Del 2
Deltakerlignede selskaper
4 Oversikt over utvalgets forslag til skattemodell for deltakerlignede selskaper - deltakermodellen
4.1 Innledning
I dette kapittelet gis en samlet fremstilling av hovedelementene i utvalgets forslag til skattemodell for deltakerlignede selskaper. Oversikten inneholder også henvisninger til hvor i innstillingen problemstillingene er nærmere behandlet. I tilknytning til denne oversikten er det laget et talleksempel som illustrerer noen utslag av modellen, jf. avsnitt 4.10.
Utvalget har lagt vekt på å utforme en skattemodell for deltakerlignede selskaper som kan fungere godt i praksis, og som innebærer at skattleggingen av forskjellige selskapstyper følger de samme hovedprinsippene. Selv om det fremgår av utvalgets mandat at det skal fokuseres på om ekstrabeskatningen skal knyttes til uttak, har utvalget valgt å gjennomgå også øvrige elementer i en utdelingsbasert modell for deltakerlignede selskaper. Etter utvalgets vurdering gir ekstrabeskatning ved utdeling en rekke føringer for den øvrige beskatningen. Det er derfor hensiktsmessig å se spørsmålet om beskatning ved utdeling i en større sammenheng, og også vurdere hvilke rammebetingelser som bør være oppfylt for at en slik modell skal kunne fungere godt i praksis. Utvalget viser i denne forbindelse til mandatet som også gir grunnlag for å vurdere hvilke endringer i regelverket for øvrig som bør gjennomføres for at en utdelingsmodell skal kunne fungere godt i praksis.
Utvalget viser for øvrig til at forslaget til skattemodell for deltakerlignede selskaper bygger på samme hovedprinsipp om skjerming av kapitalen i virksomheten, som forslaget til skjermingsmodell i skattemeldingen. Den tekniske beregningen av skjermingsgrunnlaget og inntektsgrunnlaget for ekstrabeskatning i utvalgets forslag er imidlertid forskjellig fra forslaget i skattemeldingen. Etter utvalgets vurdering er dette nødvendig for at beskatning ved utdeling skal kunne gjennomføres i praksis, og at beskatningsmodellen for deltakerlignede selskaper skal fungere godt sammen med aksjonærmodellen. På dette punktet har utvalget derfor funnet det forsvarlig å gå noe lenger enn det en streng fortolkning av mandatet kan tilsi.
Utvalget foreslår at denne skattemodellen for deltakerlignede selskaper skal være obligatorisk, jf. nærmere drøftelse i avsnitt 4.11.
Utvalget har valgt ”deltakermodellen” som betegnelse på skattemodellen for deltakerlignede selskaper. Deltakermodellen betegner modellen ut i fra hvem modellen gjelder for. Modellen for skattlegging av enkeltpersonforetak som er presentert i kapittel 15, bør etter utvalgets vurdering kalles ”foretaksmodellen”. Etter utvalgets vurdering er det hensiktsmessig at de tre hovedmodellene for beskatning av næringsvirksomhet omtales med dekkende koblingsord (”aksjonærmodellen”, ”deltakermodellen” og ”foretaksmodellen”). Selv om hovedprinsippene i foretaksmodellen ligger nær opp til forslaget til skjermingsmodell i skattemeldingen, finner utvalget at ”skjermingsmodellen” er en lite egnet betegnelse for denne modellen. Det skyldes blant annet at både deltakermodellen og aksjonærmodellen bygger på et tilsvarende hovedprinsipp om skjerming. Det vises til nærmere omtale av foretaksmodellen i kapittel 15.
4.2 Hvilke selskaper omfattes av deltakermodellen?
Utvalget foreslår at anvendelsesområdet for deltakermodellen skal tilsvare anvendelsesområdet for nettoligning i dag, dvs. at reglene skal gjelde for ansvarlig selskap, kommandittselskap, indre selskap og partrederi.
I tilknytning til drøftelsen av deltakermodellens anvendelsesområde, foreslår utvalget at særreglene om nettolignede sameier oppheves.
Det vises til nærmere omtale av hvilke selskaper forslaget skal gjelde for i kapittel 7.
4.3 Ordinær overskuddsbeskatning
Utvalget foreslår at løpende ordinær overskuddsbeskatning fortsatt skal skje ved deltakerligning etter en nettometode. Om selskapene bør være egne skattesubjekter eller om det fortsatt skal være deltakerligning, er nærmere drøftet i kapittel 8.
4.4 Ekstrabeskatning av deltakerne
4.4.1 Hvilke deltakere skal ekstrabeskattes?
For å unngå kjedebeskatning ved ekstrabeskatningen, foreslår utvalget at kun personlige deltakere ekstrabeskattes etter deltakermodellen, jf. avsnitt 8.1.
Utvalget drøfter også forholdet mellom deltakermodellen og aksjonærmodellen. Hvorvidt aksjonærmodellen eller deltakermodellen skal benyttes vil avhenge av om den personlige skattyteren direkte eier andel i et aksjeselskap eller deltakerlignet selskap. Indirekte eierskap vil ikke ha noen betydning i forhold til hvilken modell som skal benyttes.
I samme kapittel drøfter utvalget også forholdet til fritaksmetoden. Utvalget drøfter den anvendelsen av fritaksmetoden som er skissert i Ot.prp. nr. 1 (2004-2005) hvor deltakerlignede selskaper inngår i en eierkjede. Utvalget konstaterer at denne skisserte løsningen er forenelig med anvendelsen av utvalgets forslag til deltakermodell. Bruk av deltakermodellen muliggjør imidlertid forenklinger i forhold til den løsningen som er skissert i proposisjonen. Utvalget foreslår en slik forenkling ved at fritaksmetoden i større grad skal få direkte anvendelse i forhold til deltakerlignede selskaper. Utvalget skisserer en løsning der fritaksmetoden også skal omfatte tilfeller der et aksjeselskap realiserer andel i et deltakerlignet selskap. Hele gevinsten på andelen i det deltakerlignede selskapet skal da unntas fra beskatning på aksjeselskapets hånd, ikke bare den delen av gevinsten som skyldes verdistigning på aksjer som det deltakerlignede selskapet eier. Tilsvarende skal gjelde for tap.
Det vises til nærmere drøftelse i avsnitt 8.1.
4.4.2 Inntektsgrunnlag ved ekstrabeskatning
Utvalget foreslår at ekstrabeskatningen gjennomføres i alminnelig inntekt. Pensjonsgivende inntekt for deltakerne fastsettes ved utdeling av godtgjørelse for arbeidsinnsats i foretaket, jf. selskapsloven § 2-26. Det vises til nærmere omtale av inntektsgrunnlaget ved ekstrabeskatningen og grunnlaget for pensjonsgivende inntekt i avsnitt 8.2
Det finnes ingen utbytte- eller utdelingsdefinisjon for deltakerlignede selskaper slik som det gjør for aksjeselskaper. Utvalget foreslår at det skal gis en like vid definisjon av utdeling fra deltakerlignet selskap som skattelovens definisjon av utbytte fra aksjeselskaper, jf. skatteloven § 10-11 annet ledd. Utvalget foreslår en utdelingsdefinisjon i deltakermodellen med følgende ordlyd (i skatteloven § 10-42 annet ledd første punktum):
”Som utdeling regnes enhver vederlagsfri overføring av verdier fra selskap til deltaker.”
I likhet med utbyttedefinisjonen for aksjeselskaper, omfatter denne definisjonen enhver vederlagsfri overføring fra selskapet til deltaker av kontanter, eiendeler eller tjenester. Ved delvis vederlagsfrie ytelser, vil den vederlagsfrie delen anses som utbytte. Også ettergivelse av deltakers gjeld til selskapet omfattes av definisjonen. Helt eller delvis vederlagsfrie brukslån (lån av gjenstander) fra selskapet til deltaker skal likeledes anses som utdeling.
Utvalget foreslår en bestemmelse svarende til skatteloven § 10-11 annet ledd siste punktum, hvoretter overføringer til aksjonærens ektefelle eller til personer som aksjonæren er i slekt eller svogerskap med i opp- eller nedstigende linje eller i sidelinjen så nær som onkel eller tante, likestilles med overføringer til deltakeren selv.
En utdelingsløsning som beskrevet foran, forutsetter at alle overføringer fra selskapet til deltakerne registreres i selskapet. Utvalget viser i denne forbindelse til at alle lovlige overføringer til deltakerne er identifiserbare etter gjeldende regler. Utvalgets forslag til modell innebærer i utgangspunktet ikke behov for utvidet regnskapsmessig registrering. Det vises til nærmere drøftelse av regnskaps- og revisjonsplikt i kapittel 6.
Det vil være summen av utdeling ved årets slutt som blir utgangspunktet for beregning av ekstra skatt hos deltakeren.
Løsningen medfører ikke behov for registrering av utdeling på nye egne konti for tilbakeholdt overskudd i selskapet. Den endelige beregningen av grunnlaget for ekstrabeskatning skal skje individuelt hos de enkelte deltakerne. Tilbakeholdt overskudd og utdeling vil fremgå av deltakernes eksisterende individuelle egenkapitalkonti i selskapet.
Utdeling fra selskapet må avgrenses mot tilbakebetaling av tidligere innbetalt kapital. Mens utdeling vil gi grunnlag for ekstrabeskatning av deltakeren og ikke endre skjermingsgrunnlaget, vil tilbakebetaling av tidligere innbetalt kapital ikke være skattepliktig for deltakeren, men redusere skjermingsgrunnlaget. Det er behov for en nærmere avgrensning av hva som skal anses som tilbakebetaling av tidligere innbetalt kapital. For selskaper uten bestemt selskapskapital, gis deltakerne valgfrihet med hensyn til om utdeling skal anses som tilbakebetaling av innbetalt kapital. For selskaper med bestemt selskapskapital, må skattefri tilbakebetaling være forankret i selskapsvedtak.
4.4.3 Skjermingsgrunnlag
I likhet med i aksjonærmodellen, skal skjermingsgrunnlaget i deltakermodellen i utgangspunktet knyttes til en deltakers individuelle investering i virksomheten. Utvalget foreslår at for deltakere som er med i selskapet fra stiftelsen, skal skjermingsgrunnlaget settes til deltakerens innskudd i selskapet. En innskuddsforpliktelse vil ikke være skjermingsgrunnlag. Innskuddet må faktisk være ytt for å være skjermingsgrunnlag.
For selskapsandeler som er ervervet i annenhåndsmarkedet, skal netto vederlag for andelen (dvs. uten overtakelse av gjeld) være skjermingsgrunnlag, sammen med eventuelle senere innskudd i selskapet. At det ikke skal korrigeres særskilt for overtatt gjeld skyldes at kjøpesummen for andelen vil gjenspeile gjelden i virksomheten.
At det ikke korrigeres særskilt for gjeldsovertakelse, reiser særlige spørsmål i de tilfellene en kjøper får betalt for å overta en selskapsandel med tilknyttet gjeldsansvar. I et slikt tilfelle vil ordinær bruk av nettometoden innebære at skjermingsgrunnlaget blir negativt, og at grunnlaget for ekstrabeskatning blir større enn overskuddsandelen (”skjermingstillegg”). I en slik situasjon foreslår utvalget at skjermingsgrunnlaget ikke skal medføre skjermingstillegg. Utvalget legger til grunn at vederlaget skal behandles som negativ inngangsverdi ved senere realisasjon av andelen, dvs. samme løsning som gjelder i dag når en andel er ervervet til underpris.
For selskaper som eksisterer ved iverksettelsen av deltakermodellen, settes skjermingsgrunnlaget ved overgang til deltakermodellen til deltakerens andel av selskapets netto skattemessige verdier, korrigert for eventuell over- eller underpris ved ervervet. En slik løsning vil sikre at skjermingen knyttes til opparbeidede skattlagte verdier ved overgangen til deltakermodellen. Etter iverksettelsen av deltakermodellen vil senere innskudd bli tillagt skjermingsgrunnlaget på ordinært vis.
Med deltakerens andel av selskapets netto skattemessige verdier, menes skattemessig verdi av selskapets eiendeler etter fradrag for selskapets gjeld, det vil si deltakers andel av selskapets ”skattemessige egenkapital”.
Fordi skjermingsgrunnlaget i deltakermodellen prinsipielt sett knyttes til deltakerens individuelle investering, foreslår utvalget at det skal tas hensyn til over- eller underpris i skjermingsgrunnlaget ved overgangen til deltakermodellen. For andeler ervervet før 1992, vil det ikke være beregnet over- eller underpris. For slike andeler er det derfor kun andel av selskapets skattemessige verdier som blir skjermingsrunnlag.
Utvalget foreslår at skjermingsgrunnlaget ikke skal settes lavere enn til null ved innføring av deltakermodellen.
Det vises til nærmere omtale av skjermingsgrunnlaget i avsnitt 8.3.1.
4.4.4 Skjermingsrente og skjermingsbeløp
Utvalgets flertall mener at skjermingsrenten i deltakermodellen bør inneholde et sjablontillegg, jf. nærmere begrunnelse i avsnitt 8.3.2. Et sjablontillegg i skjermingsrenten i deltakermodellen vil ut fra nøytralitetshensyn forutsette en vurdering av et tilsvarende tillegg i skjermingsrenten i aksjonærmodellen.
Skjermingsfradraget beregnes som skjermingsgrunnlaget multiplisert med skjermingsrenten. Skjermingsfradraget fradras i inntekt fra selskapet som gir grunnlag for ekstrabeskatning hos deltakeren.
I aksjonærmodellen vil enhver overføring av midler fra selskapet til aksjonær gi grunnlag for beskatning av den delen som overstiger aksjonærens skjermingsgrunnlag. I deltakermodellen er det derimot nødvendig å definere grunnlaget for ekstrabeskatning nærmere. Fordi deltakeren er skattesubjekt for overskuddsskatten, vil ikke enhver overføring fra selskapet gi grunnlag for ekstrabeskatning for den delen som overstiger skjerming. Deltakeren må ha anledning til å motta utdeling for å dekke løpende overskuddsskatt, uten at denne utdelingen gir ekstrabeskatning. Etter utvalgets forslag blir derfor grunnlaget for ekstrabeskatning hos deltakeren slik:
Utdeling
– Løpende skatt på andel av overskudd
– Skjermingsgrunnlag x rente etter skatt
= Grunnlag for ekstrabeskatning
Ubenyttet skjermingsfradrag oppstår når årets skjerming er større enn utdelingen fratrukket løpende skatt på overskuddsandelen. Ubenyttet skjermingsfradrag skal fremføres og tillegges neste års skjermingsgrunnlag. Ubenyttet skjermingsfradrag vil dermed enten bli utnyttet i fremtidig avkastning fra samme virksomhet eller i realisasjonsgevinst på andelen i selskapet. Ved at ubenyttet skjermingsfradrag tillegges skjermingsgrunnlaget hvert år, oppnås en rentekompensasjon ved fremføring svarende til skjermingsrenten.
Ubenyttet skjermingsfradrag skal kun kunne utnyttes i fremtidig inntekt eller realisasjonsgevinst fra samme selskap. I tilfeller hvor en deltaker får en økt andel i selskapet som følge av tilleggserverv av andel mv., eller redusert andel som følge av opptak av ny deltaker i selskapet mv., skal det finne sted et realisasjonsoppgjør. Slike tilfeller med suksessivt erverv skal behandles under ett. Også i disse tilfellene skal det benyttes ett felles skjermingsgrunnlag og -fradrag.
Ubenyttet skjermingsfradrag skal kunne overføres etter skattefri fusjon eller fisjon av deltakerlignet selskap, jf. skatteloven § 11-3 og § 11-5. Det samme gjelder ved annen omdanning fra deltakerlignet selskap til et annet deltakerlignet selskap, jf. skatteloven § 11-20 første ledd c. Ubenyttet skjermingsfradrag skal kunne overføres ved skattefri omdanning fra deltakerlignet selskap til aksjeselskap etter skatteloven § 11-20 første ledd a. En slik overføringsadgang vil være i samsvar med de kontinuitetsbetraktningene som ligger til grunn for skattelovens bestemmelser om skattefri omdanning.
I aksjonærmodellen bortfaller ubenyttet skjermingsfradrag etter realisasjon. Utvalget foreslår at det skal være en tilsvarende begrensning i deltakermodellen.
4.5 Lån til og fra selskapet
4.5.1 Lån fra deltaker til selskap
Renteinntekter beskattes som alminnelig inntekt på mottaker hånd. Utvalget foreslår at renteinntekter over et visst nivå skal tilleggsbeskattes med en sats på 28 pst. på samme måte som i aksjonærmodellen. Hensikten er at deltaker ikke skal kunne få overført midler fra selskap til deltaker uten den ekstra beskatning som ordinære utdelinger etter deltakermodellen vil være gjenstand for.
Utvalget foreslår at skjermingsrenten for slike renteinntekter fastsettes på ett års basis i forkant av den aktuelle beregningsperiode. Dette vil øke forutberegneligheten for skattyter og gjøre at selskap og långiver har mulighet til å tilpasse seg den gjeldende skjermingsrenten, slik at regelen om ekstra skatt på renteinntekter ikke kommer til anvendelse.
Ut fra hensynet til administrasjon og etterlevelseskostnader, bør det innføres et terskelbeløp. Lån under denne terskelen faller utenfor reglene om ekstraskatt på renteinntekter. Det vil likevel være adgang til å korrigere lånebeløpet etter armlengdeprinsippet i skatteloven § 13-1.
For ekstraskatt på renteinntekter etter aksjonærmodellen, er det ikke adgang til å fremføre ubenyttet skjerming fra beregningsperioder der skjermingen er høyere enn faktisk påløpte renter på lånet. En tilsvarende regel foreslås for lån til deltakerlignede selskaper.
4.5.2 Lån fra selskap til deltaker
Om en utbetaling fra selskap til deltaker skal anses et lån eller en utdeling vil bero på en konkret vurdering, hvor det vil være sentralt om det foreligger en reell tilbakebetalingsplikt.
Grunnlaget for beregning av ekstra skatt hos deltakeren vil være summen av utdelinger ved årets slutt. Uttak gjennom året vil i utgangspunktet kunne tilbakebetales før årets slutt, og tilbakebetalt beløp vil således ikke uten videre medføre ekstrabeskatning hos deltakeren. Beløp som systematisk er tatt ut av selskapet gjennom året i form av lån, kan ikke godtas tilbakebetalt på denne måten like før årsskiftet.
Det vises til nærmere omtale av låneforhold mellom selskap og deltaker i kapittel 10.
4.6 Realisasjon av andel
Deltakermodellen krever en endring i gevinstbeskatningsreglene i forhold til dagens regler. Utvalget foreslår at gevinstbeskatningen i deltakermodellen skal skje etter en metode som gir tilnærmet samme resultater som i aksjonærmodellen. Det innebærer at gevinsten skal skattlegges som alminnelig inntekt og beregnes slik:
Netto salgsvederlag for andelen
– Netto kjøpesum inkl. kjøpsomkostninger
– Ubenyttet skjerming på realisasjonstidspunktet
= Skattepliktig gevinst
I tillegg må det korrigeres for deltakerens kapitalinnskudd i eierperioden og tilbakebetaling av tidligere innskutt kapital. Et kapitalinnskudd vil øke inngangsverdien, og en tilbakebetaling reduserer inngangsverdien.
Utvalget viser i denne forbindelse til aksjonærmodellen, hvor ubenyttet skjerming på realisasjonstidspunktet reduserer skattepliktig gevinst, men ikke kan føre til eller øke fradragsberettiget tap. En tilsvarende begrensning bør gjennomføres i deltakermodellen.
Det skal også korrigeres for tilfeller der deltakeren har dekket ordinær overskuddsskatt med midler fra andre kilder enn selskapet, fordi dette reelt sett kan likestilles med innskudd i selskapet. Tilsvarende korreksjon skal skje ved underskudd i selskapet, slik at den skattemessige verdien av underskuddet skal redusere inngangsverdien.
Tilbakeholdt overskudd følger andelen ved realisasjon.
For andeler ervervet før 1. januar 2006 skal andel av skattemessige verdier i selskapet, korrigert for eventuell over- eller underpris ved ervervet, være inngangsverdi.
Det vises til nærmere omtale av realisasjonsgevinster på andel i kapittel 11.
4.7 Ansvar for skatteforpliktelser
I dag er de enkelte deltakerne ansvarlig for skatt som er utlignet på dem selv, men har ikke personlig ansvar for andre deltakeres skatt. I tillegg har selskapet et subsidiært ansvar etter skattebetalingsloven § 37 nr. 3, med regress til deltakeren etter skattebetalingsloven § 37 nr. 6. Selskapets subsidiære ansvar etter denne bestemmelsen omfatter ikke deltakers skatt på realisasjonsgevinst på andelen, jf. Finansdepartementets uttalelse i Utv. 1994 side 547. Selskapets subsidiære ansvar omfatter heller ikke ansvar for skatt på beregnet personinntekt på grunnlag av selskapsdeltakelsen.
Utvalget foreslår ingen endring i denne ansvarsbestemmelsen. Det betyr at selskapets subsidiære ansvar for deltakernes skatteforpliktelse skal omfatte alminnelig overskuddsskatt på deltakerens overskuddsandel, men ikke ekstraskatt etter deltakermodellen. Selskapets subsidiære ansvar skal heller ikke omfatte skatt på deltakers realisasjonsgevinst på andel.
4.8 Forholdet til utlandet
Deltakermodellen er ikke avgrenset til å gjelde for norske deltakere i norske deltakerlignede selskaper, men skal også kunne få anvendelse i forhold til utenlandske selskaper med norske deltakere og utenlandske deltakere i norske selskaper.
Det vises til nærmere omtale av forholdet til utlandet i kapittel 12.
4.9 Regnskaps- og revisjonsplikt
Utvalget foreslår ingen endringer i selskapenes regnskaps- og revisjonsplikt. Det vises til nærmere omtale i kapittel 8.
4.10 Illustrasjon av modellens virkemåte ved talleksempler
4.10.1 Innledning
Eksemplene i dette avsnittet gir en tallmessig oversikt over hvordan deltakermodellen virker. Talleksemplene illustrerer hvordan skattegrunnlagene og skjermingsbeløpene fremkommer under ulike forutsetninger om overskudd, utdelingspolitikk og realisasjon. Det understrekes at eksemplene er gjort enkle for å tydeliggjøre modellens virkemåte .
I tabell 4.1 og 4.2 vises eksempler med hhv. overskudd større enn skjermingsbeløpet og overskudd mindre enn skjermingsbeløpet. I hvert eksempel vises også tilfeller med og uten salg av eierandelen. Det fremgår av eksemplene at det samlede grunnlaget for ekstrabeskatning ikke påvirkes av salg eller utdelingspolitikk. I 4.10.2 og 4.10.3 gjennomgås tallene i eksemplene med forklaring på hvordan de fremkommer. Tallene i parentes viser til korresponderende linjer i tabell 4.1 og 4.2.
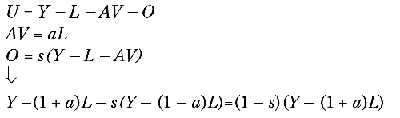
Felles for eksemplene er et initialinnskudd på 100 ((1) og (24)), som også danner utgangspunkt for skjermingsgrunnlaget. Skjermingsrenten er vilkårlig valgt til 5 pst. Skjermingsgrunnlaget oppjusteres hvert år med ubenyttet skjermingsbeløp, slik at nåverdien av ubenyttet skjermingsbeløp opprettholdes. Utdeling utover skjermingsbeløpet og det som tilsvarer ”overskuddsskatt” 1 på andelen, inngår i grunnlaget for alminnelig inntekt. Utdelingen blir med dette en ”etter skatt” størrelse, hvilket bl.a. innebærer at det er riktig å benytte en skjermingsrente som tilsvarer risikofri rente etter skatt. Næringsinntekt som tas ut av virksomheten vil dermed bli beskattet med 48,16 pst. på marginen.
4.10.2 Tilfelle med sikkert overskudd større enn skjermingsbeløpet
I tilfelle A1 og A2 i tabell 4.1 legges det til grunn en investering som med full sikkerhet gir et årlig overskudd på 10 pst. av kapitalen i foretaket. Det første året tas hele overskuddet (2) ut. Overskuddet skal beskattes med 28 pst. skatt som alminnelig inntekt (overskuddsskatt (5)). Denne skatten skal trekkes fra når grunnlaget for ekstrabeskatning skal regnes ut. Grunnlaget for ekstrabeskatning (6) blir utdeling (3) minus tilgjengelig skjermingsbeløp (4) minus det som må tas ut for å dekke skatteforpliktelsen på overskuddet (5).
I A1 selger den opprinnelige eieren sin eierandel etter utgangen av år 2. I foretaket ligger det på salgstidspunktet et tilbakeholdt overskudd på 7,2 ((7) og (8)) etter overskuddsskatt. En må imidlertid anta at kjøperen ikke vil betale for den latente skatteforpliktelsen som er knyttet til det tilbakeholdte overskuddet. Dersom prisen justeres for hele denne skatteforpliktelsen, blir salgsvederlaget 105,5 (11) som blir kjøpers inngangsverdi og grunnlag for skjerming (14). 2

I A2 blir ikke andelen solgt, men overskuddet blir i sin helhet holdt tilbake i selskapet i år 2, med unntak av det som går til å dekke andelen av overskuddsskatten. Ubenyttet skjermingsbeløp legges til skjermingsgrunnlaget. Tilgjengelig skjermingsfradrag i år 3 blir årets skjermingsfradrag på 105*5 pst. = 5,3 i tillegg til tidligere ubenyttet skjermingsfradrag på 5. I år 3 ”tappes” i begge tilfeller virksomheten for årets overskudd og ev. tilbakeholdt overskudd.
