4 Framskrivinger av formuesfordeling med modellen MOSART
Av Dennis Fredriksen, Statistisk sentralbyrå
4.1 Innledning
Ved utformingen av avgiftssystemet for arv og gaver vil utviklingen i størrelse og fordeling av formue være av interesse. Dette vedlegget diskuterer utviklingen i formue og formuesfordeling blant den eldre halvdel av befolkningen med tanke på formuens betydning for arv, og simuleringsmodellen MOSART brukes til å framskrive formue. I det følgende vil vi først presentere modellen MOSART og de egenskapene ved modellen som er spesielt viktige for formuesoppbyggingen. Dernest presenteres noen resultater. Sammenlignet med andre framskrivinger fra MOSART, for eksempel folketrygdens pensjonsytelser, vil framskrivingene av sparing, arv og formue være beheftet med adskillig mer usikkerhet. Det må derfor presiseres at det er vanskelig å gi klare konklusjoner, spesielt på fordeling av formue i framtiden.
De eldre vil utgjøre en økende andel av befolkningen i flere ti-år framover, både fordi vi forventer at levealderen vil gå opp og fordi fødselskullene fra slutten av den 2. verdenskrig og utover var betydelig større enn fødselskullene i mellomkrigsårene. Økningen i antallet eldre bidrar til økt samlet formue fordi formuen som regel øker med alderen. Arv, målt som andel av bruttonasjonalproduktet, vil få en større betydning etterhvert som de eldre årskullene øker i størrelse sammenlignet med de yngre årskullene. Samtidig antyder beregningene at gjennomsnittlig formue blant de eldre vil øke, også målt relativt mot lønnsnivået blant de yrkesaktive.
I framskrivningene som gjengis i avsnitt 3, blir fordelingen av formue noe mindre skjev på sikt. Det er imidlertid uklart om dette skyldes reelle trekk ved norsk økonomi eller svakheter i beregningsopplegget. En rekke grunner taler for at vi undervurderer ulikheten i formue i framskrivingene, blant annet knyttet til samvariasjon mellom nære slektningers yrkesvalg. Skal vi trekke noen konklusjon, så er det at vi kun vil se moderate endringer i fordelingen av formue blant de eldste i de nærmeste ti-årene.
4.2 Om MOSART og forutsetningene
Framskrivingene av formue bygger på mikrosimuleringsmodellen MOSART, se blant annet Fredriksen (1998) for en nærmere omtale. Modellen starter med et representativt utvalg av befolkningen i 1993 med individenes historiske kjennetegn og simulerer de videre livsløpene med hensyn til demografiske kjennetegn, utdanning, uførepensjon/pensjonering, arbeidstilbud, andre inntektsforhold, skatt og sparing.
Resultatet av simuleringen blir en modellpopulasjon med simulerte livsløp som kan si noe om utviklingen, gitt de forutsetningene som ligger til grunn for simuleringen. Typisk vil disse forutsetningene være at alt forsetter som i dag, for eksempel at hver kvinne i framtiden vil få like mange barn som ett tverrsnitt av dagens kvinner i fruktbar alder. Se tabell 1 for en oversikt over forutsetningene i referansebanen. Vi kontrollerer hvor sensitive resultatene er for noen av disse forutsetningene, ved at vi utfører framskrivinger med lav realrente (1,5 prosent per år, som lønnsveksten) og uten arv. Nedenfor gjennomgås i mer detalj de sidene ved modellen som har stor betydning for formuesoppbyggingen og/eller er nye i forhold til Fredriksen (1998).
Utgangspopulasjonen
Anslagene på formue i startåret for simuleringen bygger på tall fra skattestatistikken for nettoformue ved statsskatt og for ligningsverdi for egen bolig. I gjennomsnitt vil ligningsverdien utgjøre om lag 25 prosent av markedsverdien for boligen, og det er store forskjeller fra bolig til bolig. Vi simulerer derfor markedsverdien for boligen med utgangspunkt i ligningsverdien, bostedsregion og tilfeldige avvik. En såvidt enkel relasjon kan gi en fordeling av formue i basisåret som avviker fra den reelle, men dataene som ble brukt til å analysere sammenhengen mellom markedsverdi og ligningsverdi ga ikke grunnlag for å trekke inn flere variabler. Spesielt kan det være grunn til å tro at det blir litt for mange hushold i etableringsfasen som kommer ut med negativ formue på grunn av manglende oppjustering av boligverdien.
