1 Skjerming og nøytralitet i ulike modeller
1.1 Innledning
Utvalget er bedt om å vurdere om uttaksbasert beskatning av personlig næringsdrivende er hensiktsmessig i forhold til skattemessig likebehandling av organisasjonsformer, og om rammebetingelsene for nyskaping og oppstartvirksomhet ivaretas. I dette vedlegget belyses sentrale forskjeller mellom uttaksmodeller som aksjonærmodellen (Ot.prp. nr. 1 (2004-2005)) og utvalgets forslag til deltakermodellen, og modeller med løpende beskatning som skjermingsmodellen slik den fremgår av skattemeldingen og gjeldende delingsmodell. Videre drøftes det om uttaksbeskatning av personlig næringsdrivende kan gi større grad av likebehandling (nøytralitet) av personlig næringsdrivende og aksjonærer enn skjermingsmodellen.
På prinsipielt grunnlag bør ikke valg av skattesystem påvirke valg av organisasjonsform. Nøytralitet med hensyn til valg av organisasjonsform vil kunne oppnås selv om enkelte sektorer beskattes ved utdeling parallelt med at andre sektorer beskattes løpende. Under forutsetning om at alle inntektsstrømmer i et foretak kommer til endelig beskatning (før eller siden) sikres nøytralitet gjennom at nåverdien av skattebelastningen i en virksomhet gjøres uavhengig av periodiseringen skattebelastningen.
Mandatet peker spesielt på at rammebetingelsene for oppstartvirksomhet og nyskaping må ivaretas ved valg av beskatningsmodell. Tilgangen på finansiering fra utenlandske kilder er trolig begrenset for små og nyetablerte virksomheter som ikke er aksjeselskaper. Denne typen virksomheter vil også typisk ha liten tilgang på tilbakeholdt overskudd samtidig som de kan være kredittrasjonert, dvs. at de også kan ha vanskelig for å få finansiert nye investeringer med gjeld. I slike tilfeller vil en uttaksmodell kunne være fordelaktig gjennom lavere skattebetaling i oppstartperioden. Utvalgtes forslag ivaretar både nøytralitetshensynet og hensynet til de særlige problemer nystartet virksomhet kan møte.
Utformingen av deltakermodellen har implikasjoner for hvordan skjermingen bør utformes. I avsnitt 1.2 redegjøres det nærmere for det prinsipielle utgangspunktet for hvorfor en avkastning som tilsvarer risikofri avkastning bør skjermes for ekstra skatt, og hvilken betydning det har å endre grunnlaget for ekstrabeskatning fra et løpende beregnet overskudd (beregnet personinntekt) til uttak. Avsnitt 1.3 gir en kort oversikt over skjermingsmodellen og drøfter forskjellene i forhold til aksjonærmodellen. Det fremgår av avsnitt 1.3 at ulikhetene mellom skjermingsmodellen og aksjonærmodellen under visse forutsetninger er av ikke-økonomisk art. I avsnitt 1.4 oppsummeres gjeldende regler for delingsmodellen, og i avsnitt 1.5 gjennomgås nøytralitetsegenskapene av deltakermodellen sammenlignet med aksjonærmodellen.
1.2 Om skjerming
Med velfungerende markeder og rasjonelle aktører, vil en vridende beskatning lede til en situasjon med en lavere samfunnsøkonomisk avkastning enn hva som ellers ville vært mulig. Skatter bør derfor utformes nøytralt slik at skattene ikke påvirker private beslutninger. Et nøytralt skattesystem med hensyn til investeringsbeslutninger vil innebære at alle prosjekter som anses bedriftsøkonomisk og samfunnsøkonomisk lønnsomme før skatt forblir hhv. bedriftsøkonomisk og samfunnsøkonomisk lønnsomme etter skatt. Tilsvarende sammenheng må gjelde for bedriftsøkonomisk og samfunnsøkonomisk ulønnsomme investeringer.
Et teoretisk velkjent skattesystem som er nøytralt med hensyn til investeringsbeslutninger, er en såkalt kontantstrømskatt. Dette innebærer at det legges en proporsjonal og fast skattesats på ”kontantstrømmen” av vare- og tjenestestrømmer i hver periode. Kontantstrømmen defineres som salgsinntekter fra produksjon fratrukket lønninger og andre løpende driftskostnader samt umiddelbar utgiftsføring av all ny realkapital, og inntektsføring ved salg av eventuell eksisterende realkapital. Finansielle transaksjoner, inklusive netto rentestrømmer kan også under bestemte forutsetninger inkluderes i skattegrunnlaget i en nøytral kontantstrømskatt (jf. for eksempel NOU 1989: 14 Bedrifts- og kapitalbeskatningen – en skisse til reform, vedlegg nr. 1).
Kontantstrømskatten innebærer at i perioder med negativ kontantstrøm (typisk i år med større investeringer), betaler myndighetene skattyter et beløp tilsvarende skattesatsen multiplisert med (det negative) kontantstrømsbeløpet (negativ skatt). En fordel ved et slikt skattegrunnlag sammenlignet med en ordinær overskuddsskatt, er at alle ledd i skattegrunnlaget i prinsippet er realiserte markedstransaksjoner og at skattegrunnlaget uten videre er nøytralt i forhold til valg av finansieringsform. En ren kontantstrømskatt er imidlertid lite praktisk siden den kan medføre svært store svingninger i skattegrunnlagene.