Det samlede grunnlaget for beskatning er høyere i A1 enn i A2. Kjøper har imidlertid i tilfelle A1 et latent tap (22) knyttet til at inngangsverdien blir høyere ved overtakelsen, som utlignes dersom det foretas et salg etter utgangen av år 3. I tilfelle med overskudd over skjermingsbeløpet blir skattegrunnlagene dermed ikke påvirket av skattyters disposisjoner. 3
4.10.3 Tilfelle med overskudd lavere enn skjermingsbeløpet
I tilfelle B legges det til grunn en investering som gir en årlig overskudd på 1 pst. av kapitalen i foretaket, slik at investor ikke får utnyttet hele skjermingsbeløpet. Eksemplene B1 og B2 er i utgangspunktet like som A1 og A2, bortsett fra det årlige overskuddet. I år 1 tas overskuddet ut av virksomheten, og ubenyttet skjerming på 4,28 videreføres til neste års skjermingsgrunnlag.
I B1 selges eierandelen etter 2 år. Salgsvederlaget fremkommer på samme måte som i A1. Gevinsten (37) er ikke stor nok til å romme hele det tilgjengelige skjermingsbeløpet (35). Det tilgjengelig skjermingsbeløpet er på 9,5, som fremkommer ved å legge sammen tidligere ubenyttet skjermingsbeløp (29) og åres skjerming på 5,2. Hele gevinsten (37) skjermes, og det resterende skjermingsbeløpet (38) går tapt. Ny inngangsverdi (og dermed nytt skjermingsgrunnlag) for kjøper er 100,55. Etter utgangen av år 3 tappes selskapet for tilbakeholdt overskudd på samme måte som i tilfelle A.
I B2 blir det i år 2 ikke foretatt utdeling utover det som skal dekke skatten på overskuddet, og det ubenyttede skjermingsbeløpet fremføres fra år 2 til år 3. Tilbakeholdt overskudd tas ut etter utgangen av år 3. Det vil ikke være grunnlag for ekstrabeskatning verken i B1 eller B2, og modellen behandler således de to tilfellene likt. Ved salg etter år 3 vil det imidlertid oppstå en forskjell som følge av at det i B1 gis fradrag i annen alminnelig inntekt for et reelt tap som en følge av høyere inngangsverdi.
4.10.4 Tilfelle med underskudd – risiko-avlastning og finansieringsnøytralitet
I deltakermodellen får ikke investor fradrag for investeringsutgiften i grunnlaget for ekstrabeskatning før ved salg eller opphør av virksomheten. For å oppnå nøytralitet må derfor investoren kompenseres gjennom et fradrag for den finansielle alternativkostnaden knyttet til investeringen i investeringens levetid, jf. vedlegg 1. Skjermingsfradraget ivaretar dette. En modell hvor det blir gitt fradrag dersom avkastningen er lavere enn skjermingsbeløpet er således nøytral mht. finansieringskostnader. Staten kan da oppfattes som en passiv medinvestor som tar en andel av avkastning over skjermingsbeløpet når det går bra, og betaler sin andel av differansen mellom faktisk avkastning og skjermingsbeløpet i form av et skattefradrag når det går dårlig. Statens deltakelse i prosjektet innebærer dermed en risikoavlastning for de øvrige deltakerne. Dette gjør at ikke ny egenkapital diskrimineres som finansieringskilde fremfor tilbakeholdt overskudd og gjeld. Dette er særlig viktig for små og nystartede bedrifter med lite eller ingen tilgang til tilbakeholdt overskudd, og bedrifter som er kreditrasjonerte.
Dersom ubenyttet skjermingsfradrag går tapt når eierandelen realiseres eller virksomheten opphører, vil ikke forutsetningen for finansieringsnøytralitet og risikodeling holde. I aksjonærmodellen er det foreslått at ubenyttet skjerming går tapt ved realisasjon for å forhindre problemet med såkalte årsskiftehandler. Utvalget anser det som problematisk å gi adgang til fremføring av ubenyttet skjerming etter realisasjon også i deltakermodellen, og foreslår like regler som i aksjonærmodellen på dette punkt.
Tabell 4.1 Tilfelle A, overskudd større enn skjermingsbeløpet
| A1: Ved salg etter utgangen av år 2 | A2: Ved tilbakeholdt overskudd | ||||
|---|---|---|---|---|---|
| År 1: | |||||
| 1)Innskudd | 100 | Innskudd | 100 | ||
| 2)Overskudd | 10 | Overskudd | 10 | ||
| 3)Utdeling | 10 | Utdeling | 10 | ||
| 4)Skjermingsbeløp | 5 | Skjermingsbeløp | 5 | ||
| 5)Overskuddsskatt | 2,8 | Overskuddsskatt | 2,8 | ||
| 6)Grunnlag ekstraskatt(3)-(4)-(5) | 2,2 | Grunnlag ekstraskatt | 2,2 | ||
| År 2: | |||||
| 7)Overskudd | 10 | Overskudd | 10 | ||
| 8)Utdeling | 2,8 | Utdeling | 2,8 | ||
| 9)Overskuddsskatt | 2,8 | Overskuddsskatt | 2,8 | ||
| 10)Skjermingsbeløp | 5 | Skjermingsbeløp | 5 | ||
| 11)Salg Skjermingsbeløp år 2 tilfaller selger forutsatt at salget skjer etter utgangen av år 2. | 105,5 | ||||
| 12)Gevinst (11)-(1) | 5,5 | ||||
| 13) Grunnlag ekstraskatt (12)-(10) | 0,5 | Grunnlag ekstraskatt | 0 | ||
| År 3: | |||||
| 14)Ny inngangsverdi (12) | 105,5 | Skjermingsgrunnlag | 105 | ||
| 15)Overskudd (107,2*10%) | 10,7 | Overskudd | 10,7 | ||
| 16)Utdeling (7)-(8)+(15) | 17,9 | Utdeling | 17,9 | ||
| 17)Overskuddsskatt | 3 | Overskuddsskatt | 3 | ||
| 18)Skjermingsbeløp (14)*5% | 5,3 | Skjermingsbeløp | 10,3 | ||
| 19) Grunnlag ekstraskatt (16)-(17)-(18) | 9,6 | Grunnlag ekstraskatt | 4,6 | ||
| 20)Samlet grunnlag for ekstraskatt (6)+(13)+(19) | 12,3 | 6,9 | |||
| 21)Salg | 100 | 100 | |||
| 22)Tap | 5,5 | 0 | |||
| 23)Samlet grunnlag for ekstraskatt | 6,8 | 6,9 | |||
Tabell 4.2 Tilfelle B, positiv overskudd mindre enn skjermingsbeløpet
| B1: Ved salg etter utgangen av år 2 | B2: Ved tilbakeholdt overskudd | ||||
|---|---|---|---|---|---|
| År 1: | |||||
| 24)Innskudd | 100 | Innskudd | 100 | ||
| 25)Overskudd | 1 | Overskudd | 1 | ||
| 26)Utdeling | 1 | Utdeling | 1 | ||
| 27)Skjermingsbeløp | 5 | Skjermingsbeløp | 5 | ||
| 28)Overskuddsskatt | 0,28 | Overskuddsskatt | 0,28 | ||
| 29)Ubenyttet skjerming (27)-(26)+(28) | 4,28 | Ubenyttet skjerming | 4,28 | ||
| 30)Grunnlag ekstraskatt (26)-(27)-(28) | 0 | Grunnlag ekstraskatt | 0 | ||
| År 2: | |||||
| 31)Skjermingsgrunnlag (24)+(29) | 104,28 | Skjermingsgrunnlag | 104,28 | ||
| 32)Overskudd | 1 | Overskudd | 1 | ||
| 33)Utdeling | 0,28 | Utdeling | 0,28 | ||
| 34)Overskuddsskatt | 0,28 | Overskuddsskatt | 0,28 | ||
| 35)Skjermingsbeløp (29)+(31)*5% | 9,5 | Skjermingsbeløp | 9,5 | ||
| 36)Salg Skjermingsbeløp år 2 tilfaller selger forutsatt at salget skjer etter utgangen av år 2 | 100,55 | ||||
| 37)Gevinst | 0,55 | ||||
| 38)Ubenyttet skjerming (35)-(37) | 8,95 | Ubenyttet skjerming | 9,5 | ||
| 39)Grunnlag ekstraskatt | 0 | Grunnlag ekstraskatt | 0 | ||
| År 3: | |||||
| 40)Innskudd | 100,55 | Skjermingsgrunnlag | 109,5 | ||
| 41)Overskudd | 1,01 | Overskudd | 1,01 | ||
| 42)Utdeling (32)-(34)+(41) | 1,73 | Utdeling | 1,73 | ||
| 43)Overskuddsskatt | 0,28 | Overskuddsskatt | 0,28 | ||
| 44)Skjermingsbeløp (40)*5% | 5,3 | Skjermingsbeløp | 15 | ||
| 45)Grunnlag ekstraskatt | 0 | Grunnlag ekstraskatt | 0 | ||
| 46)Samlet grunnlag for ekstraskatt | 0 | 0 | |||
4.11 Obligatorisk eller valgfri modell
En problemstilling er hvorvidt deltakermodellen bør være obligatorisk for deltakerlignede selskaper, eller om den bør være valgfri. Formålet med en frivillig ordning må være å oppnå en enklere beskatning for skattytere som ikke ønsker å benytte seg av utdelingsbeskatning. Utvalget mener imidlertid at en slik forenklingsgevinst trolig vil være beskjeden. Derimot vil en frivillig ordning reise en rekke problemer knyttet til den ligningsmessige behandlingen. Ligningsmyndighetene vil da måtte håndtere flere modeller for deltakerlignede selskaper, noe som er uheldig også sett i forhold til at dette kommer i tillegg til modeller for aksjeselskaper og enkeltpersonforetak.
Et alternativ til deltakermodellen er skjermingsmodellen, slik den er beskrevet i skattemeldingen. Det vil imidlertid innebære betydelige endringer for skattyter å skifte mellom deltakermodellen og skjermingsmodellen. Den store forskjellen knytter seg særlig til at skjermingsgrunnlaget er forskjellig i de to modellene. I deltakermodellen, hvor utdelingen danner grunnlaget for ekstrabeskatning, er det riktig å legge kostpris til grunn for skjermingen. I skjermingsmodellen, hvor ekstrabeskatningen skjer løpende på grunnlag av overskuddet i virksomheten, er det riktig å legge deltakerens andel av den skattemessige verdien av kapitalen til grunn. Dette grunnlaget reduseres med skattemessige avskrivninger hvert år, og mulighet for (hyppige) skifte(r) mellom de to modellene vil trolig innebære store administrative kostnader og ha betydelige negative økonomiske implikasjoner. Et alternativ kan være at valget av modell ikke kan fravikes på et senere tidspunkt. I alle tilfeller må beskatningsmodellen gjelde på selskapsnivå, da det trolig ikke vil være praktisk mulig å åpne for individuell valgfrihet på deltakernivå.
Et annet alternativ til deltakermodellen kan være en modell hvor skattyter kan velge at maksimal utdeling blir lagt til grunn for ekstrabeskatningen. En slik modell kan tenkes å innebære en forenkling for skatteyter. Skattemessig sett vil en slik modell imidlertid være strengt dominert av deltakermodellen. Skattyter vil aldri tjene på å binde seg til en slik modell fremfor å ha muligheten til hvert år å velge hvor stor utdelingen skal være. Videre må maksimalt uttak defineres, og det vil trolig ikke innebære noen stor forenkling i forhold til å fastslå faktisk utdeling.
5 Regnskaps- og revisjonsplikt
5.1 Oversikt over gjeldende rett
5.1.1 Regnskapsplikt
I hvilken grad en økonomisk virksomhet er regnskapspliktig reguleres fra og med 2005 av både regnskapsloven og den nye bokføringsloven (trådte med enkelte unntak i kraft 1. januar 2005). Plikten kan være mer eller mindre omfattende. Man bruker ofte begrepene alminnelig og begrenset regnskapsplikt (bokføringsloven opererer med begrepet ”bokføringspliktige”). Alminnelig regnskapsplikt betyr i denne sammenheng full årsregnskapsplikt etter regnskapsloven. Dette innebærer at virksomheten på grunnlag av årets bokførte transaksjoner skal utarbeide årsregnskap og årsberetning. Årsregnskapet skal bestå av resultatregnskap, balanse, kontantstrømoppstilling og noteopplysninger. I årsberetningen skal det gis opplysninger om arten av virksomheten og hvor virksomheten drives.
Alle årsregnskapspliktige er bokføringspliktige etter bokføringsloven § 2 første ledd.
For virksomheter som er underlagt årsregnskapsplikt er det innført en differensiering etter virksomhetens størrelse. Dette stiller forskjellige krav til ”små” og ”store” foretak. Foretak defineres i denne sammenheng som ”små foretak” dersom de på balansedagen ikke overskrider grensene for to av følgende tre vilkår:
salgsinntekt: 60 millioner kroner
balansesum: 30 millioner kroner
gjennomsnittlig antall ansatte i regnskapsåret: 50 årsverk
For virksomheter som regnes som små, er regnskapsplikten på enkelte områder begrenset. Det gjelder særlige regler for virksomheter som inngår i et konsern.
De minste virksomhetene er ikke underlagt alminnelig regnskapsplikt. Disse er kun bokføringspliktige etter bokføringsloven (tidligere begrenset regnskapsplikt etter regnskapslovens kapittel 2). Bokføringsplikten er en plikt til å registrere og dokumentere opplysninger om transaksjoner som har betydning for størrelsen og sammensetningen av den regnskapspliktiges eiendeler, gjeld, inntekter og kostnader.
For deltakerlignede selskaper reguleres omfanget av regnskapsplikten i utgangspunktet av regnskapsloven § 1-2 første ledd nr. 4. Etter bestemmelsen er selskap som definert i selskapsloven § 1-2 første ledd bokstav a (det vil si deltakerlignede selskaper) unntatt fra årsregnskapsplikt bare når følgende kriterier er oppfylt:
selskapet ikke er partrederi
selskapet har mindre enn fem millioner kroner i salgsinntekt
selskapet har færre enn fem ansatte
selskapet har fem deltakere eller færre
ingen av deltakerne er juridisk person med begrenset ansvar
Også interkommunale selskaper er unntatt fra årsregnskapsplikt etter denne paragrafen. Dette kommer av at regnskapsplikten for slike selskaper er regulert i egen lov om interkommunal selskaper (lov av 29. januar 1999 nr. 6), som bestemmer at regnskapslovens regler skal gjelde med mindre selskapsavtalen bestemmer at selskapet i stedet skal avlegge regnskap etter kommunale regnskapsprinsipper (§ 27 første ledd).
Omfanget av regnskapsplikten for enkeltpersonforetak reguleres av regnskapsloven § 1-2 første ledd nr. 11. Enkeltpersonforetak er underlagt alminnelig regnskapsplikt dersom foretaket oppfyller ett av følgende to vilkår:
har eiendeler med verdi over 20 millioner kroner
har flere enn 20 ansatte
Etter bokføringsloven er enhver som har plikt til å levere omsetningsoppgave etter merverdiavgiftsloven og alle som har plikt til å levere næringsoppgave etter ligningsloven, det vil si alle som driver virksomhet eller utleie av fast eiendom, bokføringspliktig etter bokføringsloven § 2 annet ledd. Bestemmelsen omfatter med andre ord alle enkeltpersonforetak og deltakerlignede selskaper, også de som ikke oppfyller vilkårene for årsregnskapsplikt beskrevet ovenfor.
Bokføringspliktige er også pliktige til å levere næringsoppgave etter ligningsloven kapittel 5. Næringsoppgaven skal vise en samlet og total oversikt over næringsvirksomhetens inntekter, kostnader, eiendeler og forpliktelser, samt kapitalendringer. Dette inkluderer en avstemming av egenkapitalen som skal vise alle utdelinger, innskudd og andre egenkapitaljusteringer (for eksempel endring av regnskapsprinsipp, emisjonskostnader og retting av feil fra tidligere år) gjennom året. For årsregnskapspliktige skal egenkapitalavstemmingen spesifiseres i et eget vedlegg til næringsoppgaven.
5.1.2 Revisjonsplikt
Virksomheter med årsregnskapsplikt etter regnskapsloven § 1-2 første ledd er som hovedregel også revisjonspliktige (revisorloven § 2-1). Revisjonsplikt innebærer at den regnskapspliktige skal påse at årsregnskapet revideres, i henhold til revisorlovens nærmere bestemmelser, av en registrert revisor eller statsautorisert revisor.
Regnskapsloven § 8-2 første ledd pålegger årsregnskapspliktige å sende et eksemplar av årsregnskapet, årsberetningen og revisjonsberetningen til regnskapsregisteret. I forskrift av 16. desember 1998 nr. 1234 fastsatt med hjemmel i regnskapsloven, er deltakerlignede selskaper som defineres som ”små foretak” unntatt fra denne innsendingsplikten, med mindre virksomheten driver utvinning eller rørledningstransport av petroleum (forskriftens § 1-1 første ledd). Unntatt fra denne plikten er også indre selskap (forskriftens § 1-1 annet ledd).
5.2 Deltakermodellen og krav til regnskap og revisjon
En grunnleggende forutsetning for at utvalgets forslag til skattemodell for deltakerlignede selskaper skal kunne anvendes, er at alle utdelinger fra selskapet lar seg identifisere i selskapets regnskap. Etter regnskapsloven § 2-1 første ledd innebærer bokføringsplikten en plikt til å ”[...] registrere opplysninger om transaksjoner og andre disposisjoner som har betydning for størrelsen og sammensetningen av den regnskapspliktiges eiendeler, gjeld, inntekter og kostnader” (bestemmelsen oppheves fra 1. januar 2006 og erstattes av bokføringslovens regler, med dette innebærer ingen endring av hvilke transaksjoner som skal bokføres). Utdeling fra selskapet er en disposisjon som omfattes av bokføringsplikten.
Under gjeldende skattemodell er det liten grunn til å anta at utdeling ikke bokføres eller bokføres feil, siden skattleggingen skjer fortløpende og således ikke påvirkes av utdelinger. Dette kan imidlertid stille seg annerledes dersom utvalgets forslag til skattemodell legges til grunn. Skattebelastningen vil da avhenge direkte av eventuelle utdelinger.
I Skatteutvalget (NOU 2003:9) pekes det på at det ikke finnes formaliserte regler for utdelinger fra deltakerlignede selskaper. For aksjeselskaper skal aksjelovens bestemmelser om fremgangsmåten for beslutninger om utbytte sikre notoritet omkring utbetalingen. Tilsvarende regler finnes ikke for deltakerlignede selskaper. Utbetalinger fra disse skjer i hovedsak gjennom beslutning av styret eller selskapsmøtet.
Det største og mest praktiske problemet er antakelig at salg av varer og tjenester holdes helt utenfor regnskapet (”svart omsetning”). Dette problemet eksisterer imidlertid uavhengig av om modellen for ekstrabeskatning knyttes til utdeling eller ikke, og kan derfor ikke anses som et argument mot utdelingsbeskatning.
Selv om deltakerlignede selskaper ikke er underlagt samme formaliserte regler om fremgangsmåten ved beslutninger om utbetalinger som aksjeselskaper, mener utvalget at kravene til regnskap og bokføring, og den pliktige dokumentasjonen av virksomhetens transaksjoner, vil sikre en korrekt registrering av utdeling. Dokumentasjonsplikten knytter seg til inntekter, kostnader og formuesposter samt innskudd og utdeling. Enhver transaksjon knyttet til næringsvirksomheten skal dokumenteres med bilag og være etterprøvbar.
Utvalget foreslår derfor ingen endringer i gjeldende regnskaps- og revisjonsregler.
6 Hvilke selskaper omfattes av forslaget
6.1 Selskapsdefinisjonen
I dette kapittelet drøftes spørsmålet om hvilke selskaper som bør omfattes av utvalgets forslag til beskatningsmodell for deltakerlignede selskaper. Et selskap kan defineres som et rettsforhold mellom to eller flere parter, som går ut på at partene seg i mellom og som regel også overfor tredjemenn skal utøve en virksomhet for felles regning og risiko, jf. selskapsloven § 2-1 første ledd bokstav a. I de fleste tilfeller er det uproblematisk å fastslå om det foreligger et selskap.
Ansvaret for selskapets gjeld skal overfor tredjemenn være ubegrenset. Mellom deltakerne kan ansvaret være fordelt etter forskjellige metoder. De vanligste foretaksformene er:
Ansvarlig selskap (ANS): Selskap hvor alle deltakerne har et ubegrenset ansvar for selskapets forpliktelser.
Ansvarlig selskap med delt ansvar (DA): Selskap hvor alle deltakerne har et beløpsmessig ubegrenset ansvar for selskapets forpliktelser, men den enkelte deltaker kun er ansvarlig for den del av gjelden som svarer til deltakerens selskapsandel.
Kommandittselskap (KS): Selskap hvor minst én deltaker har et ubegrenset ansvar for selskapets forpliktelser og minst én annen har et beløpsmessig begrenset ansvar (uten å være stille deltaker).
Partrederi: Selskap som har til formål å drive rederivirksomhet og hvor deltakernes ansvar for selskapets forpliktelser enten er ubegrenset eller begrenset til den del som svarer til deltakerens selskapsandel.
Indre selskap: Selskap som ikke opptrer som sådant overfor tredjemann.
Stille deltaker: Deltaker i et selskap der det er avtalt at deltakelsen ikke skal framtre utad og at deltakerens ansvar er begrenset til en bestemt sum.
Dersom ingen av deltakerne har et ubegrenset ansvar for selskapets forpliktelser, enten udelt eller for deler som til sammen utgjør selskapets samlede forpliktelser, reguleres forholdet i utgangspunktet av aksjelovgivningen. Selskapslovens system er at dersom det ikke er avtalt noen fordeling av ansvaret, har alle deltakerne et personlig og ubegrenset ansvar for selskapets forpliktelser.
Som regel vil det ikke være vanskelig å fastslå om virksomhetskravet er oppfylt. I enkelte tilfeller kan det imidlertid være at omfanget av virksomheten er så lite at det kan være tvilsomt om det foreligger økonomisk virksomhet i skattelovens forstand. En problemstilling kan være at deltakerne selv ikke har tatt stilling til om det foreligger utøvelse av virksomhet gjennom et selskap, enten fordi aktiviteten er lite omfattende, eller fordi samarbeidet dem imellom er så begrenset at de anser seg selv som to eller flere selvstendig næringsdrivende.
I selskapsrettslig sammenheng er det ikke avgjørende for om det foreligger et selskap at virksomheten er registrert som selskap, eller at det er stiftet på en særskilt måte. Dersom det utøves virksomhet for felles regning og risiko, kan det således foreligge et materielt, ikke-registrert selskap selv om deltakerne ikke har fulgt selskapslovens stiftelsesregler. En annen måte å uttrykke dette på er at stiftelses- og registreringsregler ikke er gyldighetsbetingelser. Dette går også frem av selskapslovens forarbeider, se blant annet Ot.prp. nr. 47 (1984-85) side 39.
6.2 Nettolignede sameier
Et aktuelt problem er grensedragningen mellom tingsrettslige sameier og selskapsforhold. Skatteloven inneholder i dag regler om nettolignede sameier, som hovedsakelig har til hensikt å gjøre denne vurderingen enklere for ligningsmyndighetene. Reglene finnes i skatteloven § 10-40 annet ledd, og går ut på at sameiere skal lignes som selskapsdeltakere (nettoligning) når en felles utnyttelse av sameietingen er rettet mot andre enn sameierne, og denne bruken ikke er uvesentlig i forhold til sameiernes egen bruk. I praksis blir dette tolket slik at grensen for ekstern utnyttelse går ved 25 pst. av den totale utnyttelsen.
Utvalget mener at den gjeldende regel om nettolignede sameier ikke lenger vil være hensiktmessig etter innføring av deltakermodellen, da grensene for nettoligning etter denne bestemmelsen ikke er den samme som grensen for hva som utgjør økonomisk virksomhet i skattelovens forstand. Grensen for når deltakermodellen og reglene om ekstrabeskatning skal komme til anvendelse, bør etter utvalgets oppfatning gå ved skillet mellom virksomhet og passiv kapitalavkastning. Skatteloven gir liten veiledning om hvor dette skillet skal trekkes. Avgrensningen følger først og fremst av rettspraksis, ligningspraksis og juridisk teori. Lignings-ABC lister opp en rekke forhold som vil være av betydning ved en slik vurdering. For utleie av fast eiendom indikeres det blant annet at grensen bør gå ved utleie av mer enn 500 kvm (til forretningsformål) eller utleie av 5 leiligheter eller mer (til boligformål). Utvalget mener det er en fordel om momentene i en slik vurdering får en klarere hjemmel i skatteloven.
6.3 Hvilke foretaksformer bør omfattes av en deltakermodell?
Hvilke selskaper som skal omfattes av deltakermodellen, er for det første et spørsmål om det er grunner til å la enkelte selskapstyper holdes utenfor modellen. For det andre blir det et spørsmål om modellen kun skal gjelde for registrerte selskaper, eller om registrering og eventuelt stiftelsesmåte ikke bør tillegges betydning.
6.3.1 Materielle ikke-registrerte selskaper
Som nevnt ovenfor kan det forligge et selskap, selv om deltakerne ikke har fulgt noen formell prosedyre for stiftelse. To personer driver for eksempel hvert sitt enkeltpersonforetak og innleder etter hvert et samarbeid. På et tidspunkt er samarbeidet av en slik karakter at det må sies å foreligge et selskap. At deltakerne selv ikke hadde sett for seg en selskapsdannelse er ikke nødvendigvis avgjørende. Et annet eksempel er to eller flere sameiere som begynner med utleie av sameiegjenstanden overfor tredjemenn. Når denne utleien når et visst omfang, kan virksomhetsvilkåret være oppfylt, og sameierne vil dermed materielt sett være deltakere i et deltakerlignet selskap.
