5 Levealdersjustering og nøytralt fleksibelt uttak
5.1 Innledning og sammendrag
Stortinget vedtok 26. mai 2005 i forbindelse med behandlingen av St.meld. nr. 12 (2004–2005) Pensjonsreform – trygghet for pensjonene å innføre en ordning med levealdersjustering i folketrygdens alderspensjon.
Levealdersjustering er en mekanisme som knytter pensjonsalderen eller pensjonsnivået til utviklingen i befolkningens levealder. Når levealderen i befolkningen øker, må en arbeide noe lenger for å få samme årlige pensjon, fordi opparbeidede pensjonsrettigheter da skal fordeles på lengre levetid. Mange OECD-land som har reformert sine pensjonssystemer, har innført levealdersjustering av pensjonene.
I vedtak av 23. april 2007 sluttet Stortinget seg til Regjeringens forslag i St.meld. nr. 5 (2006–2007) Opptjening og uttak av alderspensjon i folketrygden om å iverksette ordningen med levealdersjustering fra 2010 med virkning for nye alderspensjonister. Levealdersjusteringen vil dermed ha virkning for alderspensjonister som går av med pensjon både etter dagens og nye opptjeningsregler. Det heter i meldingen at den konkrete gjennomføringen av prinsippet om levealdersjustering vil bli drøftet i lovarbeidet i etterkant av stortingsmeldingen. I meldingen heter det også at praktiseringen av ordningen skal følges opp over tid.
Levealdersjusteringen henger nøye sammen med innføringen av fleksibilitet i alderspensjonen. Ved behandlingen av St.meld. nr. 5 sluttet Stortinget seg også til Regjeringens forslag om fleksibelt uttak av pensjon fra 62 år fra 2010, basert på at årlig pensjon skal reflektere forventet antall år som pensjonist, se nærmere omtale i kapittel 6 Uttak av ny alderspensjon og i kapittel 7 Endringer i dagens alderspensjon. Det vises til at Regjeringen i St.prp. nr. 1 (2008–2009) varslet at den vil foreslå å forskyve iverksettingen av fleksibelt uttak av alderspensjon til 2011.
Levealdersjustering kombinert med fleksibelt uttak av alderspensjon gir den enkelte valget mellom å utsette uttaket av pensjon noe, kombinere hel eller delvis pensjon med fortsatt arbeid, eller å ta ut en lavere årlig pensjon. Uansett hvordan den enkelte velger å tilpasse seg, sikrer levealdersjusteringen at folketrygdens utgifter til alderspensjon på lang sikt blir om lag upåvirket av endringer i levealderen. I lys av forventningene om stadig økende levealder er levealdersjusteringen det viktigste enkelttiltaket for å gjøre pensjonssystemet bærekraftig på sikt.
Departementet foreslår å konkretisere levealdersjusteringen for det enkelte årskull ved delingstall som beregnes med utgangspunkt i forventet gjenstående levetid fra tidspunktet for uttak av alderspensjon, justert for dødelighet fram til uttakstidspunktet. På denne måten tar levealdersjusteringen hensyn til endringer i dødelighet både i yrkesaktiv alder og som pensjonist. Forslaget til konkretisering av levealdersjusteringen innebærer også at forventet nåverdi av samlede pensjonsutbetalinger vil være uavhengig av uttakstidspunkt. Se avsnitt 5.2
Departementet foreslår at det fastsettes delingstall for hvert årskull fra og med 62 år til og med 75 år. Grensene samsvarer med Stortingets vedtak om 62 år som nedre grense for uttak av alderspensjon og departementets forslag om 75 år som øvre aldersgrense for pensjonsopptjening. En øvre grense for pensjonsopptjening og delingstall sikrer at forskjellene i kompensasjonsnivå mellom de som tar ut pensjon tidlig og de som tar den ut sent ikke blir urimelig store. Det fastsettes felles delingstall for kvinner og menn. Delingstallene foreslås fastsatt endelig når årskullene er 61 år slik at delingstallene for den enkelte vil være kjent før nedre uttaksalder. For å unngå variasjoner i delingstallene mellom årskull som følge av tilfeldige årlige svingninger i dødeligheten, foreslås delingstallene fastsatt på grunnlag av observert dødelighet for eldre årskull over en tiårsperiode forut for fastsettingstidspunktet. Ved fastsettingen benyttes forventet lønnsvekst som diskonteringsrente, og det tas hensyn til at pensjon under utbetaling skal reguleres med lønnsveksten fratrukket en fast faktor på 0,75 prosent. Delingstallene foreslås fastsatt med to desimaler. Dette sikrer tilstrekkelig presise delingstall. Se avsnitt 5.3.
I dagens alderspensjon tjenes det opp rettigheter til en årlig ytelse og ikke til en pensjonsbeholdning. Dette gjør at justeringen for utviklingen i levealderen må gjennomføres på en annen måte for dagens alderspensjon. Departementet foreslår at det i tillegg til delingstallene utarbeides forholdstall for pensjon opptjent etter dagens regler. Forholdstallene beregnes med utgangspunkt i forventet gjenstående levetid fra tidspunkt for uttak av pensjon, hensyntatt overlevelsessannsynligheten fra nedre grense for uttak til uttakstidspunktet. Ved fastsetting av forholdstallene tas det dermed bare hensyn til dødelighet etter 62 år. Forholdstallet normeres til 1 ved 67 år for 1943-årskullet som kan ta ut pensjon fra 67 år i 2010.
Forholdstallene foreslås fastsatt endelig når årskullene er 61 år, basert på observert dødelighet for eldre årskull over en tiårsperiode forut for fastsettingstidspunktet. På samme måte som delingstallene i ny alderspensjon, vil forholdstallene ha en funksjon ved fleksibelt uttak av dagens alderspensjon. Det utarbeides derfor forholdstall for årene fra 62 til 75 år på tilsvarende måte som for delingstallene. Forholdstallene foreslås fastsatt med tre desimaler. Dette gjør at delingstallene og forholdstallene blir om lag like nøyaktige. Se avsnitt 5.4.
I forbindelse med lønnsoppgjøret i privat sektor i 2008 ble det inngått avtale mellom partene i arbeidslivet om ny AFP tilpasset fleksibel alderspensjon i folketrygden. I brev av 2. april 2008 fra statsministeren til Riksmeklingsmannen heter det at Regjeringen er innstilt på å foreslå for Stortinget en gradvis innfasing av levealdersjusteringen som innebærer at de første årskullene som kan ta ut pensjon etter at pensjonsreformen er trådt i kraft, i noen grad vil skjermes for effekten av den sterke økningen i levealderen de siste årene.
Departementet sendte 8. mai 2008 på høring forslag som følger opp brevet fra statsministeren. Departementet foreslår at levealdersjusteringen fases gradvis inn for årskullene 1943–1949, slik at forholdstallet ved 67 år ikke øker mer enn 0,5 prosent fra et årskull til det neste. Dette innebærer i praksis at observert dødelighet før 2010 ikke får betydning for beregningen av disse årskullenes forholdstall ved 67 år. Det foreslås at skjermingen får gradvis mindre effekt for årskullene fra 1950 til og med 1958 ved at endringen i forholdstallene ved 67 år mellom disse årskullene beregnes som en veid sum av 0,5 prosent og levealdersjusteringen slik denne er definert i høringsnotatet av 28. januar 2008, dersom sistnevnte overstiger 0,5 prosent. Se avsnitt 5.5.
Departementet foreslår at både delingstall og forholdstall fastsettes administrativt basert på et entydig regelverk. Departementet foreslår at praktiseringen av ordningen med levealdersjustering følges opp som en del av den fortløpende evaluering av pensjonsreformen som vil foretas for å vurdere om reformen virker etter hensikten. Departementet legger til grunn at evalueringsarbeidet vil gjennomgås i et arbeidslivs- og pensjonspolitisk råd som er opprettet i samarbeid med partene i arbeidslivet. Se avsnitt 5.6.
I avsnitt 5.7 presenteres anslag på delingstall og forholdstall og det redegjøres for effektene av levealdersjusteringen for den enkelte. Det vises for øvrig til kapittel 10 hvor det er gitt flere eksempler på økonomiske effekter av forslagene for den enkelte.
5.2 Levealdersjustering – hovedspørsmål
5.2.1 Stortingets vedtak og departementets høringsforslag
Stortingets vedtak 26. mai 2005 i forbindelse med behandlingen av St.meld. nr. 12 (2004–2005) innebærer at det skal innføres en ordning med levealdersjustering i folketrygdens alderspensjon. Ved behandling av St.meld. nr. 5 (2006–2007) sluttet Stortinget seg til forslaget om å iverksette levealdersjustering i folketrygdens alderspensjon fra 2010 med virkning for nye alderspensjonister. Det heter i meldingen at den konkrete gjennomføringen av prinsippet om levealdersjustering vil bli drøftet i lovarbeidet i etterkant av stortingsmeldingen.
Departementet foreslo i høringsnotat av 28. januar 2008 å gjennomføre prinsippet om levealdersjustering ved at det fastsettes delingstall for det enkelte årskull, som beregnes med utgangspunkt i forventet gjenstående levetid fra pensjonsuttak, og ved en arvegevinst som beregnes med utgangspunkt i faktisk dødelighet i det aktuelle fødselskullet fram til pensjonsuttaket. I høringsnotatet ble arvegevinsten foreslått utformet ved å gi et årlig tillegg til pensjonsbeholdningen basert på andelen i årskullet som falt fra i løpet av året. Forslaget innebærer at delingstallet for en gitt uttaksalder øker fra et årskull til det neste når forventet levealder øker, og at arvegevinsten gir et mindre påslag til pensjonsbeholdningen når dødeligheten før uttaksalderen reduseres.
I forslaget om arvegevinst tas det hensyn til utviklingen i dødelighet også før 62 år i levealdersjusteringen. Dette sikrer en mer konsekvent levealdersjustering hvor endringer i dødeligheten både i yrkesaktiv alder og som pensjonist inngår. Når levealdersjusteringen på denne måten både tar hensyn til hvor mange i det enkelte årskullet som når pensjonsalderen, og hvor lenge årskullet i gjennomsnitt lever som pensjonist, blir alderspensjonssystemet robust mot økninger i levealderen både i perioden pensjonsrettighetene tjenes opp og i perioden de betales ut. Den totale effekten av levealdersjusteringen for en gitt uttaksalder kommer til uttrykk som den samlede effekten av endringen i delingstallet og endringen i akkumulert arvegevinst fra et årskull til det neste. For hvert enkelt årskull vil delingstallene og størrelsen på akkumulert arvegevinst ved ulike uttakstidspunkter også uttrykke nøytraliteten i den fleksible alderspensjonen, slik at forventet nåverdi av pensjonsytelsene vil være uavhengig av uttakstidspunktet. I ny alderspensjon opparbeides pensjonsrettigheter i form av en pensjonsbeholdning. Årlig pensjon framkommer ved å dele pensjonsbeholdningen på delingstallet.
Levealdersjustering og nøytralt fleksibelt uttak skal gjelde for pensjon opptjent både etter dagens og nye opptjeningsregler. I dagens alderspensjon tjenes det opp rettigheter til en årlig ytelse og ikke til en pensjonsbeholdning. Dette gjør at justeringen for utviklingen i levealderen må foregå på en annen måte for dagens alderspensjon. Departementet foreslo i høringsnotatet å konkretisere levealdersjusteringen av alderspensjon opptjent etter dagens regler ved hjelp av forholdstall. Forholdstallene beregnes med utgangspunkt i forventet gjenstående levetid fra tidspunktet for pensjonsuttak, hensyntatt overlevelsessannsynligheten fra nedre grense for uttak til faktisk uttak av pensjon. Forslaget innebærer dermed at det tas hensyn til endringer i dødelighet fra 62 år ved fastsetting av forholdstallene, men det beregnes ingen arvegevinst som tillegg til opptjeningen. Departementet foreslo i høringsnotatet at også garantipensjonen skulle justeres i forhold til uttaksalder ved hjelp av forholdstall. Departementet foreslår nå i stedet å benytte delingstallene ved justering av garantipensjonen i forhold til uttaksalder. Det vises til nærmere redegjørelse i avsnitt 4.6.
I forbindelse med lønnsoppgjøret i privat sektor i 2008 ble det inngått avtale mellom partene i arbeidslivet om ny AFP tilpasset fleksibel alderspensjon i folketrygden. I brev av 2. april 2008 fra statsministeren til Riksmeklingsmannen heter det at Regjeringen er innstilt på å foreslå for Stortinget en gradvis innfasing av levealdersjusteringen. Dette innebærer at de første årskullene som kan ta ut pensjon etter at pensjonsreformen er trådt i kraft i noen grad vil skjermes for effekten av den sterke økningen i levealderen de siste årene. I etterkant av lønnsoppgjøret sendte departementet 8. mai 2008 på høring forslag om blant annet gradvis innfasing av levealdersjusteringen, som følger opp brevet fra statsministeren.
5.2.2 Høringsinstansenes syn
Flere høringsinstanser har uttalt seg kritisk til innføring av levealdersjustering av alderspensjon i folketrygden. Blant de argumentene som anføres er at levealdersjusteringen er en usolidarisk ordning, at den gjør framtidens pensjoner uforutsigbare og at ikke alle har mulighet til å kompensere for effekten av levealdersjusteringen ved å arbeide lenger.
Mange høringsinstanser støtter departementets forslag til konkretisering av Stortingets vedtak om levealdersjustering ved delingstall, men flere høringsinstanser, herunder Arbeids- og velferdsdirektoratet, Norges Bondelag og Sparebankforeningen er bekymret for at utformingen av levealdersjusteringen samlet sett bidrar til å gjøre pensjonsregelverket komplekst. Særlig er mange høringsinstanser kritiske til forslaget om arvegevinst.
Akademikerne , Arbeids- og velferdsdirektoratet, De Selvstendige Kommunale Pensjonskasser og Norske Pensjonskassers Forening (Pensjonskasseforeningene), Kommunal Landspensjonskasse (KLP), Landsorganisasjonen i Norge (LO), Norges Ingeniør- og Teknologorganisasjon (NITO), Næringslivets Hovedorganisasjon (NHO), Senter for seniorpolitikk (SSP), Sparebankforeningen og Yrkesorganisasjonenes Sentralforbund (YS) mener at arvegevinsten vil øke kompleksiteten og minske forutsigbarheten i systemet. Arbeids- og velferdsdirektoratet uttaler i denne forbindelse:
«Departementets forslag om å innføre arvegevinst begrunnes med at en konsekvent levealdersjustering tilsier at det tas hensyn til dødelighet både før og etter 62 år. NAV har forståelse for denne begrunnelsen, men vi er av den oppfatning at arvegevinst før 62 år vil være et kompliserende element i det nye systemet. Det vil både være vanskelig for brukerne å forstå, og vil kreve svært inngående kjennskap til systemets detaljer hos NAVs veiledere, som skal kunne forklare beregningen og betydningen av arvegevinsten for brukerne. I tillegg vil brukerne stille spørsmål ved tilfeldige utslag mellom årskull.»
Arbeids- og velferdsdirektoratet peker også på at innføring av arvegevinst vil ha betydelige IKT-messige konsekvenser og medføre omfattende årlige oppdateringer av pensjonsbeholdningene i tillegg til øvrige oppdateringer.
Den norske aktuarforening (Aktuarforeningen), Finansnæringens Hovedorganisasjo n (FNH) og HSH mener likevel at det kan være rimelig å ta hensyn til dødelighetsutviklingen også før 62 år i levealdersjusteringen. Aktuarforeningen uttaler:
«Ved innføring av delingstall og arvegevinst tilnærmer folketrygden seg mer forsikringsbaserte løsninger i sin oppbygging. Aktuarforeningen mener at dersom det skal tas hensyn til dødelighetsutviklingen i pensjonssystemet via et delingstall ved pensjonsalder, kan en naturlig konsekvens være å også ta hensyn til arvegevinst før pensjonsalder.»
KLP mener at den økonomiske effekten av arvegevinsten må veies opp mot hensynet til enkelhet og forståelighet og uttaler:
«KLP vil (...) påpeke at innføringen av arvegevinstelementet fremstår som en komplisering av ny alderspensjon i folketrygden i forhold til det som opprinnelig ligger i pensjonsforliket. Vi er klar over at dette har en viss økonomisk effekt, men på den andre siden er det en egenverdi i forenkling og det å ha en forståelig modell. Derfor håper vi departementet veier forholdet til forenkling opp mot besparelsen som ligger i å ikke ha en lik opptjeningsprosent for alle årskull.»
