5 Reform av folketrygdens tilleggspensjon: En analyse av alternative fonderingsstrategier 1
Øystein Thøgersen a, Carl E. Gjersem b, Ole-Christian Hillestad a og Hans Olav Husum a a: Stiftelsen for samfunns- og næringslivsforskning, b: Finansdepartementet
Referanser
Abel, A.N., N.G. Mankiw, L.H. Summers and R.J. Zeckhauser (1989): Assessing Dynamic Efficiency: Theory and Evidence, Review of Economic Studies, 56, 1-20.
Auerbach, A.J. og L.J. Kotlikoff (1987 ): Dynamic Fiscal Policy, Cambridge University Press, Cambridge.
Bohn, H. (1992): Endogenous government spending and ricardian equivalence, Economic Journal, 102, 588-597.
Diamond, P.A. (1965): National debt in a neoclassical growth model, American Economic Review, 55, 1126-1150.
Edwards, S. (1996): The Chilean pension reform: A pioneering program, NBER Working Paper no. 5811, National Bureau of Economic Research, Cambridge, M.A.
Feldstein, M. (1995): Would privatizing social security raise economic welfare?, NBER Working Paper no. 5281, National Bureau of Economic Research, Cambridge, M.A.
Homburg, S. (1990): The efficiency of unfunded pension schemes, Journal of Institutional and Theoretical Economics, 146, 640-647.
Husum, H.O. (1997): Overmod - En numerisk overlappende generasjonsmodell for en liten, åpen økonomi, SNF rapport nr. 12/98, Stiftelsen for samfunns- og næringslivsforskning, Bergen.
Kotlikoff, L.J. (1995): Privatization of social security: How it works and why it matters, NBER Working Paper no. 5330, National Bureau of Economic Research, Cambridge, M.A.
Lundvik, P. (1996): Generational accounting in an open economy, manuscript, The Industrial Institute for Economic and Social Research (IUI), Stockholm.
Persson, T. (1985): Deficits and intergenerational welfare in open economies, Journal of International Economics, 19, 67-84.
Raffelhüschen, B. og A.E. Risa (1995): Reforming social security in a small open economy, European Journal of Political Economy, 11, 469-485.
Richardson, D.H. (1995): A long-run simulation model for analysing social security retirement policies, Economic Modelling, 12, 415-424.
Rogdaberg, G. og Ø. Thøgersen (1997): Tiltagende tidligpensjonering - trues velferdsstaten?, Sosialøkonomen, 8, 16-25.
Steigum, Jr., E. (1993): Accounting for long-run effects of fiscal policy by means of computable overlapping generations models, i: S. Honkapohja and M. Ingberg (eds.), Macroeconomic Modelling and Policy Implications, Elsevier Science Publishers, Amsterdam, 45-67.
Thøgersen, Ø. (1997): Reforming social security: Assessing the effects of alternative funding strategies in a small open economy, SNF rapport nr. 83/97, Stiftelsen for samfunns- og næringslivsforskning, Bergen.
Thøgersen, Ø. (1998): A note on intergenerational risk sharing and the design of pay-as-you-go pension programs, Journal of Population Economics, forthcoming.
World Bank (1994): Averting the old age crisis - Policies to protect the old and promote growth, Oxford University Press, Oxford.
5.1 Sammendrag
Vi analyserer effektene av alternative fonderingsstrategier for folketrygdens alderspensjon ved anvendelse av en numerisk simuleringsmodell for norsk økonomi. Fondering gir velferdsgevinster for dagens unge og fremtidige generasjoner på bekostning av moderate tap for dagens etablerte generasjoner. Størrelsen på velferdsgevinstene avhenger av hvilken fonderingsstrategi som blir valgt. En generell offentlig fonderingsstrategi gir langsiktige gevinster fordi økte offentlige formuesinntekter reduserer fremtidige skattebyrder. Ytterligere gevinster kan oppnåes ved individualisering i form av at tilleggspensjonene gjøres aktuariske og akkumuleres på reelle konti. Dette gir effektivitetsgevinster som stimulerer arbeidstilbudet.
5.2 Introduksjon
Stadig høyere levealder og en relativt lav fødselsrate medfører at Norge, som OECD-området forøvrig, står overfor en gradvis aldrende befolkning. Siden folketrygden er finansiert som et pay-as-yo-go (PAYGO) system hvor skatt fra de yrkesaktive finansierer de løpende overføringene til de trygdede, vil dette kunne utløse høyere skattebyrder og/eller lavere trygdeydelser når arbeidsstyrkens andel av den totale befolkningen avtar. 2 Problemet illustreres av tabell 5.1 som viser hvordan forholdet mellom antall individer over 64 år og antall individer i alderen 15-64 år forventes å utvikle seg i et utvalg OECD land. Vi observerer den mest dramatiske aldringen i land som Italia og Nederland, men vi legger også merke til en betydelig forventet befolkningsaldring i Norge og resten av Skandinavia. I tillegg vil en eventuelt tiltagende tendens til tidligpensjonering for alle landene ytterligere forsterke presset på folketrygden . 3
Tabell Forholdstall mellom antall individer over 64 år og antall individer i alderen 15-64 år i et utvalg OECD økonomier (prosent).
| 1960 | 1990 | 2020 (forventet) | 2030 (forventet) | |
|---|---|---|---|---|
| Norge | 17.3 | 25.2 | 31.2 | 38.7 |
| Danmark | 16.5 | 22.7 | 31.7 | 37.7 |
| Sverige | 17.8 | 27.6 | 35.6 | 39.4 |
| Finland | - | 19.7 | 34.7 | 41.1 |
| Nederland | - | 19.1 | 33.6 | 45.1 |
| Storbritania | 17.9 | 24.0 | 31.2 | 38.7 |
| Frankrike | 18.8 | 20.8 | 32.3 | 39.1 |
| Italia | 13.3 | 21.6 | 37.5 | 48.3 |
| USA | 15.4 | 19.1 | 27.6 | 36.8 |
| Japan | 9.5 | 17.1 | 43.0 | 44.5 |
Kilde: World Bank - World Population Projections 1994-95.
Den skisserte utviklingen har initiert betydelig nasjonal og internasjonal forskningsinnsats om ulike alternative reformer av folketrygdsystemet. Spesielt har stor oppmerksomhet blitt rettet mot velferdseffektene av mer fonderte systemer. Hvis ikke et vedvarende dramatisk fall i oljeprisene ødelegger Norges gode statsfinansielle situasjon, er sannsynligvis våre muligheter for å implementere fonderte systemer bedre enn i noe annet OECD land. I dette arbeidet vil vi analysere velferdskonsekvensene av alternative fonderingsstrategier for tilleggspensjonene i det norske alderspensjonssystemet. Etter mønster av Thøgersen (1997) vil vi skille mellom generell offentlig fondering og individualisert fondering. Felles for disse fonderingsstrategiene er at finansieringsbyrden blir mindre følsom overfor endringer i befolknings- og produktivitetsveksten, mens individenes avkastning av å delta i systemet for tilleggspensjon i stedet blir følsomt overfor avkastningen på de akkumulerte fondsmidlene. Vi vil dessuten presisere innledningsvis at våre beregninger av de ulike fonderingsstrategiene forutsetter at minstepensjonen beholdes på samme måte som idag og utgjør et sikkerhetsnett for individer som av ulike grunner ikke opparbeider rett til tilleggspensjon.
