2 Virkninger på arbeidstilbud i yrkesaktive år av alternative pensjonsopplegg

Erik Hernæs, Marte Sollie og Steinar Strøm, SNF-Oslo

Referanser

Hernæs, E., P. Longva og S. Strøm (1994): Datagrunnlag for mikroøkonometrisk analyse av arbeidsmarkedsforløp, Arbeidsnotat fra SNF 29/94

Hernæs, E. og M. Sollie (1997): Befolkningens arbeidsmarkedstilknytning 1989 - 1992, Rapport fra SNF 2/97

Longva, P. (1995): Individuelle timelønninger. Estimering av lønnsrelasjoner basert på kopleteregisterdata Norsk Økonomisk Tidsskrift (NØT) 109 (1995), s. 51 - 72 NOU 1995:29: Samordning og pensjons- og trygdeytelser

Statistisk sentralbyrå 1994: Skatter og overføringer til private. Historisk oversikt over satser mv. Årene 1975 - 1994, Rapporter 94/21

Aaberge R, J. Dagsvik og S. Strøm: Labour Supply Responses and Welfare Effects of Tax Reforms, Scandinavian Journal of Economics 97 (4), s. 635-659.

2.1 Innledning og sammendrag

Problemstillingen i denne rapporten er den følgende:

Hvilke virkninger kan det ha på tilbudet av arbeid av å etablere en mer direkte sammenheng mellom innbetalte pensjonspremier i yrkesaktivt liv og utbetalte pensjoner enn i dagens folketrygdopplegg?

For å kunne svare på spørsmålet i problemstillingen bruker vi en modell som bestemmer tilbudet av arbeid over livsløpet. I analysen av arbeidstilbudet brukes modellen empirisk på et utvalg av personer.

Utvalget av personer er avgrenset til ansatte i privat sektor som mottar pensjon fra folketrygden når de går av. Vi forenkler ved å anta at disse personene jobber i denne sektoren hele livet. Ved pensjonering vil de få utbetalt full pensjon fra folketrygden. I tillegg vil de høyst sannsynlig ha privat tjenestepensjon. Årsaken til at vi forenkler ved kun å se på privat sektor er for å få frem folketrygdens betydning for en persons tilpasning i arbeidsmarkedet. Vi unngår dermed å forholde oss til samordningsreglene med de offentlige tjenestepensjonene. Personer som jobber i offentlig sektor får i hovedsak beregnet sin pensjon på bakgrunn av reglene i en offentlige pensjonskasse og pensjonen fra folketrygden kommer kun som et samordningsfradrag.

Videre gjør vi den avgrensing at vi ser på arbeidstilbudet over livsløpet fra og med fylte 35 år. Årsaken er at det statistiske grunnlaget for å analysere arbeidsmarkedstilpasningen til yngre personer er relativt dårlig. Vi forutsetter at det yrkesaktive livet maksimalt kan vare inntil fylte 66 år. Pensjonsalderen antas å vare fra og med fylte 67 år og til og med forventet levealder for en 35-åring. For menn er denne levealderen i dag anslått til 76 år og for kvinner til 81 år.

Vi forutsetter at personene maksimerer nåverdien av fremtidige nyttestrømmer fra og med fylte 35 år og til og med forventet levealder med hensyn på arbeidstilbudet for hvert år frem til fylte 66 år. Vi ser bort fra all usikkerhet og den eneste forskjellen vi bringer inn i forventet levealder mellom personer er den som skyldes ulik levealder for menn og kvinner. Nytten hvert år avhenger av konsum og fritid. Årlig fritid er lik 8760 timer minus timer arbeidet hvert år. Vi ser kun på arbeidstider i hele den yrkesaktive karrieren som er større enn 920 timer og mindre enn 3600 timer per år. Grunnen er at det statistiske grunnlaget er for dårlig til å gi gode nok analyser av personer som arbeider enten et lite antall timer eller et svært høyt.

Selv om vi kommer til å presentere empiriske resultater kun for representative aktører, så bygger disse resultatene på individuelle data og tilpasninger. Arbeidstilbudet til en representativ person vil typisk ligge rundt 2000 timer per år.

Vi drøfter ikke personenes valg av optimal konsumutvikling. Det intertemporale problemet er derfor redusert til kun å bestå i valg av arbeidstid over livsløpet. I avsnittene som følger, vil det fremgå hvorfor valg av arbeidstid i den yrkesaktive delen av livet kan ha virkninger på konsummuligheten som pensjonist.

I maksimeringen av nåverdien av fremtidige nyttestrømmer forutsettes personene å ta hensyn til at inntekt opptjent i dag kan gi grunnlag for fremtidige pensjonsytelser. I hvilken grad disse fremtidige virkningene av dagens arbeidstilbud får betydning for tilpasningen i dag avhenger av pensjonsreglene. La oss derfor først kort drøfte de bibetingelsene en aktør står overfor under dagens pensjonsregime når han/hun skal foreta sitt arbeidstilbudsvalg.

For det første må konsumet i yrkesaktive år, her fra 35 til 66 år, være mindre eller lik lønnsinntektene etter skatt, inklusive den såkalte folketrygdavgiften, pluss arbeidsfrie inntekter etter skatt. I dagens pensjonsopplegg er folketrygdavgiften en skatt på linje med andre inntektsskatter. Det er ingen incentivelementer knyttet til denne avgiften som gjør den forskjellig fra andre inntektskatter. Eksistensen av en folketrygd kan ha virkninger på spareatferden til individene i økonomien og dermed også på arbeidstilbudet. Denne virkningen har imidlertid ingen sammenheng med en eventuell tolkning av folketrygdavgiften som en pensjonspremie.

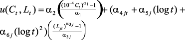
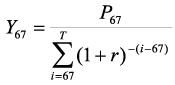
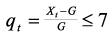
Etter fylte 67 år må konsumet være mindre eller lik pensjonen etter skatt, pluss eventuelle arbeidsfrie inntekter etter skatt. Pensjonen er en lineær funksjon av gjennomsnittlig pensjonsgivende inntekt de 20 beste inntektsår. I modellavsnittet viser vi mer eksakt hvordan reglene er, blant annet avhenger den pensjonsutløsende inntekten av om lønnsinntekten er mindre enn 6 G eller større enn 12 G. Her er det tilstrekkelig å slå fast at en økt inntekt i løpet av perioden for de 20 beste inntektsår, vil føre til økt pensjon. Siden personen kan påvirke inntekten i denne perioden gjennom å endre sitt arbeidstilbud, er det tilstede en sammenheng mellom arbeidstilbudet i yrkesaktive år og fremtidig pensjon. Vi vil forutsette at de 20 beste inntjeningsår er årene mellom 35 og 55 år. Begrunnelsen for denne forutsetningen er at empiriske analyser av sammenhengen mellom lønn og alder tyder på at dette er den 20-årsperioden med høyest inntjening. Vi vil videre forutsette at alle de personene som inngår i analysen tilfredsstiller kravet om 40 opptjeningsår. For menn kan dette være en rimelig forutsetning, mens det for kvinner kan være mer realistisk å anta at noen ikke oppnår full opptjeningstid i løpet av sitt yrkesaktive liv. Vi velger å se bort fra denne komplikasjonen her.

I analyser av arbeidstilbud, hvor en ser bort fra pensjonsvirkninger, er det optimale arbeidstilbudet typisk karakterisert ved en betingelse som sier at i optimum er skyggeprisen på fritid lik den marginale lønnsinntekten. Skyggeprisen på fritid er lik den marginale substitusjonsbrøk mellom fritid og konsum. Den sier hvor mange enheter av konsum personen må få i kompensasjon i optimumspunktet for å være villig til å oppgi en enhet fritid. Den marginale lønnsinntekten er lik timelønnen etter marginalskatt.

Under dagens pensjonsregler vil en endring i arbeidsinnsatsen i de 20 beste år, det vil si mellom 35 og 55 år, gi en virkning på fremtidige pensjonsutbetalinger. Vi forutsetter her at personene tar hensyn til denne sammenhengen. Arbeidstilbudet for årene fra 35 til 55 år gir dermed en marginal gevinst utover den marginale lønnsinntekten. Denne ekstra marginalgevinsten, her kalt marginal pensjonsgevinst, vil for det første avhenge av den marginale nyttegevinsten av å få et høyere konsum hvert år som pensjonist. En må her ta hensyn til at pensjoner utover en viss grense vil bli beskattet, slik at en bare beholder en viss andel av en økt pensjon som konsumbar inntekt. For det andre må en ta hensyn til at de nærmeste årene etter fylte 67 år kan telle mer enn de senere årene. Denne neddiskonteringen av fremtidige nyttestrømmer må tas hensyn til i utregningen av den marginale pensjonsgevinsten. For det tredje avhenger den marginale pensjonsgevinsten av timelønnen i det yrkesaktive året vi betrakter. Jo nærmere dette yrkesaktive året er pensjonsalderen, desto større vekt har timelønnen i den marginale pensjonsgevinsten. Dessuten vil gevinsten avhenge av pensjonsreglene.

Optimalt arbeidstilbud for hvert år mellom 35 og 55 år er med andre ord karakterisert ved at summen av den marginale timelønnen og den marginale pensjonsgevinsten er lik skyggeprisen på fritid. For årene etter fylte 55 er optimalt arbeidstilbud karakterisert ved at marginal timelønn er lik skyggeprisen på fritid, akkurat som i den tradisjonelle arbeidstilbudsmodellen. Etter fylte 55 år vil arbeidstilbudet derfor være lik det arbeidstilbudet som følger av den tradisjonelle modellen. Før fylte 55 år er arbeidstilbudet høyere når en tar hensyn til den marginale pensjonsgevinsten enn når denne ignoreres. Jo nærmere personen er 35 år, desto større er forskjellen. For menn er forskjellen svært liten, mens den for kvinner kan være noe større, på det meste 11 prosent over nivået som følger av tilpasningen hvor pensjonsgevinsten av arbeid ignoreres.

I det alternative pensjonsopplegget forutsetter vi at personen kan opparbeide seg en pensjonsformue gjennom hele det yrkesaktive livet, det vil si ikke bare fra 35 til 55 år, men helt frem til fylte 67 år. Vi forutsetter at en konstant andel av lønnsinntekten spares hvert år og akkumuleres i et rentebærende fond øremerket for personen. Ved fylte 67 år har dermed pensjonisten en formue som kan benyttes til å dekke konsumet i gjenstående levetid. Det forutsettes at gjenstående pensjonsformue til enhver tid gir renteinntekter og at pensjonsformuen er brukt opp ved utløpet av livet.