Pensjonistpartiet, SSP og Unio er kritiske til den innsparingen som følger av innføring av arvegevinst. SSP uttaler:
«SSP ser nødvendigheten av justering sett i lys av pensjonssystemets bærekraft, men SSP påpeker likevel at det kan anføres betenkeligheter ved de innstramminger som forslaget oppfattes å medføre. Sett i sammenheng med innføring av en arvegevinst som et selvstendig element i en ny modell, styrker dette den samlede effekten negativt for den enkelte. Dette kan på mange måter anses som en ytterligere levealdersjustering.»
Høringsinstansene er i hovedsak positive til forslaget om en gradvis innfasing av levealdersjusteringen. Akademikerne, HSH, LO, Norsk Journalistlag, NITO, Unio og YS uttaler at de støtter forslaget, mens FNH, Sparebankforeningen, SSP og NHO viser til at forslaget er en naturlig konsekvens av årets tariffoppgjør i privat sektor og tar forslaget til etterretning. Akademikerne mener det bør vurderes å innføre en permanent skjermingsregel, i form av en maksimal prosentsats for endring i forholdstall og delingstall som sikrer at det aldri blir for stor forskjell fra et årskull til det neste. YS vil la graden av levealdersjustering, og eventuell skjerming også for senere årskull, være en del av den evalueringen av AFP partene har avtalt skal finne sted i 2017.
Flere høringsinstanser, herunder Landslaget for offentlige pensjonister , Arbeids- og velferdsdirektoratet, Norsk Journalistlag, Pensjonskasseforeningene, Sparebankforeningen og YS peker imidlertid på at en gradvis innfasing av levealdersjusteringen kompliserer pensjonssystemet ytterligere. Pensjonskasseforeningene er av denne grunn mot forslaget, mens Funksjonshemmedes Fellesorganisasjon (FFO) er kritisk til å delvis unnta enkelte årskull fra effektene av levealdersjusteringen. FFO ser det som usolidarisk både i forhold til uføre og i forhold til senere årskull. Også Landsforeningen for hjerte- og lungesyke (LHL) er kritisk til fordelingsvirkningene av forslaget.
5.2.3 Departementets vurdering og forslag
Departementet har merket seg at flere høringsinstanser har uttalt seg kritisk til innføring av levealdersjustering i ny alderspensjon i folketrygden.
Ved behandling av St.meld. nr. 12 (2004–2005) vedtok Stortinget å innføre en ordning med levealdersjustering i folketrygdens alderspensjon, og ved behandling av St.meld. nr. 5 (2006–2007) sluttet Stortinget seg til forslaget om å iverksette ordningen fra 2010 med virkning for nye alderspensjonister. I høringsnotat av 28. januar 2008 fremmet departementet forslag om hvordan prinsippet om levealdersjustering skal gjennomføres i praksis. I lys av forventningene om stadig økende levealder, er levealdersjusteringen det viktigste enkelttiltaket for å gjøre pensjonssystemet bærekraftig på sikt.
I høringsnotatet foreslo departementet at det skal tas hensyn til dødelighet både før og etter 62 år i levealdersjusteringen, og at dette gjennomføres ved at det beregnes en arvegevinst som gir et årlig påslag til pensjonsbeholdningen fram til pensjonsuttak, basert på hvor mange i årskullet som faller fra i yrkesaktiv alder. Høringsforslaget om arvegevinst som en del av levealdersjusteringen har både en prinsipiell side og en teknisk side. Det prinsipielle spørsmålet er om det skal tas hensyn til endringer i dødelighet i yrkesaktiv alder (før 62 år) i levealdersjusteringen. Det tekniske spørsmålet er om arvegevinst skal utformes som et separat element i pensjonsopptjeningen eller på en annen måte.
Departementet viser til at delingstallene er det mest sentrale elementet i levealdersjusteringen. Dette er fordi dødeligheten etter 62 år, som er nedre grense for uttak av pensjon, har større potensial for å endre seg over tid enn dødeligheten før 62 år, som allerede er lav. Innføring av delingstall har dermed størst betydning for bærekraften i pensjonssystemet. Departementet viser til at en konsekvent levealdersjustering likevel tilsier at det tas hensyn til endringer i dødelighet både før og etter 62 år. Det enkelte årskull vil da bære risikoen for endringer i dødelighet både i yrkesaktiv alder og som pensjonist. Når levealdersjusteringen på denne måten tar hensyn til både hvor mange i det enkelte årskullet som når pensjonsalderen, og hvor lenge årskullet i gjennomsnitt lever som pensjonist, blir alderspensjonssystemet robust mot økninger i levealderen både i perioden pensjonsrettighetene tjenes opp og i perioden de betales ut. Med Statistisk sentralbyrås forutsetninger om framtidig levealdersutvikling, bidrar det å ta hensyn til endringer i dødelighet før 62 år i levealdersjusteringen til å redusere utgiftene med om lag 5 milliarder kroner i 2050, idet dødeligheten før 62 år forventes å falle fra 2010 til 2050. Dette anslaget er imidlertid usikkert. Det vises til kapittel 11 om økonomiske konsekvenser.
Departementet foreslår på denne bakgrunn at det i levealdersjusteringen skal tas hensyn til dødelighet gjennom hele livet. Departementet ser samtidig at det kan virke kompliserende på pensjonssystemet å beregne arvegevinst som et separat tillegg til opptjeningen. Departementet viser også til at høringsinstansene som er negative til forslaget om arvegevinst i første rekke peker på at arvegevinsten virker kompliserende, og i liten grad uttaler seg om prinsippet om å ta hensyn til dødelighet gjennom hele livet i levealdersjusteringen. På denne bakgrunn foreslår departementet en alternativ måte å ta hensyn til utviklingen i dødelighet før uttak av alderspensjon i levealdersjusteringen. Departementets forslag er nærmere behandlet i avsnitt 5.3.
Departementet viser til at forslaget i høringsnotatet av 8. mai 2008 om å fase inn levealdersjusteringen gradvis er en oppfølging av statsministerens brev i forbindelse med lønnsoppgjøret i privat sektor i 2008. Begrunnelsen for i noen grad å skjerme enkelte årskull fra effekten av levealdersjusteringen, er at de første kullene av pensjonister etter 2010 må arbeide lenger for å motvirke effekten av levealdersjusteringen enn de som får sin pensjon beregnet etter nye opptjeningsregler. Videre er det kort tid til pensjonsreformen iverksettes, slik at disse årskullene har mindre muligheter til å tilpasse seg. Departementets forslag om gradvis innfasing av levealdersjusteringen er nærmere omtalt i avsnitt 5.5.
Det vises til at Regjeringen, blant annet på bakgrunn av innspill i høringen av ny alderspensjon, har foreslått å forskyve iverksettingen av fleksibelt uttak til 1. januar 2011, se St.prp. nr. 1 (2008–2009). Forskjøvet iverksetting av fleksibiliteten berører ikke levealdersjusteringen direkte. I tråd med Stortingets vedtak i april 2007 er forholdstallet ved 67 år i 2010 normert til 1. Forskyvningen vil dermed ikke påvirke beregningen av delingstall og forholdstall for ulike årskull og uttaksaldre, men de forholdstallene som skulle ha vært benyttet ved fleksibelt uttak i 2010 kommer ikke til anvendelse. Det vises til anslag på forholdstall og delingstall i avsnitt 5.7.
5.3 Delingstall
5.3.1 Stortingets vedtak og departementets høringsforslag
Departementet foreslo i høringsnotatet av 28. januar 2008 å fastsette delingstallene med utgangspunkt i forventet gjenstående levetid ved tidspunktet for uttak av alderspensjon. Departementet foreslo videre nærmere regler for fastsetting av delingstallet. Forslagene baserer seg på anbefalinger fra Statistisk sentralbyrå.
Øvre aldersgrense for delingstall
Stortinget har vedtatt en nedre aldersgrense på 62 år for uttak av alderspensjon. Dette blir dermed også den nedre aldersgrensen for fastsetting av delingstall. Stortinget har videre vedtatt at den øvre grensen for pensjonsopptjening på 70 år skal fjernes.
I et nøytralt system vil effekten av ett års utsatt uttak være høyere jo eldre man er, fordi forventet tid som pensjonist reduseres relativt mer. For å unngå svært store forskjeller i årlig pensjonsnivå mellom de som tar ut pensjon tidlig og de som tar den ut sent, bør det være en øvre grense for fastsetting av delingstall. Departementet foreslo i høringsnotatet en øvre grense på 75 år for fastsetting av delingstall i tråd med forslaget om en øvre aldersgrense for pensjonsopptjening på 75 år, jf. kapittel 3. Pensjonen vil dermed ikke øke dersom uttak utsettes utover 75 år, og grensene for beregning av delingstall og opptjening vil være like. Dette bidrar til et enkelt og konsistent system.
Delingstall for hvert årskull
I høringsnotatet ble det foreslått at hvert enkelt årskull får et sett med delingstall som reflekterer forventet gjenstående levetid ved tidspunkt for pensjonsuttak mellom 62 og 75 år. Dette innebærer en gradvis justering av delingstallene i takt med levealdersutviklingen. Dersom delingstallene alternativt skulle gjelde for flere årskull, for eksempel for fem årskull av gangen, ville en kunne få terskeleffekter fra et årskull til det neste.
Månedlige delingstall
I ny alderspensjon kan tidspunkt for uttak av alderspensjon velges fleksibelt hver måned innenfor intervallet 62–75 år. På denne bakgrunn foreslo departementet at det utarbeides månedlige delingstall. Hvis det alternativt bare ble fastsatt årlige delingstall, ville en ikke få noe igjen for å utsette pensjonsuttaket ut over hele år. Eksempelvis vil en person som venter med å ta ut pensjon fra 67 til 68 år få om lag seks prosent mer i årlig pensjon, beregnet med utgangspunkt i dagens dødelighet. I et system med fastsetting av delingstall bare for hele år, ville for eksempel en person som tar ut pensjon ved 67 år og 11 måneder, altså tape bortimot seks prosent av pensjonen sammenliknet med et system der det fastsettes månedlige delingstall. Månedlige delingstall harmonerer også med månedlig utbetaling av pensjoner.
Det utarbeides ikke offisiell levealdersstatistikk på månedsbasis. Departementet la til grunn at delingstallene for pensjonsuttak spesifisert på månedsbasis kan fastsettes ved lineær interpolering mellom de to aktuelle delingstallene for alder målt i hele antall år. Det betyr at endringer i levealderen forutsettes jevnt fordelt mellom to tidspunkt for pensjonsuttak målt i to tilstøtende hele år.
Observert dødelighet i beregning av delingstall og valg av observasjonsperiode
Departementet foreslo i høringsnotatet at delingstallene fastsettes ut fra forventet levealder basert på den aldersspesifikke observerte dødeligheten til tidligere årskull. Dette betyr at man benytter observerte tall for hvor mange på ulike alderstrinn som dør i løpet av en gitt periode. Departementets vurdering var at fastsettingen av delingstall i størst mulig grad bør skje på objektivt grunnlag, og at det derfor måtte etableres entydige regler for fastsettingen av forventet levealder. Beregninger av forventet levealder kunne alternativt vært basert på prognoser for dødeligheten. Slike prognoser er imidlertid basert på skjønn, og det ville kunne oppstå diskusjoner om hvilke forutsetninger som er mest realistiske. De fleste land som har innført levealdersjustering har valgt å benytte observert dødelighet.
For å unngå at delingstallene endres mye fra et årskull til det neste som følge av tilfeldige svingninger i dødeligheten, må beregning av delingstall baseres på et gjennomsnitt av observert dødelighet over en periode. Endringene i delingstallene mellom årskullene blir jevnere jo lengre observasjonsperiode en velger. Samtidig vil en ved en lang observasjonsperiode måtte bygge på statistikk lenger tilbake i tid, og det vil ta lengre tid før et skifte i trend påvirker delingstallene.
Departementet foreslo en observasjonsperiode på ti år. I valg av observasjonsperiode er hensynet til å unngå tilfeldige svingninger i delingstallene avveid mot hensynet til at endringene i delingstallene fra et årskull til et annet i størst mulig grad skal gjenspeile faktisk endring i forventet gjenstående levetid.
Tidspunkt for fastsetting av delingstall
Tidspunktet for når delingstallet skal fastsettes for det enkelte årskull må baseres på en avveining mellom hensynet til forutsigbarhet og hensynet til at delingstallet skal bygge på mest mulig oppdatert informasjon om dødelighetsutviklingen. Departementet viste til at det i det svenske pensjonssystemet fastsettes foreløpige delingstall året før nedre aldersgrense for pensjonsuttak, som så senere justeres basert på oppdatert informasjon om utviklingen i forventet levealder. Departementet pekte på at det var uheldig om pensjonsytelsene for de som allerede har tatt ut pensjon blir beregnet på nytt på grunnlag av nye observasjoner av dødeligheten.
Departementet foreslo i høringsnotatet at delingstallene fastsettes med endelig virkning det året den enkelte fyller 61 år. Ved å fastsette delingstallene kalenderåret før første mulige uttaksalder, som er 62 år, vil informasjon om effekten av å utsette uttak være tilgjengelig før ethvert mulig uttakstidspunkt. I tillegg ble det foreslått at det skal utarbeides anslag for de enkelte årskulls framtidige delingstall, slik at den enkelte i yrkesaktiv alder får en god indikasjon på framtidige pensjonsnivåer.
Presisjonsnivå ved fastsetting av delingstall
Delingstallene ble i høringsnotatet foreslått fastsatt med to desimaler. Det anses ikke som hensiktsmessig med mange desimaler i delingstallene, samtidig som avvik fra verdier ved å benytte flere desimaler ikke bør bli for store. To desimaler gir etter departementets syn tilstrekkelig nøyaktige delingstall. Det vises til at det også i det svenske pensjonssystemet benyttes to desimaler.
Beregning av arvegevinst
Departementet foreslo i høringsnotatet å gjennomføre en levealdersjustering som tar hensyn til dødelighet også før 62 år ved en arvegevinst som skulle gis som et påslag til pensjonsbeholdningen. Departementet foreslo videre at beregningen av arvegevinsten skulle baseres på data for dødelighetsutviklingen i befolkningen, at fastsetting av arvegevinsten fram til og med 59 år skulle baseres på data for faktisk dødelighetsutvikling og at det fra 60 år skulle benyttes samme dødelighetsstatistikk som ligger til grunn for fastsettingen av delingstallene.
Departementet viste i høringsnotatet til at størrelsen på akkumulert arvegevinst ved tidspunktet for uttak av alderspensjon ville utgjøre summen av tildelt arvegevinst fra det året den enkelte startet med å opptjene pensjonsrettigheter og fram til pensjonsuttak. Ved uttak av alderspensjon ville den samlede arvegevinsten derfor avhenge av når opptjeningen av pensjonsrettigheter startet og av størrelsen på pensjonsopptjeningen på ulike tidspunkt. For en gitt uttaksalder ville en krone i pensjonsopptjening tidlig i livet gi en noe større samlet arvegevinst enn en krone opptjent sent i livet. Dette skyldes at opptjening som starter tidlig i livet gir arvegevinst i flere år enn opptjening som starter senere. Departementet varslet i høringsnotatet at fordelingseffektene av arvegevinst ville bli vurdert i lovproposisjonen om ny alderspensjon i folketrygden.
5.3.2 Høringsinstansenes syn
Arbeids- og velferdsdirektoratet og Akademikerne støtter departementets forslag om en øvre grense for delingstall ved 75 år og mener dette bidrar til et konsistent system, fordi øvre grense for opptjening og delingstall dermed blir like, selv om Akademikerne i utgangspunktet mener at det ikke skal være noen øvre eller nedre grense for pensjonsopptjening. Disse høringsinstansene støtter også departementets forslag om at hvert årskull får et sett delingstall som reflekterer levealderen for ulike uttakstidspunkt mellom 62 og 75 år. Arbeids- og velferdsdirektoratet, Akademikerne og Pensjonistpartiet er videre enige i departementets forslag til fastsetting av månedlige delingstall.
HSH og Akademikerne støtter departementets forslag om at delingstallet fastsettes med endelig virkning det året den enkelte fyller 61 år. Yrkesorganisasjonenes Sentralforbund (YS) mener på den annen side det er for sent å få vite hva en skal få i pensjon fra fylte 62 år når en er 61 år. Foreløpige delingstall bør derfor etter YS’ syn kunne tildeles tidligere. Arbeids- og velferdsdirektoratet gir uttrykk for liknende synspunkter, men mener at forslaget er en god avveining mellom ulike hensyn. Direktoratet uttaler:
«NAV har med utgangspunkt i forutsigbarhet for brukerne hatt et ønske om at faktiske delingstall skulle være tilgjengelige senest to år før brukerne fyller 62 år. NAV mener likevel at den anbefalte løsningen er en god avveining mellom hensynet til brukernes behov for forutsigbarhet og hensynet til at delingstallet skal bygge på mest mulig oppdatert informasjon. Vi støtter derfor den anbefalte løsningen med observert dødelighet.»