Arbeidstilbud og -inntekter
Simuleringen av arbeidstilbud på individnivå bygger på inntektshistoriene fra pensjonspoengregisteret i folketrygden, og fordi fordeling mellom individer og over livsløpet har stor betydning for pensjonsberegningene, har vi lagt stor vekt på disse egenskapene. Vi forutsetter i disse beregningene at lønn per normalårsverk vokser med 1,5 prosent per år. Vi har forøvrig i andre sammenhenger brukt MOSART til å simulere perioden 1967-1993 og sammenlignet dette med de historiske tallene for samme periode, jamfør Fredriksen (1998). Modellen treffer i disse beregningene i rimelig grad ulike fordelingsmål for arbeidsinntekt, både mellom individer og over livsløpet.
Pensjonsytelser
MOSART beregner pensjonsytelser fra folketrygden med utgangspunkt i de simulerte arbeidshistoriene, og vi tror vi gir en relativt god prognose på disse størrelsene (gitt forutsetningene om grunnbeløpet). For andre pensjonsytelser, herunder statstjenestepensjon og andre tjenestepensjoner, har vi valgt en enkel løsning hvor alle pensjonister får samme beløp på 13 000 kroner per år (målt i 1997-kroner). Vi ser dermed bort fra at tjenestepensjoner er korrelert med tidligere yrkesdeltaking og inntektsnivå. Beløpet på 13 000 kroner er beregnet som gjennomsnittlig utbetalt tjenestepensjon i 1997. I framskrivingene forutsetter vi at beløpet for andre pensjonsytelser vokser med samme takt som lønnsnivået. I den grad tjenestepensjoner kommer til å dekke en større andel av de yrkesaktive, kan det være grunn til å tro at veksten i gjennomsnittlig tjenestepensjon vil bli sterkere. På den annen side vil grupper som får samordnet tjenestepensjonen og folketrygdens ytelser, blant annet offentlige ansatte, oppleve å få mindre i tjenestepensjon etterhvert som folketrygden blir utbygd.
Realrente
Vi forutsetter at all kapital gir samme realavkastning på 4 prosent per år, inkludert kapitalgevinster og/eller -tap. Bruttoavkastningen på finansformuen består av realrenten pluss prisstigningen. Det er grunn til å tro at avkastningen på kapital varierer fra hushold til hushold, blant annet på grunn av prisendringer på bolig og kursendringer i aksjemarkedet, og beregningene fanger ikke opp disse ulikhetene.
Skatt
Vi har lagt inn de faktiske skattereglene fra 1997, men vi er nødt til å gi relativt enkle anslag på en del inntektsposter. I tillegg til tjenestepensjon og kapitalavkastning som er omtalt foran, omfatter dette andre overføringer og andre fradrag. Alle satser i skattereglene lønnsindekseres. Skattetrykket øker ikke i framskrivingsperioden, utover det at noen av inntektene øker relativt til lønn, og dermed blir skattlagt hardere på grunn av progressiviteten i skattesystemet. Dette gjelder spesielt pensjonsytelser fra folketrygden, men også til en viss grad kapitalinntekter.
Sparing og formuesoppbygging
Formuesoppbyggingen i et hushold skjer i beregningene enten hos eldste person i husholdet (enslige, enslige forsørgere, sammensatte hushold) eller hos ekteparet/samboerparet i familier med eller uten barn. I sistnevnte tilfelle deles sparingen likt mellom ektefellene/samboerne, mens formue fra før forholdet startet beholdes separat. I startåret for simuleringen har vi delt samlet formue i hvert hushold likt mellom samlivspartnere, enten de er gift eller samboende. Formuen kan fordeles på finansformue og boligformue, begge har samme realavkastning, men skattlegges forskjellig.
