2 Markedsmodell for tilbringertjenesten til Oslo lufthavn, Gardermoen
2.1 Etterspørselen etter reisemidler til og fra Oslo Lufthavn
I fortsettelsen vil Oslo Lufthavn kalles OSL. For å kunne forklare de transportvalg flypassasjerer gjør for å komme til og fra OSL, er det nødvendig å vite i detalj hvor passasjerene kommer fra eller skal til. Dette vil ikke bli gjort her og vi vil late som om alle reisende kommer fra eller skal til et sentralt punkt i Oslo, for eksempel Oslo S.
De reisende kan inndeles i to trafikantkategorier:
forretningsreisende,
private reisende.
Forskjellen på reisende i de to kategoriene er at forretningsreisende ikke betaler for reisen selv, mens de private reisende gjør dette direkte med unntak av charterreisende hvor betalingen for tilbringertjenesten kan være en del av totalprisen for reisen.
I fortsettelsen lar vi fotskriften s betegne trafikantkategori; s=1 for forretningsreisende og s=2 for private reisende.
De reisende forutsettes å kunne velge mellom følgende transportalternativ:
Flytog
Buss,
Drosje,
Privatbil,
Andre tog enn flytog gjennom Romeriksporten (Inter-City tog, lokaltog).
Vi vil forutsette at en drosjereise skjer sammen med to andre (for eksempel i form av reise med en såkalt samletaxi). Føreren av privatbilen er selv reisende til eller fra OSL. Det er ingen andre i bilen og bilen blir parkert på OSL når den reisende flyr fra OSL.
Spesifikasjonen av trafikantkategorier, start- og endepunkter for reisen og transportalternativ, er ikke så fullstendig som en detaljert empirisk analyse ville ha krevd. Formålet med dette vedlegget er imidlertid å skissere noen prinsipielle problemstillinger, samt illustrere disse med noen beregninger.
Vi vil anta at trafikantene velger det reisemiddel som gir dem størst nytte.
La Uis være nytten til en trafikant i kategori s, ( s=1,2), av å velge reisemiddel i, ( i=1,2,..,5).
La videre ti være reisetiden og la pi være prisen for en reise med reisemiddel i. Vi lar ys betegne inntekten til en trafikant i kategori s. Vi vil forutsette at Uis kan spesifiseres som

Vi ser at nytten er forutsatt å være en lineær funksjon av inntekt minus prisen på en reise og reisetiden (γs* er en konstant). Nyttefunksjonen er egentlig en indirekte nyttefunksjon. Med det menes at det er den maksimale nytten til personen, gitt at reisemiddel i er det optimale valget og gitt at individet for øvrig har innrettet seg optimalt. Den alternativ - spesifikke indirekte nytten er lavere jo høyere prisen pi er og jo lengre reisetiden er. Konstantleddet avhenger både av type reisemiddel og trafikantkategori. Dette leddet er også avhengig av priser på alle de goder som individet ellers forbruker. Årsaken til denne siste avhengigheten er at den er en konsekvens av at vi har spesifisert en indirekte nyttefunksjon. εis er en stokastisk variabel som tar vare på forhold som påvirker individets preferanser for reisemidler og som ikke er observerbar for analytikeren. Vi vil anta at denne stokastiske variabelen er ekstremverdifordelt3 med forventning null og standardavvik σs. Jo større σs er, desto mer heterogen er befolkningen med hensyn til preferanser for reisemidler, gitt inntekt, pris og reisetid. Vi vil anta at εis er uavhengig fordelt over individer og reisemidler.
Ved å dividere med σs på begge sider av likhetstegnet i (1), får vi

Forutsetningen om at individet velger det reisemiddel som gir størst nytte, kan uttrykkes formelt ved max [V1s,V2s,V3s,V4s,V5s]. For analytikeren er ikke Vis observerbar siden εis er en stokastisk variabel, ukjent for analytikeren, men kjent for individet selv. Analytikeren må derfor avlede sannsynligheten for at individet velger reisemiddel i. Vi skal gjøre dette på en litt uvanlig måte, se Manski ogMcFadden (1981) for flere detaljer og andre måter å utlede valgsannsynlighetene på.
La Ws= max [V1s, V2s, V3s, V4s, V5s]. Mens Vis har tolkning som den indirekte nyttefunksjonen, gitt at reisemiddel i er valgt, kan Ws tolkes som den indirekte nytte uten at en betinger med hensyn på hvilket reisemiddel som er valgt. Siden εis, og dermed Vis, er ekstremverdifordelt, vil også Ws være ekstremverdifordelt. En kan da vise, se for eksempel Ben-Akiva og Lerman (1985), side 105, at Ws kan uttrykkes ved

hvor wis(pi) = α0is+βs (ys - pi) - γsti. εs er ekstremverdifordelt med forventning null og standardavvik σs, og D over likhetstegnet betyr «fordelt som».
Forventningen til Ws, E[Ws], er gitt ved

Forventningen til Ws kan tolkes som at vi har tatt bort all uobserverbar heterogenitet fra Ws. E[Ws] kan tolkes som den indirekte nytten til et representativt individ. Ett individ vil enten bruke et reisemiddel i eller et annet reisemiddel. Reisemiddelet er et diskret gode og et individs konsum av reisemiddel i kan formelt uttrykkes som en variabel som tar verdien 1 hvis reisemiddel i er valgt og null ellers. Den andelen i befolkningen som velger reisemiddel i, vil være lik forventningen til denne diskrete variabelen (som altså tar verdien 1 hvis i er valgt og null ellers) i befolkningen. Det representative individet vil måtte fange opp hvordan befolkningen fordeler seg på reisemidler, og for det representative individet er derfor forbruket av diskrete goder ikke karakterisert ved 0/1 verdier, men ved andeler i befolkningen som benytter de ulike reisemidlene. La ϕis være den andel av type s i befolkningen som velger reisemiddel i. Vi kan da anvende Roy's identitet på den indirekte nyttefunksjonen til det representative individet, E[WS], noe som ifølge (4) innebærer:

Uttrykket til høyre i (5) viser at ϕis er en sannsynlighet forenlig med en multinomisk LOGIT modell. ϕis gir sannsynligheten for at reisemiddel i vil bli valgt av et individ som har den observerbare indirekte nytten wis, dvs av et individ med inntekt ys, som må betale pi for reisen og hvor reisen tar titidsenheter.
Vi ser av (5) og av definisjonen av wis at leddet exp(βsys) kan forkortes bort i uttrykket til høyre i (5). Vi definerer derfor vis= α0is- βspi- γsti, og kan skrive (5) som

Merk at Σiϕis=1 for s=1,2.
Av (5) og uttrykket for vis følger

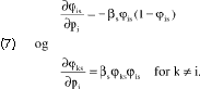
Lar vi elastisiteten av ϕis med hensyn på pi være lik Eiis og av ϕks med hensyn på pi være Ekis er disse elastisitetene gitt ved

Eiis er negativ som betyr at dersom prisen på reisemiddel i går opp, så reduseres sannsynligheten for at dette reisemiddelet blir valgt. Sannsynlighetene for at andre reisemidler skal bli valgt, øker.
Fra (6) får vi:

Likning (9) sier at en lavere verdi på βs, dvs en mindre negativ effekt av pris på nytten vis, vil øke etterspørselen etter reisemiddel i blant s-type passasjerer så sant prisen, pi, ved bruk av dette reisemiddelet i er høyere enn det veide gjennomsnittet av pris på transporttjenester ps. Merk at dette veide gjennomsnittet av transportpriser er beregnet med transportandelene blant s-type passasjerer som vekter. Dersom de to typer trafikanter fordeler seg ulikt på transporttilbudene, vil gjennomsnittsprisen være forskjellig for de to kategoriene av trafikanter. Vi merker oss at transportalternativ med de høyeste prisene vil få en økt etterspørsel rettet mot seg når βs går ned.
La eiis= -Eiis. eiis er følgelig tallverdien av etterspørselselastisiteten gitt i (8). Jo lavere eiis er, desto mindre varierer etterspørselen etter reisemiddel i med pris. Jo lavere eiis er, desto mindre prisfølsom er etterspørselen etter reisemiddel i blant s-type passasjerer.
Fra (8) og (9) finner vi at