I likhet med Arbeids- og velferdsdirektoratet støtter Den norske aktuarforening (Aktuarforeningen), HSH og Norges Ingeniør- og Teknologorganisasjon departementets forslag om å fastsette delingstallet ut fra forventet levealder basert på observert dødelighet for tidligere årskull. Aktuarforeningen og HSH mener det er fornuftig å velge en observasjonsperiode på (minst) ti år for å unngå tilfeldige endringer i delingstallene fra et årskull til et annet, mens Kommunal Landspensjonskasse (KLP) og Kredittilsynet mener at en observasjonsperiode på ti år medfører at nye observasjoner får for liten vekt. KLP uttaler om dette:
«En svakhet ved å benytte gjennomsnitt over en tiårsperiode er at endring i dødelighetstrender ikke vil bli fanget opp av modellen før etter lang tid. Dette kan kompenseres for ved å basere beregning av delingstall på et veiet gjennomsnitt over observasjonsperioden, der de nyeste observasjonene får størst vekt.»
Unio er imot forslaget om å benytte en observasjonsperiode på ti år fordi forslaget innebærer en økonomisk innstramming i forhold til beregningene som ble presentert i St. meld. nr. 5 (2006–2007).
Arbeids- og velferdsdirektoratet slutter seg til departementets forslag om at delingstall skal utarbeides med to desimaler.
Et flertall av høringsinstansene er negative til innføring av arvegevinst i alderspensjonen i folketrygden fordi det kompliserer pensjonssystemet. Mange høringsinstanser, herunder Aktuarforeningen, Arbeids- og velferdsdirektoratet, Finansnæringens Hovedorganisasjon (FNH), De Selvstendige Kommunale Pensjonskasser og Norske Pensjonskassers Forening (Pensjonskasseforeningene) og YS argumenterer derfor for en enklere utforming av arvegevinsten, gitt at den skal innføres. Flere høringsinstanser argumenterer for at effekten av en eventuell arvegevinst bør ivaretas ved en endret opptjeningsprosent eller endrede delingstall. Pensjonskasseforeningene uttaler:
«Etter Pensjonskasseforeningenes syn vil arvegevinst som et eksplisitt element i pensjonsberegningene bidra til å komplisere modellen unødig. Endringene i dødelighet for personer under 62 år er neppe slik av en slik størrelsesorden at det forsvarer at dette tas inn som et eksplisitt element i modellen. Det vil derfor være mer hensiktsmessig å bygge gjennomsnittlig dødelighetsarv inn i satsen for pensjonsopptjening (...) eller inkludere dødelighet før 62 i delingstallet ved beregning av pensjon ved oppnådd aldersgrense.»
Arbeids- og velferdsdirektoratet mener at en alternativ løsning til arvegevinst der opptjeningsprosenten økes vil være enklere å administrere og enklere å formidle til brukerne. Flere høringsinstanser, herunder Aktuarforeningen, Arbeids- og velferdsdirektoratet, FNH og KLP påpeker at arvegevinsten kun vil avhenge av dødeligheten for det enkelte årskull og at dette vil kunne medføre svingninger i arvegevinsten mellom årskullene. Disse høringsinstansene argumenterer derfor for en alternativ utforming av arvegevinsten dersom det skal innføres en form for arvegevinst. Arbeids- og velferdsdirektoratet fremmer følgende forslag:
«(...) en årskullsspesifikk (vil) arvegevinst kunne gi tilfeldige utslag som kan være vanskelig å forstå. NAV mener derfor at dersom man likevel velger å innføre arvegevinst i opptjeningen fram til fylte 62 år, bør det utredes om det vil være et bedre alternativ for beregning og tildeling å gjøre dette samlet for hele befolkningen under 62 år, dvs at pensjonsbeholdningen hvert år tillegges en arvegevinst som avhenger av dødelighet for hele aldersgruppen 17-61 år. Alternativt kan det innføres en lengre observasjonsperiode enn 1 år, slik det er foreslått for delingstall. Ved slike alternative løsninger unngår man at årskullsspesifikk, tilfeldig statistisk variasjon i dødelighet påvirker framtidig alderspensjon. Vi antar at en felles arvegevinstfaktor for alle årskull pr år vil være enklere å forstå for brukerne. I tillegg vil den årlige oppdateringen av arvegevinst i IKT-løsningen være enklere hvis arvegevinsten er den samme for alle. En slik kollektiv arvegevinst vil imidlertid kunne være sårbar i forhold til demografiske endringer mellom årskull. Det vil også medføre at pensjonsprosenten på 18,1 % må kalibreres på nytt, ettersom felles arvegevinst under 62 år ellers vil kunne gi realøkonomiske effekter.»
Arbeids- og velferdsdirektoratet viser også til at arvegevinst for perioden fra 62 år til fullt pensjonsuttak er foreslått tatt ut av delingstallet og behandlet på samme måte som forslaget for arvegevinst før 62 år og at dødelighetsstatistikken som er lagt til grunn i delingstallene skal benyttes for å fastsette arvegevinst for denne aldersgruppen. Arbeids- og velferdsdirektoratet uttaler i denne forbindelse:
«NAV er enig i at det må tas hensyn til arvegevinst for perioden etter 62 år. Vi er også enige i at det skal benyttes samme grunnlag for dødelighet som ved fastsettelse av delingstallene. Administrativt vil det være en stor forenkling om arvegevinsten for denne gruppen ble tatt inn i delingstallene. Vi antar at det vil være enklere for brukerne å forstå delingstallet hvis dette er uten arvegevinst. I tillegg kommer at en separat arvegevinst kan gi et noe høyt fokus på dødsrisiko og brukers opplevelse av at dette er en gevinst som bør tilfalle eventuelle arvinger.
Sparebankforeningen viser til departementets forslag om å basere beregningen av arvegevinst på demografisk dødelighet og uttaler:
«Sparebankforeningen er bekymret for at en så komplisert måte å beregne arvegevinsten på i fremtiden vil føre til et press mot forenkling og mer forutsigbarhet. Dessuten er det svært sannsynlig at denne arvegevinsten vil bli mindre i årene fremover som en følge av generelt lavere dødelighet. Kravet om en kompensasjon for dette vil raskt dukke opp. Derfor går vi inn for en enklere modell for beregning av arvegevinst, enten ved å gi et likt kronebeløp til alle eller en fast prosentsats på toppen av ordinær opptjening (18,1 prosent) slik at summen blir mest mulig lik stortingets forutsetning i pensjonsforliket.»
5.3.3 Departementets vurdering og forslag
Det vises til høringsnotatet av 28. januar 2008 der departementet fremmet forslag til hvordan Stortingets vedtak om innføring av en ordning med levealdersjustering av ny alderspensjon i folketrygden skal gjennomføres i praksis. Det vises også til punkt 5.2.3 der departementet foreslår at det skal tas hensyn til utviklingen i dødelighet før 62 år i levealdersjusteringen.
Departementet foreslår at bestemmelser om levealdersjustering for de som omfattes av nye opptjeningsregler kommer til uttrykk gjennom to lovparagrafer. Overordnede bestemmelser om levealdersjustering og nøytralt fleksibelt uttak framgår av § 20-12, og nærmere regler om fastsetting av delingstall er gitt i § 20-13.
Øvre aldersgrense for delingstall
Få høringsinstanser har kommentert forslaget om øvre aldersgrense for delingstall. De som har uttalt seg støtter forslaget. Departementet foreslår på denne bakgrunn at det skal fastsettes en øvre aldersgrense for delingstall på 75 år, se § 20-12 fjerde ledd. En øvre aldersgrense bidrar til at forskjellene i pensjonsnivå ikke blir for store mellom de som tar ut pensjon tidlig og de som tar den ut sent. Grensene for beregning av delingstall og opptjening vil dermed være like, og dette bidrar etter departementets syn til et enkelt og konsistent system.
Delingstall for hvert årskull
Få høringsinstanser har kommentert forslaget om delingstall for hvert årskull. De som har uttalt seg støtter forslaget. Departementet viser til at delingstall for hvert årskull innebærer en gradvis justering av delingstallene i takt med levealdersutviklingen. Dersom delingstallene alternativt skulle gjelde for flere årskull, for eksempel for fem årskull av gangen, ville en kunne få terskeleffekter fra et årskull til det neste. Departementet foreslår at det fastsettes delingstall for hvert årskull. Det fastsettes felles delingstall for kvinner og menn. Det vises til § 20-12 fjerde ledd.
Månedlige delingstall
Få høringsinstanser har kommentert forslaget om månedlige delingstall. De som har uttalt seg støtter forslaget. Månedlige delingstall sikrer at den enkelte får pensjonsmessig uttelling for å utsette uttaket også utover hele år. Det vises til § 20-12 fjerde ledd. Departementet viser til at månedlige delingstall også harmonerer med månedlig utbetaling av pensjoner.
Fordi det ikke utarbeides offisiell levealdersstatistikk på månedsbasis, foreslår departementet at månedlige delingstall fastsettes ved lineær interpolering mellom de to tilstøtende årlige delingstallene. Dette er fastsatt i § 20-13 tredje ledd. Forslaget innebærer at endringer i forventet gjenstående levetid forutsettes jevnt fordelt mellom to tidspunkt for pensjonsuttak målt i hele år.
Observert dødelighet i beregning av delingsstall og valg av observasjonsperiode
Enkelte høringsinstanser har kommentert forslagene om å benytte observert dødelighet for eldre årskull som grunnlag for beregning av delingstallene og forslaget om en observasjonsperiode på ti år.
Delingstallene for et årskull fastsettes på bakgrunn av forventet gjenstående levetid fra uttakstidspunktet og reflekterer hvor lenge en person som tilhører årskullet i gjennomsnitt vil leve fra ulike uttakstidspunkt etter 62 år. Hvor lenge et årskull i gjennomsnitt faktisk lever, vil ikke være kjent før alle fra årskullet har avgått ved døden. For beregning av forventet levealder må det derfor gjøres forutsetninger om dødelighetsforhold i framtiden. Når man benytter observert dødelighet for eldre årskull for å beregne forventet gjenstående levetid, forutsetter man altså en videreføring av gjeldende dødelighetsforhold, det vil si at hvor mange som dør ved ulike aldre forutsettes uendret.
En fordel ved å benytte observert dødelighet for eldre årskull er at det gir mindre rom for diskusjon om beregningsgrunnlaget for delingstallene enn om en skulle fastsette delingstallene på bakgrunn av prognoser for dødelighet. Departementet viser til at den foreslåtte metoden også er i samsvar med hvordan Statistisk sentralbyrå beregner forventet levealder.
Delingstallene må baseres på et gjennomsnitt av observert dødelighet over en periode for å unngå at det blir store tilfeldige variasjoner i delingstallene mellom årskull. I høringsnotatet ble det foreslått en observasjonsperiode på ti år. Flere høringsinstanser støtter departementets forslag, men enkelte mener at en observasjonsperiode på ti år medfører at nye observasjoner får for liten vekt.
Departementet viser til at valget av observasjonsperiode avveier hensynet til at delingstallene ikke skal endres mye som følge av tilfeldige svingninger i dødeligheten fra et år til et annet mot hensynet til at endringene i delingstallene fra et årskull til et annet i størst mulig grad skal gjenspeile faktisk endring i forventet gjenstående levetid. Endringene i delingstallene mellom årskullene blir jevnere jo lengre observasjonsperiode en velger. Samtidig vil en ved en lang observasjonsperiode måtte bygge på statistikk lenger tilbake i tid, og det vil ta lengre tid før et skifte i trend påvirker delingstallene. Enkelte høringsinstanser foreslår å tillegge nyere observasjoner større vekt enn eldre observasjoner. Departementet viser til at en ved å vekte observasjonene risikerer at endringene i delingstallene fra et årskull til det neste ikke får et tilstrekkelig jevnt forløp.
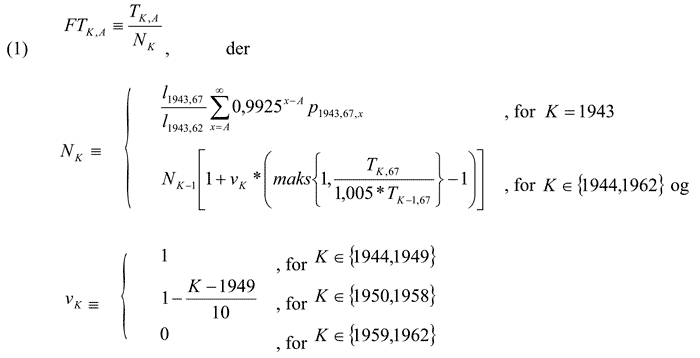
Figur 5.1 viser årlige endringer i delingstallene ved 67 år basert på faktisk dødelighet fram til og med 2007 og Statistisk sentralbyrås befolkningsframskrivning fra 2008 når det brukes en observasjonsperiode på ti år, sammenlignet med å bruke de årlige observasjonene direkte.

Figur 5.1 Årlig prosentvis endring i delingstallet ved 67 år med ett og ti års observasjonsperiode1
1 Delingstallene for et årskull fastsettes det året et årskull fyller 61 år, basert på observerte dødelighetsrater for eldre årskull. Delingstallet ved 67 år med hhv. 1 og 10 års observasjonsperiode er derfor basert på observerte dødelighetsrater henholdsvis 7 år og gjennomsnittet av dødelighetsrater 16–7 år tilbake i tid. Endring i delingstallene i et enkelt år framkommer dermed fra endringer i dødeligheten tilsvarende antall år tilbake i tid i forhold til årstallene som framgår av figuren. For å illustrere betydningen av observasjonsperiode er det beregnet endringer i delingstall ved 67 år tilbake til 2000, selv om delingstallene ved 67 år ikke kommer til anvendelse før fra 2021.
Kilde: Statistisk sentralbyrå og Arbeids- og inkluderingsdepartementet
Det framgår av figuren at endringene i delingstallene fra et år til et annet varierer svært mye når det ikke benyttes et gjennomsnitt av observasjoner over flere år. I enkelte år er endringene dessuten negative, til tross for at den langsiktige trenden er at levealderen øker over tid.
Departementet foreslår at delingstallene fastsettes med utgangspunkt i forventet gjenstående levetid på uttakstidspunktet på bakgrunn av observerte dødelighetsrater for eldre årskull de siste ti årene forut for fastsettingsåret. Dette framgår av § 20-13 andre ledd.
Tidspunkt for fastsetting av delingstall
Enkelte høringsinstanser mener at det kan være sent å få fastsatt delingstallene først ved 61 år, det vil si kalenderåret før første mulige uttakstidspunkt.
Departementet viser til at forslaget om å benytte observert dødelighet for eldre årskull i beregningen av forventet levealder bidrar til at grunnlaget for fastsetting av delingstall er forutsigbart. Samtidig er det ønskelig å benytte mest mulig oppdatert dødelighetsstatistikk i beregningene. Dette tilsier at delingstallene fastsettes nært opp til uttakstidspunktet.
Departementet viser til at ved å fastsette delingstallene med endelig virkning det året den enkelte fyller 61 år, vil informasjon om effekten av å utsette uttak være tilgjengelig før ethvert mulig uttakstidspunkt. Departementet viser til at det parallelt med fastsetting av delingstall vil utarbeides prognoser for framtidige delingstall som vil gi en god indikasjon på framtidig årlig pensjon ved valg av ulike uttakstidspunkt i tilstrekkelig tid før første uttaksmulighet. Prognosene vil dessuten bli stadig sikrere etter hvert som første mulige tidspunkt for uttak nærmer seg. Dette henger sammen med at delingstallene er foreslått fastsatt på grunnlag av et gjennomsnitt av den observerte dødeligheten i en tiårsperiode forut for tidspunktet for endelig fastsetting av delingstallene. Med departementets forslag vil dermed 50 prosent av dødelighetsstatistikken som skal inngå i beregningen av de endelige delingstallene være kjent allerede seks år før første mulige uttakstidspunkt og 90 prosent av denne statistikken vil være kjent to år før dette tidspunktet. Etter departementets syn vil en slik løsning gi tilstrekkelig forutsigbarhet for den enkelte.
Departementet foreslår på denne bakgrunn at delingstallene skal fastsettes med endelig virkning det året det enkelte årskull fyller 61 år. Dette framgår av § 20-13 første ledd.
