7 Beslutning vedrørende OSSE-dokument om lagret konvensjonell ammunisjon
Ministerrådet,
som minner om Forum for sikkerhetssamarbeids beslutning nr. 18/02 av 27. november 2002 og punkt 13 i erklæringen fra ministermøtet i Porto om den sikkerhetsrisiko som følger av at det i OSSE-området finnes lagret ammunisjon og sprengstoff som er ment til bruk i konvensjonelle våpen, og som er i overskudd og/eller skal destrueres,
som ser med glede på det arbeid som Sikkerhetsforumet har nedlagt for å etablere en ramme som gjør det mulig å møte denne risiko og å finne hensiktsmessige løsninger,
gir sin støtte til OSSE-dokumentet om lagret konvensjonell ammunisjon, nedfelt i Sikkerhetsforumets dokument nr. 1/03.
D7.1 Dokument om lagret konvensjonell ammunisjon
Sikkerhetsrisiko som følger av at det i OSSE-området finnes lagret konvensjonell ammunisjon, sprengstoff og tennmiddel som er i overskudd og/eller skal destrueres
Forord
1. Deltakerstatene i Organisasjonen for sikkerhet og samarbeid i Europa (OSSE):
2. som bekrefter at de ønsker å bygge videre på rammen for våpenkontroll fastsatt i beslutning nr. 8/96 i Forum for sikkerhetssamarbeid (FSC), og særlig at de er fast bestemt på fortsatt å ivareta sikkerhetsbehovene i OSSE-området gjennom våpenkontroll, herunder avvæpning og tillits- og sikkerhetsskapende tiltak,
3. som erkjenner at OSSE-dokumentet om håndvåpen og lette våpen på tilbørlig vis dekker de normer, prinsipper og tiltak som gjelder for forvaltning av lagre av håndvåpen og lette våpen,
4. som erkjenner faren og utfordringene som følger av at det i OSSE-området finneslagret konvensjonell ammunisjon, sprengstoff og tennmiddel som er i overskudd og/eller skal destrueres,
5. som minner om Sikkerhetsforumets beslutning nr. 18/02 av 27. november 2002 og punkt 13 i erklæringen fra ministermøtet i Porto om den sikkerhetsrisiko som er forbundet med slike lagre,
6. som tar i betraktning de drøftingene som fant sted under Sikkerhetsforumets arbeidsmøte om dette spørsmålet i Wien 27. og 28. mai 2003,
7. som understreker at OSSE som ledd i sin helhetlige tilnærming til sikkerhet må bidra konstruktivt til allerede eksisterende internasjonale verktøy og initiativ, og samtidig unngå dobbeltarbeid,
8. som er villig til å bidra til større åpenhet gjennom frivillig utveksling av informasjon om overskuddslagre av konvensjonell ammunisjon, sprengstoff og tennmiddel,
9. som erkjenner fordelen ved å kunne tilby deltakerstatene, når de ber om det, en prosedyre for å lette evalueringen av situasjoner som er oppstått på grunn av konvensjonell ammunisjon, sprengstoff og/eller tennmiddel som utgjør en risiko på deres territorium, samt etablere en ordning for internasjonal bistand (teknisk, personlig og/eller økonomisk) for å håndtere slik risiko,
10. som også erkjenner den rollen OSSEs feltoperasjoner kan spille ved å støtte vertslandenes og bistands-/giverlandenes arbeid med lagerforvaltning, lagersikkerhet og risikovurdering knyttet til konvensjonell ammunisjon, sprengstoff og tennmiddel som er i overskudd og/eller skal destrueres ,
11. som har besluttet å vedta og gjennomføre de generelle prinsippene og prosedyren beskrevet i de følgende avsnitt.
Avsnitt I: Generelle prinsipper
12. Deltakerstatene erkjenner at det i enkelte stater i OSSE-området finnes lagret konvensjonell ammunisjon, sprengstoff og tennmiddel som er i overskudd og/eller skal destrueres, og at dette utgjør en risiko mot sikkerheten og tryggheten. Denne risikoen kan ha uheldige følger for lokalbefolkningen og miljøet som følge av muligheten for ulovlig handel og ukontrollert spredning, særlig til terrorister og andre kriminelle grupper i OSSEs deltakerstater.