Fra (10) ser vi at jo mindre βs er, desto mindre prisfølsom vil de dyreste transportalternativene helt sikkert være i etterspørselen, mens de billigste transportalternativene kan bli mer prisfølsom i etterspørselen.
Ved å differensiere vis= α0is- βspi - γsti, ser vi at vi får: Δ vis= - βsΔpi- γsΔti.
Setter vi Δ vis=0, og ordner det gjenværende uttrykket, får vi
(11) Δpi= -(γs/ βs) Δti.
Reduseres reisetiden ti med ett minutt, Δti= -1, kan den reisende i følge (11) betale (γs/ βs) kr. for denne reduksjonen og likevel oppnå den samme observerbare nytten. Dersom pi er målt i kroner (pr. reise) og ti i minutter (pr. reise), gir (γs/ βs) uttrykk for betalingsviljen i kr. pr. minutt for reduksjoner i reisetid. Multipliserer en (γs/ βs) med 60, får en betalingsvilje i kr. pr. time.
Virkningen på etterspørselen av en marginal endring i γs er:

Tolkningen av (12) er at jo høyere γs er, dvs jo høyere tidsreduksjoner på en reise er verdsatt til, desto høyere vil etterspørselen være for de transportalternativ som bruker minst tid.
Diskusjonen ovenfor understreker hvor viktig presise og troverdige estimat på βs og γs er for beskrivelsen av etterspørselssiden i transportmarkedet.
I «Transportanalysen» (1992) som St.prp. nr. 90 (1991-92) bygget på, ble sannsynlighetene for valg av reisemidler beskrevet ved en multinomisk LOGIT model, og med en struktur lik den som er vist i (6) og med en spesifikasjon av vis som beskrevet ovenfor. I spesifikasjonen av alternativer i «Transportanalysen» opererte en enten med tog som det eneste kollektive reisemiddelet, eller buss. Modellen ble derfor estimert i to alternativer: Med tog som kollektivt reisemiddel eller buss. Modellen ble dels estimert på data fra en preferanseundersøkelse blant flypassasjerer på Fornebu i 1991 og dels på data fra en reisevaneundersøkelse blant flypassasjerer på Arlanda i 1990. I preferanseundersøkelsen på Fornebu i 1991 estimerte en brøken (γs/ βs). Basert på det kombinerte datamaterialet fra Fornebu (1991) og Arlanda (1990) estimerte en βs og γs hver for seg, gitt verdien på (γs/ βs) anslått på data fra preferanseundersøkelsen på Fornebu i 1991. Ingen av stedene gikk det tog fra og til flyplassen. Den statistiske tolkningen av resultatene fra et slikt kombinert og hypotetisk datamateriale er ikke enkel. Dette tolkningsproblemet og andre problemer ved den estimeringen som ble gjort, skal vi la ligge her.
I det alternativet som hadde tog som kollektivt reisemiddel, opererte «Transportanalysen» med de estimater som er vist i Tabell 2.1.
Tabell 2.1 Estimater fra Transportanalysen brukt i St .prp. nr. 90 (1991-92)
| Forretningsreisende, s=1 | Private reisende, s=2 | |
|---|---|---|
| βs | 0,0172 | 0,0220 |
| γs | 0,0316 | 0,0286 |
| (γs/βs) 60; 1992 kr. pr. time | 110 | 78 |
Estimatene på βs og (γs/βs) er overraskende like for forretningsreisende og private reisende, og virker derfor lite troverdige. I St.prp. nr. 90 (1991-92) ble det antatt at en kunne ta høye priser på bruk av flytoget i forhold til prisene på konkurrerende transporttjenester (nytt transportkonsept, antatt hurtig forbindelse). Som vist i (10) betyr dette at etterspørselen etter reiser med flytoget da vil bli mindre prisfølsom jo lavere βs er.
Det er bare estimeringer på nye datamaterialer, basert på observasjoner av faktiske reiser mellom Gardermoen og Oslo, som kan gi nye og troverdige anslag på parametrene i modellen. Vårt formål er imidlertid å vise den markedsøkonomiske tolkningen av transportmodellen. For at de empiriske illustrasjonene ikke skal bli for merkelige, har vi valgt å endre estimatene fra «Transportanalysen» på følgende måte:
βs er lik 0,02 for s=1 (forretningsreisende) og lik 0,04 for s=2 (private reisende),
γs er lik 0,08 for s=1 og lik 0,01 for s=2,
det betyr at betalingsviljen for tidsreduksjoner, (γs/βs)60, er lik 240 (1998) kr. pr. time for s=1 og 15 kr. pr. time for s=2.
Videre har vi i tabell 2.2 kalibrert α0is slik at gjennomsnittet av ϕis over trafikantkategoriene stemmer med de observerte markedsandelene for de 5 transporttjenestene jan-apr 1999. I denne kalibreringen har vi sett bort fra at α0is varierer med s.
Tabell 2.2 Kalibrering av α0is og gjennomsnittet av observerte markedsandeler jan-apr 1999.
| Transporttjeneste | Markedsandel i gjennomsnitt våren 1999, prosent | Kalibrert verdi på α0is |
|---|---|---|
| 1, Flytog | 36 | 2.7 |
| 2, Buss | 21 | 2.1 |
| 3, Samletaxi | 7 | 6.4 |
| 4, Privatbil | 32 | 3.2 |
| 5, Andre tog enn flytog | 4 | Null |
I kalibreringen i tabell 2.2 har vi anvendt modellen i (6). Verdiene på priser (pi) og reisetider (ti) brukt i denne kalibreringen er basert på takster og observasjoner våren 1999. Merk at for tog betyr det en lengre reisetid (33 minutter fra Oslo S til Gardermoen med flytoget) enn etter at Romeriksporten åpnet den 22.8. 1999 (stipulert til 19 minutter). Årsaken til at α0is=0 for i =5 er at det er bare fire av fem α0is for hver s som er identifiserbar. Vi har valgt å benytte alternativ 5 som referansealternativ. Det betyr at differansen α0is- α05s er identifiserbar.
2.2 Transportørenes strategiske tilpasning
I en ren og ikke regulert markedsløsning vil vi forutsette at transportørene fastsetter prisene på sine transporttilbud slik at den forventete profitten blir størst mulig, gitt de prisene som de andre har fastsatt og gitt den infrastruktur som er tilgjengelig.
Denne infrastrukturen består av kjøreveg, tunneler, stasjonsområder, veger og bruer og er et resultat av de investeringer som er foretatt tidligere. Den maksimale profitten som transportørene kan oppnå i markedet, bestemmer avkastningen på de investeringer som er gjort i infrastruktur og i rullende materiell.
I St.prp. nr. 90 (1991-92) ble det antatt at billettinntektene fra driften av flytoget ville være i stand til å dekke driftskostnadene, samt tilbakebetale den gjelden som var knyttet til investeringer i kjøreveg, tunneler, stasjonsområder mv på strekningen Oslo S-Eidsvoll og i flytog, og dessuten gi denne investeringen en realavkastning på 7% pr. år. Denne totale jernbaneinvesteringen er på om lag 10-11 mrd. 1998-kr. I dette kapitlet vil vi undersøke om den bedriftsøkonomiske lønnsomheten kan bli som lovet i St.prp. nr. 90 (1991-92), og hvis ikke, hvor stort dekningsbidrag Gardermobanen kan bidra med når baneselskapet maksimerer profitten, gitt den konkurransesituasjon selskapet nå er i.
Dersom det ikke er samsvar mellom den planlagte kapasiteten og den kapasitetsutnyttingen som maksimerer profitten, kan den profittmaksimerende tilpasningen innebære at den tekniske kapasiteten i jernbaneanleggene ikke blir fullt utnyttet. Ved å sette en lavere pris enn den prisen som maksimerer profitten, kan selskapet oppnå en større markedsandel enn den markedsandelen som følger av maksimal profitt. Profitten vil da pr. definisjon bli lavere og bidraget til dekning av den gjelden som er knyttet til investeringene vil bli lavere. Mer av de foretatte investeringene må da betales av skattebetalerne. I avsnitt 3 drøfter vi fastsetting av billettpriser under ulike forutsetninger om hvor mye det koster å la skattebetalerne betale deler av de investeringer som utbyggingen av Gardermobanen har medført. En slik prisfastsetting kaller vi priser fastsatt på samfunnsøkonomiske premisser.
I dette avsnitt 2 skal vi derimot drøfte en ren markedsløsning og hvor alle aktørene setter priser slik at forventet profitt blir maksimert, gitt den konkurransesituasjon de er i. Dersom ingen har grunn til å angre på de prisene som de har satt, gitt de prisene som de andre har satt, er markedet i likevekt. Denne markedsformen kalles Betrand-konkurranse og likevekten kalles en Bertrand-likevekt. Markedsformen er et eksempel på et ikke-kooperativt og kortsiktig spill.
De fem ulike transportørkategoriene vil bli behandlet som om det er en beslutningstaker for hver kategori. For flytog (Gardermobanen AS) og andre tog (NSB BA) er dette i overensstemmelse med virkeligheten. Gardermobanen AS eier Romeriksporten og vil kreve opp en trafikeringsavgift fra NSB BA for de tog som NSB BA sender gjennom tunnelen. Vi vil forutsette at Gardermobanen AS ikke utnytter sin monopolmakt og tar en avgift over det nivå som er strengt nødvendig for vedlikehold og flyt av tog gjennom tunnelen. For private biler er den strategisk tilpassende aktøren eieren av parkeringsplassene på Gardermoen (Oslo Lufthavn, Gardermoen). For samletaxi er forutsetningen om en beslutningstaker ikke helt i samsvar med virkeligheten i og med at det er flere drosjeselskaper i Oslo-området, for eksempel Oslo Taxi og Norges Taxi. For buss er det enda større forskjell mellom antall faktiske aktører og forutsetningen her om en beslutningstaker. Både for samletaxi og buss må vi derfor anta at det skjer en koordinering av prissettingen (noe som for øvrig ikke er forenlig med konkurranseregler i Norge).
La E[πi] være den forventete profitten til transportør i. La videre Ns være antall reisende i de to trafikantkategoriene. Vi lar ci stå for den kortsiktige enhetskostnaden i kr. pr. reise som transportør i har for å bringe en reisende fra/til Gardermoen. E[πi] er da gitt ved

