6 Uttak av ny alderspensjon
6.1 Innledning og sammendrag
Stortinget vedtok 26. mai 2005 at det skal være en tidligpensjonsordning for alle, og skisserte enkelte hovedprinsipper som skulle legges til grunn. Stortinget ba Regjeringen komme tilbake med forslag til hvordan en slik ordning kan utformes.
I vedtak av 23. april 2007 sluttet Stortinget seg til Regjeringens forslag til fleksibel alderspensjon i folketrygden i St.meld. nr. 5 (2006–2007). Dette innebærer at:
Det åpnes for uttak av alderspensjon i folketrygden fra fylte 62 år.
Den fleksible alderspensjonen utformes slik at årlig pensjon reflekterer forventet antall år som pensjonist.
Det åpnes for uttak av hel eller delvis alderspensjon så lenge pensjonen fra fylte 67 år overstiger minstepensjonsnivået.
Det åpnes for å kombinere uttak av alderspensjon og arbeid uten avkorting av pensjonen.
Formålet med å innføre fleksibel alderspensjon i folketrygden er å gi økte valgmuligheter for den enkelte, både når det gjelder uttaksalder og grad av pensjonsuttak. Det er også et viktig mål å motivere eldre arbeidstakere til å stå lenger i arbeid, noe som vil bidra til at finansieringsbyrden på de yrkesaktive ikke blir for stor.
Departementet foreslår at pensjonsrettigheter i ny alderspensjon tjenes opp ved at det bygges opp en pensjonsbeholdning, se kapittel 3. Årlig pensjon beregnes ved å dividere pensjonsbeholdningen på et delingstall som i hovedsak reflekterer forventet antall år som pensjonist. Dette gir et enkelt hovedprinsipp for beregning av alderspensjon. Stortingets vedtak innebærer at personer uten eller med lave opptjente pensjonsrettigheter gis en grunnsikring i form av garantipensjon. Også garantipensjonen skal kunne tas ut fleksibelt. Det vises til nærmere omtale i avsnitt 6.3.
Departementet foreslår at alderspensjonen kan graderes i 20, 40, 50, 60, 80 og 100 prosent. Dette legger til rette for en gradvis overgang fra arbeid til pensjon, og gir gode muligheter til å ta ut pensjon tilsvarende en reduksjon i arbeidstid. Det foreslås at det gis mulighet til å endre uttaksgrad én gang pr. år, men at pensjonsuttaket likevel alltid kan stanses eller økes til 100 prosent. Når uttaksgraden endres, må pensjonen omregnes. Eventuell garantipensjon graderes likt med inntektspensjonen og omregnes tilsvarende. Det vises til nærmere omtale i avsnitt 6.4.
I tråd med Stortingets vedtak foreslår departementet at alle – som i dag – kan ta ut alderspensjon fra 67 år, men at det i tillegg åpnes for å ta ut alderspensjon fra 62 år så lenge alderspensjonen ved 67 år minst tilsvarer garantipensjonsnivået (minstepensjonsnivået). Partene i privat sektor ble i forbindelse med lønnsoppgjøret våren 2008 enige om å tilpasse ordningen med avtalefestet pensjon (AFP) til en fleksibel alderspensjon i folketrygden. Departementet foreslår at den livsvarige delen av ny AFP regnes som del av samlet pensjon ved vurdering av om vilkår for uttak før 67 år er oppfylt. Tilpasninger av tjenestepensjonsordninger med videre til fleksibel alderspensjon er ikke avklart, og eventuell medregning av ytelser fra slike ordninger vurderes derfor senere. Det vises til nærmere omtale i avsnitt 6.5.
Gode muligheter til å kombinere arbeid og pensjon forutsetter at pensjonsuttak ikke er til hinder for videre opptjening av pensjonsrettigheter. Departementet foreslår at nye rettigheter ved helt uttak omregnes til økt pensjon under utbetaling. Ved delvis (gradert) uttak legges ny opptjening til pensjonsbeholdningen for å kunne tas ut senere. Eventuell garantipensjon avkortes i samsvar med hovedreglene. Det vises til nærmere omtale i avsnitt 6.6.
Størrelsen på eventuell garantipensjon avhenger av trygdetid. Departementet foreslår at pensjonsuttak ikke skal være til hinder for medregning av økt trygdetid, se kapittel 4. Departementet foreslår at garantipensjonen omregnes ved økt trygdetid på tilsvarende måte som inntektspensjonen ved økt opptjening. Videre utmåles garantipensjonen med to satser – ordinær og høy sats – noe som i hovedsak innebærer en differensiering ut fra sivilstand. Sivilstanden kan endres etter uttaket av alderspensjonen, for eksempel ved skilsmisse eller ved at ektefellen dør. Dette skal også føre til omregning av pensjonen. Det vises til nærmere omtale i avsnitt 6.7.
6.2 Fleksibelt uttak av alderspensjon
6.2.1 Generelt om fleksibel alderspensjon
Den ordinære pensjonsalderen i folketrygden er i dag 67 år. Et stort flertall av de yrkesaktive slutter likevel i arbeid før 67 år gjennom andre pensjons- eller trygdeordninger. Tidligpensjon som ikke har helserelaterte årsaker, er i dag forbeholdt de som har tilgang til pensjonsordninger utenfor folketrygden, for eksempel avtalefestet pensjon (AFP) eller tjenestepensjonsordninger med særaldersgrenser.
Det er store individuelle forskjeller med hensyn til når den enkelte ønsker eller har behov for å trappe ned arbeidsinnsatsen eller tre ut av arbeidslivet. Pensjonsbeslutningen påvirkes av en rekke faktorer, blant annet hvor lenge den enkelte har stått i arbeid, belastningen i stillingen, forhold på arbeidsplassen og den enkeltes helsetilstand. De økonomiske insentivene i det samlede skatte-, pensjons- og overføringssystemet er bare ett av flere elementer som påvirker eldre arbeidstakeres muligheter til og motivasjon for å stå i arbeid. Norske og internasjonale studier viser imidlertid at utformingen av pensjonssystemet, og da spesielt reglene for tidligpensjon, har en vesentlig effekt på eldres deltakelse i arbeidslivet. Samtidig er det viktig at forholdene legges til rette for at eldre arbeidstakere som ønsker det, faktisk har mulighet til å fortsette i arbeid.
Stortingets vedtak om nye regler for uttak av alderspensjon i folketrygden gir økte valgmuligheter for den enkelte i forhold til dagens regler, både når det gjelder alder for uttak av pensjon og pensjonsgrad. På denne måten vil alderspensjon i folketrygden være bedre tilpasset ulike individuelle behov. Friere valg av tidspunkt for og grad av pensjonsuttak vil da ikke bare være forbeholdt de med AFP eller tilsvarende ordninger.
Et viktig mål med pensjonsreformen er å skape et pensjonssystem som fører til at eldre arbeidstakere står lenger i arbeid, slik at finansieringsbyrden på de yrkesaktive ikke blir for stor. Når en står overfor store utfordringer som følge av en aldrende befolkning og et sterkt behov for å øke avgangsalderen fra arbeidslivet, er det viktig at pensjonssystemet gir et signal om at fortsatt arbeidsinnsats er verdifullt for samfunnet.
Stortinget har derfor slått fast at grunnlaget for en allmenn fleksibel pensjonsordning skal være at det lønner seg å arbeide for de over 62 år. For å unngå at 62 år danner seg som en allmenn norm for avgang fra arbeidslivet, og for å sikre at eldre arbeidstakere motiveres til arbeid – og derigjennom trygger framtidens pensjoner for alle – bør de som venter med å ta ut pensjonen, kompenseres for dette i form av høyere årlige ytelser.
Modellen for uttak av alderspensjon i St.meld. nr. 5 (2006–2007) som Stortinget sluttet seg til gjennom vedtak i 2007, er utformet med sikte på at opptjente pensjonsrettigheter skal gi om lag lik samlet alderspensjon over perioden som pensjonist uavhengig av når den enkelte velger å ta ut pensjonen. Uttaksmodellen skal på denne måten være nøytral i forhold til uttakstidspunkt. De som står lenger i arbeid øker dessuten sine pensjonsrettigheter. Med en slik innretting blir det også mulig å gi adgang til å kombinere pensjon og arbeid uten avkorting av pensjonen.
Dersom nye årskull av pensjonister forventes å leve lenger, innebærer ordningen med levealdersjustering at en må arbeide noe lenger for å opprettholde samme kompensasjonsnivå som tidligere årskull. Modellen for fleksibelt uttak av alderspensjon gir den enkelte mulighet til å velge mellom å kompensere for levealdersjusteringen ved å arbeide lenger eller å ta ut en noe lavere årlig pensjon. Modellen understøtter således Stortingets vedtak om levealdersjustering.
Forslaget til ny modell for uttak av alderspensjon bidrar også til å redusere det skarpe skillet mellom arbeidsliv og pensjonisttilværelse. Mange eldre arbeidstakere ønsker å trappe ned yrkesaktiviteten uten helt å avslutte tilknytningen til arbeidslivet. Når det åpnes for å kombinere arbeid og pensjon uten avkorting i pensjonen, legges forholdene til rette for en gradvis overgang fra yrkesaktivitet til pensjonisttilværelsen. Dette er en betydelig velferdsreform.
Den fleksible alderspensjonen i folketrygden er utformet slik at den enkelte kan velge mellom, eller kombinere, arbeid og pensjon fra 62 år. Alle vil imidlertid ikke ha samme muligheter til å stå i arbeid ut over 62 år. I arbeidet med å reformere folketrygdens alderspensjon legges det også vekt på at personer med svekket helse og personer som blir arbeidsledige fortsatt skal ha tilgang til andre gode trygdeordninger. Samtidig er det viktig å føre en politikk med sikte på å utjevne sosiale ulikheter i helse.
I høringsnotatet av 28. januar 2008 fulgte departementet opp Stortingets vedtak gjennom å foreslå konkrete regler for fleksibelt uttak av alderspensjon fra folketrygden.
Enkelte høringsinstanser har kommentert spørsmålet om fleksibelt uttak av alderspensjon i forbindelse med departementets høringsnotat.
Blant andre Arbeids- og velferdsdirektoratet, Akademikerne, Sparebankforeningen og Senter for seniorpolitikk stiller seg positive til den økte fleksibiliteten i folketrygden og mulighetene for å kombinere arbeid og pensjon uten avkorting.
Arbeids- og velferdsdirektoratet understreker samtidig at valgfriheten også kan ha negative konsekvenser, ved at det blir vanskeligere for den enkelte å holde oversikten over valgmulighetene og at regelverket blir mer komplekst. Dette fordrer også kompetanseoppbygging hos veilederne i Arbeids- og velferdsetaten.
Flere høringsinstanser (Akademikerne, HSH, Landsforeningen for hjerte- og lungesyke (LHL), Norges Ingeniør- og Teknologorganisasjon,Norges Bondelag, Statens Pensjonskasse og Statens seniorråd ) påpeker at muligheten for å utnytte fleksibiliteten forutsetter at denne gjenspeiles også i tjenestepensjoner og i arbeidsgivernes vilje og evne til å la eldre arbeidstakere arbeide deltid og å la dem stå lenger i jobb.
LHL, Funksjonshemmedes Fellesorganisasjon, Pensjonistpartiet og Fylkeseldrerådet i Hordaland uttrykker bekymring over at ikke alle har mulighet til å velge å fortsette i arbeid og at dette kan medføre sosiale skjevheter.
Landslaget for offentlige pensjonister ønsker å beholde gjeldende pensjonsalder på 67 år, og videreutvikle pensjonsordningene for de som må gå av tidligere enn dette.
Den norske aktuarforening påpeker at fleksibel pensjonsalder kan være en utfordring med tanke på mulige seleksjonseffekter ved at personer med dårlig helse kan ønske å gå av tidlig og ta ut mest mulig av pensjonen fortest mulig, mens personer som selv forventer å leve lenge vil tenke annerledes.
FinansnæringensHovedorganisasjon etterlyser vurderinger av hvor mange som antas å ville ta ut pensjon tidlig, og i hvilken grad disse vil komme til å arbeide videre eller ikke.
Departementet merker seg at mange høringsinstanser er positive til den økte fleksibiliteten i alderspensjonen, men ser samtidig påpekningene av at den reelle muligheten til å benytte seg av fleksibiliteten blant annet avhenger av arbeidstilknytning, om det er mulig å tilpasse arbeidet og den enkeltes helsetilstand. Det vises til beregninger av hvor mange som oppfyller krav til tidliguttak av alderspensjon i avsnitt 10.7 og til beregninger av antall alderspensjonister i punkt 11.3.2 og 11.4.
Forslagene i denne proposisjonen innebærer viktige bidrag for å møte den forventede aldringen i befolkningen. Denne utviklingen må imidlertid møtes med tiltak også på andre områder, blant annet for å sikre et mer inkluderende arbeidsliv med plass til ulike mennesker. Det er også viktig at arbeidsmiljø- og sikkerhetspolitikken bidrar til et arbeidsliv med plass til alle. Den pågående reformen av Arbeids- og velferdsetaten skal blant annet legge til rette for at flest mulig kan benytte seg av de mulighetene som pensjonsreformen åpner for. Etaten får en viktig oppgave med å bidra til at den enkelte får god informasjon og veiledning om de muligheter som foreligger i overgangen mellom arbeid og pensjon.