13. I samsvar med OSSEs utvidede sikkerhetsbegrep og i samarbeid med andre internasjonale fora beslutter deltakerstatene å etablere en praktisk prosedyre, som innebærer minst mulig administrativt arbeid, for å håndtere denne risiko ved å bistå med å destruere slike lagre og/eller bedre lagerforvaltning og sikkerhetsrutiner. En slik prosedyre vil bidra til å styrke tilliten, sikkerheten og åpenheten i OSSE-området.
14. Deltakerstatene erkjenner at de har det overordnede ansvaret for sine lagre av konvensjonell ammunisjon, sprengstoff og tennmiddel, samt for å kartlegge og redusere eventuelle overskudd av slike lagre. Et av målene med dette initiativet er å styrke deltakerstatenes egen kapasitet, slik at de på sikt blir i stand til å håndtere slike problemer på egen hånd. Dette prinsippet vil imidlertid ikke gjøre dem mindre villige til straks å vurdere å gi hjelp til stater som ber om det.
15. Deltakerstatene er enige om at anmodningen om og yting av bistand skal skje på frivillig grunnlag. OSSE kan bare iverksette tiltak som svar på en konkret anmodning om bistand fra en deltakerstat for lagre som befinner seg på denne statens territorium. Deltakerstatene erkjenner at det er den anmodende stats ansvar å sørge for varig sikring og/eller fjerning av de aktuelle lagrene. Bistandens art og omfang vil bli avgjort for hver enkelt konkrete anmodning fra en deltakerstat og etter behørig samråd med bistands-/giverstatene og de anmodende stater.
Avsnitt II: Typer konvensjonell ammunisjon, sprengstoff og tennmiddel
16. Deltakerstatene er enige om at problemet med lagret konvensjonell ammunisjon, sprengstoff og tennmiddel som er i overskudd og/eller skal destrueres, må håndteres på bredest mulig basis. Dette dokument omfatter konvensjonell ammunisjon, sprengstoff og tennmiddel for land-, luft- og sjøbaserte våpensystemer. Ammunisjon som benyttes til masseødeleggelsesvåpen (kjernevåpen, kjemiske og biologiske våpen) omfattes ikke av dette dokument.
17. Tatt i betraktning at det finnes et bredt spekter av kategorier og komponenter av konvensjonell ammunisjon, sprengstoff og tennmiddel som er i overskudd og/eller skal destrueres, kan følgende grove inndeling gi en indikasjon (ikke angitt i prioritert rekkefølge):
ammunisjon for håndvåpen og lette våpen (SALW),
ammunisjon for større våpen- og utstyrssystemer, herunder missiler,
raketter,
landminer og andre typer miner,
andre typer konvensjonell ammunisjon, sprengstoff og tennmiddel.
Avsnitt III: Indikatorer for et overskuddslager
18. Det er opp til den enkelte deltakerstat, i samsvar med statens legitime sikkerhetsbehov, å vurdere om deler av dens lagre kan betegnes som overskuddslager. Når en deltakerstat skal vurdere om den har et overskuddslager av konvensjonell ammunisjon, sprengstoff og tennmiddel, kan den eventuelt ta i betraktning følgende indikatorer:
de militære og paramilitære styrkenes, sikkerhetsstyrkenes og politiets størrelse, oppbygning, utstyr og operasjonelle opplegg, den geopolitiske og geostrategiske sammenheng samt størrelsen på statens territorium og befolkning,
den interne og eksterne situasjonen,
internasjonalt engasjement, herunder fredsbevarende operasjoner,
konvensjonell ammunisjon, sprengstoff og tennmiddel for våpen som i henhold til nasjonale forskrifter og praksis ikke lenger benyttes til militære formål.
19. OSSEs håndbok for beste praksis med hensyn til håndvåpen og lette våpen gir også andre indikatorer som kan være nyttige.
Avsnitt IV: Lagerforvaltning og lagersikkerhet
20. Deltakerstatene erkjenner at risiko i forbindelse med overskuddslagre av konvensjonell ammunisjon, sprengstoff og tennmiddel ofte skyldes uholdbare og utilstrekkelige lagringsforhold. De er derfor enige om at lagrenes sikkerhet må tas i betraktning, og at det er avgjørende å sørge for egnet nasjonal kontroll med sikkerhet og sikring av lagret konvensjonell ammunisjon, sprengstoff og tennmiddel for å forebygge eksplosjons- og forurensningsfare samt tap grunnet tyveri, korrupsjon eller forsømmelse.
