6 Finansielle indikatorer
Omtalen av den økonomiske situasjonen i kommunene og fylkeskommunene er basert på foreløpige KOSTRA-tall fra 2006, publisert av Statistisk sentralbyrå (SSB) 15. mars 2006. Regnskapstallene bygger i alt på rapporter fra 382 kommuner og 18 fylkeskommuner. Enkelte av disse har kun rapportert størrelser fra drifts- eller balanseregnskapet. Følgende indikatorer er brukt for å beskrive den økonomiske situasjonen:
Netto driftsresultat i prosent av driftsinntektene
Akkumulert regnskapsresultat i prosent av driftsinntektene
Arbeidskapital i prosent av driftsinntektene
Netto lånegjeld i prosent av driftsinntektene
Netto lånegjeld i kroner per innbygger
Netto driftsresultat viser hva kommunen/fylkeskommunen sitter igjen med av løpende inntekter etter at alle løpende utgifter er trukket fra. I tillegg til inntekter og utgifter knyttet til den ordinære driften, det vil si til administrasjon og tjenestetilbud, inngår også finansinntekter (renteinntekter, mottatt utbytte og eventuelle kursgevinster på finansielle omløpsmidler) og finansutgifter (renteutgifter, avdrag på lån og eventuelle kurstap på finansielle omløpsmidler) i resultatbegrepet. Avskrivninger er derimot holdt utenom. Netto driftsresultat kan benyttes til finansiering av investeringer eller avsettes til senere bruk, og gir dermed en indikasjon på kommunens/fylkeskommunens økonomiske handlefrihet.
Akkumulert regnskapsmessig resultat viser differansen mellom uinndekkede regnskapsmessige merforbruk og udisponerte regnskapsmessige mindreforbruk. Regnskapsmessig mer- eller mindreforbruk er bunnlinjen i kommuneregnskapet og består av årets løpende inntekter og utgifter (netto driftsresultat) samt avsetninger til fond og bruk av tidligere oppsparte midler. Et regnskapsmessig mindreforbruk er de midlene som er til overs etter at netto driftsresultat er disponert i tråd med kommunestyrets budsjettvedtak. Et mindreforbruk innebærer at driftsresultatet ikke er disponert fullt ut. Et regnskapsmessig merforbruk vil si at kommunen/fylkeskommunen har overskredet det vedtatte, balanserte budsjettet. Et merforbruk skal dekkes inn i løpet av to år. Dette kan enten skje gjennom bruk av fond eller ved å disponere et positivt netto driftsresultat til formålet. Indikatoren akkumulert regnskapsmessig resultat sier således noe om behovet for tilpasninger i driften, og hvilke økonomiske utfordringer kommunen står overfor.
Arbeidskapitalen gir uttrykk for kommunenes og fylkeskommunenes likviditet, det vil si deres evne til å betale forpliktelsene etter hvert som de forfaller. Arbeidskapitalen omfatter bankinnskudd, verdipapirer (aksjer, obligasjoner og liknende) og fordringer, fratrukket kortsiktig gjeld, herunder kassakredittlån, sertifikatlån og leverandørgjeld. Utviklingen i arbeidskapital er skapt av frigjorte midler som ikke har blitt brukt til investeringer.
Netto lånegjeld gir uttrykk for hvor mye av kommunens/fylkeskommunens langsiktige gjeld som skal betjenes av kommunens ordinære driftsinntekter. Netto lånegjeld er definert som langsiktig gjeld fratrukket formidlingslån, utlån til egne midler og ubrukte lånemidler. Kommunens/fylkeskommunens pensjonsforpliktelser er holdt utenom. I likhet med akkumulert regnskapsmessig resultat og nivået på arbeidskapitalen er netto lånegjeld et resultat av den økonomiske utviklingen i kommunen/fylkeskommunen gjennom flere år. Utviklingen i langsiktig gjeld bestemmes av forholdet mellom nye låneopptak som kommunen/fylkeskommunen tar opp til egne investeringer og avdrag på tidligere opptatte lån. Sammen med arbeidskapitalen uttrykker langsiktig lånegjeld kommunens/fylkeskommunens finansielle handlefrihet.