Departementet har i forbindelse med forslaget om innføring av fleksibelt uttak av alderspensjon igangsatt et utredningsarbeid om mulige seleksjonseffekter for å øke kunnskapen om sammenhengen mellom uttaksmønstre og levealder.
Departementet viser til at Stortinget med virkning fra 1. juli 2008 har vedtatt endringer i arbeidsmiljøloven som medfører at alle arbeidstakere over 62 år gis lovfestet rett til redusert arbeidstid dersom de ønsker dette og det ikke er til vesentlig ulempe for virksomheten. Dette gir bedre muligheter for den enkelte til en gradvis nedtrapping i arbeidstiden og styrker muligheten til å kombinere arbeid og pensjon når fleksibelt uttak av alderspensjon innføres.
Effektene av nye regler for uttak av alderspensjon i folketrygden avhenger av tilpasningene i supplerende pensjonsordninger. Partene i arbeidslivet ble våren 2008 enige om en tilpasset AFP-ordning i privat sektor. I lønnsoppgjøret for offentlig sektor våren 2008 ble det avtalt viktige prinsipper for en ny AFP-ordning i offentlig sektor, basert på løsningen i privat sektor. Partene ble også enige om at et partssammensatt utvalg skal forberede behandlingen av offentlig tjenestepensjon og endelig tilpasning av AFP i offentlig sektor. Videre gjenstår blant annet tilpasning av private tjenestepensjoner. Status for og videre arbeid med pensjonsreformen er omtalt nærmere i avsnitt 1.4.
6.2.2 Nærmere om fleksibelt uttak av garantipensjon
Stortingets vedtak og departementets høringsforslag
Stortinget sluttet seg våren 2007 til departementets forslag til opptjeningsmodell for ny alderspensjon, med visse justeringer. Modellen innebærer blant annet at personer med ingen eller lave pensjonsrettigheter gis en grunnsikring i form av garantipensjon.
I St.meld. nr. 5 (2006–2007) foreslo departementet at garantipensjonen, i likhet med inntektspensjonen, skal kunne tas ut fleksibelt før 67 år og at den da justeres for uttaksalder. Formålet med dette er at også personer med lave pensjonsrettigheter skal få bedre muligheter til å ta ut pensjon før 67 år. Stortinget sluttet seg til forslaget ved behandlingen av meldingen våren 2007.
I tråd med vedtaket ble det i høringsnotatet foreslått at garantipensjonen kan tas ut før 67 år, og justeres for uttaksalder. Det ble også foreslått at garantipensjon justeres for uttaksalder etter 67 år. Dette ble begrunnet med at personer med lav pensjonsopptjening bør ha muligheter til å motvirke levealdersjustering ved å fortsette i arbeid, og at uttaket av garantipensjonen skal være nøytralt utformet.
Høringsinstansenes syn
Arbeids- og velferdsdirektoratet mener at garantipensjonen først bør kunne tas ut fra fylte 67 år, fordi «adgang til å ta ut garantipensjon før fylte 67 år er et element som kompliserer ny alderspensjon vesentlig», og ber om at spørsmålet vurderes på nytt. Videre mener direktoratet at det er unaturlig å justere garantipensjonen for uttak etter 67 år, siden garantipensjonen er ment som en minstesikring for personer som ikke har opptjent inntektspensjon. Direktoratet gir likevel uttrykk for at det er fullt mulig, teknisk og administrativt, å justere garantipensjonen for uttakstidspunkt før og etter fylte 67 år.
Øvrige høringsinstanser har ikke uttalt seg konkret om uttak av garantipensjon. Enkelte har imidlertid avgitt generelle merknader om at regelverket for ny alderspensjon er komplekst.
Departementets vurdering og forslag
Departementet viser til at pensjonsforliket fra 2005 slår fast at det skal være en tidligpensjonsordning for alle, også de med lav inntekt. I St.meld. nr. 5 (2006–2007) viste departementet til at relativt mange ikke ville ha mulighet til å kunne gå av med pensjon fra 62 år dersom en bare skulle ta hensyn til inntektspensjon. Departementet foreslo derfor at en også skulle kunne ta ut garantipensjon fleksibelt.
Det ble samtidig foreslått at både inntektspensjon og garantipensjon skal kunne tas ut før 67 år så lenge samlet pensjon ved 67 år minst tilsvarer garantipensjonsnivået. For at pensjonssystemet samlet skal være nøytralt, forutsetter dette at også garantipensjonen justeres for tidlig uttak. Personer som ikke har opptjent noen inntektspensjon vil derfor ikke kunne ta ut alderspensjon før de fyller 67 år.
Alle som har tjent opp inntektspensjon vil få en alderspensjon ved uttak fra fylte 67 år som er høyere enn garantipensjonsnivået. Dette skaper rom for å tillate uttak av garantipensjon før fylte 67 år, så lenge samlet pensjon ved fylte 67 år er høyere enn garantipensjonsnivået. Dette bidrar til å øke pensjonsnivået ved tidliguttak og gir dermed økt valgfrihet for personer som har hatt lav inntekt gjennom livet og ellers ikke ville hatt mulighet til å ta ut pensjon før de fylte 67 år.
Et alternativ til fleksibelt uttak av garantipensjon ville vært at garantipensjonen tidligst ble utbetalt fra 67 år. For å unngå at en kunne spekulere i å få høyere garantipensjon ved å ta ut inntektspensjon tidlig (og dermed få en lavere årlig inntektspensjon ved 67 år), måtte garantipensjonen bli beregnet på grunnlag av hva inntektspensjonen ville utgjort dersom denne ble tatt ut ved 67 år. Garantipensjonen måtte altså baseres på en fiktiv tilleggsberegning. En tilsvarende beregning gjøres i det svenske pensjonssystemet.
Etter departementets syn er fleksibelt uttak av garantipensjon før og etter 67 år viktig av hensyn til fordelingsprofilen i ny alderspensjon. Dette inkluderer en bedre fordeling av mulighetene til å ta ut pensjon før 67 år, til å øke sin årlige pensjon ved å fortsette i arbeid og til å kompensere for levealdersjusteringen.
Departementet er likevel enig med Arbeids- og velferdsdirektoratet i at regelverket for fleksibelt uttak av garantipensjon er komplekst, slik det ble foreslått utformet i høringsnotatet. Et kompliserende element er at garantipensjon justeres for uttaksalder ved hjelp av forholdet mellom forholdstall, mens inntektspensjon beregnes med delingstall. Det er ønskelig å forenkle regelverket der dette er mulig uten å påvirke den enkeltes rettigheter.
Som det framgår i kapittel 4 foreslår departementet at inntektspensjon og garantipensjon justeres for uttakstidspunkt etter mest mulig parallelle regelsett. For å oppnå dette foreslår departementet at både inntektspensjon og garantipensjon utmåles ved å benytte delingstall. Dette innebærer at garantipensjonen regnes om til en beholdning. Departementet mener at beregning av garantipensjon ved hjelp av beholdning og delingstall gir et enklere og mer enhetlig regelverk for ny alderspensjon.
På denne bakgrunn foreslår departementet at garantipensjonen skal kunne tas ut fleksibelt både før og etter 67 år.
6.3 Beregning av alderspensjon ved uttak
6.3.1 Hovedregler for beregning av alderspensjon
Som det framgår av avsnitt 2.3 og kapittel 3, foreslår departementet at ny alderspensjon i folketrygden utformes slik at den enkelte ved inntekt som yrkesaktiv eller ved annen pensjonsopptjening opparbeider pensjonsrettigheter i form av en pensjonsbeholdning. Den enkelte opparbeider årlig pensjonsrettigheter tilsvarende 18,1 prosent av pensjonsgivende inntekt opp til 7,1 G. Pensjonsrettigheter tjenes også opp ved ulønnet omsorgsarbeid, førstegangstjeneste og ved mottak av dagpenger. Rettighetene akkumuleres i en pensjonsbeholdning, som til enhver tid reflekterer de samlede pensjonsrettighetene. I kapittel 8 foreslår departementet at pensjonsbeholdningen reguleres med den årlige lønnsveksten i samfunnet. Dermed sikres det at pensjonsrettigheter opptjent på ulike tidspunkt opprettholdes i verdi i forhold til lønnsnivået i samfunnet, og at kompensasjonsnivået i pensjonssystemet opprettholdes over tid for gitt levealder og uttakstidspunkt.
Departementet foreslår at den fleksible alderspensjonen utformes med sikte på at opptjente pensjonsrettigheter skal gi om lag lik samlet alderspensjon over perioden som pensjonist uavhengig av når den enkelte velger å ta ut pensjonen. På denne måten vil alderspensjonen være nøytral med hensyn til uttakstidspunkt. Dette foreslås gjort ved at den enkeltes årlige pensjon framkommer ved å dele pensjonsbeholdningen på et delingstall som i hovedsak reflekterer forventet gjenstående levetid på uttakstidspunktet, se boks 6.1. Delingstallene for det enkelte årskull ivaretar dermed nøytraliteten i den fleksible alderspensjonen. Hensynet til endringer i befolkningens levealder ivaretas ved at delingstallene endres mellom årskullene. Dermed uttrykkes levealdersjusteringen gjennom endringene i delingstallene mellom årskull ved en gitt uttaksalder. Se nærmere kapittel 5 Levealdersjustering og nøytralt fleksibelt uttak.
Det vises til punkt 6.2.2 der departementet foreslår at garantipensjonen skal kunne tas ut fleksibelt både før og etter 67 år. Som det framgår av kapittel 4 foreslår departementet videre at garantipensjonen skal utmåles ved hjelp av en beholdning. Dette innebærer at også garantipensjonen beregnes ved å dele en beholdning på vedkommendes delingstall på uttakstidspunktet, se boks 6.2.
Det vises til lovforslaget § 20-14 første og andre ledd.
Boks 6.1 Beregning av inntektspensjon
En person som har hatt en pensjonsgivende inntekt på 6 G (414 648 kroner) i 45 år, vil ved 67 år ha en pensjonsbeholdning på 3 377 308 kroner. Delingstallet for 1963-kullet ved 67 år anslås til 15,69. Ved uttak av hel alderspensjon ved 67 år beregnes inntektspensjonen ved å dividere pensjonsbeholdningen på delingstallet: 
Årlig alderspensjon blir dermed 215 252 kroner.
Boks 6.2 Beregning av garantipensjon
En person som har hatt en inntekt på 3 G (207 324 kroner) i 45 år, vil ved 67 år ha en pensjonsbeholdning på 1 688 654 kroner. På bakgrunn av vedkommendes garantipensjonsnivå ved 67 år og avkorting mot opptjent pensjonsbeholdning, se boks 4.1, beregnes det at en enslig person får en beholdning av garantipensjon tilsvarende 609 229 kroner. Ved uttak av hel alderspensjon ved 67 år, beregnes inntekts- og garantipensjonen ved å dividere henholdsvis pensjonsbeholdningen og beholdningen av garantipensjon på delingstallet: 
107 626 kroner i inntektspensjon og 38 829 kroner i garantipensjon gir en samlet alderspensjon på 146 455 kroner.
Forslaget til regler for uttak av alderspensjon er utformet med sikte på at et gitt nivå på de opptjente rettighetene skal gi samme samlede forventede pensjonsutbetaling uavhengig av når pensjonen tas ut. Med alleårsregel for opptjening av pensjonsrettigheter og mulighet for pensjonsuttak fra 62 år der pensjonen utmåles etter antall forventede år som pensjonist, vil utsettelse av pensjonsuttaket ha to effekter. For det første en uttaksaldereffekt som innebærer at årlig pensjon øker fordi det blir færre år å fordele opptjente rettigheter på. For det andre en opptjeningseffekt ved at fortsatt arbeid bidrar til høyere årlig pensjon, slik at pensjonsnivået øker ytterligere.
Tabell 6.1 viser hvordan årlig pensjon øker i forhold til pensjonsnivået ved uttak 62 år dersom uttakstidspunktet utsettes. Det er lagt til grunn anslag på delingstall for 1963-kullet, som er det første årskullet som foreslås å bli fullt ut omfattet av ny opptjeningsmodell. Isolert sett betyr ett års utsatt uttakstidspunkt at pensjonsnivået øker med om lag 5 prosent. Effekten av ett års utsatt uttak øker med alder, ettersom ett år da betyr relativt mer i forhold til forventet gjenstående levetid. Ved å utsette uttaket fra 62 til 67 år, øker årlig pensjon med om lag 26 prosent. Dersom levealderen øker, vil forskjellen i årlig pensjon for senere årskull mellom uttak fra 62 år og fra 67 år reduseres noe ettersom de fem årene mellom 62 og 67 år da betyr relativt mindre i forhold til den samlede forventede tiden som pensjonist.
Tabell 6.1 Endring i første års pensjon ved ulike uttaksaldre sammenlignet med uttak ved 62 og 67 år for gitt opptjening. Anslag for 1963-kullet. Prosent
| Uttaks-alder | Forskjell i årlig pensjon sml. med uttak ved 62 år | Forskjell i årlig pensjon sml. med uttak ved 67 år |
|---|---|---|
| 62 | 0 | -21 |
| 63 | 4 | -17 |
| 64 | 9 | -13 |
| 65 | 14 | -9 |
| 66 | 20 | -5 |
| 67 | 26 | 0 |
| 68 | 33 | 5 |
| 69 | 40 | 11 |
| 70 | 49 | 18 |
| 71 | 58 | 26 |
| 72 | 69 | 34 |
| 73 | 81 | 43 |
| 74 | 94 | 54 |
| 75 | 110 | 67 |
Kilde: Statistisk sentralbyrå og Arbeids- og inkluderingsdepartementet.