21. Når en deltakerstat skal vurdere om et overskuddslager utgjør en risiko, kan den bruke følgende indikatorer:
detaljerte opplysninger om lagrenes beliggenhet,
detaljerte opplysninger om infrastruktur på lagerplassen,
lagerbygningenes soliditet og kapasitet,
i hvilken tilstand den konvensjonelle ammunisjonen, sprengstoffet og tennmiddelet er,
tiltak for adgangskontroll,
beredskap for å sikre tilstrekkelig vern i krisesituasjoner,
låser og nøkler og andre fysiske sikkerhetstiltak,
rutiner for forvaltning og regnskapskontroll i forbindelse med lagerbeholdning,
straffetiltak i tilfelle tap eller tyveri,
rutiner for øyeblikkelig varsling av tap og gjenoppretting av tap,
rutiner for å opprettholde optimal sikkerhet under transport av konvensjonell ammunisjon, sprengstoff og tennmiddel,
opplæring av personell med sikte på effektiv lagerforvaltning og sikkerhetsrutiner,
system for gjennomføring av overvåkings- og kontrollansvar.
22. I hvilken grad disse relevante tiltakene gjennomføres, kan gi en indikasjon på risikoen knyttet til konvensjonell ammunisjon, sprengstoff og tennmiddel som er i overskudd og/eller skal destrueres.
Avsnitt V: Åpenhet rundt behov og bistand
23. Det er opp til deltakerstaten selv, på grunnlag av kriteriene nevnt i avsnitt III og IV ovenfor, å fastslå størrelsen på et eventuelt overskuddslager av konvensjonell ammunisjon, sprengstoff eller tennmiddel, om lagrene utgjør en sikkerhetsrisiko, og om det er behov for ekstern bistand for å håndtere risikoen.
24. For å håndtere problemet med overskuddslagre av konvensjonell ammunisjon, sprengstoff og tennmiddel i OSSE-området er innsamling av opplysninger av avgjørende betydning. For at en deltakerstat skal kunne få nødvendig bistand, bør den anmodende stat benytte et standard spørreskjema.
25. For å få oversikt over tilgjengelige midler og/eller ekspertise er det også viktig å samle inn opplysninger. Av denne grunn oppfordres også potensielle deltakerstater som yter bistand/er givere, til å gi opplysninger når det anses hensiktsmessig, som svar på et standard spørreskjema.
26. Anmodninger om bistand og opplysninger som gis av en potensiell bistands-/giverstat ved hjelp av disse spørreskjemaene, vil bli formidlet til alle deltakerstatene og til Konfliktforebyggende senter (CPC). Anmodende deltakerstater og deltakerstater som yter bistand/er givere, kan også gi relevante tilleggsopplysninger.
A) Opplysninger som skal gis av en anmodende stat
27. Opplysningene fra en anmodende stat skal omfatte følgende (se modell for spørreskjema i vedlegg I):
art, mengde, tekniske data for hver type konvensjonell ammunisjon, sprengstoff eller tennmiddel,
lagerets beliggenhet,
lagersikkerhet (forvaltning og forfatning),
type og grad av risiko (for befolkningen/miljøet, sårbarhet med hensyn til inntrengere/tyveri osv.),
uhell, type og grad av risiko for lokalbefolkningen/miljøet, tiltak som er iverksatt,
planer om destruering/styrking av lagerforvaltning,
tilgjengelig egenkapital,
type bistand det anmodes om,
nærmere opplysninger om bilateral/multilateral bistand som det allerede er bedt om og/eller som allerede er gitt,
kontaktpunktets navn, adresse, funksjon,
liste over vedlagte dokumenter.
B) Opplysninger som skal gis av en bistands-/giverstat
28. Opplysningene fra en bistands-/giverstat skal omfatte følgende (se modell for spørreskjema i vedlegg II):
mengde økonomiske midler som er tilgjengelig,
prioriteringer,
vilkår eller begrensinger for bruk av økonomiske midler,
eksperter/ekspertise som er tilgjengelig,
andre tilgjengelige midler.
