4 Tidskonsistente spareplanar og fondering av alderspensjonen
Gaute Torsvik, Institutt for økonomi, Universitetet i Bergen
4.1 Problemstillinga
«Use whatever means possible to remove a set amount of money from your bank account each month before you have a chance to spend it»
Sitatet er frå New York Times si Your Money spalte. For ein som er van til å studera spareåtferd i ein standard økonomisk modell, virkar det meiningslaust. Me lyt utanfor ramma som forutset fullkomen rasjonalitet og beinhard disiplin for å forstå dette rådet. Det er litt av det terrenget eg ynskjer å kartleggja her. Eg presenterer dei sentrale mekanismane som gjer det verdt å lytta til oppmodinga om å binda si eiga spareåtferd. Det endelege målet er å vurdera om problemstillinga har interesse når styresmaktene ynskjer å byggja opp ein kapitalbase for å tryggja finansieringa av den offentlege alderspensjonen. Er svaret ja, så er neste spørsmål: Er det mogeleg for styresmaktene å binda seg til ein spareplan? Kan styresmaktene remove a set amount of money from their bank account? Kan det til dømes virka bindande å oppretta eit pensjonsfond der ein øyremerkjer midlar til pensjonar?
4.1.1 Ei utdjuping og presisering av problemstillinga
Framskriv me den offentlege alderspensjonen med dei ordningane me har i dag, vert det snart eit stort gap mellom utgifter og inntekter. For å få dei to sidene til å balansera lyt me reformera den offentlege alderspensjonen. Er utgangspunktet vårt at me skal tilby ordningar som svarar til det me har i dag, krev det at me i framtida har ein kapitalbase for å finansiera delar av utgiftsauken. For oss her i Noreg tyder det at me lyt spara så mykje av oljeformua vår at me kan finansiera den framtidige veksten i pensjonsutgiftene. Når det gjeld organiseringa og forvaltinga av denne kapitalbasen, finst det ulike alternativ. Me kan halda fast på det systemet me har, og finansiera delar av den offentlege pensjonen ved å trekkja på generelle statlege midlar. Då får me eit generelt petroleumsfond som kan brukast til å finansiera veksten i pensjonsutgiftene. Alternativt kan me oppretta eit offentleg pensjonsfond. Me kan altså alt no øyremerkja eit fond for å dekkja pensjonsutgifter. Eit tredje alternativ er at me held fast på eit øyremerkt fond, men at me vel ei ordning med kollektive private pensjonsfond. Eller me kan velja ei ordning med private obligatoriske pensjonsfond der kvar einskild, innanfor visse grenser, kan gjera individuelle investeringsval.
Slakkar me litt på presisjonsnivået kan me omtala det eg seinare kallar pensjonsproblemet slik. Me har ei stor petroleumsformue. Mykje av formua vår ligg framleis på botnen av Nordsjøen. No ser me framover og legg ein plan for å sikra at me i framtida har ein kapitalbase stor nok til å finansiera delar av veksten i dei offentlege pensjonsutgiftene. For å presisera problemstillinga treng me litt formell notasjon. Formelle rammer er til ein viss grad tvangstrøyer: For å få problemet til å høva i den ramma me vel lyt me skrella vekk mange særeigne trekk ved det problemet me studerer. Men til gjengjeld betrar me det analytisk grepet på problemet når me formaliserer og forenkler det. Etter mitt syn grip fylgjande presiseringa kjernen i det norske pensjonsproblemet.
Etter mitt syn høver pensjonsproblemet inn i denne generelle ramma:
Ein økonomisk aktør har i periode t ei formue Wt som han ynskjer å fordela over ei rekkje periodar frå t til T > t. Problemet er med andre ord å finna den konsumplanen 1 ( Ct , ct+1 ... cT) som er best, målt etter nærare spesifiserte standardar. La oss kalle den planen for c*t = (c*t , c*t+1 ... c*T). Ein konsumprofil produserer ein formuesprofil W ( ct, zt) = ( Wt , Wt+1, ... WT). zt representerer alle andre variablar (enn konsum) som verkar inn på formua, til dømes vil alle val som omhandlar forvaltinga av formua høyra heime her. Ser me bort frå all uvisse og lar me avkastinga på spart formue vera gitt ved R(W) så er Ws =( Ws-1 - c s-1) + R( Ws-1 ). Eit vilkår som må haldast er at WT [ge] 0.
Me ser at pensjonsproblemet sorterer under ei meir generell overskrift: Korleis sikra fonuftig bruk av formua vår? Det spesifikke med pensjonsproblemet er at me ynskjer å spare så mykje av formua at me sikrar ei forsvarleg finansiering av veksten i pensjonsutgiftene. Sjølv om den formaliserte formuleringa fangar opp grunnstrukturen i pensjonsproblemet utelet den sjølvsagt mykje. Oljeformua vår er usikker, det same er framtidig arbeidsproduktivitet, rente osb. Men ramma er rik nok til å fanga den grunnleggjande problemstillinga for dette notatet. For å få utbytte av det eg seier er det svært viktig å forstå korleis spørsmåla som vert stilt i dette notatet skil seg frå dei som vert diskutert andre stader i utgreiinga. Eg skal nytta litt tid på å forklara skilnaden.
Tar me utgangspunkt i den formelle formuleringa av problemet ovanfor kan me stilla to spørsmål:
* Korleis skal me forvalta formua?
Me kan ta den optimale konsum eller spareprofilen for gitt, altså ta c*t for gitt, og spørja: Korleis bør me forvalte den formua me på eit kvart tidspunkt har igjen? Ser me pensjonsproblemet frå denne synsstaden, bør me vurdera ulike organisasjonsprinsipp, til dømes om me skal fondera alderspensjonen eller ikkje, og korleis ein eventuelt skal utforma fondet, i høve til standardar som avkasting, risikoeksponering, fordelingsomsyn, økonomisk handlefridom og administrativ effektivitet. Me fokuserer altså på dei variablane som er representert ved z.
* Korleis kan me sikra at me sparar nok av formua?
Me oversåg eit grunnleggjande spørsmål ovanfor: Vil den optimale spareplanen verta fylgt? Vert c*t implementert? I tillegg til å vurdera ein gitt plan i høve til dei standardane eg nemnde ovanfor (avkasting, risikoeksponering, osb), kan me spørja om den spareplanen som vert annonsert er dynamisk konsistent. No får spørsmålet om me skal fondera alderspensjonen eller ikkje, og spørsmålet om korleis eit fond i så fall skal administrerast, får no ein ny dimensjon. Det kan til dømes henda me vil velja eit alternativ som gjev dårleg avkasting, risikoeksponering osb. avdi det alternativet gjer det mogeleg halda seg til planlagt spareåtferd.
La meg vera litt meir konkret. Sei at me held fast på det oljeutvinningstempoet me har, og at styresmaktene har kome fram til at dei lyt ha eit budsjettoverskot på 50 milliardar årleg for sikra ein kapitalbase som er stor nok til å finansiera auken i dei offentlege pensjonsutgiftene. Dei annonserer at dei vil fylgja den planen. Sjølvsagt er det viktig å studera kva fondssystem me bør velja for å nå måla våre for avkasting, risikoeksponering, fordeling, økonomisk handlefridom og administrativ effektivitet. Men det er minst like viktig å vera klår over når me vurderer dei tilhøva så byggjer me på ein implisitt føresetnad om at det faktisk vert sett av 50 milliardar kroner kvart år. For å få ein sunn analyse av situasjonen lyt me løysa på den føresetnaden og spørja : Vil styresmaktene halda seg til den annonserte planen slik at dei sikrar ein kapitalbase som er stor nok til å finansiera eit offentleg pensjonssystem, eller finst det krefter og mekanismar som gjer at styresmaktene vil avvika frå planen og spara mindre? Kan me i så fall gjera noko for å setja dei kreftene ut av spel? Vil ulike fondssystem ha ein innverknad på desse tilhøva?
Når me løyser på føresetnaden om at aktøren automatisk er bunden til den planen han annonserer, får me (eller han) eit dobbelt planleggingsproblem. For det fyrste lyt han søkja etter den beste spare- eller konsumprofilen. Men i tillegg lyt han spørje; vil eg halda den planen. Ser han ei tilskunding til å avvika, lyt han leita etter botemiddel for å halda seg til planlagt åtferd. Han har med andre ord eit dobbelt planleggingsproblem, der det eine ligg over det andre. Rådet i New York Times er retta mot metaplanleggingsproblemet: Korleis bør ein organisera seg for at spareplanen vert gjennomført?
4.1.2 Litteraturen kring tidsinkonsistensproblemet
Det er velkjent at individ som me ellers ville vorte omtala som rasjonelle og målretta kan ha ei systematisk tilskunding til å avvika frå planlagt åtferd. Det er ikkje så lengje sidan problemet byrja interessera økonomar, det skjedde tidleg på 70 tallet, men etter den tid er det produsert ein rik litteratur om emnet. I litteraturen vert tilskundinga til å avvika frå annonsert åtferd omtala som tidsinkonsistensproblemet (the time inconsistency problem). Det er naturleg, for problemet er nettopp at planen denne personen annonserer ikkje er konsistent over tid. McClosky har omtala tidsinkonsistensproblemet som an example of economic jargon that uses a five dollar word to hide a five cent thought. Han legg til the time inconsistency problem is simply the economics of changing one's mind. Eg er samd i at ordet er pretensiøst, men eg trur ideen er verdt meir. The economics of changing one's mind gjev eit altfor unyansert bilete av kva problemet går ut på. Til dømes er det ulike årsaker til at ein aktør changes his mind, og for å finna dei rette botemidla lyt me vita kvifor han avvik frå planen.
Som regel er tidsinkonsistensproblemet studert i andre situasjonar enn i den korleis-sikra-at me-sparar-nok-av-formua ramma som pensjonsproblemet høver i. Det ligg altså eit generelt problem eller ide under og denne har vorte tillempa for å studera mange ulike økonomiske problem. Før eg byrjar diskutere spareplanar, vil eg gje eit grovt riss av dei mest sentrale ideane som skjuler seg bak omgrepet tidsinkonsistent åtferd.
Ei presisering av tidsinkonsistensproblemet
Tenk deg ein aktør som står framføra periode t og som no legg ein handlingsplan fram til periode T > t t .2 La hs vera handlinga i periode s, der t [le] s [le] T. Ein plan er ein annonsert sekvens av handlingar frå periode t til T. Det finst ein optimal plan som ser slik ut
h*t = ( h*t , h*t+1 , .. h*T).
Vil aktøren halda seg til denne planen?
Er svaret nei, lyt me spørja kvifor planleggjaren avvik frå annonsert åtferd. Då er det naturleg å skilja mellom to kjelder til avvik. Mykje av det som kan skje i framtida er ukjent på planleggingstidspunktet. Noko er det mogeleg å spesifisera, og aktøren kan gjera planen vilkårsbunden av dei tilhøva. Handlingane i periode s kan vera delvis avhengige av kva situasjon som vert realisert (er oljeprisen høg gjer me slik, er den låg slik, og dersom...osb.). Ein trivielle grunn til at denne aktøren avvik frå planlagt åtferd er at det har skjedd noko uventa undervegs. Då er det ikkje overraskande at aktøren avvik frå den opphavlege planen. Tvert om, ein som legg om og tilpassar kursen dei nye rammevilkåra viser ei sunn pragmatisk haldning. Det er ikkje denne typen avvik som gjev opphav til tidsinkonsistensproblemet.
Problemet oppstår når aktøren avvik frå h*t i periode s > t sjølv om det ikkje har skjedd noko uventa. Alt har gått som venta, likevel avvik aktøren frå planlagt åtferd. Kvifor? Det finst tre mogelege svar.
(i) For det fyrste kan aktøren ha ei inkonsistent haldning til tid. Då diskonterer han framtidig velferd slik at han systematisk avvik frå planlagt åtferd. Denne aktøren har inkonsistente tidspreferansar.
(ii) Ein annan grunn til at han ynskjer å gjera noko anna når han kjem til periode s, enn det han han planla , er at dei grunnleggjande preferansane hans har endra seg. Her prioriterer aktøren annleis der framme i periode s enn han gjorde når han såg problemet frå avstand.
(iii) Ei tredje kjelde til avvik vert aktuell når ein aktør opptrer i ein kontekst saman med andre strategiske aktørar. Tenk no at det finst eit gruppe av aktørar som annonserer planar for framtida. På planleggingstidspunktet tek kvar einskild omsyn til planane dei andre annonserer når dei sjølv vel sin plan. Tenk deg at du er ein av dei og at me no er komne til preiode s. Etter at dei andre har gjort sine val, kan du vera i ein annan situasjon enn du var i utgangspunktet (framføre periode t < s). Det som endrar situasjonen er at dei andre har gjort visse irreverisble val. Har dei det, treng ikkje du lengre ta omsyn til korleis dei andre vil svare på planen din frå periode s til T. Og når den skranken er borte (eller i alle fall endra) vil du typisk ynskja å gjera noko anna enn det du annonsert i planen. I denne situasjonen er det inkonsistente skrankar som er årsaka til at den opphavlege planen ikkje vert fylgt.