Ved utsatt uttak av alderspensjon vil en normalt tjene opp ytterligere pensjonsrettigheter gjennom arbeid. Denne opptjeningseffekten kommer da i tillegg til uttaksaldereffekten, og bidrar også til å øke årlig pensjon. For en gitt uttaksalder vil ett års økt pensjonsopptjening typisk gi om lag 2,5 prosent høyere årlig pensjon, for eksempel for en person med 40 opptjeningsår med jevn inntekt. Totaleffekten av å utsette pensjonsuttaket med ett år vil typisk være om lag 7,5 prosent høyere årlig pensjon 1 . Se figur 6.1 og boks 6.3 for eksempel på effekten av utsatt uttak av inntektspensjon. Se boks 6.4 for eksempel for personer med garantipensjon.

Figur 6.1 Pensjonsnivå etter uttaksalder med jevn inntekt på 6 G i 40 år ved 62 år. Anslag for 1963-kullet. Tusen kroner
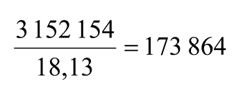
Boks 6.3 Utsatt uttak av inntektspensjon
Utsatt uttak gir høyere årlig pensjon enn tidlig uttak av to årsaker. For det første skal opptjent pensjonsbeholdning fordeles på færre forventede år som pensjonist (uttaksaldereffekt). I tillegg øker pensjonsbeholdningen på grunn av økt opptjening (opptjeningseffekt).
Tabellen under illustrerer dette for en person som har hatt en årlig inntekt på 6 G (414 648 kroner) i 45 år ved 67 år. Tilsvarende har vedkommende 42–48 opptjeningsår i alderen 64–70 år.
| 64 år | 65 år | 66 år | 67 år | 68 år | 69 år | 70 år | |
|---|---|---|---|---|---|---|---|
| Beholdning | 3 152 154 | 3 227 205 | 3 302 257 | 3 377 308 | 3 452 359 | 3 527 411 | 3 602 462 |
| Delingstall | 18,13 | 17,32 | 16,50 | 15,69 | 14,89 | 14,09 | 13,29 |
| Pensjon | 173 864 | 186 328 | 200 137 | 215 252 | 231 858 | 250 349 | 271 066 |
Ved 64 år er pensjonsbeholdningen 3 152 154 kroner. Dersom vedkommende tar ut pensjon ved 64 år, divideres denne beholdningen på delingstallet 18,13, og årlig pensjon blir 173 864 kroner.
Dersom pensjonsuttaket utsettes ett år og vedkommende fortsetter i arbeid, har pensjonsbeholdningen økt tilsvarende ett års opptjening (18,1 prosent av 414 648 kroner). Ved 65 år skal dessuten beholdningen divideres på et lavere delingstall. Årlig pensjon øker dermed til 186 328 kroner, en økning på 7,2 prosent. Om lag én tredel av økningen skyldes ny opptjening og om lag to tredeler skyldes at pensjonen forventes utbetalt over færre år.
Ved uttak 67 år er den årlige pensjonen 215 252 kroner, og dersom vedkommende venter med å ta ut pensjon til 70 år, blir årlig pensjon 271 066 kroner. Den årlige pensjonen blir altså nær 56 prosent høyere dersom pensjonsuttaket utsettes fra 64 til 70 år.
6.3.2 Opptjening som skal medregnes på uttakstidspunktet
Pensjonsbeholdningen bygges opp ved opptjening basert på pensjonsgivende inntekt over livsløpet og ved annen pensjonsopptjening. I kapittel 3 er det foreslått at opptjening basert på pensjonsgivende inntekt i det enkelte år tilføres beholdningen ved utgangen av det året inntekten stadfestes ved likning. Det foreslås at annen pensjonsopptjening tilføres pensjonsbeholdningen etter samme regler som for pensjonsgivende inntekt, det vil si at de opptjente rettighetene tilføres pensjonsbeholdningen ved utgangen av året etter opptjeningen.
I høringsnotatet av 28. januar 2008 reiste departementet spørsmål om hvordan en skal håndtere inntekt som ikke er ferdigliknet når pensjonen tas ut. Det ble vist til at i dag settes pensjonspoengtallet for det 66. året lik poengtallet året før dersom likningen ikke er klar. Omregning av pensjonen med det faktiske poengtallet skjer først ved fylte 70 år. En slik ordning er tilpasset dagens alderspensjon. For ny alderspensjon ble det foreslått at en bare skal ta hensyn til inntekt som er ferdigliknet, og at inntekten medregnes når likningen foreligger.
Arbeids- og velferdsdirektoratet slutter seg til forslaget om at bare inntekter som er stadfestet ved likning skal tas med i beregningen av ny alderspensjon. Noe annet vil medføre redusert grad av automatisering av saksbehandlingen og dermed økte administrative kostnader. Øvrige høringsinstanser har ikke kommentert forslaget.
Departementet viser til at den økte fleksibiliteten i ny alderspensjon vil kunne medføre langt flere pensjonsberegninger tilknyttet den enkelte pensjonist enn i dag. Dette skyldes blant annet muligheten til å endre pensjonsgrad og at den forventede økningen i antall personer som kombinerer arbeid og pensjon medfører at flere vil få ny pensjonsopptjening etter første gangs pensjonsuttak. Dette taler sterkt for at pensjonsgrunnlaget fastsettes slik at Arbeids- og velferdsetaten kan automatisere beregningene i størst mulig grad.
Boks 6.4 Utsatt uttak av garantipensjon
Utsatt uttak gir høyere årlig pensjon også for personer med garantipensjon. Pensjonsbeholdning og beregnet garantipensjonsbeholdning fordeles på færre forventede år som pensjonist når uttaket utsettes (uttaksaldereffekt). I tillegg øker summen av beholdningene på grunn av økt opptjening (opptjeningseffekt). Som følge av avkorting av garantipensjon, er imidlertid effekten av videre opptjening lavere for personer med lave pensjonsrettigheter enn for personer med bare inntektspensjon.
Tabellen under illustrerer dette for en person som er enslig og har hatt en inntekt på 3 G (207 324 kroner) i 45 år ved 67 år. Tilsvarende har vedkommende 43–48 opptjeningsår i alderen 65–70 år.
| 65 år | 66 år | 67 år | 68 år | 69 år | 70 år | |
|---|---|---|---|---|---|---|
| Pensjonsbeh. | 1 613 603 | 1 651 128 | 1 688 654 | 1 726 180 | 1 763 705 | 1 801 231 |
| Garantip.beh. | 669 270 | 639 249 | 609 229 | 579 208 | 549 187 | 519 167 |
| Delingstall | 17,32 | 16,50 | 15,69 | 14,89 | 14,09 | 13,29 |
| Inntektspensjon | 93 164 | 100 068 | 107 626 | 115 929 | 125 174 | 135 533 |
| Garantipensjon | 38 641 | 38 742 | 38 829 | 38 899 | 38 977 | 39 064 |
| sum | 131 805 | 138 810 | 146 455 | 154 828 | 164 151 | 174 597 |
Ved 65 år utgjør pensjonsbeholdningen 1 613 603 kroner og garantipensjonsbeholdningen beregnes til 669 270 kroner. Dersom vedkommende tar ut pensjon ved 65 år, divideres beholdningene på delingstallet 17,32, og årlig pensjon blir 131 805 kroner.
Dersom pensjonsuttaket utsettes ett år og vedkommende fortsetter i arbeid, har pensjonsbeholdningen økt tilsvarende ett års opptjening (18,1 prosent av 207 324 kroner). Garantipensjonsbeholdningen er redusert med 80 prosent av den nye opptjeningen. Ved 66 år skal beholdningene divideres på et lavere delingstall. Årlig pensjon øker dermed til 138 810 kroner, en økning på 5,3 prosent.
Ved uttak 67 år er den årlige pensjonen 146 455 kroner, og dersom vedkommende venter med å ta ut pensjon til 70 år, blir årlig pensjon 174 597 kroner. Den årlige pensjonen blir altså vel 32 prosent høyere dersom pensjonsuttaket utsettes fra 65 til 70 år.
Departementet foreslår at beregningen av ny alderspensjon baseres på ferdigliknet inntekt, se nærmere omtale i avsnitt 3.2. Dette innebærer at opptjening som ikke er ferdigliknet på tidspunktet for pensjonsuttak, medregnes i pensjonsytelsen senere. Delingstallsmekanismen innebærer at den enkelte ikke vil tape på at denne inntekten først tas hensyn til når likningen foreligger, se avsnitt 6.6.
6.4 Delvis uttak av alderspensjon
6.4.1 Gradering av uttaket og endringer i uttaksgrad
Stortingets vedtak og departementets høringsforslag
Stortingsvedtakene i 2005 og 2007 legger vekt på at den nye modellen for uttak av alderspensjon i folketrygden skal gi økt fleksibilitet i forhold til dagens alderspensjon, både når det gjelder alder for uttak av pensjon og grad av pensjonsuttak.
Den enkeltes mulighet til å velge hvordan utbetalingen av de opptjente pensjonsrettighetene skal fordeles over tid, er i seg selv en viktig velferdsreform og en forbedring av folketrygdens alderspensjon. I tillegg legger delvis uttak av alderspensjon til rette for en mer gradvis overgang fra arbeid til pensjon. Den enkelte kan velge en gradvis nedtrapping fra arbeidslivet i stedet for å slutte brått fra en dag til den neste. Dette kan bidra til at flere står lenger i arbeid.
I departementets høringsnotat av 28. januar 2008 ble det lagt vekt på at det av administrative hensyn bør legges enkelte rammer for graderingen av pensjonen, men uten å begrense fleksibiliteten i systemet i særlig grad. Departementet foreslo derfor en gradering fra 10 til 100 prosent med intervaller på fem prosentpoeng.
Videre foreslo departementet at uttaksgraden kan endres én gang i året, det vil si med minst tolv måneders mellomrom. Det ble foreslått at den enkelte likevel kan ta ut full pensjon eller stanse pensjonen uten hensyn til tolvmånedersbegrensningen. I høringsnotatet ble det varslet en nærmere vurdering av om det ved særlige forhold også bør tillates andre endringer i pensjonsgrad før det er gått tolv måneder.
Høringsinstansenes syn
Flere høringsinstanser kommenterer departementets forslag om delvis uttak av pensjon.
Akademikerne, HSH, Sparebankforeningen og Yrkesorganisasjonenes Sentralforbund (YS) støtter departementets forslag til gradering og mener at forslaget gir gode valgmuligheter for den enkelte uten i særlig grad å begrense fleksibiliteten i systemet.
Arbeids- og velferdsdirektoratet peker på at både hensynet til brukerne og administrative hensyn tilsier at det bør være en viss begrensning i adgangen til å gradere pensjonen. Direktoratet uttaler at
«det er viktig at systemet er bygd opp på en måte som gjør det enkelt for brukerne å ta egne valg. Dersom man åpner for stor fleksibilitet i forhold til pensjoneringsgrad, viser erfaring fra AFP-ordningen at det kan være vanskelig for brukerne å få den oversikten som er nødvendig for å forstå konsekvensen av de valg som gjøres».
Arbeids- og velferdsdirektoratet mener at intervallene bør begrenses til hele 25 prosent, som i Sverige. Alternativt bør intervallene settes til hele 20 prosent, men slik at det likevel gis mulighet for å ta ut halv pensjon. Direktoratet stiller seg tvilende til at det skal finnes et reelt behov for uttak med lavere grad enn 20 prosent, da dette tilsvarer redusert arbeidstid på én dag pr. uke. Begrensningen foreslås først og fremst for å forenkle dialogen med brukerne, men også fordi en gradering på fem prosentpoeng vil medføre administrative merkostnader hvis dette skulle føre til hyppigere endringer i uttaksgrad.
Akademikerne, HSH, Sparebankforeningen, YS og Arbeids- og velferdsdirektoratet slutter seg til forslaget om at uttaksgraden kan endres én gang i året, og at det ut over dette til enhver tid bør være mulighet for å ta ut full pensjon eller stanse pensjonsuttaket.
Arbeids- og velferdsdirektoratet mener bestemmelsene om at brukerne alltid kan gå opp til hel pensjon eller stanse pensjonen helt, bør gi tilstrekkelig fleksibilitet ved særlige forhold, spesielt fordi brukerne kan tilpasse arbeidsinnsats uavhengig av pensjonsgrad. Dersom det likevel besluttes å åpne for andre endringer ved særlige forhold, mener direktoratet at det ikke bør være skjønnsmessige kriterier som legges til grunn ved vurderingen, og at muligheten for slike endringer må være klart avgrenset.
Departementets vurdering og forslag
Formålet med en gradering av alderspensjonen er særlig å legge bedre til rette for at den enkelte skal kunne kombinere arbeid og pensjon. Den fleksibiliteten som en gradert alderspensjon gir, innebærer for eksempel at personer som trapper ned fra full stilling til deltidsstilling, kan tilpasse pensjonsuttaket til hvilken pensjonsinntekt den enkelte har behov for ved siden av arbeidsinntekten. Man kan også ta ut full alderspensjon uten å redusere stillingsandelen.