En intuitiv begrunnelse for at en kontantstrømskatt er investeringsnøytral, er at myndighetene kan anses å delta som en passiv forretningspartner i de kommersielle investeringsprosjektene som vurderes gjennomført. For en kontantstrømsskatt med umiddelbar utgiftsføring av investeringskostnader, består statens rolle i å delta med en gitt andel av utgiftstrømmene og motta en tilsvarende andel av inntektsstrømmene. Staten deler altså både positive og negative kontantstrømmer med en gitt fast andel lik skattesatsen. Dette innebærer at dersom et investeringsprosjekt er lønnsomt før skatt, så vil også den andel av prosjektet som tilfaller investor være lønnsomt etter skatt. Det marginale investeringsprosjekt med nåverdi lik null vil verken gi nettoinntekt i nåverdi til investor eller skatteinntekter i nåverdi til staten.
En kontantstrømskatt med umiddelbar utgiftsføring av nye investeringer kan i prinsippet ses på som et spesialtilfelle av en mer generell skattestruktur som bevarer nøytralitetsegenskapene i forhold til investeringsbeslutninger. Generelt vil den løpende skattleggingen være nøytral dersom nåverdien av de periodiserte fradragsberettigede investeringskostnadene over investeringens levetid blir ekvivalent med at utgiftsføringen finner sted umiddelbart. Det periodiserte overskuddsbegrep som skal beskattes kan i det generelle tilfellet ha vilkårlige skattemessige avskrivninger . Sammenlignet med umiddelbar utgiftsføring må det imidlertid hvert år i tillegg til de skattemessige avskrivningene gis fradrag i skattegrunnlaget for en finansiell alternativkostnad i form av risikofri rente (skjermingsfradrag) av den skattemessig nedskrevne verdien av kapitalutstyret (som motpost til manglende total utgiftsføring). Dersom kapitalobjektet realiseres før det er utrangert, må dessuten forskjellen mellom realisasjonsverdi og skattemessig nedskrevet verdi beskattes som tillegg til bedriftens inntekter for øvrig, evt. komme til fradrag dersom realisasjonsverdien er lavere enn skattemessig nedskrevet verdi.
Alternativt kan en tenke seg at det ikke blir gitt fradrag for skattemessige avskrivninger for en investeringsutgift overhodet, men at kapitalen likevel beholdes til den er verdiløs. Motposten til de manglende skattemessige avskrivningene er at skattyter i sitt skattegrunnlag får kompensert dette ved hvert år å kunne trekke fra alternativkostnaden på hele det uavskrevede anskaffelsesbeløpet . En kan i dette tilfellet si at skattyter gir myndighetene et ”lån” (i form av utsatt utgiftsføring) som hvert år innbringer risikofri rente på hele ”lånebeløpet” som tilsvarer investeringsutgiften, og at dette er ekvivalent med at staten ”utbetaler” sin andel av beløpet med en gang i form av direkte utgiftsføring. Ved slutten av levetiden må så lånet komme til utbetaling i sin helhet i form av fradrag i bedriftens inntektsgrunnlag, evt. i form av en utbetaling fra statens side lik skattesats multiplisert med ”lånebeløpet”.
Den relevante kompensasjon fra myndighetene ved utsatt utgiftsføring er risikofri rente multiplisert med investeringsutgiften. Dette må ses i sammenheng med at skattyters krav på staten i form av fremtidig adgang til avskrivning, kan anses som risikomessig likverdig med ordinære lån der staten er debitor. Så lenge skattyter kan anse de samlede avskrivninger av investeringene som helt sikre, vil slike utsatte krav til utgiftsføring kunne ses på som statslån og prises til risikofri rente.
Ekstrabeskatningen i skjermingsmodellen er basert på en slik generell nøytral skattestruktur som beskrevet ovenfor. Grunnlaget for ekstrabeskatning er det løpende overskuddet etter avskrivninger, redusert med et skjermingsfradrag som tilsvarer risikofri rente multiplisert med den skattemessige (nedskrevne) verdien av kapitalen i virksomheten. Av dette følger at avskrivningssatsene ikke har noen betydning for den løpende ekstrabeskatningen i skjermingsmodellen, jf. tabell 1.1 og 1.2. 1 Ved innføring av deltakermodellen, hvor denne ekstrabeskatningen skjer ved uttak fra virksomheten, må skjermingen gis på grunnlag av investeringsutgiften i sin helhet (altså ikke redusert med skattemessige avskrivninger) for å være nøytral. Dette skyldes at det ikke gis fradrag for avskrivningene i grunnlaget for ekstrabeskatning.