Presisjonsnivå ved fastsetting av delingstall
Få høringsinstanser har merknader til forslaget om å fastsette delingstallet med to desimaler. Etter departementets syn gir to desimaler tilstrekkelig nøyaktige delingstall. Ved å benytte to desimaler i delingstallet vil pensjonsytelsen maksimalt avvike i størrelsesorden +/- 0,05 prosent fra den verdien pensjonsytelsen ville hatt dersom det ble benyttet flere desimaler. Det vises til at det også i det svenske pensjonssystemet benyttes to desimaler. Departementet foreslår på denne bakgrunn at delingstallene skal fastsettes med to desimaler. Dette framgår av § 20-13 fjerde ledd.
Inkludering av arvegevinst i delingstallene
Det vises til avsnitt 5.2 der departementet foreslår at det i levealdersjusteringen også skal tas hensyn til endringer i dødeligheten i yrkesaktiv alder. Departementet har merket seg at mange høringsinstanser uttaler at utformingen av arvegevinsten virker kompliserende. Departementet foreslår derfor at effekten av endringer i dødelighet før 62 år i stedet inkluderes i delingstallene. Det vises til at flere høringsinstanser også argumenterer for en slik løsning. På denne måten tas det hensyn til utviklingen i dødelighet både før og etter uttakstidspunktet i delingstallene. Dermed opprettholdes intensjonen om at levealdersjusteringen skal fange opp endringer i dødelighet både i yrkesaktiv alder og for pensjonister, samtidig som en unngår en kompliserende faktor i opptjeningsmodellen.
Dette foreslås gjennomført ved at delingstallet korrigeres med en faktor for gjennomsnittlig arvegevinst som gjenspeiler dødelighet fram til uttakstidspunktet. Dette framgår av § 20-13 andre ledd, andre punktum.
Departementet viser til at forslaget i høringsnotatet innebærer at arvegevinsten varierer med ulike opptjeningsprofiler. Når arvegevinst før uttak skal inkluderes i delingstallet, må det gjøres en forutsetning om opptjeningsprofil som skal ligge til grunn for beregning av gjennomsnittlig arvegevinst. Stortinget har vedtatt at det skal tjenes opp pensjonsrettigheter i ny alderspensjon tilsvarende 1,35 prosent av inntekten for en person som tar ut pensjon fra 67 år gitt levealderen i 2010. I høringsnotatet 28. januar 2008 er ny alderspensjon foreslått utformet slik at det årlig bygges opp pensjonsrettigheter i form av en pensjonsbeholdning. I høringsnotatet er det vist til beregninger fra Statistisk sentralbyrå som viser at en opptjeningsprosent på 18,1 av pensjonsgivende inntekt vil gi en pensjon i samsvar med stortingsvedtaket, gitt forslaget i høringsnotatet til behandling av arvegevinst før 62 år.
Kalibreringen av opptjeningsprosenten på 18,1 er basert på forventet opptjeningsprofil i 2050. Den opptjeningsprofilen som velges for beregning av en gjennomsnittlig arvegevinst må gi samme resultat. Jevn inntekt fra og med 27 år til og med 66 år tilfredsstiller dette kriteriet. Med denne utformingen vil opptjeningen på 18,1 av pensjonsgivende inntekt og den årlige reguleringen med lønnsveksten utgjøre hele oppbyggingen av pensjonsbeholdningen.
Departementet viser til at forslaget til utforming av arvegevinst som ble presentert i høringsnotatet hadde visse fordelingseffekter som skulle vurderes nærmere i lovproposisjonen. Med den utformingen av arvegevinst før 62 år som nå foreslås, vil arvegevinsten være uavhengig av opptjeningsprofil. Dette innebærer at lik livsinntekt (under 7,1 G) gir samme pensjon for en gitt uttaksalder for alle i samme årskull. For alle som har en opptjeningsprofil som avviker fra den opptjeningsprofilen som er foreslått for beregning av gjennomsnittlig arvegevinst, det vil si jevn opptjening fra og med 27 til og med 66 år, vil en utforming av levealdersjusteringen hvor all arvegevinst er inkludert i delingstallet kunne gi et noe annet resultat enn utformingen som ble foreslått i høringsnotatet. Statistisk sentralbyrå har foretatt beregninger med utgangspunkt i et utvalg faktiske opptjeningsprofiler som viser at fordelingseffektene av å inkludere arvegevinsten i delingstallet er små sammenliknet med forslaget i høringsnotatet. Statistisk sentralbyrå anslår at endringen i pensjon vil være mindre enn +/- 0,5 prosent for 75 prosent av befolkningen. Forslaget innebærer tilnærmet de samme effektene på gjennomsnittlig pensjonsnivå og utgiftene til alderspensjon som beskrevet i høringsnotatet.
Regulering og diskontering
Ved fastsetting av delingstallene tas det også hensyn til at pensjon under opptjening og pensjonsbeholdningen skal reguleres med lønnsveksten, at pensjon under utbetaling skal reguleres med lønnsveksten og deretter fratrekkes 0,75 prosent, og en diskonteringsrente for å beregne nåverdien av utbetalingene.
Boks 5.1 Beregning av delingstall
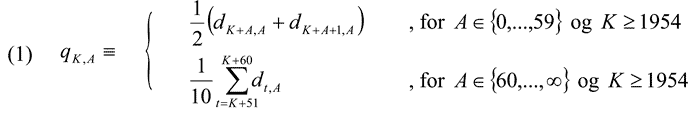
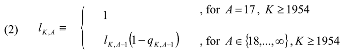
Levealdersjustering og nøytralt uttak av pensjon opptjent etter nye regler gjennomføres ved hjelp av delingstall. Nye opptjeningsregler gjelder helt eller delvis for årskull født fra og med 1954. Årlig alderspensjon framkommer ved å dividere pensjonsbeholdningen på det enkeltes årskulls delingstall for den aktuelle uttaksalder. Utgangspunktet for delingstallene er statistikk over observert dødelighet. Statistikken benyttes til å beregne de enkelte årskullenes sannsynlighet for å dø i en bestemt alder, se (1). Sannsynligheten for å dø benyttes til å beregne sannsynligheten for å overleve fram til en bestemt alder, se (2). Sannsynligheten for å overleve benyttes til å beregne forventet gjenstående levetid, se (3). For å sikre at forventet sum av pensjonsutbetalinger tilsvarer en gitt pensjonsbeholdning, må det i beregningene av delingstallene tas hensyn til reguleringen av pensjon under utbetaling, se (4). Videre skal delingstallene også reflektere utviklingen i dødelighet fram til pensjonsuttak. Dette ivaretas ved en arvegevinstfaktor, se (5). Delingstallene framkommer ved å multiplisere beregnet arvegevinst med forventet gjenstående levetid, når det tas hensyn til regulering av pensjon under utbetaling, se (6).
Delingstallene (DT) for hvert årskull (K) fastsettes endelig det kalenderåret årskullet fyller 61 år på grunnlag av observert dødelighet (d) for alder (A) målt i hele år i hvert kalenderår (t). 1 Årskullets sannsynlighet for å dø (q) ved en gitt alder fram til og med 59 år beregnes ved gjennomsnittlig dødelighet i de to kalenderårene årskullet er i denne alder. Fra og med 60 år beregnes sannsynligheten for å dø ved en gitt alder som gjennomsnittet av dødelighet ved denne alderen de ti siste kalenderårene før årskullet fyller 61 år. 
Sannsynligheten for å dø i en gitt alder benyttes deretter til å beregne sannsynligheten for at en person i årskull K overlever fra alder 17 år til alder A på følgende måte: 
For å ta hensyn til at dødsfall skjer mellom aldre målt i hele år, benyttes gjennomsnittlig sannsynlighet for å overleve til alder mellom to hele år (p) for å beregne forventet gjenstående levetid (L) ved ulike uttaksaldre fra og med 62 år til og med 75 år: 
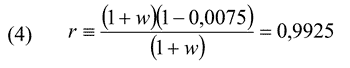
Pensjonsbeholdningen reguleres med lønnsveksten (w), mens pensjon under utbetaling reguleres med lønnsveksten, deretter fratrukket 0,75 prosent. Når pensjonsbeholdningen reguleres med lønnsveksten og lønnsveksten brukes som diskonteringsrente, sikrer en slik reguleringsfaktor et nøytralt og konsistent system. Avviket mellom reguleringen av pensjon under utbetaling og diskonteringsrenten er uavhengig av lønns- og prisveksten. Dette forenkler beregningene betydelig og reguleringsfaktoren for pensjon under utbetaling (r) er gitt ved: 
Forventet gjenstående levetid korrigert for regulering uttrykker forventede pensjonsutbetalinger per krone utbetalt fra uttaksalder, målt i fast lønn. Delingstallene skal også reflektere dødelighet før pensjonsuttaket. Det gjøres med en arvegevinstfaktor (AG) som uttrykker sannsynligheten for å være i live ved uttaksalder i forhold til gjennomsnittlig sannsynlighet for å være i live i alder 27 til 66 år. Nevneren i faktoren som korrigerer for dødelighet før pensjonsuttak er uavhengig av uttaksalder. Den er lik for alle i samme årskull og er et uttrykk for årskullets gjennomsnittlige opptjeningsprofil. 
Delingstallet for årskull K ved en uttaksalder mellom 62 og 75 år framkommer ved å multiplisere arvegevinstfaktoren med uttrykket for forventet gjenstående levetid, tatt hensyn til reguleringen. 
Eksempel:
1963-kullet fyller 61 år i 2024 og får da fastsatt sine delingstall. Dødelighet fra og med 60 år beregnes ved et gjennomsnitt av de ti siste årene med observert dødelighet, 2014–2023. Ved å bruke Statistisk sentralbyrås befolkningsframskrivinger anslås det at forventet gjenstående levetid ved 67 år for 1963-kullet i 2024 er 17,64 år, basert på periodedødelighet 2014–2023. Når man tar hensyn til reguleringen av pensjon under utbetaling reduseres uttrykket til 17,01. Det anslås at i gjennomsnitt 965 av 1 000 gjenlevende 17-åringer i 1963-kullet vil være i live fra 27 til 66 år og at 890 vil være i live ved 67 år. Delingstallet ved 67 år for 1963-kullet anslås altså til: 
Årlig alderspensjon ved pensjonsuttak ved 67 år framkommer ved å dividere pensjonsbeholdningen på 15,69. En pensjonsbeholdning på 3 377 000 kroner gir altså en årlig pensjon ved uttak som 67-åring på 215 233 kroner.
Boks 5.2 Fra forventet gjenstående levetid til delingstall og forholdstall
Delingstallet beregnes med utgangspunkt i forventet gjenstående levetid ved uttakstidspunktet. Flere forhold bidrar likevel til at delingstallet avviker fra gjenstående levetid, både for årskullet sett under ett og for den enkelte innenfor et årskull. Sammenhengen mellom forventet gjenstående levetid og delingstallet er forklart nærmere nedenfor. 1954-kullet er det første årskullet som får fastsatt delingstall. I eksemplet er 1947-kullet likevel benyttet som illustrasjon fordi beregningene da kan baseres på mest mulig oppdatert dødelighetsstatistikk i stedet for på prognoser.
Det beregnes delingstall som gjelder for hvert årskull, for kvinner og menn samlet. Delingstallet reflekterer hvor lenge en person fra årskullet i gjennomsnitt vil leve som pensjonist. I praksis vil noen leve lenger og noen leve kortere enn gjennomsnittet. Særlig vil det at kvinner gjennomgående lever lenger enn menn bidra til at delingstallet for årskullet vil være henholdsvis lavere og høyere enn forventet gjenstående levetid for kvinner og menn i årskullet. For eksempel er forventet gjenstående levetid ved 67 år for kvinner og menn samlet 17,52 år i 2007, mens den var 18,95 år for kvinner og 15,84 år for menn.
Delingstallene fastsettes året før første mulige uttaksalder, det vil si det året et årskull fyller 61 år, basert på observert dødelighet for eldre årskull til og med det året årskullet fyller 60 år. Dersom delingstallet ble fastsatt samme år som det skulle benyttes, ville forventet gjenstående levetid ved 67 år i 2007 tilsvare delingstallet ved 67 år for personer født i 1940 (som er 67 år i 2007). Fordi delingstallene fastsettes før nedre uttaksalder, vil imidlertid et årskulls delingstall ved 67 år være basert på (minst) sju år «gammel» statistikk. For 1947-kullet, som er 61 år i 2008, skal delingstallene altså fastsettes i 2008, basert på statistikk til og med 2007. Det vises til at forventet gjenstående levetid ved 67 år, som var 17,52 år i 2007, har økt jevnt hvert år fra 16,25 år i 1998, kvinner og menn sett under ett. Dersom gjenstående levetid endres over tid vil det altså ta noe tid før dette fullt ut reflekteres i delingstallene.
Delingstallene fastsettes på bakgrunn av et gjennomsnitt av forventet gjenstående levetid over en periode på ti år. For 1947-kullet vil delingstallet dermed beregnes på bakgrunn av dødelighetsstatistikk i perioden 1998–2007. Bruken av ti års observasjonsperiode innebærer isolert sett at delingstallet for 1947-kullet reduseres fra 17,52 til 16,86. Ti års observasjonsperiode reduserer virkningen av tilfeldige variasjoner i levealderen mellom årskull, men innebærer samtidig at en systematisk endring i vekstraten (trend) slår ut senere i endret vekst i delingstallene. Observasjonsperiodens lengde avveier hensynet til at delingstallene ikke skal endres mye som følge av tilfeldige svingninger i dødeligheten fra et år til et annet mot hensynet til at endringene i delingstallene fra et årskull til en annet i størst mulig grad skal gjenspeile faktisk endring i forventet gjenstående levetid.
Delingstallet inkluderer en arvegevinstfaktor som reflekterer dødelighet fram til uttakstidspunktet. Dette bidrar isolert sett til at delingstallet er lavere enn forventet gjenstående levetid ved uttakstidspunktet. For 1947-kullet, som omfattes av dagens opptjeningsregler, vil korreksjonen av forholdstallet ved 67 år bare gjenspeile endringer i dødelighet mellom 62 og 67 år. For årskullene som følger nye opptjeningsregler vil den gjennomsnittlige arvegevinstfaktoren baseres på dødelighet også før 62 år.
Pensjon under utbetaling reguleres med lønnsvekst fratrukket en faktor på 0,75 prosent. Ved fastsetting av delingstallene tas det hensyn til dette. Dette bidrar også til lavere delingstall. For 1947-kullet innebærer dette isolert sett at «delingstallet» reduseres fra 17,52 til 16,27.
Metoden for beregning av delingstallet medfører altså at delingstallet for et gitt uttakstidspunkt er lavere enn gjennomsnittlig gjenstående levetid for årskullet fra dette uttakstidspunktet, kvinner og menn sett under ett. Fordi opptjeningsprosenten er kalibrert mot anslått dødelighet for 1943-kullet er det imidlertid utviklingen i levealder i forhold til 1943-kullet som har betydning for utviklingen i pensjonsytelsene, ikke nivået. Med en jevn utvikling i levealder, vil pensjonsytelsene endres i takt med årskullets forventet gjenstående levetid.
Som vist var forventet gjenstående levetid ved 67 år for kvinner og menn samlet om lag 17,5 år i 2007, mens delingstallet for 1947-kullet, beregnet etter den metoden som vil gjelde for årskullene som følger nye opptjeningsregler, er 14,02.
Delingstallet for 1947-kullet når det bare korrigeres for dødelighet fra 62 år ville være 14,85, mens det tilsvarende delingstallet for 1943-kullet ville ha vært 14,27. Dette er det samme tallet som nevneren i forholdstallet som følger av at forholdstallet normeres til 1 ved 67 år for 1943-kullet som kan ta ut pensjon i 2010. Imidlertid vil 1947-kullet omfattes av den gradvise innfasingen av levealdersjusteringen, hvilket i praksis innebærer at nevneren i forholdstallet justeres slik at den ønskede skjermingen oppnås. Det vises til boks 5.3.
Departementet viser i denne forbindelse til drøfting av renteforutsetningen i St.meld. nr. 5 (2006–2007) punkt 7.9.2. I et nøytralt utformet pensjonssystem er forventet nåverdi av pensjonsytelsene uavhengig av uttakstidspunktet, gitt de forutsetninger om diskonteringsrente og forventet levealder som legges inn i beregningene. Hvilken diskonteringsrente som forutsettes vil dermed ha betydning for hvordan tidliguttak av pensjon vurderes i forhold til sent uttak. En høy rente vil gi lavere pensjon ved tidliguttak og høyere pensjon ved utsatt uttak enn en lav rente. Ved behandling av St.meld. nr. 5 (2006–2007) sluttet Stortinget seg til Regjeringens forslag om å benytte lønnsveksten som diskonteringsrente.