Problemet med å estimere en sparerelasjon på individ/husholdsnivå er mangelen på paneldata med opplysninger om reelle formuesforhold, særskilt gjelder dette realkapital som bolig. Vi har derfor tatt utgangspunkt i følgende definisjon:
Sparing = Finansinvestering + Realinvestering
Ved å eliminere alle hushold i datagrunnlaget som i et enkelt år har vesentlige realinvesteringer, kan sparingen blant de øvrige beregnes ved å se på endringer i finansformuen (finansinvesteringer). Hvis spareatferden i ett enkelt år er upåvirket av om man tilfeldigvis har en betydelig realinvestering akkurat det året, så er disse tallene representative for hele befolkningen. Med denne forutsetningen kan koblinger av Inntekts- og formuesundersøkelsene brukes til analyser av spareatferd, og det er det som er gjort for denne analysen med data fra perioden 1986 til 1993. Med utgangspunkt i økonomisk teori er det formulert en sparerelasjon og alle variable som er funnet signifikante er tatt med i simuleringen, se også tillegg 1.
Analysen gir som resultat at sparingen kan uttrykkessom en lineær relasjon i den disponible inntekten, med ett negativt konstantledd og relativt høy marginal sparetilbøyelighet. De fleste grupper vil ha positiv sparing. Eksempelvis vil minstepensjonister i gjennomsnitt spare noen få tusen kroner per år. Studenter vil kun ha en svak negativ sparing, og dette kan skyldes føyningsproblemer. Enslige forsørgere har lav sparing. Ektepar har en marginal sparetilbøyelighet på 23 prosent. Figur 4.9 i tillegg 1 viser sammenhengen mellom sparingen og noen av de størrelsene som påvirker sparingen.
Analysen gir også som resultat at sparingen er upåvirket av formuen bortsett fra det som ligger i at formue gir inntekt i form av kapitalavkastning. Renten har ingen innvirkning på sparingen utover det at høy rente gir større disponibel inntekt (gitt at formuen er positiv). Boligkjøp påvirker heller ikke sparingen, for eksempel ved at man da får en tilleggsskranke som sier at boliglånet skal være nedbetalt før pensjonsalderen.
Analysen av sparingen inkluderer et restledd som skal fange opp den uforklarte delen av sparingen, og dette restleddet er inkludert i simuleringen. Over livsløpet vil standardavviket på summen av alle restleddene akkumulere seg til i størrelsesorden 500 000 kroner, og dette utgjør den «tilfeldige» delen av formuesoppbyggingen. Til sammenligning vil formuen for de eldste i gjennomsnitt være i størrelsesorden 1 000 000 kroner, og dette utgjør den «strukturelle» delen av formuesoppbyggingen. Det vil si at 95 prosent av befolkningen vil når de når høy alder, ha en formue som ligger i intervallet 0 til 2 000 000 millioner kroner.
Analysen av sparing bygger på at det er autokorrelasjon i restleddene, det vil si at avviket fra forventet sparing i ett år avhenger av den samme typen avvik i tidligere år. Analysen viser at disse sammenhengene er svake og for den viktigste gruppen også negativ, det vil si at stor sparing ett år motsvares av mindre sparing neste år. Det er ikke identifisert noen systematiske avvik i sparingen over livsløpet, representert ved at noen systematisk styrer mot en annen formuesutvikling enn det som er typisk for sitt eget inntektsnivå. Eksempler kan være at noen bruker opp inntekten uansett hva de måtte tjene, mens andre har som mål å bygge opp en bestemt formue gitt ved den realkapitalen de sitter med. Når analysen av sparing ikke finner slike sammenhenger kan det skyldes at tidsseriene på 6 år er for korte til å identifisere slike sammenhenger.
Arv
I framskrivingene er arv modellert slik at når noen dør, så overføres formuen til livsarvingene etter «normale» regler. Er avdøde gift eller samboende uten særkullsbarn, sitter den gjenlevende partneren igjen med uskiftet bo. Er avdøde enslig eller har særkullsbarn gjøres boet opp. Partneren får 25 prosent, mens barna får hver sin like andel. Arven føres videre til barnebarna der mellomgenerasjonen har dødd først. Det betales arveavgift utfra markedsverdier. Det simuleres ikke forskudd på arv.