En generell offentlig fonderingsstrategi innebærer at myndighetene bygger opp finansielle fordringer motivert av utsiktene til betydelig høyere utgifter til finansiering av pensjoner og trygder etter år 2010 når folketrygden er fullt innfaset og befolkningsaldringen tiltar for alvor. 4 Økte offentlige formuesinntekter vil dermed bidra til at myndighetene kan opprettholde ydelsene i folketrygden uten å måtte heve skattebyrdene slik man ellers måtte gjort. Den generelle offentlige fonderingsstrategien innebærer således ingen fundamental reform av selve pensjonssystemet. I dette arbeidet vil vi analysere to scenarier basert på generell offentlig fondering. Det første scenariet utgjør vårt basisscenario og er basert på offentlig fondsakkumulasjon slik det fremkommer i basisalternativet blant Langtidsprogrammets langsiktige fremskrivninger. 5 Fondsakkumulasjonen - som skjer i Statens petroleumsfond - er her temporær i den forstand at fondet i perioden frem til år 2020 stiger til nesten 140% av BNP, men at det avtar i de påfølgende årene. Det andre scenariet er et permanent offentlig fond som akkumuleres slik at fondets størrelse gradvis når et permanent nivå lik nåverdien av befolkningens opptjente tilleggspensjoner.
En individualisert fonderingsstrategi innebærer en mer dramatisk reform av tilleggspensjonssystemet. Hovedelementet i denne strategien er at hvert enkelt individ bygger opp sin egen pensjonskonto i perioden man er yrkesaktiv, og pensjonsydelsen vil stå i et aktuarisk forhold til innskuddene på kontoen. Dermed blir vridende beskatning for å finansiere tilleggspensjonene erstattet av egen sparing i form av pålagte innskudd på individualiserte konti. Potensielt medfører dette betydelige effektivitetsgevinster som gir seg utslag i individenes arbeidstilbud. 6 Denne type individualisert fondering har allerede blitt implementert i Chile i 1981 (se Edwards, 1996), og det er også foreslått i USA (jfr. Feldstein, 1995 og Kotlikoff, 1995). 7 Det individualiserte system kan i prinsippet håndteres både av det offentlige og av private forsikringsselskaper. Avgjørende momenter er imidlertid at systemet oppfattes som troverdig og at de akkumulerte midlene forvaltes på en effektiv måte. I vår numeriske analyse vil vi betrakte ett scenario basert på individuell fondering. Vi vil da forutsette at det individualiserte systemet innfases gradvis slik at myndighetene betjener alle allerede opptjente rettigheter til tilleggspensjon i det gamle systemet.
Analysene av de alternative scenariene vil bli utført med en numerisk simuleringsmodell for norsk økonomi som ivaretar en befolkningstruktur med overlappende generasjoner, modellkonsistent fremadskuende konsumentadferd med endogent arbeidstilbud og arvemotiv samt vridende beskatning. Simuleringsmodellen bygger på de teoretiske arbeidene til Diamond (1965) og Persson (1985). Våre analyser føyer seg til den etterhvert betydelige litteraturen som ble initiert av Auerbach og Kotlikoff (1987) og som fokuserer på studier av finanspolitikk og overføringsordninger ved hjelp av numeriske simuleringsmodeller med overlappende generasjoner. Nyere bidrag til denne litteraturen som studerer aspekter ved alderspensjonen i norsk økonomi, omfatter Steigum (1993), Raffelhüschen og Risa (1995) og Thøgersen (1997). For å fokusere på komparative betraktninger av ulike fonderingsstrategier, har vi adoptert distinksjonen mellom individualisert og generell offentlig fondering slik det fremkommer i sistnevnte arbeid.
I neste avsnitt gir vi en enkel introduksjon til de teoretiske resultatene som ligger til grunn for effektene av de alternative finansieringsstrategiene for pensjonene. Deretter presenteres hovedtrekkene ved den numeriske overlappende generasjonsmodellen for norsk økonomi i avsnitt 4. Avsnitt 5 presenterer analyseresultatene for de ulike scenariene. I tillegg til de tre fonderingsscenariene som er omtalt over, presenteres også et formuestæringsscenario som fanger opp effektene av at intet pensjonsfond bygges opp til tross for betydelige offentlige petroleumsinntekter de neste ti-årene. Sammenlignet med formuestæringsscenariet innebærer en generell offentlig fonderingsstrategi 5.9% høyere privat konsum på lang sikt, mens en individualisert fonderingsstrategi gir 7.4% høyere privat konsum. Vi presenterer noen avsluttende kommentarer i avsnitt 6.
5.3 Noen prinsipielle betraktninger
For å illustrere de grunnleggende økonomiske mekanismene knyttet til alternative finansieringsstrategier for alderspensjonen, betrakter vi i dette avsnittet en enkel teoretisk modell med to overlappende generasjoner. Hvert individ lever i to perioder, og vi definerer Nt som antall unge individer i periode t. Vi refererer til generasjonen som er ung i periode t (og gammel i periode t+1) som generasjon t. Befolkningsvekstraten er n, og det følger at Nt+1=(1+n) Nt. Økonomien er karakterisert av arbeidsbesparende teknologisk vekst, og vekstraten benevnes [lambda]. Vi definerer wt som reallønn pr. enhet arbeidskraft. Over tid vil lønnsutviklingen bli bestemt av teknologiveksten slik at vi har w t+1=(1+[lambda]) wt. Vi antar videre en liten åpen økonomi der realrenten, r, er eksogent gitt i det internasjonale finansmarkedet. Myndighetenes eneste oppgave er å håndtere systemet for alderspensjon, og for enkelhets skyld er det initialt ingen offentlig gjeld. For å finansiere alderspensjonen krever myndighetene inn en inntektsskatt som utgjør en andel [tau] av lønnen. I første omgang antar vi at skatteinnkrevingen kan skje uten samfunnsøkonomiske kostnader, noe som spesielt innebærer at arbeidstilbudet ikke responderer på skatteendringer. Denne forutsetningen vil etterhvert modifiseres.
Hvert individ deltar i arbeidsmarkedet i første periode av livet og tilbyr en enhet arbeidskraft. I andre periode av livet er man pensjonert og lever av pensjonsutbetalinger og oppsparte midler. Foreløpig ser vi bort fra arvelating. Konsum i første livsperiode for et representativt individ fra generasjon t, er gitt ved
(1a)