Binding
Uansett årsaka til at ein seinare ynskjer å avvika frå den planen som er best no, så vil ein som har innsikt i sitt eige planleggingsproblem, ynskja å binda seg til den opphavlege planen. Det kan ofta vera vanskeleg. Men sjølv om det ikkje er mogeleg å ta bort all handlefridom, kan me som regel gjera det vanskelegare eller dyrare å avvika frå planlagt åtferd i framtida. Det finst knep me kan bruka for å gjera det meir sannsynleg at den opphavlege planen vert fylgt. Men sjølvsagt er det ikkje er berre positivt å avgrensa sin eigen handlefridom. Det er ikkje vanskeleg å forstå at handlefridom og fleksibilitet er fint å ha. Framtida rommar mykje ukjent, og det er sjølvsagt teneleg å ha handlefridom til å leggja om kursen dersom noko uventa skulle skje. Ein som lurar på kor hardt han skal binde seg må ta omsyn til at det er vinstar og tap ved å avgrensa handlefridomen. Som sagt, det er den fyrste delen av denne avveginga som er overraskande. Alle forstår at fleksibilitet og handlefridom er verdt å søkja etter, men at ein rasjonell aktør kan tena på å avgrense sin eigen handlefridom, er ein meir subtil tanke. Men sitatet i byrjinga viser at den er reel.
Resten av notatet er organisert slik. Fyrst (i bolk 2) viser eg korleis inkonsistent diskontering av framtidig velferd (inkonsistente tidspreferansar) fører til at ein aktør legg planar han seinare kjem til å avvika frå. Eg byrjar altså med å visa korleis haldninga til tid og diskontering fører til at ein person ikkje klarer å halda seg til planlagt åtferd. Deretter viser nokre av dei knepa eit individ kan nytta for å binda seg til ein spareplan. I bolk 3 spør eg om det individuelle spareproblemet har relevans når styresmaktene legg planar for framtida: Har styresmaktene ei tilskunding til å diskontera framtida slik at dei legg inkonsistente planar? Eg trur svaret er ja, og då er det naturleg å spørja; korleis kan styresmaktene binda seg til ein spareplan? Eg brukar lang tid på bolk 2 og 3. Etter mitt syn er denne kjelda til avvik (inkonsistent diskontering) den viktigaste når det gjeld pensjonsproblemet. Dessutan introduserer eg mange sentrale omgrep og idear i dei kapitla. I bolk 4 viser eg at endra eller endogene preferansar kan vera ei årsak til at planar ikkje vert realiserte og at det kan gje planleggjaren ein spore til å binda seg. Spørsmålet er igjen om den observasjonen har relevans for det pensjonsproblemet me er interessert i. Eg viser og kvifor ein aktør, som opptrer eller samhandlar i ein strategisk kontekst med andre rasjonelle aktørar, ynskjer å avvika frå ein plan. Det er dette tidsinkonsistensproblemet som har vorte mest diskutert i samanheng med val av økonomisk politikk. Slik eg ser det har ikkje denne mekanismen så stor interesse når me diskuterer utforminga av eit offentleg pensjonssystem.
4.2 Inkonsistent diskontering
La oss vende attende til aktøren som har ei formue W som skal fordelast til konsum over fleire periodar. Når slike intertemporale allokeringsproblem vert studerte i økonomiske modellar, undersøkjer ein som regel ikkje om den konsum eller spareplanen som vert valt er dynamisk konsistent. Grunnen til det er at standardmodellen reduserer det dynamiske allokeringsproblemet til eit statisk problem. Når ein studerer åtferda til ein aktør som skal velja sparing over mange periodar (ein som skal velja ( st , st+1 , ... sT)) så formulerer ein det slik at aktøren vel heile spareprofilen på det tidspunktet han legg planen. Han vel med andre ord ein vektor der dei einskilde elementa viser til konsum i kvar periode. Standardformuleringa tek difor ikkje omsyn til at konsumvala skjer sekvensielt, og at aktøren kan, om han ikkje har gjort noko særskilt for å binda seg, reoptimera og endra åtferd undervegs. Implisitt i den tradisjonelle tilnærminga ligg det ein føresetnad om at den som vel er bunden til den planen som vert valt.
Det er lite tilfredsstillande å håndtera eit dynamisk problem på den måten. For å rettferdiggjera ei statisk formulering lyt ein argumentera for at aktøren faktisk er bunden til den planen han legg, eller at han uansett - om han var fri til å gjera det - ikkje ville ha endra åtferd undervegs. Og det er nettopp det siste som reddar standardmodellen. Modellen forutset at framtida vert diskontert slik at personen som legg ein spareplan ikkje ynskjer å endra åtferd undervegs. Den forutset eksponensiell diskontering, og med eksponensiell diskontering så vil den konsum- eller spareprofilen som maksimerer velferda i utgangspunktet også maksimera velferda seinare: Sjølv ein aktør som er fri til å reoptimera undervegs vil halda seg til den planen han la i utgangspunktet. La oss vise det meir formelt.
4.2.1 Eksponensiell diskontering og konsistente planar
I økonomisk teori forutset ein vanlegvis at aktøren vel den ressursprofilen som maksimerer hans eigen neddiskonterte nytte eller velferd. La oss sjå bort frå uvisse og alle andre tilhøve som kompliserer situasjonen. La u( cs) er eit mål på velferda ressursbruken cs generer i periode s. Ser me bort frå renteavkasting på det som vert spart, kan me formulera problemet slik: Aktøren vel den konsumprofilen ( ct , ct+1 , ... cT) som maksimerer

(1)
[delta] er diskonteringsfaktoren, det vil seia eit mål på den vekta ein legg på neste periode i høve til vekta ein legg på denne perioden. Som oftast tenkjer ein seg at dei som fordelar ressursar over tid er utålmodige, slik at 0 [le] [delta] [le] 1, og at marginalnytten av konsum fell når konsumet aukar, u[Prime]( c) < 0. Ein tolmodig aktør ([delta]=1) maksimerer velferda si ved å dela formua si jamt utover slik at han konsumerer lika mykje i kvar periode. Er aktøren meir utålmodig vil han nytta meir av foruma tidleg: Når [delta] er liten, legg aktøren mindre vekt på framtida, og han vil konsumera relativt meir i no enn seinare.
Tolkar me (1) normativt er det relevant å spørja om det er rasjonelt å vera utolmodig. Kan me argumentera godt for at det er rimeleg å leggja meir vekt på det som skjer no enn det som skjer om fem år? Dette er eit djupt og vanskeleg spørsmål. Somme hevdar at det er irrasjonelt eller kanskje til og med umoralsk å leggja mindre vekt på framtida enn på notida (kanskje må me justera for risikoen for at me døyr osb.). Eg seier ikkje meir om det her. Spørsmålet er drøfta i Elster 1979. Det eg er interessert i er om denne aktøren vil halda seg til den optimale konsumprofilen dersom han seinare fritt kan velja ein ny konsumprofil.
Det vil han. Tenk deg at denne personen er komen til periode t+2 og at han løyser det same maksimeringsproblemet som han løyste i starten. Han lyt sjølvsagt ta omsyn til at han har brukt ressursar slik at han berre har Wt - ct - ct+1 igjen til å fordela på resten av planleggingshorisonten. Gjer han det kjem han fram til ein profil som er nøyaktig lik den profilen den opprinnlege planen spesifiserte frå periode t +2 og utover. Den opprinnlege planen er med andre ord tidskonsistent. Aktøren treng ikkje leita etter tau for å binda seg til den planen han la i utgangspunktet. Planen er dynamisk konsistent avdi diskonteringsfunksjonen har ei eksponensiell form. Med eksponensiell diskontering vil diskonteringsfaktoren mellom to periodar vera uavhengig av tid, og det gjev konsistente planar.
Det kan eg visa meir formelt ved å ta utgangspunkt i eit konsumnivå c og la denne personen vera indifferent mellom å auka konsumet med x einingar i periode s og med å auka det med y > x einingar i periode s[prime] > s:

Delar me på [delta]s får me,

Det uttrykket viser at valet mellom dei to konsumalternativa berre avheng av det absolutte tidsintervallet som skil vinstane. Tenk deg at denne personen står på lang avstand når han evaluerer (han ser det heile frå periode t, og s er langt der framme). Vilkåret ovanfor seier at når denne personen rykkjer nærare s, ettersom tida går, så endrar han ikkje meining om kor mykje større y lyt vera for at han framleis synes at x og y er likeverdige alternativ. Som me ser er den vurderinga berre avhengig av det absolutte tidsintervallet mellom s og s[prime]. Eller med andre ord, for at ikkje aktøren si haldning til tid i seg sjølv skal gje opphav til inkonsistent planlegging så lyt vekta han legg på to etterfølgjande periodar vera uavhengig av kor langt borte frå desse periodane han er. Eksponensiell diskontering garanterer det, der er diskonteringsfaktoren mellom to periodar konstant og lik [delta].
Dei fleste økonomiske modellar forutset som sagt at økonomiske aktørar nyttar ein eksponensiell diskonteringsfunksjon når dei samanliknar velferda av konsum no og i framtida. Til dømes byggjer den mest nytta sparemodellen, livssykelhypotesa, på den føresetnaden. Det einaste som skil livssykelmodellen (LS-modellen) frå det dømet eg har presentert ovanfor, er at i LS-modellen har ikkje aktøren ei gitt formue han skal fordela over tid. Regelen der er at inntekta er låg i den fyrste fasen av livet, så er ho høg ein periode midt i livet for så falla mot slutten av livet. Sparinga vert bestemt residualt etter at aktøren har valt den konsumprofilen som maksimerer neddiskonterte nytte (gitt at verdien av totalt konsum ikkje overstig summen av neddiskontert inntekt og verdien på andre formuesobjekt). LS-modellen er det gjort greie for andre stader, så eg seier ikkje meir om den teorien her.
Det som er verdt å understreka, og som eg difor repeterer, er at aktørar som maksimerer neddiskontert nytte og som diskonterer framtidig velferd eksponensielt, aldri legg planar som er dynamisk inkonsistente. Sjølvsagt vil dei som er utålmodige velja ein skeiv konsumprofil (mykje no og lite i framtida), men dei finn det aldri turvande å binda seg til ein spareplan. For denne aktøren er rådet i New York Times meiningslaust. Slike aktørar har ikkje eit metaplanleggingsproblem. Dei har inga tilskunding til å bruka for mykje eller meir enn planlagt, dei treng ikkje tau for å binda seg til den opphavlege planen.
Problemet er at både teoretiske (psykologiske) argument og empiriske funn indikerer at eksponensiell diskontering er ein urealistisk føresetnad. Personar synes å ha ei haldning til tid og diskontering som fører til at dei legg planar dei seinare ynskjer å avvika frå. Konsekvensen vert at dei sparar for lite. Ein sofistikert planleggjar som gjennomskodar at han har ei tilskunding til å prioritera notid over framtid på ein inkonsistent måte, vil freista å binda seg til ein spareplan.
4.2.2 Hyperbolsk diskontering og inkonsistente planar
Eg kjenner igjen åtferda til ein person som føretrekk eit eple i dag framfor to i morgon, men som likevel føretrekk to eple om 51 dagar framfor eit eple om 50 dagar. 3 Likevel bryt denne åtferda med eksponensiell diskontering. Slik åtferd bryt altså med dei føresetnadene livsykel hypotesa byggjer på. Epledømet illustrerer den tilskundinga me har til å tenkja slik: I denne perioden nyttar eg litt ekstra ressursar, men i framtida skal eg dela det meir jamt utover. Det generelle her er at me ynskjer å porsjonera litt ekstra for dette budsjettåret, men samstundes planlegg me at seinare - i framtida - så skal det utøvast disiplin. Pollak og Phelps (1968) diskuterer denne forma for dynamisk inkonsistens i situasjoner der styresmaktene skal fordela ressursar mellom generasjonar. Dei hevdar at styresmaktene har ei tilskunding til å gje absolutt prioritet til det som hender no i høve til det som hender i framtida. Eg tykkjer Elster grip kjernen i den psykologiske mekanismen som verkar her når han seier at:
«.[I]n the notion of time preferences we bundle two problems that can and should be separated: the absolute priority of the present, and the shading-off of the future. The absolute priority of the present is somewhat like my absolute priority over all other persons: I am I - while they are all out there. The shading-off is a perspectival phenomenon that admits of degrees of out-thereness the far future is like a distant relative, while the near future is like a close one».
Elster (1979, side 71)
Ein som har ei permanent tilskunding til å gje det som hender her og no absolutt prioritet, medan han diskonterer framtida meir jamnt, til dømes eksponensielt, legg planar han ikkje kjem til å halda. For når framtida vert notid legg han ekstra vekt på den perioden han er komen til, noko han ikkje gjorde når han såg perioden frå avstand. Me kan visa dette formelt ved å ta utgangspunkt i likning (1). Ein som har ei permanent tilskunding til å leggja absolutt vekt på notida, maksimerer:

(2)
Me ser at all velferd som høyrer framtida til vert diskontert med ein ekstra faktor [beta] [le] 1. Så når denne aktøren kjem til periode t + 1 diskonterer han framtida, det vil seia alle periodar frå og med periode t + 2, med ein faktor [beta]. Den marginale substitusjonsraten mellom konsum i periode t + 1 og konsum i periode s + 2 er difor ikkje konstant over tid, men endrar seg mellom periode t og t + 1. Det fører til at han legg spareplanar som er dynamisk inkonsistente og resultatet vert at han sparar for lite. Det vil seia, han sparar for lite dersom han ikkje finn ein strategi for å binda si eige spareåtferd.