Der avdøde i simuleringen mangler livsarvinger (ektefelle, samboer, barn, barnebarn, oldebarn), går formuen ut av simuleringen (for eksempel til statskassen). I begynnelsen av framskrivingsperioden er det nærmere 40 prosent av arven som står uten arvinger, og dette skyldes manglende opplysninger om barn for de eldste personene i datagrunnlaget for modellen. Denne andelen avtar, og har kommer ned i 10 prosent i år 2020. Senere øker andelen igjen fordi forutsetningene for simuleringen gir flere eldre som er barnløse og flere eldre som er skilt (se også avsnitt 4).
Samvariasjon mellom nære slektingers utdannings- og yrkesvalg og spareatferd vil kunne påvirke konsentrasjonen av formue på familienivå. Den eneste av disse koblingene vi fanger opp er at vi har trukket ektepar og samboerpar som enhet i startåret for simuleringen. En klar svakhet ved våre modellsimuleringer av arv, er at vi ikke har noen systematisk kobling av nye ektefeller i simuleringen, for eksempel etter utdanningsnivå. Det er heller ingen kobling mellom barns utdannings- og yrkesvalg og hva foreldrene har gjort. Disse forholdene gjør at MOSART kan undervurdere konsentrasjonen av formue og den innvirkningen arv har på formueskonsentrasjonen.
Det framgår av omtalen foran at det ikke er noen direkte formueseffekter på sparingen. Videre legges arv direkte til formuen, og utelates fra beregningen av disponibel inntekt og sparing det året arven mottas. Vi forutsetter dermed at konsumet er upåvirket av arv, bortsett fra det at arven øker kapitalinntektene.
Vi behandler ektefeller og samboere tilnærmet likt i forhold til skatteregler med videre. Dette bygger på en antakelse om at forskjellsbehandlingen av disse to gruppene har blitt mindre og at denne utviklingen vil fortsette etterhvert som samboerskap blir en mer vanlig samlivsform også for eldre personer. I disse framskrivingene vil de fleste samboerskap i tillegg enten bli formalisert med ekteskap eller gå i oppløsning innen paret når pensjonsalderen. Forskjellsbehandlingen av samboere kontra ekteskap i forhold til arv får derfor uansett liten betydning i disse beregningene.
Priser
Vi har lagt til grunn en prisstigning på 2,0 prosent per år og en reallønnsvekst på 1,5 prosent per år. Bruk av enten nominelle eller reelle kronebeløp vil gjøre det vanskelig å sammenligne framtidens situasjon med dagens, og vi presenterer derfor alle kronebeløp deflatert med lønnsnivået i 1997. Hvis for eksempel lønnsnivået i et framtidig år ligger 20 prosent høyere enn i 1997, deler vi alle kronebeløp fra dette framtidige året med 1,2. Det betyr at vi fokuserer på formue målt relativt til lønnsnivået eller på at sparingen er en andel av inntekten.
Tabell 4.1 Forutsetningene i referansebanen
| Innvandring | 7 000 personer per år |
| Dødelighet | Forventet levealder ved fødselen stiger med 4-5 år fram mot år 2050 |
| Fruktbarhet | Konstant samlet fruktbarhetstall i underkant av 1,9 |
| Husholdningsdannelse | Som på begynnelsen av 1990-tallet |
| Utdanning | Som i 1997 (studietilbøyelighet, valg av fagfelt) |
| Uførepensjon | Som i 1997 |
| Avtalefestet pensjon | Treffer nivået i 1997 |
| Arbeidstilbud | Yrkesprosenter etter kjønn, alder, utdanning, trygd m.v. som i 1997 |
| Arbeidsinntekter | Reallønnsvekst på 1,5 prosent per år |
| Realrente | 4,0 prosent per år |
| Grunnbeløp | Følger lønnsveksten |
| Særtillegg | Som fra 1.mai 1998 målt i grunnbeløp (etter minstepensjonsreformen) |
| Tjenestepensjon | Fast beløp til alle pensjonister på 13 000 kroner |
| Skatt | Skatteregler som i 1997 |
| Sparing | Som i perioden 1986-1993 (for gitt inntekt) |
| Arv | All formue går til livsarvinger ved død og etter standard fordelingsnøkkel |
| Prisstigning | 2,0 prosent per år |
| Priser | Alle kronebeløp oppgis deflatert med lønnsnivået i 1997 |
4.3 Resultater
Vi gjennomgår nedenfor noen av simuleringsresultatene med tanke på å belyse hvordan formuesfordelingen vil utvikle seg gitt de egenskapene ved modellen som er omtalt foran.

