetid på nettanlegget (fram til tilknytingspunktet). |
Produksjonsrelatert inntektsrisiko | Kor vidt produsenten reelt sett ber heile inntektsrisikoen, vil avhenge av om referanseprisen er lågare eller høgre enn kontraktsprisen. Dersom referanseprisen er lågare enn kontraktsprisen, vil bortfall av produksjon bety både bortfall av salsinntekter og bortfall av pristillegg. Dersom referanseprisen derimot er høgre enn kontraktsprisen, vil bortfall av produksjon føre til bortfall av salsinntekter, men også bortfall av betalingsforpliktinga til staten (prisfrådrag). I denne situasjonen ber dermed staten reelt sett ein del av inntektsrisikoen knytt til produksjonsvolum. |
Kostnader og inntekter etter utløpet av støtteperioden | |
Driftskostnader | På same måte som i støtteperioden, vil produsenten drive produksjons- og nettanlegget for eiga rekning og risiko etter utløpet av støtteperioden. Avtalen legg ingen føringar for vidare drift etter utløpet av støtteperioden. Drift etter utløpet av støtteperioden må i alle tilfelle følge vilkår i konsesjon og krav i havenergilova og anna relevant regulering. |
Inntekter frå kraftproduksjon | Inntektene frå sal av produsert kraft etter utløpet av støtteperioden går uavkorta til produsenten. Staten får ingen inntekter etter utløpet av støtteperioden, men har heller ingen kostnader til tilskot. |
Avviklings- og fjerningskostnader | Produsenten må dekke kostnader til avvikling og fjerning av produksjons- og nettanlegg i samsvar med gjeldande regelverk. Staten er ikkje forplikta til å dekke noko av avviklings- eller fjerningskostnadene. |
Garanti | |
Garanti | Produsenten må stille ein garanti som tryggleik for pliktene sine overfor staten etter avtalen. Garantien til tryggleik for pliktene etter avtalen vil gjelde så lenge avtalen er i kraft, og kjem i tillegg til eventuelle garantiar som blir stilte etter havenergilova. Til dømes vil garantiar for fjerningskostnader ved utløpet av konsesjonsperioden, lenge etter at avtalen har gått ut, måtte krevjast etter havenergilova. |
Scenario som påverkar kostnadene, ansvaret og risikoen til staten | |
Konsesjon etter havenergilova | Avtalen legg ingen føringar på staten sin rett til å tildele eller la vere å tildele konsesjon for etablering av energianlegget etter havenergilova, eller på tilgangen staten har til å stille vilkår for slik konsesjon. Produsenten er forplikta til å etablere og drive energianlegget i samsvar med konsesjonen og dei vilkåra som måtte bli stilt. Dersom produsenten ikkje får innvilga konsesjon etter havenergilova blir begge partar fritekne for forpliktingane sine og avtalen fell bort. Staten tar også tidsrisikoen for konsesjonsbehandlinga, ved at forseinka ferdigstilling som skuldast staten si konsesjonsbehandling etter havenergilova ikkje vil utgjere eit kontraktsbrot som gjev staten rett til å krevje dagbøter. |
Konsesjon etter energilova | Produsenten har risikoen for at han får konsesjon etter energilova (i den grad det trengst). Staten tar likevel tidsrisikoen for konsesjonsbehandlinga etter energilova, ved at forseinka ferdigstilling då ikkje vil utgjere eit kontraktsbrot som gjev staten rett til å krevje dagbøter. |
Kapasitet i tilknytningspunktet i nettet på land | Produsenten har risikoen for at det er tilgjengeleg kapasitet i tilknytingspunktet i nettet på land. Staten tar likevel tidsrisikoen, ved at forseinka ferdigstilling som kjem av at det ikkje er kapasitet i tilknytingspunktet på det tidspunktet energianlegget er planlagt sett i drift, ikkje vil vere eit kontraktsbrot som gjev staten rett til å krevje dagbøter. |