1.3 Skjermingsmodellen
I St. meld. nr. 29 (2003-2004) Om skattereform foreslås det at skjermingsmodellen, skal gjelde alle personlig næringsdrivende og erstatte dagens delingsmodell. Til forskjell fra delingsmodellen, som er en sjablonmodell for å dele inntekten fra virksomheten i en kapitalavkastningsdel og en arbeidsavkastningsdel, har skjermingsmodellen til hensikt å skjerme den risikofrie alternativavkastningen på eiernes investerte kapital mot å bli beskattet som personinntekt. Avkastning utover skjermingsfradraget skattlegges som personinntekt, uavhengig av om meravkastningen skyldes kapitalavkastning eller (ulønnet) arbeidsavkastning. Det er dermed ikke grunnlag for å skille mellom eiere som deltar aktivt i selskapets drift, og eiere som er passive. Tilsvarende er det ikke grunnlag for å skille mellom liberale og ikke-liberale yrker, eller innrømme et lønnsfradrag som i delingsmodellen. 2
Av praktiske grunner fastsettes skjermingsgrunnlaget med utgangspunkt i den skattemessige verdien av eiendelene i selskapet, på tilsvarende måte som kapitalavkastningsgrunnlaget i delingsmodellen. Dette impliserer at skjermingsfradraget baseres på totalkapitalen i selskapet. Det er et spørsmål om virksomhetens finansposter som bankinnskudd, aksjer mv. bør skjermes med skjermingsrenten, eller med den regnskapsmessige avkastningen. Fordi skillet mellom person og virksomhet i en del tilfeller kan være uklart, ble det lagt til grunn i skattemeldingen at finansposter i virksomheten bør skjermes med den faktiske avkastningen. Det følger av dette at skjermingsgrunnlaget må korrigeres for finansposter som bankinnskudd og andre verdipapirer, samtidig som de korresponderende kapitalinntektene legges til skjermingsfradraget. Disse korreksjonene er i praksis de samme som gjøres ved beregning av personinntekt i gjeldende delingsmodell. I skattemeldingen fremgår beregningen av skjermingsfradraget som følger:
Totalkapital (alle poster på aktivasiden i balansen)
- Finansposter (bankinnskudd, aksjer m.m.)
- Andre eiendeler av privat karakter
= Skjermingsgrunnlag
Skjermingsgrunnlag x skjermingsrente
- Gjeldsrenter
+ Finansinntekter (renter, utbytte m.m.)
= Skjermingsfradrag
Dersom et foretak med aksjeinntekter har et aksjeselskap som deltaker, vil inntekten til aksjeselskapet måtte korrigeres slik at en unngår kjedebeskatning.
I virksomheter som omfattes av skjermingsmodellen, vil foretakets eiendeler økes ved tilbakeholdt overskudd, slik at skjermingsgrunnlaget øker. For en aksjonær øker skjermingsgrunnlaget med eventuelt ubenyttet skjermingsfradrag (differansen mellom skjermingsfradrag og utbytte), og ikke med hele det tilbakeholdte overskuddet. Løpende beskatning av personinntekten i skjermingsmodellen innebærer imidlertid at skjermingsgrunnlaget kun øker med verdien etter skatt av det tilbakeholdte overskuddet. Løpende beskatning forhindrer dermed ulik oppbygging av skjermingsbeløp i de to modellene og er ekvivalent med at det tas ut utbytte i aksjonærmodellen, som skattlegges og skytes inn igjen som ny aksjekapital.
Dersom lånerenten er større enn skjermingsrenten og gjeldsgraden er tilstrekkelig høy, kan skjermingsfradraget slik det fremkommer i forslaget til skjermingsmodell bli negativt. Dette vil fremstå som et skjermings tillegg i stedet for et skjermingsfradrag, og er en konsekvens av at gjelden ”skjermes” med skjermingsrenten og ikke med faktiske gjeldsrenter, jf. kapittel 14. Dette vil også øke kapitalavkastningskravet til investeringer finansiert med gjeld. Det vil derfor også ut fra et nøytralitetsperspektiv være riktig å ”skjerme” gjelden med faktiske gjeldskostnader. Skjermingsbeløpet vil da ikke kunne bli negativt. Et problem er imidlertid at skjerming med faktiske gjeldsrenter vil gi incentiver til å øke gjeldsandelen i virksomheten. Den næringsdrivende vil så langt det er mulig finansiere investeringene i virksomheten med gjeld, og andre private investeringer som ikke er tilknyttet næringsvirksomheten med egenkapital.
Skattemeldingen gjennomgår behovet for endringer i verdsettelsen av de ulike eiendelene som danner grunnlaget for skjermingen. Det vises til skattemeldingen avsnitt 9.7 for en nærmere gjennomgang.
Nøytralitet i forhold til aksjonærmodellen
Skjermingsmodellen skiller seg fra aksjonærmodellen hovedsakelig ved at beskatningen skjer løpende og at skjermingsgrunnlaget er basert på skattemessige verdier av eiendelene i virksomheten. Dessuten kan ikke ubenyttet skjerming benyttes til å skjerme realisert gevinst på eierandeler i deltakerlignede selskaper. Gevinstskattereglene for deltakerlignede selskaper er imidlertid utformet slik at skattepliktig gevinst blir korrigert for den verdistigningen som skyldes tilbakeholdt skattlagt kapital i virksomheten. Det er derfor ikke behov for skjermingsfradrag til å skjerme verdistigning som følge av tilbakeholdt overskudd i virksomheten. Isolert sett bidrar likevel dette til å gjøre skjermingsmodellen mindre gunstig enn aksjonærmodellen, fordi gevinster som skyldes andre ting enn tilbakeholdt overskudd ikke kan skjermes.