Det at en ser bort i fra arbeid i tidligere år (før 35 år) i det alternative opplegget gjør at maksimalt antall år med opptjening i folketrygden blir 32 år. I referansealternativet antok vi full opptjening med 40 år. Konsekvensen av dette er at pensjonsformuen i det alternative opplegget vil bli noe mindre enn ved full opptjening (40 år) for ulike verdier på pensjonsspareraten. I en eventuell omlegging av folketrygden vil det ligge en minstepensjon til grunn for beregningene av pensjonsutbetalingene. Dette har ikke vi tatt hensyn til i analysen.

Også i denne modellversjonen vil det være en marginal pensjonsgevinst av å øke arbeidstilbudet i yrkesaktive år. I motsetning til under dagens regler vil denne marginale pensjonsgevinsten være tilstede også i perioden fra fylte 56 til fylte 66 år. Gitt at alle andre forhold er de samme, vil en derfor vente at arbeidstilbudet vil være høyere under det alternative pensjonsopplegget de siste 10 årene før pensjonsalderen enn under dagens regler. For årene mellom 35 og 55 år kan en ikke utelukke at arbeidstilbudet vil være høyere under dagens regler enn i det alternative pensjonsregimet, gitt at alle andre forhold er de samme. Årsaken er at i det alternative regimet kan personen spre den pensjonsfrembringende arbeidsinnsatsen over flere år enn under dagens regler.

I dette alternative pensjonsregimet forutsetter vi som nevnt at en gitt andel av inntekten spares og legges til et rentebærende pensjonsfond. En mer generell tilnærming ville være å bestemme den optimale spareandelen, det vil si å bestemme det optimale konsumet over livsløpet. Vi har avstått fra en slik analyse, først og fremst på grunn av at den er regnemessig svært krevende. Det eneste intertemporale elementet som det er tatt hensyn til i beskrivelsen av individenes tilpasning, er valg av arbeidstilbud og de virkninger et slikt valg kan ha på fremtidige pensjoner.

For å kunne svare mer presist på spørsmålet stilt i innledningen i dette avsnittet må vi gi empirisk innhold til modellen. Det har vi gjort på følgende måte:

  • Det ideelle datamaterialet ville være ett hvor vi kunne følge personer født på ulike tidspunkter gjennom hele livet. Et slikt materiale eksisterer ikke i noe land. Vi har benyttet data fra ett år, 1992, og antatt at personer som for eksempel er 52 år i 1992 har en atferd som er typisk for alle 52-åringer i årene som kommer.

  • Personer født på ulike tidspunkter, men observert i 1992, kan ha hatt ulike sjanser i livet. Dette lar vi komme til utrykk i at utdanningsnivået varierer med når personen er født. Vi finner som ventet at jo tidligere personen er født, desto lavere er det gjennomsnittlige utdanningsnivået og dermed timelønnen, alt annet likt. En lavere timelønn har tre effekter på arbeidstilbudet. Avkastningen av å arbeide en time ekstra blir lavere og dermed arbeides det et mindre antall timer enn om lønnen hadde vært høyere (substitusjonseffekten). På den annen side vil en lavere timelønn gi to inntektseffekter: En må arbeide mer for å oppnå et gitt konsumnivå og en må arbeide mer for å oppnå en høyere fremtidig pensjon. Siden kvinner har en lavere timelønn jevnt over enn menn, følger forholdet mellom menns og kvinners arbeidstilbud samme mønster.

  • Vi har brukt en lønnsrelasjon estimert av Longva (1995) til å gi oss timelønninger på de ulike alderstrinn. Timelønnen avhenger av en rekke forklaringsvariable utover alder, som utdanning, yrkeserfaring og kjønn. Lønnsrelasjonen er estimert på et omfattende mikrodatamateriale hentet fra Folke-og boligtellingen i 1990. I estimeringen av timelønnsrelasjonen er det kun benyttet data for de som arbeidet heltid gjennom hele året 1990, definert som 37,5 timer eller mer per uke. I estimeringen er det tatt hensyn til at personer som arbeider heltid, kan ha foretatt et arbeidstilbudsvalg. Det er følgelig ikke tilfeldig hvem vi observerer som heltidsarbeidende. I dette datamaterialet observeres den eksakte lønnsinntekten i henhold til opplysninger gitt i selvangivelser for 1990. Timelønnen for heltidsarbeidende som er brukt til å estimere lønnsrelasjonen, er målt ved å dividere den eksakt observerte lønnsinntekten med normalarbeidstiden som heltidsarbeider, tillagt gjennomsnittlig overtid dette året ( i henhold til opplysninger gitt av NHO). I beregningene her varierer overtiden bare med hensyn til kjønn.

  • Timelønnen benyttet i analysen her (inflasjonsjustert fra 1990 til 1992) kan følgelig avvike fra den sanne timelønnen dels på grunn av at timelønnen benyttet til å estimere lønnsrelasjonen ikke er observert, men beregnet, og dels på grunn av at den predikerte timelønnen basert på en estimert lønnsrelasjon ikke treffer eksakt den sanne timelønnen. Det er viktig å merke seg at det ikke eksisterer noe datamateriale i Norge av relevans for analysen her som gir opplysninger om en sann timelønn.

  • I datamaterialet for 1992 observerer vi også den eksakte lønnsinntekten i henhold til opplysninger gitt i selvangivelser for dette året. For hvert individ kan vi da beregne arbeidstiden dette året ved å dividere den observerte lønnsinntekten med den predikerte timelønnen. Siden den predikerte timelønnen kan avvike fra den sanne timelønnen, kan den beregnete arbeidstiden avvike fra den sanne arbeidstiden. Hva denne sanne arbeidstiden er, vet en ikke. Det eksisterer ikke noe datamateriale i Norge som inneholder informasjoner om arbeidstid av relevans for analysen her.

  • Som nevnt foran har vi kun tatt med i den videre analysen de individer som har en beregnet arbeidstid mellom 920 og 3600 timer per år. I det empiriske grunnlaget som vi har benyttet, er alle individer i Norge med slike arbeidstider med i de videre beregningene. For en 35-åring i 1992 kan vi beregne én arbeidstid. Ved å summere over alle 35-åringer og dele på antallet kan vi beregne arbeidstiden i 1992 for en representativ 35-åring. Tilsvarende kan vi gjøre dette for personer som var 36, 37, 38,....,66 år i 1992. Siden vi er interesserte i å konstruere arbeidstiden over livsløpet for en som var 35 år i 1992, basert på opplysninger om personer på ulike alderstrinn i 1992, dividerer vi i alle lønnsinntekter med en timelønn som avhenger av utdanningsnivået til en 35-åring i 1992. Denne konstruerte arbeidstiden over livsløpet for en representativ person som var 35 år i 1992, utgjør vårt referansealternativ.

  • Arbeidstiden over livsløpet i referansetilfellet antar vi som nevnt er et resultat av et arbeidstilbudsvalg hvor individene har maksimert neddiskonterte nyttestrømmer, under bibetingelser som nevnt foran. Vi har benyttet de beregnete arbeidstidene beskrevet i punktet over til å beregne den nyttefunksjonen som kan ha generert disse dataene. For å gjøre dette må vi spesifisere bibetingelsene som valgene kan ha blitt foretatt under. De viktigste bibetingelsene er budsjettbetingelsene på de ulike alderstrinn. Disse følger av blant annet skatte- og pensjonsregler. Skattereglene som er trukket inn i modellen er alle gjeldende bestemmelser for lønnstakere og pensjonister i 1992. Under dagens pensjonsregime har vi benyttet de pensjonsregler som gjaldt i 1992.

  • For å beregne den nyttefunksjon som kan ha generert det arbeidstilbud vi har observert, det vil si beregnet for en 35-åring over hans/hennes livsløp, har vi tatt utgangspunkt i en nyttefunksjon estimert på norske mikrodata, Aaberge et al (1995). En parameter i nyttefunksjonen er ikke lik den estimerte verdien, men er fastsatt slik at for hvert alderstrinn og kjønn gir modellen en løsning for arbeidstilbudet lik det antall timer arbeidet som vi observerer. Vi har med dette skaffet oss en referansebane for arbeidstid over livsløpet for en representativ kvinne og mann, 35 år i 1992, og som har tilpasset seg til gjeldende pensjonsregler. Ved å endre pensjonsreglene som beskrevet foran, kan vi bruke den økonomiske modellen, derunder den beregnete nyttefunksjonen, til å beregne arbeidstiden over livsløpet under det alternative pensjonsregimet. Ved å se på avviket mellom arbeidstiden over livsløpet under det nåværende pensjonsregimet og under det alternative pensjonsregimet, kan vi anslå arbeidstilbudsvirkningene av å endre pensjonsregime. Det er viktig å understreke at dette avviket er den interessante størrelsen, mer enn nivået på arbeidstiden i de to pensjonsregimene.

Resultatet av beregningene viser at dersom det nåværende pensjonsregimet endres slik at hver person kan opparbeide seg en pensjonsformue gjennom hele sitt yrkesaktive liv - og ikke bare som nå i de 20 beste år - kan arbeidstilbudet over livsløpet til å begynne med bli noe lavere og deretter noe høyere enn under det eksisterende pensjonsregimet. Om arbeidstilbudet vil vri seg på denne måten og med hvor mye avhenger av hva spareandelen i det alternative pensjonsregimet settes til. I denne oppsummeringen skal vi kort presentere resultatene av to eksperimenter:

  1. Den såkalte folketrygdavgiften på 7,8 prosent reduseres med 5 prosentpoeng til 2,8 prosent. Andelen av lønnsinntekt som går til pensjonssparing i det alternative regimet settes til det samme som den såkalte folketrygdavgiften reduseres med: 5 prosent. Arbeidstilbudet over livsløpet for menn som var 35 år i 1992, blir beregnet til å ligge høyere enn med dagens pensjonsregler for alle år, også i perioden fra 35 til 55 år. I sum over livsløpet øker arbeidstilbudet med 5,8 prosent. Arbeidstilbudet over livsløpet for kvinner som var 35 år i 1992, blir beregnet til å ligge noe lavere inntil fylte 55 år og noe høyere deretter i forhold til arbeidstilbudet med dagens pensjonsregler. I sum over livsløpet øker arbeidstilbudet til kvinnene med 3,1 prosent.