Figur 4.1 Formue pr. person i befolkningen
Formuesutvikling
Figur 4.1 oppsummerer virkningen på gjennomsnittlig formue per person. Selv med lav rente og ingen arv øker gjennomsnittlig formue, og dette skyldes både at de aller eldste blir mer formuende og at gjennomsnittsalderen i befolkningen øker. Vi utdyper nedenfor hvorfor vi finner det rimelig at de eldre vil bli mer formuende, og vi viser også at det er en klar sammenheng mellom alder og nettoformue. Med høy rente og arv vil formuen øke betydelig også sammenlignet med lønnsnivået i samfunnet, og den viktigste faktoren er at formuen akkumuleres fra generasjon til generasjon gjennom arv.
Formue etter alder og periode
En viktig strukturell egenskap ved modellen er hvordan formuen bygger seg opp over livet. I figur 4.2 og 4.3 har vi sett på tverrsnittet av befolkningen i utvalgte år, og sett hvordan gjennomsnittlig formue varierer med kjønn og alder. Kjønnsforskjellene er gjennomgående små, og en viktig grunn til det er at de fleste personer er gift eller samboende med lik deling av formue (forutsatt).

Figur 4.2 Formue blant menn, etter alder
For å se på effekten av sparingen alene presenterer vi ett alternativ med lav rente og ingen arv, og hvordan situasjonen da ser ut i år 2020. Endringene etter år 2020 er liten i dette alternativet, og det er rimelig siden vi forutsetter at alt skal fortsette som nå, og akkumulering av formue gjennom arv er utelatt. Sammenligner vi år 2020 med 1993 er det bare mindre endringer i lønnsdeflatert formue for personer under 60 år. De aller eldste i framtiden får noe høyere formue enn i dag, og det kan være rimelig tatt i betraktning at de eldste i 1993 er født i perioden 1895-1910, og følgelig hadde sine beste yrkesaktive år før den annen verdenskrig var slutt, før Husbanken og før det ble vanlig å eie egen bolig. Videre er det et vesentlig moment at folketrygden vil bli utbygd i denne perioden, og gjennomsnittlige pensjoner vil øke betydelig fra 1967 og fram til rundt år 2030, noe som vil bidra til økt sparing og formue blant eldre slik sparerelasjonen er modellert. Framskrivingene utelater forskudd på arv, og i den grad slike forskudd har betydning, bidrar dette til at MOSART overvurderer formuen blant de aller eldste.

Figur 4.3 Formue blant kvinner, etter alder
I referansebanen vokser formuen betydelig også etter at man har fylt 60 år, og dette skyldes flere forhold. Med en kapitalavkastning på 4 prosent vil formuen bare i begrenset grad «forvitre» relativt til lønnsnivået, selv uten sparing. Videre vil formuen akkumuleres fra en generasjon til den neste, spesielt fordi vi ser bort fra at formue i seg selv kan øke konsumet. Siden de fleste først blir arvinger i 50-60 års alderen, er det kun for de eldste at akkumuleringen av formue gjennom arv får noen særlig betydning 1.
Sparing og arv
Figur 4.4 viser utviklingen i gjennomsnittlig sparing og gjennomsnittlig mottatt arv per person, inkludert de som ikke mottar arv. I disse framskrivingene ligger samlet privat sparing på om lag 50 milliarder kroner i 1997, mens den utfra nasjonalregnskapet i perioden 1995-1998 var i størrelsesorden 50-60 milliarder kroner (samlet sparing for Norge fratrukket offentlig sparing). Dette antyder at vi har et rimelig anslag på sparingen for basisåret, og at vi neppe overvurderer formuesutviklingen på privat hånd. I framskrivingene er sparingen lite påvirket av rentenivået. Sparingen øker noe i framskrivingsperioden, men dette er rimelig tatt i betraktning at både antallet personer i yrkesaktiv alder øker og at pensjonistene får bedre pensjonsytelser.