Døme
La oss seia at planleggingshorisonten er kort berre 3 periodar. For å gjera det enkelt lar me W = 100, [delta] =0,95, [beta] = 0,6 og u( c). Løyser aktøren problemet i byrjinga av intervallet kjem han fram til denne konsumprofilen (47,27,26). Tek me omsyn til at planleggjaren løyser problemet sekvensielt, og at han difor vil optimera på nytt etter at fyrste periode er historie, finn me at han då vel (34,19). Me ser at denne profilen avvik frå fordelinga den opphavlege planen spesifiserte for periode 2 og 3.
Robert Strotz var den fyrste som formaliserte og systematiserte korleis og kvifor ikkje-eksponensielle tidspreferansar kan gje opphav til inkonsistent planlegging. Seinare har mange økonomar og psykologar analysert fenomenet, eg viser til Loewenstein og Elster (1992) for referansar. Spesielt har Psykologen Georg W. Ainslie arbeidt med denne problemstellinga, Anslie (1975, 1995). Han viser til eksperiment og andre empiriske funn som indikerer at diskonteringsfunksjonen til økonomiske aktørar liknar meir på ein hyperbel enn på ein eksponensiell funksjonen, sjå Anslie og Haslam (1992) og Loewenstein og Prelec (1992). Den generiske forma på ein hyperbolsk diskonteringsfunksjon er gitt ved
([gamma]/(1+[alpha](s - t) ) for s > t, [gamma] > 0, [alpha] > 0
Hyperbolsk diskontering fører til at ein legg ekstra vekt på dette budsjettåret medan periodar i framtida vert vurdert meir og meir likt dess lengre unna dei ligg. Diskonteringa i likning (2) representerer ei forenkla tilnærming til hyperbolsk diskontering.
Oppsummering
Livssykelmodellen, og andre økonomiske modellar som freistar formalisera korleis ressursar vert fordelt over tid, forutset at framtidig velferd vert diskontert eksponensielt. Med slike tidspreferansar legg aktørane planar dei ikkje avvik frå seinare. Både aprioriske argument samt empiriske funn tyder på at hyperbolsk diskontering er ein meir rimeleg føresetnad. Og liknar diskonteringsfunksjonen meir på ein hyperbel enn på ein eksponensiell funksjon vil den som fordelar ressursar over tid leggje inkonsistente planar. Han vil heile tida revurdera dei planane han la i fortida. Konsekvensen vert at han sparer svært lite.
4.2.3 Korleis skal me no modellera spareåtferd?
Korleis skal me modellera intertemporale val når dei som vel har inkonsistente tidspreferansar. Me kan i alle fall ikkje studera fordelinga av ressursar over tid som eit statisk problem der det på planleggingstidspunktet vert valt ein handlingsprofil (ein vektor av tidsindekserte handlingar). Når framtida vert diskontert inkonsistent lyt me modellera slike dynamiske korleis-fordela-ressursar-over-mange-periodar problem eksplisitt som sekvensielle allokeringsproblem. Formelt høyrer slike problem heime i kategorien dynamisk spel. Men det er sjølvsagt eit spesielt spel sidan det er nye utgåver av denne aktøren som gjer val på ulike tidspunkt. Ein person som skal fordele ressursar over tid, og som diskonterer på den måten eg har gjort greie for ovanfor spelar eit spel mot seg sjølv, mot framtidige utgåver av seg sjølv. Dette er viktig. La meg repetera det ei gong til. Når ein studerer åtferda til aktørar som har inkonsistente tidspreferansar kan me ikkje redusera problemet til ein situasjon der ein heilstøypt aktør vel ein spareprofil (ein plan) på eit gitt tidspunkt.
Kan me seia noko presist om korleis ressursane vert fordelt over tid av ein aktør som har inkonsistente tidspreferansar? Nei. Svaret avheng av kor sofistikert aktøren er. Med sofistikert meiner eg i kva grad han har innsikt i sitt eige planleggingsproblem, det vil seia i kva grad han er klår over si eiga tilskunding til heile tida å konsumera for mykje no. Det finst fleire alternativ. Eg nyttar det enkle tre-periode dømet for å illustrera dei.
Ein naiv planleggjar
Ein naiv planleggjar ser ikkje at han legg planar han kjem til å avvika frå i framtida. I det tre periode dømet eg presenterte ovanfor vil ein naiv planleggjar annonsera (for seg sjølv eller for andre) denne konsumprofilen: (47,27,26). Profilen som til slutt vert valt ser slik ut: (47,34,19). Som me ser sparar denne personen for lite. Dømet illustrerer det Strotz seier på side 66 i sin klassiske artikkel om inkonsistent planlegging « If this inconsistency is not recognized, our subject will typically be a spendthrift».
Ein litt sofistikert planleggjar
Ein planleggjar som er litt sofistikert ser si eiga tilskunding til å prioritera notid i høve til framtid, og han vil planleggja i lys av det karaktertrekket. Han vel den beste av dei planane som faktisk vert fylgt. Ein litt sofistikert planleggjar tenkjer altså slik: «I periode 2 kjem eg til å velja den profilen som maksimerer ln( c2 ) + (0,6 · 0,95)ln( c3 ) gitt at c2 + c3 = 100 - c1 .» Og så tenkjer han: «La meg løysa det problemet no, for å finna c2 og c3 som ein funksjon av c1 ; c2 = f( c1 ) og c3 = g( c1 ). Ved å bruka den informasjonen kan eg finna den planen som er optimal når eg tek omsyn til at eg på eitkvart tidspunkt er fri til å reoptimera seinare.»
Han vil altså velja den planen som maksimerer

Brukar me denne prosedyren i dømet ovanfor kjem me fram til fylgjande konsumprofil: (43,36,21). Me ser at personen vel å konsumera litt mindre i dag for å sikra meir ressursar for tredje periode.
Ein meir sofistikert planleggjar
Han ovanfor er litt sofistikert sidan han tek omsyn til naturen sin og maksimerer over dei planane han faktisk kjem til å halda Ein meir sofistikert planleggjar gjer noko aktivt for å avgrensa handlefridomen i framtida, slik at ikkje den svake viljen hans styrer vala hans. Det er mogeleg å presisera denne strategien på fleire måtar. Eit alternativ er at personen det er tale om står med beina midt i periode s. Han ynskjer med andre ord å bruke ekstra mykje ressursar no, men samstundes er han klår over sin eigen natur og freistar gjera noko aktivt for å binda seg til den konsumplanen som maksimerer (2). Alternativt kan me tenkja oss at planlegginga skjer i øyeblikk med stor refleksjon og rasjonalitet, og at personen då ynskjer å implementera ein plan som høver med dei metapreferansane han har. I slike stunder kan me tenkja oss at han ynskjer å kjempa mot den tilskundinga han har til å prioritera notid over framtid, altså at han ynskjer å setja [beta]=1. 4
Det er ikkje heilt rett å seia at berre dei som aktivt bind sin eigen handlefridom er sofistikerte. Ein kan godt vera sofistikert og gjennomskue si eiga tilskunding til å handle irrasjonelt, men ein har rett og slett verkemiddel for å binde seg. Men det skiljet er ikkje så viktig. Det viktige er at sofistikerte planleggjarar, som har inkonsistente tidspreferansar , er mykje meir innfløkt og samansette enn dei personane som vanlegvis opptrer i økonomiske modellar.
I økonomiske modellar har personar som oftast forvitnelege kognitive evner og ein heilstøypt karakter. Skal dei fordela ressursar over tid har dei full oversikt over situasjonen, dei viser stort tolmod og har ein viljestyrke av stål. Livssykelmodellen tek utgangspunkt i eit slikt idealisert bilete. Sitatet eg byrja med indikerer at den teorien ikkje gjev eit realistisk bilete av dei problema personar strevar med når dei fordeler ressursar over tid. Eg har presentert ein teori som fangar opp dei elementa. Me har sett at aktørar som diskonterer framtida hyperbolsk, eller som diskonterer slik det er illustrert i likning (2), er nærsynte og vil heile tida prioritera velferd no over velferd i framtida på ein inkonsistent måte. Slike aktørar kan me omtale i termar som manglande tolmod, svak vilje, impulsivitet osb.
Me får endå eit lag av kompleksitet når personane er klår over sin eigen natur. Då har me personar som strir med ein dobbel personlegdom. Ein del er rasjonell, kjølig og tolmodig, det er planleggjaren. Den andre parten er utolmodig og spontan, han ynskjer å nyta livet her og no, det er konsumenten. Denne formuleringa vert nytta av Thaler og Shafir (1981, 1992) . Dei kallar den disiplinerte og rasjonelle delen for the planner, den andre delen, han som ynskjer å spandera ekstra mykje på seg sjølv akkurat no (han som er pathologically myopic) , kallar dei the doer. Med denne formuleringa får dynamiske problem ein ny dimensjon, for no vil planleggjaren freista å binda konsumenten (eller, i eit litt mindre fargerikt språk, aktøren vil freista å binda seg til strategiar som ivaretek dei langsiktige rasjonelle interessene han har). Korleis kan han gjera det.
4.2.4 Korleis kan me binda oss til handle i tråd med våre langsiktige interesser?
Mange har freista svara på det spørsmålet og det er umogeleg for meg å gje ei fullstendig oversikt over den litteraturen. Eg lyt avgrensa meg til å seia noko om dei strategiane eg trur har størst relevans når det er snakk om å spare ressursar for framtida 5 . Ainslie og Haslam (1992) deler dei strategiane planleggjaren kan nytta for å binda konsumenten inn i fire kategoriar. 6 Eg vil berre nemne to av dei, sidan dei andre to referer til djupe psykologiske mekanismar som ikkje har relevans for det problemet me er interessert i.
Ein strategi personar kan nytta for å hindre at ein gjer etter for kortsiktige tilskundingar (impulsar) er å manipulerer tilhøve i den eksterne verda. Poenget er at ein ordnar seg slik at nokon eller noko utanfor ein sjølv straffar ein dersom ein gjev etter for kortsiktige impulsive drivkrefter. Ainslie kallar dette for extrapsychic mechanisms. Dette er Odyssevs metode, han nytta tau rundt kroppen og voks i øyra. Veddemål er eit anna velkjend triks som høyrer heime i denne kategorien (eg veddar ti tusen kroner på at eg klarer å slutta å røykja frå 1. Januar). Ainslie og Hasem nemner mange andre døme på korleis planleggjaren kan manipulera omverda for å sikra at konsumenten handlar i tråd med dei langsiktige interessene til personen:
«A person who is trying to avoid overeating, for inctance, has been variously advised to take a drug that suppresses appetite, to keep fattening food out of the house or even to have his jaws wired together»
Ainslie og Hasem (1992; 180)
Dei som er interessert i fleire råd av denne typen lyt lesa arbeida til Ainslie. Eg vil seia noko om sparing. Ein extrapsychic strategi for å sikra at ein sparar i høve til dei langsiktige interessene (slik planleggjaren ynskjer) kan vera å investera i lite likvide kapitalobjekt. I opplyste øyeblikk med stor disiplin kan ein person investera i til dømes fysiske spareobjekt det er vanskeleg å konsumera, slik som hus, varige gode osb. Eit anna mykje brukt alternativ er å skriva sparekontraktar som bind kapitalen for ein lengre periode (AMS, ulike former for privat livs- og pensjonssparing osb.). Poenget her er at planleggjaren teiknar ei sparekontrakt som bind konsumenten frå å bruka midlane seinare , eller som i alle fall gjer det dyrt å avvika seinare. Ein annan observasjon er at ein person som strir med ein planleggjar-konsument konflikt, og som kjenner til sin eigen natur, vel å betale ned lån framfor å spara. Sidan det ikkje er problemfritt (det kostar noko) å få nye lån, medan det ikkje kostar noko å konsumera sparepengar vil det å betale attende lån redusera handlefridomen til denne personen. Dei strategiane eg har omtala er knep personar kan bruka for å remove a set amount of money from your bank account each month before you have a chance to spend it.
Ein annan type knep personar kan nytta for å unngå at dei kortsiktige interessene styrer vala hans, er å laga personlege reglar. Her ommøblerer ikkje aktøren den eksterne verda for å sikra rasjonell åtferd, han ommøblerer internt. Eit velkjent triks er å lage prinsipp. Personen ovanfor som freistar å gå ned i vekt, kan laga det til ei prinsipiell sak å unngå søtsaker. Sjølvsagt veit han at ein sjokoladebit ikkje visar igjen på vekta. Men samstundes veit han at det vert fort kilo av ein bit her og ein der. Så for å unngå slike småsprekkar lagar han seg eit prinsipp, ein mental konstruksjon, der han slår saman alt søtt og seier eg rører det ikkje. På det viset gjev han den fyrste sjokoladebiten tyngde. Nozick (1993) skriv godt om dette:
«The mark of a principle (never eat snacks between meals; Never smoke another sigarett) is that it ties this immideate particualar act (eating this snack, smoking this sigarette) to the whole class of actions of which the principle makes it part. This act now stands for a whole act»
Nozick (1993; 17)
Har slike mentale konstruksjonar vorte diskutert i situasjonar der planleggjaren ynskjer å spara for framtida?