Eksemplene viser at det kan være en flytende overgang fra et tingsrettslig sameie eller fra et enkeltpersonforetak, til et deltakerlignet selskap. Det vil ikke nødvendigvis foreligge en avtale eller et vedtak som knytter stiftelsen av selskapet til et bestemt tidspunkt. Praktiske hensyn kan derfor tilsi at deltakermodellen knyttes opp til registrerte selskaper.
I prinsippet bør imidlertid alle som i realiteten er deltakere i et deltakerlignet selskap skattlegges likt. En utrykkelig regel om at registreringen er avgjørende, vil medføre at vilkårene for å anses som selskapsdeltaker ikke er de samme i skatteretten som i andre sammenhenger. En slik regel vil i utgangspunktet også medføre at deltakere i indre selskaper ikke lenger vil beskattes som selskapsdeltakere. Et indre selskap er et selskap som ikke opptrer som sådant overfor tredjemann, jf. selskapsloven § 1-2 første ledd c. Dette vilkåret innebærer at et indre selskap heller ikke kan være registrert i enhetsregisteret eller foretaksregisteret. Etter utvalgets oppfatning tilsier ikke denne forskjellen at deltakere i indre selskaper ikke bør skattlegges etter samme prinsipper som andre selskapsdeltakere. Utvalget er for øvrig av den oppfatning at det bør vurderes å innføre en registreringsplikt også for indre selskaper.
Utvalget mener det ikke er nødvendig å knytte beskatning etter deltakermodellen til et vilkår om at selskapet må være registrert. Dette betyr at alle som reelt er selskapsdeltakere også skal beskattes som slike. Anvendelsesområdet for deltakermodellen bør baseres på skillet mellom virksomhet og passiv kapitalavkastning. Det er en fordel om regelverket kan gi en klarere anvisning på hvordan skillet skal trekkes. Dette vil også fjerne behovet for dagens regler om nettolignede sameier.
Grensen mellom to eller flere samarbeidende enkeltpersonforetak og et deltakerlignet selskap er av betydning også i dag. Vurderingen vil være den samme med utvalgets beskatningsmodell.
For enkeltpersonforetak foreslår utvalget en skjermingsmodell med ekstrabeskatning ved opptjeningen og ikke ved utdeling (foretaksmodellen). Etter deltakermodellen vil deltakeren i praksis ofte ha en valgfrihet med hensyn til om en utbetaling fra selskapet skal beskattes som alminnelig inntekt eller personinntekt, samt når den skal komme til beskatning. Utvalget mener derfor at det ikke vil være behov for noen ytterligere rutiner eller regler for å sikre at materielle ikke-registrerte selskaper fanges opp av deltakermodellen.
Som det fremgår ovenfor, er det etter utvalgets oppfatning ikke behov for særlige regler for beskatning av skattytere som reelt sett er selskapsdeltakere, men som på grunn av manglende registrering av selskapet ikke beskattes i henhold til dette. Utvalget antar videre at problemstillingen er av begrenset betydning, da de fleste materielle selskaper i praksis er registrert. De har også en selskapsrettslig plikt til dette. Etter foretaksregisterloven (§ 10-4) er det straffbart å ikke oppfylle meldeplikten for næringsdrivende selskaper.
I de tilfeller hvor virksomheten likevel ikke registreres, vil deltakerne skattlegges hver for seg for sin næringsinntekt. For å lignes som selskapsdeltakere i slike tilfeller, må det være adgang til å dokumentere ovenfor ligningsmyndighetene at de oppfyller vilkårene for å være deltakere i et deltakerlignet selskap, tilsvarende det som gjelder for indre selskaper i dag.
Problemstillingen foran gjelder hva som utgjør et selskap med tanke på beskatningen. Den samme problemstillingen gjør seg i prinsippet også gjeldende ved avvikling av virksomheten. Det kan være at virksomhetens omfang reduseres slik at det reelt sett ikke lenger foreligger et selskap. I en slik situasjon er det etter gjeldende rett avgjørende om deltakerne selv oppløser selskapet.
6.3.2 Særskilte foretaksformer
Foran er særlige problemstillinger knyttet til indre selskaper beskrevet. Når det gjelder avgrensning av modellens anvendelsesområde for andre særskilte foretaksformer, reiser dette en rekke tekniske spørsmål om hvorvidt modellen er gjennomførbar og hensiktsmessig for slike. Et eksempel på dette er samarbeidsavtaler i petroleumsvirksomheten som nevnt i selskapsloven § 1-1 fjerde ledd. Utvalget går ikke nærmere inn på disse spørsmålene, og lar det være opp til departementet å utrede dem nærmere.
6.3.3 Konklusjon
Utvalget foreslår at anvendelsesområdet for deltakermodellen skal tilsvare anvendelsesområdet for nettoligning i dag, dvs. at reglene skal gjelde for ansvarlig selskap, kommandittselskap, indre selskap og partrederi. Særreglene om nettolignede sameier foreslås opphevet
7 Ordinær overskuddsbeskatning – fortsatt deltakerligning?
7.1 Problemstilling
Deltakermodellen innebærer at det trekkes et skille mellom selskap og deltaker ved ekstrabeskatning av personlige deltakere, ved at utdeling fra selskapet utløser ekstrabeskatning hos deltakeren. Slik sett innebærer deltakermodellen et brudd med dagens integrerte beskatning av selskap og deltaker. At ekstrabeskatningen av deltakerne bygger på et slikt skille mellom selskap og deltaker, aktualiserer spørsmålet om et tilsvarende skille bør gjelde ved den ordinære overskuddsbeskatningen av selskapet. Spørsmålet er med andre ord om selskapet bør være eget skattesubjekt , slik at også den løpende overskuddsbeskatningen skjer hos selskapet.
At et selskap er eget skattesubjekt vil innebære at det i selskapet både skal
gjennomføres et fullstendig ligningsoppgjør, og
foretas et skatteoppgjør med selskapet som ansvarlig subjekt.
At det skal skje et fullstendig ligningsoppgjør i selskapet (jf. første strekpunkt) er allerede gjennomført ved reglene om deltakerligning etter en nettometode , jf. skatteloven §§ 4-40, 10-41 og 10-42. Etter disse reglene skal selskapets disposisjoner skattemessig gjøres opp som om selskapet var skattyter , uansett om disposisjonen er foretatt mellom selskapet og en enkelt deltaker eller mellom selskapet og utenforstående. Med hensyn til ligningsoppgjøret blir altså selskapet behandlet som om det var eget skattesubjekt allerede etter gjeldende regler.
Å gjøre selskapene til egne skattesubjekter vil derfor først og fremst bety endring av skatteoppgjøret .
7.2 Utvalgets vurderinger og forslag
Etter utvalgets vurdering er det visse hensyn som taler for å gjøre selskapene til egne skattesubjekter. Dersom selskapene blir egne skattesubjekter, vil beskatningen av ulike selskapsformer bli mer lik. Det kan gi grunnlag for et enklere regelverk . En annen positiv effekt ved å gjøre selskapene til egne skattesubjekter er at det ved den ordinære beskatningen kun blir en part å forholde seg til for ligningsmyndighetene , ikke hver enkelt deltaker.
Etter utvalgets vurdering er det imidlertid viktige hensyn som taler mot å gjøre deltakerlignede selskaper til egne skattesubjekter.
Etter utvalgets vurdering er det viktigste motargumentet den konsekvensen dette vil ha for adgangen til å samordne nettoresultatet fra selskapet med deltakerens andre inntekter.
I deltakerlignede selskaper er det full samordning av inntektene fra driften av selskapet og deltakerens øvrige inntekts- og fradragsposter (med unntak for fradragsbegrensningsregelen som gjelder for kommandittister og stille deltakere), fordi selskapsdeltakerne lignes hver for seg for sin andel av selskapets formue og inntekter. Slik samordnet beskatning ved deltakerligning innebærer blant annet at underskudd på selskapsdeltakelsen kan trekkes fra i alminnelig inntekt som skriver seg fra andre kilder, eksempelvis lønnsinntekt fra et arbeidsforhold. Underskudd ved selskapsdriften vil dermed redusere skatten for skattyteren ved ligningen for det året underskuddet er oppstått (full samordning).
For selskaper som er egne skattesubjekter, er det som hovedregel ikke adgang til å overføre underskudd i selskapet til fradrag på deltakernes hender. Underskudd kan derimot fremføres innen selskapet etter skatteloven § 14-6. Det eneste unntak fra hovedregelen om manglende adgang til å samordne underskudd mellom selskap og deltaker har vært aksjonærbidragsordningen, som er opphevet med virkning fra inneværende inntektsår (2005). Aksjonærbidragsordningen var regulert i skatteloven §§ 10-20 til 10-25. Ordningen innebar at aksjonærer hjemmehørende i Norge hadde adgang til å kreve fradrag i inntekt for bidrag som ble ytt for å dekke underskudd i norsk aksjeselskap eller allmennaksjeselskap som drev ny virksomhet. Et aksjeselskap eller allmennaksjeselskap ble ansett for å drive ny virksomhet i stiftelsesåret og de påfølgende fire kalenderårene, såfremt virksomheten ikke i det vesentlige var en videreføring av tidligere virksomhet. Aksjonærbidragsordningen ble innført i 1985 med sikte på å stimulere til omstrukturering og nyetablering av bedrifter.
Aksjonærbidragsordningen ble opphevet ved lov av 10. desember 2004 nr. 77. Opphevelsen ble begrunnet med at ordningen er lite brukt og administrativt krevende, jf. Ot.prp. nr. 1 (2004-2005) kapittel 25. Bortfallet av aksjonærbidragsordningen innebærer at samordningsadgangen er ytterligere innskrenket i selskaper som er egne skattesubjekter. Selskapsunderskuddet vil dermed kun gi en fremtidig skattereduksjon for deltakeren, og tidsforskyvningen reduserer nåverdien av dette fradraget.
For selskaper som er egne skattesubjekter, er det kun ett samordningselement igjen; konsernbidragsreglene. Konsernbidragsreglene innebærer samordning av underskudd i et selskap med overskudd i et annet selskap, og ikke samordning mellom deltaker og selskap i tradisjonell forstand.
Samlet sett er det altså vesentlige begrensninger i samordningsadgangen for selskapslignede selskaper.
Dersom selskapene blir egne skattesubjekter, kan det være et mulig utfall at samordningsadgangen innsnevres til det som gjelder for aksjeselskaper i dag. Etter utvalgets vurdering vil det være uheldig. Utvalget mener det bør finnes en selskapsform som gir anledning til uinnskrenket skattemessig inntektssamordning mellom virksomhet og deltaker. Etter utvalgets vurdering vil opphevelse av denne samordningsadgangen være en innstramming som bryter med intensjonene i mandatet. Utvalget viser i denne forbindelse til mandatets punkt 2 første avsnitt hvor det fremgår at rammebetingelsene for nyskaping og oppstartvirksomhet (gründervirksomhet) skal ivaretas ved den valgte løsningen.
Dersom selskapene blir egne skattesubjekter, mener utvalget at det må gis regler som sikrer at samordningsadgangen opprettholdes. Særreglene må i så fall begrunnes med at deltakerne ikke har noen ansvarsbegrensning. I praksis vil særreglene måtte utformes som en form for delvis og frivillig deltakerligning ved underskudd. Med videreføring av gjeldende deltakerligning, vil det ikke være behov for slike særregler. Det er nettopp det forhold at skatteoppgjøret skjer hos deltakeren som muliggjør samordning med deltakerens øvrige inntekter. Etter utvalgets vurdering er det hensiktsmessig å videreføre denne ordningen.
Utvalget viser også til at deltakerligning (”partnership taxation”) av selskaper med ubegrenset ansvar er gjennomført i de fleste andre land . Å gjøre selskapene til egne skattesubjekter, vil bryte med internasjonal praksis.
Etter utvalgets vurdering er det også grunn til å legge en viss vekt på at gjeldende system med deltakerligning etter en nettometode er godt innarbeidet .
Utvalget viser til at departementet i skattemeldingen foreslår en videreføring av reglene om deltakerligning etter en nettometode. Foruten samordningshensynet, begrunnes dette valget med enkelte andre hensyn. Disse hensynene er:
Den faktiske nærheten mellom selskap og deltaker.
Hensynet til å unngå utvidet regnskaps- og revisjonsplikt.
Behovet for samme rutiner for skattebetaling i deltakerlignede selskaper og enkeltpersonforetak.
Boks 7.1 Oversikt over skattebetalingsregler
Etterskuddsvis betaling for selskaper som er egne skattesubjekter:
Etter skattebetalingsloven §§ 2 og 27 skal blant annet aksjeselskaper og allmennaksjeselskaper samt selskaper som er likestilte med slike og selskaper som har eget styre, betale skatten etterskuddsvis, det vil si i året etter inntektsåret. I praksis innebærer dette at alle selskaper som er egne skattesubjekter, jf. skatteloven § 2-2 første ledd, skal betale skatten etterskuddsvis. Bestemmelsene om etterskuddsskatt er gitt i skattebetalingsloven kapittel 6. Etter disse bestemmelsene skal etterskuddspliktige betale skatten i form av forhåndsskatt i to terminer forut for ligningen (15. februar og 15. april) og i form av et avregningsoppgjør (”resterende skatt”) etter at ligningen er gjennomført.
Forskuddsvis betaling for deltakere i deltakerlignede selskaper:
Ansvarlige selskaper og kommandittselskaper har ikke styre som obligatorisk selskapsorgan, og reglene om etterskuddsskatt i skattebetalingsloven omfatter ikke slike selskaper. Det samme gjelder for andre selskaper som i dag blir deltakerlignet. Det innebærer at deltakerne i slike selskaper betaler skatten forskuddsvis etter reglene om forskuddsskatt i skattebetalingsloven kapittel 3 og 4. Forskuddsskatten forfaller til betaling i fire like store terminer i inntektsåret (15. mars, 15. mai, 15. september og 15. november).
Avregningsoppgjør finner sted etter at ligningen er gjennomført i året etter inntektsåret, hvor eventuell restskatt forfaller til betaling tre uker etter at skattelisten er kunngjort. Den enkelte deltaker i selskapet er i utgangspunktet kun ansvarlig for skatt som er utlignet på deltakeren selv. I tillegg har selskapet et subsidiært ansvar etter skattebetalingsloven § 37 nr. 3, med regress til deltakeren etter skattebetalingsloven § 37 nr. 6. Derimot har deltakerne ikke personlig ansvar for hverandres skatteforpliktelser.
Skattested:
Selskaper som er egne skattesubjekter er skattepliktige kun til staten, jf. skatteloven § 2-36 annet ledd. Skattepliktig inntekt og formue fastsettes som hovedregel i kontorkommunen, jf. skatteloven § 3-2 og ligningsloven § 8-6.
Skatteloven har ingen særskilte bestemmelser om skattestedet for deltakere i deltakerlignede selskaper . Spørsmålet om skattested må derfor avgjøres etter de generelle bestemmelsene om skattested for personlige skattytere.
Personlige deltakere i deltakerlignede selskaper skal som hovedregel svare skatt til bostedskommunen, jf. skatteloven § 3-1. Et viktig unntak fra hovedregelen om skattlegging i bostedskommunen, er de tilfellene der selskapet har inntekter eller formue som skal skattlegges etter bestemmelsene om stedbunden beskatning, jf. skatteloven § 3-3. I slike tilfeller skattlegges deltakeren for sin andel av denne inntekten i den kommunen hvor virksomheten blir drevet. Et kommandittselskap som utøver virksomhet gjennom komplementarens kontor, skattlegges i komplementarens kontorkommune, jf. skatteloven § 3-3 annet ledd d. Når et aksjeselskap deltar i et deltakerlignet selskap, gjelder de ordinære bestemmelsene om skattestedet for slike selskaper.
Dersom deltakerlignede selskaper blir egne skattesubjekter, vil det få konsekvenser for skattestedet. Mye taler for at beskatningen bør skje i kontorkommunen eller den kommunen der virksomheten utøves.
Utvalget slutter seg delvis til denne øvrige begrunnelsen, men har enkelte supplerende merknader til de argumentene som anføres i meldingen.
På s. 97 i stortingsmeldingen uttales vedrørende den faktiske nærheten mellom selskap og deltaker som argument for fortsatt deltakerligning:
”Deltakerne i deltakerlignede selskaper er direkte ansvarlige for selskapets forpliktelser, uten noen form for ansvarsbegrensning. Det er en direkte sammenheng mellom selskapets og deltakernes økonomi og disposisjoner. Å gjøre deltakerlignede selskaper til egne skattesubjekter innebærer derfor at det innføres et formelt skille mellom selskapet og deltakerne ved beskatningen, som i liten grad vil gjenspeile realitetene i selskapsforholdet.”
Utvalget har vurdert dette argumentet om nærhet mellom selskap og deltaker i en annen sammenheng, jf. utvalgets forslag om å basere ekstrabeskatningen av deltakerne på utdeling fra selskapet. Utdelingsløsningen innebærer at det trekkes et skattemessig skille mellom deltaker og selskap. Utvalget viser til at når nærhetsargumentet ikke anses for å være til hinder for ekstrabeskatning ved utdeling, bør det heller ikke hindre at selskapet blir eget skattesubjekt.
Utvalget slutter seg ikke ubetinget til formuleringen om at et skattemessig skille mellom selskap og deltaker i liten grad vil gjenspeile realitetene i selskapsforholdet. Utvalget viser til at det også sivilrettslig er et skille mellom deltaker og selskap i visse sammenhenger. Blant annet kan selskapet være subjekt for formuesrettslige rettigheter og forpliktelser, og selskapet kan ha selvstendig prosessuell partsevne, jf. selskapsloven § 2-1 første ledd.
Etter utvalgets vurdering har argumentet om nærhet mellom selskap og deltaker begrenset vekt ved vurderingen av om selskapet skal bli eget skattesubjekt.
Utvalget har også vurdert om hensynet til å begrense regnskaps- og revisjonsplikten kan tilsi at selskapene fortsatt bør deltakerlignes. Synspunktet er da at regnskaps- og revisjonsplikten kan måtte utvides som følge av at deltakerne får et mer sekundært ansvar for selskapets skatteforpliktelser, jf. omtalen av en slik mulig utvidelse i skattemeldingen på side 98.
I dag er de enkelte deltakerne ansvarlig for skatt som er utlignet på dem selv, men har ikke personlig ansvar for andre deltakeres skatt. I tillegg har selskapet et subsidiært ansvar etter skattebetalingsloven § 37 nr. 3, med regress til deltakeren etter skattebetalingsloven § 37 nr. 6. Dersom selskapene blir egne skattesubjekter, vil selskapet få prinsipalt ansvar for skatten, og deltakerne kun subsidiært ansvar (men fortsatt uten ansvarsbegrensning). Etter utvalgets vurdering er det usikkert om en slik endring av skatteansvaret bør få betydning for regnskaps- og revisjonsplikten. Fordi deltakernes sekundære ansvar er ubegrenset, vil det ikke være samme behov for kreditorvern som i selskaper med begrenset ansvar, og dermed heller ikke et tilsvarende behov for full regnskaps- og revisjonsplikt i alle selskaper. Etter utvalgets vurdering bør derfor argumentet om utvidet regnskaps- og revisjonsplikt tillegges begrenset vekt ved vurderingen.
Argumentasjonen i skattemeldingen er også knyttet til at det bør være samme rutiner for skattebetaling i deltakerlignede selskaper og i enkeltpersonforetak, noe som tilsier fortsatt deltakerligning. Deltakerligning innebærer at hver enkelt deltaker er skattesubjekt, og at deltakerne svarer forskuddsskatt. En omgjøring til egne skattesubjekter vil innebære at det blir selskapet som får utlignet skatten, og som primært er ansvarlig for denne. Selskaper som er egne skattesubjekter, svarer skatten etterskuddsvis. Reglene om skattebetaling er gjennomgått mer detaljert i boks 7.1.
Dersom selskapene blir etterskuddspliktige, blir det betydelige forskjeller mellom skattebetalingen i enkeltpersonforetak og i deltakerlignede selskaper. I meldingen understrekes behovet for like regler for alle næringsdrivende, fordi det kan være et uklart skille mellom enkeltpersonforetak og deltakerlignede selskaper. Det vises til nærmere omtale av dette skillet i kapittel 7. Utvalget viser imidlertid til at det i praksis vil bli lagt vekt på om det foreligger et registrert selskap eller om det blir særskilt godtgjort overfor ligningsmyndighetene at vilkårene for å være selskap er oppfylt. Behovet for like regler i enkeltpersonforetak og deltakerlignede selskaper er derfor etter utvalgets vurdering ikke et tungtveiende argument i denne sammenheng.
Etter en samlet vurdering er utvalget kommet til at deltakerlignede selskaper fortsatt bør deltakerlignes etter en nettometode . Utvalget legger særlig vekt på at deltakerligning vil sikre fortsatt adgang til inntektssamordning mellom deltaker og selskap.
8 Ekstrabeskatning av deltakere
8.1 Hvilke deltakere skal ekstrabeskattes?
Utvalget foreslår at kun personlige deltakere ekstrabeskattes etter deltakermodellen. Bakgrunnen for dette forslaget er hensynet til å unngå kjedebeskatning ved ekstrabeskatningen. At selskapsdeltakere ikke skal ekstrabeskattes vil ha betydning for aksjeselskap som er deltaker i et deltakerlignet selskap. Dersom det ikke ble gjort unntak for aksjeselskap, ville det bli ny ekstrabeskatning etter aksjonærmodellen ved ubetaling til en personlig aksjonær som direkte eller indirekte eier aksjer i aksjeselskapet.
For deltakerlignede selskaper som deltar i et annet deltakerlignet selskap, vil unntaket ikke ha betydning, fordi selskapet ikke er egen skattyter. Unntaket vil derimot få betydning dersom et aksjeselskap er deltaker i det deltakerlignede eierselskapet.
Bruk av deltakermodellen i selskapsstrukturer med både deltakerlignede selskaper og aksjeselskaper, reiser spørsmål om forholdet mellom deltakermodellen og aksjonærmodellen . Utvalget foreslår at deltakermodellen skal benyttes hvor en personlig deltaker direkte eier andel i et deltakerlignet selskap. Aksjonærmodellen vil gjelde hvor en personlig aksjonær direkte eier aksje i et aksjeselskap. Indirekte eierskap vil ikke ha noen betydning i forhold til hvilken modell som skal benyttes.
Fritaksmetoden er vedtatt som metode for å unngå kjedebeskatning hvor det er flere selskapslignede innretninger i en eierkjede, jf. endringslov 10. desember 2004 nr. 77. Fritaksmetoden innebærer at selskapsaksjonærer som er selvstendige skattesubjekter (aksjeselskap mv.), i hovedregelen fritas for beskatning av utbytte og gevinst på aksjer, samtidig som det ikke gis fradrag for tilsvarende tap. Fritaksmetoden omfatter ikke deltakerlignede selskaper som investeringsobjekt.
Bruken av fritaksmetoden reiser særlige spørsmål i en eierkjede med både aksjeselskap og deltakerlignede selskap. I Ot.prp. nr. 1 (2004-2005) Skatte- og avgiftsopplegget 2005 punkt 6.5.9, er løsningen på denne problemstillingen beskrevet slik:
”Fritaksmetoden vil kun gjelde for selskaper mv. som er egne skattesubjekter. Departementet legger til grunn at fritaksmetoden skal komme til anvendelse uavhengig av om inntekt innvinnes av et selskap mv. direkte eller indirekte gjennom deltakerlignet selskap. Tilsvarende gjelder for tap. Dette kan utledes av forslaget til ny § 2-38 i skatteloven, og fordrer ingen ytterligere lovhjemmel.
I det gjeldende systemet blir skattepliktige aksjegevinster og fradragsberettigede aksjetap medregnet i nettoresultatet som skal fordeles til beskatning på andelshavernes hånd. Siden slike gevinster og tap fortsatt skal beskattes/fradras på personlige deltakeres hånd, bør denne praksisen videreføres. Fritaksmetoden medfører imidlertid at den del av nettoresultatet som tilordnes selskap mv. som omfattes av fritaksmetoden som subjekt, må reduseres for andel av inntektsført aksjegevinst og forhøyes med fradragsført aksjetap. Tilsvarende gjelder for andre inntekter og tap som medregnes i nettoresultatet, og som omfattes av fritaksmetoden. [...]
De samme prinsipper må gjelde for kostnader som har tilknytning til aksjeinntekter, og som ikke gir rett til løpende fradrag når skattyter er fritatt fra beskatning av aksjeinntekten[...].
Det er i dag fast praksis at utbytte som tilfaller et deltakerlignet selskap skal holdes utenfor nettoligningen, og isteden fordeles direkte på deltakerne. Årsaken er at deltakerne skal tilkjennes godtgjørelse og kredit på bakgrunn av mottatt utbytte. Departementet legger til grunn at denne praksisen videreføres, og at fritaksmetoden anvendes direkte på den del av utbyttet som tilordnes deltaker som omfattes av fritaksmetoden som subjekt.
Løsningene som angitt ovenfor skal også anvendes når det er flere ledd av deltakerlignede selskaper.”
Utvalget viser til at den her beskrevne løsningen er tilpasset skjermingsmodellen som beskatningsmodell for deltakerlignet selskap, jf. beskrivelsen av skjermingsmodellen i skattemeldingen kapittel 10. Utvalget konstaterer at denne løsningen også kan anvendes ved bruk av deltakermodellen for deltakerlignet selskap.