Avsnitt VI: Bistandens omfang og prosedyre
29. En deltakerstat som har fastslått at det foreligger en sikkerhetsrisiko knyttet til overskuddslagre av konvensjonell ammunisjon, sprengstoff og tennmiddel, og som trenger bistand, kan be om slik bistand fra det internasjonale samfunn via OSSE.
30. Deltakerstatene mener det er hensiktsmessig at teknisk og økonomisk støtte, rådgivning og annen bistand blir gitt på frivillig basis til anmodende deltakerstater for å håndtere risikoen i forbindelse med lagret konvensjonell ammunisjon, sprengstoff og/eller tennmiddel definert i avsnitt II, III og IV ovenfor.
A) Bistandens omfang
31. Økonomisk bistand er en avgjørende faktor når det gjelder å møte de behov de anmodende stater har gitt uttrykk for. Slik bistand vil alltid være av frivillig karakter. Ved å sammenfatte opplysningene som er innhentet gjennom informasjonsutvekslingen beskrevet i avsnitt V A) og gjennom vurderinger utført av eksperter i henhold til avsnitt VI B), vil det være mulig å danne seg et klart bilde av om de foreslåtte prosjektene er økonomisk gjennomførbare. Finansieringsordningen for et konkret prosjekt bør utarbeides ved samråd mellom bistands-/giverstatene, den anmodende stat og andre deltakerstater som er involvert. Dersom det er hensiktsmessig, kan det i finansieringsordningen også inngå midler fra andre internasjonale organisasjoner, særlig organisasjoner som allerede har programmer.
32. Bistanden kan også omfatte:
innhenting av opplysninger om de behov deltakerstatene i OSSE-området har gitt uttrykk for, samt om tilgjengelige bistandsmidler, ved hjelp av spørreskjemaene nevnt i avsnitt V ovenfor,
risikovurdering samt rådgivning om lagerforvaltning og destruering,
hjelp til å utarbeide et program for destruering av overskuddslagre eller bedre lagerforvaltning. Dette vil innebære en evaluering av omfanget av og type operasjoner som må iverksettes, nødvendige tekniske hjelpemidler, sikkerhetstiltak som må iverksettes, og andre nødvendige midler,
bistand til den anmodende stat i forbindelse med kartlegging av prosjekter (forundersøkelsesstadiet) ved å sette opp multinasjonale bistandsgrupper med eksperter som har til oppgave å foreta en foreløpig vurdering av en gitt situasjon. Denne virksomheten kan også gjennomføres i samarbeid med andre internasjonale aktører,
bistand til den anmodende stat i forbindelse med opplæring av personell som deltar ved destruering av konvensjonell ammunisjon, sprengstoff eller tennmiddel samt ved lagerforvaltning og lagersikkerhet.
33. OSSE bør fungere som et koordineringssenter med oppgave:
å gi en deltakerstat anledning til å melde fra om at det på dens territorium finnes lagret konvensjonell ammunisjon, sprengstoff og tennmiddel som er i overskudd og/eller skal destrueres, og at disse lagrene utgjør en risiko som den trenger bistand til å håndtere,
dersom det er framsatt anmodning om det, å sende bistands- og evalueringsgrupper. Disse tiltakene vil bli utarbeidet i nært samarbeid med den anmodende stat, og kan eventuelt samordnes med andre (internasjonale) organisasjoner eller institusjoner,
å sentralisere opplysningene som er samlet inn, ved å opprette et arkiv,
i samarbeid med den anmodende stat å overvåke prosessen på stedet der bistand ønskes,
å samle og å være kontaktledd og utveksle opplysninger mellom anmodende stater, potensielle bistands-/giverstater og andre (internasjonale) aktører på området.
34. OSSEs feltoperasjoner kan, alt etter sitt mandat, spille en rolle ved å bidra ved gjennomføringen av aktiviteter, der de kan dra nytte av den erfaring tidligere feltoperasjoner har gjort i liknende tilfeller.