Med unntak av Arbeids- og velferdsdirektoratet er de høringsinstansene som har uttalt seg positive til forslaget til gradering i høringsnotatet. Departementet har merket seg Arbeids- og velferdsdirektoratets vurdering av at en såpass finmasket gradering som det legges opp til i høringsnotatet ikke nødvendigvis er en fordel for brukerne, og også at den kan ha administrative konsekvenser. Direktoratet foreslår at intervallene settes til hele 25 eller 20 prosentpoeng, men slik at det ved det sistnevnte alternativet også gis mulighet til å ta ut halv pensjon.
På bakgrunn av direktoratets uttalelse har departementet vurdert spørsmålet om gradering på nytt. En gradering på 25, 50, 75 og 100 prosent benyttes i det svenske pensjonssystemet. Departementet mener det er ønskelig med noe større fleksibilitet, og foreslår derfor at alderspensjonen kan tas ut i andeler på 20, 40, 50, 60, 80 eller 100 prosent. Graderingen av pensjonen vil da blant annet samsvare med reduksjon i arbeidstid tilsvarende hele dager og til halv stilling. Dette vil fremdeles gi gode valgmuligheter for brukeren og vil være enkelt å forstå.
Alle høringsinstansene som har uttalt seg støtter forslagene om at uttaksgraden kan endres én gang i året, det vil si med tolv måneders mellomrom, og at det ellers gis mulighet til å ta ut full pensjon og til å stanse uttaket.
Ingen høringsinstanser har påpekt eventuelle særlige forhold som bør gi mulighet til andre endringer før det har gått tolv måneder. Departementet slutter seg til Arbeids- og velferdsdirektoratets vurdering av at muligheten til når som helst å ta ut full pensjon eller å stanse uttaket, burde dekke behov som oppstår ved særlige forhold. Dette kan blant annet være at en får et jobbtilbud etter pensjonsuttak. Detpartementet mener også at det ikke er til vesentlig ulempe at brukeren i kortere perioder for eksempel tar ut full pensjon samtidig med at en endrer arbeidsinnsatsen. Arbeidsinnsatsen kan tilpasses uavhengig av pensjonsuttaket.
Departementet vil generelt påpeke at gradering av alderspensjonen er en ny ordning, og at det må trekkes erfaringer med hvordan ordningen fungerer etter hvert. Når fleksibelt uttak av alderspensjon iverksettes, vil det være svært mange nye muligheter å forholde seg til både for brukerne og for Arbeids- og velferdsetaten. Det kan være fornuftig med visse begrensninger i startfasen, og heller vurdere å tillate flere valgmuligheter senere. Dersom erfaringer viser at regelverket ikke gir tilstrekkelig fleksibilitet, vil departementet vurdere justeringer på et senere tidspunkt.
Departementet viser til at valgt uttaksgrad gjenspeiler andel av opptjente rettigheter på uttakstidspunktet. Etter uttak vil forholdet mellom uttatt pensjon og den potensielle pensjonen fra gjenværende beholdning endres, på grunn av at gjenværende beholdning skal deles på et lavere delingstall dersom den tas ut, ulik regulering og fordi ny opptjening i sin helhet legges til beholdningen. Dersom den enkelte etter en tid ønsker at pensjonsutbetalingen faktisk skal tilsvare valgt uttaksgrad i forhold til pensjonsbeholdningen, som nå vil ha blitt relativt større i forhold til den løpende pensjonen, mener departementet at det bør være adgang til dette. Departementet legger til grunn at den enkelte også skal kunne oppdatere pensjonsuttaket uten å endre pensjonsgrad. Dermed kan den enkelte opprettholde et bestemt forhold mellom utbetalt pensjon og gjenværende beholdning over tid.
Departementet foreslår på denne bakgrunn at pensjonen graderes i 20, 40, 50, 60, 80 og 100 prosent. Dette innebærer for eksempel at når uttaket graderes til 40 prosent, beregnes pensjonen ved å dele 40 prosent av pensjonsbeholdningen og eventuell beholdning av garantipensjon på vedkommendes delingstall ved uttaksalderen. Den delen av beholdningen som ikke tas ut, utgjør en restbeholdning som kan tas ut senere, se boks 6.5 og 6.6.
Boks 6.5 Beregning av gradert inntektspensjon
En person som har hatt et opptjeningsgrunnlag tilsvarende 6 G (414 648 kroner) i 45 år, vil ved 67 år ha en pensjonsbeholdning på 3 377 308 kroner. Delingstallet for 1963-kullet ved 67 år anslås til 15,69. Ved et uttak av 40 prosent alderspensjon ved 67 år beregnes inntektspensjonen ved å dividere 40 prosent av pensjonsbeholdningen på delingstallet. Restbeholdningen utgjøres av de 60 prosent som ikke tas ut. Følgende beregninger foretas: 
Alderspensjon gradert til 40 prosent beregnes altså til 86 101 kroner. Restbeholdningen, som spares til senere uttak, utgjør 2 026 385 kroner.
Boks 6.6 Beregning av gradert garantipensjon
En person som har hatt et opptjeningsgrunnlag tilsvarende 3 G (207 324 kroner i 45 år, vil ved 67 år ha en pensjonsbeholdning på 1 688 654 kroner. På bakgrunn av garantipensjonssatsen det året årskullet fyller 67 år (2030) og avkorting mot opptjent pensjonsbeholdning, se boks 4.1, beregnes det at vedkommende vil få en beholdning av garantipensjon tilsvarende 609 229 kroner. Ved uttak av 40 prosent alderspensjon ved 67 år, beregnes inntekts- og garantipensjonen ved å dividere 40 prosent av henholdsvis pensjonsbeholdningen og beholdningen av garantipensjon på delingstallet. Restbeholdningene av inntekts- og garantipensjon utgjøres av de 60 prosent av hver av beholdningene som ikke tas ut: 
Samlet alderspensjon er 58 582 kroner. Restbeholdningen av inntektspensjon utgjør 1 013 192 kroner, og restbeholdningen av garantipensjon utgjør 365 537 kroner, til sammen 1 378 729 kroner.
Departementet foreslår at uttaksgraden kan endres eller oppdateres én gang pr. år. Ut over dette gis det likevel til enhver tid mulighet til å ta ut full pensjon og for å stanse uttaket. Deler av beholdningene som ikke tas ut, reguleres på samme måte som pensjonsbeholdningen før uttak, det vil si i samsvar med lønnsveksten.
Det vises til lovforslaget § 20-14 tredje til femte ledd.
6.4.2 Omregning ved endring i pensjonsgrad eller stans av pensjon
Som beskrevet i punkt 6.4.1, innebærer fleksibelt uttak blant annet at pensjonen skal kunne tas ut helt eller gradert, og at den enkelte skal kunne endre pensjonsgraden underveis i tiden som pensjonist.
Departementet foreslo i høringsnotatet at dersom pensjonsgraden endres, skal pensjonen under utbetaling først legges tilbake i pensjonsbeholdningen. Dette gjøres ved å multiplisere pensjonen med delingstallet på endringstidspunktet, det vil si ved å foreta den omvendte operasjonen av et uttak av pensjon. Deretter beregnes ny pensjon ut fra en andel av samlet pensjonsbeholdning som tilsvarer den nye uttaksgraden, som beskrevet i punkt 6.4.1.
Ingen høringsinstanser har hatt merknader til forslaget.
På denne bakgrunn foreslår departementet at dersom pensjonsgraden endres, skal inntektspensjonen gjøres om til pensjonsbeholdning ved å multiplisere den med delingstallet på endringstidspunktet. Tilsvarende gjelder dersom en ønsker økt utbetaling uten å endre pensjonsgrad (oppdatering av pensjonsgrad). Ny pensjon beregnes deretter på vanlig måte etter reglene for uttak av gradert pensjon i § 20-14, se boks 6.7. Ved stans i pensjon benyttes samme framgangsmåte for beregne ny pensjonsbeholdning.
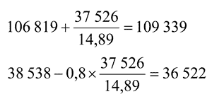
Boks 6.7 Omregning av inntektspensjon ved endring i pensjonsgrad
En person har tatt ut 40 prosent pensjon ved 67 år, og inntektspensjonen ved 68 år utgjør 85 455 kroner. Restbeholdningen utgjør 2 026 385 kroner. Ved 68 år økes uttaksgraden til 60 prosent. Delingstallet for 1963-kullet ved 68 år anslås til 14,89.
Først legges inntektspensjonen tilbake i beholdningen ved å multiplisere pensjonen med delingstallet og summere med restbeholdningen: 
Uttak av 60 prosent pensjon beregnes deretter ved å dividere 60 prosent av den nye beholdningen på delingstallet. Ny restbeholdning er de 40 prosent som ikke tas ut: 
Når uttaksgraden økes fra 40 til 60 prosent, vil altså pensjonen i dette tilfellet øke fra 85 455 kroner til 132 927 kroner.
Som følge av at departementet foreslår å beregne garantipensjon ved hjelp av beholdning og delingstall på samme måte som inntektspensjonen, blir reglene for beregning og omregning av garantipensjon parallelle med reglene for inntektspensjon. Dersom pensjonsgraden endres eller oppdateres eller pensjonsutbetalingen stanses, skal garantipensjonen gjøres om til beholdning ved å multiplisere den med delingstallet på endringstidspunktet, se boks 6.8. Ved nytt uttak av pensjon eller ny gradering av pensjonen, beregnes den på vanlig måte etter reglene for uttak av gradert pensjon. Garantipensjonen graderes alltid med samme prosentsats som inntektspensjonen.
Boks 6.8 Omregning av garantipensjon ved endring i pensjonsgrad
Omregning av pensjon og beholdninger for en person med både inntekts- og garantipensjon gjøres på samme måte som omregningene av inntektspensjon.
Det er tatt ut 40 prosent pensjon ved 67 år, og pensjonen ved 68 år består (etter ett års regulering) av en inntektspensjon på 42 728 kroner og en garantipensjon på 15 415 kroner. Restpensjonsbeholdningen utgjør 1 013 192 kroner og restbeholdningen av garantipensjon utgjør 365 537 kroner. Ved 68 år økes uttaksgraden til 60 prosent. Delingstallet for 1963-kullet ved 68 år anslås til 14,89.
Først legges inntektspensjonen og garantipensjonen tilbake i beholdning ved å multiplisere pensjonene med delingstallet og summere med de respektive restbeholdningene: 
Uttak av 60 prosent pensjon beregnes deretter ved å dividere 60 prosent av beholdningene på delingstallet. Nye restbeholdninger utgjøres av de 40 prosent som ikke tas ut: 
Når uttaksgraden økes fra 40 til 60 prosent, vil altså samlet pensjon i dette tilfellet øke fra 58 143 kroner (42 728 + 15 415) til 90 443 kroner (66 464 + 23 979).
Det vises til lovforslaget § 20-16.
6.5 Vilkår for uttak av alderspensjon før 67 år
6.5.1 Hovedregler for vurdering av vilkår for uttak
Stortingets vedtak og departementets høringsforslag
Den ordinære pensjonsalderen i dagens folketrygd er 67 år, og muligheten til å gå av med pensjon før dette er ulikt fordelt. Store deler av arbeidslivet omfattes av ordninger med avtalefestet pensjon (AFP). Enkelte arbeidstakergrupper har særaldersgrenser i tjenestepensjonsordningene. Det er imidlertid også en stor gruppe som ikke har noe reelt tilbud om tidligpensjon til tross for at de har betydelig opptjening av pensjonsrettigheter i folketrygden.
Stortinget har vedtatt at det skal åpnes for uttak av alderspensjon i folketrygden fra 62 år. Dette vil gi økte valgmuligheter for den enkelte i forhold til dagens folketrygd ved at flere får mulighet til å ta ut tidligpensjon. For at alle skal sikres et minste inntektsnivå i alderdommen, settes det vilkår om et visst nivå på pensjonen for å kunne ta ut pensjon før 67 år. Det er naturlig å knytte dette vilkåret til garantipensjonsnivået (minstepensjonsnivået).
Pensjonskommisjonen foreslo i NOU 2004:1 at inntektspensjonen skulle kunne tas ut før 67 år, og at pensjonen på uttakstidspunktet må være på nivå med garantipensjonsnivået ved 67 år. Forslaget innebar relativt høye krav til tidligere inntekt og yrkesdeltakelse for å kunne benytte seg av den fleksible ordningen.
I St.meld. nr. 12 (2004–2005) ble det skissert en alternativ modell, ved at pensjonen ved 67 år minst må tilsvare garantipensjonsnivået ved 67 år. Isolert sett innebærer dette en marginal innskjerpelse i vilkåret for å kunne ta ut hel pensjon, men samtidig til dels vesentlig bedre muligheter til å ta ut delvis pensjon. Det het også at en ville vurdere å regne med supplerende pensjonsordninger i sammenlikningen av pensjonsnivået med garantipensjonsnivået, slik at flere ville oppfylle vilkårene for å ta ut hel eller delvis pensjon. Supplerende ordninger er nærmere omtalt i punkt 6.5.3. Ved behandlingen av meldingen i 2005 tok ikke Stortinget stilling til en konkret modell for tidliguttak.