Departementets forslag til hvordan delingstallene skal beregnes innebærer at delingstallene på ethvert utgangstidspunkt beregnes etter samme formel, hvor faktoren for regulering av pensjon under utbetaling inngår, jf. boks 5.1. Stortingets vedtak om at pensjon under utbetaling skal reguleres med gjennomsnittet av prisveksten og lønnsveksten er foreslått implementert ved at pensjon under utbetaling reguleres med lønnsveksten og deretter fratrekkes 0,75 prosent, se nærmere kapittel 8. Denne utformingen innebærer at avviket fra lønnsveksten inngår multiplikativt i formelen for beregning av delingstallet. Når diskonteringsrenten som korrigerer for ulike uttakstidspunkt også er lønnsvekst, bidrar dette til at delingstallsberegningen kan forenkles betydelig og gjøres uavhengig av forutsetninger om framtidig pris- og lønnsvekst. Dette bidrar til et enkelt og konsistent system. Departementet foreslår å presisere i § 20-13 andre ledd at diskonteringsrenten er lønnsvekst.
Departementet foreslår overordnede bestemmelser om levealdersjustering og nøytralt uttak i § 20-12.
Departementet foreslår at alderspensjon skal levealdersjusteres og at alderspensjon skal være nøytral i forhold til uttaksalder. Det vises til lovforslaget § 20-12 første og andre ledd. Departementet foreslår at levealdersjustering og nøytralt uttak gjennomføres ved hjelp av delingstall. Det vises til lovforslaget § 20-12 tredje ledd.
Departementet foreslår at det fastsettes delingstall for hvert årskull fra og med 1954-kullet som gjelder for uttak av alderspensjon mellom alder 62 og 75 år. Departementet foreslår videre at det fastsettes månedlige delingstall, som gjelder for uttaksaldre mellom hele år, og at det fastsettes felles delingstall for kvinner og menn. Det vises til lovforslaget § 20-12 fjerde ledd.
Departementet foreslår nærmere regler for fastsetting av delingstall i § 20-13.
Departementet foreslår at delingstallene fastsettes endelig det året et årskull fyller 61 år. Det vises til lovforslaget § 20-13 første ledd.
Departementet foreslår at delingstallene fastsettes på bakgrunn av forventet gjenstående levetid på uttakstidspunktet beregnet ut fra gjennomsnittet av observerte dødelighetsrater for eldre årskull de siste ti årene forut for fastsettingstidspunktet. Det foreslås at det ved fastsettingen skal tas hensyn til dødelighet fram til uttakstidspunktet og at regulering etter § 20-18 skal inngå i beregningene. Det foreslås at lønnsveksten benyttes som diskonteringsrente ved fastsettingen av delingstallene. Det vises til lovforslaget § 20-13 andre ledd
Departementet foreslår at månedlige delingstall fastsettes ved lineær interpolering mellom de to tilstøtende delingstallene for uttaksalder i hele år. Det vises til lovforslaget § 20-13 tredje ledd. Det foreslås at delingstallene skal fastsettes med to desimaler. Det vises til lovforslaget § 20-13 fjerde ledd.
5.4 Forholdstall
5.4.1 Departementets høringsforslag
I departementets høringsnotat av 28. januar 2008 pekes det på at forskjellene mellom dagens og ny alderspensjon innebærer at levealdersjusteringen må gjennomføres noe ulikt. Etter dagens opptjeningsregler opparbeides det ikke en pensjonsbeholdning som kan deles på et delingstall ved uttakstidspunktet, men rettigheter til en bestemt årlig pensjon direkte. Også pensjon opptjent etter dagens regler skal imidlertid justeres for uttakstidspunkt og utviklingen i levealderen. Departementet foreslo i høringsnotatet at dette gjøres ved hjelp av forholdstall som i hovedsak har samme funksjon som delingstallene. Departementet foreslo videre å benytte forholdstallene også i levealdersjusteringen av garantipensjonen for uttaksalder.
Forholdstallene beregnes med utgangspunkt i forventet gjenstående levetid fra tidspunkt for uttak av pensjon, hensyntatt overlevelsessannsynligheten fra nedre grense for uttak til uttakstidspunktet. Ved fastsetting av forholdstallene tas det bare hensyn til endringer i dødelighet etter 62 år. Forholdstallet normeres til 1 ved 67 år for 1943-årskullet, som fyller 67 år i 2010.
Tilsvarende som for delingstallene foreslo departementet i høringsnotatet en øvre aldersgrense på 75 år for fastsetting av forholdstall, at det fastsettes ett sett forholdstall for hvert årskull og at det fastsettes månedlige forholdstall. Det foreslås også at forholdstallene fastsettes med endelig virkning det året det enkelte årskullet fyller 61 år, beregnet på grunnlag av observert dødelighet for eldre årskull, og en observasjonsperiode på ti år. Departementet foreslo i høringsnotatet at forholdstallene fastsettes med tre desimaler. Det vil bidra til om lag samme presisjonsnivå ved beregning av forholdstall som ved beregning av delingstall.
Det ble i høringsnotatet foreslått at 1943-kullet skal være det første kullet som vil få et sett med forholdstall. 1943-kullet er 67 år i 2010 og siden pensjonsalderen i dagens alderspensjon er 67 år, syntes dette å være et naturlig valg.
5.4.2 Høringsinstansenes syn
Arbeids- og velferdsdirektoratet er enig i at det innføres forholdstall for beregning av levealdersjustering for dagens folketrygd med virkning fra 2010 for nye alderspensjonister, ettersom det gjelder ytelsesdefinerte pensjoner. Direktoratet er også enig i at forholdstallene benyttes for garantipensjonen i ny alderspensjon. Direktoratet slutter seg til departementets forslag om at forholdstall fastsettes med tre desimaler og at dette lovfestes.
Arbeids- og velferdsdirektoratet har i sin uttalelse vedrørende beregningseksemplene i høringsnotatet punkt 10.3.2 bemerket følgende:
«Av andre avsnitt fremgår at 1943 årskullet først kan ta ut pensjon fra 67 år. Vi har forstått det slik at de nye reglene om fleksibelt uttak og levealdersjustering også skal gjelde 1943 kullet. Det betyr da at en person som er født i mai 1943 og velger å utsette uttaket til oktober 2010, vil få en noe høyere pensjon som en konsekvens av levealdersjusteringen. Motsatt vil en person som er født i desember 1943 og som velger å ta ut pensjon i februar 2010 få en noe lavere pensjon.»
Norges Ingeniør- og Teknologorganisasjon foreslår at begrepet delingstall benyttes også for dagens alderspensjon for å gjøre pensjonssystemet mest mulig forståelig, så lenge forskjellene mellom delingstall og forholdstall ikke har praktisk betydning for pensjonistene.
5.4.3 Departementets vurdering og forslag
Få høringsinstanser har kommentert forslagene om fastsetting av forholdstall særskilt, men kommentarene til forslagene om fastsetting av delingstall antas å gjelde også som kommentarer til fastsetting av forholdstallene. Det vises til omtale av høringsinstansenes merknader i punkt 5.3.2 og til departementets vurderinger i punkt 5.3.3.
Departementet foreslår at bestemmelser om levealdersjustering for de som omfattes av dagens opptjeningsregler kommer til uttrykk gjennom to lovparagrafer. Overordnede bestemmelser om levealdersjustering og nøytralt uttak framgår av § 19-6, og nærmere regler om fastsetting av delingstall er gitt i § 19-7.
Departementet foreslår en øvre aldersgrense for forholdstall på 75 år, at det skal fastsettes forholdstall for hvert årskull, og at det skal fastsettes månedlige forholdstall ved lineær interpolering mellom de to tilstøtende årlige forholdstallene. Departementet foreslår videre at forholdstallene fastsettes med endelig virkning det året det enkelte årskull fyller 61 år og beregnes på grunnlag av observert dødelighet for eldre årskull med en observasjonsperiode på ti år.
Departementet foreslår at forholdstallene skal fastsettes med tre desimaler. Det vil bidra til konsistens i presisjonsnivået mellom ny og dagens alderspensjon i den forstand at forholdstallene som skal benyttes ved levealdersjustering i dagens alderspensjon vil være om lag like nøyaktige som delingstallene som skal benyttes i levealdersjusteringen i ny alderspensjon.
Forholdstallene vil ha samme funksjon som delingstallene i ny alderspensjon. De har imidlertid en annen utforming enn delingstallene, og det taler for å benytte en annen betegnelse enn delingstall. Departementet foreslår å opprettholde betegnelsen forholdstall om de tallene som skal benyttes i levealdersjusteringen av pensjon opptjent etter dagens regler.
Forholdstallene beregnet på bakgrunn av observert dødelighet som beskrevet her vil imidlertid ikke komme til anvendelse den første perioden etter 2010 ettersom det foreslås at levealdersjusteringen skal fases gradvis inn, jf. avsnitt 5.5. Prinsippene for beregning av forholdstallene må likevel vedtas fordi de vil ha betydning for beregning av forholdstallene og levealdersjusteringen i den perioden skjermingen skal ha gradvis mindre effekt og etter skjermingsperiodens utløp.
Departementet har foreslått at 1943-kullet blir det første kullet som får tildelt forholdstall. Årskull helt tilbake til 1936-kullet kunne tenkes å bli omfattet av fleksibiliteten og levealdersjusteringen fordi årskullene fra 1936 til 1942 vil være innenfor den foreslåtte rammen for fleksibelt uttak av alderspensjon fra 62 til 75 år i 2011. Disse vil imidlertid i all hovedsak allerede ha gått av med pensjon etter dagens folketrygd når pensjonsreformen trer i kraft.
Departementet er enig med Arbeids- og velferdsdirektoratet i at 1943-kullet fullt ut må omfattes av forslagene til fleksibelt uttak av alderspensjon og levealdersjustering fra ikrafttredelsestidspunktet for pensjonsreformen. I og med at departementet foreslår å forskyve iverksettingen av fleksibelt uttak til 1. januar 2011, vil 1943-kullet likevel ikke kunne ta ut pensjon før tidligst fra fylte 67 år.
Forskjøvet iverksetting av fleksibiliteten vil imidlertid ikke direkte påvirke levealdersjusteringen. Forholdstallet ved 67 år er normert til 1 i 2010 i tråd med Stortingets vedtak om opptjening av pensjonsrettigheter. Beregningen av delingstall og forholdstall for ulike årskull og uttaksaldre påvirkes dermed ikke, men de forholdstallene som skulle gjelde ved fleksibelt uttak i 2010 kommer ikke til anvendelse. Departementet foreslår derfor at 1943-kullet fortsatt skal være det første som får fastsatt forholdstall.
Tabell 5.1 oppsummerer departementets forslag til tidspunkt for fastsettelse av forholdsstall og observasjonsperiode som grunnlag for fastsettelse av forholdstall for årskullene 1943–1953.
Tabell 5.1 Tidspunkt og grunnlag for fastsettelse av endelige forholdstall
| Årskull | Tidspunkt for fastsettelse av endelige forholdstall | 10 års observasjonsperiode |
|---|---|---|
| 1943 | 2010 | 1994–2003 |
| 1944 | 2010 | 1995–2004 |
| 1945 | 2010 | 1996–2005 |
| 1946 | 2010 | 1997–2006 |
| 1947 | 2010 | 1998–2007 |
| 1948 | 2010 | 1999–2008 |
| 1949 | 2010 | 2000–2009 |
| 1950 | 2011 | 2001–2010 |
| 1951 | 2012 | 2002–2011 |
| 1952 | 2013 | 2003–2012 |
| 1953 | 2014 | 2004–2013 |
Med departementets forslag får 1943-årskullet fastsatt forholdstall basert på dødelighetsstatistikk for årene 1994–2003. Forholdstallene foreslås fastsatt første gang i 2010 og vil omfatte årskullene 1943–1949.
Boks 5.3 Beregning av forholdstall
Levealdersjustering og nøytralt uttak av pensjon opptjent etter dagens regler gjennomføres ved hjelp av forholdstall. Dagens opptjeningsregler gjelder helt eller delvis for årskull født til og med 1962. Årlig alderspensjon framkommer ved å dividere opptjent pensjonsytelse (basispensjon) på det enkeltes årskulls forholdstall for den aktuelle uttaksalder. Forholdstall beregnes ved hjelp av den samme statistikken som delingstallene (forklart i boks 5.1). En forskjell mellom delingstall og forholdstall er at det ikke tas hensyn til dødelighet før 62 år i forholdstallene. Dette innebærer i praksis en noe mildere levealdersjustering av pensjon opptjent etter dagens regler. Videre er forholdstallet for 1943-kullet for uttak ved 67 år normert til 1. Forslaget i departementets høringsnotat 28. januar 2008 innebar at forholdstallene kunne uttrykkes ved følgende formel: 
Nevneren (N) i (*) er lik telleren (T) for 1943-kullet ved 67 år. Telleren uttrykker forventet gjenstående levetid fra uttaksalder, tatt hensyn til regulering og dødeligheten mellom 62 år og uttaksalder. Endringer i forholdstall mellom årskull uttrykker dermed endringer i dødelighet etter 62 år i forhold til 1943-kullet, og følger av at forholdstallet er normert til 1 for 1943-kullet ved 67 år.
Levealdersjustering fra et årskull til det neste ville med denne utformingen følge av endringen i telleren. Levealdersjusteringen skal imidlertid fases gradvis inn. For årskullene 1944 til og med 1949 skal veksten i forholdstallene ved uttak fra 67 år fra et årskull til det neste maksimalt være 0,5 prosent. Denne skjermingen reduseres gradvis for årskullene 1950–1958. For årskullene 1959–1962 skal endringen i forholdstallene reflektere endringen i forventet gjenstående levetid. Nivået på forholdstallene vil som følge av den gradvise innfasingen avvike fra det som følger av (*) for alle årskull etter 1943-kullet og alle uttaksaldre.
Uttrykket for telleren i forholdstallene holdes uendret i forhold til (*), men nevneren justeres som følge av den gradvise innfasingen: 
Eksempel:
Forholdstallet ved 67 år for 1943-kullet er normert til 1. For 1944-kullet ville forholdstallet blitt satt til 1,010 ved bruk av formel (*), det vil si uten den gradvise innfasingen av levealdersjusteringen. Dette forholdstallet er 1 prosent høyere enn forholdstallet ved 67 år for 1943-kullet. Den gradvise innfasingen av levealdersjusteringen sier at forholdstallene skal økes med maksimalt 0,5 prosent. Ved å benytte formel (1) justeres derfor nevneren i uttrykket for forholdstallet slik at forholdstallet ved 67 år er 0,5 prosent høyere enn for 1943-kullet. Dette endrer nevneren fra 14,27 til 14,34. Denne nevneren benyttes ved beregningen av uttak av alderspensjon for 1944-kullet ved alle aldre mellom 62 og 75 år og gir et forholdstall ved 67 år som er 0,5 prosent høyere enn 1943-kullet.
Hvis veksten i forholdstallet ved 67 år for 1945-kullet overstiger 0,5 prosent i forhold til det justerte forholdstallet ved 67 år for 1944-kullet, justeres nevneren på tilsvarende måte. Hvis veksten ikke overstiger 0,5 prosent holdes nevneren uendret i forhold til 1944-kullet, slik at veksten i forholdstallet reflekterer endringen i forventet gjenstående levetid.
På samme måte som for delingstallene tas det også ved fastsetting av forholdstallene hensyn til reguleringsfaktorer og diskonteringsrente. Det vises til redegjørelse i punkt 5.3.3. Departementet forslår å presisere i § 19-7 andre ledd at diskonteringsrenten er lønnsvekst.
Departementet foreslår overordnede bestemmelser om levealdersjustering og nøytralt uttak i § 19-6.
Departementet foreslår at alderspensjon skal levealdersjusteres og at alderspensjon skal være nøytral i forhold til uttaksalder. Det vises til lovforslaget § 19-6 første og andre ledd. Departementet foreslår at levealdersjustering og nøytralt uttak gjennomføres ved hjelp av forholdstall. Det vises til lovforslaget § 19-6 tredje ledd.
Departementet foreslår at det fastsettes forholdstall for hvert årskull fra og med 1943-kullet til og med 1962-kullet som gjelder for uttak av alderspensjon mellom alder 62 og 75 år. Departementet foreslår videre at det fastsettes månedlige forholdstall, som gjelder for uttaksaldre mellom hele år, og at det fastsettes felles forholdstall for kvinner og menn. Det vises til lovforslaget § 19-6 fjerde ledd.
Departementet foreslår nærmere regler for fastsetting av forholdstall i § 19-7.
Departementet foreslår at forholdstallene fastsettes endelig det året et årskull fyller 61 år. Det vises til lovforslaget § 19-7 første ledd.
Årskullene 1943–1949 vil ha fylt 61 år når fleksible uttaksregler trer i kraft 1. januar 2011. Disse årskullene vil få fastsatt sine forholdstall i 2010. Forholdstallene til disse årskullene vil bli fastsatt i medhold av overgangsregler, og etter de samme prinsippene som lovfestes i §§ 19-6 og 19-7.