6.1 Fylkeskommunene
De foreløpige regnskapstallene for fylkeskommunene viser et enda høyere driftsoverskudd i 2006 enn i 2005. Fylkeskommunene hadde altså også i 2006 et betydelig driftsoverskudd. Likviditeten målt ved arbeidskapitalen var noe bedre enn ved utgangen av 2005, men statistikken indikerer derimot en noe høyere gjeldsbelastning for fylkeskommunene.

Figur 6.1 Utvikling i netto driftsresultat 1996-2006 for fylkeskommunene utenom Oslo. I prosent av driftsinntektene.
6.1.1 Netto driftsresultat og akkumulert mer-/mindreforbruk
Netto driftsresultat for fylkeskommunene utenom Oslo i 2006 utgjorde 5,3 prosent av driftsinntektene, eller 2 068 millioner kroner. Dette er en forbedring fra 2005 og 2004 og betydelig høyere enn driftsresultatet fra de foregående årene.
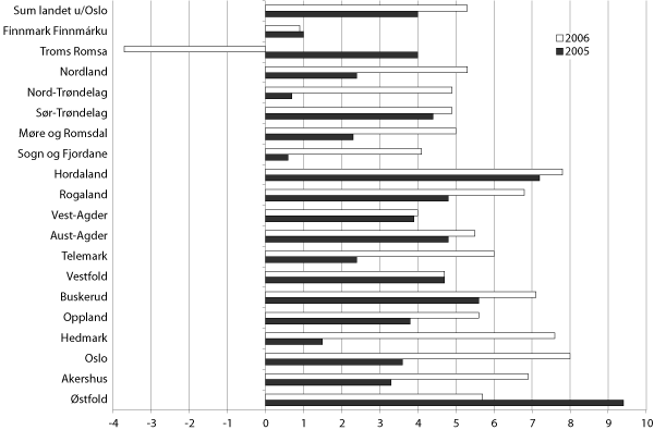
Alle fylkeskommuner utenom Troms hadde et positivt netto driftsoverskudd i 2006. Det er bare Troms og Finnmark som ikke hadde et netto driftsresultat som var tre prosent eller høyere, som av Det tekniske beregningsutvalg for kommunal og fylkeskommunal økonomi (TBU) anses som nødvendig over tid for å sitte igjen med tilstrekkelig med midler til avsetninger og investeringer. Troms var med 3,7 prosent den fylkeskommunen med det laveste driftsresultatet, mens Oslo hadde det høyeste resultatet på 8,0 prosent av driftsinntektene.
Troms er den eneste fylkeskommunen som står oppført med akkumulert merforbruk. Merforbruket og driftsunderskuddet skyldes i første rekke at fylkeskommunen har endret regnskapsføringen av midlene under kapittel 551, post 61 Næringsrettede midler til regional utvikling, kompensasjon for økt arbeidsgiveravgift i statsbudsjettet, fra 2006.
6.1.2 Arbeidskapital og netto lånegjeld
Samlet arbeidskapital for fylkeskommunene utgjorde 14,3 prosent av driftsinntektene ved utgangen av 2006, en økning på 2,8 prosentpoeng fra året før. Østfold, Hedmark, Finnmark og Møre og Romsdal hadde høyest arbeidskapital per 31. desember 2006. Ingen av fylkeskommunene hadde negativ arbeidskapital.
Tabell 6.1 Finansielle nøkkeltall for fylkeskommunene, 2006. I prosent av driftsinntektene og kr per innbygger.