I (13) har vi markert at ϕis avhenger av prisene på alle fem transporttilbud. Denne avhengigheten fremgår for øvrig av (6) og definisjonen av vis.
Førsteordensbetingelsen for maksimum av forventet profitt for transportør i, gitt prisene til de andre transportørene, finner vi ved å maksimere πi med hensyn på pi. Vi får da

Ved å definere nis= Nsϕis/Σs Nsϕis og bruke eiis=-Eiis, se likning (8) ovenfor, kan (14) skrives som

nissier hvor stor andel det forventete antall av flypassasjerer av type s utgjør av det totale forventete antall flypassasjerer som velger reisemiddel i, mens eiis er tallverdien av etterspørselselastisiteten blant s-type passasjerer som velger reisemiddel i. Likning (15) sier da at den relative profittmarginen, (pi-ci)/pi, også kalt Lerner-indeksen, skal være lik den inverse verdien av det veiete gjennomsnittet av tallverdiene av etterspørselselastistetene rettet mot transportør i. Gjennomsnittet er tatt over de to typer av reisende. En prisregel liknende den i (15) er drøftet i Tirole (1988) og i Anderson et al (1992).
Vi ser av (15) at jo mindre prisfølsom etterspørselen er, dvs jo mindre eiis er, desto større blir profittmarginen. Vi ser også at jo større andel de minst prisfølsomme passasjerene utgjør av transportørens totale reisende, desto større blir profittmarginen. Lave verdier på βs og et høyt antall reisende med den laveste β, for eksempel forretningsreisende, kan gi en høy profittmargin.
Siden ϕis avhenger av alle fem priser (se (13)), gir (14) et likningsystem med 5 likninger i de fem ukjente prisene, p1,,,p5. Dette likningssytemet er løst ved hjelp av programmet Matematica.
I Tabell 2.3 viser vi de beregnete priser pr. reise i Bertrand likevekten, gitt at β1=0.02, β2=0.04, γ1=0.08 og γ2=0.01. Videre har vi antatt at N1=N2=6 millioner passasjerer. Vi vil senere vise virkningen på likevektsprisene av andre verdier på disse nøkkelstørrelsene. For å kunne regne ut prisene må vi kjenne kostnadene ci. Disse er basert på informasjoner vi har hentet inn fra ulike kilder og kan selvsagt avvike fra de sanne kostnadene. For å beregne mer troverdige priser trengs mer detaljert informasjon om enhetskostnadene pr. reise hos de ulike transportørene.
Kostnadene er ikke snevert definerte korttids-marginale kostnader. Ved mindre enn full kapasitetsutnytting kan slike kostnader være lik eller nær null for tog og buss. En prissetting basert på slike kostnader ville ikke være i stand til å dekke selv variable kostnader som lønn til togpersonell, bussjåfører og administrasjon. Kostnadene bør derfor tolkes som variable enhetskostnader. De eneste kostnadene som da er holdt utenfor, er kapitalkostnader. Profittmarginen viser derfor det bidrag til dekning av kapitalkostnader som driften kan bidra med. For samletaxi er enhetskostnaden kostnaden pr. reise pr. passasjer i en bil hvor det er tre passasjerer. For privatbil, hvor parkeringshuset er den strategiske aktøren, er enhetskostnaden den kostnaden som bilføreren har for å komme til/fra Gardermoen. Den variable enhetskostnaden ved å parkere på parkeringsplassene på Gardermoen er satt til null.
Tabell 2.3 Markedsandeler og priser på transporttjenester i en Bertrand-likevekt (hvor β1=0.02, β2=0.04, γ1=0.08 og γ2=0.01; N1=N2=6 millioner passasjerer). 1998 kroner.
| Tran- sportør | Reisetid, ti, min. | Enhets-kost, ci, kr. pr. reise | Pris, pi, kr. pr. reise | Markedsandeler, ϕis, prosent | Profitt, E[πi], mill. kr. pr. år. | ||
|---|---|---|---|---|---|---|---|
| Forretningsreise | Privatreise | Totalt | |||||
| 1, Flytog | 20 | 55 | 108 | 40.4 | 46.1 | 43.2 | 275 |
| 2, Buss | 45 | 40 | 75 | 4.9 | 25.5 | 15.2 | 64 |
| 3,Taxi | 45 | 140 | 220 | 40.0 | 0.4 | 20.2 | 193 |
| 4, OSL parkhus | 40 | 60 | 98 | 14.7 | 26.6 | 20.6 | 94 |
| 5, Andre tog | 25 | 65 | 90 | 0 | 1.4 | 0.7 | 2 |
| Sum | 100 | 100 | 100 | 628 | |||
I Tabell 2.3 viser vi utfallet av et Bertrand-spill i markedet for tilbringertjenesten til Gardermoen og hvor reisetiden med flytoget er lik den som gjelder når Romeriksporten er åpnet. Sammenlikner vi tabellene 2.2 og 2.3 er forskjellen at i Tabell 2.2 er reisetiden med flytoget hva den var våren 1999, omtrent 33 minutter, mens den i Tabell 2.3 er 20 minutter. Fra uttrykket for ϕis følger ganske direkte at etterspørselen etter flytoget øker når reisetiden med flytoget kuttes. Denne endringen på etterspørselssiden slår da også i gjennom i markedsspillet, i og med at vi ser at markedsandelen til flytoget går opp fra 36 til 43.2 prosent.
Av Tabell 2.3 ser vi at prisen pr. reise med flytoget er beregnet til 108 kr. pr. reise ( 1998 kr; alle beløp heretter er i 1998 kr). Dersom denne prisen skal sammenliknes med en faktisk pris i markedet, må vi ta hensyn til at i beregningen her har vi sett bort fra andre start- og endepunkt for togreisen enn Oslo S og fra ulike rabattordninger. I virkeligheten stopper og starter flytoget ved flere stasjoner (Asker, Lysaker, Skøyen, Nasjonalteateret, Oslo S, Lillestrøm og Gardermoen) og det kan være ulike familierabatter. Prisen på 108 kr. må derfor sammenliknes med en gjennomsnittspris i det faktiske markedet og prisen på 108 kr. vil svare til om lag 120 kr. fra Oslo S.
Flytoget har en høy markedsandel både blant forretningsreisende (40.4%) og private reisende (46.1%). I gjennomsnitt gir dette en markedsandel på 43.2%. Blant forretningsreisende har samletaxi en høy markedsandel som skyldes de forretningsreisendes verdsetting av tid og transportmåte (høye verdier på (γs/βs) og α0is), og det faktum at de ikke betaler for reisen selv (lav verdi på βs). Ingen forretningsreisende tar andre tog enn flytoget og blant private reisende er det praktisk talt ingen som tar samletaxi. Den samlete kollektivandelen, definert som summen av andelen for flytog, buss og andre tog, er lik 59.1%.