Departementet foreslår at forholdstallene fastsettes på bakgrunn av forventet gjenstående levetid på uttakstidspunktet beregnet ut fra gjennomsnittet av observerte dødelighetsrater for eldre årskull de siste ti årene forut for fastsettingstidspunktet. Det foreslås at det ved fastsettingen skal tas hensyn til dødelighet mellom 62 år og uttakstidspunktet, og at regulering etter § 19-14 skal inngå i beregningene. Det foreslås at lønnsveksten benyttes som diskonteringsrente ved fastsettingen av forholdstallene, og at forholdstallet normeres til 1 for 1943-kullet ved 67 år. Det vises til lovforslaget § 19-7 annet ledd.
Departementet foreslår at månedlige forholdstall fastsettes ved lineær interpolering mellom de to tilstøtende forholdstallene for uttaksalder i hele år. Det vises til lovforslaget § 19-7 sjette ledd. Det foreslås at forholdstallene fastsettes med tre desimaler. Det vises til lovforslaget § 19-7 syvende ledd.
5.5 Gradvis innfasing av levealdersjusteringen
5.5.1 Stortingets vedtak og departementets høringsforslag
Stortinget sluttet seg til forslaget om å iverksette levealdersjustering i folketrygdens alderspensjon fra 2010 med virkning for nye alderspensjonister i forbindelse med behandling av St.meld. nr. 5 (2006–2007).
I forbindelse med lønnsoppgjøret i privat sektor i 2008 ble det inngått avtale mellom partene i arbeidslivet om ny AFP tilpasset fleksibel alderspensjon i folketrygden. I brev av 2. april 2008 fra statsministeren til Riksmeklingsmannen heter det blant annet:
«Samlet pensjonsnivå fra folketrygden og AFP kan med en utforming i tråd med Regjeringens utgangspunkt slik det ble konkretisert i det partssammensatte AFP-utvalget – herunder den økonomiske rammen for en tilpasset AFP – bli lavere enn dagens AFP for de første kullene med 62-åringer fra 2010. Dessuten innebærer levealdersjusteringen fra 2010 at de første kullene av pensjonister må arbeide lenger for å motvirke effekten av levealdersjusteringen enn de som får sin pensjon beregnet etter nye opptjeningsregler. I tillegg er det kort tid til pensjonsreformen iverksettes slik at den enkelte har mindre muligheter til å tilpasse seg.
På denne bakgrunn er Regjeringen innstilt på å foreslå for Stortinget:
[...]
En gradvis innfasing av levealdersjusteringen som følger av forslaget i høringsnotatet om ny alderspensjon i folketrygden av 28. januar 2008. Her benyttes observert dødelighet i en tiårsperiode før fylte 61 år som grunnlag for beregningen av de enkelte årskulls forholdstall/delingstall. Regjeringen er innstilt på å foreslå at levealdersjusteringen innfases ved at:
forholdstallet ved 67 år ikke skal øke mer enn 0,5 prosent fra ett årskull til det neste for kullene 1943 til 1949
skjermingen får gradvis mindre effekt for kullene 1950 til 1958 ved at denne teller 90 pst. for 1950-kullet, 80 pst. for 1951-kullet osv.
Dette fører til lavere forholdstall for alle i årskullene fra 1944 til 1962, og dermed høyere alderspensjon for et gitt pensjoneringstidspunkt enn det som følger av høringsnotatet. Den foreslåtte endringen får ikke virkning for delingstallene som benyttes når alderspensjon er opptjent etter nye regler. Skjermingen påvirker dermed ikke alderspensjonen til personer født i 1963 eller senere i forhold til det som er skissert i høringsnotatet.»
Departementet foreslo i et eget høringsnotat av 8. mai 2008 en gradvis innfasing av levealdersjusteringen. Forslaget følger opp innholdet i statsministerens brev. Departementet foreslo at levealdersjusteringen skal fases gradvis inn slik at forholdstallet ved 67 år for årskullene fra 1943 til og med 1949 ikke skal øke mer enn 0,5 prosent fra et årskull til det neste. Denne skjermingen innebærer i praksis at observert dødelighet før 2010 ikke får betydning for beregningen av disse årskullenes forholdstall ved 67 år.
Det ble videre foreslått at skjermingen skulle ha gradvis mindre effekt for årskullene fra 1950 til og med 1958 ved at endringen i forholdstallene ved 67 år mellom disse årskullene beregnes som en veid sum av 0,5 prosent og effekten av levealdersjusteringen slik denne er definert i høringsnotatet av 28. januar, dersom sistnevnte overstiger 0,5 prosent. Sammenveiingen innebærer at endringen i forholdstallet ved 67 år fra 1949-kullet til 1950-kullet beregnes som summen av 90 prosent multiplisert med maksimum 0,5 prosent og 10 prosent multiplisert med effekten av levealdersjusteringen som følger av høringsnotatet. Endringen i forholdstallet fra 1950-kullet til 1951-kullet beregnes tilsvarende som summen av 80 prosent multiplisert med maksimum 0,5 prosent og 20 prosent multiplisert med effekten av levealdersjusteringen i høringsnotatet. Vektingen endres videre for de følgende årskullene slik at 1958-kullet er det siste som direkte vil omfattes av den gradvise innfasingen. Endringen i forholdstallet fra 1957-kullet til 1958-kullet beregnes som summen av 10 prosent multiplisert med maksimum 0,5 prosent og 90 prosent multiplisert med effekten levealdersjusteringen som følger av høringsnotatet.
Forslaget om gradvis innfasing av levealdersjusteringen er knyttet til forholdstallene ved 67 år. Øvrige forholdstall for det enkelte årskull beregnes slik at nøytraliteten opprettholdes. Dette betyr at forventet nåverdi av pensjonsytelsene er uavhengig av uttakstidspunktet også for de som berøres av innfasingen.
Forslaget vil ha betydning for alle årskullene som tar ut alderspensjon etter dagens opptjeningsregler fra 1944-kullet. Dette skyldes at endringene i forholdstallene mellom årskullene som gir lavere nivå på forholdstallene for de årskullene som direkte omfattes, indirekte inngår i beregningen av forholdstallene til de etterfølgende årskullene i form av en økt nevner, se boks 5.3.
Tabell 5.2 viser hvordan forholdstallene ved 67 år og prosentvis endring i forholdstall fra et årskull til det neste endres for de årskullene som blir berørt av forslaget om gradvis innfasing av levealdersjusteringen i forhold til forslaget i høringsnotatet av 28. januar 2008.
Tabell 5.2 Gradvis innfasing av levealdersjusteringen – effekt på forholdstallene ved 67 år og prosentvise endringer i forholdstallene ved 67 år fra et årskull til det neste1
| Forholdstall beregnet etter forslaget i høringsnotatet av 28. januar | Prosentvis endring i forholdstallene etter forslaget i høringsnotatet av 28. januar (levealdersjustering) | Forholdstall med gradvis innfasing | Prosentvis endring i forholdstallene med gradvis innfasing | Vekt levealdersjustering i henhold til høringsnotatet av 28. januar | |
|---|---|---|---|---|---|
| 1943 | 1,000 | 1,000 | |||
| 1944 | 1,010 | 0,98 | 1,005 | 0,50 | 0 |
| 1945 | 1,021 | 1,13 | 1,010 | 0,50 | 0 |
| 1946 | 1,031 | 0,98 | 1,015 | 0,50 | 0 |
| 1947 | 1,041 | 0,96 | 1,020 | 0,50 | 0 |
| 1948 | 1,050 | 0,82 | 1,025 | 0,50 | 0 |
| 1949 | 1,060 | 0,94 | 1,030 | 0,50 | 0 |
| 1950 | 1,068 | 0,75 | 1,036 | 0,53 | 10 |
| 1951 | 1,076 | 0,78 | 1,042 | 0,56 | 20 |
| 1952 | 1,085 | 0,83 | 1,048 | 0,60 | 30 |
| 1953 | 1,091 | 0,60 | 1,053 | 0,54 | 40 |
| 1954 | 1,096 | 0,44 | 1,058 | 0,44 | 50 |
| 1955 | 1,101 | 0,42 | 1,062 | 0,42 | 60 |
| 1956 | 1,105 | 0,38 | 1,066 | 0,38 | 70 |
| 1957 | 1,110 | 0,47 | 1,072 | 0,47 | 80 |
| 1958 | 1,116 | 0,53 | 1,077 | 0,53 | 90 |
| 1959 | 1,122 | 0,53 | 1,083 | 0,53 | 100 |
| 1960 | 1,128 | 0,53 | 1,089 | 0,53 | 100 |
| 1961 | 1,134 | 0,53 | 1,094 | 0,53 | 100 |
| 1962 | 1,140 | 0,53 | 1,100 | 0,53 | 100 |
1 Den prosentvise endringen i forholdstallet fra et årskull til det neste er beregnet ut fra uavrundede forholdstall.
Departementet presiserer at delingstallene ikke påvirkes av forslaget om gradvis innfasing av levealdersjusteringen. Det betyr at personer som helt eller delvis får pensjon opptjent etter nye opptjeningsregler ikke påvirkes for denne delen av pensjonen. Effekten av levealdersjusteringen de første årene etter pensjonsreformens ikrafttredelse er målt ved endringen i forholdstallet ved 67 år fra et årskull til den neste. Forslaget vil dermed ha betydning for regulering av minstepensjonen fordi denne er foreslått regulert med lønnsvekst justert for effekten av levealdersjusteringen ved 67 år. Dette er nærmere omtalt i kapittel 8.
5.5.2 Høringsinstansenes syn
Mange høringsinstanser, herunder A kademikerne, HSH, Landsforeningen for hjerte- og lungesyke (LHL), Sparebankforeningen, Unio og Yrkesorganisasjonenes Sentralforbund (YS), er i hovedsak positive til en gradvis innfasing av levealdersjusteringen, som bidrar til at de som har opptjening etter dagens opptjeningsregler til en viss grad skjermes for effekten av levealdersjusteringen. Andre høringsinstanser, herunder Finansnæringens hovedorganisasjon, Sparebankforeningen, Senter for seniorpolitikk og Næringslivets Hovedorganisasjon viser til at forslaget er en naturlig konsekvens av årets tariffoppgjør i privat sektor og tar forslaget til etterretning.
Akademikerne mener det bør vurderes å innføre en permanent skjermingsregel som sikrer at det aldri blir for store forskjeller fra et årskull til det neste som følge av endringer i levealderen. YS gir uttrykk for liknende synspunkter:
«YS viser til store levealdersøkningen de siste 7 årene i forhold til utviklingen de 13 foregående årene. Dersom denne utviklingen fortsetter vil forholdstallet/delingstallet for senere årskull kunne øke betydelig. Disse årskullene vil dermed kunne utsettes for strengere levealdersjustering enn de årskullene som er helt eller delvis skjermet i samsvar med statsministerens brev. YS vil derfor la graden av levealdersjustering, og eventuell skjerming også for senere årskull, være en del av den evalueringen som skal finne sted i 2017.»
Flere høringsinstanser, herunder Landslaget for offentlige pensjonister (LOP), Arbeids- og velferdsdirektoratet, Norsk Journalistlag, De Selvstendige Kommunale Pensjonskasser og Norske Pensjonskassers Forening (Pensjonskasseforeningene), Sparebankforeningen og YS, peker på at forslaget kompliserer pensjonssystemet. Pensjonskasseforeningene er av denne grunn mot forslaget, mens Funksjonshemmedes Fellesorganisasjon (FFO) er kritiske til å delvis unnta enkelte årskull fra effektene av levealdersjusteringen. FFO ser det som usolidarisk både i forhold til uføre og i forhold til senere årskull. Landsforeningen for hjerte- og lungesyke (LHL) er også kritisk til fordelingseffektene av forslaget.
«LHL mener det er positivt med en ordning som AFP - som slik den var etablert, skulle sikre "sliterne" en verdig avgang fra arbeidslivet. Men vi reagerer på at det legges inn ekstra påslag for alle som omfattes av AFP - på toppen av de lettelsene som endringer i levealderjusteringen medfører for alle født før 1963. Det mener vi er først og fremst er uheldig i forhold til de grupper/personer som står utenfor AFP-området, men vil også kunne få uheldige konsekvenser for senere generasjoner alderspensjonister.»
5.5.3 Departementets vurdering og forslag
Det vises til statsministerens brev i forbindelse med lønnsoppgjøret i privat sektor i 2008. Begrunnelsen for i noen grad å skjerme enkelte årskull fra effekten av levealdersjusteringen er at de første kullene av pensjonister etter 2010 må arbeide lenger for å motvirke effekten av levealdersjusteringen enn de som får sin pensjon beregnet etter nye opptjeningsregler, samt at det er kort tid til pensjonsreformen iverksettes slik at den enkelte har mindre muligheter til å tilpasse seg.
Departementet foreslår på denne bakgrunn en gradvis innfasing av levealdersjusteringen. Det foreslås at endringen i forholdstallet ved 67 år fra et årskull til det neste for årskullene fra 1943 til og med 1949 ikke skal settes høyere enn 0,5 prosent. Det vises til lovforslaget § 19-7 tredje ledd bokstav a. Det foreslås videre at denne skjermingen skal ha gradvis mindre effekt for årskullene fra 1950 til og med 1958 ved at endringen i forholdstallene ved 67 år fra et årskull til det neste for disse årskullene skal tilsvare en veid sum av 0,5 prosent og beregnet økning etter § 19-7 andre ledd. Dette innebærer at for 1950-kullet skal 0,5 prosent multipliseres med 0,9 og legges sammen med beregnet økning etter § 19-7 andre ledd, multiplisert med 0,1, for 1951-kullet skal 0,5 prosent multipliseres med 0,8 og legges sammen med beregnet økning etter § 19-7 andre ledd, multiplisert med 0,2. Vektingen endres tilsvarende for senere årskull til og med 1958-kullet der 0,5 prosent multipliseres med 0,1 og legges sammen med beregnet økning etter andre ledd, multiplisert med 0,9. Det vises til lovforslaget § 19-7 tredje ledd bokstav b.
Departementet foreslår å presisere at for årskullene 1959–1962 skal endringen i forholdstallet ved 67 år fra et årskull til det neste tilsvare endringen som beregnes i henhold til reglene i § 19-7 annet ledd. Det vises til lovforslaget § 19-7 fjerde ledd.
Departementet foreslår også å presisere at forholdstallene ved andre uttaksaldre enn 67 år for alle årskullene 1944–1962 skal fastsettes med utgangspunkt i forholdstallene ved 67, slik at alderspensjonen blir nøytral i forhold til uttaksalder. Det vises til lovforslaget § 19-7 femte ledd.
5.6 Regler for fastsetting av delingstall og forholdstall
5.6.1 Stortingets vedtak og departementets høringsforslag
Ved behandlingen av St.meld. nr. 5 (2006–2007) sluttet Stortinget seg til at den konkrete gjennomføringen av prinsippet om levealdersjustering skulle drøftes i lovarbeidet i etterkant av stortingsmeldingen. I meldingen heter det også at praktiseringen av ordningen skal følges opp over tid.
Departementet foreslo i høringsnotatet av 28. januar 2008 at delingstallene og forholdstallene skal fastsettes administrativt basert på et entydig regelverk. Departementet foreslo at entydige prinsipper for fastsetting av delingstall skal inngå som en del av lovverket for folketrygdens alderspensjon, mens mer detaljerte bestemmelser fastsettes i forskrift.
Departementet foreslo at ansvaret for å beregne og fastsette delingstallene og forholdstallene blir lagt til Arbeids- og velferdsdirektoratet. Departementet la til grunn at det er viktig at befolkningen får god informasjon om opparbeidede pensjonsrettigheter og antatt årlig pensjon ved valg av ulike uttakstidspunkt i god tid før første uttaksmulighet. Departementet foreslo derfor at Arbeids- og velferdsdirektoratet også får ansvar for å utarbeide anslag for de enkelte årskulls framtidige delingstall og forholdstall. Anslag på framtidige delingstall og forholdstall skal baseres på Statistisk sentralbyrås offisielle befolkningsframskrivinger.
5.6.2 Høringsinstansenes syn
Arbeids- og velferdsdirektoratet er enig i departementets forslag om at delingstallene skal fastsettes administrativt basert på et entydig regelverk, at prinsippene lovfestes og at delingstallene og anslag for delingstall skal fastsettes av direktoratet på grunnlag av middelalternativet i Statistisk sentralbyrås offisielle befolkningsframskrivninger.