  2. Verken for menn eller kvinner vil det være mulig å oppnå dagens pensjonsytelse med en pensjonssparing på 5 prosent av lønnsinntektene. Vi har derfor brukt modellen til å beregne hvilken spareandel som skal til for at en skal oppnå dagens pensjonsytelse. Også i denne beregningen har vi redusert den såkalte folketrygdavgiften med 5 prosentpoeng, fra 7,8 til 2,8 prosent. Spareandelen må da for menn settes til 10,5 prosent og for kvinner til 18 prosent. Arbeidstilbudet for både menn og kvinner vil da reduseres før fylte 55 år i forhold til beregningen vist i punkt 1 og øker deretter. I sum over livsløpet øker nå arbeidstilbudet til menn med omlag 2,4 prosent i forhold til under dagens regler og synker for kvinner med knappe 2,4 prosent.

Årsakene til virkningene på arbeidstilbudet av endrete spareandeler er dels substitusjonsvirkninger mellom konsum og fritid på et hvert alderstrinn og inntektsvirkninger på hvert alderstrinn og knyttet til fremtidig pensjon. Jo høyere spareandelen er utover reduksjonen på 5 prosentpoeng i den såkalte folketrygdavgiften, desto lavere er netto marginallønn i forhold til under dagens pensjonsregler. Dette betyr lavere marginalavkastning på arbeid og gir et lavere arbeidstilbud på hvert alderstrinn når en sammenlikner arbeidstilbudet med nye og gamle pensjonsregler (substitusjonseffekt). Jo høyere spareandelen er i forhold til reduksjonen på 5 prosentpoeng i den såkalte folketrygdavgiften, desto lavere blir den disponible inntekten på hvert alderstrinn. Siden den benyttede nyttefunksjonen innebærer at fritid er et normalt gode, trekker dette i retning av et høyere arbeidstilbud på hvert alderstrinn (inntektseffekt). Jo høyere spareandelen er, desto sterkere vekt får et pensjonsfrembringende arbeidstilbud senere i livet i forhold til de første år etter 35 år (på grunn av at ved neddiskontering teller nær fremtid sett fra 35 år mer enn fjern fremtid). Dette trekker i retning av å vri arbeidstilbudet over livsløpet, med et lavere arbeidstilbud til å begynne med og høyere senere (intertemporal substitusjon). Jo høyere spareandelen er, desto lavere trenger arbeidsinnsatsen være for å oppnå et visst konsumnivå som pensjonist. Dette siste er en inntektseffekt som trekker i retning av lavere arbeidstilbud på alle alderstrinn.

2.2 Modell til beregning av arbeidstilbud under ulike pensjonsregler

Vi vil i dette avsnittet redegjøre for modellen som er brukt i analysen av arbeidstilbudet. I det første underavsnittet presenteres en modell for optimal tilpasning under dagens regler i folketrygden (referansealternativet). I det neste presenteres forutsetningene for et endret system i folketrygden og modellen i dette alternativet (det alternative pensjonsopplegget). Videre sammenlikner vi de to alternativene og til slutt i avsnittet viser vi utregningen av arbeidstilbudet i det alternative opplegget.

2.2.1 Modellen i referansealternativet

(1)

Figur  

[tau]= 35

gitt

(2)

Figur  

0 < Lt < 1

(3)

Figur  

for t [le] 66

(4)

Figur  

for t [ge] 67

(5)

Figur  

(6)

Figur  

(7)

Figur  

(8a)

Figur  

for 6 G [le] wt ht [le] 12 G

(8b) Xt = wt ht for wt ht [le] 6 G

Der:

  • [tau] er utgangsalderen satt til 35 år, mens T er høyeste levealder (vi skiller mellom menn og kvinner). t er løpende alder fra 35 år og opp til dødstidspunktet T.

  • u( Ct, Lt) er den generelle nyttefunksjonen.

  • Ct er konsum og Lt er fritid.

  • r er den subjektive tidspreferanseraten satt lik 0,02.

  • ht er antall timer arbeidet i løpet av et år, der 8760 er maksimalt antall timer i et år.

  • wt er timelønna.

  • S1 er vanlig inntektsskatt, mens S2 er den såkalte folketrygdavgiften på 7,8 % av lønnsinntekten.

  • I[tau] er netto kapitalinntekt etter skatt og antas å være lik, og konstant, med en fast andel av formuen i utgangsåret. Den antas å variere med hvilken fødselskohort individet tilhører.

  • Y67 er årlig utbetalt pensjon etter fylte 67 år. Denne er konstant over tid, noe som medfører at konsumet som pensjonist også er konstant.

  • G er grunnbeløpet i folketrygden og antas konstant over perioden (i 1992 lik kr 36 167)

  • P67 er sluttpoengtallet i folketrygden, som består av gjennomsnittet av de 20 beste poengårene. Vi antar at personen opparbeider sine beste 20 poengår i alderen 35 til 54 år.

  • qt er det opptjente pensjonspoenget i alder t.

  • Xt er den pensjonsgivende inntekten. Inntekt opp til 6 ganger grunnbeløpet blir fullt ut regnet som pensjonsgivende, mens for inntekt mellom seks og tolv ganger grunnbeløpet blir en tredel av inntekten regnet med. Inntekt over tolv ganger grunnbeløpet er ikke pensjonsgivende.

Relasjon (1) er den neddiskonterte verdien av nyttestrømmen fra 35 år og ut levetiden. Renten brukt til å neddiskontere nytten er satt til 0,02. Vi vil senere vise virkningene på arbeidstilbudet over livsløpet av en høyere rente.

Relasjon (2) definerer fritidsargumentet i nyttefunksjonen som andel av årets timer som en ikke tilbringer i lønnet arbeid.

Relasjon (3) sier at det årlige konsumet er lik lønnsinntekt etter skatt pluss netto kapitalinntekt.

Relasjon (4) definerer den årlige pensjonen fra og med fylte 67 år. Denne pensjonen avhenger av sluttpoengtallet i folketrygden som i følge relasjon (6) er gjennomsnittet av pensjonspoengene i de 20 beste inntjeningsårene. Pensjonspoenget i et år er en funksjon av pensjonsgivende inntekt, se relasjon (7). Denne inntekten er definert i relasjon (8).

Vi vil anta at utdanning er en av flere faktorer som påvirker lønnsnivået. Utdanningsnivået vil vi videre anta er kohortspesifikt og dermed blir også lønnsnivået kohortspesifikt. Denne antagelsen er undertrykt i notasjonen ovenfor. Årsaken til antagelsen er at det er grunn til å vente at de ulike fødselskohortene har hatt ulike muligheter til å skaffe seg utdanning. Lønnsnivået varierer dessuten med alder, og empiriske undersøkelser viser at de beste inntjeningsårene er fra 35 til 55 år.

Vi kan løse den generelle modellen over ved å maksimere nytten med hensyn på arbeidstiden for hvert alderstrinn. Førsteordensbetingelsen:

I. For 35 [le] t [le] 54:

(9)

Figur  

Nevneren i brøken i det siste uttrykket over vil være avhengig av om personen tjener mer eller mindre enn 6 G. Hvis wtht er mindre enn 6 G skal nevneren være 20 og ikke 60. Videre er:

(i)

Figur  

(ii)

Figur  

(iii)

Figur  

I relasjon (9) kan vi dividere med grensenytten av konsum på begge sider av likhetstegnet og ordne uttrykkene slik at vi får:

(9*)

Figur  

Det første leddet på venstre side i (9*) er lik marginallønnen på tidspunkt t. Det andre leddet er den marginale verdien av fremtidig pensjon av å arbeide en time til, sett fra tidspunkt t. Summen kan vi kalle den pensjonskorrigerte gevinsten av å arbeide en time til på tidspunkt t. Høyre side er lik betalingsvilligheten for en ekstra time fritid, det vil si skyggeprisen på fritid. Likning (9*) sier dermed at i optimum skal den pensjonskorrigerte gevinsten av å oppgi en fritidstime være lik skyggeprisen på fritid.

II. For 55 [le] t [le] 66:

(10)

Figur  

Ved å dividere med grensenytten av konsum i (10) og ordne likningen får vi at i denne fasen av livet er det optimale arbeidstilbudet karakterisert ved at marginallønnen er lik skyggeprisen på fritid.

I tillegg til likningene over gjelder dessuten (2) - (8) og vi benytter følgende spesifikasjoner av lønnsrelasjonen (iv) og nyttefunksjonen (v):

(iv)

Figur  

(v)

Figur  

; j = M, K.

(vi)

Figur  

(vii)

Figur  

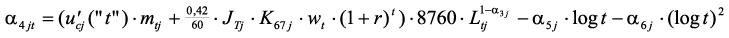
Relasjon (iv) sier at timelønnen avhenger av alderen t og en rekke andre variable, derunder utdanning, representert ved vektoren Z. [alpha]-ene er koeffisienter som er estimert på data fra 1980-årene, se Aaberge m.fl. (1995). Denne estimeringen ga som resultat:

[alpha] 1 ~ 0,5

[alpha] 2 = 1,3

[alpha] 3M = - 4,3 [alpha] 3K = - 2,2

[alpha] 5M = - 53,1 [alpha] 5K = - 130,2

[alpha] 6M = 7,3 [alpha] 6K = 18,5

[alpha] 4jt regnes ut for alle j = M, K og for alle t.

På bakgrunn av likningene over kan vi presentere observasjoner/beregninger av:

wt,

Figur  

, Lt, Ct, I[tau] , Xt, qt, P67 og Y67.

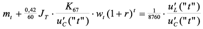
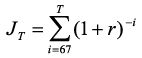
Merk at u[prime]c ([Prime] t[Prime]) og u[prime]c ([Prime] 67[prime]) følger av disse beregningene, samt at S[prime]3 ( Y67 ) og mt også kan regnes ut direkte. Når vi setter r = 0,02 og TM = 76, TK = 81 kan JT regnes ut.