der St er sparing. I andre periode av livet utgjør pensjonsutbetaling en andel [theta] av egen lønnsinntekt i første livsperiode. Konsumet i andre livsperiode er dermed gitt ved
(1b)

Fra (1a) og (1b) kan vi utlede følgende intertemporale budsjettbetingelse:
(2)

Vi refererer til yt som individets netto livsinntekt definert som den neddiskonterte verdien av netto inntektstrømmen over livsløpet.
Vi merker oss som en referanseløsning, at intet offentlig system for alderspensjon ([theta]=[tau]=0) innebærer at yt= wt. Det vil da være opp til det enkelte individ å fordele sin inntekt over livsløpet ved selv å spare i finansmarkedet. Når vi i resten av dette avsnittet betrakter effektene av alderspensjon finansiert ved ulike strategier, vil vi fokusere på virkningene på yt. For et gitt arbeidstilbud vil vi - uten å spesifisere preferansene nærmere - anta at økt yt gir høyere velferd.
PAYGO eller fondsfinansiering
Et utbygd PAYGO system innebærer at skatteinntektene fra den unge generasjon i en gitt periode er lik pensjonsutbetalingene til den eldre generasjon i samme periode. Forholdet mellom [theta] og [tau] blir da bestemt av restriksjonen
(3) [tau] wtNt = [theta] wt-1Nt-1.
Når vi utnytter at wt =(1+[lambda]) wt-1 og Nt=(1+ n) Nt-1, fremkommer
(4)

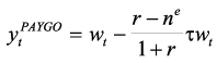
Vi refererer til ne som økonomiens naturlige vekstrate. Vi ser av (4) at ne kan tolkes som den implisitte avkastningen i PAYGO systemet. En høyere verdi for ne forårsaket av enten økt [lambda] eller økt n vil redusere skattene som kreves for å opprettholde et bestemt kompensasjonsnivå i alderspensjonen. Størrelsen på ne er derfor avgjørende for å vurdere attraktiviteten av PAYGO systemet.
Fra (4) og definisjonen av yt i (2) fremkommer følgende uttrykk for netto livsinntekt i PAYGO systemet:
(5)

.
Vi ser at PAYGO systemets virkning på livsløpsinntekten avhenger av størrelsen på ne relativt til r. PAYGO systemet gir høyere livsløpsinntekt enn tilfellet uten pensjonssystem dersom r< ne, og lavere livsløpsinntekt dersom r> ne. Generasjonen som er gammel i implementeringsperioden, vil uansett få en velferdsgevinst. Denne overgangsgenerasjonen vil ikke bidra med skatteinnbetaling, men vil likevel motta pensjonsutbetaling. Dermed realiseres en velferdsgevinst siden innføringen av PAYGO systemet innebærer en ubetinget høyere livsløpsinntekt.
Realøkonomisk er effektene av PAYGO systemet tilsvarende effektene av offentlig gjeldsakkumulasjon (jfr. Persson, 1985). Den gamle generasjonen på innfasingstidspunktet øker sitt konsum, noe som påfører landet en svekket fordringsposisjon overfor utlandet. Dermed begrenses mulighetene for fremtidige importoverskudd, og det blir mindre rom for konsum. Man kan si at den gamle generasjonen på innfasingstidspunktet påfører senere generasjoner en implisitt trygdegjeld.
Med fondsbasert finansiering vil det ikke finne sted overføringer mellom generasjoner. Hver generasjon vil få en pensjonsutbetaling som svarer til det beløp som ble innbetalt til fondet i den yrkesaktive periode av livet, pluss avkastningen fondet har gitt ved plassering i finansmarkedet. Dette kan uttrykkes som
(6) [theta] wtNt=(1+ r)[tau] wtNt,
som igjen innebærer at
(7)