Deltakermodellen muliggjør imidlertid enkelte forenklinger ved bruk av fritaksmetoden i selskapsstrukturer med både aksjeselskap og deltakerlignet selskap. Forenklingene er mulige fordi deltakermodellen er vesentlig mer lik aksjonærmodellen enn skjermingsmodellen; blant annet er metoden for gevinstbeskatning i hovedsak lik i deltakermodellen og aksjonærmodellen, jf. kapittel 11. Etter utvalgets vurdering muliggjør deltakermodellen en utvidelse av fritaksmetodens anvendelsesområde, slik at fritaksmetoden også i visse tilfeller skal gjelde direkte for deltakerlignet selskap. På samme måte som ved aksjeselskaper, kan beskatningen unnlates på selskapsnivå fordi den senere tas igjen ved utdeling til eier.
Etter utvalgets vurdering kan fritaksmetodens anvendelsesområde utvides til å omfatte tilfeller der et aksjeselskap realiserer andel i et deltakerlignet selskap. Det foreslås at oppregningen av kvalifiserende objekter i skatteloven § 2-38 annet ledd utvides til å omfatte realisasjonsgevinst og –tap på andel i selskap som nevnt i skatteloven § 10-40 første ledd.
Aksjeselskapets gevinst eller tap på andel i deltakerlignet selskap omfattes da direkte av fritaksmetoden. En slik utvidelse av fritaksmetodens anvendelsesområde vil ha stor praktisk betydning. Utvidelsen vil innebære at hele gevinsten unntas fra beskatning på selskapsdeltakers hånd, uavhengig av om gevinsten gjenspeiler aksjeverdier eller andre verdier i det solgte selskapet. Deles gevinsten senere ut, enten helt eller delvis, vil den bli gjenstand for beskatning hos personlig deltaker i eierkjeden etter aksjonærmodellen eller deltakermodellen.
Etter utvalgets vurdering kan dette være en hensiktsmessig løsning på problemet med bruk av fritaksmetoden hvor et aksjeselskap realiserer andel i et deltakerlignet selskap som eier aksjer i et annet aksjeselskap. I en slik situasjon kunne det medføre til dels betydelige beregningsproblemer å praktisere fritaksmetoden slik at kun den delen av realisasjonsgevinsten som skyldes underliggende aksjeverdier, unntas fra beskatning i det andre aksjeselskapet. I mange tilfeller kunne et slikt krav til utskilling forutsette verdsettelser man i praksis ikke ville makte å foreta. Et eksempel kan være ved realisasjon av andel i deltakerlignet selskap med en rekke aksjeposter i ikke-børsnoterte aksjeselskaper som delvis faller innenfor eller utenfor fritaksmetodens anvendelsesområde, jf. skatteloven § 2-38 annet og tredje ledd. Med utvalgets foreslåtte løsning blir utskilling av underliggende aksjeverdier unødvendig.
De samme avgrensninger som gjelder etter skatteloven § 2-38 tredje ledd, må gjelde for andeler i deltakerlignede selskaper. Reglene vil ikke komme til anvendelse der det innehas en eierandel på mindre enn 10 pst. i et deltakerlignet selskap utenfor EØS, eller der det dreier seg om et deltakerlignet selskap som ligger i et lavskatteland utenfor EØS. Der det deltakerlignede selskapet i et slikt tilfelle innehar aksjer som ville kvalifisere etter fritaksmetoden, skal det ikke gis et delvis fritak. Løsningen blir ikke her annerledes enn ved aksjer i aksjeselskaper som faller utenfor fritaksmetoden, der det aktuelle aksjeselskapet selv har aksjer i selskaper som ville kvalifisere.
Utvalget har ikke vurdert eventuelle nødvendige tilpasninger til NOKUS-reglene.
8.2 Inntektsgrunnlag ved ekstrabeskatning
8.2.1 Personinntekt eller alminnelig inntekt?
Ekstrabeskatning av deltakere i deltakerlignede selskaper reiser spørsmål om hvilket inntektsgrunnlag ekstrabeskatningen skal skje i. Spørsmålet er om ekstrabeskatningen skal skje ved at det beregnes personinntekt hos deltakeren, eller ved at det beregnes et tillegg i alminnelig inntekt.
Etter utvalgets oppfatning er det hensyn som taler for begge løsninger. Følgende hensyn taler for at ekstrabeskatningen gjennomføres i alminnelig inntekt:
Utvalget viser til at ekstrabeskatning skal skje uavhengig av om deltakerne er aktive eller passive i selskapet. Etter utvalgets vurdering vil personinntektsberegning for passive selskapsinvestorer være et klart brudd med den tradisjonelle bruken av dette inntektsbegrepet . Personinntekt omfatter først og fremst inntekt fra arbeid i og utenfor ansettelsesforhold, herunder arbeidsavkastning i virksomhet, samt pensjonsinntekter. Etter utvalgets vurdering virker det lite konsistent at inntekt fra passiv kapitalforvaltning skal anses som personinntekt og inngå i grunnlaget for pensjonsgivende inntekt. Ved å gjennomføre tilleggsbeskatningen i alminnelig inntekt, kan den tradisjonelle avgrensningen av personinntektsbegrepet videreføres.
Utvalget mener det bør legges stor vekt på forutsigbarhet med hensyn til selskapsinvesteringer. Det innebærer at så vel skattereglene som skattesatsene bør være stabile over tid. Utvalget viser i denne forbindelse til at skattesatsen på alminnelig inntekt har stått uendret siden dette inntektsbegrepet ble innført ved skattereformen i 1992. Skattesatsene for personinntekt har derimot vært endret en rekke ganger, med en klar utvikling i retning av skjerpet toppskatt. Etter utvalgets vurdering ivaretas behovet for forutberegnelighet og stabilitet best ved bruk av alminnelig inntekt som inntektsgrunnlag.
Utvalget mener det er hensiktsmessig med samme satsstruktur for alle typer selskaper på den ene side, og for lønnstakere og selvstendig næringsdrivende på den annen side. Det gjelder særlig dersom maksimal marginalskattesats i personbeskatningen blir høyere enn 48,16 pst., som er marginalskattesatsen etter aksjonærmodellen og etter utvalgets forslag til deltakermodell. Lik satsstruktur for alle typer selskaper vil gi færre skattemessige incentiver med hensyn til valg av selskapsform.
Etter selskapsloven § 2-26 første ledd kan en deltaker som tar del i forvaltningen av selskapet eller på annen måte yter en arbeidsinnsats i selskapets virksomhet, få utbetalt særskilt godtgjørelse for denne innsatsen. Utvalget viser til at ekstrabeskatning i alminnelig inntekt kombinert med slik godtgjørelse, vil gi aktive deltakere tilsvarende adgang til å fordele beskatningen mellom alminnelig inntekt og personinntekt som i aksjonærmodellen (ved uttak av lønn fra aksjeselskaper).
Beskatning ved utdeling innebærer at skattyter selv kan bestemme tidfestingen av inntekten. For å unngå skatteplanlegging bør derfor utdelingsbeskatning skje i et inntektsgrunnlag med flat satsstruktur. Dersom ekstrabeskatningen gjennomføres i alminnelig inntekt, vil satsstrukturen også være flat ved ekstrabeskatningen. Gjennomføres derimot ekstrabeskatningen i personinntekt, vil satsstrukturen være progressiv. Personinntekt er beregningsgrunnlag for trygdeavgift og toppskatt. Toppskatten er progressiv med flere trinn over bunnfradraget/0-satsintervallet. På grunn av progresjonen i toppskatten, vil utvalget fraråde å kombinere beskatning ved utdeling med personinntekt som inntektsgrunnlag. Selv om ekstrabeskatningen knyttes til alminnelig inntekt, vil noen av de samme tilpasningsmulighetene kunne oppstå med hensyn til uttak av særskilt arbeidsgodtgjørelse etter selskapsloven § 2-26 første ledd, fordi slik godtgjørelse er personinntekt. Men slik godtgjørelse må være knyttet til en konkret arbeidsinnsats i selskapet, og deltakeren står dermed ikke like fritt til å bestemme tidfesting av slik godtgjørelse som ved utdeling fra selskapet. Tidfesting av særskilt arbeidsgodtgjørelse følger som hovedregel 4 regnskapsprinsippet også hos deltakeren, jf. Lignings-ABC 2003 side 742 pkt 2.4. Fordi slik godtgjørelse følger regnskapsprinsippet og ikke kontantprinsippet som lønnsinntekt gjør, skjer skattleggingen i det inntektsåret arbeidet er utført.
Bruk av personinntekt som inntektsgrunnlag, kan medføre komplikasjoner i utenlandsforhold. Fordi personinntekt gir grunnlag for fastsettelse av pensjonsgivende inntekt og er grunnlag for beregning av trygdeavgift, vil det ikke være tilstrekkelig å løse spørsmål om nasjonal beskatningsrett mv. ved bruk av skatteavtaler. I tillegg må trygdekonvensjoner trekkes inn. Det innebærer at rettskildebildet forvanskes betydelig i utenlandsforhold. Ved å knytte ekstrabeskatningen til alminnelig inntekt, unngås denne kompliserende faktoren.
For alderspensjonister vil tillegg i personinntekten kunne gi avkortning av alderspensjonen . Etter folketrygdloven § 19-6 annet ledd første punktum skal alderspensjon til en person mellom 67 og 70 år reduseres (graderes) på grunnlag av pensjonsgivende inntekt som vedkommende har. Det innebærer at en alderspensjonist som er passiv investor i for eksempel et kommandittselskap, kan få pensjonen avkortet dersom det beregnes personinntekt for vedkommende. Etter utvalgets vurdering er en slik løsning lite rimelig og gir en uheldig forskjellsbehandling av forskjellige typer selskapsinvesteringer. Dette problemet kan løses med særregler om at beregnet personinntekt likevel ikke skal gi avkortning av pensjon. Brukes alminnelig inntekt som inntektsgrunnlag ved ekstrabeskatningen, unngås imidlertid problemet helt, og det vil ikke være nødvendig med noen slik særregel.
Det er en sammenheng mellom metoden for ekstrabeskatning av deltakerne i et selskap, og metoden for beregning av gevinst ved realisasjon av andel. Utvalget viser til nærmere omtale av dette i kapittel 11. Som en konsekvens av utdelingsbeskatningen i deltakermodellen, foreslår utvalget at skattepliktig gevinst ved realisasjon av selskapsandel fastsettes til differansen mellom netto vederlag for andelen og netto kostpris for andelen. Denne differansen skattlegges som alminnelig inntekt. En slik løsning innebærer at ubenyttet skjermingsfradrag ved inntektsbeskatningen bør kunne utnyttes i realisasjonsgevinst på andel, på tilsvarende måte som i aksjonærmodellen. Det innebærer at ekstrabeskatningen av utdeling til deltaker og skattlegging av realisasjonsgevinster bør gjennomføres i samme inntektsgrunnlag. Alminnelig inntekt er egnet som et slikt felles inntektsgrunnlag, men ikke personinntekt. At kun alminnelig inntekt er egnet som et slikt felles inntektsgrunnlag, skyldes at realisasjonsgevinster bør skattlegges i et inntektsgrunnlag med flat satsstruktur for å unngå tilpasninger.
Etter utvalgets vurderinger er det også fordeler knyttet til bruk av personinntekt som inntektsgrunnlag:
En fordel med å bruke personinntekt som grunnlag for ekstrabeskatning av deltakere i deltakerlignede selskaper, er at en slik løsning gir likebehandling av selvstendig næringsdrivende og andre næringsdrivende på dette punktet. Utvalgets forslag til foretaksmodell innebærer at det skal beregnes personinntekt for selvstendig næringsdrivende, jf. kapittel 13. Blant annet fordi stiftelsesbestemmelsene i selskapsloven ikke er gyldighetsbetingelser, kan det i praksis være en noe uklar overgang mellom enkeltpersonforetak og deltakerlignet selskap. Det vises til nærmere omtale av det materielle selskapsbegrepet i kapittel 7. Isolert sett kan den uklare grensen mellom foretaksformene tilsi mest mulig lik beskatning av enkeltpersonforetak og deltakerlignede selskaper, herunder like inntektsgrunnlag.
Utvalget legger imidlertid til grunn at avgrensningen mellom disse foretaksformene ikke vil medføre særlige problemer i praksis. I praksis vil det bli lagt vekt på om det foreligger et registrert selskap eller om det blir særskilt godtgjort overfor ligningsmyndighetene at vilkårene for å være selskap er oppfylt. Etter utvalgets vurdering bør derfor ikke likhetsbehovet tillegges særlig vekt.
En annen fordel med å bruke personinntekt som inntektsgrunnlag ved ekstrabeskatningen, er at en slik løsning gir grunnlag for fastsettelse av pensjonsgivende inntekt . Det vises i denne forbindelse til folketrygdloven § 3-15 første ledd som bestemmer at personinntekt regnes som pensjonsgivende inntekt. Et tilsvarende grunnlag for fastsettelse av pensjonsgivende inntekt vil ikke foreligge dersom ekstrabeskatningen skjer i alminnelig inntekt. Utvalget viser imidlertid til at pensjonsgivende inntekt da kan fastsettes ved at en deltaker mottar særskilt godtgjørelse for arbeidsinnsats i selskapet etter selskapsloven § 2-26 første ledd. Slik godtgjørelse regnes som personinntekt etter skatteloven § 12-2 f, og gir dermed grunnlag for fastsettelse av pensjonsgivende inntekt. Det vises til nærmere omtale av slik godtgjørelse nedenfor.
Etter en samlet vurdering, foreslår utvalget at ekstrabeskatning etter deltakermodellen gjennomføres i alminnelig inntekt.
8.2.2 Skattemessig klassifisering mv. av særskilt godtgjørelse for arbeid
Etter selskapsloven § 2-26 første ledd kan en deltaker få utbetalt særskilt godtgjørelse for innsats i selskapet. Utdeling etter denne bestemmelsen skal gi grunnlag for fastsettelse av pensjonsgivende inntekt for deltakeren. Det reiser spørsmål om det gjelder noen begrensninger for når slik godtgjørelse kan utbetales. Selskapsloven § 2-26 har følgende ordlyd:
”Deltaker som tar del i forvaltningen av selskapet eller på annen måte yter en arbeidsinnsats i selskapets virksomhet, har krav på å få utbetalt særskilt godtgjørelse for dette.”
Bestemmelsen stiller ikke andre krav til arten av innsatsen enn at den må være knyttet til forvaltningen av selskapet eller annet arbeid i selskapet. Bestemmelsen stiller heller ikke krav til omfanget av innsatsen. Utvalget legger til grunn at også ordinær innsats i selskapet som deltakeren har forpliktet seg til etter selskapsavtalen, kan godtgjøres etter § 2-26 første ledd. Godtgjørelsen har deltakeren krav på selv om virksomheten går med underskudd. Hvorvidt deltakeren har krav på å få innsatsen godtgjort etter § 2-26 første ledd, eller om avkastningen av innsatsen skal komme deltakeren til gode som en overskuddsandel, vil bero på en tolkning av avtalegrunnlaget deltakerne imellom. Dersom beløpet ikke er nærmere regulert i selskapsavtalen, må størrelsen av godtgjørelsen bero på et skjønn i det konkrete tilfellet. Sentrale momenter her vil være arten og omfanget av den innsatsen som er prestert.
Utvalget legger til grunn at det ikke kan oppstilles noen selskapsrettslige rammer for hvilken arbeidsinnsats som kan godtgjøres etter § 2-26 første ledd. Etter utvalgets vurdering åpner bestemmelsen for at deltakerne kan ta ut særskilt godtgjørelse langt på vei på tilsvarende måte som en aktiv aksjonær i et aksjeselskap kan ta ut lønn for innsatsen.
Godtgjørelse etter selskapsloven § 2-26 første ledd reiser spørsmål om beskatningsmåten. Etter gjeldende rett skal slik godtgjørelse som hovedregel anses som næringsinntekt og ikke som lønn. Hjemmelen for skattlegging som alminnelig inntekt er bestemmelsen om virksomhetsinntekt i skatteloven § 5-1, jf. § 5-30. Godtgjørelsen anses som personinntekt etter § 12-2 f. Det følger av folketrygdloven § 23-3 at personinntekt etter § 12-2 f er grunnlag for beregning av trygdeavgift med høy sats. Det skal ikke svares arbeidsgiveravgift av beløpet.
For godtgjørelse til deltakere med begrenset ansvar (kommandittist og stille deltaker) gjelder et unntak fra utgangspunktet om at godtgjørelsen anses som næringsinntekt. I slike tilfeller kan selskapet velge å behandle godtgjørelsen enten som lønn eller som næringsinntekt. En og samme deltaker kan ikke tilordnes både lønn og godtgjørelse etter selskapsloven § 2-26 første ledd fra samme selskap i samme inntektsår. Denne valgfriheten for deltakere med begrenset ansvar er nærmere beskrevet i Lignings-ABC 2003 på side 240, som gir uttrykk for Skattedirektoratets fortolkning av de aktuelle bestemmelsene.
Uansett om vederlaget anses som lønn eller næringsinntekt som beskrevet foran, regnes det som pensjonsgivende inntekt etter folketrygdloven § 3-15.
Utvalget har vurdert om det er hensiktsmessig å videreføre den gjeldende hovedregelen 5 om at særskilt godtgjørelse skal anses som næringsinntekt, eller om godtgjørelsen bør behandles som lønn. Hensynet til at det bør være like regler for selskapene kan isolert sett tilsi at ytelsen behandles som lønn (fordi parallellen i aksjeselskaper er lønnsuttak). Utvalget er imidlertid kommet til at det vil være mindre naturlig å behandle godtgjørelse fra egen næringsvirksomhet som lønn. Etter utvalgets vurdering bør det legges vekt på likhetsbetraktninger mellom selvstendig næringsdrivende og andre næringsdrivende i forhold til regler om arbeidsgiveravgift, trygdeavgiftssats og rettigheter etter folketrygdloven. Utvalget er på denne bakgrunn kommet til at særskilt godtgjørelse etter selskapsloven § 2-26 første ledd fortsatt som hovedregel bør behandles som næringsinntekt. På samme måte som etter gjeldende rett bør det være valgadgang for deltakere med begrenset ansvar.
8.2.3 Særskilt godtgjørelse for arbeid og gjennomskjæring
Godtgjørelse etter selskapsloven § 2-26 første ledd og andel av overskudd i deltakerlignet selskap skattlegges på forskjellig måte. Godtgjørelsen er personinntekt etter skatteloven § 12-2 f, og er dermed beregningsgrunnlag for toppskatt og trygdeavgift. Personlig deltakers andel av overskudd i deltakerlignet selskap skal derimot skattlegges etter deltakermodellen, noe som innebærer flat satsstruktur med en effektiv skattesats på 48,16 pst. for uskjermet del av overskuddet. Disse forskjellene i beskatningen av særskilt godtgjørelse og overskuddsandel, kan gi opphav til tilpasninger for å spare skatt.
En mulig tilpasning er for lavt uttak av særskilt godtgjørelse for arbeid, dvs. lavere uttak enn markedsverdien av arbeidet i selskapet. En slik tilpasning vil være aktuell når marginalskattesatsen for næringsinntekt 6 i personbeskatningen blir høyere enn marginalskattesatsen i deltakermodellen på 48,16 pst. For inntektsåret 2005 vil denne effekten inntre ved innslagspunktet i trinn 1 i toppskatten (381 000 kroner i klasse 1 og 393 700 kroner i skatteklasse 2). Ved disse innslagspunktene blir marginalskattesatsen for næringsinntekt for personer 50,7 pst. (28 pst. + 12 pst. + 10,7 pst.).
En annen mulig tilpasning er for høyt uttak av særskilt godtgjørelse for arbeid, dvs. høyere uttak enn markedsverdien av arbeidet i selskapet. Fordi særskilt godtgjørelse kan gi grunnlag for opptjening av trygderettigheter, og fordi slik godtgjørelse skattlegges progressivt, vil det opp til et visst beløp være mer lønnsomt å ta ut særskilt godtgjørelse enn andel av overskudd. Størrelsen på dette beløpet vil avhenge av hvilken annen personinntekt vedkommende deltaker har.
I boks 8.1 gis det en tallfesting av de konsekvenser inntektsskifting kan innebære.
Utvalget viser til at tilsvarende tilpasningsspørsmål oppstår i forhold til aksjonærmodellen og lønnsuttak, med den forskjellen at satsstrukturen er annerledes for lønnsinntekt enn for næringsinntekt (på grunn av arbeidsgiveravgift og annen trygdeavgiftssats). Utvalget mener at denne problemstillingen bør håndteres likt i aksjonærmodellen og deltakermodellen. Utvalget viser til at problemstillingen med lønnsuttak og gjennomskjæring er påpekt i forslaget til aksjonærmodell i Ot.prp. nr. 1 (2004-2005), men ikke nærmere drøftet der. 7 Utvalget legger til grunn at dette spørsmålet vil bli nærmere avklart frem til modellene settes i kraft 1. januar 2006. Utvalget vil imidlertid advare mot en streng praksis på dette området. Etter utvalgets vurdering er gjennomskjæring et lite hensiktsmessig virkemiddel mot systemsvakheter i form av betydelige satsforskjeller. Det regelbaserte uttaksprinsippet bør ikke baseres på en utstrakt bruk av et skjønnsbasert kildeprinsipp som en subsidiær sikkerhetsventil.
Overprøving av nivået på arbeidsgodtgjørelse innebærer vanskelige vurderinger, og skal ligningsmyndighetene overprøve dette, bør det skje på en konsekvent måte. Som gjennomgangen foran viser, vil tilpasninger både kunne skje ved for lavt uttak av særskilt godtgjørelse, og for høyt uttak. Etter utvalgets vurdering vil det kreve uforholdsmessig store ressurser om ligningsmyndighetene skal overprøve dette spørsmålet på en konsekvent måte.
Utvalget viser for øvrig til at betydningen av tilpasninger på dette punktet reduseres vesentlig ved opphevelse av delingsmodellen. I delingsmodellen kunne slik tilpasning særlig bli brukt for å få arbeidsavkasting fra selskap skattlagt som selskapsoverskudd fra ikke delingspliktig selskap, og dermed unngå personinntektsbeskatning og arbeidsgiveravgift (i aksjeselskaper mv.). Deltakermodellen og aksjonærmodellen vil imidlertid redusere lønnsomheten av slike tilpasninger, og redusere behovet for at ligningsmyndighetene overprøver dette.
Utvalget legger til grunn at overprøvelsesadgangen ikke skal være avskåret i alle tilfeller. Eksempelvis må ligningsmyndighetene ha en viss adgang til overprøving hvor en deltaker med liten eller ingen arbeidsinnsats i selskapet får utbetalt en betydelig særskilt godtgjørelse for å sikre opptjening av rettigheter etter folketrygdloven. Det vil fortsatt være anledning til å benytte skatteloven § 13-1 om interessefellesskap i særskilte tilfeller. Men etter utvalgets vurdering bør denne bestemmelsen benyttes med forsiktighet ved tilpasninger som skyldes lite samordnet satsstruktur i skattesystemet.
I selskapsstrukturer med både aksjeselskaper og deltakerlignede selskaper oppstår særskilte tilordnings- og gjennomskjæringsspørsmål. Det kan eksempelvis være tilfelle hvor en person eier aksje i et aksjeselskap som igjen eier en andel i et ansvarlig selskap, og personen er aktiv i det ansvarlige selskapet. Dersom det er aktuelt med gjennomskjæring på grunn av aktiviteten i det ansvarlige selskapet, kan det være tvil om vedkommende skal tilordnes særskilt godtgjørelse direkte fra det ansvarlige selskapet, eller lønn via aksjeselskapet.
Utvalget peker på denne problemstillingen, men tar ikke stilling til de forskjellige situasjonene som kan oppstå. Utvalget viser til at slike spørsmål må avklares som del av det videre arbeidet med gjennomskjærings- og tilordningsspørsmål i tilknytning til aksjonær- og deltakermodellen.
Boks 8.1 Konsekvensen av inntektsskifting
Et av formålene med innføring av aksjonærmodellen og deltakermodellen er at det ikke skal være skattemessig relevant om inntekt klassifiseres som kapitalinntekt, lønn eller særskilt arbeidsgodtgjørelse. Dette ville imidlertid forutsette tilnærmet like marginalskattesatser på disse inntektsartene. I denne boksen gjennomgås de skattemessige effekter av slik inntektsskifting. Det vil fremgå av disse beregninger at dersom marginalskattesatsene på de ulike inntektsarter ikke bringes vesentlig mer i høyde med hverandre, vil det ligge betydelige spenninger i skattessystemet med de satsene som er vedtatt for 2005.
Fra utbytte til arbeidsgodtgjørelse
La Y være omsetning. AG er arbeidsgodtgjørelse, L er lønn og O er løpende overskuddsskatt. Grunnlag for utdelingsskatt, U, er

Den løpende overskuddsskatt, O, er definert som s(Y-AG), hvor s er løpende overskuddsskattesats.
Eierens utdelte overskudd etter ekstraskatt, UN, er

hvor SK er skjermingsfradraget, og z er utdelingsskattesatsen/utbytteskattesatsen.