[alpha] 4jt vil bli tilpasset slik at modellen gir verdier for tilbud av arbeid lik det observerte for hvert alderstrinn. Denne koeffisienten vil dermed være gitt ved følgende to utrykk avhengig av verdien på t:

I. For 35 [le] t [le] 54:

Figur  

Også her vil nevneren være 20 dersom wtht er mindre enn 6 G.

II. For 55 [le] t [le] 66:

Figur  

[alpha] 4jt vil anta ulike verdier for hver t og for hvert kjønn. Vi ser at vi kan få et skift i parameteren ved 55 år.

2.2.2 Alternativt pensjonsregime

I dette alternativet er [alpha] 4jt gitt fra beregningene i referansealternativet. Nå skal vi bruke modellen til å regne ut ht for et individ som var 35 år i 1995. Denne tidsserien skal sammenliknes med den tilsvarende observerteht i referansealternativet.

La Pt være pensjonsformuen ved alder t; 35 [le] t [le] 66. Vi forutsetter:

(viii)

Figur  

for 35 [le] t [le] 66

Der:

  • s·wtht er den delen av lønnsinntekten som er pensjonssparing.

  • r·Pt-1 er renteinntektene på sparingen.

  • Vi antar at P35 = 0 (det vil si at pensjonssparingen starter ved 35 år).

  • Pensjonsformuen er null når personen dør.

Likning (viii) sier at tilveksten i pensjonsfondet til et individ fra år t-1 til år t er lik summen av pensjonssparing i dette året pluss rentene på pensjonsfondet ved begynnelsen av året. Av (viii) får vi da:

(ix)

Figur  

det vil si at pensjonsfondet ved fylte 66 år er verdien av pensjonssparingen i yrkesaktive år tillagt renter i hele perioden.

La Pt fortsatt være pensjonsformuen for 67 [le] t [le] T og la Y67 være inntekten hvert år som pensjonist (konstant). Da er:

(x)

Figur  

for 67 [le] t [le] T

Vi forutsetter med andre ord at det også tjenes renter i pensjonstilværelsen. Videre forutsetter vi at PT = 0, og dessuten er P67 = P66 gitt av antagelsene over. Da får vi:

(xi)

Figur  

[iff]

Figur  

Modellen i det alternative pensjonsopplegget

(11)

Figur  

[tau] = 35

gitt

(12)

Figur  

0 < Lt < 1

(13)

Figur  

for 35 [le] t [le] 66

(14)

Figur  

for t [ge] 67

(15)

Figur  

(16)

Figur  

(17)

Figur  

Relasjon (11) viser som i referansetilfellet at arbeidstilbudet skal bestemmes over livsløpet ved å maksimere neddiskontert nytte med hensyn på arbeidstilbudet.

Likningene (12) - (14) viser budsjettbetingelsene som i referansemodellen. Likningene (15) - (17) innebærer at pensjonen er lik et årlig beløp som gjør at den neddiskonterte verdien av årlige pensjonsutbetalinger er lik pensjonsfondet ved starten av pensjonsalderen.

Førsteordensbetingelsen:

I. For 35 [le] t [le] 66:

(18)

Figur  

hvor

(19)

Figur  

(20)

Figur  

Ved å dividere gjennom (18) med grensenytten av konsum kan vi som i referansemodellen få frem en likhet som sier at i optimum må summen av marginallønnen og verdien på fremtidig pensjon av å arbeide en time til være lik skyggeprisen på fritid.

2.2.3 Sammenlikning av de to alternativene

Under forsøker vi å sammenlikne størrelsene på arbeidstilbudet i de to ulike alternativene på bakgrunn av den teoretiske modellen presentert over. I avsnitt 4 gir vi en empirisk sammenlikning.

La

Figur  
Figur  

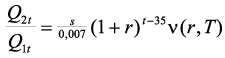
Anta at s = 0,05 og at Y67 er den samme i begge alternativene. Da vil:

(21)

Figur  

for TM = 76 vil [nu](0,02, 76) = 0,110

TK = 81 vil [nu](0,02, 81) = 0,076

Vi ser av førsteordensbetingelsen at

Referanseopplegget

Figur  

for 35 [le] t [le] 55

Alternative opplegget

Figur  

for 35 [le] t [le] 66

Fra (21) følger det at det eksisterer ingen t [le] 55 slik at Q2t > Q1t, gitt s = 0,05 og samme Y. Det betyr at:

ht,ref > ht,alt for 35 [le] t [le] 55

Siden Q2t > 0, så vil:

ht,ref < ht,alt for 56 [le] t [le] 66

Dette betyr at vi vil vente at arbeidstilbudet er høyere mellom 35 og 55 år i referansetilfellet enn i det alternative pensjonsopplegget. Etter fylte 55 år vil vi vente det motsatte. For andre verdier på s (og dermed Y) kan resultatene bli forandret.

2.2.4 Utregning av arbeidstilbudet, ht, i det alternative opplegget

Arbeidstilbudet over livsløpet, ht for t = 35, 36,...,66 år, følger av relasjonene (12) - (18). I dette underavsnittet gir vi først en teoretisk løsning på modellen og deretter et forslag til hvordan modellen kan løses empirisk.

La

(22)

Figur  

Da er

(23)

Figur  

(24)

Figur  

K67 er da gitt ved:

(25)

Figur  

Videre er:

(26)

Figur  

(27)

Figur  

La

(28)

Figur  

(29)

Figur  

Løsningen av ht; t = 35, 36,...., 66, følger da fra løsningen av følgende 31 likninger:

(30)

Figur  

Dette er et svært komplisert likningssystem. Vi ser at ved å dividere gjennom (30) med f( t) og ta differansen kan vi omforme (30) til 30 ikke-lineære førsteordens differenslikninger i ht og ht-1.

Siden den analytiske løsningen av modellen er matematisk svært vanskelig har vi i praksis valgt en enklere metode enn den som er beskrevet over for å kunne løse modellen. Modellen er løst ved følgende trinnvise metode:

  1. La

    Figur  

    være som i referansetilfellet.

  2. Bruk (30) til å regne ut for hver t den optimale ht. Dette kan gjøres ved å plotte

    (I)

    Figur  

    og

    (II)

    Figur  

    i samme diagram, med ht på abscisse aksen. Skjæringspunktet mellom funksjonene gir oss den optimale ht.

  3. Bruk resultatet for h35 , h36 , ......, h66 til å regne ut K( h35 , h36 ,....., h66 ).

  4. Sett inn den nye utregnede K( h35 , h36 ,....., h66 ) for K og begynn på nytt med trinn 2. Fortsett med iterasjonene til de begynner å nærme seg; det vil si når

    Figur  

Vi har ikke konkret plottet de to kurvene i samme diagram, vi har isteden gjennomført iterasjonsprossesen ved hjelp av statistikkprogrammet GAUSS.

Det er viktig å huske at:

  1. w og I avhenger av [tau].

  2. w og [tau] 3, [tau] 4,..., [tau] 6 i nyttefunksjonen avhenger av kjønn.

  3. T og dermed Y67 avhenger av kjønn, TM = 76 og TK = 81.

  4. r = 0,02.

  5. Vi vil vise resultater når s = 0,05, 0,1 og 0,2.

2.3 Data og utvalg av personer

2.3.1 Data

Utvalget som analysen av modellen bygger på, består i utgangspunktet av alle personer som var med i Folke og boligtellingen i 1990 (FoB90). Folketellingen i 1990 var basert på et utvalg og dekket omtrent 30 % av befolkningen. Utvalget var stratifisert, med utvalgsprosenter varierende fra 100 i små kommuner til 8 i større byer. I tillegg til de personene som var trukket til å være med i folketellingen ble det også registrert opplysninger om de øvrige personene i husholdningen, ved hjelp av spørsmål fra et eget husholdningsskjema. I alt er det registrert opplysninger om rundt 1,3 millioner personer i FoB90.

FoB90 er også benyttet til å estimere lønnsrelasjonen, mens det er et langt mindre og mer redusert datasett som er benyttet til å estimere nyttefunksjonen.

Til FoB90 er det koblet data fra Statistisk sentralbyrå sine forløpsfiler. Det er opplysningene i Forløpsfilen for 1992 som danner datagrunnlaget for utregningen av antall i modellen. Forløpsfilen inneholder opplysninger fra en rekke registre: Personregisteret, utdanningsregisteret, arbeidstakerregisteret (AREG) samt lønns- og trekkoppgaveregisteret (LTO). Dette datamaterialet er dokumentert i en rekke rapporter, se for eksempel Hernæs, Longva og Strøm (1994) og Hernæs og Sollie (1997).

I tillegg til opplysningene fra Forløpsfilen har vi koblet til informasjon om nivået på ledighet i kommunen i 1992. Denne variabelen er en vektet ledighetsrate som også tar hensyn til ledigheten i omkringliggende kommuner.

2.3.2 Utvalg

Utvalget som time-analysen bygger på, er avgrenset til lønnsmottakere ansatt i privat sektor og som er mellom 35 og 66 år i 1992. Fra Forløpsfilen var det 497 988 personer i den rette aldersgruppen, som i tillegg også var lønnsmottakere (det vil si hverken selvstendig næringsdrivende eller pensjonerte). Av disse jobbet 213 738 i privat sektor i følge vår næringsinndeling.

Inndelingen i næringsgrupper følger internasjonal standard. Standarden er utformet som et 5-siffret pyramidisk grupperingssystem hvor hvert siffer angir et grupperingsnivå. Det finnes i alt 9 hovedgrupper, som vi i hovedsak følger. I visse næringer er det vanskelig å skille mellom privat og offentlig sektor på et så aggregert nivå, så der har vi benyttet oss av de mer detaljerte grupperingene.

Vi karakteriserer en person for å være ansatt i privat sektor hvis vedkommende er sysselsatt i en av følgende hovedgrupper (der tallene følger SSBs standard for næringsgruppering, 1992): 2) Oljeutvinning og bergverksdrift, 3) Industri, 5) Bygge- og anleggsvirksomhet, 6) Varehandel, hotell- og restaurantvirksomhet. I tillegg vil noen grupper innenfor 7) Transport, lagring, post og telekommunikasjoner og 8) Bank- og finansieringsvirksomhet, forsikringsvirksomhet, eiendomsdrift og forretningsmessig tjenesteyting, samt 9) Offentlig, sosial og privat tjenesteyting være ansatt i privat sektor.