Profitt-kolonnen viser at gitt forutsetningene i Tabell 2.3 er den samlete profitten i dette transportmarkedet på 628 mill. kr. pr. år. Antar en at levetiden i gjennomsnitt er på 20 år for investeringer i infrastruktur og rullende materiell, samt krever at realavkastningen på investeringen skal være på 7% pr. år, så kan en årlig profitt på 628 mill. kr., betjene en gjeld knyttet til en investering på 6 653 mill. kr.
Profitten til flytoget er beregnet til 275 mill. kr. pr. år. Med et krav til realavkastning på 7% og en levetid på investeringene på 20 år, innebærer denne profitten at en kan betjene en gjeld på 2 917 mill. kr 4. Investeringene i Gardermobanen beløp seg til 10 023 mill. kr. pr. utgangen av 1998. Dette beløpet inkluderer investeringen knyttet til forlengelsen av Gardermobanen fra Gardermoen til Eidsvoll og er også inklusive finanskostnader påløpt i byggeperioden fra 1993 til utgangen av 1998. (I tillegg har Riksrevisjonen pekt på at det bør trekkes inn en merverdiavgift på 742 mill. kr. og en grunnervervskostnad på 165 mill. kr). Av beløpet på 10 023 mill. kr. utgjør de rene overskridelsene i prosjektet 1743 mill. kr. (1300 mill. kr. i Romeriksporten og 443 mill. kr. for å knytte sammen Gardermobanen og NSBs hovedbane). I beløpet på 10 023 mill. kr. er inkludert 1 000 mill. kr. som ble bevilget til prosjektet underveis til dekning av ikke forventete utgifter. Disse påståtte ikke forventete utgiftene var varslet som en mulig prosentandel (+20%) av investeringsrammen allerede i St.prp.nr. 90 (1991-92) og må tolkes som å være en del av den varslede investeringskostnaden.
I St.prp.nr. 90 (1991-92) ble det konkludert med at investeringer i infrastruktur knyttet til dobbeltsporet bane fra Oslo til Eidsvoll, samt investeringer i rullende materiell ville gi en realavkastning på 7% og ville kunne finansieres helt og holdent gjennom billettinntekter. I så fall vil dette være en unik investering også i verdenssammenheng. Det er få eller ingen investeringer i tog og infrastruktur som har oppnådd dette. Varselklokker burde ha ringt både hos de som sto for kalkylene (NSB), hos de som kvalitetssikret kalkylene (ØKAN, en ekspertgruppe oppnevnt av Samferdselsdepartementet) og hos politikerne som foretok beslutningene.
En årlig profitt for flytoget på 275 mill. kr. og en betjening av en gjeld på 2 917 mill. kr. betyr at bare en andel på 2917/10023= 0.291 kan bli betalt av billettinntektene når transportøren gjør så godt han kan og maksimerer den forventete profitten i dette transportmarkedet. Det betyr at 29.1 prosent av investeringen på 10 023 mill. kr. kan betales av de reisende og gi en realavkastning på 7% og at 70.9 prosent må betales av skattebetalerne. Siden de som foretok kalkylene trolig ikke kunne forutse de rene overskridelsene på 1 743 mill. kr., kan en argumentere for at kalkulatøren og kvalitetssikrerne bør bedømmes ut fra en investeringskostnad som er eksklusive denne overskridelsen på 1 743 mill. kr. I så fall kan 35.1 prosent av gjelden betjenes via billettinntekter og gi den lovede avkastningen på 7 %. Fremdeles må så pass mye som 64.9 prosent av gjelden betjenes av skattebetalerne. Det bedriftsøkonomiske regnestykket i St.prp. nr. 90 (1991-92) må sies å ha vært en skivebom. 5
Det er interessant å merke seg at Oslo Lufthavn, Gardermoen som aktør i markedet for tilbringertjeneste gjennom eie av parkeringsområdet på Gardermoen, kan tjene nærmere 100 mill. kr. pr. år. Merk at enhetskostnaden er kostnaden som privatbilisten har. Parkeringsplassene er antatt å ha null variable kostnader. Med en levetid på 20 år (som trolig er langt lavere enn den reelle levealderen) kan en slik profitt alene betjene en gjeld på om lag 1 000 mill., og derunder gi en realavkastning på 7% på investeringene i parkerings-hus/areal. Denne gjeldsbetjeningen utgjør litt under 10% av gjelden knyttet til den samlete investeringskostnaden for flyplassen.
Verdiene på βs, γs, og α0is er selvsagt usikre, likeledes er anslagene på antall reisende i de ulike kategorier, Ns, og på enhetskostnadene. Vi har derfor beregnet likevektspriser og markedsandeler for ulike verdier på en del av disse nøkkelparametrene.
Beregningene er vist i tabellene 2.4-2.9.
Tabell 2.4 Markedsandeler og priser på transporttjenester i en Bertrand-likevekt ( hvor β1=0.02, β2=0.02, γ1=0.08 og γ2=0.08; N1=N2=6 millioner passasjerer). 1998 kroner. «Forretningsreisende og private reisende er like»
| Tran- sportør | Reisetid, ti, min. | Enhets-kost, ci, kr. pr. reise | Pris, pi, kr. pr. reise | Markedsandeler, ϕis, prosent | Profitt, E[πi], mill. kr. pr. år. | ||
|---|---|---|---|---|---|---|---|
| Forretningsreise | Privatreise | Totalt | |||||
| 1, Flytog | 20 | 55 | 174 | 21.5 | 69.3 | 45.3 | 647 |
| 2, Buss | 45 | 40 | 94 | 6.7 | 8.2 | 7.5 | 49 |
| 3,Taxi | 45 | 140 | 240 | 53.3 | 3.3 | 28.3 | 340 |
| 4, OSL parkhus | 40 | 60 | 121 | 18.5 | 17.8 | 18.2 | 133 |
| 5, Andre tog | 25 | 65 | 116 | 0 | 1.4 | 0.7 | 4 |
| Sum | 100 | 100 | 100 | 1173 | |||