Setter vi inn (1) i (2), får vi

Anta nå at eieren oppgir én krone i utdeling, dvs. UN=-1. Anta videre at både omsetning (Y) og skjermingsfradrag (SK) er uendret. Dersom eieren omklassifiserer denne kronen over til arbeidsgodtgjørelse, blir bedriftens utbetaling av manglende arbeidsgodtgjørelse lik

hvor det forutsettes at endringen i Y og SK er null. En omklassifisering av én krone av utdeling etter utdelingsskatt gir således et beløp i arbeidsgodtgjørelse til utbetaling som er

Dette beløpet utbetales så til eieren som arbeidsgodtgjørelse. Denne beskattes som næringsinntekt, dvs. med vanlige personlige skattesatser og høy trygdeavgift. La M være marginalskattesats på arbeidsgodtgjørelse. Etter skatt på arbeidsgodtgjørelse sitter eieren igjen med

En ser nå at dersom , så vil en marginal transformasjon fra utbytte til arbeidsgodtgjørelse ikke ha skattemessige konsekvenser. Under en slik forutsetning er skattesystemet nøytralt i forhold til valg mellom utbytte og arbeidsgodtgjørelse. Forutsetningen for dette er således en marginalskatt på arbeidsgodtgjørelse i tråd med maksimal marginalskatt på utbytte, altså 48,16 pst.

Lønn istedenfor arbeidsgodtgjørelse
Dersom eieren istedenfor arbeidsgodtgjørelse transformerer utdeling til lønn, vil det påløpe arbeidsgiveravgift, samt at trygdeavgiften påløper med mellomsats (dvs. 7,8 pst.). Arbeidsgiveravgiften (AV) er fradragsberettiget i løpende overskuddssats. Grunnlag for utdeling før ekstraskatt blir nå

Overskudd etter ekstraskatt blir nå

Dersom vi nå reduserer utdeling til eier med en krone og overfører det til lønn, får vi

En krone utdelt til eier kan således omklassifiseres til lønn. Eieren vil ved en slik omklassifisering motta en lønn lik (9)

hvor M *er lik høyeste marginalskatt på lønn. Dersom det skal være skattemessig nøytralt å omdanne utdeling til lønn, må således (1-a)(1-s)(1+a)ª1- M *. Med dagens høye arbeidsgiveravgift, herunder ekstra høy arbeidsgiveravgift for inntekter over 16G, vil det normalt ikke være lønnsomt å omdanne utdeling til lønn, men dette vil åpenbart avhenge av eierens samlede inntektsbilde.
Eksempler
Skattesystemet er sprangvis progressivt, og incentivene for den enkelte eier til klassifisering av inntekt som enten utdeling, arbeidsgodtgjørelse eller lønn vil avhenge av eierens samlede inntekt og størrelsen på skjermingsfradraget. Det er åpenbart ikke lønnsomt for en eier å omdanne overskudd til lønn eller arbeidsgodtgjørelse for inntekt som skjermes. Det er først når skjermingen er uttømt det kan være fornuftig med slik omdanning.
Tabell 8.1 viser noen eksempler på slike omklassifiseringer av inntekt. Arbeidsgiveravgiften a settes til 14,1 pst. Eierens marginalskatteposisjon for arbeidsinntekt er inndelt i 3 kategorier. Marginalskatt på utbytte er a(1-s) = 48,16 pst. Tabellen viser verdien etter skatt av en krone som tas ut som lønn eller arbeidsgodtgjørelse i stedet for utdeling. Tabellen viser at det ikke lønner seg å ta ut inntekt som kapitalinntekt under 381 000, fordi man kan tjene 9 øre pr. krone på å ta ut lønn og 24 øre pr. krone på å ta ut arbeidsgodtgjørelse. Tilsvarende lønner det seg å ta ut inntekt som kapitalinntekt over 800 000 fordi man sparer hhv. 18 øre og 6 øre pr. krone i forhold til å ta ut inntekt som lønn eller arbeidsgodtgjørelse.
Tabell 8.1 Hvor mye mottar en eier i lønn eller arbeidsgodtgjørelse etter alle skatter ved en omklassifisering av 1 krone i utdeling til lønn eller arbeidsgodtgjørelse? Arbeidsgiveravgift forutsettes å være 14,1 prosent. 2005- marginalskattesatser
| Transformasjon av en krone utdelt til lønn | Transformasjon av en krone utdelt til arbeidsgodtgjørelse | |
|---|---|---|
| Samlet inntekt under toppskattegrensen (381 000 NOK) marginalskatt på 35,8 pst. for lønn og 38,7 pst. for arbeidsgodtgjørelse | 1,09 | 1,24 |
| Samlet inntekt over toppskattegrense 1 (381 000 NOK), marginalskatt på 47,8 pst. for lønn og 50,7 pst. for arbeidsgodtgjørelse | 0,88 | 1,01 |
| Samlet inntekt over øverste toppskattegrense (800 000 NOK), marginalskatt på 51,3 pst. for lønn og 54,2 pst. for arbeidsgodtgjørelse | 0,82 | 0,94 |
Dagens marginalskattesatser gir incentiver til omklassifisering av inntekt. Incentivene er størst for eiere av aksjeselskaper eller deltakere i deltakerlignede selskaper med høye inntekter. For eiere med lave/midlere inntekter er det incentiver i motsatt retning. For disse er det lønnsomt å ta ut mest mulig av inntekten som arbeidsgodtgjørelse eller eventuelt lønn.
Utvalget vil for øvrig understreke betydningen av at de forskjellige elementene i skattesystemet ses i sammenheng. Opphevelse av delingsmodellen forutsetter samordning av satsstrukturen for selskaper og personer. Det er av stor betydning at marginalskattesatsene for selskapseiere, lønnstakere og selvstendig næringsdrivende blir forholdsvis lik. En slik samordning av satsstrukturen innebærer at de tilpasningsproblemene som er påpekt foran, blir mindre. Utvalget vil minne om at en samordning av satsene var en forutsetning for gjennomføring av skattereformen og opphevelse av delingsmodellen. Utvalget konstaterer at satsreduksjonene for arbeidsinntekter har vært svært moderate og at satsforskjellen for personlig næringsdrivende med inntekt mellom 12 G og trinn 2 i toppskatten faktisk har økt, og at forutsetningene for gjennomføring av skattereformen så langt ikke er oppfylt. 8 Endringene i marginalskattesatsene fremgår av figur 8.1 nedenfor.

Figur 8.1 Forskjeller i marginalskatt 2004 og 2005 for lønn og næringsinntekt.
8.3 Skjerming mot ekstrabeskatning
8.3.1 Skjermingsgrunnlag
8.3.1.1 Innledning
I likhet med i aksjonærmodellen, skal skjermingsgrunnlaget i deltakermodellen som utgangspunkt knyttes til en deltakers individuelle investering i selskapet.
Utvalget foreslår at for deltakere som er med i selskapet fra stiftelsen, skal skjermingsgrunnlaget settes til deltakerens innskudd i selskapet. For selskapsandeler som er ervervet i annenhåndsmarkedet, skal netto vederlag for andelen være skjermingsgrunnlag, sammen med eventuelle senere innskudd i selskapet. For selskaper som eksisterer ved iverksettelsen av deltakermodellen, settes skjermingsgrunnlaget ved overgang til deltakermodellen til deltakerens andel av selskapets netto skattemessige verdier, korrigert for eventuell over- eller underpris ved ervervet.
8.3.1.2 Innskudd
Innskudd i selskapet vil som oftest være kapitalinnskudd, dvs. innskudd av finanskapital som kontanter, fordringer eller selskapsandeler. Kapitalinnskudd kan også bestå av realkapital (fast eiendom og løsøre) eller immateriell kapital (patenter etc.). Innskuddet kan være en varig overføring av eiendomsretten til innskuddsobjektet, eller kun en tidsbegrenset bruksrett. Det er den verdi tingsinnskudd inngår med i selskapets ”skattemessige” balanse som skal være skjermingsgrunnlag. Som hovedregel vil et tingsinnskudd inngå til markedsverdi, men i noen tilfeller vil innskuddet være foretatt med skattemessig kontinuitet, for eksempel etter reglene om skattefri omdanning. I slike tilfeller med skattemessig kontinuitet videreføres skattemessig bokførte verdier for de aktuelle eiendeler også med virkning for skjermingsgrunnlaget.
Innskuddet vil ikke kunne benyttes som skjermingsgrunnlag før det faktisk er ytt; en innskuddsforpliktelse i seg selv skal ikke kunne være skjermingsgrunnlag.
8.3.1.3 Netto vederlag for ervervet andel
Utvalget foreslår at netto vederlag for andelen skal være skjermingsgrunnlag for selskapsandeler som er ervervet i annenhåndsmarkedet. Det vil si at det ikke skal gjøres særskilte korreksjoner i skjermingsgrunnlaget for å ta hensyn til gjeld som overtas av kjøper.
Dersom overtatt gjeld ble tillagt netto vederlag for andelen i skjermingsgrunnlaget, ville det gitt mulighet for store skjermingsgrunnlag ved ekstra låneopptak i selskapet. Låneopptaket ville føre til at både eiendelene og gjelden i selskapet økte, mens andelens verdi ble uendret. Men skjermingsgrunnlaget ville i tillegg øke med gjeldsandelen, noe som ville favorisere låneopptak. Utvalget foreslår derfor at det er netto vederlag for andelen som skal være skjermingsgrunnlag.
Det vises til utvalgets lovutkast § 10-42 sjette ledd første punktum.
At det ikke korrigeres særskilt for gjeldsovertakelse, reiser særlige spørsmål i de tilfellene en kjøper får betalt for å overta en selskapsandel med tilknyttet gjeldsansvar. I et slikt tilfelle vil ordinær bruk av nettometoden innebære at skjermingsgrunnlaget blir negativt, og at grunnlaget for ekstrabeskatning blir større enn overskuddsandelen (”skjermingstillegg”). Utvalget foreslår at det ikke skal beregnes skjermingstillegg på negativt skjermingsgrunnlag.
Konsekvenshensyn tilsier da at vederlaget for å gå inn i virksomheten blir skattlagt enten som avkastning fra virksomheten eller regnes som negativ inngangsverdi ved senere avhendelse av andelen. Utvalget legger til grunn at vederlaget skal behandles som negativ inngangsverdi ved senere realisasjon av andelen, dvs. samme løsning som i dag.
8.3.1.4 Skjermingsgrunnlag etter omdanning
Skatteloven inneholder forskjellige bestemmelser om skattefri omdanning av næringsvirksomhet og selskaper. Etter skattelovens hovedregler innebærer all omdanning fra en eierform/selskapsform til en annen en skattepliktig realisasjon av eiendelene i det foretaket som omdannes. Bestemmelsene om skattefri omorganisering representerer et unntak fra utgangspunktet om skatteplikt. Særreglene om skattefri omdanning er begrunnet med at næringsvirksomhet skal kunne organiseres på en mest mulig hensiktsmessig måte, uten at det påløper skattekostnader ved omorganiseringer som gjennomføres etter nærmere regler.
Bestemmelsene om skattefri omdanning reiser forskjellige spørsmål i forhold til skjermingsgrunnlaget. Disse spørsmålene omtales her. Bestemmelsene om skattefri omdanning reiser også spørsmål om adgang til å overføre ubenyttet skjermingsfradrag fra den tidligere virksomheten etter en omdanning, se nærmere drøftelse av det spørsmålet i avsnitt 8.3.3.
Etter skatteloven § 11-3 kan to eller flere deltakerlignede selskaper fusjoneres , uten at det utløser noen realisasjonsbeskatning. Etter skatteloven § 11-5 gjelder tilsvarende regler om fisjon av deltakerlignet selskap.
Etter skatteloven § 11-20 første ledd c kan et enkeltpersonforetak eller deltakerlignet selskap omdannes på annen måte enn ved fusjon eller fisjon , til et annet deltakerlignet selskap med hovedsakelig samme eierforhold, uten at det skjer noen realisasjonsbeskatning.
Omdanning etter reglene foran gjennomføres med full skattemessig kontinuitet, dvs. at alle skatteposisjoner i selskapet og hos deltakerne overføres uendret etter omdanningen.
Utvalget viser til at skjermingsgrunnlaget bør videreføres uendret ved en skattefri omdanning fra deltakerlignet selskap til (et annet) deltakerlignet selskap . En slik videreføring er i samsvar med kontinuitetsprinsippet. Reglene om skattefri omdanning innebærer at andelens skattemessige verdi etter omorganisering tilsvarer andelens skattemessige verdi før omorganisering, slik at det vil være uproblematisk å anvende andelen etter omorganisering som skjermingsgrunnlag. I forbindelse med en skattefri fusjon eller fisjon, kan det gis et tilleggsvederlag som ikke skal overstige 20 pst. av det samlede vederlaget. Et slikt tilleggsvederlag vil bli skattlagt som utbytte i fusjoner/fisjoner av aksjeselskap, og utvalget legger til grunn at tilleggsvederlag ved fusjon/fisjon av deltakerlignet selskap skal beskattes på tilsvarende måte. Tilleggsvederlaget vil derimot ikke påvirke andelens kostpris etter omdanningen.
En omdanning fra enkeltpersonforetak til deltakerlignet selskap etter skatteloven § 11-20 første ledd c, innebærer overgang fra foretaksmodellen til deltakermodellen. En slik omdanning reiser spørsmål om hvilket skjermingsgrunnlag som skal benyttes som utgangspunkt i deltakermodellen. Utvalget viser i denne forbindelse til at det følger av kontinuitetsprinsippet at verdien av andelen etter omdanning skal gjenspeile skattemessig nettoverdi i virksomheten før omdanning, korrigert for den delen av verdiene som er overført til en annen deltaker (inntil 20 pst.). Denne verdien skal være skjermingsgrunnlag etter deltakermodellen.
Ved omdanning fra enkeltpersonforetak til deltakerlignet selskap oppstår spørsmålet om hva som skjer med eventuell negativ beregnet personinntekt ved omdanningen. Spørsmålet er om negativ beregnet personinntekt på noen måte skal kunne tillegges skjermingsgrunnlaget etter omdanningen. Utvalget legger til grunn at negativ beregnet personinntekt i denne forbindelse må anses som en individuell skatteposisjon som skal bortfalle ved omdanningen. Utvalget viser til at det vil være vanskelig å overføre negativ beregnet personinntekt til skjermingsgrunnlaget i deltakermodellen.
Problemet med slik overføring er for det første at inntektsgrunnlagene for ekstrabeskatning før og etter omdanning er forskjellige, med forskjellig satsstruktur (personinntekt og alminnelig inntekt). Dels er det et problem at negativ beregnet personinntekt ikke i sin helhet kan anses som ubenyttet skjermingsgrunnlag, men også vil avhenge av resultatet i virksomheten. Utvalget legger dessuten vekt på at det bør være likhet mellom deltakermodellen og aksjonærmodellen på dette punktet. Utvalget legger til grunn at negativ beregnet personinntekt vil bortfalle ved omdanning fra enkeltpersonforetak til aksjeselskap. Det er naturlig at den samme løsningen benyttes ved omdanning til deltakerlignet selskap.
8.3.1.5 Skjermingsgrunnlag ved innføring av deltakermodellen
Utvalget legger til grunn at deltakermodellen skal ha samme iverksettelsestidspunkt som aksjonærmodellen. Det vil si at deltakermodellen skal gjelde fra 1. januar 2006.
For andeler som ble ervervet før iverksettelsen av deltakermodellen, foreslår utvalget at skjermingen skal ta utgangspunkt i deltakerens andel av selskapets skattemessige verdier ved overgangen til deltakermodellen, det vil si verdiene i selskapets balanse pr. 31. desember 2005. En slik løsning vil sikre at skjermingen knyttes til opparbeidede skattlagte verdier ved overgangen til deltakermodellen. Løsningen ligger også prinsipielt sett nær bruken av RISK-regulerte aksjeverdier ved innføring av aksjonærmodellen.
Etter iverksettelsen av deltakermodellen, vil senere innskudd bli tillagt skjermingsgrunnlaget på ordinært vis.
Utvalget foreslår at skjermingsgrunnlaget ikke skal kunne settes lavere enn til null ved innføring av deltakermodellen.
Med deltakerens andel av selskapets netto skattemessige verdier, menes skattemessig verdi for selskapets eiendeler etter fradrag for selskapets gjeld, det vil si deltakers andel av selskapets ”skattemessige egenkapital”. Utvalget har vurdert om eiendelenes regnskapsmessige verdi i stedet skal kunne benyttes som grunnlag for skjerming (etter fradrag for gjeld), eventuelt at regnskapsmessige verdier skal kunne benyttes som en valgfri ordning. Etter utvalgets vurdering er det flere hensyn som taler for å benytte skattemessig og ikke regnskapsmessig verdi. Det viktigste hensyn som taler for bruk av skattemessige verdier, er at slike verdier reflekterer skattemessige avskrivninger, og det blir dermed sammenheng mellom den løpende beskatningen etter tidligere regler og skjermingsgrunnlaget ved overgangen til nye regler. Selv om skjermingsgrunnlaget skal virke innenfor et nytt regelverk, bør denne sammenhengen tillegges en viss vekt.
Det må også anses som fordelaktig å knytte overgangsreglene til et begrep som er innarbeidet etter gjeldende regler. Skattemessig verdi benyttes både for å fastsette fradragsrammen for kommandittister og stille deltakere etter skatteloven § 10-43 annet ledd og ved gevinstberegningen ved realisasjon av selskapsandel etter skatteloven § 10-44 tredje ledd.
Bruk av skattemessige verdier innebærer at:
Avskrivbare eiendeler inngår i beregningen med skattemessig avskrivningsgrunnlag.
Ikke avskrivbare eiendeler inngår i beregningen med den høyeste verdien av historisk kostpris og ligningsverdi.
Det følger av gjeldende regler at eventuelle skattefrie inntekter (for eksempel skattefrie tilskudd) vil inngå i den skattemessige egenkapitalen, mens ikke fradragsberettigete utgifter (for eksempel utgifter til representasjon) vil redusere skattemessig egenkapital. Positiv gevinst- og tapskonto vil redusere skattemessig egenkapital, mens negativ gevinst- og tapskonto øker den skattemessige verdien. Disse alminnelige regler for beregning av skattemessig verdi/skattemessig egenkapital vil gjelde også ved fastsettelse av skjermingsgrunnlaget ved overgangen.
Regnskapsmessig egenkapital vil i noen tilfeller være høyere enn skattemessig egenkapital på grunn av skatteøkende midlertidige forskjeller mellom regnskap og skatt. Som eksempel kan nevnes at et selskap har foretatt større skattemessige enn regnskapsmessige avskrivninger, selskapet har en positiv gevinst- og tapskonto, eller det kan skyldes at finansielle eiendeler er vurdert til markedsverdi regnskapsmessig, men ikke skattemessig. I den utstrekning regnskapsmessig egenkapital overstiger skattemessig egenkapital, er det mulig at selskaper vil utbetale overskytende beløp, og at beløpet skytes inn som ny kapital og dermed øker skjermingsgrunnlaget. Dette vil det være mulig å gjøre uten skattemessige konsekvenser i 2005 med unntak for tilfeller hvor det kan bli aktuelt med negativ fradragsramme (for kommandittister og stille deltakere).
Dette kunne tilsi at deltakerne ble gitt mulighet til å velge å benytte regnskapsmessig i stedet for skattemessig verdi som skjermingsgrunnlag. Utvalget mener imidlertid at det prinsipielt sett er riktig å benytte skattemessig verdi som skjermingsgrunnlag ved overgangen. Den beskrevne tilpasningsmulighet ved at regnskapsmessig egenkapital omgjøres til skattemessig egenkapital antas ikke å bli av et slikt omfang at det skulle være nødvendig med overgangsregler for å hindre slik tilpasning. Departementet kan eventuelt vurdere disse forhold nærmere på bakgrunn av innkomne høringsuttalelser.
Også den motsatte situasjon kan tenkes, det vil si at skattemessig egenkapital er høyere enn regnskapsmessig egenkapital (for eksempel fordi aksjer har vært nedskrevet regnskapsmessig, men ikke skattemessig). Med utvalgets forslag vil det som nevnt være de skattemessige verdier som inngår i skjermingsgrunnlaget. At de regnskapsmessige verdier er lavere, får ingen betydning i denne sammenheng.
I delingsreglene har kapitalavkastningsgrunnlaget vært basert på skattemessige verdier i selskapet. Det har imidlertid vært en viss adgang til å benytte regnskapsmessige verdier for eldre eiendeler. Etter skatteloven § 12-13 annet ledd d kan en eiendel som i 1999 ble verdsatt til regnskapsmessig verdi, fortsatt verdsettes til denne verdien. Denne bestemmelsen reiser spørsmål om virksomheter som har benyttet denne regelen innenfor delingsmodellen, fortsatt skal kunne benytte den som grunnlag for skjerming ved overgang til deltakermodellen. Etter utvalgets vurdering er det imidlertid ikke grunnlag for en videreføring av delingsmodellens særregel om regnskapsmessig verdi. En slik videreføring ville blant annet virke tilfeldig i forhold til om virksomheten har vært omfattet av delingsreglene eller ikke.
Utvalget viser også til at særregelen om regnskapsmessig verdi kun gjelder i forhold til delingsreglene, og at den regnskapsmessige verdien ikke har vært lagt til grunn i andre sammenhenger. Eksempelvis bygger gevinstbeskatningsreglene i skatteloven § 10-44 tredje ledd kun på skattemessige verdier i selskapet.
Utvalget foreslår derfor at det skal benyttes skattemessig verdi også for eiendeler som har vært verdsatt til regnskapsmessig verdi etter særregelen i delingsmodellen.
Over- eller underpris ved erverv av andel reiser særlige spørsmål. Over- eller underpris ved erverv av andel skal ha vært beregnet etter innføring av reglene om nettoligning fra og med inntektsåret 1992. Fordi skjermingsgrunnlaget i deltakermodellen prinsipielt sett knyttes til deltakerens individuelle investering, foreslår utvalget at det skal tas hensyn til over- eller underpris i skjermingsgrunnlaget ved overgangen til deltakermodellen. Ved å ta hensyn til over- eller underpris, oppnås en slik tilnærming til deltakerens individuelle investering.
Foran i dette punktet er det vist til at skjermingsgrunnlaget ikke skal kunne settes lavere enn til null ved innføring av deltakermodellen. For fullstendighetens skyld gjør utvalget oppmerksom på at denne null-grensen skal gjelde etter at det er tatt hensyn til eventuell over- eller underpris ved ervervet.
Boks 8.2 Oversikt over skjermingsgrunnlagene
De forskjellige skjermingsgrunnlagene kan oppsummeres på følgende måte:
Etter iverksettelse av deltakermodellen 1. januar 2006, vil skjermingsgrunnlaget være:
For deltakere som er med fra stiftelsen av selskapet: Deltakers innskudd i selskapet.
For deltaker som erverver en selskapsandel: Netto vederlag for andelen, eventuelt tillagt senere innskudd i selskapet
For selskapsandeler som ble ervervet før iverksettelsen av deltakermodellen, vil skjermingsgrunnlaget ved iverksettelsen 1. januar 2006 være deltakers andel av skattemessige verdier av eiendelene i selskapet, med fradrag for gjeld pr. 31. desember 2005. I tillegg korrigeres det individuelt for over- eller underkurs ved ervervet. Det skal ikke beregnes skjermingstillegg på negativt skjermingsgrunnlag.
For andeler ervervet før 1992 vil det ikke være beregnet over- eller underkurs. Det skyldes at det ble gjennomført bruttoligning av deltakerne før dette, hvor deltakerne ble ansett for å kjøpe en andel av de enkelte eiendelene. Det gjaldt med andre ord diskontinuitet med hensyn til skattemessig verdi av de enkelte eiendelene ved overdragelse fra en deltaker til en ny, og det eksisterte ingen over- eller underkurs ved ervervet. Til gjengjeld fikk de forskjellige deltakerne individuelle avskrivningsgrunnlag. Ved overgang til nettoligning i 1992 ble individuelle forskjeller registrert på differansesaldi, som ga grunnlag for senere utjevning av individuelle forskjeller mellom deltakerne. Disse saldi er gjort opp (senest i 2002), og det foreligger derfor ingen over- eller underpris å ta hensyn til for slike andeler.
Utvalget foreslår at departementet skal gi forskrift om skjermingsgrunnlaget ved overgangen etter retningslinjene foran. Det vises til fullmaktsbestemmelsen i utvalgets lovutkast § 10-47.
8.3.1.6 Administrativ gjennomføring
Skjermingen for inntektsåret skal beregnes med utgangspunkt i deltakerens kostpris for andelen justert med summen av innskudd i selskapet pr. 31. desember og eventuelt akkumulert skjermingsbeløp fra tidligere år. Det kan tilsi at det bør etableres et sentralt elektronisk register for holde oversikt over enkeltelementene i skjermingsgrunnlaget.
Registreringen kan i utgangspunktet løses på flere måter. En mulighet er å utvide aksjonærregisteret til å omfatte slike opplysninger. Innlevering av opplysningene kan da skje etter tilsvarende rutiner som for andre oppgaver til aksjonærregistret og med samme leveringsfrist (31. januar i ligningsåret). Problemet med denne løsningen er at sum innskudd fra deltakeren er en opplysning som selskapet må hente fra regnskapet, og de fleste selskapene har ikke avsluttet foregående års regnskap så tidlig. Det er ikke sannsynlig at leveringsfristen kan endres og tilpasses tidspunktet for regnskapsavslutning. Det skyldes at aksjonærregisteret leverer opplysninger som inngår i den forhåndsutfylte selvangivelsen, og leveringsfristen er bestemt ut fra tiden som medgår til å tilrettelegge for forhåndsutfylling. En utbygging av aksjonærregisteret utpeker seg derfor ikke som den beste løsningen.
En annen løsning er at opplysningene leveres som del av ligningsoppgavene innen selvangivelsesfristen 31. mai i ligningsåret og registreres i det elektroniske ligningsbehandlingssystemet. Allerede dagens ligningsbehandlingssystem for ligning av næringsdrivende har funksjonalitet for registrering av opplysninger om deltakerlignede selskap og deltakerne. Det planlegges en utvidelse av dette og i den sammenhengen kan registreringsbehov som skyldes deltakermodellen, bygges inn. En utvidelse kan eksempelvis være å gi deltakeren tilgang til akkumulert skjermingsgrunnlag i henhold til tidligere ligningsoppgaver via innleveringskanalen for den elektroniske selvangivelsen (Alt Inn).