| Netto driftsresultat (prosent) | Akkumulert regnskapsresultat (prosent) | Arbeidskapital (prosent) | Netto långjeld (prosent) | Netto lånegjeld (kr per innbygger) | |
|---|---|---|---|---|---|
| Østfold | 5,7 | 7,6 | 34,7 | 43,3 | 3 270 |
| Akershus | 6,9 | 5,9 | 8,7 | 12,8 | 907 |
| Hedmark | 7,6 | 0,7 | 23,6 | 42,2 | 4 088 |
| Oppland | 5,6 | 2,8 | 14,8 | 24,2 | 2 544 |
| Buskerud | 7,1 | 2 | 9 | 19,5 | 1 478 |
| Vestfold | 4,7 | 3,2 | 12,8 | 47,4 | 3 597 |
| Telemark | 6 | 5,7 | 3,9 | 53,4 | 4 744 |
| Aust-Agder | 5,5 | 2,6 | 15,9 | 33,9 | 3 211 |
| Vest-Agder | 4 | 5,8 | 7,1 | 48,6 | 4 527 |
| Rogaland | 6,8 | 5,1 | 11,6 | 41,3 | 3 470 |
| Hordaland | 7,8 | 3,1 | 17,4 | 42,9 | 3 682 |
| Sogn og Fjordane | 4,1 | 0 | 18 | 34 | 5 227 |
| Møre og Romsdal | 5 | 6,3 | 19,7 | 35,5 | 3 405 |
| Sør-Trøndelag | 4,9 | 1,5 | 15,2 | 77,7 | 6 660 |
| Nord-Trøndelag | 4,9 | 3,2 | 9,9 | 32,4 | 3 773 |
| Nordland | 5,3 | 1,8 | 13,9 | 4,8 | 744 |
| Troms | -3,7 | -1,9 | 3,6 | 40,9 | 6 101 |
| Finnmark - Finnmárkku | 0,9 | 0 | 22,4 | 56,7 | 8 656 |
| Landet utenom Oslo | 5,3 | 3,2 | 14,3 | 36,1 | 3 426 |
Netto lånegjeld eksklusive pensjonsforpliktelser utgjorde 36,1 prosent av de totale driftsinntektene. Dette indikerer en økning i fylkeskommunenes gjeldsbelastning på 2,6 prosentpoeng. Gjeldsbelastningen er likevel lavere enn den var i 2003 da den hadde en topp på 45,1 prosent. Økningen i lånegjelden de siste årene skyldes hovedsakelig investeringer innen videregående opplæring.

Figur 6-2 Netto driftsresultat i prosent av driftsinntektene for alle fylkeskommunene 2005 og 2006.
6.2 Kommunene
Ureviderte KOSTRA-tall for 2006, basert på regnskap fra 382 kommuner som omfatter om lag 95 prosent av landets befolkning, tyder på at den økonomiske situasjonen i kommunene har bedret seg betydelig også i 2006. Netto driftsresultat har i kommunene hatt en jevn og sterk vekst siden 2003. Netto driftsresultat i 2006 var på 5,2 prosent, sammenlignet med 3,5 prosent i 2005. Likviditeten har blitt styrket i løpet av 2006, som i 2005. Gjeldsbelastningen har økt i løpet av 2006.
I den videre presentasjon av de finansielle nøkkeltallene er kommunene gruppert etter størrelse og inntektsnivå. For nærmere informasjon vises det til vedlegg 7.
6.2.1 Netto driftsresultat og akkumulert mer-/mindreforbruk
Netto driftsresultat i 2006 for alle kommunene utenom Oslo var på 5,2 prosent av driftsinntektene. Det betydelige driftsoverskuddet er det høyeste vi har hatt på over 10 år, jf. figur 6.3, og ligger godt over de om lag tre prosent som Det tekniske beregningsutvalg for kommunal og fylkeskommunal økonomi (TBU) anser som nødvendig over tid for at kommunesektoren skal sitte igjen med tilstrekkelig med midler til avsetninger og investeringer.

Figur 6.3 Utviklingen i netto driftsresultat 1996-2006 for kommunene. I prosent av driftsinntektene.
For de ti kommunene med høyest frie disponible inntekter per innbygger anslås et gjennomsnittlig netto driftsresultat på 12,5 prosent av driftsinntektene. For øvrig viser gjennomsnittstallene for alle kommunegruppene et høyt og relativt jevnt driftsoverskudd. Små kommuner med lave inntekter og de tre største byene utenom Oslo hadde det høyeste overskuddet på om lag seks prosent hver, mens mellomstore kommuner med lave og middels inntekter hadde det laveste gjennomsnittlige overskuddet på rundt fire prosent, jf. tabell 6.2. Innenfor alle gruppene utenom de ti kommunene med høyest inntekt var netto driftsresultatet høyere i 2006 enn i 2005. På landsbasis hadde 17 av de totalt 382 kommunene som har rapportert denne indikatoren, et negativt netto driftsresultat i 2006. Det er en nedgang på over 25 kommuner i forhold til samme tid i fjor, og da hadde færre kommuner rapportert inn i KOSTRA.