I Tabell 2.4 er alle reisende forutsatt å oppføre seg som om de er forretningsreisende, noe som innebærer at verdien av tid øker for de private reisende fra kr. 15 pr. time til kr. 240 pr. time. I dette tilfellet øker markedsandelen bare lite grann for flytoget, fra 43.3% i Tabell 2.3 til 45.3% i Tabell 2.4. En grunn til at økningen er såpass beskjeden er at prisen øker ganske kraftig fra kr. 108 pr. reise i Tabell 2.3 til kr. 174 i Tabell 2.4. En viktig årsak til denne kraftige prisøkningen er at for de private reisende reduseres βs ganske kraftig samtidig som verdsettingen av tid (γs/βs) øker ganske mye. I følge (9) og (12) vil da etterspørselen etter et høyt priset alternativ som de private reisende benytter mye, nemlig flytoget i følge Tabell 2.3, også øke kraftig. Betalingsviljen blant de private reisende for å ta flytoget blir kraftig økt. For forretningsreisende skjer det ingen endring i parameterene i nyttefunksjonen. Den endringen som de blir utsatt for, er økte priser på transporttjenestene. De forretningsreisende øker bruken av taxi på bekostning av flytoget. Andelen blant de forretningsreisende som tar flytoget, blir omtrent halvert.
Den økte bruken av flytoget blant de private reisende skjer på bekostning av en redusert bruk av buss og i en viss grad privatbil.
Selv om flytogets markedsandel øker bare med 2 prosentpoeng, innebærer den kraftige prisøkningen at profitten til flytoget øker kraftig, fra 275 mill. kr. til 647 mill. kr. Gjeldsbetjeningen øker dermed fra 29.1 prosent til 68.4 prosent.
Å gjøre alle om til forretningsreisende er selvsagt ganske urealistisk, og beregningen viser derfor først fremst hvordan markedslikevekten endrer seg med en slik ekstrem forutsetning. Vi ser at alle transportørene tjener på at alle reisende blir gjort om til forretningsreisende, bortsett fra bussene.
Som vist i Tabell 2.1 var det liten forskjell med hensyn til parametrene i nyttefunksjonen for forretningsreisende og private reisende i «Transportanalysen» (1992). Å gjøre alle private reisende om til forretningsreisende er kanskje å gå noe langt, selv i forhold til denne «Transportanalysen». I Tabell 2.5 viser vi derfor virkningene av en mer moderat endring i forhold til i Tabell 2.3. Vi lar β1=β2= 0.02 som i Tabell 2.4, men vi lar γ1=0.08 og γ2=0.02. Som i Tabell 2.3 og Tabell 2.4 er da (γ1/ β1)60=240 kr. pr. time, men (γ2/ β2)60=30 kr. pr. time.
Tabell 2.5 Markedsandeler og priser på transporttjenester i en Bertrand-likevekt ( hvor β1=0.02, β2=0.02, γ1=0.08 og γ2=0.01; N1=N2=6 millioner passasjerer). 1998 kroner. "Forretningsreisende og private reisende har samme prisfølsomhet i nyttefunksjonen, men ulik verdsetting av tid."
| Tran- sportør | Reisetid, ti, min. | Enhets-kost, ci, kr. pr. reise | Pris, pi, kr. pr. reise | Markedsandeler, ϕis, prosent | Profitt, E[πi], mill. kr. pr. år. | ||
|---|---|---|---|---|---|---|---|
| Forretningsreise | Privatreise | Totalt | |||||
| 1, Flytog | 20 | 55 | 141 | 32.2 | 48.9 | 40.5 | 418 |
| 2, Buss | 45 | 40 | 98 | 4.8 | 17.1 | 11.0 | 77 |
| 3,Taxi | 45 | 140 | 231 | 49.5 | 6.2 | 27.8 | 303 |
| 4, OSL parkhus | 40 | 60 | 124 | 13.5 | 26.6 | 20.1 | 154 |
| 5, Andre tog | 25 | 65 | 116 | 0 | 1.2 | 0.6 | 4 |
| Sum | 100 | 100 | 100 | 956 | |||
Sammenlikner vi Tabell 2.4 og 2.5 ser vi at ved kun å redusere de private reisendes verdsetting av tid, riktignok ganske kraftig, går profitten til flytoget ned fra 647 mill. kr. til 418 mill. kr. Gjeldsbetjeningen går ned fra 68.4% til 53.1%. Dette resultatet viser hvor avhengig anslagene på priser, markedsandeler og profitt er av verdiene på parametrene i transportmodellen.
Tabell 2.6 Markedsandeler og priser på transporttjenester i en Bertrand-likevekt ( hvor β1=0.04, β2=0.04, γ1=0.08 og γ2=0.01; N1=N2=6 millioner passasjerer). 1998 kroner. "Forretningsreisende mer lik de private reisende".
| Tran- sportør | Reisetid, ti, min. | Enhets-kost, ci, kr. pr. reise | Pris, pi, kr. pr. reise | Markedsandeler, ϕis, prosent | Profitt, E[πi], mill. kr. pr. år. | ||
|---|---|---|---|---|---|---|---|
| Forretningsreise | Privatreise | Totalt | |||||
| 1, Flytog | 20 | 55 | 102 | 45.7 | 46.9 | 46.2 | 261 |
| 2, Buss | 45 | 40 | 71 | 10.0 | 24.0 | 17.0 | 63 |
| 3,Taxi | 45 | 140 | 173 | 24.8 | 2.1 | 13.5 | 53 |
| 4, OSL parkhus | 40 | 60 | 93 | 19.5 | 26.0 | 22.8 | 90 |
| 5, Andre tog | 25 | 65 | 90 | 0 | 1.0 | 0.5 | 2 |
| Sum | 100 | 100 | 100 | 469 | |||
I Tabell 2.6 har vi gått den motsatte veien fra Tabell 2.4 og 2.5 og gjort de forretningsreisende mer lik de private reisende. β1 er økt til verdien på β2. Verdien av tid er uendret for de private reisende, mens den er redusert til det halve, fra kr. 240 pr. time til 120 kr. time, for de forretningsreisende. Den viktigste endringen som skjer, er at de forretningsreisende reduserer kraftig bruken av det dyreste reisemiddelet, taxi. Denne endringen er i samsvar med hva en ville vente ut fra (9) foran. Markedsandelen blant de forretningsreisende for flytoget, buss og privatbil øker på bekostning av taxi. Bortsett fra en klart lavere profitt for taxiene, skjer det små endringer i de andre transportørenes profitt.
Tabell 2.7 Markedsandeler og priser på transporttjenester i en Bertrand-likevekt ( hvor β1=0.02, β2=0.04, γ1=0.08 og γ2=0.01; N1=4, N2=6 millioner passasjerer). 1998 kroner. "Færre forretningsreisende"
| Tran- sportør | Reisetid, ti, min. | Enhets-kost, ci, kr. pr. reise | Pris, pi, kr. pr. reise | Markedsandeler, ϕis, prosent | Profitt, E[πi], mill. kr. pr. år. | ||
|---|---|---|---|---|---|---|---|
| Forretningsreise | Privatreise | Totalt | |||||
| 1, Flytog | 20 | 55 | 107 | 40.0 | 46.1 | 43.0 | 227 |
| 2, Buss | 45 | 40 | 74 | 4.9 | 25.6 | 15.3 | 59 |
| 3,Taxi | 45 | 140 | 218 | 40.5 | 0.4 | 20.4 | 128 |
| 4, OSL parkhus | 40 | 60 | 97 | 14.6 | 26.6 | 20.6 | 81 |
| 5, Andre tog | 25 | 65 | 90 | 0 | 1.3 | 0.7 | 2 |
| Sum | 100 | 100 | 100 | 497 | |||