Løyve etter anna regelverk | Produsenten har ansvaret for å innhente alle løyve som trengst etter anna regelverk, og inngå nødvendige avtaler med private partar. Produsenten har risikoen for at slike løyve og avtaler kjem på plass, og at dei gjer det i tide slik at prosjektet ikkje blir forseinka. |
Forseinka ferdigstilling | Forseinka ferdigstilling inneber at støtteperioden blir utsett i tid. Langvarig forseinking medfører at lengda på støtteperioden blir redusert. Forseinka ferdigstilling og forseinking på enkelte andre milepælar, gjev staten rett til å krevje ei førehandsfastsett dagbot. Langvarig forseinking gjev staten rett til å heve avtalen. Staten har ikkje rett til å krevje dagbot eller heve avtalen dersom forseinkinga kjem av behandlingstida for konsesjon etter havenergilova, konsesjon etter energilova, manglande kapasitet i tilknytingspunktet eller force majeure. |
Produsenten skrinlegg prosjektet | Dersom produsenten skrinlegg prosjektet, eller dersom det er klart frå utbyggjar sine handlingar eller unnlatingar at energianlegget ikkje vil bli etablert, kan staten krevje ei førehandsfastsett fasthaldingsbot. |
Høg kraftproduksjon | Betalingspliktene til partane avheng av kor mykje elektrisk kraft som blir produsert, og forholdet mellom referanseprisen og kontraktsprisen. Høgre produksjon vil føre til ei større betaling frå staten til produsenten ved låge kraftprisar (og tilsvarande ei større betaling frå produsenten til staten ved høge kraftprisar), innanfor ramma av det samla taket. |
Låg kraftproduksjon, nedetid | Lågare produksjon vil medføre ei mindre betaling frå staten til produsenten ved låge kraftprisar (og tilsvarande ei mindre betaling frå produsenten til staten ved høge kraftprisar). Bortfall eller reduksjon av produksjon, uansett årsak, vil gje tilsvarande bortfall eller reduksjon i omfanget betalingsplikter. Konsekvensane vil likevel avhenge av forholdet mellom referansepris og kontraktspris. Dersom referanseprisen er lågare enn kontraktsprisen, vil bortfall av produksjon bety bortfall av pristillegg. Dersom referanseprisen derimot er høgre enn kontraktsprisen, vil bortfall av produksjon bety bortfall av produsenten sin betalingsplikt til staten (prisfrådrag). |
Kontraktsbrot i støtteperioden | Ved kontraktsbrot frå produsenten i støtteperioden kan staten redusere storleiken på pristillegget som produsenten elles ville hatt rett til etter avtalen. Ved vesentleg kontraktsbrot kan avtalen hevast. Hevingsretten ved vesentleg kontraktsbrot gjeld gjensidig for begge partar. |
Regelverksendringar, forseinka eller endra løyve | Produsenten skal for eiga rekning og risiko etablere og drive energianlegget i samsvar med det til ei kvar tid gjeldande offentlegrettslege regelverket. Produsenten har risikoen for alle løyve, godkjenningar og samtykke frå offentlege og private aktørar som har noko å seie for etablering og drift av energianlegget. Unntaka frå denne hovudregelen er avgrensa til i) tidsrisikoen ved forseinkingar knytt til tildeling av konsesjon etter havenergilova eller energilova og etablering av naudsynt nettkapasitet på land, og ii) situasjonen der det blir gjeve avslag på konsesjon etter havenergilova. Avtalen legg ikkje føringar på staten sin rett til å handheve og/eller endre gjeldande regelverk. Dette gjeld også skatte- og avgiftsregelverk. |
Overføring av nettanlegg | Avtalen inneheld ein rett for staten til å kunne overta eigarskap til nettanlegget på nærare fastsette vilkår. Ved overtaking av nettanlegget vil staten (evt. Statnett) måtte stå ansvarleg for drift, vedlikehald og nedlegging av nettanlegget. |