Ja. For å forstå poenget her kan me tenkja oss ein person som set merkjelappar på dei verdiane han har i periode s; han lagar mentale kontoar (mental accounting). La oss seia at han deler midlane sine inn i tre kategoriar. Inntekta han tener i denne perioden høyrer til ein kategori, la oss kalle den kontoen for I. På ein annan konto ( A) plasserer han verdien på alle formuesobjekta han eig Ein tredje post er verdien av framtidig inntekt, la oss kalle den kontoen for F. Tenk deg no, og det der den sentrale føresetnaden her, at tildrivet til å konsumera av midlane er avhengig av kvar i det mentale kartet dei høyrer heime. La oss seia at tildrivet for å kunsumera av inntekt er høgare enn tildrivet for å konsumera av formuesgjenstandar. I så fall er det mogeleg for denne personen å binda seg til å spare meir ved å flytta pengar frå I kontoen til A kontoen.
Denne modellen er nytta av Shafir og Thaler (1981). Den bryt radikalt med det rasjonalitetskravet ein vanlegvis stiller til agentar i økonomiske modellar (til dømes i livssykelmodellen). For dei spelar ikkje innpakninga, det vil seia dei merkjelappane som vert sett på ulike delar av formua, nokon rolle. Her er individa så rasjonelle at dei ser gjennom slike nominelle slør. Shafir og Thaler set det på spissen når dei seiar at:
«The traditional theory postulates that the marginal propensity to consume is the same for the following four events: A $1000 bonus received at work; a $1000 lottery windfall; a $1000 increase in the value of the household's home, and an inheritance, to be received with certainty in 10 years, with a present value of $1000. In contrast our behavioural enrichment of the Life Cycle model assumes that households code various components of wealth into different mental accounts, some of which are more tempting to invade than others.»
Shafir og Thaler (1992; 294)
Dette perspektivet, eller argumentet, trur eg har interesse når me seinare diskuterer om det er mogeleg for styresmakene å binda seg til ein spareplan. Ideen applerer til omgrep som avgrensa rasjonalitet, nominelle illusjonar, tommelfingerreglar osb. Tradisjonelt har ein vore lite open for slike tankar i økonomisk teori, no ser det ut til at det er ei endring i kjømda. Til dømes finn ein i Mai utgåva av Quarterly Journal of Economics (1997) ei rekkje artiklar som diskuterer slike fenomen, sjå spesielt Shafir, Diamond og Tversky sin artikkel om Money illusion.
4.2.5 Eit nytt perspektiv på intertemporal ressursallokering
Ved å ta omsyn til at økonomiske aktørar diskonterer inkonsistent, og at dei difor strir med ein indre konflikt mellom ein planleggjar og ein konsument, og at planleggjaren freistar binda si eiga spareåtferd får me eit nytt perspektiv på intertemporal ressursallokering. Eg vil kalla modellen for PK-modellen (Planleggjar-Konsument-modellen). PK-modellen tek omsyn til at det er ein intern konflikt mellom langsiktige rasjonelle interesser, og kortisktige meir impulsive tilskundingar. Den skil seg klårt frå ein standard livssykelmodell (LS-modell), og vil fylgjeleg kasta eit anna, og til somme tider klårare lys, over empiriske funn enn det LS-modellen gjer. La meg gje nokre dømer på det.
Samanhengen mellom pensjonssparing og anna sparing
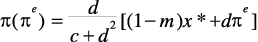
Mange har freista avdekkja den empiriske samanhengen mellom ulike former for pensjonssparing (eller formue plassert i verdigjenstandar som kan realiserast ved pensjonsalder) og andre former for sparing (eller anna formue). Likninga ein freistar estimera ser slik ut

.
H er eit mål på all sparing eller formue som ikkje kan karakteriserast som pensjonssparing. X er ein vektor av andre forklaringsvariablar, P er eit mål på pensjonssparing og [beta] er parameteren som skal estimerast. Den mest idealiserte utgåva av LS-modellen, det vil seia ein modell utan kredittrestriksjonar utan uvisse og med komplette marknader, predikerer at [beta]= -1: Høgare pensjonsformue fører til ein tilsvarande reduksjon i anna sparing. Tenk deg til dømes ein person som sparar 12 % av inntekta si og at 6 % av inntekta går på kontoen for tvungen pensjonssparing, resten høyrer til frivillig sparing. Auk den tvungne pensjonssparinga til 7%. Kva effekt har det på anna sparing? LS-modellen (den idealiserte utgåva) predikerer at anna sparing vert redusert med 1 %, slik at personen framleis sparar 12 % av inntekta.
Mange empiriske studiar finn at [beta] ikkje er signifikant forskjellig frå 0. Nokre studiar finn til og med at [beta] er signifikant positiv, altså at anna sparing aukar når pensjonssparinga aukar. 7 Korleis kan ein forklara slike resultat? Eit alternativ er å halda fast på den grunnleggjande strukturen i LS modellen men å trekkja inn faktorar som kompliserar modellen (laga den mindre idealisert). Då legg ein til grunn åtferdshypotesa, det vil seia den graden av rasjonalitet og viljestyrke som LS modellen byggjer på, men ein tar omsyn til at det er imperfeksjonar på kapitalmarknaden, at framtidige inntekter er usikre, og at dei som sparar har eit ynskje om å etterlate midlar til borna sine osb. Alternativt kan ein trekkja inn dei elementa PK-modellen byggjer på. Då legg ein vekt at folk har svak vilje, at dei diskonterer inkonsistent og at det skapar ein intern interessekonflikt mellom planleggjaren og konsumenten. Planleggjaren har eit bindingsproblem, og han freistar disiplinera konsumenten ved å utnytta eit mental accounting system. Med dette utgangspunktet kan me forstå kvifor nullhypotesa ikkje vert forkasta. Eksperimentet ovanfor inneber at me flyttar midlar frå I kontoen, der det marginale konsumtildrivet er omlag lik 1, til F kontoen, der det marginale konsumtildrivet er omlag lik 0. Resultatet vert at [beta] = 0. Sjå Shafir og Thaler (1992) for ein meir utfyllande diskusjon.
Variasjonar i pensjonsformue
Husholdsdata frå USA viser at sparing, og dermed pensjonsformue, varierer mykje mellom familiar som elles er karakterisert ved like sosioøkonomiske variablar. Bernheim, Skinner og Weinberg (1997) freistar å forklara skilnaden. Fyrst held dei seg innanfor den ramma LS-modellen tilbyr, og ser om variasjonar i tidsprefernsar ([delta] risikovurderingar, relative preferansar for arbeid og fritid osb. kan forklara variasjonen i sparing og formue ved pensjonsalder. Data stør ikkje den hypotesa. Forfattarane finn derimot at data er konsistente med prediksjonane til ein PK-modell. Dei sjølv konkluderer slik:
«Contrary to the central tenets of the life cycle theory, there is little evidence that households use savings to smooth the effects of consumption on predictable income discontinuities. These findings are difficult to interpret in the context of the life cycle model. We do not mean to suggest that it would be impossible to formulate a model of rational life cycle planning that would account for our findings. However, in our view, the empirical patterns in this paper are more easily explained if we step outside the framework of rational, farsighted optimization. If for example individuals follow heuristic rules of thumb to determine their saving, and if they take stock of their financial situation and make adjustments at retirements, then one would expect to find the patterns documented in the paper. A similar conclusion would follow from a theory of mental accounting, in which individuals differ in the extent to which they can exercise self-discipline over the urge to spend current income.»
Bernheim, Skinner og Weinberg (1997, 35)
Fall i spareraten
I USA har spareraten falle relativt mykje dei siste ti-femten åra. Det er vanskeleg (men ikkje umogeleg) å forklara den trenden utifrå livssykel modellen. Laibson (1997) formulerer ein generell jamvektsmodell med økonomiske aktørar som har inkonsistente tidspreferansar (dei oppfører seg slik som i likning (2)). Han tek med andre ord utgangspunkt i ein PK-modell (rettnok i ein som er mykje meir komplisert enn den eg har skissert). Han forutset at individa er sofistikerte, og at planleggjaren freistar setja grenser for konsumenten. Det gjer han ved å investera deler av inntekta i i lite likvide verdigjenstandar. På den måten vert større delar av inntekta spara. Tenk deg no at det vert utvikla nye finansielle instrument som gjer det mogeleg å konsumera lite likvide verdigjenstandar. I så fall predikerer PK-modellen at spareraten vil falle. Laibson argumenterer overtydande at denne modellen kan forklara fallet i spareraten i USA. 8
Tvungen pensjonssparing
Kva er det som motiverer styresmaktne til å innføra tvungen pensjonssparing? Omfordeling er sjølvsagt eit argument, og det kan vera at gratispassasjerproblem og andre eksternaliteter legitimerer tvang. Men slik eg ser det dekkjer ikkje desse argumenta heile ordninga. Eg kan ikkje forstå anna enn at for å legitimera tvungen sparing for alderdomen (spesielt den aktuariske delen) så lyt ein appelera til idear som liknar på dei som er formalisert i PK-modellen. Sjølvsagt kan me forklara at det vert spara lite for alderdomen om me held oss til ein LS-modell. Individ som diskonterer framtida sterkt (som har høg [delta]? vil prioritera konsum i dag og spara lite. Men dei legg trass alt rasjonelle spareplanar, og då er det vanskeleg å legitimera at styresmaktene skal nytta tvang for å få dei til å velja ei anna åtferd. I PK modellen diskonterer individa framtida på ein inkonsistent måte, dei har ein intern konflikt og planleggjaren vil ynskja å binda seg til ein spareplan. Denne aktøren vil difor vera villig til å gje opp eigen handlefridom; han vil stemma for ei ordning med tvungen pensjonssparing.
Det finst andre dømer på at PK modellen forklarer fenomen den enkle livssykel modellen ikkje kan forklare, eller at den gjev alternative forklaringar på dei fenomen som også let seg forklara innanfor standardmodellen. Eg kan ikkje nemne fleire her.
Konklusjon
Utifrå det eg har sagt så langt er det rimeleg å trekkja denne konklusjonen. Når ein person skal fordela ei formue W over fleire periodar, eller meir generelt, når ein person vel ein spareprofil, lyt me (han) ta omsyn til at han har ei tilskunding til å diskontera slik at han legg inkonsistente planar. Hyperbolsk diskontering fører til at han heile tida prioriterer den perioden han er i, og resultatet vert at han sparar for lite. Tenk deg no at du skal gje denne personen råd om korleis han bør forvalte formua si. Sidan personen strir med ein planleggjar-konsument konflikt tek me ikkje omsyn til heile problemet hans om me berre fokuserer på avkasting, risiko, administrative kostnader osb. I tillegg lyt me ta omsyn til at denne personen tenar på å binda si eiga spareåtferd. Han ynskjer tvinga seg sjølv til å bruka mindre (sparar meir) enn han vil gjera dersom han har full handlefridom. Dette er det sentrale poenget, så la meg gjenta det. Den viktigaste skilnaden på PK-modellen og ein standard økonomisk sparemodell, er at PK-modellen seier at me ikkje kan forstå intertemporale problem utan å ta omsyn til at aktørane freistar binda seg til ein spareplan. Den normative implikasjonen av dette er at me ikkje kan gje råd utan at me tek omsyn til bindingsproblemet, og at ein viktig del av rådgjevinga fokuserer på korleis ein person kan binda seg til ein spareplan.
I neste bolk skal eg vurdera om dette perspektivet (PK-modellen) er relevant for styresmaktene når dei sparar for å til å tryggja finansieringa av alderspensjonen. Så langt har eg stort sett tala om ein einskild person som legg spareplanar. Det er ikkje sikkert at dei mekanismane som er relevante for ein person er relevante for styresmaktene. Spørsmålet er om styresmaktene har ei tilskunding til å spare for lite, slik at dei ikkje vil løysa pensjonsproblemet rasjonelt (i tråd med langsiktige interesser). Er svaret ja, lyt me spørja korleis styresmaktene kan binda sin eigen handlefridom. I ein PK-modell gjev det til dømes meining å spørja om det er tenleg å øyremerkja midlar til eit pensjonsfond for å gjera det lettare for planleggjaren å disiplinera konsumenten.
4.3 Har PK-modellen relevans for pensjonsproblemet?
Vurdert utifrå eit nivå er svaret ja. Utfallet eller resultatet av økonomisk politikk er avhengig av korleis aktørar i den private sektoren oppfører seg. Det er rimeleg å rekna med at dei tilpassar åtferda si til den økonomiske politikken som vert valt, me kan difor ikkje seia noko om fylgjene av ei reform før me kjenner kreftene som styrer åtferda til individa. For å predikera effekten av å reformera den offentlege alderspensjonen lyt me ha ein modell (ei hypotese) for korleis individ allokerer ressursar over tid. Ovanfor har eg argumentert for at empiriske funn indikerer at PK-modellen grip noko sentralt ved individuell spareåtferd.
Perspektivet eg har presentert har difor indirekte relevans for pensjonssproblemet. Men har det direkte relevans? Kan, eller bør me studera det offentlege pensjonsproblemet i ein PK-modell? Før eg freistar svara, må eg understreka at me held fast på føresetnaden om at preferansane er stabile over tid. Me ser altså bort frå at den økonomiske situasjonen endrar seg, eller at folk endrar interesser og vel styresmakter som prioriterer annleis. Spørsmålet no er om styresmaktene diskonterer inkonsistent slik at dei sparar for lite.