Utvalget legger til grunn at rapporteringsplikten mot ligningsmyndighetene fordeles mellom selskap og deltaker på hovedsakelig samme måte som i dag. Det vil si at selskapet beregner og gir oppgave over inntekt og formue, samlet og fordelt pr. deltaker. Deltakeren beregner og gir oppgave over gevinst eller tap ved realisasjon av andel og om eventuell under-/overpris ved realisasjonen. Ved innføring av deltakermodellen, må selskapet gi deltakeren tilgang til opplysninger som inngår i beregning av gevinst/tap, så som sum av innskudd i selskapet og eventuelt ubenyttet skjermingsbeløp, jf. foregående avsnitt om muligheten til å få informasjon over Internett (Alt Inn).
Uansett valg av registreringsmåte, er det vanskelig å gjennomføre maskinelle rutiner som kan imøtekomme deltakerens behov for oppdatert informasjon fullt ut fra og med oppstartsåret for deltakermodellen, dvs. fra og med inntektsåret 2006. Utvalget overlater til Finansdepartementet og Skattedirektoratet å vurdere valget av registreringsmåte nærmere. Det samme gjelder rapporteringsrutiner og skjemaer etc. i tilknytning til deltakermodellen.
8.3.2 Skjermingsrente
Skjermingsrenten i aksjonærmodellen fastsettes årlig på grunnlag av gjennomsnittlig årsrente på 5-årige statsobligasjoner.
Som utgangspunkt har utvalget forutsatt at skjermingsrenten i deltakermodellen skal være den samme som i aksjonærmodellen. Samme skjermingsrente i deltakermodellen og aksjonærmodellen er en forutsetning for at disse modellene skal gi (tilnærmet) lik beskatning.
Valget av årsrenten på 5-årige statsobligasjoner bygger på at renten skal være tilnærmet risikofri. Valget av risikofri rente forutsetter en symmetrisk modell der skattyter beskattes for avkastning ut over skjermingsrenten, og gis fradrag for ubenyttet skjermingsfradrag. Innenfor aksjonærmodellen har man, for å demme opp for tilpasninger i form av årsskiftehandler mv., ikke gitt adgang til å overføre ubenyttet skjermingsfradrag mot annen alminnelig inntekt, og heller ikke mot annen aksjeinntekt. Reglene er stramme. Selv ved aksjer i samme aksjeklasse i samme selskap, gis det ikke adgang til utligning, verken før eller etter realisasjon. Skjermingsfradraget bindes til den enkelte aksje. Reglene er her mer restriktive og dermed mer asymmetriske enn foreslått i NOU 2003:9, som åpnet for en adgang til utligning mot annen aksjeinntekt etter realisasjon av den underliggende aksje.
Etter deltakermodellen er en låsing av ubenyttet skjermingsfradrag til den enkelte eierprosent eller liknende, ikke mulig. I et aksjeselskap måles eierandelen i enkeltaksjer. I et deltakerlignet selskap taler man om én eierandel som måles i det antall prosent eller den brøkdel man til en hver tid eier. Ved erverv av nye andeler fastsettes en ny under- eller overpris som så utlignes mot den under- eller overpris man allerede måtte ha. Følgelig vil det finne sted en løpende fastsettelse og dermed utligning av ubenyttet skjermingsfradrag for hele den eierandel deltakeren til enhver tid måtte ha.
Reglene etter aksjonærmodellen er ikke fullt ut i samsvar med en teoretisk modell for nøytral beskatning. Etter utvalgets vurdering kunne en alternativ løsning på problemet med årsskiftehandler ha vært å gi adgang til fremføring av ubenyttet skjermingsfradrag etter realisasjon, dersom aksjen har vært eiet i tre måneder før årsskiftet. I deltakerlignede selskaper vil det finne sted en løpende utlikning av skjermingsfradrag innenfor en deltakers eierandel. Dette vil likevel ikke være tilstrekkelig til å gjøre modellen teoretisk riktig.
For å gjøre reglene mer symmetriske og dermed mer i samsvar med en modell for riktig beskatning, har utvalget overveiet en mulighet for å utnytte ubenyttet skjermingsfradrag ved reinvestering i andre andeler i deltakerlignet selskap. Utvalget har likevel ikke funnet å kunne tilrå en slik løsning fordi den kan bli svært komplisert og uoversiktlig i praksis. Enkelte ligningskontorer som har vurdert forslaget, har allerede advart mot en slik løsning ut fra praktiske hensyn.
Dermed har utvalget funnet at man for å balansere modellens avvik fra en symmetrisk beskatning på dette punkt, burde innføre et sjablonmessig tillegg til skjermingsrenten. Rent teoretisk vil ikke dette gi 100 pst. treffsikkerhet. Imidlertid vil det være en praktisk måte å rette opp en asymmetrisk skattebelastning som er resultatet av at lovgiver ut fra rent praktiske betraktninger har valgt å avvike fra en teorisk riktig løsning for ubenyttet skjermingsfradrag.
Et sjablontillegg til skjermingsrenten i deltakermodellen vil ut fra nøytralitetshensyn forutsette en vurdering av et tilsvarende tillegg til skjermingsrenten i aksjonærmodellen.
Til forskjell fra skjermingsmodellen, er skattegrunnlaget i deltakermodellen et etter-skatt grunnlag, på samme måte som i aksjonærmodellen. I deltakermodellen er det derfor riktig å bruke skjermingsrente regnet etter skatt.
Utvalgets mindretall, Tom Venstad, mener det ikke bør være et sjablontillegg i skjermingsrenten. Dette medlem er enig i at enkelte elementer i deltakermodellen og aksjonærmodellen innebærer asymmetri. Den viktigste årsaken til slik asymmetri er at ubenyttet skjermingsfradrag bortfaller ved realisasjon, noe som medfører vridninger mellom investeringer med ulik risiko. Bortfallet av skjermingsfradraget ved realisasjon vil trolig ha større betydning ved investeringer i prosjekter med høy risiko enn i prosjekter med lavere risiko. Som en kompensasjon for denne asymmetrien, foreslår utvalget et sjablonmessig tillegg til risikofri rente ved skjermingen. Et sjablontillegg i rentesatsen kan imidlertid ikke korrigere denne asymmetrien. Et slikt tillegg vil ikke være rettet inn mot investeringer med høy risiko, men innebære en skattelette for alle deltakere som går inn under deltakermodellen. Modellen vil derfor ikke bli investeringsnøytral selv med bruk av et sjablontillegg i renten. Dertil kommer at et sjablontillegg i rentesatsen medfører risiko for forskjellige typer tilpasninger, jf. drøftelsen av dette spørsmålet blant annet i skattemeldingen avsnitt 8.5.3. Etter dette medlems vurdering, vil et sjablontillegg i rentesatsen i deltakermodellen være uheldig.
Utvalgsmedlem Karl Ove Aarbu har følgende særmerknad i tilknytning til begrunnelsen for sjablontillegg i rentesatsen:
Et sjablontillegg i skjermingsrenten løser ikke de grunnleggende problemer ved manglende fremføringsadgang, men må oppfattes mer som et relativt grovt instrument for å avhjelpe konsekvensene av manglende fremføringsadgang. Det er dette medlems oppfatning at den optimale løsning ville vært ubegrenset fremføringsadgang av ubenyttet skjerming både i aksjonærmodellen og deltakermodellen. Fordi det i aksjonærmodellen ikke er gjennomført slik adgang, synes det både av praktiske årsaker og av likebehandlingsgrunner likevel fornuftig å legge seg på en tilsvarende regel i deltakermodellen. En slik regel bryter imidlertid med et nøytralitetsprinsipp og innskjerper samtidig beskatningen. Et sjablontillegg kan således avhjelpe denne situasjonen noe.
Skjermingsrenten gir uttrykk for den risikofrie alternativavkastningen til en investering etter skatt. Det bærende prinsipp i aksjonærmodellen er at dersom en skal ekstrabeskatte kapitalavkastningen på en investering, må en skjerme den delen av avkastningen som tilsvarer det en oppnår ved en risikofri plassering. Statsobligasjoner oppfattes normalt som et slikt sikkert alternativ. Av den grunn er skjermingsrenten satt til en 5-årig statsobligasjonsrente etter skatt.
Gjennom å legge ubenyttet skjerming i et år til grunnlaget for skjerming det etterfølgende år, sikrer en at skattyter får fremført ubenyttet skjerming med renter. Dersom inntekten i virksomheten ikke er tilstrekkelig til å dekke opp for skjermingsfradraget, må den andel som ikke har blitt benyttet i virksomheten kunne komme til fradrag i beregning av ekstraskatt i annen virksomhet for å sikre nøytralitet i forhold til investeringsbeslutninger. Dersom overføringer av ubenyttede skjermingsgrunnlag begrenses eller avkortes, vil dette nøytralitetsresultatet brytes. Prinsipielt er det ikke mulig fullt ut å rette opp denne vridningen gjennom å øke skjermingsrenten.
Hvis en hadde hatt en ubegrenset fremføringsmulighet av ubenyttet skjerming, ville staten vært en ekte ”sovende” partner i ethvert investeringsprosjekt. Den ville ta sin andel av verdiskapingen i prosjekter som leverer avkastning utover den finansielle alternativavkastningen (skjermingsrenten) og symmetriske fradrag i skatt i prosjekter som leverer lavere avkastning enn skjermingsrenten. Fordi ubenyttet skjerming fremføres med skjermingsrenten, vil nåverdien av fradragene bli ivaretatt over tid. En slik symmetri innebærer at den teoretisk riktige skjermingsrenten ikke skal inneholde et risikotillegg. Når staten begrenser fremføringsretten etter realisasjon, går staten fra å være en ”sovende partner” i prosjektene til å eie en ”opsjon” på kontantstrømmen i privat sektors prosjekter. Staten vil i dette tilfellet ta en andel av kontantstrømmen dersom prosjektet leverer avkastning utover skjermingsrenten. Et prosjekt med negativ eller lavere avkastning enn skjermingsrenten over prosjektets levetid vil imidlertid ikke bli tilgodesett med et tilsvarende fradrag når det er begrensninger på fremføring. I realiteten tar således staten kun oppsiderisiko ved å begrense fremføringsadgang av ubenyttet skjerming. Et sjablontillegg i skjermingsrenten vil redusere verdien av statens opsjon, men en slik løsning vil ikke fullt ut tilgodese prosjekter med høy risiko på samme måte som en fullstendig fremføringsadgang etter realisasjon. Dette resultatet vil gjelde uansett hvor høyt en setter et slikt sjablontillegg.
Fravær av risikotillegg i skjermingsrenten forutsetter som sagt at all ubenyttet skjerming må komme til endelig fradrag. De regler som i dag legges til grunn for aksjonærmodellen, og de tilsvarende regler som av hensiktmessighetsgrunner foreslås i deltakermodellen, begrenser denne muligheten. Dette skaper en asymmetri i behandling av avkastningen på investeringsprosjekter, og derigjennom vil investorers investeringsbeslutninger bli påvirket av skattesystemet. Et sjablontillegg i skjermingsrenten kan trolig avhjelpe denne asymmetrien noe, men ikke fjerne den
Det er således dette medlems oppfatning at en økt skjermingsrente gjennom et sjablontillegg ikke kan kompensere fullt ut for den vridning som skapes gjennom en regel om bortfall av ubenyttet skjermingsfradrag ved realisasjon. Et sjablontillegg vil kunne virke positivt på investeringslysten i prosjekter med ”sikker” avkastning marginalt over skjermingsrenten, mens det trolig i mindre grad vil påvirke investeringsincentivene i prosjekter preget av høy risiko. Usikker oppstartvirksomhet/nyskapingsvirksomhet kan således få noe mindre glede av en økt skjermingsrente enn eksempelvis relativt sikre eiendomsinvesteringer. En kan således tenke seg at en økt skjermingsrente gjennom et sjablontillegg vil kunne bidra til at kapitalallokeringen i økonomien vris mot prosjekter som i forkant vurderes å gi ”sikker avkastning”.
8.3.3 Skjermingsfradrag
8.3.3.1 Utgangspunkt
Skjermingsfradraget beregnes som skjermingsgrunnlaget multiplisert med skjermingsrenten. Skjermingsfradraget fradras i inntekt fra selskapet som gir grunnlag for ekstrabeskatning hos deltakeren.
I aksjonærmodellen vil enhver overføring av utbytte fra selskapet til aksjonær gi grunnlag for beskatning av den delen som overstiger aksjonærens skjermingsfradrag. Det er ikke behov for noen nærmere definisjon av grunnlaget for ekstrabeskatning.
I deltakermodellen vil det derimot være behov for å definere grunnlaget for ekstrabeskatning. Fordi deltakeren er skattesubjekt for overskuddsskatten, vil ikke enhver overføring fra selskapet gi grunnlag for ekstrabeskatning for den delen som overstiger skjerming. Deltakeren må ha anledning til å foreta utdeling for å dekke løpende overskuddsskatt, uten at denne utdelingen gir ekstrabeskatning. Etter utvalgets forslag blir derfor grunnlaget for ekstrabeskatning hos deltakeren slik:
Utdeling
– Løpende skatt på andel av overskudd
– Skjermingsgrunnlag x rente etter skatt
= Grunnlag for ekstrabeskatning
8.3.3.2 Særlig om ubenyttet skjermingsfradrag
I enkelte tilfeller er det ikke grunnlag for å utnytte skjermingsfradraget fullt ut i årets inntekt. Ubenyttet skjermingsfradrag reiser spørsmål om hva fradraget skal kunne utnyttes i.
Ubenyttet skjermingsfradrag oppstår når årets skjerming er større enn utdeling fratrukket løpende skatt på overskuddsandelen. Ubenyttet skjermingsfradrag skal fremføres og tillegges neste års skjermingsgrunnlag. Maksimalt beløp som kan fremføres, er årets skjerming. Fremføring av ubenyttet skjermingsfradrag er regulert i § 10-42 niende ledd i utvalgets lovutkast. Ubenyttet skjermingsfradrag vil dermed enten bli utnyttet i fremtidig avkastning fra samme virksomhet eller i realisasjonsgevinst på andelen i selskapet, jf. om realisasjonsbeskatning i kapittel 11. Ved at ubenyttet skjermingsfradrag tillegges skjermingsgrunnlaget hvert år, oppnås en rentekompensasjon ved fremføring svarende til skjermingsrenten.
Ubenyttet skjermingsfradrag skal kun kunne utnyttes i fremtidig inntekt eller realisasjonsgevinst fra samme selskap. I tilfeller hvor en deltaker får en økt andel i selskapet som følge av tilleggserverv av andel mv., eller redusert andel som følge av opptak av ny deltaker i selskapet mot innskudd mv., skal det finne sted et realisasjonsoppgjør. I slike tilfeller med suksessivt erverv skal andelene behandles under ett. Også i slike tilfeller skal det benyttes ett felles skjermingsgrunnlag og -fradrag.
Utvalget har vurdert om flere virksomheter bør kunne ses under ett i forhold til reglene om utnyttelse av skjermingsfradrag. Det vises i denne forbindelse til bestemmelsene i delingsmodellen om felles beregning av personinntekt og samordning av beregnet personinntekt, jf. Finansdepartementets forskrift til skatteloven § 12-20-1. Etter disse bestemmelsene kan enkelte næringer sees under ett i forhold til reglene om beregning av personinntekt. Innenfor bestemmelsenes anvendelsesområde, kan negativ beregnet personinntekt i en næring eller i et deltakerlignet selskap komme til fradrag i beregnet personinntekt fra en annen næring eller et annet deltakerlignet selskap. Bestemmelsene gjelder for nærmere bestemte primærnæringer samt generelt når det er ”høy grad av økonomisk og innholdsmessig nærhet” mellom virksomhetene. Ved sistnevnte vurdering skal det blant annet legges vekt på ”om det er nyttet felles anlegg, driftsmidler, personale, regnskap og finansiering og om næringene kompletterer hverandre med sikte på å gi et tilbud av varer og tjenester som hører sammen”. Utvalget viser til at en tilsvarende ordning kan gjennomføres innenfor deltakermodellen, ved at det blir adgang til å overføre ubenyttet skjermingsfradrag fra et av selskapene til et annet selskap. Utvalget utelukker ikke at det i særskilte tilfeller med høy grad av innholdsmessig nærhet mellom virksomheter kan være hensiktsmessig med adgang til å overføre ubenyttet skjermingsfradrag mellom selskap, fordi virksomhetene er så tilknyttet hverandre at de kan ses som en felles aktivitet. Utvalget foreslår at det blir fastsatt forskriftsbestemmelser om dette svarende til gjeldende bestemmelser i Finansdepartementets forskrift til skatteloven § 12-20-1.
Ubenyttet skjermingsfradrag skal kunne overføres etter skattefri fusjon eller fisjon av deltakerlignet selskap, jf. skatteloven § 11-3 og § 11-5. Det samme gjelder ved annen omdanning fra deltakerlignet selskap til et annet deltakerlignet selskap, jf. skatteloven § 11-20 første ledd c. Ubenyttet skjermingsfradrag skal også kunne overføres ved skattefri omdanning fra deltakerlignet selskap til aksjeselskap etter skatteloven § 11-20 første ledd a. En slik overføringsadgang vil være i samsvar med de kontinuitetsbetraktningene som ligger til grunn for skattelovens bestemmelser om skattefri omdanning.
I aksjonærmodellen bortfaller ubenyttet skjermingsfradrag etter realisasjon. Utvalget foreslår at det skal være en tilsvarende begrensning i deltakermodellen.
8.4 Ekstrabeskatning ved utdeling
Avgrensningen av grunnlaget for ekstrabeskatning reiser spørsmål om hvilke transaksjoner som skal regnes som utdeling . Det finnes ingen uttaksdefinisjon for deltakerlignede selskaper slik som det gjør for aksjeselskaper. Utvalget foreslår at det skal gis en like vid definisjon av utdeling fra deltakerlignet selskap som skattelovens definisjon av utbytte fra aksjeselskaper, jf. skatteloven § 10-11 annet ledd. Utvalget foreslår at den tilsvarende utdelingsdefinisjon i deltakermodellen tas inn i skatteloven § 10-42 annet ledd første punktum, og at bestemmelsen skal ha følgende ordlyd:
”Som utdeling regnes enhver vederlagsfri overføring av verdier fra selskap til deltaker.”
I likhet med utbyttedefinisjonen for aksjeselskaper, omfatter denne definisjonen enhver vederlagsfri overføring fra selskapet til deltaker av kontanter, eiendeler eller tjenester. Ved delvis vederlagsfrie ytelser, vil den vederlagsfrie delen anses som utbytte. Også ettergivelse av deltakers gjeld til selskapet omfattes av definisjonen. Helt eller delvis vederlagsfrie brukslån fra selskapet til deltaker skal likeledes anses som utdeling.
Som vederlagsfri overføring regnes ikke rabatter, reklamemateriell etc. som gis vederlagsfritt til enhver tredjeperson. For at en ytelse skal omfattes av utvalgets forslag til utdelingsdefinisjon, må deltakeren tilstås en ytelse på gunstigere vilkår enn det kunder i virksomheten og andre tredjepersoner kan oppnå.
I aksjeselskaper vil allerede et løfte fra selskapets side om en vederlagsfri overføring til deltaker oppfylle utbyttedefinisjonen. Dersom det foreligger en gyldig selskapsbeslutning om vederlagsfri overføring, vil deltakeren ha innvunnet en fordel gjennom fordringen på selskapet. Utbyttet anses å være innvunnet og tidfestet på beslutningstidspunktet, ikke først på oppfyllelsestidspunktet. I deltakerlignede selskaper vil de selskapsrettslige rammene for vedtak om overføringer til deltakerne være annerledes enn i aksjeselskaper. En beslutning i et deltakerlignet selskap om overføring til deltakerne er også et felles selskapsanliggende, hvor selskapet må anses som subjekt for den formuesrettslige forpliktelsen. Beslutninger skjer imidlertid i en del tilfeller mer uformelt i ansvarlige selskaper og kommandittselskaper, sammenliknet med aksjeselskaper, samtidig som utbetaling av overskudd til deltakerne kan skje à konto før beslutning om utdeling. Det antas således å bli problematisk å knytte skatteplikten til beslutning om overføring på tilsvarende måte som ved utdeling av utbytte.
Utvalget har vurdert ulike løsninger med hensyn til hva som skal anses som den skattepliktige begivenhet for utdelinger fra deltakerlignede selskaper. Utvalget er kommet til at denne bør knyttes til den faktiske overføring. Det betyr at ekstrabeskatning vil inntre ved selve utbetalingen (også ved à konto utbetaling), og at selve beslutningen om overføring ikke får betydning. Dersom deltakers andel av egenkapital i selskapet blir konvertert til fordring på selskapet, innebærer imidlertid det at verdien må anses tatt ut av selskapet. Det er med andre ord ikke nødvendig med en fysisk overføring av midler for at det skal foreligge en skattepliktig begivenhet.
Det følger av dette at det ikke er noe vilkår for skatteplikt at en vederlagsfri overføring har sitt grunnlag i en beslutning om utdeling.
Etter skatteloven § 10-11 annet ledd siste punktum omfatter utbyttereglene også overføringer til aksjonærens ektefelle eller til personer som aksjonæren er i slekt eller svogerskap med i opp- eller nedstigende linje eller i sidelinjen så nær som onkel eller tante. Utvalget mener det er et tilsvarende behov for en klar identifikasjonsbestemmelse i utdelingsreglene i deltakermodellen, og foreslår at denne bestemmelsen skal gjelde tilsvarende, jf. forslaget til § 10-42 annet ledd annet punktum.
Lån mellom selskap og deltaker reiser særlige spørsmål, herunder om avgrensning mot definisjonen av utdeling. Lån mellom selskap og deltaker er nærmere behandlet i kapittel 10.
En utdelingsløsning som beskrevet foran, forutsetter at alle overføringer fra selskapet til deltakerne registreres i selskapet. Utvalget viser i denne forbindelse til at alle lovlige overføringer til deltakerne er identifiserbare etter gjeldende regler. Etter gjeldende selskapslovgivning foreligger plikt til registrering av alle overføringer til deltakerne kun for kommandittselskaper, jf. utdelingsbegrensningen i selskapsloven § 3-16 som forutsetter at enhver utbetaling eller annen verdioverføring til deltakerne registreres. Noe tilsvarende selskapsrettslig påbud foreligger ikke for ansvarlige selskaper og andre deltakerlignede selskaper. Imidlertid innebærer gjeldende regnskapsregler at alle overføringer fra selskap til deltakere posteres. Det vil derfor være tilfredsstillende notoritet omkring utdelinger fra selskap til deltakere etter gjeldende rett. Utvalgets forslag til utdelingsløsning innebærer i utgangspunktet ikke noe behov for utvidet regnskapsmessig registrering. Det vises til nærmere drøftelse av regnskaps- og revisjonsplikt i kapittel 6.
Det vil være summen av utdelinger ved årets slutt som blir utgangspunktet for beregning av ekstra skatt hos deltakeren. Hvert enkelt års utdeling behandles for seg. Utdeling for å dekke endelig skatt på overskudd fra foregående inntektsår likestilles med annen utdeling (selv om skatten gjelder et tidligere inntektsår).
En slik løsning medfører ikke behov for registrering av utdelinger på nye egne konti for tilbakeholdt overskudd i selskapet. Den endelige beregningen av grunnlaget for ekstrabeskatning skal skje individuelt hos de enkelte deltakerne. Tilbakeholdt overskudd og utdeling vil fremgå av deltakernes eksisterende individuelle egenkapitalkonti i selskapet.
Utdeling fra selskapet må avgrenses mot tilbakebetaling av tidligere innbetalt kapital . Mens utdeling vil gi grunnlag for ekstrabeskatning av deltakeren og ikke endre skjermingsgrunnlaget, vil tilbakebetaling av tidligere innbetalt kapital ikke være skattepliktig for deltakeren, men redusere skjermingsgrunnlaget. Kapitalen i selskapet vil dels være
opprinnelig innskutt selskapskapital
senere innskudd fra deltakerne
kapital opparbeidet gjennom driften.
Skillet mellom innskutt eller innbetalt kapital og senere kapitalopparbeiding i selskapet vil fremgå av regnskapsmessige oppstillinger.
Det er behov for en nærmere avgrensning av hva som skal anses som tilbakebetaling av tidligere innbetalt kapital. Et spørsmål er hva som ligger i begrepet innbetalt kapital. Dette omtales nærmere nedenfor. Et annet spørsmål er i hvilken grad deltakerne skal kunne velge å tilbakebetale innbetalt kapital fremfor å foreta en skattepliktig utdeling. Vedrørende sistnevnte spørsmål har utvalget vurdert forskjellige løsninger. Løsningene som er vurdert er:
A) Deltakeren velger selv om en overføring fra selskapet til deltakeren skal anses som utdeling eller som tilbakebetaling av tidligere innskutt kapital.
B) Overføringer fra selskapet til deltakeren regnes alltid som utdeling, så langt innskutt kapital i selskapet er i behold.
C) Overføringer fra selskapet til deltakeren regnes normalt som utdeling, men det kan foreligge et særskilt selskapsvedtak om at overføringen skal være tilbakebetaling av innskutt kapital. En slik løsning innebærer at det blir adgang til kapitalnedsettelse med skattemessig virkning etter felles vedtak på selskapsnivå.