Regjeringen foreslo i St.meld. nr. 5 (2006–2007) at både inntektspensjonen og garantipensjonen kan tas ut fleksibelt før 67 år, slik at flere kan ta ut hel eller delvis pensjon, og at pensjonen ved 67 år minst må tilsvare garantipensjonsnivået ved 67 år. Stortinget sluttet seg til dette gjennom vedtak i 2007.
I høringsnotat av 28. januar 2008 fulgte departementet opp Stortingets vedtak ved å foreslå at inntekts- og garantipensjon kan tas ut før 67 år, og at pensjonsnivået og garantipensjonsnivået sammenliknes ved 67 år for å vurdere om vilkåret for uttak er oppfylt. Kravet til tidligere inntekt for å kunne ta ut pensjon før 67 år, blir lavere jo lavere uttaksgraden er.
Størrelsen på den enkeltes pensjon og garantipensjonsnivået må ved vurderingen framskrives fra uttakstidspunktet og fram til 67 år. Siden garantipensjonssatsene etter hovedreglene reguleres bedre enn pensjon under utbetaling, følger det at pensjonen må overstige garantipensjonsnivået på uttakstidspunktet med en viss margin for at disse skal være like ved 67 år.
I avsnitt 6.3 foreslår departementet at beregningen av ny alderspensjon baseres på ferdigliknet inntekt. Departementet varslet i høringsnotatet at en ville vurdere om det i forbindelse med vilkår for uttak før 67 år likevel skal tas hensyn til arbeidsinntekt som ikke er ferdigliknet. Et slikt unntak vil medføre en betydelig grad av manuell saksbehandling for Arbeids- og velferdsetaten, men kan i noen tilfeller ha betydning for når den enkelte kan ta ut pensjon.
Høringsinstansenes syn
De fleste høringsinstansene som har uttalt seg om temaet, er kritiske til at det settes vilkår for å kunne ta ut pensjon før 67 år. Funksjonshemmedes Fellesorganisasjon (FFO), Seniorsaken, Sparebankforeningen, Unio og Yrkesorganisasjonenes Sentralforbund sier i sine høringsuttalelser at kravene for å kunne gå av før 67 år er for høye.
FFO mener at Stortingets vedtak innebærer en forskjellsbehandling mellom de med stabilt yrkesløp og høy gjennomsnittsinntekt på den ene siden, og de med ustabil yrkesdeltakelse og lav gjennomsnittsinntekt på den andre siden.
Norges Bondelag og Norges Bygdekvinnelag foreslår at alle sikres minstepensjon fra 62 år i stedet for fra 67 år, med mulighet for opparbeidelse av tilleggsrettigheter ved delvis yrkesdeltakelse etter 62 år.
Unio er imot at pensjonsnivået må overstige garantipensjonsnivået med en margin på uttakstidspunktet.
Arbeids- og velferdsdirektoratet støtter forslaget i høringsnotatet, men mener at å differensiere vilkår for uttak ut fra pensjonsgrad er kompliserende.
Arbeids- og velferdsdirektoratet fraråder at det åpnes for å gjøre unntak fra kravet til at inntektene skal være stadfestet ved likning ved vurdering av rett til uttak før 67 år. Direktoratet uttaler:
«Dersom man legger til grunn siste tilgjengelige pensjonsgivende inntekt fra Skatteetaten vil man unngå at personer på bakgrunn av foreløpige opplysninger tar ut pensjon, og det i ettertid viser seg at inntekten var for lav til å oppfylle vilkårene for uttak. Dette vil ha konsekvenser både for den brukeren som likevel ikke hadde rett til en ytelse som han har innrettet seg etter ved for eksempel å si opp jobben, og for NAV gjennom feilutbetalingssaker. Selv om det ikke vil gjelde mange tilfeller, vil slike saker oppleves som svært uheldige for de brukerne det gjelder, og hver sak vil være arbeidskrevende for NAV.»
Direktoratet påpeker at ikke-ferdigliknet arbeidsinntekt ifølge beregninger kun er avgjørende for retten til uttak ved fylte 62 år for drøye 1 prosent av den ikke-uføre befolkningen. Videre vil disse i gjennomsnitt oppfylle uttaksvilkåret dersom uttaket utsettes 3–4 måneder etter fylte 62 år.
Departementets vurdering og forslag
Departementet viser til at formålet med å knytte vilkår til pensjonsnivået ved uttak før 67 år, er at alle skal være sikret et minste inntektsnivå i alderdommen. Utgangspunktet for at det bør settes et krav er altså at det ikke bør legges opp til et system som gir mindre pensjon enn garantipensjonsnivået.
Stortingets vedtak innebærer at alle – som i dag – kan ta ut alderspensjon fra 67 år, men at det i tillegg åpnes for å ta ut alderspensjon fra 62 år så lenge alderspensjonen ved 67 år minst tilsvarer garantipensjonsnivået (minstepensjonsnivået). Departementet ser at en del høringsinstanser ville ønske et lavere krav for å ta ut pensjon før 67 år. Departementet viser til at hensynet bak pensjonsreformen ikke er å senke pensjonsalderen i sin alminnelighet, men å gi yrkesaktive en større frihet i valget mellom arbeid og pensjon, og samtidig stimulere til arbeid.
Som en del av trygdeoppgjøret våren 2008 ble Regjeringen enig med pensjonistenes og arbeidstakernes organisasjoner om en opptrappingsplan for minstepensjon fram til 2010. En konsekvens av dette er at antallet som vil kunne ta ut alderspensjon før 67 år reduseres.
Som i dag vil det være en ubetinget rett til minste alderspensjon (garantipensjonsnivået) fra fylte 67 år, og alle kan derfor ta ut hel alderspensjon fra denne alderen. Vedtaket innebærer således ikke en innskrenkning av gjeldende rett til alderspensjon fra folketrygden, men at noen får en utvidet rett som i dag er forbeholdt personer med avtalefestet pensjon eller særaldersgrenser i tjenestepensjonen. Det foreslås at aldersgrensen på 67 år skal ligge fast, selv ved økende levealder i befolkningen. Dette må ses i sammenheng med at levealdersjusteringen av minsteytelsen ivaretas gjennom reglene for regulering av garantipensjonssatsene, se kapittel 8.
Unio er imot at pensjonsnivået må overstige garantipensjonsnivået på uttakstidspunktet med en viss margin. Dette er imidlertid noe som følger automatisk av at garantipensjonssatsene etter hovedreglene reguleres bedre enn pensjon under utbetaling, se kapittel 8 for nærmere omtale av regulering. Departementet viser ellers til at de foreslåtte reguleringsprinsippene for garantipensjonssatsene og pensjon under utbetaling legger til rette for at vilkår for uttak kan vurderes på sikkert grunnlag. Når pensjon reguleres med lønnsvekst fratrukket en fast faktor på 0,75 prosent og garantipensjonssatsene reguleres med lønnsvekst justert for effekten av levealdersjusteringen, er den relative forskjellen mellom reguleringene fram til 67 år av pensjon og garantipensjonsnivået kjent på uttakstidspunktet. Det er derfor ikke nødvendig å fastsette spesifikke regler om forskjell mellom pensjon og garantipensjonsnivået.
Arbeids- og velferdsdirektoratet uttaler at det er kompliserende å ta hensyn til uttaksgrad i vurderingen av vilkår for uttak. Departementet viser til at når det tas ut gradert pensjon, vil det være en beholdning igjen som ikke er benyttet. I vilkårsprøvingen legges det til grunn at denne tas ut ved fylte 67 år. Summen av den pensjonen dette utgjør og den pensjonen som allerede er tatt ut, må da overstige garantipensjonsnivået. Departementet kan ikke se at vilkårsprøvingen ved gradert uttak kompliseres vesentlig av dette. Departementet legger også vekt på Stortingets forutsetning om en tidligpensjonsordning for alle, også for de med lav inntekt. Utformingen av vilkåret for uttak av pensjon før 67 år er tilpasset denne forutsetningen, ved at vilkåret for å kunne ta ut gradert pensjon blir til dels vesentlig lavere enn vilkåret for å ta ut hel pensjon. Se boks 6.9 og 6.10 for eksempler på vurdering av om vilkår for uttak før 67 år er oppfylt for henholdsvis 100 prosent og gradert uttak. For personer i 1963-kullet reduseres kravet til tidligere inntekt for å kunne ta ut alderspensjon ved 62 år fra om lag 355 000 kroner ved hel pensjon til 181 000 kroner ved halv pensjon (jevn inntekt i 40 år). Se nærmere avsnitt 10.7 for anslag på andeler som oppfyller vilkår for uttak før 67 år.
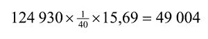
Boks 6.9 Vurdering av vilkår for uttak før 67 år – 100 prosent uttak
Vilkåret for å ta ut pensjon før 67 år er at pensjonen framskrevet til 67 år minst tilsvarer garantipensjonsnivået ved 67 år. Delingstallene for 1963-kullet fastsettes med endelig virkning det kalenderåret kullet fyller 61 år. Delingstallet ved 64 år anslås til 18,13. Garantipensjonsnivået ved 67 år er kjent når delingstallene er fastsatt og anslås her til 124 930 kroner målt i fast lønnsnivå.
Pensjonist A har hatt et opptjeningsgrunnlag tilsvarende 6 G (414 648 kroner) i 42 år. Ved fylte 64 år vil han ha en pensjonsbeholdning på 3 152 154 kroner. Ved et uttak av 100 prosent alderspensjon ved 64 år, beregnes inntektspensjonen på uttakstidspunktet ved å dividere pensjonsbeholdningen på delingstallet: 
Siden uttaket skjer ved 64 år, tas det hensyn til at pensjonen skal reguleres tre ganger fram til 67 år. Pensjonen reguleres med lønnsvekst og fratrekkes deretter 0,75 prosent. Beregningen kan gjøres uten forutsetninger om lønnsvekst ved å beregne i fast lønnsnivå: 
Samlet pensjon på 169 981 kroner ved 67 år er høyere enn garantipensjonsnivået på 124 930 kroner ved samme alder, og vilkåret for uttak er derfor oppfylt.
Pensjonist B har hatt et opptjeningsgrunnlag på 3 G (207 324 kroner) i 42 år, og vil ved 64 år ha en pensjonsbeholdning på 1 576 077 kroner. Dette vil gi en såpass lav pensjon at pensjonisten vil ha krav på garantipensjon i tillegg. Beholdningen av garantipensjon beregnes til 699 290 kroner. Ved uttak av 100 prosent alderspensjon ved 64 år beregnes pensjonen på uttakstidspunktet ved å dividere beholdningene på delingstallet: 
Samlet pensjon ved 64 år utgjør altså 125 503 kroner. Tilsvarende som over, gjøres en framskrivning av hva pensjonen vil utgjøre ved 67 år. Dette gir 122 700 kroner. Siden beløpet er lavere enn garantipensjonsnivået på 124 930 kroner, er ikke vilkåret for uttak oppfylt.
Beregninger viser at vilkåret for uttak av 100 prosent pensjon er oppfylt ved 65 år. Alternativt kan det tas ut inntil 80 prosent pensjon fra 64 år, se boks 6.10. Dersom vedkommende har rett til AFP, er vilkår for uttak av 100 prosent pensjon også oppfylt ved 64 år, se boks 6.11.
Boks 6.10 Vurdering av vilkår for uttak før 67 år – gradert uttak
Vilkåret for å ta ut pensjon før 67 år er at pensjonen framskrevet til 67 år minst tilsvarer garantipensjonsnivået ved 67 år. Delingstallene for 1963-kullet fastsettes med endelig virkning det kalenderåret kullet fyller 61 år. Delingstallene ved 64 og 67 år anslås til henholdsvis 18,13 og 15,69. Garantipensjonsnivået ved 67 år anslås til 124 930 kroner målt i fast lønnsnivå.
En person som har hatt et opptjeningsgrunnlag tilsvarende 3 G (207 324 kroner) i 42 år, vil ved 64 år ha en pensjonsbeholdning på 1 576 077 kroner. Vedkommendes beholdning av garantipensjon beregnes til 699 290 kroner. Som vist i boks 6.9, vil ikke opptjeningen være tilstrekkelig til å ta ut full pensjon ved 64 år. Her vurderes det om vedkommende likevel oppfyller vilkår for uttak av gradert pensjon.
Ved uttak av 80 prosent alderspensjon ved 64 år, beregnes pensjonen på uttakstidspunktet ved å dividere 80 prosent av beholdningene på delingstallet ved 64 år: 
Samlet pensjon ved 64 år utgjør 100 403 kroner ved 80 prosent uttak. Siden uttaket skjer ved 64 år, tas det hensyn til at pensjonen skal reguleres tre ganger fram til 67 år: 
Deretter gjøres en beregning av hva restbeholdningene gir i pensjon ved uttak 67 år. Restbeholdningene reguleres med lønnsvekst, og målt i fast lønn vil de således utgjøre samme sum som ved 64 år. Restbeholdningene divideres på delingstallet ved 67 år: 
Sammen med den framskrevne pensjonen ved 67 år, utgjør samlet pensjon ved 67 år 127 165 kroner. Dette er mer enn garantipensjonsnivået på 124 930 kroner, og vilkåret for uttak av 80 prosent pensjon ved 64 år er derfor oppfylt.