Sjølve grunnstrukturen i pensjonsproblemet liknar på det individuelle problemet eg har omtala ovanfor (Ein aktør har ei formue W som skal fordelast over eit tidsintervall...). Men sjølv om problemet ser likt ut, så impliserer ikkje det at PK-modellen er relevant. For det fyrste kan me tenkja oss at når det er styresmaktene som legg planar, så treng me ikkje formulera vala deira som utfallet av eit sekvensielt optimeringsproblem (som eit spel). Styresmaktene er kanskje automatisk bundne til den spareprofilen dei annonserer (eller meir generelt til dei politikkplanane dei annonserer). I så fall er PK-modellen utan interesse. Men slik kan det ikkje vera. Grunnleggjande demokratiske prinsipp forbyr eit storting å diktera politiske val for framtidige storting. Styresmaktene skal til ei kvar tid vera frie til å velja sin eigen økonomiske politikk, og dermed kan dei avvika frå planane som vart annonsert tidlegare. Styresmaktene i dag kan kanskje gjera noko for å hindra at åtferda vert endra seinare. Men då er me attende til ein situasjon der styresmaktene aktivt freistar å binda seg til ein plan (PK-modellen).
Styresmaktene er altså ikkje automatisk bundne til ein annonsert plan. Det kan likevel henda at PK-modellen er uinteressant avdi styresmaktene aldriynskjer å avvika frå annonsert åtferd. Hyperbolsk diskontering og svak vilje er kanskje irrelevante omgrep når det er styresmaktene som legg planar. Styresmaktene diskonterer kanskje alltid eksponensielt. Eg trur ikkje det er slik, men problemstillinga er relevant, for det er slett ikkje sikkert at dei psykologiske mekanismane som verkar når eit einskild individ vel, er relevante når ei gruppe av individ (styresmaktene) vel. Sjølv om det er riktig å modellera eit individ som ein aktør med dobbel personlegdom (planleggjar-konsument), så er det ikkje sikkert at den same modellen høver for styresmaktene. Jon Elster meiner det er ein parallell, han argumenterer slik:
«In the heat of passion or under the influence of some immediate temptation, an individual can deviate from prudent plans formed in advance or do things he later regret. Groups of individuals, such as voters or members of a political assembly, are no less prone to such irrational behaviour. Sometimes, aggregate rationality is simply the sum of irrational individual responses to the same external situation; at other times, passionate factions may form by interaction effects and by crowd psychology. Whatever their origin, collective fits of passion can be extremely destructive in their effects. Inflamed majorities have violated the rights of minorities, spent money they did not have, and declared wars for no good reasons.»
Elster (1992, 40)
Ein annan stad i artikkelen siterer han Madison som argumenterte for verdien av at styresmaktene bind sin eigen handlefridom. Etter eit lengre sitat seier Elster.
«Although the argument is not free of ambiguities, one strand is reasonablly clear. The pepole, deliberating in a temperate moment, would want to bind themselves against the predictable tendency to err from fickleness and passion and to act on sudden impulses. At this point the analogy to individuel precommitment becomes very close.»
Elster (1992, 42)
For meg høyrest dette rimeleg ut. Men eg kjenner ikkje til eksperiment eller andre empiriske resultat som underbyggjer hypotesa om at styresmaktene har ein intern planleggjarkonsument strid. Apriori er det mogeleg å argumentera for at problemet er sterkare for styresmaktene enn for einskilde individ. Men det er og mogeleg å finna mekanismar som framhevar planleggjaren og den langsiktige rasjonalitet når styresmaktene gjer intertemporale val og som dermed reduserer tidsinkonsistensproblemet.
Kva er det som gjev styresmaktene ei sterkare tilskunding til å prioritera notid framfor langsiktige interesser? Hovudargumentet er at styresmaktene høyrer fleire konsumentrøyster. Eit individ har eit klårt avgrensa langsiktig/kortsiktig, rasjonell/impulsiv skilje. Skiljet er klårt sidan det er ein konsumentdel som eggjar aktøren til å bruka midlar i dag. 9 Hjå styresmaktene er det mange konsumentrøyster som øydelegg for planleggjaren. Det finst mange interessegrupper og koalisjonar som konkurrerer om å visa kor viktig det er å løysa deira problem akkurat no. Me veit at i slike situasjonar får me ofte løysingar som er kollektivt irrasjonelle. Det er lett å konstruera situasjonar der alle interessegruppene får det betre om dei kollektivt avstår frå å bruka ekstra mykje i dag, medan kvar einskild gruppe finn det tenleg å pressa på for å få brukt pengar til si sak. Økonomar har skreve mykje om slike prosessar, eg ser ikkje nokon grunn for å grave djupt i den litteraturen her. Poenget er at når styresmaktene gjer intertemporale ressursallokeringsval så er det velkjende mekanismar som gjer konsumentrøysta sterkare. Det er vel heller ikkje urimeleg å tenkja seg at dess meir synleg og likvid formua til staten er, dess meir ressursar vil private interessegrupper nytta for å få ein del av formua. Planleggjaren hjå styresmaktene, den delen av styresmaktene som set ned utval og som legg vekt på framtidige generasjonar, freistar lukka øyrene for slike krav. Men etterkvart som fleire og fleire grupper krisemaksimerer og får retta merksemda mot sine rettkomne krav, så vil kanskje det langsiktige perspektivet (planleggjaren) gje etter.
På den andre sida er det mekanismar som styrkjer planleggjaren i styresmaktene. Styresmaktene lyt grunngje kvifor og korleis pengar vert brukt, det treng ikkje einskilde individ gjera, og eit slikt legitimeringskrav styrkjer planleggjaren. Ein offentleg debatt krev saklege og reflekterte argument, og når ein lyt argumentera for kvifor ein vel å bruka pengar i dag, i staden for å prioritera framtidige oppgåver, så gjev det ei tyngde til dei langsiktige siktemåla (rasjonaliteten).
Utan empiriske undersøkingar er det ikkje mogeleg å seia om planleggjar-konsument konflikten er sterkare eller mindre sterk for styresmaktene enn den er for eit einskild individ. Men utifrå diskusjonen ovanfor dreg eg den slutninga at PK-modellen er relevant når styresmaktene legg planar for korleis dei vil fordela ei formue W over tid. PK-perspektivet er relevant for pensjonsproblemet: Me overser ein vesentleg del av problemet om me ser bort frå den tilskundinga styresmaktene har til å bruka for mykje ressursar undervegs. 10 Konsekvensen er at me ikkje kan avgrensa oss til å gje råd om korleis me best sikrar avkasting, risikofordeling osb. av ei gitt formue, i tillegg må me gje planleggjaren råd om korleis han kan disiplinera konsumenten slik at ikkje for mykje ressursar vert brukt opp undervegs.
4.3.1 Kan styresmaktene binda sin eigen handlefridom?
Det kan dei nok, men samanlikna med eit individ er det nok vanskelegare for styresmaktene å binda seg. Einskilde personar kan i prinsippet teikna langsiktige kontraktar det kostar noko å avvika frå (og som difor verkar bindande). Grunnleggjande demokratiske prinsipp, og den suverene makta styresmaktene har, gjer det umogeleg for styresmaktene å binda sin eigen handlefridom på den måten. Men sjølv om styresmaktene ikkje kan binda seg ved å skriva kontraktar som vert handheva av ein tredjepart, så kan dei nytta andre knep for å gjera det vanskeleg å avvika frå ein plan.
Eit knep styresmaktene kan nytta er å gjera irreversible investeringar som endrar situasjonen for framtidige styresmakter. I den tekniske faglitteraturen vert styresmaktene endrar situasjonen for framtida omtala som at styresmaktene manipulerer tilstandsvariablar. Poenget er at styresmaktene skiplar variablar som endrar vinsten eller kostnaden ved å gjera ulike val i framtida. Tenk deg til dømes at det om 10 år vert vurdert om me skal produsera gasskraft i Noreg. For utfallet (ja eller nei) spelar det sjølvsagt ei rolle kva som vart gjort tidlegare, altså om me byggjer gasskraftverk eller ikkje no. På den måten ser me at styresmaktene kan påverka vala som vert gjort i framtida. Eit anna døme er privatisering. Privatiserer styresmaktene offentlege verksemder vil det (til dei viss grad) binda framtidige styresmakter. Sjølvsagt kan styresmaktene seinare ekspropriera det dei privatiserte, og på den måten nøytralisera vedtaket som vart gjort i fortida. Men ekspropriering er eit dyrt verkemiddel. Her er me ved eit sentralt poeng: I prinsippet kan styremaktene (sidan dei har suveren makt) reversera mange av dei vedtaka som vart gjort tidlegare, men ofte er det alternativet dyrt, og når det er dyrt å reversera eit vedtak har det bindande effekt. Eg trur at det å lovfesta eit vedtak verkar slik.
Økonomiske og politiske vedtak vert gjort innanfor eit institusjonelt rammeverk. Det finst reglar for korleis ein skal slutte vedtak (prosedyren), og for kva vedtak ein kan gjera. Korleis reglane er kodifisert, om dei er vedtatt i lovsform osb., er på å definera det institusjonelle rammeverket. Ved å modifisera den institusjonelle ramma kan ein kanskje påverka dei vala som vert gjort. 11 Eg trur at ved å kodifisera ein plan i ei lov kan styresmaktene til ei viss grad binda seg til annonsert åtferd. I prinsippet krev ein sjølvsagt berre simpelt fleirtal for å endra eit lovvedtak, men lovfestar me vedtaket vert det meir formelt, og slik formalisme kan likevel gjera det dyrare å avvika frå annonsert åtferd ved å gjera eit avvik meir synleg og eksplisitt. For å gjera avvik enno vanskelegare kan styremaktene grunnlovsfesta planen. Då vert ikkje eit avvik berre meir synleg og eksplisitt, men det vert faktisk vanskelegare å endra lova (ei grunnlovsendring krev 2/3 fleirtal).
Det er mogeleg å finne empirisk støtte for at kodifiseringa av budsjettskrankar har ein reel verknad på dei vala som vert gjort. Poterba (1994) nyttar data frå ulike statar i USA og finn at statar som har kodifisert eit balansert budsjettkrav, viser meir fiskal disiplin enn andre statar. Det indikerer at det er mogeleg for styresmaktene å binda seg til ein plan ved å grunnlovsfesta den. Tyder det at me bør grunnlovsfesta ein offentleg spareplan? Bør me grunnlovsfesta ein plan for å sikra finansieringa av den offentlege alderspensjonen ? Aanund Hylland vurderte eit liknande spørsmål i eit notat frå 1991. Han konkluderer med at det ikkje er fornuftig for styresmaktene å nytta grunnlova for å implementera økonomisk politikk. Han grunngjev det standpunktet dels ved å visa til dei dårlege erfaringane ein hadde med grunnlovsfestinga av statens reservefond, og dels ved å visa til nokre prinsipielle problem knytt ved å nytta grunnlova i slike samanhengar. Er ordlyden i lova laus og upresis («det skal setjast av nok midlar til å finanisera...) er det uråd å seia når styresmaktene held seg til planen eller når dei avvik. Eit anna problem er sjølvsagt at det er uklart kven som kan tiltale styresmaktene om ein meiner at ein grunnlovsfesta plan er broten. Er ordlyden presis ( statens budsjett skal gå i balanse kvart år..) vert handlefridomen liten, noko som medfører mange ulemper:
«Forholdene kan tenkes å endre seg på måter som ikke var - og ikke kunne være - forutsett da de aktuelle paragrafene i grunnloven ble vedtatt. Reglene kan dermed komme til å hindre openbart fornuftige tiltak på det økonomiske området; de kan altså bind styresmaktene på en annen måte enn det som var hensikten. I den grad paragrafene er lette å omgå, kan man sannsynligvis også finna løsninger i slike situasjoner, men ved å gjøre det svekker man respekten for grunnloven, samtidig som det blir klart at reglene ikke har tjent sitt formål»
Hylland (1991,12)
Diskusjonen om ein kan (og bør) nytta lovverket for å sikra fiskal disiplin er ikkje berre av akademisk eller teoretisk interesse. I USA vart eit framlegg om lovfesta budsjettbalanse nedstemt med ei stemme så seint som i Februar 1997. Men problemstillinga er framleis aktuell. I den Europeiske Unionen spelar krava til budsjettdisiplin, slik dei kjem til uttrykk i Maastricht kriteria, ei sentral rolle. Me ser at problemstillinga har praktisk interesse. Innvendingane mot å kodifisera budsjettkrav er nettopp det poenget Hylland uttrykkjer i sitatet ovanfor: ein er redd for at ein bind handlefridomen slik at ein ikkje kan reagera fornuftig på kriser. Det beste ville vera om ein kunne vedta reglar som er vilkårsbundne til den tilstanden økonomien er i. Slike reglar ville (til ei viss grad) binda styresmaktene til å visa generell budsjett disiplin (spare av formua) samstundes som dei er frie til å bruke ekstra i situasjonar der det krevst. Problemet er at slike vilkårsbundne reglar ikkje er særleg praktiske. For at reglane skal virka bindande lyt dei vera enkle.