1.4 Delingsmodellen
Gjeldende delingsmodell er en kildemodell som gjelder aktive eiere både i aksjeselskaper og i personlig næringsvirksomhet. Aarbakkegruppen (NOU 1989:14 Bedrifts- og kapitalbeskatningen – en skisse til reform ) mente at hensynet til sparing og kapitalallokering tilsier at en bør ha en kildemodell, siden en uttaksmodell kan ha innelåsingseffekter som følge av at midler som spares i en bedrift, skattlegges lavere enn andre måter å spare på.
Prinsippet i delingsmodellen er altså at næringsinntekten deles etter antatt kilde til inntekten. Dette er et annet prinsipp enn det som ligger til grunn for skjermingsmodellen og aksjonærmodellen, hvor avkastningen over skjermingsbeløpet skal ekstrabeskattes uavhengig av om det skyldes arbeidsinnsats eller andre forhold som gir en høyere kapitalavkastning.
Utgangspunktet for beregning av personinntekt etter delingsmodellen er foretakets alminnelige inntekt. For å beregne arbeidsinntektsdelen av inntekten foretas det flere korrigeringer. For det første trekkes en del faktiske kapitalinntekter og -gevinster fra og faktiske kapitalutgifter og -tap legges til. Videre trekkes et sjablonmessig fastsatt kapitalavkastningsfradrag fra. Kapitalavkastningsfradraget beregnes på grunnlag av verdien av et kapitalavkastningsgrunnlag som bl.a. består av foretakets driftsmidler. Grunnlaget multipliseres med en kapitalavkastningssats. Videre trekkes det fra et såkalt lønnsfradrag som utgjør 20 pst. av samlet lønn, arbeidsgiveravgift og andre trygdeavgifter for de ansatte inkludert eiers egen lønn. Personinntekten fordeles på de aktive eierne etter deres krav på utbytte eller overskudd i selskapet.
Lønnsfradraget bryter med en "ren" kildemodell, der hele den samlede avkastningen deles på hhv. arbeid og kapital. Departementets opprinnelige forslag til delingsmodell inneholdt ikke et slikt lønnsfradrag. Det ble vedtatt innført i forbindelse med stortingsbehandlingen, og ble begrunnet med at en ville gi den aktive eieren et fradrag for en antatt ekstra kapitalavkastning som følge av at ansatte jobber sammen (organisasjonskapital). I slike tilfeller antas det at verdien av de ansattes innsats innenfor virksomheten er høyere enn den ville vært om de ansatte jobbet hver for seg utenfor virksomheten.
Kapitalavkastningsgrunnlaget består av varige og betydelige driftsmidler, ervervet goodwill og andre ervervede immaterielle eiendeler, varer og kundefordringer. Grunnlaget reduseres med leverandørkreditter og kundeforskudd hvis disse er rentefrie eller dersom renten ligger vesentlig under markedsrenten. Kapitalavkastningsgrunnlaget verdsettes til middelverdien av inngående og utgående verdi.
Dette grunnlaget multipliseres med en kapitalavkastningsrate. Utgangspunktet for kapitalavkastningsraten er en risikofri rente med relativt lang løpetid, f.eks. renten på statsobligasjoner med fem års gjenstående løpetid. I tillegg kommer et risikotillegg som etter gjeldende regler er 4 prosentpoeng. Dette tillegget er begrunnet med at det kreves høyere forventet avkastning i næringsvirksomhet som gir usikker avkastning enn ved sikker plassering i form av bankinnskudd/obligasjoner. Denne begrunnelsen må ses i sammenheng med at kapitalavkastningsraten er en sjablonmessig tilnærming til avkastningen på egenkapitalen i selskapet og ikke et uttrykk for den finansielle alternativkostnaden som kan knyttes til den uavskrevede realkapitalen. Kapitalavkastningsraten er 7 pst. for inntektsåret 2005. Den fastsatte kapitalavkastningsraten er en maksimalsats, og en kan fritt velge en lavere rate (ned til 0 pst). Med en fleksibel rate nedover, er det mulig å opparbeide seg trygderettigheter mot å betale noe mer skatt.
I enkelte tilfeller kan den beregnede personinntekten bli så høy at det kan være rimelig å anta at deler av denne springer ut av andre kilder enn den næringsdrivendes arbeidsinnsats. Det vil blant annet kunne gjelde sterkt konjunkturrelaterte virksomheter og virksomheter med innslag av monopolprofitt/markedsmakt. Det er derfor fastsatt et tak på samlet personinntekt fra delingsforetak. Inntekt over taket skattlegges som alminnelig inntekt, med 28 pst. Etter gjeldende regler er det et generelt tak på 16 G. Næringsdrivende og aktive eiere skal likevel betale bruttoskatter for den delen av personinntekten som ligger mellom 75 G og 134 G. Takreglene gjelder imidlertid kun såkalte ikke-liberale foretak. For liberale yrker, dvs. kunnskapsbasert virksomhet som advokater, leger, tannleger, ulike konsulenter mv., er det begrensninger i beregnet personinntekt. Årsaken til at denne forskjellen ble innført var at delingsmodellen som sjablonregel ble antatt å være mer treffsikker i tilfeller der det vesentlige av virksomhetsinntekten skriver seg fra arbeidsinnsats (typisk for liberale yrker), enn i mer kapitalintensive bedrifter.