Tolkningen av (7) er ganske enkelt at det fondsbaserte systemet gir en avkastning lik realrenten, noe som betyr at det representative individ i hver generasjon får en aktuarisk rettferdig pensjonsutbetaling. Fra (7) og (2) fremkommer det umiddelbart at livsløpsinntekten er upåvirket av innføringen av det fondsbaserte systemet:
(8)

Den eneste forskjell fra referansetilfellet uten alderspensjon er at myndighetene innfører tvunget pensjonssparing, som i sin helhet fortrenger privat sparing. Samlet nasjonal sparing blir uendret.
Dersom økonomien beveger seg langs en golden rule vekstbane karakterisert av at ne= r, vil livsløpsinntekten være identisk for fondsbasert- og PAYGO-finansiering, jfr. (5) og (8). For de fleste OECD land er det imidlertid både teoretisk og empirisk belegg for at den relevante antagelsen er r> ne, se Abel et al. (1989) og Feldstein (1995). Mange OECD land står overfor befolkningsaldring og har den senere tiden opplevd svak teknologisk vekst. Dette impliserer et potensielt betydelig gap mellom realrenten og den naturlige vekstraten i økonomien. I en slik situasjon gir et PAYGO system betydelige reduksjoner i livsløpsinntekten til det representative individ.
Den skisserte utviklingen gir OECD landene incentiver til å fase ned PAYGO finansieringen, og innføre mer fondsbaserte pensjonssystemer. Dette kan være problematisk fordi det alltid vil være en overgangsgenerasjon som må finansiere pensjonene til den siste generasjonen i det gamle PAYGO systemet samtidig med at man akkumulerer sitt eget pensjonsfond. Det kan derfor være vanskelig å få politisk gjenomslag for en reform, spesielt hvis den statsfinansielle situasjon er så svak at overgangsgenerasjonen ikke kan kompenseres på en akseptabel måte. 8
Individualisert fondering
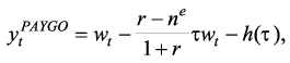
Hvis vi tar hensyn til at beskatning av arbeidsinntekt innebærer samfunnsøkonomiske effektivitetstap i form av vridninger i arbeidstilbudet, blir spørsmålet om individualisering av pensjonsordningene kritisk for analysen. For å introdusere effektivitetstap på en enkel måte, følger vi Bohn (1990) og antar at skatteraten [tau] t påfører individet en ekstra byrde gitt ved h([tau] t). Vi antar rimeligvis at h'>0 og h(0)=0. (I simuleringsmodellen i neste avsnitt vil effektivitetstapene følge av en eksplisitt endogenisering av arbeidstilbudet.) Dette medfører følgende modifiserte uttrykk for konsumet i første livsperiode for et representativt individ i generasjon t:
(9)

Årsaken til at beskatning for finansiering av alderspensjoner gir effektivitetstap er at individet ikke står overfor en aktuarisk sammenheng mellom skatter og pensjonsydelser. Dette gjelder uansett om pensjonssystemet er PAYGO eller fondsbasert. Ved å legge ligning (9) til grunn i stedet for (1a), følger det av tilsvarende beregninger som over at
(10)

(11)

med andre ord at effektivitstapet ved beskatning reduserer netto livsinntekt ved begge finansieringsformene.
Hvis vi betrakter et individuelt fondert system slik som definert i introduksjonen, vil ordningens aktuariske karakter medføre at vridende beskatning erstattes av individuelle innskudd på reelle konti. Dette kan fanges opp i vår modell ved først å sette [theta]=[tau]=0. Deretter definerer vi individets samlede sparing som St = Sgt + Spt hvor Sgt er det offentlig regulerte innskuddet på egen pensjonskonto, mens Spt er ordinær privat sparing. Innskuddene på pensjonskontoen betraktes med andre ord som et perfekt substitutt for ordinær sparing, noe som betinger at den individualiserte ordningen er troverdig, innskuddene forvaltes effektivt og at individet ikke er kredittrasjonert. Det følger at
(12)

hvor toppskrift IF viser til individuell fondering. Ved å sammenligne (10), (11) og (12) ser vi umiddelbart at