B) Prosedyre
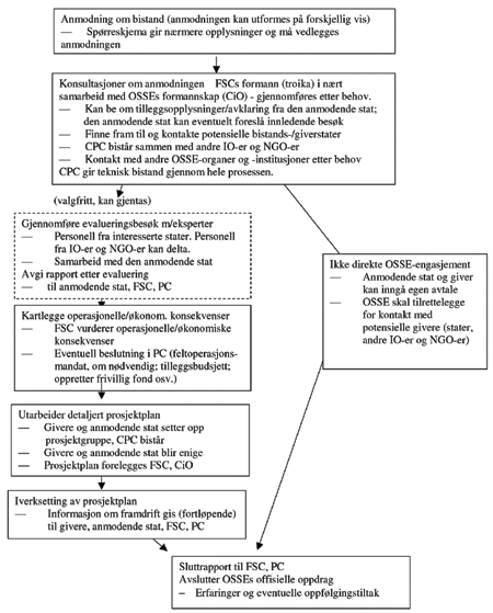
35. Prosedyren ved behandling av en anmodning om bistand fra en deltakerstat vil være som følger (se illustrasjon i vedlegg III):
Før OSSE kan gi svar på en anmodning, vil Sikkerhetsforumets formann i nært samarbeid med Forumets troika og OSSEs formannskap innlede konsultasjoner, samtidig som Forumet informeres ved behov; Formannen kan også be om tilleggsopplysninger og/eller avklaring fra deltakerstaten som har framsatt anmodningen. Dette kan innbære at det vil bli arrangert et innledende besøk, dersom den anmodende staten inviterer til det, som kan omfatte en forundersøkelse om gjennomførbarheten. Det vil bli innledet konsultasjoner for å finne fram til og kontakte potensielle bistands-/giverstater, samt knyttet kontakt med relevante OSSE-organer og -institusjoner. Konfliktforebyggende senter (CPC) vil yte bistand sammen med andre aktuelle internasjonale organisasjoner (IO-er) og relevante frivillige organisasjoner NGO-er). CPC vil gi Sikkerhetsforumets formann og OSSEs formannskap teknisk bistand etter behov som svar på anmodningen.
Det kan eventuelt bli ansett som tilrådelig å gjennomføre ett eller flere evalueringsbesøk med eksperter før anmodningen om bistand besvares. Disse vil bli fulgt opp med tekniske evalueringsbesøk gjennomført av ekspertgrupper som består av personell stilt til disposisjon av interesserte stater. Representanter fra andre internasjonale organisasjoner og frivillige organisasjoner kan eventuelt inngå i ekspertgruppene. Evalueringsbesøk finansiert i samsvar med etablerte OSSE-prosedyrer vil bli gjennomført med samtykke fra og i nært samarbeid med den anmodende stat. Dersom en av OSSEs feltoperasjoner befinner seg i den anmodende stat, kan også denne trekkes inn i konsultasjons- og evalueringsprosessen dersom det er hensiktsmessig. Når evalueringsprosessen er avsluttet, vil det bli utarbeidet en sluttrapport.
Ekspertgruppen skal vurdere situasjonen i forhold til: 1) lagrenes innhold (art og type konvensjonell ammunisjon, sprengstoff eller tennmiddel, mengde), 2) sikkerhetsforhold, herunder forhold som gjelder lagerforvaltning, 3) vurdering av risiko knyttet til disse lagrene.
Evalueringsrapporten, som vil bli oversendt den anmodende stat samt Sikkerhetsforumet (FSC) og Det faste råd (PC), vil inneholde anbefalinger om iverksettelse av tiltak vedrørende: 1) de delene av lagrene som bør destrueres, 2) framgangsmåtene som skal benyttes, samt sikkerhetskrav, 3) evaluering av kostnader og andre konsekvenser, 4) lagrings- og sikkerhetsforhold, 5) de mest presserende skritt som må tas.
Etter å ha avsluttet konsultasjonene og evalueringen, vil Sikkerhetsforumet vurdere de operasjonelle og økonomiske konsekvensene det vil få å etterkomme anmodningen om bistand. Dersom en gjennomføring av den påtenkte bistanden gjør det nødvendig å endre mandatet til en eksisterende OSSE-feltoperasjon eller får økonomiske følger for OSSE, vil Sikkerhetsforumet etter samråd med Det faste råd utarbeide et utkast til beslutning om godkjenning fra Det faste råd.