I høringsnotatet foreslo departementet at ny alderspensjon beregnes på bakgrunn av opptjening som er stadfestet ved skattelikningen og godskrevet pensjonsbeholdningen. Videre het det at departementet ville vurdere om det i forbindelse med vilkår for uttak før 67 år skal gjøres unntak for ikke-ferdigliknet inntekt. Arbeids- og velferdsdirektoratet var eneste høringsinstans som uttalte seg om spørsmålet, og frarådet et slikt unntak.
Departementet slutter seg til direktoratets vurderinger. Departementet viser også til at den store graden av valgmuligheter i pensjonssystemet kan føre til en stor arbeidsbelastning for Arbeids- og velferdsetaten. Det er derfor nødvendig med størst mulig grad av automatiserte arbeidsprosesser. Unntaksregler som skiller mellom inntekt lagt til grunn i beregningen av pensjon og i vurderingen av retten til tidliguttak, kan dessuten være vanskelige å kommunisere. Departementet mener også det bør være ønskelig å oppnå en størst mulig likebehandling av likeverdige tilfeller. Ulike muligheter til å dokumentere ikke-ferdigliknet inntekt ville kunne skape forskjellsbehandling mellom for eksempel lønnstakere og selvstendig næringsdrivende. Departementet foreslår følgelig at det ikke gjøres unntak for inntekt som ikke er liknet i vurderingen av om kravet til pensjonsnivå er oppfylt.
På bakgrunn av dette foreslår departementet at for å ta ut alderspensjon før fylte 67 år, må summen av inntektspensjon og garantipensjon når vedkommende fyller 67 år minst tilsvare garantipensjonsnivået med full trygdetid når vedkommende fyller 67 år. Samlet pensjon og garantipensjonsnivået framskrives fra uttakstidspunktet til 67 år.
Det vises til lovforslaget § 20-15 første ledd første og andre punktum.
Det foreslås at personer i årskullene 1954–1962 får en forholdsmessig del av pensjonen beregnet etter folketrygdloven kapittel 19 og 20, se nærmere omtale i punkt 9.2.3. Departementet foreslår at retten til uttak før 67 år for disse årskullene skal vurderes ut fra samlet pensjon etter sammenvekting.
Det vises til lovforslaget § 20-15 første ledd fjerde punktum jf. § 20-19 tredje ledd.
Ved gradert pensjon skal den delen av pensjonsbeholdningene som ikke er tatt ut, forutsettes tatt ut ved 67 år og medregnes i samlet pensjon ved 67 år ved vurderingen av om uttaksvilkåret er oppfylt.
Det vises til lovforslaget § 20-15 andre ledd.
6.5.2 Likt vilkår uavhengig av sivilstand
Departementet foreslo i høringsnotatet av 28. januar 2008 at reglene for uttak før 67 år utformes slik at to personer med lik opptjening, men med ulik sivilstand, kan ta ut pensjon fra samme tidspunkt. Det ble foreslått at en ved vurdering av vilkår for uttak setter garantipensjonsnivået ved 67 år lik garantipensjonsnivået for enslige med full trygdetid, uavhengig av den enkeltes sivilstand. Samtidig benyttes også garantipensjonssatsen for enslige ved beregning av pensjonsnivået. Dersom vilkår for uttak er oppfylt, beregnes deretter den pensjonen som skal utbetales. I denne beregningen benyttes den garantipensjonssatsen som følger av faktisk sivilstand.
Få høringsinstanser har uttalt seg om likebehandling av personer med ulik sivilstand ved vurdering av vilkår for uttak før 67 år. Arbeids- og velferdsdirektoratet slutter seg til forslaget i høringsnotatet. Unio mener imidlertid at garantipensjonssatsen for gifte bør benyttes i stedet for satsen for enslige.
Departementet mener det av hensyn til likebehandling bør være slik at to personer med lik opptjening av pensjonsrettigheter, men ulik sivilstand, kan ta ut pensjon fra samme tidspunkt. Også vesentlige praktiske hensyn taler for at retten til å ta ut alderspensjon ikke bør påvirkes av at sivilstanden endres. For eksempel ville det oppfattes som urimelig hvis en person mistet retten til alderspensjon som følge av at ektefellen døde.
Unios forslag om å benytte garantipensjonssatsen for gifte ved beregning av garantipensjonsnivå og pensjonsnivå ved 67 år vil innebære at noen flere ville oppfylle vilkår for uttak. Departementet vil likevel ikke foreslå denne løsningen. En del enslige ville da oppfylle vilkår for uttak, men likevel få lavere pensjon enn garantipensjonsnivået for enslige.
Departementet foreslår derfor at garantipensjonssatsen for enslige (høy sats) benyttes for å beregne pensjon og garantipensjonsnivå ved 67 år ved vurdering av vilkår for uttak før 67 år, uavhengig av faktisk sivilstand.
Det vises til lovforslaget § 20-15 første ledd tredje punktum.
6.5.3 Medregning av supplerende pensjonsordninger
Stortingets vedtak og departementets høringsforslag
Gjennom vedtak 23. april 2007 sluttet Stortinget med enkelte unntak seg til innholdet i St.meld. nr. 5 (2006–2007). I meldingen heter det blant annet at Regjeringen i det videre arbeidet «vil vurdere om også ytelser fra supplerende pensjonsordninger kan inngå i vurderingen av om kravet til å benytte seg av den fleksible ordningen i folketrygden er oppfylt, og tar sikte på å komme tilbake til nærmere regler for dette når utformingen av AFP og tjenestepensjonsordningene er avklart. Spørsmålet om tidligpensjon for personer med lav inntekt vurderes nærmere i lys av drøftingen med partene i arbeidslivet om utformingen og omfanget av AFP-ordningen».
I høringsnotatet av 28. januar 2008 ble det opplyst at departementet ville komme tilbake til vurderingen av om ytelser fra supplerende pensjonsordninger kan inngå ved vurderingen av retten til tidlig uttak av alderspensjon fra folketrygden. Det ble blant annet vist til at et eget partsammensatt utvalg vurderte tilpasninger av AFP-ordningen til fleksibel alderspensjon i folketrygden. Utvalgets rapport dannet grunnlaget for forhandlingene om ny AFP i lønnsoppgjøret i privat sektor våren 2008.
I lønnsoppgjøret inngikk partene avtale om en ny ordning med avtalefestet pensjon (AFP) tilpasset fleksibel alderspensjon. I den nye ordningen vil AFP utformes som et livsvarig påslag til folketrygden. AFP vil opptjenes fram til 62 år, og skal gis til alle som har avtale om AFP. Pensjonen øker med senere uttak (fram til 70 år), gis livet ut og kan fritt kombineres med arbeidsinntekt og pensjon fra folketrygden. For de som tar ut pensjonen før 67 år vil den bli utbetalt med et høyere nivå før 67 år enn etter.
Det ble også avtalt en egen ordning med et kompensasjonstillegg i den nye AFP-ordningen for årskullene som omfattes av opptjeningsreglene i dagens alderspensjon. Ordningen ble begrunnet med at dagens maksimale opptjening på 40 år ikke gir samme mulighet for å kompensere for effekten av levealdersjustering som ny alderspensjon hvor alle år i arbeid gir økt pensjon. Kompensasjonstillegget skal holdes nominelt konstant (ikke reguleres) i utbetalingsperioden.
I forbindelse med lønnsoppgjøret sendte statsministeren 2. april 2008 brev til Riksmeklingsmannen der det blant annet heter:
«Regjeringen er innstilt på å foreslå for Stortinget at den livsvarige delen av AFP-påslaget legges til grunn ved vurderingen av retten til å ta ut pensjon fra folketrygden før 67 år».
Departementet fulgte opp og utdypet forslaget i et høringsnotat av 8. mai 2008. I notatet tok ikke departementet stilling til om kompensasjonstillegget skulle inngå i vurderingen av om vilkåret om uttak før 67 år er oppfylt.
Høringsinstansenes syn
Flere høringsinstanser uttaler seg om medregning av supplerende pensjonsordninger ved vurdering av vilkår for uttak av alderspensjon før 67 år.
Finansnæringens Hovedorganisasjon uttaler at de har som utgangspunkt at supplerende private tjenestepensjonsordninger ikke skal medregnes. Kommunal Landspensjonskasse (KLP) mener at det bør tas hensyn til offentlige tjenestepensjonsordninger under forutsetning av at tariffpartene ønsker det. Norges Bondelag uttaler at dersom det skal stilles vilkår for uttak av alderspensjon før 67 år, bør ordninger som er tilgjengelige for selvstendige næringsdrivende telle med, herunder individuell pensjonsordning (tidligere IPA) og livrenteordninger. Yrkesorganisasjonenes Sentralforbund forutsetter at tjenestepensjonsordninger vil bli medregnet sammen med AFP, slik at flere kan ta ut fleksibel pensjon. Arbeids- og velferdsdirektoratet mener det må være en klar og entydig avgrensing av hvilke supplerende ordninger som skal medregnes, og dette må lovfestes. Direktoratet fraråder at det tas hensyn til utenlandske pensjonsordninger som ikke er omfattet av trygdeavtaler.
Alle høringsinstansene som tar stilling til forslaget om medregning av AFP, er positive til dette, herunder Akademikerne , Funksjonshemmedes Fellesorganisasjon (FFO), KLP, Norges Ingeniør- og Teknologorganisasjon , Norsk Journalistlag og Sparebankforeningen . Næringslivets Hovedorganisasjon og Unio peker på at forslaget følger opp avtalen fra tariffoppgjøret og statsministerens brev av 2. april 2008.
FFO uttaler at medregning av AFP er svært positivt og i ikke ubetydelig grad reduserer det FFO oppfatter som negative effekter av å begrense retten til uttak før 67 år. Samtidig påpeker FFO at dette likevel ikke endrer organisasjonens synspunkt om at vilkåret er diskriminerende og grunnleggende urettferdig.
Arbeids- og velferdsdirektoratet påpeker at arbeidstakeren, avhengig av hvordan AFP-ordningen konkretiseres videre, vil kunne ha rett til AFP ved uttakstidspunktet for alderspensjon, men ikke ved 67 år dersom arbeidstakeren har skiftet arbeidsgiver. Direktoratet mener derfor at det bør være et krav i folketrygdloven at AFP-påslaget må tas ut samtidig med alderspensjonen dersom det skal medregnes. Som en alternativ løsning foreslår direktoratet at AFP-ordningen får regler som garanterer en «hvilende rett» til AFP fra uttakstidspunktet for alderspensjon. Arbeids- og velferdsdirektoratet påpeker at medregningen av AFP medfører betydelig kompleksitet i det nye regelverket og vil ha varige administrative konsekvenser.
Arbeids- og velferdsdirektoratet mener at medregning av kompensasjonstillegget skaper problemer i forhold til å vurdere pensjonsnivået opp mot garantipensjonsnivået ved 67 års alder. Kompensasjonstillegget er et nominelt kronetillegg som ikke skal reguleres over livsløpet. En medregning av kompensasjonstillegget ved vurdering av vilkår for uttak, krever at det må gjøres et anslag for lønnsveksten fra uttakstidspunktet og fram til fylte 67 år. Direktoratet mener medregning av kompensasjonstillegget gir et unødig komplisert regelverk.
Unio mener at kompensasjonstillegget også må tas med i vurderingen av vilkåret for uttak av pensjon før 67 år.
Departementets vurdering og forslag
Departementet viser til at det fra Stortingets side er forutsatt at man skal vurdere å ta pensjon fra supplerende pensjonsordninger med i vurderingen av om vilkåret for tidliguttak er oppfylt. Videre vises det til at det våren 2008 ble inngått avtale om ny AFP i privat sektor tilpasset fleksibel alderspensjon i folketrygden. Departementet tar sikte på å følge opp avtalen ved å legge fram forslag til lov om statstilskott til AFP i løpet av 2009.
Enkelte høringsinstanser har uttrykt synspunkter på medregning også av andre supplerende pensjonsordninger enn AFP. Det er så langt ikke tatt stilling til hvordan slike pensjonsordninger skal tilpasses fleksibel alderspensjon i folketrygden. Om slike ordninger skal tas med i vurderingsgrunnlaget for uttak av pensjon før fylte 67 år, må vurderes i lys av hvordan de blir utformet. Det vises til omtale av status for og videre arbeid med pensjonsreformen i avsnitt 1.4.
Den nye AFP-ordningen som det ble inngått avtale om våren 2008, går ut på at ytelsen utbetales livsvarig som et tillegg til folketrygdens alderspensjon. Ny AFP vil således ikke være en førtidspensjonsordning fra 62 år som avløses av folketrygdens alderspensjon ved 67 år. Når AFP utbetales som et tillegg til folketrygdens alderspensjon, legger dette til rette for at AFP og folketrygdens alderspensjon i større grad enn i dag kan vurderes i sammenheng. I tillegg til at folketrygdens alderspensjon skal gjenspeile inntekten som yrkesaktiv, skal den også sikre alle en minsteinntekt i alderdommen. Når AFP gjøres om til en livsvarig ytelse ligger det til rette for at også denne kan inngå som en del av minstesikringen.