I lys av at finansieringen av store folketrygdsystemer innebærer betydelige skattebyrder og tilhørende effektivitetstap, er det ikke overraskende at man observerer større og mindre steg i retning av delvis individualisert fondering i land som Sverige, England og i særlig grad Chile. En overgang til en fullstendig individualisert og aktuarisk alderspensjon er imidlertid hverken realistisk eller ønskelig. Fordelings- og sosialforsikringshensyn tilsier at en individuell fonderingsstrategi må kombineres med et sosialt sikkerhetsnett i form av en fast minstepensjon. Det er et slikt to-delt system som vi har i tankene når vi i avsnitt 5 analyserer innføringen av en individualisert og aktuarisk tilleggspensjon i Norge.
5.4 Den numeriske modellen
Simuleringsmodellen for norsk økonomi er en deterministisk overlappende generasjonsmodell som kan betraktes som en utvidet versjon av det stiliserte modellrammeverket fra forrige kapittel. I det følgende presenterers hovedtrekkene i modellen. En fullstendig dokumentasjon er gitt i Husum (1998). Simuleringsmodellen ivaretar tyve overlappende generasjoner i enhver periode. Periodelengden er fem år, og følgelig er den maksimale alder for et individ hundre år. Den demografiske utviklingen er forholdsvis detaljert modellert, og fertilitets- og mortalitetsrater for ulike aldersgrupper er i overenstemmelse med tilgjengelig befolkningsstatistikk. Modellen fanger opp den gradvise aldringen av befolkningen og konvergerer mot en stasjonær aldersfordeling på svært lang sikt.
Produksjon
Aggregert produksjon i privat sektor modelleres ved en Cobb-Douglas produktfunksjon med konstant skalaavkastning:
(13)

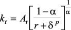
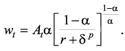
Her er Yt er aggregert produksjon, Kt er realkapitalbeholdning ved inngangen av perioden, Lt er tilgang på arbeidskraft, At er en indeks for arbeidsbesparende teknologisk fremgang og [alpha] er arbeidskraftsandelen. Det følger at AtLt er tilgangen på arbeidskraft målt i effektivitetsenheter, og vi har at At+1=(1+[lambda]) At. Vi forutsetter frikonkurranseadferd slik at kapitalens grenseprodukt er gitt ved den eksogene brukerprisen på kapital, r+[delta] p ([delta] p er depresieringsraten i privat sektor). Tilsvarende vil reallønnen ( wt) være gitt ved arbeidskraftens grenseprodukt. Dersom vi definerer kapitalintensiteten som kt[equiv] Kt/ Lt, kan det vises at:
(14a)

(14b)

Både reallønn og kapitalintensitet blir derfor bestemt ved de eksogene parameterne i produktfunksjonen og av brukerprisen på kapital. Vi ser av (14a) og (14b) at kt og wt vokser med samme rate som At, med andre ord med den arbeidsbesparende teknologiske vekstraten [lambda].
Husholdningene
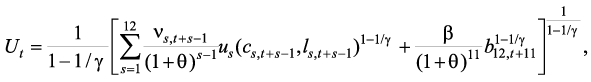
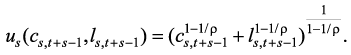
Adferden til det representative individ innen hver generasjon er modellert i henhold til en livsløpsmodell utvidet med et joy-of-giving arvemotiv. Vi antar at det enkelte individ har et aktiv livsløp på tolv perioder. De første fire periodene i livet (0-20 år) blir individet forsørget av sine foreldre, og de siste fire (80-100 år) av myndighetene. Vi innfører indeksen s for å spesifisere de enkelte periodene i det aktive livsløpet, slik at s =1, 2, ..., 12. Et representativt individ som går inn i sin første aktive livsløpsperiode i periode t, legger en optimal livsløpsplan for konsum, fritid og utgående arv ved å maksimere nyttefunksjonen:
(15)