På grunnlag av opplysningene innhentet i forbindelse med de ovennevnte skritt, vil bistands-/giverstatene og den anmodende stat sette opp en prosjektgruppe som vil utarbeide en detaljert prosjektplan med nærmere opplysninger om prosjektets finansielle behov, om nødvendig med koordineringsstøtte fra Konfliktforebyggende senter. Når bistands-/giverstatene og den anmodende stat er blitt enige om prosjektplanen, vil denne bli forelagt Sikkerhetsforumet til orientering og eventuelt godkjenning, i nært samarbeid med OSSEs formannskap og, om nødvendig, Det faste råd.
Prosjektgruppen vil iverksette prosjektplanen, og vil i løpet av prosjektperioden gi jevnlig informasjon til bistands-/giverstatene og de anmodende stater samt til Sikkerhetsforumet, Det faste råd og OSSEs feltoperasjoner, når disse er involvert.
Når prosjektet er fullført, vil lederen for prosjektgruppen legge fram en endelig rapport om resultatene for Sikkerhetsforumet og Det faste råd. I rapporten skal det legges vekt på de erfaringene som er gjort, og eventuelle oppfølgingstiltak.
Etter de innledende konsultasjonene kan det eventuelt bli truffet beslutning om ikke å gå videre med et direkte engasjement fra OSSEs side. Dette kan skje dersom den anmodende stat og en giverstat inngår en egen avtale. I tilfeller der OSSE ikke engasjerer seg direkte, vil formannen i Sikkerhetsforumet, sammen med OSSEs formannskap og med støtte fra Konfliktforebyggende senter, og innenfor rammen av OSSEs funksjon som koordineringssenter, formidle kontakt mellom den anmodende stat og potensielle givere, andre stater, regionale eller internasjonale organisasjoner eller frivillige organisasjoner. En rapport over tiltak som er truffet, skal forelegges Sikkerhetsforumet og Det faste råd.
Avsnitt VII: Sluttbestemmelser
36. Konfliktforebyggende senter vil fungere som kontaktpunkt for konvensjonell ammunisjon, sprengstoff og tennmidler mellom OSSE og andre internasjonale organisasjoner og institusjoner. Deltakerstatene kan om de ønsker oppgi navn på kontaktpunkter for konvensjonell ammunisjon, sprengstoff og tennmidler i sine delegasjoner til OSSE og i hovedstedene. Konfliktforebyggende senter vil føre og oppdatere listen over kontaktpunkter.
37. Deltakerstatene er enige om å foreta en jevnlig gjennomgang av dette dokuments virkeområde, innhold og gjennomføring.
38. Forum for sikkerhetssamarbeid vil vurdere å utarbeide en håndbok over «beste praksis» med hensyn til teknikker og prosedyrer ved destruering av konvensjonell ammunisjon, sprengstoff og tennmidler, samt over lagerforvaltning og lagerkontroll. Dette dokumentet vil inneholde blant annet indikatorer for overskuddsmateriell og risiko, standarder og rutiner for forsvarlig lagerforvaltning, regler som skal benyttes når det skal avgjøres hvilke lagre som skal destrueres, samt standarder og tekniske destrueringsprosedyrer.
39. Dette dokument vil bli utgitt på Organisasjonens seks offisielle språk og distribuert av de enkelte deltakerstatene. Det vil også bli distribuert til OSSEs feltoperasjoner.
40. OSSEs generalsekretær bes oversende dette dokument til regjeringene i samarbeidspartnerne i Asia (Japan, Republikken Korea, Thailand og Afghanistan) og i middelhavsområdet (Algerie, Egypt, Israel, Jordan, Marokko og Tunisia).
41. OSSEs generalsekretær bes oversende dette dokument til De forente nasjoner.
42. Prinsippene og prosedyren i dette dokument er politisk bindende og får virkning når dokumentet vedtas.
Spørreskjema-modell for en anmodende stat
1. Hvilke overskuddslagre av konvensjonell ammunisjon, sprengstoff eller tennmiddel gjelder anmodningen?
Anmodende stater skal i dette avsnittet oppgi følgende for hver kategori:
overskuddsmateriellets karakter (patroner, granater osv.),
mengde,
overskuddsmateriellets forfatning (utgått på dato, beskadiget, rustet osv.),
en geografisk beskrivelse av beliggenheten.