Mer detaljert innebærer dette at innenfor gruppe 7) regnes Drosje- og turbiltransport, Leiebil-transport og Hjelpevirksomhet for landtransport som privat virksomhet innenfor kategorien landtransport, mens Jernbane, Rutebil, Sporvei og Forstadsbane regnes som offentlig. Innenfor kategorien Sjøtransport regnes Utenriks og Innenriks sjøfart som privat sektor, mens deler av virksomheten i tilknytning til Hjelpevirksomhet for sjøtransport er offentlig. Helt konkret regnes Havnevesen, Fyr- og losvesen samt annen hjelpevirksomhet for sjøtransport som offentlig sektor, mens Skipsekpedisjon og Lasting og lossing er privat. Innenfor Lufttransport regnes alt for privat bortsett fra Hjelpevirksomhet for lufttransport. All Rørtransport antas å være privat, det samme gjelder for tjenester i tilknytning til Transport og lagring. Post og telekommunikasjon er offentlig virksomhet og derfor ikke med.

I næringsgruppe 8) er de som jobber i bank og finansieringsvirksomhet tatt ut siden det er umulig å skille mellom offentlig og privat virksomhet. Derimot er all forsikringsvirksomhet og eiendomsdrift og forretningsmessig tjenesteyting regnet som privat.

Innenfor den siste kategorien er offentlig administrasjon, forsvar, politi og rettsvesen, samt undervisning, helse- og andre sosialtjenester, i tillegg til kulturell tjenesteyting, underholdning og sport offentlige, mens renovasjon og rengjøring og personlig tjenesteyting er privat. Internasjonale organisasjoners og utenlandske ambassaders virksomhet regnes ikke for privat sektor.

Videre har vi avgrenset datasettet ytterligere ved å ta ut de som har en næringsinntekt som overstiger 20 % av den pensjonsgivende inntekten. Grunnen til dette er at selv om personene er registrert som lønnsmottakere, så kan de ha annen inntekt i tillegg. Vi ønsker at denne inntekten ikke skal bli altfor høy i forhold til lønnsinntekten og har derfor satt en grense på 20 %.

Høyeste fullførte utdanning er en viktig variabel i beregningen av en persons timelønn og vi har derfor tatt ut av datasettet alle som ikke har observasjoner av denne. Vi gjør ytterligere en begrensning til av datasettet i det vi tar ut de som beregnet har jobbet under 920 timer et år eller over 3600 timer. Grunnen til den siste begrensningen er at den beregnede timelønnen til noen av personene i utvalget ligger for lavt, slik at når vi beregner antall timer personen jobber i løpet av et år ved å dele faktisk observert inntekt (PGI) på beregnet timelønn så ender de opp med å jobbe unaturlig mange timer.

Til slutt har vil delt inn datasettet etter kjønn. Vi har observasjoner av 113 266 menn og 54 910 kvinner i hvert av datasettene.

2.3.3 Variable

Fra forløpsfilene har vi med variable for kjønn, fødeår, ekteskapelig status, bostedskommune, høyeste fullførte utdanning, yrkesstatus, næring, forventet arbeidstid (i uka) og en rekke ulike inntektsvariable. I tillegg til de personspesifikke variablene nevnt over har vi også med en variabel som indikerer det lokale ledighetsnivået i kommunen. Gjennomsnitt og standardavvik for noen viktige variable i modellen er vist i tabell 2.1.

Tabell  Gjennomsnitt og standardavvik for viktige variable i modellen

  Variabel
KjønnAntallAlder i årGift=1 0 ellersFør gift=1 0 ellersSør-Norge=1 0 ellersLokal ledighet i %PGI i kroner
Menn113 26647,15 (8,09)0,8 (0,4)0,09 (0,29)0,85 (0,36)4,04 (0,95)227 627 (61 164)
Kvinner54 91046,96 (7,64)0,8 (0,4)0,15 (0,36)0,85 (0,36)4,03 (0,95)142 634 (43 164)

2.3.4 Timelønnsrelasjonen

Vi kjenner ikke en persons timelønn, bare den årlige inntekten. For å kunne beregne det gjennomsnittlige antall timer i året en kohort jobber må vi først konstruere en lønnsrelasjon for denne kohorten. Timelønnen er konstruert på bakgrunn av en lønnsrelasjon som Pål Longva har estimert på norske registerdata, se Longva (1995). Den forventede timelønna antas å avhenge av alder, kjønn, utdanning, ekteskapelig status, bosted og den kommunale ledighetsraten. Vi har gjort denne lønnsrelasjonen kohortspesifikk ved å benytte den gjennomsnittlige utdanning til hver enkelt kohort som forklaringsvariable. For personer som var 35 år i 1992 har vi brukt deres gjennomsnittlige utdanningsnivå i lønnsrelasjonen for ethvert fremtidig alderstrinn. I tabell 2.2 viser vi også det gjennomsnittlige utdanningsnivået i andre aldre enn 35 år i 1992 (kalt kohorter).

Tabell  Gjennomsnittlig høyeste fullførte klassetrinn for hver kohort, standardavvik i parentes

  Kohort
Kjønn35 år40 år45 år50 år55 år
Menn11,28 (2,04)10,90 (2,24)10,71 (2,42)10,53 (2,53)10,10 (2,61)
Kvinner10,67 (1,73)10,06 (1,75)9,77 (1,76)9,53 (1,89)9,21 (1,96)

Lønnen er gitt ved følgende sammenheng:

Figur  

Alder er en kontinuerlig variabel som er individspesifikk. Det samme er den lokale ledighetsraten. Utdanning er gjennomsnittlig høyeste fullførte klassetrinn for hver kohort [tau] = 35, 40, 45, 50, 55. Resten av variablene er konstruert som dummyer, der kjønn = 1 hvis mann, null ellers. Gift =1 hvis gift, null ellers, førgift = 1 hvis tidligere gift, null ellers, region = 1 hvis personen er bosatt i Sør-Trøndelag eller lenger sør, null hvis personen er bosatt i et av de fire nordligste fylkene. Dette gir hvert individ i datamaterialet 5 ulike lønnsrelasjoner som er avhengig av gjennomsnitts utdanningen til hver kohort. I figurene 2.1 og viser vi gjennomsnittet av timelønna for hver alderstrinn med de ulike gjennomsnitts utdanningene.

Figur  Utviklingen i gjennomsnittslønna, i 1992 kroner, over livsløpet for hver
 kohort, menn

Figur 1 Utviklingen i gjennomsnittslønna, i 1992 kroner, over livsløpet for hver kohort, menn

Figur 2.2 Utviklingen i gjennomsnittslønna, i 1992 kroner, over livsløpet for hver
 kohort, kvinner

Figur 2.2 Utviklingen i gjennomsnittslønna, i 1992 kroner, over livsløpet for hver kohort, kvinner

Av figurene ser vi at menn har en langt høyere forventet timelønn enn kvinner for alle kohorter. Videre ser vi at de som er 35 år i 1992 forventes å ha en høyere timelønn hele livet sammenliknet med de andre kohortene. Generelt ser vi at forventet timelønn over livsløpet faller jo eldre kohorten er i 1992. Utviklingen i timelønna er den samme for begge kjønn; først stiger den frem til ca. 45 år og deretter faller den jevnt. Av figurene er det ikke urimelig å anta at de 20 beste inntektsårene er mellom 35 og 55 år.

2.3.5 Kohortspesifikk arbeidsfri inntekt, I[tau]

Denne inntekten, som vi antar følger individet hele livet, har vi kommet fram til ved å ta gjennomsnittet av nettoformuen til hver kohort og multiplisert den med realrenta. Vi ser fra tabell 2.3 at formuen er høyere for de som er eldre i 1992, og at den uansett alder er høyere for menn enn for kvinner.

Tabell  Gjennomsnittlig nettoformue etter alder i 1992 (kohort)

  Kohort
Kjønn35 år40 år45 år50 år55 år
Menn56080 (189293)93968 (258521)136014 (311967)186912 (351644)250307 (536499)
Kvinner33764 (114177)43184 (117100)60202 (187527)80230 (153475)108171 (166150)

2.3.6 Skattefunksjoner

I dette underavsnittet vil vi gjøre rede for hvordan skattefunksjonene i modellen er utformet. I analysen opererer vi med fire ulike inntektsskatter ( S1, S2, S3, s) avhengig av type inntekt og opplegg. Vi skiller mellom to typer inntekt, nemlig inntekten som yrkesaktiv ( wh) og inntekten som pensjonert ( Y). I de to alternative oppleggene har vi en noe ulik beskatning av arbeidsinntekten, mens pensjonsbeskatningen er den samme i begge oppleggene.

I det første opplegget - dagens pensjonsregler - betaler en person som er yrkesaktiv en såkalt folketrygdavgift på 7,8 % og i tillegg kommune- og fylkesskatt samt toppskatt. I det alternative opplegget vil skattleggingen av arbeidsinntekt se noe annerledes ut i det vi deler opp trygdeavgiften i to separate størrelser, en sykedel (helsedel) og pensjonsdel. Forskjellen fra dagens opplegg er at innbetalt pensjon, som er proporsjonal med utbetalt pensjon, kan sees på som sparing. Grunnen til dette er at innbetalingene settes på en personlig rentebærende konto.

I begge oppleggene vil en person som er pensjonert betale trygdeavgift, lav sats på 3 %. I tillegg kommer også her kommune- og fylkesskatt samt toppskatt til staten. Foruten trygdeavgiften er det én stor forskjell på yrkesaktive og yrkespassive. De yrkespassive kan fritas fra skatt hvis de har en spesielt lav inntekt og få redusert skatt hvis inntekten er lav, men overstiger grensen for skattefritak.

2.3.6.1 Inntektsskatt for aktive med dagens opplegg

I analysen er S2 folketrygdavgiften på 7,8 % av inntekt over 17 000 kroner. Avgiften kan ikke utgjøre mer enn 25 % av det overskytende beløpet over minstesatsen på 17 000 kroner. Det vil si at det kun er inntekt over 24 700 kroner som skattlegges fullt ut. Folketrygdavgiften er en bruttoskatt og trekkes direkte fra inntekten uten fradrag. I datamaterialet, der wh er den observerte bruttoinntekten, er det ingen som har inntekt under 24 700 kroner.