Det er vanskeleg å trekkja ein klår konklusjon frå denne diskusjonen. Eg trur me kan konkludera at styresmaktene kan (til ei viss grad) binda seg til å ikkje bruka opp for mykje av oljeformua ved å lovfesta eller grunnlovsfesta ein spareplan (ein balansert budsjett regel). Men det er slett ikkje sikkert at det er tenleg å avgrensa handlefridomen på den måten. For å forstå det er det tenleg å ta utgangspunkt i ein idealisert situasjon. Tenk deg difor at alle desse vilkåra er oppfylt. Det er ein sterk planleggjar-konsument konflikt internt i styresmaktene, dei har difor ei tilskunding til å nytta for mykje ressursar no. Det er lett å oppdaga om styresmaktene bryt grunnlova. Det er klårt kven som kan tiltale styresmaktene om eit brot skjer. Det er heilt sikkert at det ikkje kjem kriser i framtida som gjer det naudsynt å avvika frå den spesifiserte spareplanen. I ein slik situasjon er det utan tvil tenleg for styresmaktene å binda seg ved å grunnlovsfesta ein spareplan. Problemet er at den verkelege verda er meir uklår. Her er det ikkje sikkert at PK-problemet er så alvorleg. Det er ikkje sikkert at det er mogeleg å spesifisera ein spareplan i grunnlova. Det skjer kanskje noko dramatisk i framtida, som gjer det tenleg å vera fleksibel.
Når styresmaktene nyttar irreversible investeringar eller når dei lovfestar eller grunnlovfestar eit vedtak for å hindra avvik frå planlagt åtferd, nyttar dei tau som sorterer under det Ainslie kallar extrapsychic means to committment: Dei manipulerer omverda for å binda seg. Kan styresmaktene nytta nokon av dei andre knepa personar nyttar for binda seg? Eg tenkjer på det eg ovanfor kalla personal rules, og som gjekk ut på at ein person (planleggjaren) utnyttar mentale strukturar for å binda si eiga åtferd. Mest relevant er mental accounting teorien til Shafir og Thaler. Hypotesa i den teorien er at individa klassifiserer livsinntekta si på ulike konti, og at tildrivet til å konsumera av ein inntektsauke er avhengig av kvar, på kva konto, auken vert bokført. Dreg me ein parallell til styresmaktene og til pensjonsproblemet, er det nærliggjande å slutte at tildrivet til å bruka av formua er ein funksjon av kvar me plasserer ho. Kanskje kan me redusera bruken av formua ved å senka oljeutvinningstempoet. Eller kanskje me oppnår noko liknande ved å øyremerkja midlar til eit pensjonsfond.
Dette er radikale tankar (nærast kjetterske) for ein som er van til å argumentera utifrå ein idealisert økonomisk modell der avgjerdstakarane er fullt ut rasjonelle og svært disiplinerte. Me veit at i ei verd med ein perfekt kapitalmarknad og med fullt ut rasjonelle aktørar så vil ikkje plasseringa av formua ha nokon realøkonomisk effekt. I det rammeverket gjer det ingen forskjell om formua ligg nede i Nordsjøen, eller om ho er plassert i eit generelt fond, eller i eit fond øyremerket til pensjonar. Kva me kallar kontoen der formua er plassert er merkelappar. Rasjonelle aktørar ser at det her er tale om innpakning, og dermed får ikkje slike disposisjonar realøkonomiske konsekvensar. I fylgje denne modellen er dei realøkonomiske variablane (konsum, sparing osb.) berre avhengig av den risikojusterte neddiskonterte verdien på inntektene våre.
For at ei omplassering av formua i seg sjølv skal ha reell effekt på sparing, lyt me på eit eller anna vis avgrensa rasjonaliten til aktørane; åtferda deira lyt vera prega av nominelle illusjonar. Slike føresetnader bryt som sagt radikalt med dei ein vanlegvis byggjer på i økonomiske modellar. Men det likevel godt dokumentert at avgrensa rasjonalitet og nominelle illusjonar pregar økonomiske val. Eg har allereie nemnt artikkelen til Shafir, Diamond og Tversky ( Money illusion) . Dei presenterer resultat frå ei rekkje eksperiment som viser at økonomiske aktørar ikkje er så rasjonelle som ein vanlegvis forutset i økonomiske modellar. Eksperimenta viser eksplisitt at atferda er avhengig av korleis ting vert pakka inn: Merkelappar spelar ei rolle. 12 Etter å ha presentert nokre dømer på dette seier Shafir, Diamond og Tversky:
«In the above examples, as in other demonstrations of framing effects, people tend to adopt the particular frame that is presented (e.g., wealth versus changes in wealth; mortality versus survivel), and proceed to evaluate the options in that frame. [ ] Because certain aspects of the options loom larger in one representation than in another, alternative framings of the same options can give rise to different choices.»
(Shafir, Diamond og Tversky (1997, 346))
Slik eg ser det vil liknande mekanismar spela ei rolle når styresmaktene allokerer ressursar over tid. Eg trur til dømes me kan binda oss til å bruka mindre av formua vår om me senkar oljeutvinningstempoet. La meg utdjupe den påstanden.
Innanfor den idealiserte økonomiske ramma er det som sagt berre den neddiskonterte (risikojusterte) verdien av oljeinntektene våre som spelar ei rolle. Det betyr altså ingenting kvar inntektene våre kjem frå, eller når den kjem, vala våre er berre avhengig av den neddiskonterte verdien av inntektene. Bak denne modellen ligg det ei hypotese at me fritt kan lausriva bruken av inntekter frå det tidspunktet inntektene vert bokførte. Tempoutvalet var skeptisk til slike argument. Kjell Erik Lommerud seier til dømes at:
«Tempoutvalget aksepterte ikke denne tankegangen. Ikke fordi de ikke trodde at den norske Stat sto ovenfor et perfekt kapitalmarked, men fordi de trodde politisk press ville gjøre det umulig å separera inntjeningstidspunktet fra forbrukstidspunktet på en slik måte nåverditanken forutsetter»
Lommerud (1985, 58)
Lommerud viser deretter til NOU 1983 side 88, der denne vurderinga vert gjort:
«Selv om utvalget i flere forbindelser har lagt vekt på en slik atskillelse [av anvendelse fra inntjening] og den fondsoppbygging den innebærer, anser en det for helt urealistisk å basere en politikk for anvendelsene er uavhengig av tidsprofilen for inntjening. Nåverdibetraktninger kan være interessante som bakgrunnsmateriale ved vurderinger av tempovalg, men de kriterier en velger må være basert på mer realistiske forutsetninger om hvordan vårt politiske og institusjonelle system virker»
Ideane eg har gjort greie for ovanfor gjer det mogeleg å presisera skepsisen Tempoutvalet uttrykkjer når dei hevdar at de kriterier en velger må være basert på mer realistiske forutsetninger om hvordan vårt politiske og institusjonelle system virker. Etter mitt syn er PK-modellen og nominelle illusjonar to sentrale idear som fangar opp viktige kjenneteikn ved korleis vårt politiske og institusjonelle system virker. PK-modellen presiserer og grunngjev hypotesa om at politisk press gjør det umulig å separera inntjeningstidspunktet fra forbrukstidspunktet slik nåverditanken forutsetter. Den modellen formaliserer den tilskundinga styresmaktene har til å prioritera her og no over langsiktige siktemål. Konsekvensen vert at me møter opp i framtida med for lite ressursar (me sparar for lite) dersom me ikkje klarer å binda oss til ein spareplan. Hypotesa om nominelle illusjonar fortel oss noko om korleis styresmaktene kan binda seg. Når økonomiske aktørar har nominelle illusjonar gjeld ikkje det nøytralitetsresultatet ( det spelar inga rolle kva merkelappar me set på formua vår) me kjenner frå standard økonomisk teori. Kortfatta: Me treng binda vår eiga spareåtferd, og me kan gjera det ved å omplassera formue.
Det er utifrå dette perspektivet det er mogeleg å argumentera for at me kan spara større deler av oljeformua vår ved å senka utvinningstempoet. Ein grunn til det er sjølvsagt at oljeformua er mindre likvid enn andre formuesobjekt (at kapitalmarknaden ikkje funksjonerer perfekt). Men sjølv med ein perfekt kapitalmarknad trur eg nominelle illusjonar og merkelappeffektar fører til at tildrivet for å konsumere av (bruka av) formua er mindre når den ligg på botnen av Nordsjøen. Formua vår vert mindre synleg når den ligg der nede, den vert ikkje bokført som eit overskot i drifta, og det vil redusera tildrivet vårt til å bruka av ho.
No er ikkje ei senking av oljeutvinningstempoet eit reelt alternativ for å fondera alderspensjonen. I prinsippet er det sjølvsagt ikkje noko i vegen for å velja denne forma for fondering, og meiner ein at PK-modellen er relevant, og at dei politiske vala er prega av nominelle illusjonar, så kan eit svart oljefond vera eit godt alternativ. Men etter det eg forstår er ikkje denne løysinga aktuell. Argumenta ovanfor har likevel interesse avdi dei illustrerer eit generelt poeng som gjeld når me diskuterer andre meir realistiske fonderingsalternativ.
Det generelle poenget er kontoen me har formua vår på kan ha ein reel innverknad på kor mykje me sparer av oljeformua . Me kan då tenkja oss at eit fond som er øyremerket til finansiering av alderspensjonen vil føra til at me sparer meir enn om me har eit generelt petroleumsfond. Ved å oppretta eit alderspensjonsfond flyttar me midlane våre frå ein konto til ein annan (frå konto A til konto F i Shafir og Thaler sin modell (sjå side 20)). Eksperiment viser at generelt så er tildrivet til å konsumera av det som vert definert som midlar som er sett på kontoen inntekt for framtida svært lågt (sjå Shafir og Thaler 1992). Det er vel rimeleg å tenkja seg at det er ei blanding av mental accounting, og det faktum at øyremerkte midlar vert trekt bort frå det vanlege budsjetteringssystemet og dermed ikkje framstår som statens formue, kan føra til at det å oppretta eit pensjonsfond har ein reel effekt. Privatiserer me eit alderspensjonsfond vil det truleg forsterka desse effektane, i så fall vil det føra til at ein i større grad klarer å spare midlar for framtida. Peter Diamond argumenterer til dømes at ein grunn til at dei Chilenske styresmaktene ikkje endra pensjonssystemet, sjølv om dei offentlege budsjetta var pressa, var delvis avdi ordningane var political insulated by the fact that the money did not flow through the government (Diamond 1996, 34).
Konklusjon: Det er rimeleg å rekna med at når styresmaktene skal fordela ei formue over tid så har dei ei tilskunding til å spare for lite. Styresmaktene kan på ulike vis binda seg til ein spareplan. Ei grunnlovsfesting av ein spareplan er eit alternativ, men det er langtfrå ideelt. Dersom økonomiske val er prega av nominelle illusjonar, noko eg har argumentert for at dei er, så kan styresmaktene (i prinsippet) påverka spareåtferda ved å omplassera formua si. Utifrå denne modellen er det mogeleg å argumentera for at eit øyremerket (privatisert) alderspensjonsfond vil føra til at ein sparer meir enn ein ville gjort med eit generelt petroleumsfond.
4.4 Andre kjelder til tidsinkonsistent åtferd
Fyrst vil eg minna om kor i framstillinga eg er. I innleiinga sa eg at det finst tre årsaker til at ein aktør får eit dynamisk inkonsistensproblem. Eg har omtala ei kjelde til avvik, nemleg den tilskunding personar og andre har til å diskontera inkonsistent og dermed til å spara for lite. Eg har vist korleis det gjev styresmaktene eit ynskje om å binda seg, og eg har omtala knepa eller strategiane dei kan bruka for å fylgja ein spareplan. No skal eg seia noko om dei andre årsakene til at ein aktør ynskjer å avvika frå planlagt åtferd. Når det gjeld spørsmålet om binding, om - og korleis - styresmaktene kan binda seg, har eg ikkje noko å leggja til utover det som står i kapittel to og tre. Argumenta og synspunkta eg presenterte der gjeld no og, poenget er rett og slett at det finst andre grunnar for å binda seg enn inkonsistent diskontering, men dei strategiane styresmaktene kan nytta for å binda seg er dei same.
4.4.1 Endra preferansar
I kapittel 2 og 3 var tidspreferansane inkonsistente; aktøren hadde ei permanent tilskunding til å prioritera velferd no over velferd i framtida. Der problematiserte eg ikkje korleis aktøren prioriterer ulike alternativ på eit gitt tidspunkt, eg sa ikkje noko om preferansane til aktøren. Tenk deg ein som kan velja mellom to varer ( A og B). La a vera ressursane han nyttar på A og b ressursane han nyttar på B. Er samla utlegg i periode s cs er cs = as + bs. Ovanfor var det vektlegginga av ulike periodar ( s og s + 1) som var opphavet til inkonsistent åtferd, og til eit ynskje om å binda seg. Skiftande preferansar, mellom til dømes gode A og B, kan og føra til at ein ynskjer å binda seg . Tenk deg at det er du som gjer val i periode s, og at du har ei klar oppfatning om korleis ein bør fordela ressursane mellom A og B. La oss sei at du kvart år ynskjer å nytta halvparten av budsjettet på vare A og halvparten på vare B; du ynskjer altså å la as = bs = 0,5 cs for alle s [epsi] (t, T). Men du er klår over at det er ein sjanse for at han som allokerer ressursar i framtida (det kan vera andre utgåver av deg sjølv) har andre preferansar; du ser at det er ein fare for at han som vel i framtida vil bruke 75% av budsjettet på A. I så fall vil du freista binda deg til ein handlingsplan der halvparten av ressursane er bundne opp til gode B.