1.5 Deltakermodellen
1.5.1 Innledning
Deltakermodellen skal gjelde for deltakere i registrerte deltakerlignede selskaper. Modellen bygger på det samme prinsippet som skjermingsmodellen og aksjonærmodellen, hvor avkastning som tilsvarer risikofri avkastning av kapitalen skjermes for ekstrabeskatning. Avkastning utover dette ekstrabeskattes uavhengig av om avkastningen skyldes arbeidsinnsats eller andre forhold som gir ekstraordinært høy avkastning av kapitalen. Overgangen fra løpende ekstrabeskatning til beskatning ved utdeling krever en endring i skjermingsgrunnlaget for at ekstrabeskatningen fortsatt skal være nøytral. Dersom det benyttes skattemessige verdier som grunnlag for skjerming, må det samtidig gis fradrag for avskrivninger i grunnlaget for ekstrabeskatning, jf. avsnitt 1.2.
Ved løpende beskatning er grunnlaget for ekstrabeskatning basert på det løpende skattemessige overskuddet i virksomheten (alminnelig inntekt) med fradrag for skjerming. Dette grunnlaget er redusert med skattemessige avskrivninger. Ved uttaksbeskatning er grunnlaget for ekstrabeskatning ikke redusert med skattemessige avskrivninger, og derfor skal heller ikke grunnlaget for skjerming reduseres med skattemessige avskrivninger. Derfor må skjermingsgrunnlaget i deltakermodellen være basert på innskutt kapital i virksomheten, eventuelt kostpris dersom eierandelen er ervervet. For selskaper som er etablert før 01. januar 2006 skal skjermingsgrunnlaget tilsvare deltakerens andel av skattemessige verdier i selskapet på ikrafttredelsestidspunktet, justert for eventuell over- eller underpris.
1.5.2 Nøytralitet mellom deltakermodellen og andre modeller
Tabellene 1.1 – 1.4 viser nåverdien av skattegrunnlagene i skjermingsmodellen, aksjonærmodellen/deltakermodellen og for en nøytral kontantstrømskatt. Eksemplene viser at nåverdien av skattegrunnlagene i alle modellene blir like selv om forutsetninger om avkastning, realisasjonsverdi mv. endres. Tabell 1.1 og 1.2 viser også at nåverdien av ekstrabeskatningen er upåvirket av hvilken avskrivningssats som velges. I eksemplene er det forutsatt en opprinnelig investering på 100, som blir avhendet etter 8 år. Skjermingsrenten er i eksemplet satt til 5 pst., med en tilsvarende diskonteringsrate. Det er sett bort ifra begrensninger i modellene som er innført av praktiske hensyn eller av hensyn til omgåelsesmuligheter, som tap av ubenyttet skjerming ved realisasjon mv.
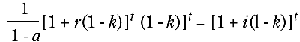
Av beregningstekniske årsaker er det forutsatt alt tilgjengelig utbytte tas ut hvert år. Denne forutsetningen begrunnes med at en utbytteskatt generelt ikke gir innelåsningseffekter, jf. følgende:
Verdien av 1 krone etter utbytteskatt a som tas ut av selskapet i dag, kan plasseres til en alternativ avkastning i . Verdien av dette beløpet i år t er:
(1.1)

der k er skattesatsen på kapitalinntekter. Dersom aksjonæren i stedet lar beløpet stå i selskapet til avkastning r vil verdien etter t perioder være:
(1.2)

Det vil lønne seg å investere i selskapet inntil avkastningen på marginen tilsvarer den alternative avkastningen som kan oppnås utenfor selskapet. En marginal investering vil derfor med perfekt fungerende markeder gi avkastning r = i. Det fremgår da uten videre at (1.2) er uavhengig av a og at uttrykkene (1.1) og (1.2) skattemessig sett er like, såfremt skattesatsen for kapitalinntekter k er den samme i og utenfor selskapet.
Forskjellen mellom eksemplene i tabell 1.1 og tabell 1.2 er at avskrivningssatsen i 1.1 er 10 pst. og 20 pst. i 1.2. Avskrivningene får kun betydning for den årlige kontantstrømmen i skjermingsmodellen, og det fremgår av tabellene at nåverdien av kontantstrømmen ikke endres. Eksemplet i 1.3 viser et tilfelle hvor overskuddet er 20 pr. år i stedet for 15, og avhendingsverdien er 80 i stedet for 100. Eksemplet viser at nøytraliteten mellom modellen er uavhengig av disse faktorene. Eksemplet i 1.4 viser underskuddstilfellet, med et årlig underskudd på 5. Også i tilfellet med underskudd er de ulike modellen ekvivalente i nåverdiforstand.