S1( wh) er en kontinuerlig skattefunksjon for kommune- og fylkesskatten, samt toppskatten. Størrelsen på skatten avhenger av i hvilket inntektsintervall lønnsinntekten ( wh) ligger. S1( wh) er en glattet funksjon. De faktiske reglene er som følger:

Kommune- og fylkesskatt (henholdsvis 13,5 % og 7,5 %) samt fellesskatt til skattefordelingsfondet (7 %) beregnes av wh (bruttoinntekten) fratrukket minstefradraget (i selvangivelsen kalt alminnelig inntekt) og klassefradraget. Til sammen utgjør skatten 28 % av nettoinntekten.

Minstefradraget var i 1992 på 20 % av bruttoinntekten, minimum 3 200 og maksimum 27 000 kroner.

Tabell  

mf1 = 3 200for wh < 16 000
mf2 = 0,2 whfor 16 000 < wh < 135 000
mf3 = 27 000for wh > 135 000

Dette gir følgende skattefunksjon:

sk = 0,28( wh - mf - 21 700)

Der 21 700 er klassefradraget for skatteklasse 1. Dette innebærer at personen kun betaler kommune- og fylkesskatt av inntekter høyere enn 27 125 kroner. Dette gjør at nedre grense på minstefradraget ikke har betydning for beregningen av denne skatten.

Tabell  

sk1 = 0,28( wh - 0,2 wh - 21 700)for 27 125 < wh < 135 000
sk2 = 0,28( wh - 27 000 - 21 700)for wh > 135 000

Toppskatten beregnes av personinntekten (bruttoinntekt), som i hovedsak består av pensjonsgivende inntekt og pensjoner, her bruker vi wh. For skatteklasse 1 gjelder følgende regler:

Tabell  

tp0 = 0for wh < 200 000
tp2 = 0,095( wh - 200 000)for 200 000 < wh < 225 000
tp3 = 0,095*25 000 + 0,13( wh - 225 000)for wh > 225 000

Tar vi hensyn til alle skattene får vi følgende skattetabell for de som er aktive:

Tabell  Skattetabell for aktive i 1992 med dagens opplegg

Inntekt = whSkatt
0 - 27 1250
27 125 - 135 0000,224 wh-6 076
135 000 - 200 0000,28 wh - 13 636
200 000 - 225 0000,375 wh - 32 636
225 000 -0,41 wh - 40 511

Vi er interessert i en log-lineær representasjon av forholdet mellom disponibel inntekt og brutto lønnsinntekt. Disponibel inntekt, D1, er gitt ved differansen wh - S1(wh). Vi antar at:

D1 = wh - S1( wh) =

Figur  

Parameterne d10 og d11 kan regnes ut ved OLS på:

Figur  

Ved å la verdien på wh, i hele tusen, løpe fra 0 til 500 000 finner vi at parameterne i modellen over estimeres til:

Figur  

Denne relasjonen innebærer en progresjonsgrad på 0,924. Ved en progresjonsgrad på 1 er skatten flat (proporsjonal beskatting). Opphøyer uttrykket over i e og finner at:

Figur  

2.3.6.2 Inntektsskatt for passive

Inntekten som passiv består av pensjonen opparbeidet i folketrygden i løpet av et yrkesaktivt liv, det vil si fram til og med 66 år, og av netto kapitalinntekten. I begge de alternative oppleggene følger skattleggingen av pensjonsinntekt dagens system. Det vil si at S3 består av folketrygdavgiften på 3 %, av kommune- og fylkesskatten samt av toppskatten. Reglene om skattebegrensning vil gjelde for denne gruppen. I tillegg antar vi at alle som er pensjonerte har krav på særfradrag på grunn av alder.

Inntekten som pensjonert, Y, som bygger på pensjonspoengrekka er konstant over tid. Y er en bruttoinntekt.

  1. Trygdeavgiften beregnes av bruttoinntekten ( Y). Trygdeavgiften settes lik lav sats på 3 % for pensjonister. Minstesats er fremdeles 17 000, og avgiften kan ikke utgjøre mer enn 25 % av de overskytende beløp.

Tabell  

ta0 = 0for Y < 17 000
ta1 = 0,25( Y - 17 000)for 17 000 < Y < 19 300
ta2 = 0,03 Yfor Y > 19 300
  1. 2)

    Summen av kommune- og fylkesskatten samt fellesskatten til skattefordelingsfondet beregnes på bakgrunn av Y (bruttoinntekten) fratrukket minstefradraget, klassefradraget og særfradraget på 16 920 i året. Til sammen utgjør skatten 28 % av nettoinntekten. Dette gir en nesten tilsvarende skattefunksjon som for de med lønnsinntekt, forskjellen er bare at wh er byttet ut med Y minus særfradraget.

Minstefradraget var i 1992 på 20 % av bruttoinntekten, minimum 3 200 og maksimum 27 000.

Tabell  

mf1 = 3 200for Y < 16 000
mf2 = 0,2 Yfor 16 000 < Y < 135 000
mf3 = 27 000for Y > 135 000

Dette gir følgende skattefunksjon:

sk = 0,28( Y - mf - 21 700 - 16 920)

Der 21 700 er klassefradraget for skatteklasse 1 og 16 920 er særfradraget på grunn av alder. Dette innebærer at personen kun betaler kommune- og fylkesskatt av inntekter høyere enn 48 275 kroner. Dette gjør at nedre grense på minstefradraget ikke har betydning for beregningen av denne skatten.

Tabell  

sk1 = 0,28( Y - 0,2 Y - 21 700 - 16 920)for 48 275 < Y < 135 000
sk2 = 0,28( Y - 27 000 - 21 700 - 16 920)for Y > 135 000
  1. 3)

    Toppskatten beregnes på bakgrunn av bruttoinntekten ( Y) og samme kriterier gjelder for pensjonister som for lønnsmottakere.

Regelen om skattefritak gjør at de tre første trinnene i skattetabellen ikke vil være reelle, siden en ikke betaler skatt på nettoinntekt under 59 000 kroner. Beregningen av skattebegrensning for personer som har krav på særfradrag skjer på bakgrunn av inntekten før særfradraget er trukket fra. Dette innebærer at regelen om at skatten ikke skal overstige 55 % av inntekten over 59 000 kroner, gjelder for inntektsintervallet mellom 73 750 (59 000 pluss minstefradrag) og 116 325 kroner (bruttoinntekten). Når den øverste grensen overstiges vil en betale mindre skatt med gjeldene regler for særfradrag enn regelen om skattebegrensning. Dette gir følgende skattetabell for en som er pensjonist:

Tabell  Skattetabell for pensjonister i 1992

Inntekt = YSkatt
0 - 73 7500
73 750 - 116 3250,44 Y - 32 450
116 325 - 135 0000,254 Y - 10 814
135 000 - 200 0000,31 Y - 18 374
200 000 - 225 0000,405 Y - 37 374
225 000 -0,44 Y + 45 249

Det er også ønskelig å glatte ut denne tabellen og vi har derfor tatt OLS på S3 med hensyn på Y - 73 750. Resultatet ble følgende:

Tabell  

S3 = 0for Y < 73 750
S3 = 0,394849( Y - 73 750)for Y > 73 750

2.3.6.3 Inntektsskatt for aktive med alternativt opplegg

I det alternative pensjonsopplegget vil lønnsinntekt ( wh) bli skattet på tre ulike måter. For det første vil personen betale vanlig kommune- og fylkesskatt samt toppskatt ( S1), for det andre vil personen betale en sykedel (helsedel) til folketrygden på 2,8 % av bruttoinntekten ( wh) og for det tredje betaler personen inn en pensjonspremie ( s) som vi vil teste ulike verdier på.

2.4 Resultater

2.4.1 Arbeidstilbud over livsløpet under dagens pensjonsregime

Figur 2.3 viser at under dagens pensjonsregler er arbeidstilbudet for menn stort sett fallende over livsløpet. For 35-åringer i 1992 faller arbeidstilbudet fra 2025 timer som 35-åring til 1904 timer som 66-åring. Merk at dette forløpet av arbeidstilbudet er lik det observerte arbeidstilbudet i 1992 for personer, 35 til 66 år, utstyrt med utdanningsnivået og kapitalinntektene til en 35-åring i 1992.

Figur  Menn, 35 år i 1992, sitt arbeidstilbud over livsløpet med dagens
 pensjonsregler

Figur 3 Menn, 35 år i 1992, sitt arbeidstilbud over livsløpet med dagens pensjonsregler

Figur 2.4 viser utviklingen i lønnsinntekt og konsum for menn i yrkesaktive år. Vi ser at inntekten først stiger svakt og deretter synker mot slutten av yrkeskarrieren. Skattereglene gjør at det er mindre forskjeller mellom bruttolønn ( wh) og konsum ( C) for lavere lønn. Opparbeidet pensjon med dagens regler og med det arbeidstilbud som er beskrevet ovenfor, vil for en som var 35 år i 1992 være på kroner 114 215 (i 1992 kr), før skatt.

Figur  Utviklingen i lønnsinntekt (wh) og konsum, C, i yrkesaktive år for menn, i
 1992 kroner

Figur 4 Utviklingen i lønnsinntekt (wh) og konsum, C, i yrkesaktive år for menn, i 1992 kroner

Av figur 2.5 ser vi at arbeidstilbudet for kvinner over livsløpet holder seg omtrent konstant over livsløpet for 35-årskohorten, det er i alle fall ingen klare trender. Kvinners arbeidstilbud for denne kohorten ligger på mellom 1800 og 1900 timer over livsløpet.

Figur  Kvinner, 35 år i 1992, sitt arbeidstilbud over livsløpet under dagens
 pensjonsregler

Figur 5 Kvinner, 35 år i 1992, sitt arbeidstilbud over livsløpet under dagens pensjonsregler

Sammenlikner en tilpasningen til kvinner og menn ser vi at kvinner arbeider et noe mindre timetall enn menn. Vi må huske på at vi har utelukket personer som arbeidet et lite antall timer og som er hjemmeværende. Denne utelukkingen vil først og fremst berøre kvinner.