under bibetingelse av at vedkommendes intertemporale budsjettrestriksjon holder. I (15) er cs,t+s-1og ls,t+s-1 henholdsvis konsum og fritid i tidsperiode t+s-1 for et representativt individ i livsløpsperiode s, b12,t+s-1 er utgående arv, [beta] er et mål på styrken i arvemotivet, [theta] er tidspreferanseraten, [rho] og [gamma] er henholdsvis den intra- og intertemporale substitusjonselastisiteten og [nu] s,t+s-1 er vekter som reflekterer dødlighetsrater og foreldreansvar.
Den intertemporale budsjettrestriksjonen innebærer at den neddiskonterte verdien av utgifter til konsum og utgående arv skal være lik den neddiskonterte verdien av brutto arbeidsinntekter, skatter, trygdeoverføringer og mottatt arv. Individet står overfor skatter på arbeidsinntekt, kapitalinntekt og konsum. Trygdeoverføringene omfatter alders- og uførepensjon, sykepenger, arbeidsledighetstrygd, barnetrygd og enkelte andre overføringer. Trygdeydelsene er indeksert til reallønnsutviklingen. Alderspensjonen er i tråd med eksisterende regelverk splittet opp i en fast minstepensjon og en tilleggspensjon som blir bestemt av opparbeidede pensjonspoeng. Poengopptjeningen er relatert til individets arbeidstilbud over livsløpet. Modellen fanger opp at individer i aldersgruppen 67-70 år i realiteten står overfor en skjerpet marginalskatt på arbeidsinntekt som følge av at pensjonen blir avkortet ved arbeidsinntekter utover et fribeløp. Likeledes fanger man opp skattelettelsen for yrkesaktive individer over 70 år. Systemet for alderspensjon er langt fra aktuarisk. Store deler av arbeidsstyrken har incentiver til å pensjonere seg ved 60-års alder, siden fortsatt yrkesaktivitet ikke påvirker deres ydelser fra folketrygden.
Offentlig sektor
Myndighetene krever inn skatter, driver folketrygdsystemet og står for produksjon av en rekke offentlige goder som utdannelses- og helsetjenester. Etterspørselen etter de ulike offentlige godene blir bestemt av den demografiske strukturen, og produksjonen er modellert i henhold til en Leontief produktfunksjon. Dette bestemmer entydig arbeidkraftbehovet i offentlig sektor. Vi antar at arbeidstilbudet i privat sektor (jfr. Lt i ligning (13)) er residualt bestemt som den gjenværende delen av arbeidsstyrken etter at offentlig sektors behov er dekket og vi har justert for en anslått likevektsledighet på 3 prosent. Lønnsnivået i offentlig sektor er gitt av lønnsnivået i privat sektor.
Finanspolitikken blir eksogent bestemt utfra angivelse av skatterater og krav til offentlig fondsutvikling. I simuleringene benyttes skatt på arbeidsinntekt som det primære finanspolitiske instrumentet. Skattesatsene for kapitalinntekt og konsum holdes konstante. Myndighetene står ovenfor en intertemporal budsjettrestriksjon, og vi har spesifisert modellen slik at offentlig formue målt pr. effektivitetsenhet arbeidskraft alltid vil stabiliseres på svært lang sikt. Modellteknisk betyr det at alle fremskrivningene konvergerer mot steady state likevektsbaner.
Nasjonalformue
Nasjonalformuen utenom humankapital er gitt ved summen av offentlig og privat realkapital, finansiell formue i utlandet og petroleumsformuen. Petroleumsformuen er eksogent gitt. Privat realkapital er bestemt av brukerprisen og de eksogene produktfunksjonsparametrene, mens offentlig realkapital er gitt av demografien. Dette impliserer at alle svingninger i offentlig og privat sparing, f.eks. generert av ekspansiv finanspolitikk, slår ut som endringer i utenlandsformuen. Reduksjon i nasjonal sparing medfører redusert utenlands finansformue, noe som igjen reduserer fremtidige importmuligheter og dermed begrenser ressursene som er tilgjengelig for konsum.
Kalibrering
Modellen er kalibrert til norsk økonomi i initialperioden 1989-1993 på bakgrunn av nasjonalregnskapsstatistikk, folketrygdstatistikk og enkelte andre datakilder, jfr. Husum (1998) for en mer omfattende beskrivelse. Tabell 5.2 gir en kortfattet oversikt over enkelte viktige parameterverdier.
Tabell Utvalgte nøkkelparametre og eksogene variable
| Parameter/variabel: | Verdi: |
|---|---|
| Realrente, r | 4 prosent årlig |
| Tidspreferanserate, [theta] | 1 prosent årlig |
| Intertemporal substitusjonselastisitet, [gamma] | 0.25 |
| Intratemporal substitusjonselastisitet, [rho] | 0.80 |
| Rate for arbeidsfremmende teknologisk vekst, [lambda] | 1.36 prosent årlig |
| Arbeidskraftens andel i produktfunksjonen, [alpha] | 0.68 |
| Konsumskatt | 0.145 |
5.5 Alternative fonderingsstrategier - numerisk simulering
Vi analyserer fire scenarier:
Basisscenariet forutsetter en betydelig grad av generell offentlig fondering i den forstand at myndighetene i perioden frem til år 2020 akkumulerer offentlige fordringer som når et nivå på nesten 140% av BNP, men som deretter avtar og stabiliserer seg på et nivå rundt 90% av BNP. Dette nivået er noe lavere enn det som tilsvarer nåverdien av opparbeidede rettigheter til tilleggspensjon. Basisscenariets forutsetninger om offentlig fondsakkumulasjon er som nevnt over konsistent med fremskrivninger av offentlig fondsakkumulasjon i Statens petroleumsfond slik det fremkom i Langtidsprogammet for 1998-2001.
Scenariet basert på permanent offentlig fondering forutsetter en generell offentlig fonderingsstrategi som er noe sterkere enn i basisscenariet. Dette betyr at utviklingen i offentlige finansielle fordringer er sammenfallende med basisscenariet frem til år 2020, men at ytterligere fondering foretas i de påfølgende år slik at man når et nivå rundt 145% av BNP på permanent basis. Dette innebærer at fondet motsvarer nåverdien av opparbeidede rettigheter til tilleggspensjon.
Scenariet basert på individualisert fondering kombinerer offentlig formuesakkumulasjon slik som i scenariet med permanent offentlig fondering med en gradvis overgang til individualisert tilleggspensjon. Alle rettigheter til tilleggspensjon som dagens yrkesaktive har opptjent i den utgående ordningen, blir betjent. Opparbeidelse av ny tilleggspensjon skjer imidlertid på reelle individuelle konti. En aktuarisk sammenheng mellom konto innskudd og utbetalt tilleggspensjon skaper effektivitetsgevinster. Forskjellene mellom scenariene basert på individualisert og offentlig fondering skyldes disse effektivitetsgevinstene som stimulerer arbeidstilbudet.
Formuestæringsscenariet fanger opp effektene av at man hverken lykkes med generell offentlig fondering slik som forutsatt i basisscenariet eller at man gjennomfører reformer av tilleggspensjonen. Vi legger til grunn at offentlige finansielle fordringer blir tært ned mot 0 på lang sikt.
De tre førstnevnte scenariene innebærer alle fondering i betydelig grad, og vi betrakter disse først. I figur 5.1 illustreres utviklingen i offentlige finansielle fordringer som andel av BNP. Vi merker oss at den sterke fordringsakkumulasjonen frem til 2020 er felles for alle de tre scenariene. Etter 2020 avtar (som nevnt over) fordringene i basisscenariet til et nivå rundt 90% av BNP, mens fordringsposisjonen nær 140% av BNP stabiliseres i scenariene basert på permanent offentlig fondering og individualisert fondering. Vi ser at individuell fondering på lang sikt innebærer en noe lavere offentlig fordringsandel av BNP enn offentlig fondering. Dette kommer av at effektivitetsgevinstene ved individualisering gir sterkere vekst i BNP. Som det følger av overstående er den offentlige fordringsposisjonen i absolutte kroner identisk for disse to scenariene.