1.5.3 Kredittrasjonerte aktører og tilpasning over tid
Som vist ovenfor er deltakermodellen under visse forutsetninger økonomisk ekvivalent med skjermingsmodellen og aksjonærmodellen og med en nøytral kontantstrømsskatt. Med perfekte kapitalmarkeder er det ikke noen økonomiske grunner til å gå fra en løpende ekstrabeskatning som skjermingsmodellen til en utdelingsløsning, gitt at alle kontantstrømmer over virksomhetens levetid kommer til beskatning og skattesystemet holdes uendret. Denne nøytraliteten forutsetter imidlertid at aktørene fritt kan fremskaffe kapital til markedsmessige betingelser. Dette er imidlertid en noe streng forutsetning. Særlig i nystartede virksomheter vil det ofte være et stort kapitalbehov, samtidig som tilgangen på fremmedkapital kan være vanskelig. 3
Dersom skattyter har begrensede lånemuligheter vil løpende beskatning innebære en forskjell i forhold til beskatning ved utdeling. En utsetting av skatten som i deltakermodellen redusere deltakerlignede selskapers behov for kapital fra private långivere. Dette innebærer at potensielt kreditrasjonerte deltakerlignede selskaper vil bli likebehandlet i forhold til aksjeselskaper på dette punktet.
I prinsippet er det vanskelig å tenke seg at ikke all opptjening i virksomheten før eller siden tas ut til privat forbruk. I økonomisk teori er formålet med å investere å avsette konsummuligheter til senere perioder. Til grunn for dette ligger en antagelse om at individene tilpasser sitt konsum over tid for å maksimere sin nytte. Utålmodige individer (individer med høy diskonteringsrente) vil oftere enn andre finne at det ikke svarer seg å utsette konsum til senere perioder, og således investere mindre i forhold til personer med større tålmodighet (individer med lavere diskonteringsrente). Avgjørende for denne avveielsen er om avkastningen av å investere overstiger diskonteringsrenten, som er en parameter som uttrykker et individs utålmodighet. I praksis er det imidlertid slik at mange investorer har formuer som langt overstiger hva som behøves eller er mulig å forbruke i overskuelig fremtid. For disse individene vil diskonteringsrenten være svært lav, og investeringene mer bære preg av formuesoppbygging for formuesoppbyggingens skyld enn av sparing til økt forbruk i senere perioder. For disse vil det være en ubetinget fordel med en skattemodell som hvor skatten faller på utdelingstidspunktet som i deltakermodellen, i forhold til løpende beskatning som i skjermingsmodellen. Dette innebærer at disse trolig ville foretrukket å omdanne sitt foretak til et aksjeselskap med beskatning etter aksjonærmodellen, dersom alternativet var løpende ekstrabeskatning etter skjermingsmodellen. Dette innebærer at skjermingsmodellen i praksis ikke vil virke nøytralt på valget av organisasjonsform.
I tillegg vil det å kunne velge tidspunkt for beskatning ha en betydning dersom skatteytere forventer lempende endringer i skattesystemet. De fleste endringer i skattesystemet har ikke tilbakevirkende kraft og skattytere har således en fordel av å kunne akkumulere kapital i selskapssektoren inntil det foretas endringer i systemet som gjør det mer privatøkonomisk gunstig å ta ut penger. I dagens situasjon med økende grad av skattekonkurranse vil en modell basert på uttak normalt oppfattes som mer gunstig/næringsvennlig enn en modell med løpende ekstrabeskatning.
Et ytterligere forhold av potensiell betydning er at oppbygging av ubeskattet kapital i selskapssektoren i seg selv kan bidra til lempende endringer i skattesystemet på et fremtidig tidspunkt. Betrakter en tidligere skattereformer er det erfaringer for at det kan være politisk vanskelig å beskatte kapital som er akkumulert i selskapssektoren, spesielt dersom dette dreier seg om store beløp. Også dette forholdet vil trekke i retning av at uttaksbeskatning vil foretrekkes av de fleste skattytere fremfor løpende ekstrabeskatning.
Tabell 1.1 Nåverdi av skattegrunnlag ved ulike beskatningsmodeller. Avskrivninger 10 pst .og overskudd 15 pst.