Figur  Utviklingen i lønnsinntekt og konsum i yrkesaktive år for kvinner, i 1992
 kroner

Figur 6 Utviklingen i lønnsinntekt og konsum i yrkesaktive år for kvinner, i 1992 kroner

Figur 2.6 fremstiller kvinnenes lønns- og konsumutvikling i yrkesaktive år. Til sammenlikning med mennene ser vi at kvinner i gjennomsnitt tjener langt mindre enn menn. Kvinnenes konsummuligheter ligger på rundt 100 000 kroner i året, mens menns er på 150 000 kroner i året. Kvinner har også en noe lavere opparbeidet pensjon etter fylte 67 år enn menn. Kvinnens pensjon på 82 186 kroner (i 1992 kr) før skatt utgjør omlag 71 prosent av mannens pensjon og reflekterer det forhold at timelønnen for kvinner er lavere enn for menn.

2.4.2 Arbeidstilbud over livsløpet med ulike verdier på pensjonsspareraten: Alternativt pensjonsregime

I dette underavsnittet viser vi virkningene på arbeidstilbudet over livsløpet av å endre pensjonsreglene slik at det blir samsvar mellom det beløpet som betales inn av det enkelte individ og hva det får igjen som pensjon ved fylte 67 år. Vi har foretatt beregninger med tre ulike verdier på pensjonsspareraten, konkret har vi satt s til 0,05, 0,1 og 0,2.

Ved hjelp av dataprogrammet GAUSS har vi foretatt simuleringer på modellen og funnet optimal tilpasning av arbeidstilbudet over livsløpet for disse tre verdiene på pensjonsspareraten. Under drøfter vi inngående tilpasningen til de som er 35 år i 1992.

Figur  Menn 35 år i 1992 sitt arbeidstilbud over livsløpet for ulike verdier på
 pensjonsspareraten

Figur 7 Menn 35 år i 1992 sitt arbeidstilbud over livsløpet for ulike verdier på pensjonsspareraten

Figur  Kvinner 35 år i 1992 sitt arbeidstilbud over livsløpet for ulike verdier på
 pensjonsspareraten

Figur 8 Kvinner 35 år i 1992 sitt arbeidstilbud over livsløpet for ulike verdier på pensjonsspareraten

Figurene 2.7 og 2.8 viser for begge kjønn at jo lavere spareraten er, desto høyere er arbeidstilbudet over livsløpet. En lavere sparerate må kompenseres med et høyere arbeidstilbud for å oppnå en tilfredsstillende pensjon etter fylte 67 år. For kvinner under 50 år ligger arbeidstilbudet lavere enn ved dagens pensjonsregler. Det samme er tilfelle for menn ved sparerater over 0,1. I det alternative pensjonsopplegget ligger arbeidstilbudet som ventet høyere enn under dagens regler for menn og kvinner som er over omlag 50 år. Den sterke økningen i arbeidstilbudet for eldre kvinner i forhold til arbeidstilbudet under dagens regler skyldes den måten vi har kalibrert modellen på. I virkeligheten ville nok arbeidstilbudet mer gradvis ha blitt høyere enn under dagens regler.

Vi ser fra tabell 2.6 at samlet arbeidstilbud over livsløpet for menn i det alternative opplegget er høyere for alle verdiene på pensjonsspareraten sammenliknet med tilbudet i referansealternativet. Arbeidstilbudet er høyest for lave verdier på pensjonsspareraten (4,1 % høyere for s = 0,05 og 1,1 % høyere for s = 0,2). Blant kvinner er også det samlede arbeidstilbudet lavest for s = 0,2 (2,2 % lavere enn i referansealternativet), men høyest for s = 0,1 (4,7 % høyere enn i referansealternativet).

Tabell  Prosentvis endring i det samlede arbeidstilbudet over livsløpet i forhold til referansealternativet, personer 35 år i 1992

Pensjonssparerates = 0,05s = 0,1s = 0,2
Menn4,82,41,1
Kvinner3,14,7-2,2

Av tabell 2.7 ser vi at for menn kan en sparerate i overkant av 0,1 gi en pensjon lik den de oppnår under dagens regler, mens for kvinner må spareraten være nærmere 0,2 for å få en tilsvarende pensjon som under dagens regler.

Tabell  Opparbeidet pensjon, Y, ved fylte 67 år, for 35-åringer i 1992, med ulike verdier på pensjonsspareraten, i 1992 kroner

Pensjonssparerates = 0,05s = 0,1s = 0,2Referansealternativet
Menn55797108989215593114216
Kvinner23791483758992282186

2.4.3 Sensitivitetsberegninger

For å se hvor følsom modellen er for endringer i noen av forutsetningene har vi beregnet optimalt arbeidstilbud for andre verdier på renten, r, og [tau] 1 i nyttefunksjonen. I begge tilfellene har vi sammenliknet tilpasningen for s = 0,1. Disse beregningene viser hvordan modellen reagerer på endringer i noen av de sentrale parameterene.

r = 0,04

En realrente og diskonteringssats på 2 % kan i visse tilfeller oppfattes noe lavt, vi har derfor også sett på tilpasningen for r = 0,04.

Av figurene 2.9 og 2.10 ser vi at en høyere rente vrir tilpasningen i form av et lavere arbeidstilbud i yngre år og et høyere i eldre år. Årsaken er at jo høyere rente, desto mindre betyr fremtidige virkninger på pensjon av et arbeidstilbud i yngre år. Jo nærmere en kommer pensjonsalderen, desto viktigere blir pensjonsgevinstene av et høyere arbeidstilbud. Merk at en høyere rente også innebærer en inntektseffekt, siden en oppnår rente på tidligere sparte beløp. Virkningene på arbeidstilbudet over livsløpet av en høyere rente er sterkere for kvinner enn for menn.

Figur  Menn 35 år i 1992 sitt arbeidstilbud over livsløpet for ulike verdier på
 diskonteringssatsen, s = 0,1

Figur 9 Menn 35 år i 1992 sitt arbeidstilbud over livsløpet for ulike verdier på diskonteringssatsen, s = 0,1

Figur  Kvinner 35 år i 1992 sitt arbeidstilbud over livsløpet for ulike verdier på
 diskonteringssatsen, s = 0,1

Figur 10 Kvinner 35 år i 1992 sitt arbeidstilbud over livsløpet for ulike verdier på diskonteringssatsen, s = 0,1

Fra tabell 2.8 ser vi at det samlede arbeidstilbudet over livsløpet er høyere for lave verdier på diskonteringssatsen for begge kjønn. Vi ser også her at størrelsen på diskonteringsraten har størst effekt på kvinners samlede arbeidstilbud. For menn er det samlede arbeidstilbudet større i det alternative opplegget for begge verdiene på diskonteringsraten sammenliknet med tilbudet i referansealternativet. For kvinner derimot er arbeidstilbudet i det alternative opplegget høyere for r = 0,02 (4,7 % høyere) og lavere for r = 0,04 (4,4 % lavere) enn i referansealternativet.

Tabell  Prosentvis endring i det samlede arbeidstilbudet over livsløpet i forhold til referansealternativet, personer 35 år i 1992

Diskonteringsfaktorr = 0,02r = 0,04
Menn2,30,5
Kvinner4,7-4,4

Tabell 2.9 viser også at en høyere rente fører til en høyere fremtidig pensjon. Dette skyldes dels et høyere arbeidstilbud i eldre år og dels at renteinntekten på pensjonsfondet blir høyere.

Tabell  Opparbeidet pensjon ,Y, ved fylte 67 år, for 35-åringer i 1992, for ulike verdier på diskonteringsfaktoren, s = 0,1, i 1992 kroner

Diskonteringsfaktorr = 0,02r = 0,04Referanse-alternativet
Menn108989151935114216
Kvinner483756431782186

Ulike verdier på [alpha]1

I modellen er [alpha] 1 = 0,5. Denne parameteren er med på å bestemme størrelsen på grensenytten av inntekt. Vi ser at for lave verdier på [alpha] 1 er arbeidstilbudet høyere enn for høyere verdier på [alpha] 1. For rimelige alternative verdier på denne parameteren blir tilpasningen lite påvirket, jamfør figur 2.11 og 2.12. Dette blir ytterligere bekreftet i tabell 2.10, spesielt for menn. Videre viser tabell 2.11 at pensjonen etter 67 år i liten grad påvirkes av ulike verdier på parameteren [alpha] 1 i nyttefunksjonen.

Figur  Menn 35 år i 1992 sitt arbeidstilbud over livsløpet for ulike verdier på
 parameteren [alpha]1
 , som er med på å bestemme størrelsen på grensenytten av inntekt, s = 0,1

Figur 11 Menn 35 år i 1992 sitt arbeidstilbud over livsløpet for ulike verdier på parameteren [alpha]1 , som er med på å bestemme størrelsen på grensenytten av inntekt, s = 0,1

Figur  Kvinner, 35 år i 1992 sitt arbeidstilbud over livsløpet for ulike verdier
 på parameteren [alpha]1
 , som er med på å bestemme størrelsen på grensenytten av inntekt, s = 0,1

Figur 12 Kvinner, 35 år i 1992 sitt arbeidstilbud over livsløpet for ulike verdier på parameteren [alpha]1 , som er med på å bestemme størrelsen på grensenytten av inntekt, s = 0,1

Tabell  Prosentvis endring i det samlede arbeidstilbudet over livsløpet i forhold til referansealternativet, personer 35 år i 1992

  alfa1 = 0,1alfa1 = 0,5alfa1 = 0,9
Menn3,92,40,4
Kvinner8,14,7-0,2

Tabell  Opparbeidet pensjon ,Y, ved fylte 67 år, for 35-åringer i 1992, for ulike verdier på [alpha]1 , s = 0,1, i 1992 kroner

  alfa1 = 0,1alfa1 = 0,5alfa1 = 0,9Referansealternativet
Menn110560108989106903114216
Kvinner49923483754620382186

2.4.4 Arbeidstilbud og pensjonssparerate gitt at dagens pensjon skal oppnås

I dette underavsnittet spør vi om hva spareraten i det alternative opplegget må være for at en skal oppnå den samme pensjon som under dagens regler. Svaret vil vise hva en måtte ha fastsatt en folketrygdavgift til i et pensjonssystem hvor individene skulle få igjen (med renter) hva de betaler inn. Svaret er at en slik avgift måtte ha blitt satt til 10,5 prosent for menn og hele 18 prosent for kvinner. Disse avgiftene kan sammenliknes med dagens såkalte folketrygdavgift på 7,8 prosent som altså er altfor lav i forhold til hva den burde ha vært for å gi en pensjon lik dagens, og gitt at personene skulle få opparbeide seg pensjonspoeng i hele sitt yrkesaktive og da på en optimal måte. Merk at vi også kun har redusert den såkalte folketrygdavgiften i det eksisterende systemet fra 7,8 % til 2,8 %.