Arbeids- og velferdsdirektoratet, Finansnæringens Hovedorganisasjon (FNH) og Den norske aktuarforening (Aktuarforeningen) påpeker at renteforutsetningen i delingstallet bør klargjøres. Direktoratet uttaler i denne forbindelse:
«Dette kan gjøres ved at ny § 20-14 inneholder en definisjon av hvilken rente som skal legges til grunn ved fastsettelse av delingstall og forholdstall med henvisning til § 20-19 andre ledd. Valg av rentefaktor for kontantverdiberegningen vil kunne påvirke levealdersjusteringen i stor grad, og vil kunne påvirke indekseringen av grunnpensjon. Det bør sikres indre konsistens i pensjonssystemet i valg av renteparametere i levealdersjustering og indeksering. Renteparameter i indeksering er lovfestet, og rente i levealdersjustering bør ha samme rettsvern. Videre vil det være uheldig om rente i beregning av delingstall og forholdstall skal kunne fastsettes administrativt i NAV eller i departementet gjennom forskrift, eller på en enkel måte kunne endres politisk fra år til år. Dette vil i tilfelle medføre en innføring av en justeringsmekanisme i pensjonssystemet som fremstår som utilsiktet fra lovgivers side. Det må sikres at valg av faktoren for rente står fast over tid, og vi mener at en lovfesting gir det beste vernet.»
Arbeids- og velferdsdirektoratet støtter departementet i at praktisering av levealdersjustering må følges opp over tid.
5.6.3 Departementets vurdering og forslag
Levealdersjusteringen og nøytralt fleksibelt uttak av alderspensjon i folketrygden er sentrale elementer i et økonomisk bærekraftig pensjonssystem. Departementet ser det derfor som vesentlig at prinsippene for fastsetting av delingstall og forholdstall er entydige og utgjør en del av lovverket for alderspensjon i folketrygden, slik at det ikke oppstår diskusjon om grunnlaget for beregning av delingstall og forholdstall.
Departementet er enig i høringsmerknader fra Arbeids- og velferdsdirektoratet, Finansnæringens hovedorganisasjon og Aktuarforeningen vedrørende renteforutsetningen, og har presisert i lovforslaget at diskonteringsrenten skal være nominell lønnsvekst. Det vises til nærmere omtale i avsnitt 5.3. og 5.4.
Departementet foreslår at praktiseringen av ordningen med levealdersjustering følges opp som en del av den fortløpende evaluering av pensjonsreformen som vil foretas for å vurdere om reformen virker etter hensikten. Departementet viser i denne forbindelse til statsministerens uttalelse i brev av 2. april 2008 til Riksmeklingsmannen i forbindelse med lønnsoppgjøret i privat sektor:
«Regjeringen vil sørge for en fortløpende evaluering av pensjonsreformen for å kunne vurdere om reformen virker etter hensikten. Det er i denne forbindelsen ønskelig med løpende kontakt mellom regjeringen og partene i arbeidslivet. Regjeringen vil derfor opprette et arbeidslivs- og pensjonspolitisk råd, hvor opplegget for og resultatene av evalueringsarbeidet kan gjennomgås. Oppgavene til Arbeidslivspolitisk råd legges inn i det nye rådet. Regjeringen har merket seg at partene senest i 2017 skal evaluere overgang til ny AFP.»
Arbeidslivs- og pensjonspolitisk råd ble i tråd med dette, og med utgangspunkt i Arbeidslivspolitisk råd, opprettet 25.11.2008. Arbeidslivs- og pensjonspolitisk råd vil gjennomgå og vurdere den løpende evalueringen av pensjonsreformen. Som et viktig element i rådets arbeid tas det sikte på å etablere et nært samarbeid mellom myndighetene og partene i arbeidslivet bestående av personer med høy pensjonskompetanse, og hvor det også kan utarbeides regelmessige rapporter om relevante utviklingstrekk på pensjonsområdet og arbeidsmarkedet. Som i dag vil Arbeids- og inkluderingsdepartementet ha ansvaret for sekretariatsarbeidet i tilknytning til Arbeidslivs- og pensjonspolitisk råd.
Det foreslås at departementet gir forskrifter om fastsetting av delingstall og forholdstall. Departementet foreslår at delingstallene og forholdstallene fastsettes av Arbeids- og velferdsdirektoratet.
Det vises til lovforslaget § 19-7 åttende og niende ledd og til § 20-13 femte og sjette ledd.
5.7 Anslag på delingstall og forholdstall
5.7.1 Anslag på delingstall for årskullene fra 1963 til 1973
Tabell 5.3 viser anslag for delingstall for 1963–1973-kullene basert på middelalternativet i Statistisk sentralbyrås befolkningsframskrivning fra 2008.
Tabell 5.3 Anslag på delingstall for årskullene 1963–1973
| 1963 | 1964 | 1965 | 1966 | 1967 | 1968 | 1969 | 1970 | 1971 | 1972 | 1973 | |
|---|---|---|---|---|---|---|---|---|---|---|---|
| 62 | 19,76 | 19,86 | 19,96 | 20,06 | 20,16 | 20,26 | 20,37 | 20,47 | 20,57 | 20,67 | 20,77 |
| 63 | 18,94 | 19,04 | 19,14 | 19,25 | 19,35 | 19,45 | 19,55 | 19,65 | 19,75 | 19,86 | 19,96 |
| 64 | 18,13 | 18,23 | 18,33 | 18,43 | 18,53 | 18,63 | 18,73 | 18,83 | 18,94 | 19,04 | 19,14 |
| 65 | 17,32 | 17,41 | 17,51 | 17,62 | 17,72 | 17,82 | 17,92 | 18,02 | 18,12 | 18,22 | 18,32 |
| 66 | 16,50 | 16,60 | 16,70 | 16,80 | 16,90 | 17,00 | 17,10 | 17,20 | 17,30 | 17,41 | 17,51 |
| 67 | 15,69 | 15,79 | 15,89 | 15,99 | 16,09 | 16,19 | 16,29 | 16,39 | 16,49 | 16,59 | 16,69 |
| 68 | 14,89 | 14,98 | 15,08 | 15,18 | 15,28 | 15,38 | 15,48 | 15,58 | 15,68 | 15,78 | 15,88 |
| 69 | 14,09 | 14,18 | 14,28 | 14,38 | 14,47 | 14,57 | 14,67 | 14,77 | 14,87 | 14,97 | 15,07 |
| 70 | 13,29 | 13,38 | 13,48 | 13,58 | 13,67 | 13,77 | 13,87 | 13,96 | 14,06 | 14,16 | 14,26 |
| 71 | 12,50 | 12,59 | 12,68 | 12,78 | 12,87 | 12,97 | 13,07 | 13,16 | 13,26 | 13,35 | 13,45 |
| 72 | 11,71 | 11,80 | 11,90 | 11,99 | 12,08 | 12,18 | 12,27 | 12,37 | 12,46 | 12,56 | 12,65 |
| 73 | 10,94 | 11,03 | 11,12 | 11,21 | 11,30 | 11,39 | 11,49 | 11,58 | 11,67 | 11,76 | 11,86 |
| 74 | 10,17 | 10,26 | 10,35 | 10,44 | 10,53 | 10,62 | 10,71 | 10,80 | 10,89 | 10,98 | 11,07 |
| 75 | 9,42 | 9,51 | 9,59 | 9,68 | 9,77 | 9,85 | 9,94 | 10,03 | 10,12 | 10,21 | 10,30 |
Kilde: Statistisk sentralbyrå
1963-kullet er det første årskullet som fullt ut vil omfattes av nye opptjeningsregler i ny alderspensjon. En person fra dette årskullet som har en pensjonsbeholdning ved 67 år på 3 377 000 kroner vil få en årlig pensjon fra 67 år som framkommer ved å dele beholdningen på det aktuelle delingstallet, 15,69. Pensjonen blir da 215 200 kroner. Hvis vedkommende derimot fortsetter å arbeide ett år til, kan vi anta at pensjonsbeholdningen vil ha økt til 3 452 000 kroner. Delingstallet ved uttak ved 68 år er 14,89, slik at pensjonen blir 231 800 kroner.
Endringen i pensjonen skyldes flere faktorer. For det første øker pensjonsbeholdningen på grunn av ny opptjening. For det andre blir det færre år å dele beholdningen på. Det reflekteres i at et lavere delingstall benyttes.
Forskjellen i delingstall ved 67 år for 1963-kullet og delingstallet ved 67 år for 1964-kullet illustrerer levealdersjusteringen. Det framgår av tabellen at delingstallet øker fra 15,69 til 15,79, hvilket utgjør en økning på om lag 0,64 prosent. Det betyr at en person fra 1964-kullet med lik pensjonsopptjening anslås å måtte arbeide og utsette pensjonsuttak med én måned for å få samme årlige pensjon. Alternativt kan vedkommende ta ut en noe lavere pensjon fra 67 år.
Tabell 5.4 viser anslag på nødvendig pensjonsalder for årskullene fra og med 1963 til og med 1983. Med nødvendig pensjonsalder menes den alderen et årskull kan ta ut pensjon og opprettholde samme pensjonsnivå som vedkommende ville ha hatt ved 67 år uten levealdersjustering. Dermed rendyrkes effekten av levealdersjusteringen. Beregningene er basert på 40 års jevn opptjening ved 67 år for en person som kun har inntektspensjon.
Nødvendig pensjonsalder indikerer hvor lenge en person fra det aktuelle årskullet må utsette uttaket av pensjon for å opprettholde pensjonsnivået, forutsatt at vedkommende fortsetter i arbeid fram til denne alderen. Årskullene fra og med 1963 vil ha opptjening etter nye opptjeningsregler som innebærer at alle år i arbeid gir pensjonsopptjening.
Forventet alder ved uttakstidspunktet er beregnet ut fra forventet gjenstående levetid fra alderen som tilsvarer nødvendig pensjonsalder. Tid som pensjonist er differansen mellom forventet levealder ved uttakstidspunktet og nødvendig pensjonsalder.
Tabell 5.4 Nødvendig pensjonsalder og tid som pensjonist1
| Årskull | 67 år i | Nødvendig pensjonsalder | Forventet levealder ved uttakstidspunktet2 | Tid som pensjonist |
|---|---|---|---|---|
| 1963 | 2030 | 69 år 1 måned | 85 år 10 måneder | 16 år 9 måneder |
| 1964 | 2031 | 69 år 2 måned | 85 år 11 måneder | 16 år 9 måneder |
| 1965 | 2032 | 69 år 3 måned | 86 år | 16 år 9 måneder |
| 1966 | 2033 | 69 år 4 måned | 86 år 1 måned | 16 år 9 måneder |
| 1967 | 2034 | 69 år 5 måned | 86 år 2 måneder | 16 år 9 måneder |
| 1968 | 2035 | 69 år 6 måned | 86 år 4 måneder | 16 år 10 måneder |
| 1969 | 2036 | 69 år 7 måned | 86 år 5 måneder | 16 år 10 måneder |
| 1970 | 2037 | 69 år 8 måned | 86 år 6 måneder | 16 år 10 måneder |
| 1971 | 2038 | 69 år 9 måned | 86 år 7 måneder | 16 år 10 måneder |
| 1972 | 2039 | 69 år 10 måned | 86 år 9 måneder | 16 år 11 måneder |
| 1973 | 2040 | 69 år 11 måned | 86 år 10 måneder | 16 år 11 måneder |
| 1974 | 2041 | 70 år | 86 år 11 måneder | 16 år 11 måneder |
| 1975 | 2042 | 70 år 1 måned | 87 år | 16 år 11 måneder |
| 1976 | 2043 | 70 år 2 måneder | 87 år 1 måned | 16 år 11 måneder |
| 1977 | 2044 | 70 år 3 måneder | 87 år 3 måneder | 17 år |
| 1978 | 2045 | 70 år 4 måneder | 87 år 4 måneder | 17 år |
| 1979 | 2046 | 70 år 5 måneder | 87 år 5 måneder | 17 år |
| 1980 | 2047 | 70 år 6 måneder | 87 år 6 måneder | 17 år |
| 1981 | 2048 | 70 år 7 måneder | 87 år 7 måneder | 17 år |
| 1982 | 2049 | 70 år 8 måneder | 87 år 9 måneder | 17 år 1 måned |
| 1983 | 2050 | 70 år 9 måneder | 87 år 10 måneder | 17 år 1 måned |
1 Nødvendig pensjonsalder og forventet levealder ved uttakstidspunktet er avrundet opp til nærmeste hele måned.
2 Forventet levealder ved uttakstidspunktet er beregnet på bakgrunn av de samme dataene som ligger til grunn for beregning av delingstallene. Dette medfører at nivåene for forventet levealder i tabellen er lavere enn de som oppgis i offisiell statistikk, men gjør at veksten i forventet levealder ved uttakstidspunkt fra et årskull til det neste blir sammenlignbar med den tilsvarende veksten i delingstallene.
Kilde: Arbeids- og velferdsdirektoratet og Arbeids- og inkluderingsdepartementet
5.7.2 Anslag på forholdstall for årskullene fra 1943 til 1953
Tabell 5.5 viser anslag på forholdsstall for 1943–1953-kullene basert på faktisk levealdersutvikling fram til og med 2007 og middelalternativet i Statistisk sentralbyrås befolkningsframskrivning for 2008.
Tabell 5.5 Anslag på forholdstall for årskullene 1943–1953
| 1943 | 1944 | 1945 | 1946 | 1947 | 1948 | 1949 | 1950 | 1951 | 1952 | 1953 | |
|---|---|---|---|---|---|---|---|---|---|---|---|
| 62 | 1,316 | 1,320 | 1,325 | 1,330 | 1,335 | 1,341 | |||||
| 63 | 1,253 | 1,258 | 1,262 | 1,267 | 1,272 | 1,277 | 1,283 | ||||
| 64 | 1,190 | 1,195 | 1,199 | 1,204 | 1,208 | 1,214 | 1,220 | 1,225 | |||
| 65 | 1,127 | 1,132 | 1,136 | 1,141 | 1,145 | 1,151 | 1,156 | 1,162 | 1,168 | ||
| 66 | 1,064 | 1,068 | 1,073 | 1,078 | 1,083 | 1,088 | 1,093 | 1,099 | 1,105 | 1,110 | |
| 67 | 1,000 | 1,005 | 1,010 | 1,015 | 1,020 | 1,025 | 1,030 | 1,036 | 1,042 | 1,048 | 1,053 |
| 68 | 0,942 | 0,947 | 0,952 | 0,957 | 0,963 | 0,968 | 0,973 | 0,979 | 0,985 | 0,991 | 0,997 |
| 69 | 0,884 | 0,889 | 0,895 | 0,901 | 0,906 | 0,911 | 0,917 | 0,923 | 0,928 | 0,935 | 0,941 |
| 70 | 0,827 | 0,833 | 0,838 | 0,844 | 0,850 | 0,855 | 0,861 | 0,867 | 0,873 | 0,879 | 0,885 |
| 71 | 0,771 | 0,777 | 0,783 | 0,789 | 0,795 | 0,800 | 0,806 | 0,812 | 0,818 | 0,824 | 0,830 |
| 72 | 0,716 | 0,722 | 0,728 | 0,734 | 0,740 | 0,746 | 0,751 | 0,757 | 0,763 | 0,770 | 0,775 |
| 73 | 0,662 | 0,668 | 0,674 | 0,680 | 0,686 | 0,692 | 0,698 | 0,704 | 0,710 | 0,716 | 0,721 |
| 74 | 0,610 | 0,615 | 0,622 | 0,628 | 0,634 | 0,639 | 0,645 | 0,651 | 0,657 | 0,663 | 0,669 |
| 75 | 0,558 | 0,564 | 0,571 | 0,576 | 0,583 | 0,588 | 0,594 | 0,600 | 0,605 | 0,612 | 0,617 |
Kilde: Statistisk sentralbyrå
Forholdstallet er normert til 1 ved 67 år for 1943-årskullet som kan ta ut pensjon fra 67 år i 2010. På samme måte som delingstallene i ny alderspensjon, vil forholdstallene ha en funksjon ved fleksibelt uttak av dagens alderspensjon. Nøytraliteten innebærer at forholdstallene for hvert årskull blir lavere med økende uttaksalder. Forventet nåverdi av samlet pensjonsutbetaling for den enkelte er uavhengig av uttakstidspunktet.
En person fra 1944-kullet som ved 66 år har opparbeidet rett til en årlig pensjon før levealdersjustering på 220 000 kroner, vil ha et forholdstall på 1,005 ved 67 år og årlig pensjon blir da om lag 218 900 kroner. Hvis vedkommende venter ett år med å ta ut pensjonen, skal forholdstallet 0,947 benyttes. Har vedkommende ikke hatt ny pensjonsopptjening i dette året, blir den årlige ytelsen omlag 232 300 kroner. Tilsvarende beregninger kan gjøres for ulike årskull og uttaksaldre med utgangspunkt i forholdstallene i tabell 5.5.