På det individuelle plan har modellen vorte nytta for å studera endogene preferansar. Tenk deg ein person som kan velja mellom å prøva eit rusmiddel, eller ikkje. Prøver han stoffet, får han eit nytt val i morgon, eit val mellom å slutta eller å bruka meir. Slik han vurderer det i dag vil det beste vera å prøva midlet ei gong, men så slutte før han vert avhengig. Men samstundes er det slik at bruk av rusmidlet endrar preferansane hans: Etter å ha prøvd det ei gong vil han prøve meir. Alternativa og vurderinga av alternativa er vist i Figur 4.1 (høgare tall tyder betre).

Figur 4.1
Den optimale planen (prøv, slutt) er ikkje dynamisk konsistent. Ein naiv person vert avhengig av rusmidlet (prøv, meir). Ein litt sofistikert aktør prøver ikkje rusmidlet (ikkje prøv). Ein sofistikert aktør leitar etter ein måte å binda seg til å gå langs den optimale banen (prøv, slutt).
Har dette perspektivet interesse for det spørsmålet me studerer? Kan preferansane til styresmaktene endra seg i framtida, og vil det ha ein innverknad på korleis dei allokerer ressursar over tid (sparar)? Kan det endra preferansar gje ein ekstra grunn for å binda seg til ein spareplan?
Eg trur ikkje modellen for endogene preferansar er særleg relevant. Men det grunnleggjande perspektivet, det at ein aktør ynskjer å binda seg fordi preferansane kan endra seg i framtida, er interessant. I dømet ovanfor er det kjemi som fører til at preferansane endrar seg mellom s og s +1. I det politiske systemet er preferanseskift institusjonalisert. I eit representativt demokrati er det regelmessig val av nye styresmakter, og val av nye styresmakter kan føra til at preferansane (prioriteringane) til styresmaktene endrar seg. For det fyrste kan sjølve valprosessen føra til at styresmaktene endrar fokus frå det langsiktige til det kortsiktige. For det andre kan den uvissa som oppstår når styresmaktene veit at dei kanskje vert erstatta av andre i framtida, påverka dei økonomiske vala som vert gjort no. Ei tredje kjelde til at preferansane til styresmaktene skiftar har ikkje noko med val å gjera, men er relatert til konjunktursvingar. Eg vil fyrst seia litt om det alternativet.
Det økonomiske aktivitetsnivået svingar over tid. No er me inne i ein periode med høg aktivitet og relativt låg arbeidsløyse. Media, eller opinionen meir generelt, pressar ikkje på og krev at styresmaktene skal nytta ressursar for å redusera arbeidsløysa (i Tyskland og Frankrike er det annleis). No er fokus på helse, på velferda til dei eldre, osb. Men i framtida ei gong vil aktivitetsnivået falla og arbeidsløysa vil igjen verta det problemet media og andre fokuserer på. Me kan tenkja oss at når styresmaktene har ei stor likvid formue, ei formue dei fritt kan bruka til alle mogelege tiltak, så vil presset, frå media og frå opinion meir generelt, mot å bruka pengar for å redusera arbeidsløyseproblemet verta stort, og at ein difor vil nytta for mykje ressursar på kort sikt. Det er sjølvsagt gode grunnar for styresmaktene å nytta midlane sine motsyklisk for å drive opp aktivitetsnivået når det fell, men poenget mitt er at når fokuset fyrst dreiar over mot arbeidsløyse så vil styresmaktene (om dei har ei stor likvid formue) kanskje nytta for mykje midlar for å redusera arbeidsløyseproblemet. Er dette eit realistisk scenario kan det vera tenleg for styresmaktene allereie no å ta bort den handlefridomen ei stor formue gjev, til dømes ved å øyremerkja midlane til eit pensjonsfond. Argumentet for binding byggjer igjen på at styresmaktene ser at dei ikkje kjem til å opptre rasjonelt i framtida, men no er det ikkje ei tilskunding til å diskontera framtida inkonsistent som er problemet. Styresmaktene ser at med ei stor likvid formue så vil dei ikkje prioritera rasjonelt i periodar med låge konjunkturar.
Problemet ovanfor er ikkje direkte knytt til dei periodiske vala me har i eit representativt demokrati. Mange har studert korleis politiske val verkar inn på den økonomiske politikken styresmaktene vel, og då spesielt på korleis val kan få styresmaktene til å leggja meir vekt på kortsiktige siktemål og ignorera oppgåver som ligg lengre framme i tida. Den litteraturen er difor relevant for oss som er opptekne av om det vert spara nok for å finansiera utgiftsveksten i den offentlege alderspensjonen. Utgangspunktet for slike argument er ofte at styresmaktene, eller politiske aktørar meir generelt, er opportunistar, dei vel økonomisk politikk for å sikra sine snevre eigeninteresser framfor å sikra velferda til folk (dei som argumenterer slik kallar seg gjerne for public choice skulen). I slike modellar vil politiske parti (styresmaktene) bruka for mykje ressursar for å auka sannsynet for at dei vert attvalde. Styresmaktene opptrer uansvarleg ved at dei ofrar langsiktige interesser (til dømes pensjonsforsikring) for å oppnå kortsiktige gevinstar. 13 Denne litteraturen vert og omtala som political business cycles.
Gjev dette perspektivet eit realistisk bilete av korleis økonomisk politikk vert valt i eit representativt demokrati har me igjen ein situasjon der styresmaktene vil finna det tenleg å vedta reglar eller prosedyrar som bind dei frå å bruka for mykje ressursar på kort sikt (dei vil freista binda seg til reglar som hindrar overbud og budsjettunderskott). Tenk deg at me har to politiske koalisjonar som begge kan verta valde til regjeringsposisjon. Begge partia tener på å implementera reglar som hindrar at ressursar vert nytta opportunistisk for å vinna politiske val.
I litteraturen har ein studert korleis politiske val kan påverka den økonomiske politikken på ein annan måte enn ved at ein får overbud framføra val. Det grunnleggjande utgangspunktet er dette: Dei som sit med makta i dag veit at dei kan verta erstatta av andre ved neste val. Det er altså eit visst sannsyn for at i framtida så vert den økonomiske politikken implementert av politiske aktørar som har ein annan ideologi og andre preferansar enn det dei sjølv har. Styresmaktene kan då finna det tenleg å gjera disposisjonar som tvingar framtidige styresmakter til å gjera val som høver meir med deira eigen ideologi. Styresmaktene manipulerer då tilstandsvariablar vrir åtferda til seinare styresmakter. Etter mitt syn er mykje av denne litteraturen urealistisk. Torstein Persson og Lars Svensson (1989) argumenterer til dømes for at Reagen administrasjonen strategisk dreiv med store budsjettunderskot for å disiplinera Demokratane om dei skulle verta sett til å regjera seinare. Hypotesa er at budsjettunderskotet vart nytta strategisk for å vri dei vala til Demokratane om dei kom til makta. Store budsjettunderskot mange år på rad gjev ei stor offentleg gjeld, og ei stor offentleg gjeld gjer det vanskelegare å auka offentlege utgifter (konsum) i framtida sidan svært mykje av skatteinntektene då er bundne opp til å betale renter på gjelda. Eg trur dette perspektivet er urealistisk, men sjølve argumentet peikar på ein mekanisme som kan vera relevant for pensjonsproblemet.
Sei no at det fanst to politiske koalisjonar i Noreg. Den eine legg vekt på framtida, mellom anna understrekar dei kor viktig det er at me sikrar ein kapitalbase for å finansiera veksten i dei framtidige pensjonsutgiftene. Den andre prioriterer velferd no over velferd i framtida, dei ynskjer å redusera helsekøar, å auka levestandarden for småbarnsfamiliar og velferda til dei som er alderspensjonistar no. Sit den langsiktige koalisjonen med makta, har den ein klår spore til å binda opp ressursar slik at dei ikkje vert brukt opp no. For dei kan det til dømes vera tenleg å øyremerkja midlar i eit pensjonsfond (om ein trur slike tiltak virkar bindande, sjå kap. 4). Ved å binda opp ressursar på den måten hindrar dei at den andre koalisjonen, om den skulle verta valt til å regjera, ikkje brukar opp for mykje ressursar.
Legg merke til at i denne situasjonen kan me ikkje nytta generelle velferdsargument for å legitimera binding. Her er det ein reell interessekonflikt mellom to politiske fraksjonar, og bind den langsiktige handlefridomen til styresmaktene går det utover dei som prioriter velferd no. Her gjev ikkje binding ei Paretoforbetring.
4.4.2 Spel mellom styresmaktene og private aktørar
Omgrepet truverdeproblem er ofte nytta i samanheng med tidsinkonsistensproblemet. Då tenkjer ein som oftast på ein situasjon der ein part S (styresmaktene) annonserer ein plan ovanfor P (publikum eller private aktørar), men P ser at S ikkje kjem til å fylgja planen. Det er når me vektlegg samspelet mellom styresmaktene og individa i den private sektoren at manglande truverde vert ei aktuell problemstilling. Sidan 1977 har truverdeproblemet vore eit sentralt omgrep i økonomisk analyse, og det er utan tvil denne typen tidsinkonsistensproblem som har vore mest studert. I 1977 publiserte Finn Kydland og Edward Prescott artikkelen Rules versus discretion; the time inconsistency of economic policy, dei viste at styresmaktene kan ha eit truverdeproblem i pengepolitikken. Her er ei enkel utgåva av den modellen. (Eg presenterer den modellen sjølv om eg trur den har avgrensa relevans for pensjonsproblemet. Grunnen til at eg gjer det er at kanskje andre kan sjå at denne mekanismen er viktig når ein talar om offentleg sparing for alderspensjonen.)
Det finst to spelarar i denne modellen. Dei er knytt i hop ved at kvar einskild gjer val som påverkar den andre. Den eine spelaren representerer arbeidarane (fagforeininga ), han set nominell løn. Den andre er styresmaktene. Dei vel veksten i pengemengda og dermed inflasjon. Etter at nominell løn er fastsett, og me forutset at denne løna gjeld for ein viss periode og at ho ikkje er perfekt indeksert, så vil høgare inflasjon undergrave realløna og gje høgare sysselsetting. Sidan høgare enn forventa inflasjon gjev høgare sysselsetting ser det ut som det offentlege står ovanfor ei avveging mellom inflasjon og arbeidsløyse. Det ser ut som styresmaktene kan velja ulike punkt på ei Phillips-kurve. Men fagforeininga har rasjonelle forventningar og det gjer det umogeleg for styresmaktene å utnytta denne avveginga. Litt formalisme vil gjera strukturen i modellen klarare.
La [pi] e vera den inflasjonen fagforeininga ventar i framtida, det vil seia det estimatet dei nyttar når dei set sitt lønskrav. Fagforeininga likar ikkje at faktisk inflasjon er forskjellig frå den dei forventar. La tapet feil inflasjonsforventningar påfører fagforeininga vera gitt ved -([pi] - [pi] e )2. Styresmaktene styrer pengemengdeveksten og ynskjer ideelt sett å ha null inflasjon samstundes med full sysselsetting. Full sysselsetting er gitt ved eit produksjonsnivå x*. Kostnaden ved inflasjon er ein kvadratisk funksjon av inflasjonsnivået.
Summert i ei likning kan me seia at styresmaktene vel pengepolitikk, inflasjon, for å maksimera,

der produksjonsnivå er gitt ved,

.
Fagforeininga ynskjer eit høgare lønsnivå enn det som gjev full sysselsetting, altså er m < 1. Styresmaktene kan auke produksjonen og sysselsettinga ved å overraske fagforeininga med høg inflasjon; d > 0.
Fagforeininga har rasjonelle forventningar. Og det rasjonelle er sjølvsagt å forventa den inflasjonen styresmaktene faktisk vil velja. Fagforeininga kjenner den økonomiske modellen. Den vil difor setja seg ned å løysa det styresmaktene sitt problem for å finne samanhengen mellom forventa inflasjon og faktisk inflasjon. Gjer den det kjem den fram til denne samanhengen,

Sidan fagforeininga ynskjer å minimera avviket mellom forventa og faktisk inflasjon vel den forventningar som gjev [pi] ([pi] e) = [pi] e, som igjen gjev 14

.
Resultatet er at me får både inflasjon og arbeidsløyse i jamvekt.
I denne modellen kan styresmaktene få realisert ei betre løysing (ei betre jamvekt) dersom dei kan binda seg til å ikkje inflatera økonomien. I den samanheng har ulike løysingar vorte diskutert, mellom anna har ein argumentert for å at det kan vera tenleg å deligera pengepolitikken til ein uavhengig sentralbank som har incitament til å halde låg inflasjon. I modellen ovanfor oppnår ein det beste resultatet om sentralbanken er bunden til null inflasjon. Men den generelle innvendinga mot å binda seg for hardt gjeld her og. For i røynda vert økonomiar utsett for eksogene sjokk og konjunktursvinginga, og då kan ein aktiv pengepolitikk få økonomien fortare attende til normalt aktivitetsnivå. Igjen ser me at det er ei avveging mellom den vinsten ein får ved å binda seg for å unngå eit tidinkonsistensproblem, og det tapet ein får ved ikkje å ha handlefridom til å nytta økonomisk politikk aktivt for å flate ut konjunktursvinginga.