| Skjermingsmodellen | ||||
|---|---|---|---|---|
| År | Avskr. | Skjerming | Skatte-grunnlag | Gevinst |
| 0 | 0 | 0 | 0 | |
| 1 | 10,0 | 5,0 | 0,0 | 0,0 |
| 2 | 9,0 | 4,5 | 1,5 | 0,0 |
| 3 | 8,1 | 4,1 | 2,9 | 0,0 |
| 4 | 7,3 | 3,6 | 4,1 | 0,0 |
| 5 | 6,6 | 3,3 | 5,2 | 0,0 |
| 6 | 5,9 | 3,0 | 6,1 | 0,0 |
| 7 | 5,3 | 2,7 | 7,0 | 0,0 |
| 8 | 4,8 | 2,4 | 7,8 | 57,0 |
| Aksjonærmodellen/Deltakermodellen | ||||
|---|---|---|---|---|
| År | Avskr | Skjerming | Skatte-grunnlag | Gevinst |
| 0 | 0 | 0 | 0 | |
| 1 | 0,0 | 5,0 | 10,0 | 0,0 |
| 2 | 0,0 | 5,0 | 10,0 | 0,0 |
| 3 | 0,0 | 5,0 | 10,0 | 0,0 |
| 4 | 0,0 | 5,0 | 10,0 | 0,0 |
| 5 | 0,0 | 5,0 | 10,0 | 0,0 |
| 6 | 0,0 | 5,0 | 10,0 | 0,0 |
| 7 | 0,0 | 5,0 | 10,0 | 0,0 |
| 8 | 0,0 | 5,0 | 10,0 | 0,0 |
| Kontantstrømsskatt | ||||
| År | Avskr. | Skjerming | Skatte- grunnlag | |
| 0 | 0 | -100 | ||
| 1 | 0 | 0 | 15 | |
| 2 | 0 | 0 | 15 | |
| 3 | 0 | 0 | 15 | |
| 4 | 0 | 0 | 15 | |
| 5 | 0 | 0 | 15 | |
| 6 | 0 | 0 | 15 | |
| 7 | 0 | 0 | 15 | |
| 8 | 0 | 0 | 115 | |
| Nåverdi av skattegrunnlag i år 1 | |||
|---|---|---|---|
| Skjermingsmodellen: | 67,86 | ||
| Kontantstrømsskatt | 67,86 | ||
| Aksjonærmodellen/ Deltakermodellen: | 67,86 | ||
Tabell 1.2 Nåverdi av skattegrunnlag ved ulike beskatningsmodeller. Avskrivninger 20 pst., avkastning 15 pst.
| Skjermingsmodellen | ||||
|---|---|---|---|---|
| År | Avskr. | Skjerming | Skatte-grunnlag | Gevinst |
| 0 | 0 | 0 | 0 | |
| 1 | 20,0 | 5,0 | -10,0 | 0,0 |
| 2 | 16,0 | 4,0 | -5,0 | 0,0 |
| 3 | 12,8 | 3,2 | -1,0 | 0,0 |
| 4 | 10,2 | 2,6 | 2,2 | 0,0 |
| 5 | 8,2 | 2,0 | 4,8 | 0,0 |
| 6 | 6,6 | 1,6 | 6,8 | 0,0 |
| 7 | 5,2 | 1,3 | 8,4 | 0,0 |
| 8 | 4,2 | 1,0 | 9,8 | 83,2 |
| Aksjonærmodellen/Deltakermodellen | ||||
|---|---|---|---|---|
| År | Avskr | Skjerming | Skatte-grunnlag | Gevinst |
| 0 | 0 | 0 | 0 | |
| 1 | 0,0 | 5,0 | 10,0 | 0,0 |
| 2 | 0,0 | 5,0 | 10,0 | 0,0 |
| 3 | 0,0 | 5,0 | 10,0 | 0,0 |
| 4 | 0,0 | 5,0 | 10,0 | 0,0 |
| 5 | 0,0 | 5,0 | 10,0 | 0,0 |
| 6 | 0,0 | 5,0 | 10,0 | 0,0 |
| 7 | 0,0 | 5,0 | 10,0 | 0,0 |
| 8 | 0,0 | 5,0 | 10,0 | 0,0 |
| Kontantstrømsskatt | ||||
|---|---|---|---|---|
| År | Avskr. | Skjerming | Skatte- grunnlag | |
| 0 | 0 | -100 | ||
| 1 | 0 | 0 | 15 | |
| 2 | 0 | 0 | 15 | |
| 3 | 0 | 0 | 15 | |
| 4 | 0 | 0 | 15 | |
| 5 | 0 | 0 | 15 | |
| 6 | 0 | 0 | 15 | |
| 7 | 0 | 0 | 15 | |
| 8 | 0 | 0 | 115 | |
| Nåverdi av skattegrunnlag i år 1 | |||
|---|---|---|---|
| Skjermingsmodellen: | 67,86 | ||
| Kontantstrømsskatt | 67,86 | ||
| Aksjonærmodellen/ Deltakermodellen: | 57,86 | ||
Tabell 1.3 Nåverdi av skattegrunnlag ved ulike beskatningsmodeller. Avskrivninger 10 pst., av-kastning 20 pst. og 20 pst. lavere realisasjonsverdi
| Skjermingsmodellen | ||||
|---|---|---|---|---|
| År | Avskr. | Skjerming | Skatte-grunnlag | Gevinst |
| 0 | 0 | 0 | 0 | |
| 1 | 10,0 | 5,0 | 5,0 | 0,0 |
| 2 | 9,0 | 4,5 | 6,5 | 0,0 |
| 3 | 8,1 | 4,1 | 7,9 | 0,0 |
| 4 | 7,3 | 3,6 | 9,1 | 0,0 |
| 5 | 6,6 | 3,3 | 10,2 | 0,0 |
| 6 | 5,9 | 3,0 | 11,1 | 0,0 |
| 7 | 5,3 | 2,7 | 12,0 | 0,0 |
| 8 | 4,8 | 2,4 | 12,8 | 37,0 |
| Aksjonærmodellen/Deltakermodellen | ||||