Endringen i pensjonen i dette eksemplet skyldes at pensjonsytelsen skal betales ut over færre år. Dersom denne personen i utgangspunktet ikke hadde full opptjening i dagens folketrygd (40 år), kan pensjonen øke ytterligere på grunn av ny opptjening, forutsatt at personen står i arbeid mens hun venter med å ta ut pensjonen.
Levealdersjusteringen innebærer at for senere årskull enn 1943-kullet justeres pensjonsytelsen for en gitt uttaksalder ved hjelp av et forholdstall som gjenspeiler utviklingen i levealderen mellom årskullene. Forholdstallet ved 67 år øker fra 1,000 for 1943-kullet til 1,005 for 1944-kullet. Dette representerer en økning på 0,5 prosent og innebærer at en person fra 1944-kullet anslås å måtte utsette uttaket av pensjon i én måned for å oppnå samme pensjon som en person fra 1943-kullet, forutsatt at vedkommende har tjent opp rett til full pensjon ved 67 år.
For 1948-kullet er forholdstallet ved 67 år økt til 1,025. En person fra 1948-kullet vil måtte arbeide anslagsvis seks måneder lenger for å oppnå samme pensjon som en person fra 1943-kullet. Alternativt kan personen gå av med pensjon ved 67 år med en årlig pensjon på om lag 214 600 kroner.
Tabell 5.6 viser anslag på nødvendig pensjonsalder for årskullene fra og med 1943 til og med 1953. Nødvendig pensjonsalder er den alderen et årskull kan ta ut 100 prosent pensjon og opprettholde samme pensjonsnivå som vedkommende ville ha hatt ved 67 år uten levealdersjustering. Dermed rendyrkes effekten av levealdersjusteringen. Beregningene er basert på 40 års opptjening ved 67 år.
Nødvendig pensjonsalder indikerer hvor lenge en person fra det aktuelle årskullet må utsette uttaket av pensjon, uavhengig av om vedkommende fortsetter i arbeid eller ikke. Dette skyldes at årskullene 1943–1953 følger dagens opptjeningsregler, som ikke gir opptjening utover 40 års (full) opptjening. For personer med mindre enn 40 års opptjening vil fortsatt arbeid gi en opptjeningseffekt som bidrar til å redusere nødvendig pensjonsalder.
Forventet levealder ved uttakstidspunktet er beregnet ut fra forventet gjenstående levetid fra alderen som tilsvarer nødvendig pensjonsalder. Tid som pensjonist er differansen mellom forventet levetid ved uttakstidspunktet og nødvendig pensjonsalder.
Tabell 5.6 Nødvendig pensjonsalder og tid som pensjonist1
| Årskull | 67 år i | Nødvendig pensjonsalder | Forventet levealder ved uttakstidspunktet2 | Tid som pensjonist |
|---|---|---|---|---|
| 1943 | 2010 | 67 år | 83 år 4 måneder | 16 år 4 måneder |
| 1944 | 2011 | 67 år 1 måned | 83 år 6 måneder | 16 år 5 måneder |
| 1945 | 2012 | 67 år 2 måneder | 83 år 8 måneder | 16 år 6 måneder |
| 1946 | 2013 | 67 år 4 måneder | 83 år 10 måneder | 16 år 6 måneder |
| 1947 | 2014 | 67 år 5 måneder | 84 år | 16 år 7 måneder |
| 1948 | 2015 | 67 år 6 måneder | 84 år 2 måneder | 16 år 8 måneder |
| 1949 | 2016 | 67 år 7 måneder | 84 år 4 måneder | 16 år 9 måneder |
| 1950 | 2017 | 67 år 8 måneder | 84 år 5 måneder | 16 år 9 måneder |
| 1951 | 2018 | 67 år 9 måneder | 84 år 7 måneder | 16 år 10 måneder |
| 1952 | 2019 | 67 år 10 måneder | 84 år 9 måneder | 16 år 11 måneder |
| 1953 | 2020 | 68 år | 84 år 10 måneder | 16 år 10 måneder |
1 Nødvendig pensjonsalder, forventet levealder ved uttakstidspunktet er avrundet opp til nærmeste hele måned.
2 Forventet levealder ved uttakstidspunktet er beregnet på bakgrunn av de samme dataene som ligger til grunn for beregning av forholdstallene. Dette medfører at nivåene for forventet levealder i tabellen er lavere enn det som oppgis i offisiell statistikk, men gjør at veksten i forventet levealder ved uttakstidspunkt fra et årskull til det neste blir sammenlignbar med den tilsvarende veksten i delingstallene.
Kilde: Arbeids- og velferdsdirektoratet og Arbeids- og inkluderingsdepartementet
Det var sterk nedgang i dødelighet i årene fra 2002 til 2006. Det innebærer at levealdersjusteringen for nye pensjonister de første årene etter 2010 lå an til bli sterkere enn tidligere antatt. Etter departementets forslag vil de første årskullene etter at pensjonsreformen er iverksatt i noen grad skjermes mot effekten av økningen i levealderen de siste årene, og endringen i forholdstallet fra et årskull til det neste dermed vil være på nivå med det som legges til grunn for den langsiktige utviklingen i levealderen. Det vises til tabell 5.2.
5.7.3 Delingstall og forholdstall i overgangsperioden (årskullene 1954–1962)
Tabell 5.7 Anslag på forholdstall for årskullene 1954–1962
| 1954 | 1955 | 1956 | 1957 | 1958 | 1959 | 1960 | 1961 | 1962 | |
|---|---|---|---|---|---|---|---|---|---|
| 62 | 1,345 | 1,349 | 1,353 | 1,358 | 1,364 | 1,370 | 1,375 | 1,381 | 1,387 |
| 63 | 1,287 | 1,292 | 1,296 | 1,301 | 1,306 | 1,312 | 1,318 | 1,324 | 1,329 |
| 64 | 1,230 | 1,234 | 1,238 | 1,243 | 1,249 | 1,255 | 1,260 | 1,266 | 1,272 |
| 65 | 1,172 | 1,177 | 1,181 | 1,186 | 1,191 | 1,197 | 1,203 | 1,209 | 1,215 |
| 66 | 1,115 | 1,119 | 1,124 | 1,129 | 1,134 | 1,140 | 1,146 | 1,152 | 1,157 |
| 67 | 1,058 | 1,062 | 1,066 | 1,072 | 1,077 | 1,083 | 1,089 | 1,094 | 1,100 |
| 68 | 1,001 | 1,006 | 1,010 | 1,015 | 1,020 | 1,026 | 1,032 | 1,038 | 1,044 |
| 69 | 0,945 | 0,949 | 0,953 | 0,958 | 0,964 | 0,970 | 0,975 | 0,981 | 0,987 |
| 70 | 0,889 | 0,894 | 0,898 | 0,902 | 0,908 | 0,914 | 0,919 | 0,925 | 0,931 |
| 71 | 0,834 | 0,838 | 0,842 | 0,847 | 0,852 | 0,858 | 0,864 | 0,869 | 0,875 |
| 72 | 0,780 | 0,784 | 0,787 | 0,792 | 0,798 | 0,803 | 0,809 | 0,814 | 0,820 |
| 73 | 0,726 | 0,730 | 0,733 | 0,738 | 0,743 | 0,749 | 0,754 | 0,760 | 0,765 |
| 74 | 0,673 | 0,677 | 0,680 | 0,685 | 0,690 | 0,695 | 0,701 | 0,706 | 0,712 |
| 75 | 0,621 | 0,625 | 0,628 | 0,633 | 0,638 | 0,643 | 0,648 | 0,653 | 0,659 |
Kilde: Statistisk sentralbyrå
Ny opptjeningsmodell vil fases gradvis inn ved at årskullene 1954–1962 får sin pensjonsopptjening beregnet med en forholdsmessig andel av dagens og nye opptjeningsregler. Dette innebærer at det i overgangsperioden må benyttes både forholdstall og delingstall ved beregning av pensjon.
Tabell 5.7 og tabell 5.8 viser anslag på henholdsvis forholdsstall og delingstall for 1954–1962-kullene. Forholdstallene og delingstallene for 1954-, 1955- og 1956-kullene er basert delvis på allerede kjent dødelighetsstatistikk. Øvrige forholdstall og delingstall som vises i tabellene er basert utelukkende på framskrivinger av utviklingen i levealderen. Delingstallene vil vokse noe sterkere enn forholdstallene over tid fordi endringer i dødelighet før 62 år er reflektert i delingstallene.
Tabell 5.8 Anslag på delingstall for årskullene 1954–1962
| 1954 | 1955 | 1956 | 1957 | 1958 | 1959 | 1960 | 1961 | 1962 | |
|---|---|---|---|---|---|---|---|---|---|
| 62 | 18,92 | 19,00 | 19,08 | 19,16 | 19,26 | 19,36 | 19,46 | 19,56 | 19,66 |
| 63 | 18,10 | 18,19 | 18,26 | 18,35 | 18,45 | 18,54 | 18,64 | 18,74 | 18,84 |
| 64 | 17,29 | 17,38 | 17,45 | 17,54 | 17,63 | 17,73 | 17,83 | 17,93 | 18,03 |
| 65 | 16,49 | 16,57 | 16,64 | 16,73 | 16,82 | 16,92 | 17,02 | 17,12 | 17,22 |
| 66 | 15,68 | 15,76 | 15,83 | 15,92 | 16,01 | 16,11 | 16,21 | 16,31 | 16,41 |
| 67 | 14,88 | 14,96 | 15,03 | 15,11 | 15,21 | 15,30 | 15,40 | 15,50 | 15,60 |
| 68 | 14,08 | 14,16 | 14,23 | 14,31 | 14,41 | 14,50 | 14,60 | 14,69 | 14,79 |
| 69 | 13,29 | 13,37 | 13,44 | 13,52 | 13,61 | 13,70 | 13,80 | 13,89 | 13,99 |
| 70 | 12,51 | 12,58 | 12,65 | 12,73 | 12,82 | 12,91 | 13,01 | 13,10 | 13,19 |
| 71 | 11,73 | 11,80 | 11,87 | 11,95 | 12,04 | 12,13 | 12,22 | 12,31 | 12,40 |
| 72 | 10,96 | 11,03 | 11,10 | 11,17 | 11,26 | 11,35 | 11,44 | 11,53 | 11,62 |
| 73 | 10,21 | 10,27 | 10,34 | 10,41 | 10,50 | 10,58 | 10,67 | 10,76 | 10,85 |
| 74 | 9,46 | 9,53 | 9,59 | 9,66 | 9,74 | 9,83 | 9,91 | 10,00 | 10,09 |
| 75 | 8,73 | 8,80 | 8,85 | 8,92 | 9,00 | 9,09 | 9,17 | 9,25 | 9,34 |
Kilde: Statistisk sentralbyrå
En person fra 1958-kullet vil ha halvparten av opptjeningen etter dagens regler og halvparten av opptjeningen etter nye regler. Det forutsettes at full opptjening etter dagens regler ville gi rett til en årlig pensjonsytelse på 220 000 kroner ved 67 år, og at pensjonsbeholdning ved 67 år er 3 377 000 kroner for opptjening etter dagens regler. Den årlige ytelsen etter dagens opptjeningsregler må først korrigeres med forholdstallet som gjelder ved uttakstidspunktet og deretter vektes med 5/10. Tilsvarende må pensjonsbeholdningen først deles på delingstallet ved uttakstidspunktet og deretter vektes med 5/10. Dette gir en samlet ytelse på 213 100 kroner i året, jf. oppstillingen i tabell 5.9.
Tabell 5.9 Beregning av årlig pensjonsytelse ved 67 år for 1958-kullet
| Opptjening/ beholdning | Forholdstall/ delingstall | Vekt | Årlig ytelse | |
|---|---|---|---|---|
| Dagens opptjeningsregler (årlig ytelse) | 220 000 | 1,077 | 5/10 | 102 100 |
| Nye opptjeningsregler (pensjonsbeholdning) | 3 377 000 | 15,21 | 5/10 | 111 000 |
| Samlet årlig ytelse | 213 100 |
Tabell 5.10 viser anslag på nødvendig pensjonsalder for årskullene fra og med 1954 til og med 1962. Nødvendig pensjonsalder er den alderen et årskull kan ta ut 100 prosent pensjon og opprettholde samme pensjonsnivå som vedkommende ville ha hatt ved 67 år uten levealdersjustering. Dermed rendyrkes effekten av levealdersjusteringen. Beregningene er basert på 40 års jevn opptjening ved 67 år for en person som i ny alderspensjon kun har inntektspensjon.
Nødvendig pensjonsalder indikerer hvor lenge en person fra det aktuelle årskullet må utsette uttaket av pensjon, forutsatt at vedkommende fortsetter i arbeid fram til denne alderen. Årskullene 1954–1962 vil ha opptjening delvis etter dagens og delvis etter nye opptjeningsregler. For den delen av pensjonen som tjenes opp etter dagens opptjeningsregler, vil fortsatt arbeid ut over 40 år ikke gi noen opptjeningseffekt, mens for den delen av pensjonen som skal beregnes etter nye opptjeningsregler, bidrar fortsatt arbeid til å redusere nødvendig pensjonsalder. For personer med mindre enn 40 års opptjening vil fortsatt arbeid gi en opptjeningseffekt som bidrar til å redusere nødvendig pensjonsalder også for den delen av pensjonen som tjenes opp etter dagens opptjeningsregler.
Forventet levealder ved uttakstidspunktet er beregnet ut fra forventet gjenstående levetid fra alderen som tilsvarer nødvendig pensjonsalder. Tid som pensjonist er differansen mellom forventet levealder ved uttakstidspunktet og nødvendig pensjonsalder.
Tabell 5.10 Nødvendig pensjonsalder og tid som pensjonist1
| Årskull | 67 år i | Nødvendig pensjonsalder | Forventet levealder ved uttakstidspunktet2 | Tid som pensjonist |
|---|---|---|---|---|
| 1954 | 2021 | 68 år 1 måned | 84 år 11 måneder | 16 år 10 måneder |
| 1955 | 2022 | 68 år 3 måneder | 85 år | 16 år 9 måneder |
| 1956 | 2023 | 68 år 4 måneder | 85 år 1 måned | 16 år 9 måneder |
| 1957 | 2024 | 68 år 5 måneder | 85 år 2 måneder | 16 år 9 måneder |
| 1958 | 2025 | 68 år 6 måneder | 85 år 3 måneder | 16 år 9 måneder |
| 1959 | 2026 | 68 år 8 måneder | 85 år 5 måneder | 16 år 9 måneder |
| 1960 | 2027 | 68 år 9 måneder | 85 år 6 måneder | 16 år 9 måneder |
| 1961 | 2028 | 68 år 10 måneder | 85 år 7 måneder | 16 år 9 måneder |
| 1962 | 2029 | 68 år 11 måneder | 85 år 8 måneder | 16 år 9 måneder |
1 Nødvendig pensjonsalder, og forventet levealder ved uttakstidspunktet er avrundet opp til nærmeste hele måned.
2 Forventet levealder ved uttakstidspunktet er beregnet på bakgrunn av de samme dataene som ligger til grunn for beregning av forholdstallene. Dette medfører at nivåene for forventet levealder i tabellen er lavere enn det som oppgis i offisiell statistikk, men gjør at veksten i forventet levealder ved uttakstidspunkt fra et årskull til det neste blir sammenlignbar med den tilsvarende veksten i delingstallene.
Kilde: Arbeids- og velferdsdirektoratet og Arbeids- og inkluderingsdepartementet
5.8 Ikrafttredelse
Departementet foreslår at bestemmelsene i §§ 20-12 og 20-13 trer i kraft 1. januar 2010. Bestemmelsene kommer ikke til anvendelse før i 2015, da delingstallene for det første årskullet som omfattes av nye opptjeningsregler, 1954-kullet, skal fastsettes.
Departementet foreslår at bestemmelsene i §§ 19-6 og 19-7 trer i kraft 1. januar 2011. For årskullene 1943–1949 bør det fastsettes forholdstall i 2010, slik at disse er kjent før fleksible uttaksregler trer i kraft 1. januar 2011. Departementet foreslår at forholdstall for disse årskullene fastsettes i medhold av egne overgangsregler, se nærmere lovforslaget avsnitt II.
Fotnoter
Sannsynligheten for å dø er beregnet på bakgrunn av observerte antall dødsfall i forhold til antall personer i live i denne alder. Statistikkgrunnlaget for dødelighet over alder 100 år er tynt, men har liten praktisk betydning for beregning av delingstall. I dag benyttes beregninger av dødelighet opp til og med 130 år.