I Tabell 2.7 har vi redusert antall forretningsreisende fra 6 mill. til 4 mill. pr. år. Denne endringen har liten virkning på priser og markedsandeler. Den viktigste endringen er at profitten til de to transportørene som har mange forretningsreisende, flytoget og taxi, får en markert reduksjon i profitten og dermed i gjeldsbetjeningen.
Tabell 2.8 Markedsandeler og priser på transporttjenester i en Bertrand-likevekt ( hvor β1=0.02, β2=0.04, γ1=0.08 og γ2=0.01; N1=N2=6 millioner passasjerer). 1998 kroner. "Alle kostnader er økt med 5%."
| Tran- sportør | Reisetid, ti, min. | Enhets-kost, ci, kr. pr. reise | Pris, pi, kr. pr. reise | Markedsandeler, ϕis, prosent | Profitt, E[πi], mill. kr. pr. år. | ||
|---|---|---|---|---|---|---|---|
| Forretningsreise | Privatreise | Totalt | |||||
| 1, Flytog | 20 | 57.75 | 111 | 41.0 | 45.6 | 43.3 | 276 |
| 2, Buss | 45 | 42 | 77 | 5.1 | 26.3 | 15.7 | 66 |
| 3,Taxi | 45 | 147 | 225 | 39.0 | 0.4 | 19.7 | 184 |
| 4, OSL parkhus | 40 | 63 | 101 | 14.9 | 26.3 | 20.6 | 94 |
| 5, Andre tog | 25 | 68.25 | 94 | 0 | 1.4 | 0.7 | 2 |
| Sum | 100 | 100 | 100 | 622 | |||
I Tabell 2.8 har vi økt alle enhetskostnader med 5% i forhold til i Tabell 2.3. Alle priser øker, men med mindre enn 5%. For de tre første aktørene øker prisen med om lag 2.5%, mens prisen på parkeringsplassene og på andre tog øker med om lag 3%. Markedsandelen endrer seg lite i forhold i Tabell 2.3. De forretningsreisende vrir seg noe bort fra bruk av det reisemiddel som er dyrest for dem, taxi, og over mot flytog, buss og privatbil. De private reisende vrir seg bort fra det reisemiddel som de bruker mest og som er dyrest for dem, flytoget, og over mot det billigere alternativet buss. Profittene endrer seg lite. Den forventete profitten øker litt for buss og går ned for taxi.
Tabell 2.9 Markedsandeler og priser på transporttjenester i en Bertrand-likevekt ( hvor β1=0.02, β2=0.04, γ1=0.08 og γ2=0.01; N1=N2=6 millioner passasjerer). 1998 kroner. "Buss som alternativ bortfaller".
| Tran- sportør | Reisetid, ti, min. | Enhets-kost, ci, kr. pr. reise | Pris, pi, kr. pr. reise | Markedsandeler, ϕis, prosent | Profitt, E[πi], mill. kr. pr. år. | ||
|---|---|---|---|---|---|---|---|
| Forretningsreise | Privatreise | Totalt | |||||
| 1, Flytog | 20 | 55 | 119 | 40.1 | 56.8 | 48.4 | 371 |
| 3,Taxi | 45 | 140 | 226 | 43.8 | 0.6 | 22.2 | 229 |
| 4, Privbil | 40 | 60 | 104 | 16.1 | 40.0 | 28.1 | 148 |
| 5, IC-tog | 25 | 65 | 91 | 0 | 2.6 | 1.3 | 4 |
| Sum | 100 | 100 | 100 | 752 | |||
I St.prp. nr. 90 (1991-92) antok en at med flytog som kollektivt reisemiddel til Gardermoen, ville det ikke bli noe bussalternativ. Konsekvensen av et slikt alternativt har vi vist i Tabell 2.9. Alle prisene til de gjenværende transportører øker i forhold til i Tabell 2.3, mest øker billettprisen på flytoget. Markedsandelen til alle transportørene går som ventet opp, mest for taxi og privatbil. Profitten til flytoget går kraftig opp fra 275 mill. kr. pr. år til 371 mill. kr. pr. år. Gjeldsbetjeningen går dermed opp fra 29.1 prosent til 39.3 prosent.
I St.prp. nr. 90 (1991-92) antok en at de private reisende hadde en nyttefunksjon svært lik de forretningsreisende og at buss ikke var noe konkurrerende alternativ til flytoget. Drøftingen ovenfor (Tabell 2.4, 2.5 og 2.9) viser at begge disse forutsetningene bidrar til å styrke flytogets lønnsomhet kraftig. Hadde forutsetningene vært riktige, skulle flytoget hatt en langt høyere markedsandel og inntjening enn hva som har vært tilfelle siden driften startet 8. oktober 1998.
2.3 Priser fastsatt på samfunnsøkonomiske premisser
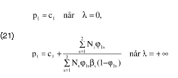
I dette avsnittet skal vi som nevnt i innledningen til avsnitt 2, bestemme prisen på en reise med flytoget slik at det samfunnsøkonomiske overskuddet i tilbringertjenesten blir størst mulig og ikke profitten til baneselskapet. Vi vil ta hensyn til at det kan koste noe å finansiere Gardermobanens faste kostnader over statsbudsjettet. Disse finansieringskostnadene skyldes at skatter kan vri ressursbruken i samfunnet og gjøre at mindre vil bli produsert enn det ellers ville ha blitt. Et eksempel er skatter som reduserer tilbudet av arbeid. Et mye brukt anslag på skattefinansieringskostnaden er 0,2 som betyr at det koster kr. 1,20 å finansiere en utgift på 1 kr. over statsbudsjettet. I fortsettelsen lar vi λ betegne denne skattefinansieringskostnaden og vi vil la λ innta forskjellige verdier som λ={0, 0.2, 0.4, +∞}.
Som foran lar vi Ws stå for den indirekte nytten og πi for profitten til transportør i. Det forventete samfunnsøkonomiske overskuddet, kalt E[S], består av tre deler:
E[Ws] summert over de to kategoriene av trafikanter og regnet i penger. Vi kaller denne summerte størrelsen for forventet konsumentoverskudd regnet i penger og betegner den med E[K].
Den forventete profitten til flytoget E[π1]. Denne forventete profitten skal gi et dekningsbidrag til de faste kapitalkostnadene forårsaket av investeringer i kjørevei, terminaler og flytog i Gardermobanen. Til slutt i dette avsnittet skal vi drøfte tilfeller hvor den forventete profitten til alle transportørene inngår i det samfunnsøkonomiske overskuddet.
Sparte skattefinansieringskostnader som er større jo større det forventete overskuddet er for flytoget, dvs jo større E[π1] er. De sparte skattefinansieringskostnader er følgelig lik λ E[π1]. Til slutt i dette avsnittet viser vi tilfeller hvor de sparte skattefinansieringskostnadene er knyttet til den forventete profitten til alle transportørene.
Det betyr at
(16) E[S]= E[K] + E[π1]+ λ E[π1] = E[K] + (1+λ) E[π1].
Fra (2) og (4) får vi at