Figur 5.1 Offentlig finansformue
I analysene er det skattesatsen for arbeidsinntekt som utgjør myndighetenes finansielle instrument. Skattesatsene blir bestemt for å sikre utviklingen i offentlig finansformue slik som det fremgår av figur 5.1. Dette leder til de baner for skatt på arbeidsinntekt som fremgår av figur 5.2. Til tross for fondering av tilleggspensjonene ser vi at skattebanene i alle de tre scenariene øker fra initialnivået. Dette følger av betydelig vekst i offentlige utgifter forårsaket av befolkningsaldring, herunder helsetjenester, uføre- og minstepensjon. Det langsiktige skattenivået varierer forholdsvis sterkt mellom scenariene. Mens basisscenariet gir en skattesats på 56% på lang sikt, gir scenariet med permanent offentlig fondering en langsiktig skattesats på 55% som følge av større offentlige formuesinntekter. Scenariet basert på individuell fondering gir et dramatisk lavere langsiktig skattenivå. Ettersom vridende beskatning erstattes med bidrag til reelle og individuelle tilleggspensjonskonti, er det langsiktige skattenivået ikke høyere enn 48% i dette scenariet. Vi legger forøvrig merke til at basisscenariet har relativt lave skattesatser i en begrenset periode etter 2020. Det er en konsekvens av basisscenariets nedtæring av offentlig finansformue i perioden fra og med 2020, jfr. figur 5.1.

Figur 5.2 Skattesatser (arbeidsinntekt)
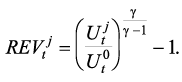
For å måle hvordan velferden for generasjon t påvirkes av scenario j relativt til basisscenariet, beregnes relativ ekvivalent variasjon ( REVtj ):
(16)

Her refererer toppskrift 0 til basisscenariet. Som nærmere forklart av Raffelhüschen og Risa (1995) uttrykker REVtj velferdsendringer som den ekvivalente relative endring i individets full endowment income, med andre ord som prosentvis andel av den netto livsinntekten individet ville ha realisert i basisscenariet hvis vedkommende (hypotetisk) utnyttet hele sin tidsbeholdning til lønnet arbeid. Figur 5.3 illustrerer de intergenerasjonelle velferdsendringene som oppstår ved henholdsvis offentlig- og individualisert fondering. Figuren må tolkes utfra at et gitt år på x-aksen indikerer velferdseffekten til den generasjonen som er 20 år og ved starten av sin aktive livsløpstilpasning i det aktuelle året. Vi observerer små kortsiktige tap og vesentlig større langsiktige gevinster. Relativt til basisscenariet er de kortsiktige velferdstapene på maksimalt 0.02 målt ved REVtj, mens de permanente velferdsgevinstene er på 0.01 ved offentlig fondering og hele 0.04 ved individualisert fondering.

Figur 5.3 Relativ ekvivalent variasjon (relativt til basisscenariet)
Velferdseffektene skyldes hvordan de representative individene i ulike generasjoner endrer sitt konsumnivå og sin arbeid/fritids tilpasning. Konsumendringene målt for representative 40-44 åringer i ulike generasjoner er illustrert i figur 5.4. Vi ser at individuell fondering gir både mindre kortsiktige konsumreduksjoner og større langsiktige konsumgevinster enn offentlig fondering. De langsiktige konsumgevinstene relativt til basisscenariet er ca. 2.5% ved individuell fondering og ca. 2% ved offentlig fondering.

Figur 5.4 Endring i privat konsum (relativt til basisscenariet)
Effektene på aggregert arbeidstilbud er illustrert i figur 5.5. Hvis vi først sammenligner den langsiktige steady-state tilstanden med initialsituasjonen, ser vi at effektivitetsgevinstene ved individualisering gir seg utslag i ca. 2% høyere arbeidstilbud. Det er først og fremst den aktuariske sammenhengen mellom innskudd på individuelle konti og nivå på mottatt tilleggspensjon som skaper denne stimulansen. De langsiktige arbeidstilbudseffektene av offentlig fondering er marginalt positive på lang sikt som følge av at noe lavere beskatning leder til substitusjon i retning av mer arbeid. Fluktuasjonene i arbeidstilbudet i overgangen mellom initialsituasjonen og den nye steady-state tilstanden følger av intertemporal substitusjon i arbeidstilbudet til overgangsgenerasjonene i respons til skatte-endringer over livsløpet. Hvis vi sammenligner figur 5.2 og figur 5.5, ser vi at arbeidstilbudsendringene reflekterer en tendens til økt arbeid i perioder med relativt lav skatt og omvendt.

Figur 5.5 Endring i aggregert arbeidstilbud (relativt til basisscenariet)
Når vi forholder oss til effektene av offentlig og individualisert fondering sett i forhold til vårt basisscenario, er det viktig å presisere at også basisscenariet reflekterer en betydelig grad av generell offentlig fondering (jfr. figur 5.1). For å få frem at basisscenariet således kan betraktes som resultatet av en forholdsvis restriktiv budsjettpolitisk strategi, er det interessant å betrakte et siste scenario hvor man hverken lykkes med generell offentlig fondering eller noen reform av alderstrygdens tilleggspensjon. Utvikling i offentlig finansformue og i beskatning av arbeidsinntekt for dette formuestæringsscenariet er illustrert i figurene 5.6 og 5.7. Som vi ser av figur 5.6, tæres hele den offentlige finansformuen bort. Det følger av figur 5.7 at dette korresponderer med betydelige skattereduksjoner for dagens etablerte generasjoner. Etter 2020 er imidlertid skattebanen permanent høyere enn i basisscenariet siden det offentlige finansieringsbehovet er uendret, mens de offentlige formuesinntektene redusert.