I utgangspunktet vurderer utvalget løsning C som mest hensiktsmessig. Løsningen passer imidlertid best for selskaper som har en bestemt selskapskapital. Med unntak for kommandittselskaper, er det ikke krav om at deltakerlignede selskaper skal ha en bestemt selskapskapital. For ansvarlige selskaper mv. som ikke har en bestemt selskapskapital, bør deltakerne selv kunne velge om en utdeling skal anses som en skattepliktig utdeling eller tilbakebetaling av innebetalt kapital. Utvalget er på den bakgrunn kommet til at løsningen må bli todelt; for selskaper uten bestemt selskapskapital gis deltakerne valgfrihet (A), mens for selskaper med bestemt selskapskapital må skattefri tilbakebetaling være forankret i selskapsvedtak (C). Denne løsningen er innarbeidet i § 10-42 fjerde ledd i uvalgets lovutkast.
8.5 Innbetalt kapital
Som det fremgår av avsnitt 8.4, må utdeling fra selskapet avgrenses mot tilbakebetaling av tidligere innbetalt kapital. Mens utdeling er skattepliktig, er tilbakebetaling av tidligere innbetalt kapital ikke skattepliktig for deltakeren, men tilbakebetalingen vil redusere skjermingsgrunnlaget. Det betyr at innbetalt kapital blir en skatteposisjon for deltakeren på samme måte som innbetalt aksjekapital er det for aksjonærer.
For selskaper som er stiftet etter at de nye reglene er trådt i kraft, vil innbetalt kapital bestå av deltakerens innskudd i selskapet. Ved erverv av selskapsandel vil erverver overta overdragers skatteposisjon ”innbetalt kapital”, på samme måte som ved overdragelse av aksjer.
Det er behov for å definere innbetalt kapital ved overgangen til nye skatteregler. Utvalget mener at vurderingene må bli sammenfallende med de vurderingene som ligger til grunn for fastsettelse av skjermingsgrunnlaget ved overgangen, jf. avsnitt 8.3.1.5. Det betyr at innbetalt kapital ved overgangen til ny ordning settes til deltakerens andel av selskapets netto skattemessige verdier. I motsetning til hva som skal gjelde ved fastsettelse av skjermingsgrunnlaget, skal det ikke ved fastsettelse av innbetalt kapital ved overgangen tas hensyn til over- eller underpris for selskapsandeler som er ervervet.
9 Lån mellom deltaker og selskap
9.1 Lån fra deltaker til selskap
9.1.1 Ekstraskatt på renter i aksjonærmodellen
Innføring av utbytteskatt gir incentiver for aksjonærer til å finne måter å overføre midler fra selskap til aksjonær uten ekstra beskatning. Lovgiver har gjennom skatteloven § 5-22 vedtatt særlige regler om ekstrabeskatning for renter på lån fra fysiske personer til aksjeselskaper når lånerenten ligger over en nærmere angitt skjermingsrente. Også her skal skjermingsrenten være basert på risikofri rente.
Regelen om ekstra skatt på renteinntekter innebærer at renter beskattes som alminnelig inntekt på mottakers hånd på samme måte som i dag. Renteinntekter som overstiger et visst nivå, skal i tillegg beskattes med en sats på 28 pst. hos mottaker. Det er 72 pst. av overstigende rente som undergis denne ekstrabeskatning. Marginal skattesats på renteinntekter blir etter regelen 48, 16 pst. [28 pst. + (72 x 28 pst.)].
Det er forutsatt at renten skal fastsettes månedlig. Dette nødvendiggjør en avstemming av lånesaldoer hver måned i de tilfeller renten ligger over skjermingsrenten. Dette stiller større krav enn de krav til avstemming på to måneders basis som følger av merverdiavgiftsloven og til tertialsvis avstemming som følger av ny bokføringslov.
Allerede etter gjeldende rett har skattemyndighetene adgang til å korrigere en særlig høy rente som overstiger armlengdeprising ut fra den generelle internprisingsbestemmelse i skatteloven § 13-1. Det kan imidlertid være vanskelig å påvise at en høy rente skyldes interessefellesskap mellom låntaker og långiver. Det kan være legitime grunner også for aksjonærer og deltakere til å avtale en høyere rente enn alternativavkastningsrenten. Høy risiko, for eksempel lån med prioritet bak selskapets alminnelige gjeld, kan forsvare en høy rente på lånet. Verken skatteloven § 13-1, eller den ulovfestede regel om gjennomskjæring, vil gi grunnlag for å omklassifisere renter til utbytte når en tilsvarende avtale kunne vært inngått mellom uavhengige parter.
9.1.2 Ekstraskatt på renter etter deltakermodellen
Det er delte meninger i utvalget om hensiktsmessigheten av de regler som er innført om ekstraskatt på renter i aksjonærmodellen. Arbeidsbyrden for skattyter, selskap og skattemyndigheter kan bli uforholdsmessig stor, særlig tatt i betraktning at det kan dreie seg om svært små skattebeløp i de tilfellene der lånene og renteforskjellene ikke er av særlig størrelse. Man kan stille spørsmål ved hvorfor det ikke er fastsatt terskelbeløp for å hindre at man skal gjennomføre krevende avstemmings- og regneoperasjoner som i de fleste tilfeller kan medføre noen kroner eller titalls kroner i skatt per måned. (Ved et lånebeløp på kr 100 000 vil en endring på 25 rentepunkter over en måned gi følgende skattekonsekvens: kr 100 000 x 0,0025 x 0,28 / 12 = kr 6.) Denne type regler kan vanskeliggjøre en verdiorientert ligning der skattemyndighetene gjennom sitt kontrollarbeid fokuserer på de forhold som kan føre til betydelige skattetap for det offentlige. Likeledes har det for flere utvalgsmedlemmer vært vanskelig å se at kravene til månedlig beregning av ekstrarente med de avstemmingskrav som følger, er i rimelig samsvar med de regnskapskrav som er del av regnskapsrutinene etter bokføringsloven og merverdiavgiftsloven.
For deltakerlignede selskaper synes det uklart for utvalget i hvor høy grad man risikerer at deltakerne i særlig grad benytter en lånemodell for å få ut høye renter fra selskapet uten ekstraskatt. Mange deltakerlignede selskaper er ”single purpose” selskaper der lån fra deltakere synes mindre vanlig. Det vil være flere deltakere som kan gjøre at interessefellesskapet ikke er like klart som ved enpersonaksjeselskaper. Mye kunne derfor tyde på at man for deltakerlignede selskaper i første omgang kunne nøye seg med en henvisning til skattemyndighetenes vanlige korreksjonsadgang etter skatteloven § 13-1.
Imidlertid har utvalget forstått mandatet slik at det ikke er utvalgets oppgave å ta opp til ny diskusjon de spørsmål Stortinget allerede har tatt stilling til. Utvalget skisserer derfor en utdelingsmodell for deltakerlignede selskaper som i hovedtrekk bygger på det som skal gjelde for aksjeselskaper. Siden likhetsbetraktninger og ønsker om nøytralitet i valg av selskapsform er viktige hensyn bak utvalgets sentrale konklusjoner, har altså utvalget forutsatt at det gis regler om ekstrabeskatning av renter også i forslaget om deltakermodellen. Man antar at dette uansett ville bli resultatet av den videre lovbehandling.
Utvalget foreslår imidlertid at renten for ekstraskatt etter deltakermodellen fastsettes på ettårsbasis, i forkant av den aktuelle beregningsperiode. Som diskutert nedenfor bør regelen om ekstra skatt på renteinntekter utformes slik at långiver og selskap har mulighet til å tilpasse seg den gjeldende skjermingsrenten, slik at regelen om ekstra skatt ikke kommer til anvendelse. For å oppnå dette må skjermingsrenten fastsettes i forkant av den aktuelle beregningsperioden. Skjermingen kan med andre ord ikke bygge på et årsgjennomsnitt som beregnes i ettertid, slik tilfellet er for skjermingsrenten under aksjonærmodellen. Det bør derfor benyttes et gjennomsnitt basert på foregående år eller halvår. Månedlig fastsettelse finner utvalget krevende i forhold til de skattebeløp det her antagelig vil være tale om.
Videre bør det ut fra hensynet til administrasjons- og etterlevelseskostnader vurderes å innføre et terskelbeløp på for eksempel 500 000 kroner. Lånebeløp under dette beløp, kan i så fall korrigeres etter skatteloven § 13-1, men faller utenfor reglene om ekstraskatt på renteinntekter.
Videre antar utvalget at det i første omgang vil være tilstrekkelig å innfange lån fra deltaker, og de som deltakerne skal identifiseres med etter skatteloven § 10-11 annet ledd siste punktum. Å ta med alle lån fra fysiske personer som ikke er deltakere, og heller ikke faller inn under identifikasjonskretsen, kan synes unødvendig – i det minste inntil man vinner nærmere erfaring med regelen.
9.1.2.1 Samordning av skjermingsfradrag ved flere låneavtaler
Som ved ekstraskatt etter aksjonærmodellen, bør det beregnes ett felles skjermingsfradrag per selskap skattyteren har låneforhold med. Det skal med andre ord foretas en samordning av henholdsvis skjermingsfradrag og faktisk påløpte renter på samtlige lån skattyteren har i det aktuelle selskapet. På denne måten vil en komme frem til en samlet alternativavkastning, og en samlet faktisk avkastning for lånefinansieringen av det aktuelle selskapet.
En eventuell samordningsadgang må ses i sammenheng med at det ikke bør gis adgang til å fremføre ubenyttet skjermingsfradrag dersom rentene på lånet ligger under skjermingsbeløpet. En ordning der det ikke kan skje en samordning som nevnt ovenfor, kunne dessuten skape problemer med hensyn til avgrensning av deltakerens enkelte låneavtaler/obligasjoner.
9.1.2.2 Unntak for lån knyttet til mengdegjeldsbrev
Lån knyttet til mengdegjeldsbrev er unntatt fra regelen om ekstra skatt på renteinntekter på lån til aksjeselskaper. Bakgrunnen for å unnta mengdegjeldsbrev er dels at en regel om ekstra skatt på renteinntekter for slike obligasjoner vil kunne by på særlige administrative problemer, og dels at slike låneinstrumenter antas å være mindre egnet til tilpasninger med sikte på å ta ut overskudd i selskaper i form av renter i stedet for som aksjeinntekter. Slike låneinstrumenter er ofte gjenstand for hyppig omsetning, og kreditor vil ofte være ukjent for selskapet som har utstedt gjeldsbrevet. Videre vil over- og underpriselementer, som ofte forekommer ved omsettelige verdipapirer, komplisere beregningen av skjermingsfradrag og påløpte renter.
De ovennevnte forhold, herunder at mengdegjeldsbrev er unntatt fra regelen om ekstra skatt på renteinntekter på lån til aksjeselskaper, taler for å gjøre et tilsvarende unntak i forhold til regelen om ekstra skatt på renteinntekter på lån til deltakerlignede selskaper.
9.1.2.3 Fremføring av ubenyttet skjermingsfradrag
For ekstraskatt etter aksjonærmodellen er det ikke adgang til å fremføre ubenyttet skjerming fra beregningsperioder der skjermingen er høyere enn faktisk påløpte renter på lånet. Det har vært antatt at en fremføringsadgang for ubenyttet skjerming ville gjøre en regel om ekstra skatt på høye renteinntekter vesentlig mer komplisert. Antagelig ville det bli behov for et register over ubenyttede skjermingsfradrag knyttet til den enkelte låneavtale.
Utvalget forutsetter at samme løsning legges til grunn ved ekstraskatt etter deltakermodellen.
9.1.2.4 Samme rentesats ved utdelinger og ekstraskatt på renter
Under deltakermodellen vil effektiv skattesats på utdeling som overstiger deltakerens skjermingsfradrag, være 48,16 pst. Regelen om ekstra skatt på høye renteinntekter skal medføre at høye renteinntekter får den samme totale skattbelastningen som utdeling utover skjermingen. For å oppnå dette må grunnlaget for ekstrabeskatning av renteinntektene reduseres med 28 pst. En slik reduksjon kan enten gjennomføres ved at grunnlaget for beregningen av ekstra skatt (dvs. de faktiske renteinntekter) reduseres med 28 pst. før det gjøres fradrag for eventuell skjerming (alternativ 1), eller den kan gjennomføres ved at grunnlaget for beregning av skatten (de faktiske renteinntekter) reduseres med 28 pst. etter at det er gjort fradrag for eventuell skjerming (alternativ 2).
Begge de skisserte modeller vil gi et korrekt resultat, forutsatt at det benyttes en skjermingsrente etter skatt under alternativ 1, og en skjermingsrente før skatt under alternativ 2. Etter utvalgets vurdering vil en beregningsmodell i tråd med alternativ 1 være mer pedagogisk og enklere å anvende enn en beregningsmodell i tråd med alternativ 2. Utvalget vil på denne bakgrunn anbefale at det anvendes en beregningsmodell der grunnlaget for beregningen av ekstra skatt (de faktiske renteinntektene) reduseres med 28 pst. før det gjøres fradrag for eventuell skjerming, og hvor det benyttes en skjermingsrente etter skatt.
9.1.2.5 Renter under skjermingsrenten
Av forenklingshensyn bør regelen om ekstra skatt på renteinntekter utformes slik at skattyter og selskap har mulighet til, og oppfordring om, å tilpasse renten på lånet slik at regelen om ekstra skatt ikke kommer til anvendelse. Det er i utgangspunktet långivers faktiske renteinntekter som skal legges til grunn ved anvendelse av regelen om ekstra skatt på høye renteinntekter.
Dersom den faktiske (effektive) rentesatsen holdes under skjermingsrenten i løpet av beregningsperioden, samtidig som lånebeløpets størrelse ikke økes i løpet av den samme beregningsperioden, vil det ikke bli ilagt ekstra skatt på renteinntektene for den aktuelle perioden. Dersom lånet økes i løpet av beregningsperioden, vil imidlertid faktiske renteinntekter på lånet overstige skjermingsfradraget selv om rentesatsen på lånet holdes under skjermingsrenten i hele perioden (økningen av lånebeløpet vil ikke gi en tilsvarende økning av skjermingsfradraget, som beregnes på grunnlag av lånesaldoen ved inngangen av beregningsperioden). For å unngå et slikt resultat foreslår utvalget at det heller ikke skal beregnes ekstra skatt på renteinntektene dersom rentesatsen for lånet ligger under skjermingsrenten i hele beregningsperioden.
Formålet med regelen om ekstraskatt på renter ut over skjermingsrente er å hindre skattefri tapping av selskapet gjennom høye renter. Følgelig mener utvalget det ikke kan være aktuelt for skattemyndighetene å benytte skatteloven § 13-1 til å korrigere en rente under skjermingsrenten opp til et nivå over skjermingsrenten, med den konsekvens at ekstraskatt tillegges. På fritt grunnlag kunne en slik korreksjon tenkes siden skjermingsrenten baseres på risikofri rente, mens lån til et deltakerlignet selskap alltid vil innebære en større eller mindre risiko. Her må imidlertid regelen om ekstraskatt på renter ses som en uttømmende spesialregel ut fra sitt formål. I forhold til andre regelsett enn ekstraskatten på renter, må imidlertid korreksjon av for lav rente etter skatteloven § 13-1 kunne være aktuelt.
9.2 Lån fra deltakerlignet selskap til deltaker
Under deltakermodellen skal utdeling fra selskapet skattlegges på deltakers hånd i den grad utdelingen overstiger andelens akkumulerte skjermingsfradrag. Dette kan medføre tilpasninger ved at selskapets midler overføres til deltakerne på andre måter enn i form av ordinær utdeling, for eksempel ved at deltakerne tar opp lån i selskapet. Faren for slike omgåelser antas å være størst i selskaper med få deltakere, men kan også være aktuell i selskaper med flere deltakere.
Etter utvalgets forslag vil definisjonen av utdeling fra deltakerlignet selskap tilsvare dagens definisjon av utbytte fra aksjeselskap. Hvorvidt en overføring fra selskap til deltaker er å anse som et lån eller som en ordinær utdeling, vil bero på en konkret vurdering av det enkelte tilfellet. For aksjeselskaper foreligger allerede en langvarig praksis med et ikke ubetydelig antall høyesterettsdommer, utførlig omtale i mange utgaver av Lignings-ABC, og mye publisert ligningspraksis. Grensen mellom utdeling og lån må trekkes på samme måte i relasjonen deltakerlignet selskap og deltaker, som mellom aksjeselskap og aksjonær. Det sentrale har vært om det dreier seg om et reelt lån slik at det foreligger tilbakebetalingsplikt. Hvorvidt reglene om lovlig lån i aksjeloven § 8-7 er overskredet, har ikke vært tillagt utslagsgivende vekt. Følgelig utgjør det ingen avgjørende forskjell i forhold til deltakerlignede selskaper, at selskapsloven, med forbehold for kommandittselskaper, jf. selskapsloven § 3-17, savner tilsvarende regler for å skille mellom selskapsrettslig lovlige og ulovlige lån.
Det er summen av utdelinger ved årets slutt som vil danne grunnlag for beregning av ekstra skatt hos deltakeren. Som utgangspunkt vil uttak gjennom året kunne tilbakebetales før årets slutt, og tilbakebetalt beløp vil således ikke uten videre medføre ekstrabeskatning hos deltakeren. Beløp som systematisk er tatt ut av selskapet gjennom året i form av lån, kan ikke godtas tilbakebetalt på denne måten like før årsskiftet. Dersom deltakeren ikke betaler tilbake det overskytende innen årets slutt, kan det oppstå spørsmål om differansen mellom faktisk utdeling og utdeling tilsvarende skjermingsbeløpet, kan anses som et lån fra selskapet til deltakeren, eller om det må anses som en ordinær utdeling. Resultatet vil bero på en konkret vurdering av det enkelte tilfellet.
Det prinsipielt avgjørende for klassifiseringen vil, som fremhevet, være om det er knyttet en tilbakebetalingsplikt til utbetalingen. Det er det reelle innholdet av mellomværendet mellom selskapet og deltakeren som vil være avgjørende, ikke hvilken betegnelse disse har satt på sitt mellomværende. Det kan imidlertid være vanskelig å avgjøre forholdets reelle innhold i det konkrete tilfellet. Hvorvidt det foreligger en tilbakebetalingsplikt i det konkrete tilfellet, vil i det vesentlige være et bevisspørsmål.
10 Realisasjon av andel
10.1 Gjeldende rett
Etter skatteloven § 10-44 første ledd er gevinst ved realisasjon av andel i deltakerlignet selskap skattepliktig som alminnelig inntekt. Tilsvarende tap er fradragsberettiget i annen alminnelig inntekt. Som realisasjon regnes ikke bare salg og innløsning mv. av andel, men også endring av eierandel ved opptak av deltaker mot innskudd eller ved forhøyelse av selskapskapitalen, jf. skatteloven § 9-2 og § 10-44 annet ledd.
Gevinsten beregnes for selve andelen, og ikke for deltakerens andel i selskapets enkelte eiendeler. Denne metoden for gevinstberegning må ses i sammenheng med at inntektsbeskatningen gjennomføres etter nettometoden, og at deltakeren derfor ikke har noen egen skattemessig verdi knyttet til de enkelte eiendelene i selskapet. I likhet med en aksjonær, anses deltakeren for å eie en andel i selskapet som sådant.
Etter gjeldende rett beregnes gevinst (tap)ved realisasjon av andel i deltakerlignet selskap slik, jf. skatteloven § 10-44 tredje ledd:
Vederlaget for andelen (salgssum)
- Andel av skattemessige verdier i selskapet på realisasjonstidspunktet
+ /- Korreksjon for over- eller underpris ved erverv av andelen
= Skattepliktig gevinst /fradragsberettiget tap
At det er selskapets skattemessige verdier på realisasjonstidspunktet som skal legges til grunn, innebærer at verdiene i selskapets skattemessige balanse ikke uten videre kan benyttes, fordi balansen refererer til årsoppgjørstidspunktet. Dersom salgstidspunktet er et annet enn årsoppgjørstidspunktet, må det settes opp en tenkt balanse pr. salgsdato.
Over- eller underpris ved ervervet av andelen tilsvarer differansen mellom en forholdsmessig andel av selskapets skattemessige verdier på ervervstidspunktet og kjøpesummen. Korreksjonen for over- eller underpris er et utslag av nettometoden, hvor verdiene fastsettes felles for deltakerne på selskapets hånd, og at disse verdiene står uendret før og etter realisasjon av andelen.
Den gjeldende metoden for gevinstberegning sikrer skattefritak for den delen av realisasjonsgevinsten som gjenspeiler verdien av skattlagt tilbakeholdt overskudd i virksomheten i deltakerens eiertid. En slik metode gir om lag samme resultat som RISK-reglene, som frem til nå har vært brukt ved realisasjon av aksjer.
Gevinsten skattlegges som alminnelig inntekt.
Realisasjonsgevinster og –tap på andel i deltakerlignet selskap tidfestes etter realisasjonsprinsippet. Det vil si at gevinst skattlegges og tap fradras i det året eiendomsretten overføres, uavhengig av betalingstidspunktet.
10.2 Utvalgets vurderinger og forslag
Utvalget viser til at det er en nær sammenheng mellom den løpende inntektsbeskatningen og gevinstberegningen. Den gjeldende metoden for gevinstberegning er tilpasset et system med løpende inntektsbeskatning av deltakerne etter en kildemodell (delingsmodellen). Ved en slik modell gjennomføres all inntektsbeskatning i det enkelte inntektsår, som ledd i den løpende beskatningen av deltakeren. Det vil ikke være latente skatteforpliktelser på tilbakeholdt overskudd ved realisasjonen.
En utdelingsløsning innebærer derimot at det kan være tilbakeholdt ikke ekstrabeskattet overskudd ved realisasjonen. Det reiser nye problemstillinger i tilknytning til gevinstbeskatningen.
Utvalget foreslår samme metode for gevinstberegning som i aksjonærmodellen. Det vil si at hele differansen mellom netto salgsvederlag for andelen og netto kjøpesum regnes som skattepliktig gevinst, uten korreksjon for tilbakeholdt skattlagt overskudd i virksomheten. I dette grunnlaget må det være adgang til å utnytte ubenyttet skjermingsfradrag på realisasjonstidspunktet.
Det vil si at gevinsten beregnes på følgende måte:
Netto salgsvederlag for andelen
- Netto kjøpesum inkl. kjøpsomkostninger
- Ubenyttet skjerming på realisasjonstidspunktet
= Skattepliktig gevinst
I tillegg må det korrigeres for andelshaverens kapitalinnskudd i eierperioden og tilbakebetaling av tidligere innskutt kapital. Et kapitalinnskudd vil øke inngangsverdien, og en tilbakebetaling av kapital reduserer inngangsverdien, jf. lovutkastet § 10-44 fjerde ledd.
Tabell 10.1 Justering av skjermingsgrunnlag på grunn av løpende overskuddsskatt
| Situasjon | Deltakers valg | Konsekvens |
|---|---|---|
| Selskapet har overskudd | Løpende overskuddsskatt betales med midler utenfor selskapet | Skjermingsgrunnlaget oppjusteres med betalt løpende overskuddsskatt |
| Løpende overskuddsskatt dekkes gjennom en utdeling lik skattebeløpet | Skjermingsgrunnlaget er uendret | |
| Selskapet har underskudd | Deltakeren oppnår en reduksjon av alminnelig inntekt og derigjennom lavere skatt. Det sparte beløpet skytes ikke inn i selskapet | Skjermingsgrunnlaget nedjusteres med skattefordelen av underskuddet |
| Deltakeren oppnår en reduksjon av alminnelig inntekt og derigjennom lavere skatt. Det sparte beløpet skytes inn i selskapet. | Skjermingsgrunnlaget er uendret. |
Utvalget viser i denne forbindelse til aksjonærmodellen, hvor ubenyttet skjerming på realisasjonstidspunktet reduserer skattepliktig gevinst, men ikke kan føre til eller øke fradragsberettiget tap. En tilsvarende begrensning bør gjennomføres i deltakermodellen.
På grunn av nettoligning i deltakerlignede selskaper, må det gjøres særlige korreksjoner i grunnlaget for skjerming, jf. lovutkastet § 10-42 syvende ledd første punktum. Eieren av en andel kan i et tilfelle med overskudd velge å betale den løpende skatten med andre midler enn selskapets. I et slikt tilfelle må skjermingsgrunnlaget for det etterfølgende år oppjusteres med dette beløpet. Alternativet er at andelshaveren tar ut et beløp fra selskapet lik den løpende overskuddsskatten. Dette vil innebære et uendret skjermingsgrunnlag det etterfølgende år. Dersom selskapet et år får beregnet et skattemessig underskudd, må det foretas symmetriske justeringer. Normalt vil det løpende underskuddet komme til fradrag i andelshaverens alminnelige inntekt det samme år. Den skattefordelen andelshaveren oppnår gjennom denne samordningen, må reflekteres i skjermingsgrunnlaget. For å opprettholde skjermingsgrunnlaget det etterfølgende år, må andelshaveren skyte inn den skattefordelen som ble oppnådd gjennom fradrag i annen alminnelig inntekt. Dersom dette ikke gjøres, må skjermingsgrunnlaget nedjusteres med denne oppnådde skattefordelen. I realiteten står andelshaver således ovenfor fire mulige situasjoner i forhold til hvordan skjermingsgrunnlaget justeres på grunn av den løpende overskuddsskatten. Disse situasjonene med tilhørende konsekvens vises i tabell 10.1.
Disse korreksjonene i skjermingsgrunnlaget må gjøres løpende og har således virkning både for ekstrabeskatningen ved utdeling og ved realisasjon av andel.