Setter vi inn for E[K] og E[π1] i uttrykket for E[S] får vi:

Myndighetene maksimerer E[S] med hensyn på p1 gitt at prisene hos de andre transportørene er bestemt i en Bertrand-likevekt. Dette maksimeringsproblemet er derfor et eksempel på et nest-best problem. Bibetingelsen om at de fire andre transportørers priser er bestemt i en Bertrand-likevekt er beskrevet i (14), men vi gjentar den her:

Førsteordensbetingelsen for maksimum av E[S] gitt bibetingelsen i (19) er

I (20) har vi på grunn av lesbarhet undertrykt at ϕ-ene og de prisderiverte, ∂pk/∂p1, avhenger av alle fem priser.
Merk at de nye likevektsprisene nå følger av (19) og (20) som er et likningssystem med fem likninger og de fem ukjente p1, p2, p3, p4, p5. Denne markedsløsningen er kvalitativt forskjellig fra Bertand-likevekten i forrige avsnitt. Myndighetene fastsetter nå billettprisen for flytoget og tar hensyn til hvordan prisene til de andre transportørene blir påvirket av den billettpris de setter. Hvordan prisene til de andre blir påvirket av den pris myndighetene setter, kan finnes fra Bertrand-likningene for de øvrige transportørene, dvs fra (19). Myndighetene er en prisleder og vi må forutsette at prislederen må kunne binde seg til den pris som settes.
Dersom alle ∂pk/∂p1=0, får vi

Fra (21) ser vi at dersom det ikke koster noe å la skattebetalerne finansiere utgiftene til flytoget, så skal billettprisen settes lik den variable enhetskostnaden. I følge Tabell 2.3 betyr det en svært lav billettpris lik kr. 55 pr. reise. Det betyr videre at driften av toget bidrar med null kr. til dekning av investeringen i Gardermobanen på vel 10 mrd. (1998) kr.
Dersom skattefinansieringskostnaden er uendelig høy, blir billettprisen lik markedsløsningen i Betrand-likevekten vist i forrige avsnitt. I Tabell 2.3 er den anslått til kr. 108 pr. reise. Profitten knyttet til denne prisen er den maksimale profitten de reisende kan bidra med til dekning av de faste kostnadene i Gardermobanen, gitt flytogets konkurransesituasjon, de reisendes preferanser og gitt at de får velge fritt. I følge Tabell 2.3 bidrar i så fall de reisende med knappe 3 mrd. (1998) kr. til dekning av investeringskostnaden på vel 10 mrd. (1998) kr.
De prisderiverte ∂pk/∂p1 er generelt ikke lik null. I tabellene 2.10-13 viser vi derfor likevektsprisene beregnet ut fra (19) og (20) når vi tar hensyn til verdiene til ∂pk/∂p1. Disse prisderiverte kan regnes ut fra (19).
Fra tabellene 2.10-13 ser vi at
billettprisen på flytoget er lik 55 kr. og markedsandelen er 73.1% når λ=0,
billettprisen på flytoget er lik 72 kr. og markedsandelen er 64.5% når λ=0.2,
billettprisen på flytoget er lik 80 kr. og markedsandelen er 60.2% når λ=0.4,
billettprisen på flytoget er lik 111 kr. og markedsandelen er 41.1% når λ=+∞.
Jo nærmere null skattefinansieringskostnaden er, desto lavere er billettprisen og desto høyere er markedsandelen til flytoget. Vi ser av tabellene 2.10-13 at jo lavere skattefinansieringskostnaden er, desto lavere er også prisene og profitten til alletransportørene. Det at skattefinansieringskostnaden er lav og blir tatt hensyn til ved myndighetenes fastsetting av billettprisen på flytoget, kan tolkes som at skattebetalerne subsidierer flytoget. Jo billigere en reise på flytoget er, desto vanskelige blir konkurransesituasjonen til de andre transportørene.
Det bør selvsagt undersøkes om en markedsandel så høy som 73.1% er mulig med de tekniske investeringer som er foretatt. Dersom dette ikke er mulig og dersom en likevel forutsetter at skattefinansieringskostnadene er lik null, må prisen settes høyere enn 55 kr. pr. reise, og så mye høyere at en oppnår en markedsandel som er tilpasset de tekniske mulighetene.
Fra tabellene 2.10-13 kan vi lese hva den forventete profitten blir for ulike verdier på skattefinansieringskostnaden. Vi kan dermed regne ut hvilken gjeld Gardermobanen kan betjene i de ulike tilfellene:
profitten til flytoget er lik 0 kr. og bidraget til dekningen av gjelden er 0 kr. når λ=0,
profitten til flytoget er lik 132 mill. kr. pr. år og bidraget til dekningen av gjelden er 1398 mill. kr. når λ=0.2,
profitten til flytoget er lik 181 mill. kr. pr. år og bidraget til dekningen av gjelden er 1917 mill. kr. når λ=0.4,
profitten til flytoget er lik 276 mill. kr. pr. år og bidraget til dekningen av gjelden er 2923 mill. kr. når λ=∞.
Finansdepartementets anslag 6 på skattefinansieringskostnaden er λ=0.2. Beregningene her viser da at billettprisen blir på 72 kr. pr. reise med flytoget, markedsandelen til flytoget blir på 64.5%, profitten pr. år blir på 132 mill. kr. pr. år og bidraget til dekningen av den totale investeringsgjelden på 10 023 mill. kr. blir på 1 398 mill. kr., dvs på 14%. Resten av gjelden må dekkes av skattebetalerne og ikke av de reisende. Investeringene knyttet til flytogene er på om lag 1 400 mill. (1998) kr. slik at ved λ=0.2 blir Gardermobanen i stand til å betjene og forrente til 7% en gjeld svarende til hva det kostet å anskaffe flytogene.
Tabell 2.10 Markedsandeler og priser på transporttjenester når λ=0 ( Som i Tabell 3 er β1=0.02, β2=0.04, γ1=0.08 og γ2=0.01; N1=N2=6 millioner passasjerer). 1998 kroner.
| Tran- sportør | Reisetid, ti, min. | Enhets-kost, ci, kr. pr. reise | Pris, pi, kr. pr. reise | Markedsandeler, ϕis, prosent | Profitt, E[πi], mill. kr. pr. år. | ||
|---|---|---|---|---|---|---|---|
| Forretningsreise | Privatreise | Totalt | |||||
| 1, Flytog | 20 | 55 | 55 | 61.3 | 85.1 | 73.1 | 0 |
| 2, Buss | 45 | 40 | 69 | 2.9 | 7.2 | 5.1 | 18 |
| 3,Taxi | 45 | 140 | 207 | 27.3 | 0.1 | 13.7 | 110 |
| 4, OSL parkhus | 40 | 60 | 93 | 8.5 | 7.2 | 7.9 | 31 |
| 5, Andre tog | 25 | 65 | 90 | 0 | 0.4 | 0.2 | 1 |
| Sum | 100 | 100 | 100 | 160 | |||
Tabell 2.11 Markedsandeler og priser på transporttjenester når λ=0.2 ( Som i Tabell 3 er β1=0.02, β2=0.04, γ1=0.08 og γ2=0.01; N1=N2=6 millioner passasjerer). 1998 kroner.
| Tran- sportør | Reisetid, ti, min. | Enhets-kost, ci, kr. pr. reise | Pris, pi, kr. pr. reise | Markedsandeler, ϕis, prosent | Profitt, E[πi], mill. kr. pr. år. | ||
|---|---|---|---|---|---|---|---|
| Forretningsreise | Privatreise | Totalt | |||||
| 1, Flytog | 20 | 55 | 72 | 54.4 | 74.8 | 64.5 | 132 |
| 2, Buss | 45 | 40 | 70 | 3.6 | 12.0 | 7.8 | 28 |
| 3,Taxi | 45 | 140 | 211 | 31.4 | 0.2 | 15.8 | 135 |
| 4, OSL parkhus | 40 | 60 | 93 | 10.6 | 12.5 | 11.6 | 46 |
| 5, Andre tog | 25 | 65 | 90 | 0 | 0.5 | 0.3 | 1 |
| Sum | 100 | 100 | 100 | 342 | |||
Tabell 2.12 Markedsandeler og priser på transporttjenester når λ=0.4 ( Som i Tabell 3 er β1=0.02, β2=0.04, γ1=0.08 og γ2=0.01; N1=N2=6 millioner passasjerer). 1998 kroner.
| Tran- sportør | Reisetid, ti, min. | Enhets-kost, ci, kr. pr. reise | Pris, pi, kr. pr. reise | Markedsandeler, ϕis, prosent | Profitt, E[πi], mill. kr. pr. år. | ||
|---|---|---|---|---|---|---|---|
| Forretningsreise | Privatreise | Totalt | |||||
| 1, Flytog | 20 | 55 | 80 | 51.2 | 69.1 | 60.2 | 181 |
| 2, Buss | 45 | 40 | 71 | 3.9 | 14.7 | 9.3 | 35 |
| 3,Taxi | 45 | 140 | 213 | 37.3 | 0.3 | 16.8 | 147 |
| 4, OSL parkhus | 40 | 60 | 94 | 11.5 | 15.3 | 13.4 | 55 |
| 5, Andre tog | 25 | 65 | 90 | 0.1 | 0.6 | 0.3 | 1 |
| Sum | 100 | 100 | 100 | 419 | |||
Tabell 2.13 Markedsandeler og priser på transporttjenester når λ=+∞ ( Som i Tabell 3 er β1=0.02, β2=0.04, γ1=0.08 og γ2=0.01; N1=N2=6 millioner passasjerer). 1998 kroner.
| Tran- sportør | Reisetid, ti, min. | Enhets-kost, ci, kr. pr. reise | Pris, pi, kr. pr. reise | Markedsandeler, ϕis, prosent | Profitt, E[πi], mill. kr. pr. år. | ||
|---|---|---|---|---|---|---|---|
| Forretningsreise | Privatreise | Totalt | |||||
| 1, Flytog | 20 | 55 | 111 | 39.3 | 43.1 | 41.1 | 276 |
| 2, Buss | 45 | 40 | 75 | 5.1 | 27.0 | 16.1 | 68 |
| 3,Taxi | 45 | 140 | 221 | 40.4 | 0.4 | 20.4 | 198 |
| 4, OSL parkhus | 40 | 60 | 98 | 15.2 | 28.1 | 21.7 | 99 |
| 5, Andre tog | 25 | 65 | 90 | 0 | 1.4 | 0.7 | 2 |
| Sum | 100 | 100 | 100 | 643 | |||
Hvis myndighetene kan sette prisen på bruk av flytoget og beskatte alle de andre transportørene, kan dette formaliseres som