2. Hvilken type og grad av risiko og fare innebærer dette overskuddsmateriellet?
En generell vurdering av type og grad av risiko og fare som overskuddsmateriellet innebærer, bør dekke følgende punkter:
de aktuelle lagrenes tilstand, herunder miljøaspekter (særlig virkningen på lokalbefolkningen) og fysiske tiltak mot sabotasje, tyveri, inntrenging, terrorisme og andre kriminelle handlinger,
sikkerhetssituasjonen rundt de aktuelle lagrene, herunder lagrenes forfatning, tekniske faktorer (f.eks. hvor raskt nedbrytningen eller forringelsen av den konvensjonelle ammunisjonen, sprengstoffet eller tennmiddelet skjer) og vedlikehold av lagerbygninger,
lagerforvaltning og lagringsforhold,
utførlige opplysninger om uhell/ulykker som har funnet sted den senere tid, og egnede tiltak som er iverksatt.
3. Hvilke planer har den anmodende stat for overskuddsmateriellet?
Anmodende stater må her oppgi om siktemålet hovedsakelig er:
å ødelegge overskuddsmateriellet, eller
å bedre lagringsforholdene for å unngå risiko og farer som anslått.
4. Hvilke midler er tilgjengelige?
I dette avsnittet skal de anmodende stater spesifisere midlenes type, omfang og potensial samt på hvilken måte de eventuelt kan:
benyttes til å løse en del av de kartlagte problemene på egen hånd,
stilles til disposisjon for utenlandske hjelpemannskaper.
Eksempel:
tekniske hjelpemidler som er direkte knyttet til destruering eller lagring av konvensjonell ammunisjon, sprengstoff og tennmiddel,
alle øvrige logistikkmidler til støtte for de ulike tiltak som kreves (transport, innlosjering osv.),
eventuelle økonomiske bidrag.
5. Hvilken type bistand anmodes det om? Med utgangspunkt i de ulike risikomomenter og farer samt de midler som er tilgjengelige, må de anmodende stater i dette avsnittet spesifisere hvilken type bistand de trenger. Det kan for eksempel dreie seg om bistand for å kunne:
foreta en detaljert utredning av risiko,
utvikle et program for destruering av de aktuelle lagrene,
destruere dette overskuddsmateriellet,
styrke lagerforvaltning og lagersikkerhet,
lære opp personell som deltar ved destruering eller ved lagerforvaltning og
lagersikkerhet,
iverksette et bevisstgjøringsprogram.
6. Nærmere opplysninger om bilateral/multilateral bistand som det allerede er bedt om, og/eller som allerede er gitt.
7. Hvem er kontaktpunkt?
Kontaktpunktets navn, funksjon, adresse, telefon- og faksnummer, eventuelt også e-postadresse, skal oppgis.
8. Eventuelt andre opplysninger.
Spørreskjema-modell for en bistands-/giverstat
1. Hvilke midler er tilgjengelige?
Bistands-/giverstatene skal hovedsakelig oppgi størrelsen på de midler som er tilgjengelige for bistandsprogrammer, samt prioriteringer og vilkår eller begrensninger for bruk av disse midlene.
2. Hvilken ekspertise er tilgjengelig?
Bistands-/giverstatene skal her oppgi med størst mulig nøyaktighet hvilken ekspertise de har og eventuelt kan bistå med på områdene angitt nedenfor i forbindelse med lagret konvensjonell ammunisjon, sprengstoff eller tennmiddel:
risikovurdering,
utarbeidelse av destrueringsprogrammer og overvåking av disse programmene,
lagerforvaltning,
sikkerheten ved lagrene i forhold til lokalbefolkningen og miljøet,
opplæring av personell som deltar ved destruering av konvensjonell ammunisjon, sprengstoff eller tennmiddel eller ved lagerforvaltning.

Figur -1 Illustrasjon av prosedyren for behandling av en anmodning om bistand
De skal oppgi prioriteringer samt vilkår eller begrensninger for bruk av denne ekspertisen og for medvirkning fra deres eksperter.
3. Hvilke andre midler er tilgjengelige?
På samme måte som i avsnittet ovenfor skal bistands-/giverstatene her oppgi de ulike midler som er tilgjengelige, samt presisere prioriteringer, vilkår og begrensinger for bruk av midlene.
4. Hvem er kontaktpunkt?
Kontaktpunktets navn, funksjon, adresse, telefon- og faksnummer, eventuelt også e-postadresse, skal oppgis.
5. Eventuelt andre opplysninger.