Grunnstrukturen i dette problemet, og i alle andre situasjonar der styresmaktene får eit truverdeproblem når dei annonserer økonomisk politikk, er slik. Styresmaktene startar med å annonsera den planen som er optimal når dei tek omsyn til den reaksjonen dei får frå private aktørar (ovanfor er det fagforeininga dei spelar mot og fagforeininga reagerer ved å velja ei nominelle lønskrav)). Så gjer dei private val som er irreversible (lønstillegga gjeld for ein periode). Så etter at dei private har gjort sine val kan styresmaktene endra politikken utan at det fører til ein reaksjon frå dei private, og det er nettopp grunnen til at styresmaktene ynskjer å avvika frå det dei opphavleg annonserte. Men rasjonelle private aktørar ser korleis det heng i hop, og vil ta omsyn til den sporen styresmaktene har å avvika frå den optimal planen.
Har dette perspektivet relevans for pensjonsspørsmålet? Kan pensjonsspørsmålet formulerast som eit spel mellom styresmaktene og den private sektor, og er det slik at styresmaktene får ein spore til å avvika frå den optimale spareplanen dersom private aktørar tilpassar seg planen? Eg kan ikkje sjå at dette problemet er særleg relevant. Men set me ikkje for strenge grenser for fantasien kan me kanskje tenkja oss at investering og sparing i den private sektoren er avhengig av om styresmaktene vil halda den spareplanen dei annonserer.
Her er eit stilisert døme. La oss forenkla grovt og seia at styresmaktene har to handlingsval; spare lite eller spare mykje. Me seier og at styresmaktene ikkje vil gå attende på dei stønadsordningane som er lova alderspensjonistar. Sparer lite fører til ein liten kapitalbase, og til at skattenivået vert svært høgt for at ein skal klara å finansiera offentlege pensjonar. Sparer mykje gjev ein god kapitalbase og relativt låge skattar. Nokre av dei vala private aktørar gjer no er ein funksjon av kva dei forventar om skattenivået i framtida. Private aktørar kalkulerer økonomisk kostnad og vinst når dei vel om dei skal ta utdanning eller ikkje, og sporen til å investera i utdanning, eller til å investera i andre irreversible prosjekt, minkar dess høgare det framtidige skattenivået vert. Dersom styresmaktene annonserer ein sparer mykje plan, og denne er truverdig vil private investera mykje i utdanning, manglar planen truverde vil dei investera lite. Her ser me at samspelet mellom styresmaktene og dei private gjev styresmaktene ein ekstra grunn for å binda seg til ein spareplan.
Eit anna døme. Det er ikkje sikkert at høgare skattar vert konsekvensen dersom styresmaktene ikkje klarer å halda seg til ein sparar mykje plan. Alternativet er at styresmaktene reduserer utbetalingane. Det mest sannsynlege då er at ein innfører ei eller anna form for motrekning mot private pensjonsytingar. Dei som har høge private pensjonsinntekter får redusert utbetalingar frå styresmaktene. Det gjev individa ein spore til å spare i former som ikkje vert motrekna. Konsekvensen kan verta at individ vel ineffektive spareformer (til dømes spareformer som ikkje utnyttar forsikringsaspektet ved bunden pensjonssparing). Igjen gjev samspelet mellom publikum og styresmaktene ein ekstra spore til å binda seg.
Kanskje kan me finna fleire dømer på at truverdeproblem fører til at det er ekstra viktig for styresmaktene å binda seg til ein spareplan som sikrar finansieringa av den offentlege alderspensjonen. Eg veit ikkje om fleire, som sagt trur eg ikkje dette momentet er særleg viktig når me diskuterer pensjonsspørsmålet.
4.5 Sluttmerknad
I standard økonomisk analyse spør ein ikkje om spareplanar vert fylgt. Der forutset ein så mykje rasjonalitet og viljestyrke at problemstillinga er uaktuell. Løyser me litt på desse føresetnadene er det fleire krefter og mekanismar som gjer at ein økonomisk aktør sparer mindre enn han planla, eller sagt på ein annan måte, det er fleire årsaker til at han handlar mot sine opplyste - eller langsiktige og rasjonelle - interesser. Då vil han, om han er så sofistikert at han gjennomskodar sitt eige spareproblem, ynskja å binda seg til ein spareplan. Eg har omtala somme av dei knepa styresmaktene i prinsippet kan bruka for å binda seg til ein spareplan, samstundes har eg har argumentert for at det kan vera vanskeleg for styresmaktene å binda sin eigen handlefridom.
Men sjølv om styresmaktene fann ein eller annan formel for å binda seg 100% til ein spareplan, til dømes til ein regel som seier at styresmaktene ikkje kan ha underskott på statsbudsjettet, så er det ikkje sikkert at det er eit godt alternativ. Ein slik streng regel løyser tidsinkonsistensproblemet, men han skapar kanskje andre problem sidan regelen tek bort statens finansielle handlefridom. Som sagt kan uventa sjokk ramma økonomien, og då er det tenleg å ha frie hender slik at ein kan legge om den økonomiske politikken. Det optimale ville difor vera å binda seg til tilstandsvilkårlege reglar. Men det er vanskeleg, for det fyrste lyt reglane vera relativt enkle for at dei skal virka bindande, for det andre er det umogeleg å spesifisera alt som kan skje i framtida. Ovanfor omtala eg empiriske undersøkingar som viser at budsjettreglar og prosedyrar for sikre balanse synes å verka disiplinerande. Den neste spørsmålet er om slike reglar verkar negativt i den meining at dei hindrar makroøkonomisk stabilisering av uventa sjokk. Empirien her synes å avvisa den hypotesa, Alesina og Bayoumi (1996) finn at statar som har rigide budsjett reglar ikkje har større variabilitet i arbeidsløysa og produksjon. Personleg trur eg det er lite tenleg å lovfesta eller grunnlovfesta ein spareplan som sikrar finanisieringa av alderspensjonen. For meg virkar øyremerking av midlar til eit pensjonsfond som eit meir fleksiblet og teneleg virkemiddel.
4.6 Referansar
Ainslie, G. (1975). Specious Reward: A behavioural Theory of Impulsiveness and Impulse ControlPsycological Bulletin 82, 463-509.
Ainslie, G. (1985). Beyond Microeconomics. Conflict Among Interests in a Multiple Self as a Determinant of Value In J. Elster (ed.). The Multiple Self. Cambridge, UK: Cambridge University Press.
Ainslie, G. and N.Haslam (1992). Hyperbolic Discounting George Loewenstein and Jon Elster (eds.) Choice over Time (New York, NY Russel Sage Foundation).
Alesina, A. og T. Bayoumi (1996). The costs and benefits of Fiscal Rules: Evidence from US States NBER Working Paper no 5614, June.
Alesina, A. og G. Tabellini (1990). A Positive Theory of Fiscal Deficits and Government DebtReview of Economic Studies 57, July, 403-414.
Bernheim, D. B., J. Skinner and S. Weinberg (1997). What Accounts for the Variation in Retirment Wealth in U.S. Households?» Upublisert Arbeidsnotat.
Diamond, P. (1996) Insulation of pensions from political risk i The Economics of Pensions, S Valdes-Prieto (ed), Cambridge.
Elster, J. (1979) Ulysses and the Sirens: Studies in Rationality and Irrationality. Cambridge University Press.
Elster, J. (1992) Intertemporal Choice and Political Thought George Loewenstein and Jon Elster (eds.) Choice over Time (New York, NY Russel Sage Foundation).
Gale, W. (1997) The effects of Pensions on Wealth: A Re-Evaluation of Theory and Evidence Brooking Institution.
Hylland, Aa. (1991) «Statens Reservefond. Et forsøk fra politikerne på å binde sin egen handlefrihet? Arbeidsnotat.
Kydland, F. og E. Prescott (1977) Rules Rather than Discretion: The Inconsistentcy Optimal Plans. Journal of Political Economy, 85, 473-491.
Laibson, D. (1997). Golden Eggs and Hyperbolic Discounting.Quarterly Journal of Economics 112, 444-477.
Loewenstein, G. og D. Prelec (1992). Anomalies in Intertemporal Choice: Evidence and an interpretation. George Loewenstein and Jon Elster (eds.) Choice over Time (New York, NY Russel Sage Foundation).
Lommerud, K. E. (1984) Velferdsøkonomisk perspektiv på olje og usikkerhetStatsøkonomisk Tidsskrift 1984, 41 -67.
Nozick, R. (1993) The Nature of Rationality. Harvard University Press, Cambridge US.
NOU 1983:27 Petroleumsvirksomhetens fremtid Oslo Universitetsforlaget.
Persson, T. og L. E. O. Svensson (1989). Why a Stubborn Conservative Would Run a Deficit: Policy with Time-Inconsistent PreferencesQuarterly Journal of Economics 104, s. 325-345.
Phelps, E. og R. A. Pollak (1968). On Second Best National Saving and Game Equilibrium GrowthReview of Economic Studies, XXXV, 201-208.
Poterba, J. (1994). States Responses to Fiscal Crises: The effects of Budgetary Institutions and PoliticsJournal of Political Economy, 102, 799-821.
Shafir, E., P. Diamond, and A. Tversky, (1997) Money Illusion.Quarterly Journal of Economics 112, 341-374.
Shefrin H. M. og R. Thaler (1981) An Economic Theory of Self ControlJournal of Political Economy, 89, 392-406.
Shefrin, H. M. og R.Thaler (1992) Mental Accounting, Saving and Self-Control George Loewenstein and Jon Elster (eds.) Choice over Time (New York, NY Russel Sage Foundation).
Strotz, R. H. (1956). Myopia and Inconsistency in Dynamic Utility MaximizationReview of Economic Studies, XXIII, 165-180.
Fotnoter
Eg nyttar omgrepet konsum, bruk er kanskje eit meir dekkjande omgrep. For å fokusera på det sentrale, har eg sett bort frå den straumen av inntekter styresmaktene har. Viss Is representerer inntektene til staten (når ein ser bort frå inntektene frå oljeproduksjonen), kunne problemet vore formulert slik at styresmaktene vel ein spareprofil ( st , st+1 ,...sT), der ss = Is - cs ..
Denne aktøren kan til dømes vera styresmaktene som legg ein plan for korleis dei skal sikra ein kapitalbase (sikra at me ikkje brukar opp oljeformua) for å finansiera veksten i pensjonsutgiftene.
Sjå Shefrin og Thaler (1981), og Loewenstein og Prelec (1992).
Kanskje ynskjer han i slike stunder å kjempa mot all diskontering, altså at han også ynskjer å setja [delta]=1. Eg får fram det sentrale poenget ved å fokusera på [beta]?
Eg er klår over at dette ikkje er særleg strengt, sidan det å halda seg til ein spareplan er berre eit spesielt uttrykk for det generelle problemet som går ut på å kjempe mot det å la seg styra av kortsiktige interesser, av impulsar og innfall.
Dei fire kategoriane av knep - eller strategiar - ein person kan nytte for å utøva sjølvkontroll er: Using extrapsychic devices, controlling attention, using the momentum attached to emotions and making use of personal rules (mental accounting).
Sjå Gale (1995), Shefrin og Thaler (1992) og Bernheim, Skinner og Weinberg (1997) for ei oppsummering av empiriske funn (og for mange andre referansar).
Laibson viser og at innanfor PK modellen kan velferda til folk faktisk falle når ein intriduserer finansielle instrument som gjev spararane meir fleksibilitet og større likviditet. Det resultatet får ein sjølvsagt ikkje i ein standard LS-modell.
Det er fascinerande at nevrologar og biologar har funne ut at desse to røystene (den fornuftige og impulsive) talar frå to forskjellige delar av hjernen.
Her er eit litt subtilt poeng: Sjølv om styresmaktene har ein PK-konflikt og me ignorerer alle bindingsproblem så impliserer ikkje det at me sparar for lita av formua til å få dekkja auken i pensjonsutgifter. Formua vår er kanskje så stor at sjølv om styresmaktene heile tida opptrer myopisk og sparar for lite i høve til våre rasjonelle langsiktige interesser, så er formua vår stor nok til å finansiera veksten i offentlege pensjonsutgifter. I det tre periode dømet eg introduserte på side 10, vil ein myopisk naiv aktør som diskonterer slik det er gjort greie for velja ressursprofilen (47, 34, 19). Han planla å fordela ressursane slik (47, 27, 26), han brukar difor meir enn planlagt før han kjem til periode 3. Sei no at denne personen berre treng 10 for å finansiera pensjonsutgiftene sine i periode 3. Då er ikkje hyperbolsk diskontering og svak vilje eit problem for pensjonssparinga. Denne personen har eit generelt spareproblem, og er han sofistikert vil han freista binda seg til ein jamnare konsumprofil, men pensjonssparinga er ikkje i seg sjølv eit problem.
Argumentet her er at den institusjonelle ramma er ein tilstandsvariabel.
I den engelske faglitteraturen vert dette omtala som framing effects.
I den fyrste generasjonen av slike modellar var publikum (dei private aktørane) naive og irrasjonelle, dei gjennomskoda ikkje at dei sto ovanfor ein intertemporal budsjettskranke (meir no tyder mindre seinare): aktørane hadde ikkje rasjonelle oppfatningar og forventingar. I nyare modellar tillet ein meir sofistikerte aktørar, men ein kjem likevel fram til liknande konklusjonar (sjå Alesina og Tabellini (1990)).
Det som skjer her er at om inflasjonsforventningane er sett på denne måten vil styresmaktene finna at den marginale gevinsten ved å inflateraer lik den marginale kostnaden av inflasjon. Forventingane vert altså infridd.