Som det framgår ovenfor, foreslår departementet at det ved uttak av alderspensjon før 67 år settes som vilkår at alderspensjonen ved 67 år minst skal tilsvare garantipensjonsnivået. En eventuell medregning av AFP ved denne vilkårsprøvingen, vil være en viktig prinsipiell endring sammenliknet med gjeldende regelverk, ved at retten til alderspensjon fra folketrygden vil avhenge av den enkeltes rett til andre, supplerende pensjonsordninger.
De høringsinstansene som har uttalt seg, er positive til å medregne AFP ved vurdering av vilkår for uttak. Som Arbeids- og velferdsdirektoratet peker på, vil det komplisere regelverket om AFP inkluderes i vurderingen av retten til å ta ut pensjon før fylte 67 år. Kompleksiteten i regelverket må imidlertid vurderes opp mot hensynet bak en slik regel, og hvordan regelverket skal administreres.
Departementet viser til stortingsvedtaket fra våren 2005, der det heter at det skal være en tidligpensjonsordning også for personer med lav inntekt. Dersom AFP inkluderes i vurderingen av retten til å ta ut pensjon før fylte 67 år, vil flere få muligheten til tidligpensjon enn om man bare tar hensyn til opptjening i folketrygden, se boks 6.11. For eksempel reduseres kravet til tidligere inntekt for å kunne ta ut hel alderspensjon ved 62 år for personer med rett til AFP i 1963-kullet fra om lag 355 000 kroner til 200 000 kroner (jevn inntekt i 40 år).
Departementet viser til at Arbeids- og velferdsetaten i utgangspunktet har de opplysningene som er nødvendige for beregning av både AFP og alderspensjon i folketrygden, men ikke når det gjelder prøving av retten til AFP eller opplysninger for å fastslå hvilken AFP-ordning den enkelte hører inn under. Det vises også til at det legges opp til automatiserte saksbehandlingsrutiner, og departementet forutsetter derfor at det legges til rette for elektronisk overføring av nødvendige opplysninger fra de enkelte AFP-ordningene til Arbeids- og velferdsetaten.
Arbeids- og velferdsdirektoratet peker på at det vil være problematisk dersom AFP medregnes i vilkår for uttak av alderspensjon, men at arbeidstakeren senere mister retten til AFP grunnet skifte av arbeidsgiver før AFP faktisk tas ut. Departementet er enig i at dette i så fall vil være uheldig. På denne bakgrunn vil departementet foreslå at AFP må tas ut samtidig med folketrygdens alderspensjon i de tilfeller AFP bidrar til at vilkåret for rett til tidliguttak oppfylles.
I forbindelse med avtalen om den nye AFP-ordningen varslet Regjeringen at den ville foreslå å innføre et livsvarig kompensasjonstillegg til personer som får tilpasset AFP og som får beregnet alderspensjon fra folketrygden helt eller delvis etter dagens opptjeningsregler. Kompensasjonstillegget er en ytelse på om lag 10 000 kroner.
Det er et eget spørsmål om kompensasjonstillegget i den nye AFP-ordningen skal medregnes. Tillegget holdes nominelt konstant etter uttak, det vil si at det ikke reguleres. Fordi utbetalingsperioden kan strekke seg over mange år, kan det samlede pensjonsnivået i vesentlig grad påvirkes av at kompensasjonstillegget ikke reguleres. Dette kan føre til at samlet pensjon kommer under minstepensjonsnivået etter fylte 67 år. Hvis en i slike tilfeller skal unngå dette ved å øke alderspensjonen fra folketrygden gjennom et tillegg, jf. punkt 8.5.3, vil det gi merutgifter for folketrygden. Effekten av at kompensasjonstillegget ikke reguleres, ville dermed reverseres gjennom folketrygden for denne gruppen.
Grunnlaget for å vurdere om vilkåret for uttak av alderspensjon fra folketrygden før fylte 67 år er oppfylt på bakgrunn av inntektspensjon og eventuell garantipensjon vil være kjent ved fylte 62 år, se punkt 6.5.1. Tilsvarende gjelder for den livsvarige delen av selve AFP-ytelsen, som reguleres likt med inntektspensjonen. Mens forholdet mellom alderspensjon under utbetaling og AFP på den ene siden og garantipensjonsnivået på den andre siden er uavhengig av lønnsveksten fram til 67 år, vil forholdet mellom kompensasjonstillegget og garantipensjonsnivået variere. Dermed vil eventuell medregning av kompensasjonstillegget i vurderingen av vilkåret for uttak av alderspensjon før 67 år, måtte baseres på anslag på framtidig lønnsvekst, noe som kan gi ulike utslag og som vil komplisere vilkårsvurderingen unødig.
Departementet viser imidlertid til at medregning av kompensasjonstillegget i ny AFP ved vurdering av uttak av alderspensjon før 67 år vil føre til at flere kan ta ut alderspensjon før 67 år. Spørsmålet om slik medregning bør ses i sammenheng med eventuell medregning av andre supplerende pensjonsytelser. Det legges derfor opp til at spørsmålet om medregning vurderes etter at tjenestepensjonsordningene i privat og offentlig sektor er tilpasset fleksibelt uttak av alderspensjon fra folketrygden.
Departementet foreslår at det nå lovfestes at den delen av AFP som er livsvarig og gjenstand for regulering medregnes ved vurderingen av om vilkåret for uttak av alderspensjon før 67 år er oppfylt.
Det vises til lovforslaget § 20-15 tredje ledd.
6.6 Opptjening av pensjonsrettigheter etter uttak
I henhold til Stortingets vedtak skal arbeid og pensjon kunne kombineres fritt, det vil si at pensjonen ytes uavkortet ved siden av eventuell arbeidsinntekt. Det innebærer at tidspunkt for pensjonsuttak og tidspunkt for uttreden fra arbeidslivet er frikoplet. Dermed vil mange ha mulighet for å opparbeide seg ytterligere pensjonsrettigheter samtidig som de mottar alderspensjon. Et spørsmål er derfor hvordan og på hvilket tidspunkt pensjonsrettigheter som opparbeides samtidig som det utbetales hel eller delvis pensjon, skal tilføres den enkeltes pensjonsutbetaling. Siden inntekten det siste året før pensjonsuttaket og i uttaksåret ikke er ferdigliknet på uttakstidspunktet, gjelder samme problemstilling her. Se også punkt 6.3.2.
I høringsnotatet foreslo departementet at pensjonsopptjening etter uttak av hel pensjon legges til pensjonen. Økningen i inntektspensjonen framkommer ved at de opptjente rettighetene deles på delingstallet på medregningstidspunktet. Ved delvis uttak av pensjon foreslo departementet imidlertid at opptjeningen ble fordelt forholdsmessig mellom pensjon og pensjonsbeholdning ut fra uttaksgraden. Departementet foreslo videre at eventuell garantipensjon avkortes på nytt ved hver endring i inntektspensjonen.
Boks 6.11 Vurdering av vilkår for uttak – medregning av AFP
Vilkåret for å ta ut pensjon før 67 år er at pensjonen framskrevet til 67 år minst tilsvarer garantipensjonsnivået ved 67 år. AFP framskrives tilsvarende og regnes som del av pensjonen.
Delingstallet for 1963-kullet ved 64 år anslås til 18,13. Garantipensjonsnivået ved 67 år anslås til 124 930 kroner.
En person som har hatt et opptjeningsgrunnlag på 3 G (207 324 kroner) i 42 år, vil ha en pensjonsbeholdning på 1 576 077 kroner. Beholdningen av garantipensjon beregnes til 699 290 kroner. Som vist i boks 6.9, er ikke opptjeningen av alderspensjon i folketrygden i seg selv tilstrekkelig til å oppfylle vilkår for uttak av 100 prosent pensjon ved 64 år. Her antas det imidlertid at vedkommende har rett til avtalefestet pensjon (AFP).
Ved uttak av 100 prosent alderspensjon ved 64 år, beregnes pensjonen på uttakstidspunktet ved å dividere beholdningene på delingstallet: 
Den livsvarige delen av AFP kan anslås til 19 019 kroner på uttakstidspunktet. Samlet pensjon ved 64 år utgjør dermed 144 522 kroner. Siden uttaket skjer ved 64 år, tas det hensyn til at pensjonen skal reguleres tre ganger fram til 67 år. Den livsvarige delen av AFP skal reguleres på samme vis som alderspensjon fra folketrygden, og reguleringen kan derfor gjøres samlet: 
141 295 kroner er mer enn garantipensjonsnivået på 124 930 kroner. Vilkåret for uttak av 100 prosent pensjon ved 64 år er altså oppfylt når vedkommende har rett til AFP.
Det er ingen høringsinstanser som har hatt substansielle merknader til departementets forslag til teknisk løsning for hvordan ny pensjonsopptjening skal tilføres utbetalt pensjon.
Departementet foreslår at personer som har tatt ut hel alderspensjon får ny opptjening tillagt pensjonen. Dette vil skje på samme tidspunkt som ny pensjonsopptjening legges til pensjonsbeholdningen, det vil si ved utgangen av det året likningen for det angjeldende inntektsåret er kjent.
Når det gjelder personer som har tatt ut gradert alderspensjon, kan man se for seg flere måter å behandle ny opptjening på. En mulighet er, som departementet foreslo i høringsnotatet, at opptjeningen fordeles forholdsmessig mellom pensjon og beholdning ut fra uttaksgraden. En annen mulighet er at opptjeningen i sin helhet tilføres beholdningen, slik at denne i utgangspunktet spares til senere uttak.
De to alternativene innebærer, ut fra prinsippet om nøytralt uttak, ikke noen forskjell i pensjonistens totale forventede utbetalinger av rettighetene. Dette skyldes at opptjeningen regnes om til årlig pensjon ved hjelp av delingstallet på uttakstidspunktet. Ved senere uttak kompenseres forventet kortere utbetalingstid ved at rettighetene deles på et lavere delingstall, slik at årlig utbetalt pensjon blir tilsvarende høyere.
Departementet viser til at utformingen av ny alderspensjon gir mulighet for å kunne ta ut hel eller gradert pensjon fra fylte 62 år og til å arbeide så mye man vil ved siden av uten at pensjonen avkortes. Dermed legges det godt til rette for individuelle tilpasninger mellom arbeid og pensjon. Det antas at det særlig i de yngre aldersgruppene blant pensjonistene vil være mange som etter hvert kommer til å kombinere arbeid og gradert pensjon.
I dialogen departementet har hatt med Arbeids- og velferdsdirektoratet er det blitt pekt på at det vil være enklere om ny opptjening i forbindelse med gradert uttak i sin helhet ble tilført pensjonsbeholdningen i stedet for en forholdsmessig fordeling mellom beholdning og utbetalt pensjon. Departementet er enig i dette, og viser til at den enkelte uansett ikke mister rettigheter ved at ny opptjening i sin helhet tilføres beholdningen. Ved overgang til hel pensjon eller endring i pensjonsgrad, vil ny opptjening bli tatt hensyn til ved å benytte det delingstallet som er knyttet til endringstidspunktet. Dessuten vil den enkelte ha mulighet til å endre pensjonsgrad én gang pr. år, og dermed få omregnet pensjonen basert på ny opptjening.
Dersom pensjonen består både av ordinær inntektspensjon og garantipensjon, vil garantipensjonen avkortes med 80 prosent av økningen i inntektspensjon. Ved gradert pensjon foretas avkortingen i garantipensjonsbeholdningen.
Departementet foreslår på denne bakgrunn at ved uttak av hel alderspensjon skal pensjonsopptjening etter uttaket omregnes til årlig pensjon ved hjelp av delingstallet på virkningstidspunktet for omregningen og legges til inntektspensjon under utbetaling. Eventuell garantipensjon avkortes med 80 prosent av økningen i inntektspensjonen. Ved gradert uttak foreslås det at pensjonsopptjeningen tilføres pensjonsbeholdningen og omregnes til pensjon når uttaksgraden endres. Eventuell garantipensjonsbeholdning avkortes med 80 prosent av økningen i pensjonsbeholdningen, se boks 6.12.
Boks 6.12 Opptjening av pensjonsrettigheter etter uttak
Det er tatt ut hel inntektspensjon som utgjør 213 638 kroner ved 68 år. Ved 68 år foreligger ny opptjening basert på en inntekt på 6 G (414 648 kroner), noe som gir en opptjening på 75 051 kroner. Delingstallet for 1963-kullet ved 68 år anslås til 14,89. Når uttaksgraden er 100 prosent, tillegges ny opptjening i pensjonen under utbetaling ved å dividere den nye opptjeningen med delingstallet ved 68 år: 
Ny opptjening medfører at pensjonen under utbetaling øker med 5 040 kroner til 218 678 kroner.
Dersom det i stedet er gjort et uttak av gradert pensjon, tillegges den nye opptjeningen restbeholdningen. Dersom restbeholdningen utgjør 2 026 385 kroner, beregnes ny restbeholdning ved å summere restbeholdningen og den nye opptjeningen: 
Den nye opptjeningen fører til høyere pensjon når restbeholdningen tas ut, ved at det blir en større beholdning som skal divideres på delingstallet ved uttakstidspunktet.