Figur 4.4 Sparing og arv, per person i befolkningen
I følge framskrivingene fra MOSART ble det i 1997 overført 11,8 milliarder kroner i arv, og av dette tilfalt 0,5 milliarder staten som arveavgift. I tillegg stod 7,3 milliarder kroner uten arvinger. I følge Statistisk sentralbyrå (1999) var samlet arv på 11,1 milliarder kroner og samlet arveavgift på 1,0 milliarder i samme år. Om lag 30 prosent av samlet arv er forskudd på arv. Avvikene mellom disse tallene kan gis plausible forklaringer. At framskrivingen kommer ut med høyere samlet arv (11,8+7,3) skyldes at vi inkluderer uskiftet bo, og at vi verdsetter alt til markedspriser hvor arvereglene noen steder åpner for lavere verdsetting av visse eiendeler. At vi kommer ut med lavere arveavgift skyldes at en urimelig stor andel av arven står uten arvinger, enten fordi vi mangler opplysninger om barn (kvinner født før 1935) og fordi vi utelukker mer perifere arveveier (fjernere slektninger, veldedige organisasjoner), og i begge disse tilfellene er arveavgiften høyere enn ved uskiftet bo, spesielt for de mer perifere arveveiene.
Etter hvert som simuleringen løper rettes svakheten med manglende kobling av barn-foreldre opp, og rundt år 2020 er det bare 10 prosent av arvebeløpet som står uten arving. Senere øker denne andelen igjen på grunn av skilsmisser/samlivsbrudd og økende barnløshet.
Arvebeløpet øker i framskrivingsperioden, både fordi hvert arvebo vil bli større, og etterhvert også fordi antallet eldre som dør vil gå opp. At gjennomsnittlig arvebo vil gå opp virker rimelig utfra at de nest eldste allerede som 50-60 åringer har mer i formue i dag enn det de aller eldste har i dag, og i tillegg kommer at de vil få ytterligere formuesøkning som arvelatere og gjennom egen sparing.
At antallet eldre som dør vil øke fra rundt år 2020 skyldes flere faktorer, hvorav en viktig faktor er størrelsen på årskullene som når en «høy» alder, for eksempel 60 år. Både den historiske utviklingen og forutsetningene for framskrivingene bidrar til at årskullene som nærmer seg pensjonsalder vil øke i størrelse fram til de født rundt midten av 1900-tallet, for deretter å stabilisere seg på et nivå rundt 70 000 personer per årskull. Faktorer som bidrar til dette er nedgang i dødeligheten, variasjoner i fødselstallene og netto innvandring. Størrelsen på de eldre årskullene vil øke i relativ betydning, og slik sett gjøre at arv også øker sammenlignet med bruttonasjonalproduktet.

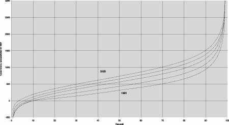
Figur 4.5 Befolkningen 50 år og eldre, etter formue. 1993, 2000, 2010, 2020, 2030
Fordeling av formue blant de over 50
For å belyse fordelingen av formue har vi sett på fordelingen av formue på individnivå blant personer 50 år og eldre, og figurene 4.5 til 4.8 viser noen av resultatene. I figur 4.5 er populasjonen 50 år og eldre sortert etter størrelsen på formuen, og figuren viser gjennomsnittlig formue for ulike percentiler over tid i referansebanen. Hovedinntrykket er at formuen øker jevnt for alle, men det er vanskelig å trekke noen umiddelbar konklusjon om fordelingen blir jevnere eller skjevere. En viktig faktor er dog at alle får en viss formuesøkning, og at andelen med positiv formue går opp, og dette er faktorer som trekker i retning av at formuen blir jevnere fordelt. Det tar noe tid før formuen øker for de med minst formue, men dette kan skyldes svakheter i beregningen av formuen i basisåret. Hvis for mange 30-40 åringer har fått simulert negativ formue i basisåret der den skulle vært positiv, vil det øke andelen av de over 50 år med negativ formue i noen ti-år framover. MOSART gir heller ingen god beskrivelse av formuesutviklingen for de 1-2 prosentene med mest formue, men det er rimelig tatt i betraktning den enkle modelleringen av kapitalinntekter og sparing.