Det teoretisk riktige ville være at korreksjonen for skattefordelen ble foretatt det året underskuddet faktisk ble fradratt. En slik løsning kan bli administrativt krevende, og utvalget vil ikke foreslå den. I stedet vil utvalget tilrå en løsning der korreksjonen for skattefordelen fastsettes det året underskuddet oppstår utfra en sjablonmessig skattesats på 20 pst. Den samme satsen er benyttet som en praktisk tilnærming for fastsettelse av fordel og ulempe ved arveavgiftsberegningen i forbindelse med innføring av diskontinuitetsprinsippet ved overføring av aksjer, jf. skatteloven § 10-33 og arveavgiftsloven § 14 femte ledd og § 15 sjette ledd.
Utvalget viser til at det ved eierskifte er viktig å knytte tilbakeholdt overskudd hos den enkelte deltaker til selve andelen som overdras. Kjøper av andelen må overta retten til tilbakeholdt overskudd tilknyttet selve andelen og ikke en andel av totalt tilbakeholdt overskudd i selskapet. Å knytte kontoen til andel ved eierskifte, sikrer at det ikke skjer noen verdiforrykning mellom den solgte andelen og andre andeler.
Tilknytningen mellom tilbakeholdt overskudd og den individuelle andelen vil fremgå av hver eiers individuelle egenkapitalkonto i selskapet. Slik tilknytning kan også fremgå av deltakernes egne fortegnelser over ekstrabeskattet overskudd.
Utvalgets forslag til gevinstberegning vil ta hensyn til forrige eiers tilbakeholdte overskudd som vil overdras ved et eierskifte. Når kjøper tar ut overskudd som ble tilbakeholdt i forrige eiers eiertid, vil utdelingen bli ekstrabeskattet på vanlig måte etter deltakermodellen. Denne ekstrabeskatningen skjermes for et tilsvarende grunnlag: Kjøpers skjermingsgrunnlag vil være andelens netto kostpris, som også gjenspeiler verdien av tilbakeholdt overskudd i tilknytning til andelen.
På samme måte som etter gjeldende rett og etter aksjonærmodellen, skal den beregnede gevinsten skattlegges som alminnelig inntekt (uten noen egen ekstrabeskatning av grunnlaget).
Fremgangsmåten for gevinstbeskatning som er foreslått foran, skal både gjelde ved realisasjon av hele selskapsandelen, og ved realisasjon av del av en andel i selskapet (med forholdsmessig beregning).
Ved likvidasjon av selskap hvor det foretas gevinstbeskatning av deltaker etter skatteloven § 10-44 første ledd, skal det ikke samtidig foretas utdelingsbeskatning etter § 10-42, jf. også skatteloven § 10-37.
Utvalget foreslår kun endringer i beregningsmåten for gevinster og tap. Vilkårene for gevinstbeskatning og tapsfradrag, tidfestingsregler med mer, foreslås ikke endret.
Det vises til bestemmelsen om gevinst og tap ved realisasjon mv. i lovutkastet § 10-44.
Andeler ervervet før 1. januar 2006 reiser særlige spørsmål om gevinstberegning. For slike eierandeler bør andel av skattemessige verdier i selskapet, korrigert for eventuell over- eller underpris ved ervervet, være inngangsverdi. Det vil sikre at gevinstberegningen etter de tidligere reglene får virkning frem til iverksettelsen av deltakermodellen.
Selskapet og skattyter forutsettes å gi opplysninger om dette grunnlaget. Det vil være behov for et særskilt ligningsvedtak for disse verdiene, slik at ligningsmyndighetene har tatt stilling til opplysningene. De aktuelle ligningsskjemaene for 2006 må utarbeides med krav til avgivelse av disse opplysningene.
11 Forholdet til utlandet
11.1 Innledning
Vurderingene foran er konsentrert om situasjonen der alle deltakere er norske, og der de gjennom et norsk selskap utøver virksomhet bare i Norge. Utvalget legger til grunn at dette er dekkende for en betydelig del av den personlige næringsvirksomhet som er organisert gjennom ulike typer deltakerlignede selskap. Men grenseoverskridende næringsvirksomhet forekommer også gjennom disse selskapsformene. Utlendinger kan være deltakere i norsk eller utenlandsk selskap og drive virksomhet i Norge. Likeledes kan innlendinger være deltakere i norsk eller utenlandsk selskap og drive virksomhet i utlandet. Innenfor skipsfartsnæringen er dette kanskje særlig utbredt. Utvalget antar at det normalt vil være et beskjedent innslag av personlige deltakere i store virksomheter som er organisert som deltakerlignet selskap. Deltakermodellen får da ikke anvendelse. Personlige deltakere vil dominere i mindre virksomheter. Det kan også være et stort innslag av personlige deltakere i store kommandittselskap eller tilsvarende utenlandske selskapsformer med blandet ansvarsform.
Deltakermodellens anvendelse i forhold til utenlandske deltakere med virksomhet i Norge og norske deltakere med virksomhet i utlandet reiser særlige, og også til dels uoversiktlige problemstillinger. Utvalget har ikke hatt tid til å foreta en bred og grundig vurdering av alle spørsmål som kan oppstå i denne forbindelse. Utvalget har derfor i sine vurderinger begrenset seg til å peke på noen sentrale og overordnede problemstillinger som kan være av betydning for om deltakermodellen generelt bør anbefales. Spørsmål av mer teknisk art og løsninger på disse er ikke behandlet.
Som kjent er det i internasjonale forhold vanskelige og til dels uavklarte problemstillinger etter delingsreglene. I dette komplekse brytningsfeltet mellom intern rett og skatteavtaler, inntektsskatt og trygdeavgift, reiser ikke utvalgets forslag til beskatningsmodell mer kompliserte problemstillinger enn det man har måttet forsøke å håndheve etter delingsreglene.
Nedenfor gis en kortfattet oversikt over gjeldende beskatningsregler, herunder sentrale bestemmelser i lov og skatteavtale som etablerer og begrenser norsk beskatningsrett. Dette danner rammen som virkeområdet for deltakermodellen i utenlandsforhold må vurderes opp imot.
11.2 Beskrivelse av gjeldende regler
De materielle skatteregler er i større grad knyttet til hvor virksomheten utøves (eller bestyres fra) enn hvor selskapet er etablert/registrert. Derfor omtales først situasjonen hvor en norsk person er deltaker i selskap med virksomhet i utlandet, jf. avsnitt 11.2.1 nedenfor. Dette dekker både tilfellet med deltakelse i et utenlandsk etablert selskap, og tilfellet hvor selskapet er norsk, men hvor virksomhet utøves i et annet land gjennom et fast driftssted der. I andre sammenhenger kan det ha betydning om selskapet er norsk eller utenlandsk. Det gjelder særlig muligheten til å innhente opplysninger fra selskapet til kontroll av deltakerens ligning.
Deretter omtales situasjonen hvor en utenlandsk person er deltaker i selskap som driver virksomhet i Norge (eller bestyres herfra), jf. avsnitt 11.2.2 nedenfor. Det sondres ikke mellom situasjonen hvor selskapet er norsk, og situasjonen hvor selskapet er utenlandsk og driver virksomhet gjennom fast driftssted i Norge. Også her vil kontrollaspektet påvirkes av om selskapet er norsk eller utenlandsk.
Det gis ingen særskilt omtale av situasjonen med norske deltakere i et utenlandsk etablert/registrert selskap, når selskapet driver hele sin virksomhet i Norge. Beskatningen av deltakerne skjer etter samme regler som når selskapet er norsk.
11.2.1 Norsk deltaker i selskap som driver virksomhet i utlandet
Personer som er bosatt i Norge, jf. skatteloven § 2-1, er etter norsk intern rett skattepliktig for løpende inntekt fra selskapsdeltakelsen også når slik inntekt er opptjent i utlandet. Dette følger av globalinntektsprinsippet, jf. skatteloven § 2-1 niende ledd. Det er uten betydning for norske deltakeres skatteplikt om utenlandsvirksomheten utøves gjennom et norsk selskap, eller om den utøves gjennom et utenlandsk selskap.
Også norske deltakere i utenlandske selskaper beskattes dermed i Norge etter nettometoden. Nettometoden gjennomføres slik at deltakernes andel av selskapets resultat fastsettes etter norske skatteregler som om selskapet var selvstendig (norsk) skattyter, og så fordeles resultatet forholdmessig på de norske deltakerne etter eierandelen. Det skal beregnes personinntekt for deltakerne etter de samme regler som for deltakere i norske deltakerlignede selskaper. Norske deltakeres gevinst ved realisasjon av andel beskattes etter alminnelige regler. Realisasjonstap kommer tilsvarende til fradrag.
Norsk beskatningsrett kan imidlertid være avskåret gjennom skatteavtaler Norge har inngått med andre land. Dette vil først og fremst være aktuelt hvor selskapet har et fast driftssted i utlandet, jf. OECDs mønsteravtale artikkel 7 jf. artikkel 5 som også norske skatteavtaler bygger på, forutsatt at Norge anvender unntaksmetoden for å avverge dobbeltbeskatning. Når virksomheten er organisert i et utenlandsk etablert selskap, må en anta at den norske deltakeren regelmessig vil bli ansett for å drive sin virksomhet gjennom et fast driftssted i utlandet. For virksomhetsinntekter anvender Norge fortsatt unntaksmetoden i flere skatteavtaler av eldre dato, blant annet gjelder dette skatteavtalene med Tyskland, Italia og Polen. I nyere skatteavtaler anvender Norge imidlertid kreditmetoden for å avverge dobbeltbeskatning av virksomhetsinntekter. Kreditmetoden innebærer at de norske deltakeres andel av inntekten fra det utenlandske faste driftsstedet blir skattlagt i Norge, samtidig som det vil bli gitt kredit (fradrag) i norsk skatt for eventuell utenlandsk skatt etter reglene i skatteloven § 16-20 flg. Dette gjelder også om det annet land utligner skatten på selskapet, og ikke som i Norge på deltakerens hånd, jf. skatteloven § 16-20 annet ledd.
Det kan reises spørsmål om Norges beskatningsrett til gevinst ved realisasjon av andel er begrenset i skatteavtalene, jf. artikkel 13 i OECDs mønsteravtale om beskatning av formuesgevinst. Dette beror på om transaksjonen i forhold til skatteavtalen blir å klassifisere som realisasjon av andel i fast driftssted, eller om realisasjon av deltakerandel skal sidestilles med realisasjon av andel eller aksje i selskap som behandles som eget skattesubjekt (aksjeselskap mv.).
Det kan være ulike oppfatninger om dette. Finansdepartementet synes å være av den oppfatning at det er en andel i fast driftssted som anses realisert, jf. også Ot.prp. nr. 35 (1990-91) side 376-377. I samme retning, Jan B. Jansen i nasjonalrapport til IFA-kongressen i 1995. Hvor skatteavtalen bygger på unntaksmetoden, innebærer dette at norske deltakere ikke kan beskattes for gevinst som tilordnes det faste driftssted.
Av enkelte skatteavtaler følger at Norge ikke kan beskatte norske deltakere for inntekter fra internasjonal skipsfart, dersom selskapets virkelige ledelse har sete i det annet land, jf. artikkel 8 i OECDs mønsteravtale. Løsningen i de fleste nyere skatteavtaler er likevel at Norge har eksklusiv beskatningsrett til inntekt som tilordnes deltakere bosatt i Norge. Retten til å beskatte gevinst ved realisasjon av andel i slike selskaper er gjerne lagt til samme stat som har rett til å beskatte det løpende overskuddet, jf. OECDs mønsteravtale artikkel 13 punkt 3.
11.2.2 Utenlandsk deltaker i selskap som driver virksomhet i Norge
En deltaker som er bosatt i utlandet er skattepliktig til Norge for inntekten fra selskapsdeltakelsen etter skattelovens alminnelige regler om begrenset skatteplikt. Etter skatteloven § 2-3 første ledd b vil slik skatteplikt foreligge for en løpende andel av overskuddet når virksomheten drives eller bestyres i Norge. Dette gjelder uavhengig av om virksomheten drives gjennom et norsk eller et utenlandsk selskap. Foreligger det skattavtale med vedkommende utland, kan Norge beskatte inntekten dersom det foreligger fast driftssted i Norge, jf. artikkel 5 og 7 i OECDs mønsteravtale.
Også inntekt fra internasjonal skipsfart er i utgangspunktet skattepliktig til Norge dersom virksomheten drives eller bestyres fra Norge. Unntak gjelder for inntekt som en i utlandet bosatt person oppebærer fra egne og innleide skip i internasjonal fart, med mindre Norge etter skatteavtale er tillagt eksklusiv beskatningsrett til inntekten, jf. skatteloven § 2-34. Personer som er bosatt i utlandet kan også være fritatt fra norsk beskatning av internasjonal skipsfartsinntekt etter bestemmelser i skatteavtale. Dette gjelder typisk hvor skatteavtalen bestemmer at hver stat beskatter sine egne bosatte personer, jf. avsnitt 11.2.1 foran.
Utenlandske deltakere skattlegges for løpende inntekter fra selskapsdeltakelsen etter samme regler som gjelder for norske deltakere.
Når det gjelder realisasjon av andeler i selskapet, har Finansdepartementet lagt til grunn at skatteplikt til Norge for gevinst følger av bestemmelsen i skatteloven § 2-3 første ledd b, når selskapet driver virksomhet her. Det vises til uttalelse inntatt i Utvalget 1998 side 432. Som nevnt i avsnitt 11.2.1 foran har Finansdepartementet lagt til grunn at det er en andel av det faste driftssted som anses realisert, slik at norsk beskatningsrett normalt vil være i behold etter skatteavtalens bestemmelser for gevinst som tilordnes det faste driftssted, jf. OECDs mønsteravtale artikkel 13 punkt 2.
11.3 Utvalgets vurderinger
Utvalget er av den oppfatning at det vil være ønskelig om deltakermodellen fullt ut kan gis anvendelse i de situasjoner som er beskrevet ovenfor, dvs. generelt både for norske deltakere i selskap med virksomhet i utlandet og for utenlandske deltakere i selskap med virksomhet i Norge. En slik generell anvendelse av modellen vil i utgangspunktet sikre lik (norsk) beskatning av inntektene fra selskapsdeltakelsen uavhengig av hvor virksomheten drives, og uavhengig av om deltakeren er bosatt i Norge eller i utlandet.
I det følgende vurderes i hvilken utstrekning deltakermodellen i praksis vil kunne få et generelt virkeområde i utenlandsforhold. Et første spørsmål er da om Norge har hjemmel til å gjennomføre ekstrabeskatning av utdeling i forskjellige konstellasjoner. Temaet er hvorvidt beskatningsretten er fraskrevet i skatteavtaler Norge har inngått. Gitt at man har beskatningshjemmel, blir et neste spørsmål hvilke muligheter som reelt foreligger for en effektiv håndheving og kontroll av ekstrabeskatningen av utdeling fra selskapet. En tredje problemstilling vil være hvilke muligheter som foreligger til å unngå ekstrabeskatningen ved å foreta grenseoverskridende tilpasninger, ved emigrasjon eller utflytting av virksomheten. Disse tema behandles kort i det følgende.
Når det ikke foreligger skatteavtale, vil norske beskatningshjemler reguleres fullt ut av de interne regler. Når det foreligger skatteavtale med vedkommende utland, er norsk beskatningsrett avhengig av at denne ikke er fraskrevet i skatteavtalen.
Skatteavtalene vil være til hinder for at deltakermodellen kan få full gjennomslagskraft i begge de situasjonene som er beskrevet foran i avsnitt 11.2, dvs. henholdsvis for norske deltakere i selskap med virksomhet i utlandet og for utenlandske deltakere i selskap med virksomhet i Norge. Dette begrunnes som følger: Skatteavtalene har bestemmelser om når virksomhetsinntekter kan beskattes i en annen stat enn den staten hvor skattyteren (deltakeren) er bosatt. Betingelsen er at det foreligger et fast driftssted i den annen stat, jf. artikkel 7 punkt 1, jf. artikkel 5 i OECDs mønsteravtale. Driftsstedsstaten er i disse tilfelle gitt beskatningsrett til overskuddet av virksomheten (”the profits of the enterprise”), men bare for den del som kan tilordnes det faste driftsstedet. Spørsmålet er da om ekstrabeskatningen av utdeling etter deltakermodellen er å anse som beskatning av driftsstedets overskudd i forhold til skatteavtalenes bestemmelser om virksomhetsinntekter, når ekstrabeskatningen blir utløst etter andre kriterier, og ilegges på et annet grunnlag, enn den ordinære løpende overskuddsbeskatning. Utvalget tar ikke stilling til dette, men viser til at det kan argumenteres for begge løsninger. Utvalget vil imidlertid peke på virkningen av å falle ned på den ene eller den annen løsning.
Om ekstrabeskatning ved utdeling anses å utgjøre en del av overskuddsbeskatningen av driftsstedet, kan Norge ikke gjennomføre slik beskatning av norske deltakere i (norsk eller utenlandsk) selskap med fast driftssted i utlandet, når Norge anvender unntaksmetoden i skatteavtalen. Når Norge anvender kreditmetoden i skatteavtalen, er beskatningsretten ikke begrenset. Motstykket er at Norge etter skatteavtalen kan foreta ekstrabeskatning av utenlandske deltakere i (norsk eller utenlandsk) selskap med fast driftssted i Norge.
Om ekstrabeskatningen ikke anses å utgjøre et element i overskuddsbeskatningen av driftsstedet, kan Norge ikke ekstrabeskatte utenlandske deltakere i (norsk eller utenlandsk) selskap med fast driftssted i Norge. Motstykket er da at norske deltakere i (norsk eller utenlandsk) selskap med fast driftssted i utlandet fullt ut kan beskattes i Norge.
Uansett løsning vil skatteavtalene medføre begrensninger med hensyn til å kunne gjennomføre ekstrabeskatning ved utdeling. Dette svekker deltakermodellens egnethet til skattemessig likebehandling, men er etter utvalgets syn ikke noen avgjørende motforestilling mot å innføre deltakermodellen som sådan. Utvalget ser enkelte betenkeligheter med en løsning som innebærer at Norge etter skatteavtale forhindres fra å ekstrabeskatte utdeling foretatt av utenlandske deltakere i (norske eller utenlandske) selskap med fast driftssted i Norge. Et mulig tiltak mot dette kan være å innføre alternative, og kanskje sjablonmessige, beskatningsregler for denne personkretsen. Det er ikke gitt hvordan et slikt regelsett skulle utformes, og det kan være at man her står overfor et vanskelig løsbart problem. Forpliktelsene etter EØS-avtalen tilsier at utlendinger ikke beskattes hardere enn personer som er bosatt i Norge. Det kan også være aktuelt å innføre regler om beskatning av latente skatteforpliktelser (overskudd utover skjermingsgrunnlaget) for en norsk bosatt person som emigrerer fra Norge. Et slikt tiltak må imidlertid vurderes i forhold til EØS-avtalen. Ut fra EF-domstolens praksis, synes en ”exit-tax” (utflyttingsskatt) vanskelig å forene med EØS-avtalen. Utvalget viser i denne sammenheng til at Finansdepartementet i Ot.prp. nr. 1 (2004-2005) har varslet en nærmere vurdering av dette spørsmålet i forhold til aksjonærmodellen. Det vil være naturlig at dette tema vurderes under ett i forhold til både aksjonærmodellen og deltakermodellen.
Utvalget ser mindre betenkeligheter ved løsningen som innebærer at Norge, der hvor skatteavtalen bygger på unntaksmetoden, ikke kan foreta ekstrabeskatning av norske deltakere i (norsk eller utenlandsk) selskap med fast driftssted i utlandet. Det vises til at dette ikke skiller seg vesentlig fra dagens situasjon, hvor Norge etter skatteavtalen normalt vil være forhindret fra å ilegge personinntekt på næringsinntekten. Det vises også til at Norge fra 1992 har gått over til å benytte kreditmetoden i skatteavtalene, slik at manglende beskatningsrett som skyldes anvendelse av unntaksmetoden i skatteavtalene i et visst tidsperspektiv kan ses på som et overgangsproblem.
Vurderingene nedenfor baserer seg på at skatteavtalene ikke er til hinder for at Norge kan foreta ekstrabeskatning ved utdeling i de typetilfellene som omtales. Selv om formell beskatningshjemmel foreligger, antar utvalget at det vil være vanskeligere å gjennomføre effektiv håndheving og kontroll med ekstrabeskatning av utdeling i utenlandsforhold, enn tilfellet er i rene nasjonale konstellasjoner. Hvilke og hvor store vanskeligheter en må forvente, vil variere med typetilfellet.
Utvalget antar at det vil være spesielt vanskelig å foreta effektiv ekstrabeskatning ved utdeling til utenlandske deltakere i utenlandske selskap, som driver virksomhet i Norge gjennom fast driftssted her. Særlig gjelder dette når tilstedeværelsen i Norge er kortvarig, slik at det typisk ikke vil bli foretatt utdeling fra selskapet i den tiden deltakerne utøver virksomhet her. Hvor det faste driftsstedet for eksempel etableres i forbindelse med et bygge- eller anleggsarbeid i Norge, vil det i praksis ikke være mulig å foreta ekstrabeskatning ved utdeling fra selskapet (av overskuddet som er opptjent ved aktiviteten i Norge), hvis aktiviteten i Norge er avsluttet før utdelingen foretas. Et mulig beskyttelsestiltak kan være å innføre regler som går ut på at latente skatteforpliktelser (overskudd utover skjermingsgrunnlaget) tas til beskatning når virksomheten i Norge opphører.
Vanskeligheter vil imidlertid gjøre seg gjeldende også når et utenlandsk selskaps tilstedeværelse i Norge er av mer permanent karakter, typisk i form av en norsk filial. Deltakernes utdeling vil normalt belastes hovedkontoret i utlandet, og – i den utstrekning den utenlandske deltakeren opplyser norske skattemyndigheter om utdelingen – vil det være vanskelig å måle hvor stor del av utdelingen som skriver seg fra et tidligere overskudd opptjent i den norske virksomheten. En effektiv håndheving av ekstrabeskatningen overfor utenlandske deltakere vil lettere kunne påregnes der utlendingen er deltaker i norsk selskap. Utvalget går ikke nærmere inn på hvordan disse forhold eventuelt kan løses. Som allerede nevnt foran, vil utvalget imidlertid ikke utelukke at deltakermodellen bør erstattes med en alternativ, og kanskje mer sjablonbasert beskatningsregel, for utlendinger som utøver virksomhet i Norge gjennom deltakerlignet selskap.
I forhold til norske deltakere i utenlandske selskap , vil innføring av deltakermodellen aktualisere behovet for kontrollopplysninger fra det utenlandske selskapet om utdeling fra selskapet til den norske deltakeren. Slike plikter kan ikke pålegges utenlandske subjekter. Dersom selskapet er etablert i et land Norge har skatteavtale med og avtalen inneholder bestemmelser om utveksling av opplysninger, jf. OECDs mønsteravtale artikkel 26, kan det imidlertid på anmodning innhentes opplysninger fra utlandet til bruk ved kontroll av den norske deltakerens ligning.
Avslutningsvis vil utvalget peke på at når den norske beskatningen innrettes slik at denne dels skjer i form av løpende overskuddsbeskatning, og dels gjennom en ekstrabeskatning ved senere utdeling fra selskapet, vil dette kunne øke risikoen for dobbeltbeskatning ved grenseoverskridende aktiviteter. Dette fordi kreditreglene i en rekke land, herunder også Norge, går ut på at bostedsstaten bare gir kredit (fradrag) i utlignet skatt, for utenlandsk skatt som er påløpet i samme inntektsår. En utlending som beskattes i hjemlandet med 35 pst. på inntekt av virksomhet i Norge, kan få kredit (fradrag) for den løpende norske overskuddsskatten på 28 pst. Vedkommende vil imidlertid ikke få kredit for noen del av norsk ekstraskatt ved senere utdeling fra selskapet. Omvendt vil en norsk deltaker i utenlandsk virksomhet, som undergis en beskatning i utlandet på 35 pst., risikere ikke å få kredit (fradrag) i Norge for mer enn 28 pst. av den utenlandske skatt, selv om den samlede norske skatt (28 pst. løpende overskuddsskatt og 20,16 pst. ekstraskatt ved senere utdeling) overstiger den utenlandske skatten.
Fotnoter
Overskuddsandelen er skattepliktig som alminnelig inntekt på personens hånd. Denne skatten refereres til som overskuddsskatt for å få et begrepsmessig skille fra skatt på uttak.
Prisen for eierandelen er opprinnelig inngangsverdi pluss etterskatt-verdien av det tilbakeholdte overskudd. Kjøper vil imidlertid oppnå høyere skjerming som følge av at inngangsverdien øker, noe som gjør at det tilbakeholdte overskudd ikke vil ekstrabeskattes fullt ut ved uttak. Dette er hensyntatt i denne beregningen og fremkommer som:
Tallene i eksemplene er avrundet. Eksakte tall vil vise at det samlede skattegrunnlaget i A1 vil være noe lavere enn i A2. Dette skyldes at kjøper i A1 vil ha noe høyere skjermingsgrunnlag i år 3, som følge av investeringen som er gjort.
Slik ytelse skal unntaksvis behandles som lønn og følger da kontantprinsippet, jf. avsnitt 8.2.2.
Unntaket er fortsatt valgadgang mellom lønn og næringsinntekt for deltakere med begrenset ansvar.
Dvs. med høy trygdeavgiftssats og ingen arbeidsgiveravgift.
Se Ot.prp. nr. 1 (2004-2005) pkt. 5.6.10.1
Skattesatsen for personlig næringsdrivende med inntekter over 12 G og opp til 906900 har økt fra 2004 til 2005 grunnet innføring av høy trygdeavgift for næringsinntekt over 12G og reduksjonen av innslagspunktet for den høyere toppskatten.