I figurene 2.13 og 2.14 viser vi tilpasningen til personer som var 35 år i 1992, gitt at pensjonen i det alternative opplegget skal være lik pensjonen i referansealternativet. Til sammenlikning viser vi også forløpet av arbeidstilbudet ved en sparerate på 0,05. Tilpasningen viser at arbeidstilbudet først ligger under tilbudet i referansealternativet og deretter over for begge kjønn. Sammenliknet med en pensjonssparerate på 0,05 ligger tilbudet over hele livsløpet for begge kjønn.

Figur  Menn, 35 år i 1992 sitt arbeidstilbud over livsløpet gitt at dagens pensjon
 skal oppnås ved ulike verdier på pensjonsspareraten s=10,5 gir for menn pensjon
 i det alternative opplegget som er lik pensjonen under dagens regler.

Figur 13 Menn, 35 år i 1992 sitt arbeidstilbud over livsløpet gitt at dagens pensjon skal oppnås ved ulike verdier på pensjonsspareraten s=10,5 gir for menn pensjon i det alternative opplegget som er lik pensjonen under dagens regler.

Figur  Kvinner, 35 år i 1992 sitt arbeidstilbud over livsløpet gitt at dagens
 pensjon skal oppnås ved ulike verdier på pensjonsspareraten s=0,18 gir for menn
 pensjon i det alternative opplegget som er lik pensjonen under dagens
 regler.

Figur 14 Kvinner, 35 år i 1992 sitt arbeidstilbud over livsløpet gitt at dagens pensjon skal oppnås ved ulike verdier på pensjonsspareraten s=0,18 gir for menn pensjon i det alternative opplegget som er lik pensjonen under dagens regler.

Ser vi på det samlede arbeidstilbudet over livsløpet viser det seg at blant menn vil dette øke med 2,4 % i det alternative opplegget sammenliknet med referansealternativet gitt at pensjonen skal være den samme i begge alternativene. Blant kvinnene derimot faller det samlede arbeidstilbudet i det alternative opplegget med litt under 2,4 % i forhold til referansealternativet når den samme pensjonen skal oppnås i begge alternativene.

2.4.5 Arbeidstilbud og pensjon når en ikke diskriminerer mellom kjønnene

Så langt i analysen har vi operert med ulik levetid på kjønnene. Dette har medført at siden kvinner i gjennomsnitt lever lenger enn menn er de også nødt til å spare mer av inntekten i det alternative opplegget for å oppnå dagens pensjon. I folketrygden foregår ikke en slik diskriminering, der er det tvert i mot en omfordeling mellom kjønnene fra menn til kvinner.

Vi ser her på hvordan tilpasningen blir hvis vi lar kvinner og menn ha samme forventede levealder. Ved å ta gjennomsnittet mellom kvinner og menns levealder finner vi at de i snitt lever ca. 78 år. Resultatene viser at det skjer en viss omfordeling, men at kvinner fremdeles må spare langt mer av inntekten sin i det alternative opplegget for å oppnå samme pensjon som med dagens system. Dette henger sammen med at det i dagens system er ytterligere en faktor til som gir omfordeling mellom kjønnene, nemlig regelen om at lave inntekter er fullt ut pensjonsgivende, mens inntekter mellom 6 og 12 G kun er pensjonsgivende med 1/3. Dette gjør at det skjer en omfordeling fra de med høy inntekt til det med lav inntekt, i denne modellen fra menn til kvinner.

Tabell  Menn 35 år i 1992 sitt arbeidstilbud over livsløpet og forventet pensjon, gitt at forventet levealder er 78 år, for ulike verdier på pensjonsspareraten

Alders = 0,10s = 0,11s = 0,12s = 0,13s = 0,14s = 0,15s = 0,16s = 0,17s = 0,18
35 år200319981994198819831978197219661959
36 år198419801976197119661960195519491943
37 år200720031999199419901984197919731967
38 år197919751971196719621957195219461941
39 år197619731969196519601955195019451939
40 år196119581954195019461941193619311926
41 år197019671963195919551951194619411936
42 år197519721969196519621957195319481943
43 år198419811978197519711967196319581954
44 år198419821979197619731969196519611956
45 år198119791976197319701967196319591955
46 år198519831981197819751972196819651960
47 år199419921990198819851982197919751971
48 år201720162014201220102007200420011997
49 år201820172016201420122009200720042000
50 år200120001999199819961994199119881985
51 år198419841983198119801978197619731970
52 år196819681967196619651963196119591956
53 år197619761976197519741972197119681966
54 år197619771977197619751974197319711969
55 år205120522053205320522051205020492047
56 år204220432044204420442043204220412040
57 år206620682069206920702070206920682067
58 år205820602061206220622062206220622061
59 år206320652067206820692069206920692068
60 år207020722074207620772078207820782078
61 år208120842086208820902091209120922092
62 år207720802083208520872088208920892090
63 år206720712074207620782080208120822083
64 år207720812084208720892091209320942095
65 år205120552059206220652067206920702071
66 år205720622066206920722074207620782079
Pensjon, Y92657101927111172120380129570138710147824156893165918

Tabell 2.12 og 2.13 viser tilpasningen for ulike verdier på pensjonsspareraten gitt at gjennomsnittspersonen som er 35 år i 1992 lever til han/hun er 78 år. Deretter sammenlikner vi resultatet med den spareraten som i utgangssituasjonen ga samme forventet pensjon som dagens regler. For menn er det en pensjonssparerate på rundt 0,1 som gir samme nivå på pensjonen i det alternative opplegget som i referansealternativet. For kvinner er denne mye høyere, nemlig rundt 0,18.

Tabell  Kvinner 35 år i 1992 sitt arbeidstilbud over livsløpet og forventet pensjon, gitt at forventet levealder er 78 år, for ulike verdier på pensjonsspareraten

Alders = 0,10s = 0,11s = 0,12s = 0,13s = 0,14s = 0,15s = 0,16s = 0,17s = 0,18
35 år184918441838183817671760175217441736
36 år181518111806180517331726171817101702
37 år180117961792179217171710170316961688
38 år179217881784178517071701169416871679
39 år181818141810181217301724171717111703
40 år181518121808181017261720171317071700
41 år182218191816181917311725171917131706
42 år181218101807181117201715170917031696
43 år180117991797180117071702169716911685
44 år179817961794179917031698169316871681
45 år181018091807181217131708170316981692
46 år180218021800180617031699169516901684
47 år184318421842184817411737173317281723
48 år184318431842185017391735173217271723
49 år183818381838184617321729172617221717
50 år184118421842185117341731172817241720
51 år183218331834184417231721171817151711
52 år179617981799180916871685168216791676
53 år182618291830184117141712171017081705
54 år182418271829184017101709170717051702
55 år208120852089210319581958195719551954
56 år209420982102211719681968196819671965
57 år206720722076209119401941194019401939
58 år211421192124214019841985198519851984
59 år210721132118213519761977197819781977
60 år215321602166218420192021202220222023
61 år218621942200221920502052205320542055
62 år220222092216223620632065206720692070
63 år217321812188220820332036203820402041
64 år220122102217223820592062206520672069
65 år218821972205222620452049205120542056
66 år221022202228225020652069207320752078
Pensjon, Y586976464070571768747741482866882819366599006
Figur  Menn, 35 år i 1992 sitt arbeidstilbud over livsløpet for ulike verdier på
 forventet levealder, gitt en pensjonspremie på 0,1

Figur 15 Menn, 35 år i 1992 sitt arbeidstilbud over livsløpet for ulike verdier på forventet levealder, gitt en pensjonspremie på 0,1

Vi ser fra figur 2.15 at en omlegging av pensjonsreglene til ikke lenger å være diskriminerende mellom kjønnene, ikke i noen særlig grad påvirker gjennomsnittsmannens tilpasning på arbeidsmarkedet. Det samlede arbeidstilbudet over livsløpet øker med rundt 2,4 % i begge tilfellene sammenliknet med arbeidstilbudet i referansealternativet

Fra tabell 2.14 ser vi naturlig nok at en økning i forventet levealder for menn fører til en lavere pensjon. Skulle pensjonen uten diskriminering vært den samme som i referansealternativet måtte den årlige pensjonsspareraten ligget et sted mellom 0,12 og 0,13, jamfør tabell 2.12.

Tabell  Menn 35 år i 1992 sin opparbeidede pensjon ved fylte 67 år med ulik forventet levealder, s = 0,1, i 1992 kroner

Forventet levealderT = 76T = 78Referanse-alternativet
Pensjon, Y10898992657114216
Figur  Kvinner, 35 år i 1992 sitt arbeidstilbud over livsløpet for ulike verdier
 på forventet levealder, gitt en pensjonspremie på 0,18

Figur 16 Kvinner, 35 år i 1992 sitt arbeidstilbud over livsløpet for ulike verdier på forventet levealder, gitt en pensjonspremie på 0,18

Figur 2.16 viser gjennomsnittskvinnen sin tilpasning når det ikke lenger er mulig å diskriminere mellom kjønnene. Tilpasningen har endret seg en del sammenliknet med tilpasningen under diskriminering. Arbeidstilbudet ligger lavere når en setter forventet levealder til 78 år enn det gjør når en opererer med faktisk forventet levealder. Det samlede arbeidstilbudet over livsløpet er 4,7 % høyere med en forventet levealder på 81 år sammenliknet med det samlede tilbudet i referansealternativet.

Selv om arbeidstilbudet går ned når forventet levealder reduseres ser vi fra tabell 2.15 at forventet årlig pensjon øker. Fra tabell 2.13 ser vi at skulle den årlige pensjonen vært den samme uten diskriminering som i referansealternativet måtte pensjonsspareraten ha vært 0,15. Fremdeles måtte altså kvinner spare mer av sin årlige inntekt enn menn, for å oppnå samme pensjon som i referansealternativet.

Tabell  Kvinner 35 år i 1992 sin opparbeidede pensjon ved fylte 67 år med ulik forventet levealder, s = 0,18, i 1992 kroner

Forventet levealderT = 76T = 78Referanse-alternativet
Pensjon, Y811649900682186