Figur 5.6 Offentlig finansformue

Figur 5.7 Skattesatser (arbeidsinntekt)
Formuestæringsscenariet gir naturlig nok velferdsgevinster for dagens etablerte generasjoner. For dagens relativt unge og de ufødte generasjoner oppstår imidlertid tap. Tabell 5.3 sammenfatter virkningene på langsiktig velferd (målt ved REVtj) og konsum (målt for aldersgruppen 40-44 år) for de tre scenariene som er omtalt over, relativt til formuestæringsscenariet.
Tabell Steady-state effekter på konsum og velferd - relativt til formuestæringsscenariet
| REVtj | Endring konsum (40-44 år) | |
|---|---|---|
| Basisscenario | 0.024 | +4.7% |
| Offentlig fondering | 0.040 | +5.9% |
| Individualisert fondering | 0.059 | +7.4% |
5.6 Avsluttende kommentarer
De numeriske analysene i dette arbeidet har illustrert hvordan fondering av folketrygdens tilleggspensjon gir betydelige velferdgevinster for dagens unge og de fremtidige generasjoner på bekostning av moderate velferdstap for dagens etablerte generasjoner. Velferdsgevinstene varierer avhengig av hvilken fonderingsstrategi som blir valgt. Vårt basisscenario omfatter ingen fundamental reform av pensjonssystemet, men en generell offentlig fondsakkumulasjon i tråd med Langtidsprogrammets langsiktige fremskrivninger. Dette innebærer akkumulasjon av et statlig petroleumsfond som når nesten 140% av BNP i 2020 for deretter å avta til et permanent nivå rundt 90% av BNP. Vi tolker dette scenariet som resultatet av en veldisiplinert budsjettpolitikk i årene som kommer. Relativt til et formuestæringsscenario som illustrerer effekten av at petroleumsfondet ikke blir akkumulert som planlagt, gir dette langsiktige gevinster som blant gjenspeiler seg i nær 5% høyere konsumnivå på lang sikt. Ytterligere gevinster på lang sikt oppnås ved at det offentlige fondet ikke avtar etter 2020, men stabiliserer seg på et nivå i overkant av 140% av BNP slik som i vårt scenario med full generell fondering av tilleggspensjonene. Høyest velferd på lang sikt oppnås i scenariet med individualisert fondering av tilleggspensjonene ettersom reduserte effektivitetstap gir signifikante gevinster sett i forhold til tilfellet med full generell fondering. Sammenlignet med basisscenariet gir scenariet med individualisert fondering 2.5% høyere konsum og 2% høyere arbeidstilbud på lang sikt. Relativt til formuestæringsscenariet er konsumgevinsten hele 7.4%.
Innenfor rammene av vår deterministiske simuleringsmodell som fanger opp representativ adferd innen hver generasjon, vil høyest steady-state velferd oppnåes ved fullstendig aktuariske overføringsordninger. Likevel har de numeriske analysene hele tiden ivaretatt at minstepensjonen skal opprettholdes i henhold til dagens ordning og ikke være gjenstand for individualisering. På et prinsipielt grunnlag kan dette begrunnes utfra behovet for et fordelings- og sosialforsikringselement i alderspensjonen. 9 I vår analyse av en individualisert og aktuarisk tilleggspensjon har vi derfor lagt til grunn at det er ønskelig og nødvendig å kombinere dette med en fast minstepensjon. Slik oppfyller man også en etablert målsetning i den norske alderspensjonen, nemlig at alle skal sikres en viss minstestandard samtidig med at pensjonen skal stå i et rimelig forhold til tidligere inntekt. Ordningen er dessuten konsistent med Verdensbankens anbefaling om å separere alderspensjonens utjevningsfunksjon fra den rene sparefunksjonen.
Fotnoter
Konklusjoner og synspunkter i rapporten står utelukkende for forfatternes regning.
PAYGO systemet benevnes i mange sammenhenger som et utligningssystem.
Implikasjoner av tiltagende tidligpensjonering med særlig vekt på langsiktige intergenerasjonelle virkninger er diskutert av Rogdaberg og Thøgersen (1997).
Numeriske analyser av fondering av folketrygdsystemene i ulike land basert på det som her benevnes generell offentlig fondering, inkluderer Steigum (1993), Richardson (1995) og Lundvik (1996).
Det vises til kapittel 2.1.4 i Langtidsprogrammet (Stortingsmelding nr. 4 1998-2001). Ettersom fremskrivningene i Langtidsprogrammet er utført med en annen modell enn det som benyttes i dette arbeidet, må samligninger mellom våre og langtidsprogrammets fremskrivninger foretas med forsiktighet.
Økt individualisering kan gi opphav til effektivitetsgevinster selv om det ikke kombineres med reelle individuelle konti. Eksempelvis kan man tenke seg et system med simulerte individuelle konti.
Etter vårt skjønn må også analysen av en forhåndsannonsert overgang til fondert tilleggspensjon i Raffelhüschen og Risa (1995) tolkes som en overgang til individualisert fondering.
Når beskatning gir effektivitetstap, kan man i prinsippet benytte offentlig budsjettpolitikk for å gjennomføre en pareto-optimal overgang fra PAYGO finansiering til fondsfinansiering, jfr. Homburg (1990) og Kotlikoff (1995).
Hvis den faste minstepensjonen finansieres på PAYGO basis og justeres i henhold til reallønnsutviklingen, vil den også oppfylle et annet behov, nemlig deling av konjunkturrisiko mellom generasjoner (se Thøgersen, 1998).