Figur 4.6 Effekt av arv og rente. Befolkningen 50 år og eldre, etter formue
I figur 4.6 har vi sett på de samme tallene, men nå sammenligner vi situasjonen i 1993 med den i år 2030 for referansebanen og for et framskrivingsalternativ med lav rente og ingen arv. Forskjellen er relativt lik for alle percentilene og formuen er like skjevt fordelt i disse to framskrivingsalternativene. Dette virker rimelig gitt forutsetningene, men en kritisk forutsetning her er fraværet av systematiske koblinger av barn og foreldre i simuleringen med de konsekvenser det får for opphoping av formue på familienivå.

Figur 4.7 Lorenz-kurver. Befolkningen 50 år og eldre, etter formue. 1993, 2000, 2010, 2020, 2030
I figur 4.7 har vi normalisert figur 4.5 ved at vi setter negative formuer til null og ved at vi rapporterer Lorenz-kurver for de samme størrelsene. Det er en markert trend i retning av mindre skjevt fordelt formue, og dette framgår av figur 4.8 som viser Gini-koeffisienter for utviklingen i formuesfordeling. Om den avtagende skjevheten skyldes reelle utviklingstrekk i norsk økonomi eller svakheter i simuleringen er vanskelig å svare på. Det eneste som virker substansielt er at en større andel etter hvert får vesentlig formue («et konstant tillegg til alle»), og det bidrar vesentlig til redusert skjevhet når utgangspunktet er en veldig skjev fordeling. De potensielle svakhetene i simuleringene er derimot mange, og en rekke faktorer gjør nok at vi undervurderer hvor skjevt formue vil bli fordelt. Dette gjør at vi i liten grad kan trekke noen klare konklusjoner omkring fordelingen av formue, utover det at eventuelle endringer nok blir moderate.

Figur 4.8 Gini-koeffisienter. Befolkningen 50 år og eldre.
Referanser
Fredriksen, Dennis (1998): Projections of Population, Education, Labour Supply and Public Pension Benefits, Social and economic studies 101, Statistisk sentralbyrå.
Statistisk sentralbyrå (1999): Arveavgiftsstatistikk 1997, http://www.ssb.no/arv.
Tillegg 1: Sparerelasjonen
Sparingen i MOSART simuleres avhengig av husholdstype, alder, antall barn og disponibel inntekt gitt ved:
ST = KonstantH + AT x BALDERH + NBT x BBARNHT + IT x BINNTEKTHT + RestleddT
RestleddT = εT + RestleddT-1 x rhoH
εT ∼ Normalfordelt(0,σH)
Hvor 'T' henspeiler på periode og 'H' på husholdstype.
Restleddet skal fange opp den uforklarte delen av sparingen, hvor 'rho' sier noe om autokorrelasjonen i disse avvikene. Positiv 'rho' sier at restleddet i år er negativt korrelert med restleddet i fjor. Det er ingen permanente individuelle avvik i sparingen.
Med unntak av BINNTEKT og rho er alt angitt i løpende kroner fra perioden 1986-1993, og i simuleringen blir disse beløpene lønnsindeksert.
Figur 4.9 oppsummerer noen av disse sammenhengene.
Tabell 4.2 Estimerte parameterverdier
| Effekt | Par | Enslig uten barn | Enslig med barn |
| Konstant | -45493 | -2794 | -563 |
| BALDER | 367 | - | - |
| BBARN | -5588 | - | -618 |
| BINNTEKT | 0.2306 | 0.1123 | 0.0384 |
| σ | 66927 | 32991 | 24847 |
| rho | -0.0210 | 0.1163 | 0.0744 |

Figur 4.9 Sparing på husholdningsnivå
Fotnoter
Når formuen allikevel går mot en øvre grense skyldes det at verdien av arven sammenlignet med lønnsnivået faller med 35 prosent fra en generasjon til den neste, og dette er en rekkeutvikling som begynner å konvergere etter 5-6 generasjoner. Reduksjonen på 35 prosent bygger på følgende anslag: reduksjon = 1 - restverdi = 1 - 1/((1+lønnsvekst)**generasjonsavstanden) = 1 - 1/(1,015**29) = 0,35