Valutasvingingar | Betalingar etter avtalen skal vere i norske kroner. Staten har dermed ingen direkte valutaeksponering i differansekontrakten. Staten vil likevel kunne ha ei viss eksponering for valutasvingingar gjennom at referanseprisen (kraftprisen) kan bli påverka av valutasvingingar. |
Inflasjon | I avtalen er det lagt opp til at kontraktsprisen, minsteprisen og taket på samla betalingar skal inflasjonsjusterast ved ferdigstilling og idriftsetjing. Deretter skal desse ligge fast gjennom heile støtteperioden. Dette inneber at staten ber inflasjonsrisikoen for desse storleikane fram til anlegget er ferdig bygd, og produsenten deretter. Inflasjonsrisikoen for investerings- og driftskostnadane ligg fullt ut hos produsenten, på same måte som annan kostnadsrisiko. |
Force majeure | Force majeure-hendingar i etableringsfasen kan føre til at dei sanksjonsbelagde milepælane og fristen for ferdigstilling av energianlegget blir utsett. Auka kostnader som følge av force majeure fører ikkje til auka betaling frå staten til produsenten. Force majeure-hendingar i støtteperioden gjev ikkje krav på auka eller endra betaling frå produsenten eller staten. Force majeure-hendingar vil likevel kunne ha verknad på produksjonen av elektrisk kraft frå energianlegget, og dermed indirekte påverke omfanget av pristillegg/prisfrådrag. |
Andre uføresette forhold | Avtalen inneheld ingen føresegner som gjev produsenten rett til auka støtte eller rett til å krevje at avtalen blir reforhandla om det skjer uventa forhold. Bakgrunnsrettslege reglar oppstiller ein svært høg terskel for revisjon av kommersielle avtalar mellom profesjonelle partar. |
Oppseiing | Ingen av partane har rett til å seie opp avtalen.1 |
1 Sjå derimot hevingsrett ved vesentleg kontraktsbrot ovanfor.
5.3 Løyvingsprofil
Departementet føreslår å bruke teknikken i rammeverket for OPS-prosjekt (Offentleg-privat-samarbeid) til å løyve støtte til havvindprosjekta. OPS-prosjekt inneber normalt at eit privat selskap står for prosjektering, finansiering, utbygging, drift og vedlikehald av til dømes eit infrastrukturprosjekt, og får betalt frå staten i ei kontraktsperiode etter at prosjektet er ferdig og tatt i bruk. OPS-rammeverket sikrar at løyvingar over statsbudsjettet skjer i takt med aktiviteten i prosjektet, og bidreg til at handlingsregelen kan oppfylle sitt føremål. Rammeverket inneber at:
staten sin estimerte forholdsmessige del av kostnadene i prosjektet vert sett av i takt med aktiviteten i OPS-prosjektet si investering. For havvindparkar inneber dette at løyvinga blir sett av i utbyggjingsåra.
midla som blir sett av til dekking av OPS-prosjektet si investeringsutgift, vert ført i statsrekneskapen og overført til ein ikkje-renteberande konto i Norges Bank.
midla står på kontoen i Norges Bank inntil dei i følge kontrakten med OPS-selskapet skal utbetalast.
utbetalinga av støtte til prosjektet vil ikkje påverke utbetalingsåret for løyvinga over statsbudsjettet, men trekkast frå kontoen i Norges Bank.
Ved bruk av teknikken i rammeverket for OPS-prosjekt blir løyvingane til første fase av Sørlege Nordsjø II reelt og heilskapleg prioritert i statsbudsjettet på lik linje med infrastrukturprosjekt som blir gjennomført med tradisjonelle kontraktar. Samtidig blir statsbudsjettet sin funksjon som finanspolitisk styringsverktøy ivaretatt ved at løyvinga betre reflekterer aktiviteten i økonomien, jf. omtale i Meld. St. 25 (2014–2015).