I dette tilfellet maksimerer myndighetene konsumentoverskudd pluss produsentoverskudd til alle transportørene med hensyn på billettprisen på flytoget. De tar også hensyn til at profitt hos alle aktørene kan bidra til å redusere kostnadene ved å skattefinansiere utgiftssiden i statsbudsjettet. Dette tilfellet kan tolkes som at myndighetene kan sette prisene på bruk av flytoget, samt innføre avgifter på bruk av veien til Gardermoen, for eksempel i form av en bomavgift.
I dette tilfellet kan vi vise at prisene som brukerne må betale, stiger på alle transportmidlene. Sammenlikner vi med alternativet hvor λ=0.2 i det foregående tilfellet, finner vi at billettprisen på flytoget kan øke fra 72 kr. pr. reise til 110 kr. Markedsandelen i gjennomsnitt for de to typer reisende går ned fra 64.5% til 41.8%. Profitten er praktisk talt den samme som i den rene markedsløsningen (Bertrand-likevekten), dvs 275 mill. kr. pr. år. Markedsandelen er også på nivå med markedsandelen i den rene markedsløsningen, 41.8% mot 43.2%. I det foregående tilfellet hvor en utelukket at de andre transportørene kunne skattlegges, men hvor en trakk inn en skattefinansieringskostnad på 0.2 knyttet kun til profitten til flytoget, var profitten til flytoget bare på 132 mill. kr. Å skattlegge alle transportørene øker som ventet profitten til flytoget. Siden billettprisen på flytoget går så pass mye opp, går som nevnt markedsandelen ned fra tilfellet foran med λ=0.2. De andres markedsandeler går derfor opp.
Differansen mellom prisene når alle skattlegges, og prisene, når bare flytogets profitt blir knyttet til en skattefinansieringskostnad på λ=0.2, er kr. 5 for bussen, kr. 9 for taxi og kr. 5 for parkeringshuset. Basert på disse avgiftene kan en beregne avgiftsinntektene fra andre transportører enn flytoget. Disse inntektene beløper seg totalt til 45 mill. kr. pr. år og er et bidrag til dekning av skattefinansieringen av Gardermobanen, når λ=0.2. Flytoget selv bidrar med en profitt som i den rene markedsløsningen. Totalt bidrar da de reisende med 275 mill. kr. i profitt fra flytoget og med 45 mill. kr. i avgiftsinntekter. Skattebetalerne kommer noe bedre ut enn i den rene markedsløsningen i og med at 45 mill. kr. tilfaller statskassen i form av avgiftsinntekter.
Dersom myndighetene har fullstendig kontroll over prissettingen til alle transportørene, kan prissettingsproblemet formelt beskrives som

Førsteordensbetingelsen for dette samfunnsøkonomiske maksimum er

Vi ser at for λ=0 er alle priser, pi, lik enhetskostnaden ci, og profitten er lik null hos alle transportørene. For λ= +∞ er alle prisene lik Bertrand-likevekten. Siden denne løsningen krever betydelige institusjonelle endringer i transportmarkedet på Østlandsområdet, spesielt overfor drosjer og busser, skal vi ikke gå nærmere inn på denne løsningen.
2.4 Avslutning
Det er grunn til å understreke at beregningene vist ovenfor er rent foreløpige. Det er bare en ny estimering av transportmodellen på data basert på de faktiske valg de reisende har gjort som kan bidra med mer endelige resultater.
Referanser
Anderson, S.P., A. de Palma og J-F. Thisse (1992): Discrete Choice Theory of Product Differentiation, The MIT Press, Cambridge, Massachusetts, London, England.
Ben-Akiva, M. og S.R. Lerman (1985): Discrete Choice Analysis, Theory and Application to Travel Demand, The MIT Press, Cambridge, Massachusetts, London, England.
Tirole, J. (1989): The Theory of Industrial Organization, The MIT Press, Cambridge, Massachusetts, London, England.
Manski, C. og D. McFadden (1981): Structural Analysis of Discrete Data with Econometric Applications, The MIT Press, Cambridge, Massachusetts, London, England. St.prp. nr. 90 (1991-92):Utbygging og finansiering av hovedflyplass for Oslo-området på Gardermoen med tilhørende tilbringersystem og konsekvenser for forsvaret.
Statens vegvesen (1992): Transportanalysen, Del I-V.
Fotnoter
Hovedfagsstudent, Sosialøkonomisk institutt , Universitetet i Oslo
Professor, Sosialøkonomisk institutt, Universitetet i Oslo
Sannsynligheten for at εis er mindre eller lik et gitt tall x, betegnet F(x), er lik F(x)=exp-[exp-(x/a +0.5772)], hvor a er en konstant og lik π/√6.
La renten være lik r og levetiden på investeringen være T år. La ρ være den årlige kapitalkostnadsfaktoren. Da er ρ=1/(1-(1+r)-T). En profitt på π kan da betjene en gjeld på π/ρ,derunder gi en årlig realavkastning på 100r%.
Det at banen ikke er bedriftsøkonomisk lønnsom er ikke til hinder for at banen er samfunnsøkonomisk lønnsom. Det siste kan sjekkes ved en beregning hvor en prisdiskriminerer perfekt mellom alle de reisende og ser om inntekten fra en slik prispolitikk kan dekke de faste kostnadene, derunder gi en avkastning på 7%. Dette ble ikke gjort i forbindelse med utarbeidingen av St.prp. nr. 90 (1991-92).
Se mindretallets uttalelse i "Styring av statlige investeringer", innstilling fra et interdepartementalt utvalg, avgitt 10.februar 1999.