| År | Avskr | Skjerming | Skatte-grunnlag | Gevinst |
| 0 | 0 | 0 | 0 | |
| 1 | 0,0 | 5,0 | 15,0 | 0,0 |
| 2 | 0,0 | 5,0 | 15,0 | 0,0 |
| 3 | 0,0 | 5,0 | 15,0 | 0,0 |
| 4 | 0,0 | 5,0 | 15,0 | 0,0 |
| 5 | 0,0 | 5,0 | 15,0 | 0,0 |
| 6 | 0,0 | 5,0 | 15,0 | 0,0 |
| 7 | 0,0 | 5,0 | 15,0 | 0,0 |
| 8 | 0,0 | 5,0 | 15,0 | -20,0 |
| Kontantstrømsskatt | |||
|---|---|---|---|
| År | Avskr. | Skjerming | Skatte- grunnlag |
| 0 | 0 | -100 | |
| 1 | 0 | 0 | 20 |
| 2 | 0 | 0 | 20 |
| 3 | 0 | 0 | 20 |
| 4 | 0 | 0 | 20 |
| 5 | 0 | 0 | 20 |
| 6 | 0 | 0 | 20 |
| 7 | 0 | 0 | 20 |
| 8 | 0 | 0 | 100 |
| Nåverdi av skattegrunnlag i år 1 | |||
|---|---|---|---|
| Skjermingsmodellen: | 87,58 | ||
| Kontantstrømsskatt | 87,58 | ||
| Aksjonærmodellen/ Deltakermodellen: | 87,58 | ||
Tabell 1.4 Nåverdi av skattegrunnlag ved ulike beskatningsmodeller. Avskrivninger 10 pst. og negativ avkastning på -5 pst
| Skjermingsmodellen | ||||
|---|---|---|---|---|
| År | Avskr. | Skjerming | Skatte-grunnlag | Gevinst |
| 0 | 0 | 0 | 0 | |
| 1 | 10,0 | 5,0 | -20,0 | 0,0 |
| 2 | 9,0 | 4,5 | -18,5 | 0,0 |
| 3 | 8,1 | 4,1 | -17,2 | 0,0 |
| 4 | 7,3 | 3,6 | -15,9 | 0,0 |
| 5 | 6,6 | 3,3 | -14,8 | 0,0 |
| 6 | 5,9 | 3,0 | -13,9 | 0,0 |
| 7 | 5,3 | 2,7 | -13,0 | 0, |
| 8 | 4,8 | 2,4 | -12,2 | 57,0 |
| Aksjonærmodellen/ Deltakermodellen | ||||
|---|---|---|---|---|
| År | Avskr | Skjerming | Skatte-grunnlag | Gevinst |
| 0 | 0 | 0 | 0 | |
| 1 | 0,0 | 5,0 | -10,0 | 0,0 |
| 2 | 0,0 | 5,0 | -10,0 | 0,0 |
| 3 | 0,0 | 5,0 | -10,0 | 0,0 |
| 4 | 0,0 | 5,0 | -10,0 | 0,0 |
| 5 | 0,0 | 5,0 | -10,0 | 0,0 |
| 6 | 0,0 | 5,0 | -10,0 | 0,0 |
| 7 | 0,0 | 5,0 | -10,0 | 0,0 |
| 8 | 0,0 | 5,0 | -10,0 | 0,0 |
| Kontantstrømsskatt | |||
|---|---|---|---|
| År | Avskr. | Skjerming | Skatte- grunnlag |
| 0 | 0 | -100 | |
| 1 | 0 | 0 | -5 |
| 2 | 0 | 0 | -5 |
| 3 | 0 | 0 | -5 |
| 4 | 0 | 0 | -5 |
| 5 | 0 | 0 | -5 |
| 6 | 0 | 0 | -5 |
| 7 | 0 | 0 | -5 |
| 8 | 0 | 0 | 95 |
| Nåverdi av skattegrunnlag i år 1 | |||
|---|---|---|---|
| Skjermingsmodellen: | -67,86 | ||
| Kontantstrømsskatt | -67,86 | ||
| Aksjonærmodellen/ Deltakermodellen: | -67,86 | ||
Fotnoter
Feilaktige avskrivningssatser har likevel betydning for den ordinære overskuddsbeskatningen.
I aksjonærmodellen er aksjens kostpris utgangspunktet for skjermingen. Ubenyttede skjermingsbeløp blir lagt til kostprisen ved beregning av senere års skjermingsfradrag. I skjermingsmodellen er det kapitalen i deltakerlignede selskaper og enkeltpersonforetak som danner grunnlag for skjermingen. Det er i prinsippet det samme om en legger egenkapitalen eller totalkapitalen til grunn for skjermingen. Dersom totalkapitalen danner grunnlag for skjermingen, må imidlertid skjermingsfradraget reduseres med faktiske gjeldsrenter, slik at det ikke gis fradrag for disse to ganger.
Dette kan skyldes vanskeligheter med å stille sikkerhet kombinert med asymmetrisk informasjon mellom låntakere og potensielle långivere. Informasjonsproblemet kan innebære at prosjekter med en høy forventet samfunnsøkonomisk avkastning ikke får finansiering, fordi långiver ikke er i stand til å skille mellom gode og dårlige prosjekter.