For en person som også har garantipensjon, fører ny opptjening til at både inntekts- og garantipensjon må regnes om. Det er tatt ut hel alderspensjon, som ved 68 år er sammensatt av en inntektspensjon på 106 819 kroner og en garantipensjon på 38 538 kroner. Ved 68 år foreligger det ny opptjening basert på en inntekt på 3 G, som gir ny pensjonsbeholdning på 37 526 kroner. Når uttaksgraden er 100 prosent tillegges ny opptjening i inntektspensjonen ved å dividere den nye opptjeningen på delingstallet ved 68 år, samtidig som garantipensjonen avkortes med 80 prosent av økningen i inntektspensjonen: 
Ny opptjening gir en økning i samlet pensjon på 504 kroner til 145 861 kroner.
Dersom det i stedet er gjort et uttak av gradert pensjon, tillegges den nye opptjeningen i restpensjonsbeholdningen, samtidig som restbeholdningen av garantipensjon avkortes med 80 prosent av økningen i restbeholdningen. Dersom restpensjonsbeholdningen utgjør 1 013 192 kroner og restbeholdningen av garantipensjon 365 537 kroner, beregnes nye restbeholdninger slik: 
Omregning av pensjoner på grunnlag av ny pensjonsopptjening foretas med virkning fra januar året etter at skattelikningen foreligger. Departementet foreslår at en benytter delingstallet ved det tidspunktet den nye opptjeningen får virkning for utbetalt pensjon. Dermed vil det ikke være aktuelt med etterbetaling.
Det vises til lovforslaget § 20-17 første til tredje ledd.
Departementet foreslår at det gis en hjemmel til å fastsette nærmere regler i forskrift. Det er særlig behov for å presisere hvordan garantipensjon skal avkortes mot ny opptjening ved gradert uttak dersom beholdningen av garantipensjon avkortes til null og vedkommende har garantipensjon under utbetaling. Departementet vil også vurdere om det er behov for mindre unntak fra regelen om fordeling av verdien av ny opptjening mellom pensjon under utbetaling og garantipensjonsbeholdning ved gradert uttak, for å sikre enklest mulig regelverk for omregning av garantipensjon ved endring i sivilstand, som omtales i punkt 6.7.2.
Hjemmelen dekker også nærmere regler ved økt trygdetid og endring i sivilstand, se punkt 6.7.1 og 6.7.2.
Det vises til lovforslaget § 20-17 sjette ledd.
6.7 Endret rett til garantipensjon etter uttak
6.7.1 Omregning av garantipensjon ved økt trygdetid etter uttak
I kapittel 4 foreslår departementet at det kreves 3 års trygdetid for å få garantipensjon, og 40 års trygdetid for full garantipensjon. Det medregnes trygdetid fra fylte 16 år til og med kalenderåret for fylte 66 år. Videre er det foreslått at trygdetid kan medregnes selv om det er tatt ut pensjon før fylte 67 år. Spørsmålet er fra hvilket tidspunkt og hvordan garantipensjonen skal omregnes når trygdetiden øker etter pensjonsuttak. I høringsnotatet foreslo departementet at økt trygdetid behandles på tilsvarende måte som ny pensjonsopptjening. Ingen høringsinstanser har kommentert dette.
I avsnitt 6.6 foreslår departementet at nye pensjonsrettigheter tilføres pensjonsbeholdningen ved gradert uttak og legges til pensjon under utbetaling ved helt uttak. Tilsvarende behandling innebærer at verdien av økt trygdetid tilføres garantipensjonsbeholdningen ved gradert uttak og legges til garantipensjon under utbetaling ved helt uttak. Verdien av ett års trygdetid tilsvarer én førtidel av vedkommendes garantipensjonssats ved 67 år multiplisert med vedkommendes delingstall ved 67 år, se boks 6.13. Verdien av trygdetiden avkortes mot deler av pensjonsbeholdningen som det ikke har blitt avkortet mot tidligere. Dette vil være tilfelle dersom garantipensjonsbeholdningen ble avkortet ned til null før det var tatt hensyn til hele pensjonsbeholdningen.
Boks 6.13 Omregning av garantipensjon ved økt trygdetid etter uttak
Det er tatt ut hel alderspensjon ved 66 år, da vedkommende hadde en trygdetid på 39 år. Ved 67 år utgjør inntektspensjonen 88 032 kroner og garantipensjonen 44 533 kroner, og det skal medregnes ny trygdetid på ett år. Trygdetid har bare betydning for garantipensjonen.
Siden full trygdetid er 40 år, beregnes verdien av ett års trygdetid ved å multiplisere vedkommendes garantipensjonssats ved 67 år (124 930 kroner) med 1/40. Dette multipliseres videre med vedkommendes delingstall ved 67 år. Delingstallet for 1963-kullet ved 67 år anslås til 15,69. Beregningen tilsvarer den opprinnelige beregningen av beholdning av garantipensjon, se boks 4.1. 
Verdien av den nye trygdetiden tilsvarer altså en beholdning av garantipensjon på 49 004 kroner. Når uttaksgraden er 100 prosent, tillegges dette garantipensjonen ved å dividere beløpet på delingstallet ved 67 år. Siden garantipensjonen allerede er avkortet mot all opptjent inntektspensjon, skal ikke verdien av den nye trygdetiden avkortes mot inntektspensjonen. Inntektspensjonen påvirkes ikke av ny trygdetid. Ny garantipensjon beregnes på følgende måte: 
Ved gradert pensjon, legges verdien av den nye trygdetiden til i restbeholdningen av garantipensjon. Tilsvarende som over, er beholdningen av garantipensjon allerede avkortet mot pensjonsbeholdningen, slik at verdien av den nye trygdetiden ikke skal avkortes. Pensjonsbeholdningen påvirkes ikke av ny trygdetid. Dersom restbeholdningen av garantipensjon utgjør 444 209 kroner, beregnes ny restbeholdning slik: 
Det vises til lovforslaget § 20-17 fjerde ledd.
Departementet foreslår at det gis en hjemmel til å fastsette nærmere regler i forskrift. Det er særlig behov for å presisere hvordan det ved økt trygdetid tas hensyn til pensjonsbeholdning som tidligere ikke har ført til avkorting. Departementet vil også vurdere om det er behov for mindre unntak fra regelen om fordeling av verdien av økt trygdetid mellom pensjon under utbetaling og garantipensjonsbeholdning ved gradert uttak, for å sikre enklest mulig regelverk for omregning av garantipensjon ved endring i sivilstand, som omtales i punkt 6.7.2.
Hjemmelen dekker også nærmere regler ved ny opptjening og endring i sivilstand, se avsnitt 6.6 og punkt 6.7.2.
Det vises til lovforslaget § 20-17 sjette ledd.
6.7.2 Omregning av garantipensjon ved endring i sivilstand mv. etter uttak
Som det framgår av kapittel 4, foreslås det at garantipensjonen fastsettes med to satser, en ordinær og en høy sats. Hvilken sats den enkelte har rett til, avhenger hovedsakelig av sivilstand. Retten til garantipensjonssats vil kunne endre seg én eller flere ganger i tiden som pensjonist, både fra ordinær til høy sats, og fra høy til ordinær sats. For eksempel vil en gift person som har garantipensjon etter ordinær sats, få rett til garantipensjon etter høy sats hvis ektefellen dør. Motsatt hvis en enslig pensjonist gifter seg. Endret sivilstand innebærer at garantipensjonen må omregnes. Spørsmålet om hvordan garantipensjonen skal omregnes ved endring av sivilstand ble ikke drøftet i departementets høringsnotat.
På grunn av reguleringen, mulighetene for gradert pensjon og at pensjonene skal justeres for uttaksalder, må omregningen av garantipensjonen foretas etter særskilte prinsipper. Utgangspunktet er at to personer som på et gitt tidspunkt har rett til samme sats (har samme sivilstand) og ellers har samme opptjenings- og uttakshistorikk (valg av grad mv.), bør få samme pensjoner og beholdninger.
De to satsene for garantipensjon reguleres med samme faktor, og det vil derfor være et fast forhold mellom satsene. Satsene er utgangspunkt for beregning av beholdning av garantipensjon, ved at de multipliseres med delingstallet ved 67 år og deretter avkortes med 80 prosent av pensjonsbeholdningen. Det vil derfor være et fast forhold mellom de to beholdningene av garantipensjon før avkorting som kan beregnes på grunnlag av satsene. Tilsvarende vil gjelde mellom de to garantipensjonene før avkorting. Forholdet før avkorting er konstant også etter gradert uttak, omregning ved endringer i pensjonsgrad, årlige reguleringer med videre.
Teknisk kan man dermed omregne garantipensjonen ved å ta utgangspunkt i faktisk utbetalt garantipensjon, som benyttes til å beregne en garantipensjon som om den ikke ble avkortet. Deretter justeres dette nivået i forhold til ny sivilstand ved å multiplisere med forholdet mellom ny og gammel sats. Til slutt avkortes resultatet med 80 prosent av inntektspensjonen. Garantipensjonsbeholdningen omregnes tilsvarende. Se nærmere boks 6.14.
Boks 6.14 Omregning av garantipensjon ved endring i sivilstand mv.
Det er tatt ut 40 prosent pensjon ved 67 år, og pensjonisten hadde på det tidspunktet rett til ordinær sats for garantipensjon. Ved 68 år får vedkommende rett til høy sats. Dette kan for eksempel være en følge av at ektefellen dør, slik at vedkommende skal regnes som enslig.
Ved 68 år utgjør inntektspensjonen 42 727 kroner og garantipensjonen 11 696 kroner. Inntektspensjonen påvirkes ikke av endret rett til garantipensjonssats, og det er bare garantipensjonen som skal omregnes. Garantipensjonen er avkortet med 80 prosent av inntektspensjonen. Det må først beregnes hva garantipensjonen ved ordinær sats ville vært uten avkorting. Dette gjøres ved å summere garantipensjonen og 80 prosent av inntektspensjonen: 
Forholdet mellom høy og ordinær sats er 2/1,85. Garantipensjon ved høy sats før avkorting kan derfor beregnes ved å multiplisere med dette forholdet: 
Til slutt beregnes garantipensjonen ved høy sats ved å avkorte med 80 prosent av inntektspensjonen: 
Når vedkommendes rett til garantipensjon endres fra ordinær til høy sats, øker dermed garantipensjonen fra 11 696 kroner til 15 415 kroner.
Siden det er tatt ut gradert pensjon, har pensjonisten også restbeholdninger. Restbeholdningen av inntektspensjon utgjør 1 013 192 kroner og restbeholdningen av garantipensjon 277 332 kroner. Inntektspensjon påvirkes ikke av endret rett til garantipensjonssats, og det er derfor bare restbeholdningen av garantipensjon som skal omregnes. Omregningen foretas på tilsvarende vis som for selve garantipensjonen, men ved å benytte restbeholdningen av inntektspensjon i stedet for inntektspensjonen. Samlet i ett steg, omregnes restbeholdningen av garantipensjon på følgende måte: 
Når vedkommendes rett til garantipensjon endres fra ordinær til høy sats, øker restbeholdningen av garantipensjon fra 277 332 kroner til 365 539 kroner.
Departementet påpeker at forslaget til § 20-18 femte ledd, se omtale i punkt 8.5.3, om at det utbetales et tillegg til pensjonen når pensjonen faller under minsteytelsen, er en nødvendig forutsetning for at det faste forholdet før avkorting opprettholdes og for dermed enkelt å kunne omregne garantipensjonen. Dette skyldes at to personer med samme opptjenings- og uttakshistorikk, men med rett til ulike satser for garantipensjon, «tas igjen» av garantipensjonssatsen på ulike tidspunkt. Dersom reguleringen da skulle endres for én av dem, ville ikke forholdet mellom de to personenes garantipensjon før avkorting lenger være konstant. I så fall ville det være nødvendig for Arbeids- og velferdsetaten å foreta pensjonsberegninger for alle personer ut fra begge satser, ved alle endringer i pensjonsgrad, videre opptjening med videre. Deretter måtte en bytte på hvilken beregning en la til grunn for utbetalingen ved endret sats.
Departementet foreslår på denne bakgrunn at pensjon og eventuell restbeholdning omregnes ved endring i sivilstand.
Det vises til lovforslaget § 20-17 femte ledd.
De konkrete reglene, som omtalt over, foreslås fastsatt i forskrift. Departementet foreslår derfor at det gis en forskriftshjemmel i sjette ledd.
Hjemmelen dekker også nærmere regler ved ny opptjening og økt trygdetid, se avsnitt 6.6 og punkt 6.7.1.
Det vises til lovforslaget § 20-17 sjette ledd.
6.8 Ikrafttredelse
Det foreslås at §§ 20-14 til 20-17 om fleksibelt uttak av ny alderspensjon formelt gis virkning fra lovens ikrafttredelse 1. januar 2010. I punkt 9.2.3 foreslås det at ny alderspensjon fases gradvis inn fra 1954-kullet, og at det første årskullet som fullt ut omfattes av ny alderspensjon blir 1963-kullet. Reglene om fleksibelt uttak av ny alderspensjon vil derfor først komme til anvendelse fra 2016, når 1954-kullet fyller 62 år.
Se også avsnitt 7.7, der det framgår at reglene om fleksibelt uttak av dagens alderspensjon foreslås gitt virkning fra 1. januar 2011.
Det vises til lovforslaget II Ikrafttredelse og overgangsbestemmelser.
Fotnoter
I tillegg til opptjeningseffekten og uttaksaldereffekten inkluderer totaleffekten også en mindre samspillseffekt, ved at økningen i opptjeningen fordeles på kortere forventet gjenstående levetid.