Kommunene hadde i 2005 et mindreforbruk på 0,4 prosent, mens de i 2006 hadde et mindreforbruk på hele 2,1 prosent av driftsinntektene. Ingen kommunegruppe hadde et akkumulert merforbruk i gjennomsnitt. Situasjonen vil imidlertid kunne variere mellom enkeltkommunene, men det ser allikevel ut til at det i 2006 var langt færre kommuner med merforbruk enn året før. Det indikerer at de økonomiske utfordringene kommunene står overfor nå er mindre enn i 2005 og de foregående årene.
Tabell 6.2 Finansielle nøkkeltall for kommunene gruppert etter kommunestørrelse og inntektsnivå, 2006. I prosent av driftsinntektene.
| Netto driftsresultat | Akkumulert regnskapsresultat | Arbeidskapital | Netto lånegjeld | |
|---|---|---|---|---|
| Små kommuner med lave inntekter | 6,1 | 2,7 | 32,3 | 56 |
| Små kommuner med middels inntekter | 5,8 | 2,5 | 29,4 | 55,2 |
| Små kommuner med høye inntekter | 6,3 | 2,6 | 26,4 | 53,0 |
| Mellomstore kommuner med lave inntekter | 4,2 | 2,2 | 29,2 | 65,3 |
| Mellomstore kommuner med middels inntekter | 4,0 | 2,1 | 24,2 | 68,2 |
| Mellomstore kommuner med høye inntekter | 5,7 | 2,2 | 18,9 | 60 |
| Kommuner med innbyggertall over 20 000 (eksklusive storbyene) | 5,3 | 2,1 | 29,6 | 59 |
| Trondheim, Stavanger og Bergen | 6 | 1,6 | 22,5 | 18 |
| De ti kommunene med høyest inntekt | 12,5 | 3 | 53,6 | 21 |
| Landet utenom Oslo | 5,2 | 2,1 | 27,3 | 55 |
6.2.2 Arbeidskapital og netto lånegjeld
Likviditeten ble styrket i løpet av 2006 og utgjorde 27,3 prosent av driftsinntektene. Tabell 6.2 indikerer at det var de ti kommunene med høyest inntekt som også hadde den høyeste prosentvise likviditeten. Et annet trekk er at små kommuner, da spesielt med lave eller middels inntekter, hadde høyere likviditet enn mellomstore kommuner. I de større kommunene og storbyene utenom Oslo kom Trondheim, Bergen og Stavanger ut med lavere likviditet enn de andre store kommunene.
Kommunenes gjeldsbelastning som andel av driftsinntektene, målt ved netto lånegjeld eksklusive pensjonsforpliktelser, lå under nivået fra 2005. Gjeldsbelastningen per innbygger økte derimot fra 2005 til 2006. Dette kom som et resultat av at inntektsveksten hadde vært sterkere enn gjeldsveksten, samtidig som befolkningsveksten hadde vært svakere enn gjeldsveksten. Netto lånegjeld utgjorde i 2006 55 prosent av de samlede driftsinntektene.
Tabell 6.2 viser at små kommuner jevnt over hadde lavere gjeldsbelastning enn mellomstore kommuner. De tre største byene utenom Oslo og de ti kommunene med høyeste inntekt hadde betydelig lavere gjeldsbelastning enn de andre kommunegruppene.
Tabell 6.3 Fylkesvise gjennomsnitt for finansielle nøkkeltall, 2006. I prosent av driftsinntektene og kroner per innbygger.
| Netto driftsresultat (prosent) | Akkumulert regnskapsresultat (prosent) | Arbeidskapital (prosent) | Netto lånegjeld (prosent) | Netto lånegjeld (kr per innbygger) | |
|---|---|---|---|---|---|
| Østfold | 5,5 | 3,3 | 21,4 | 60 | 27 033 |
| Akershus | 6,5 | 3 | 34,3 | 73 | 32 247 |
| Oslo | 8 | 3,5 | 15,3 | -36 | -20 635 |
| Hedmark | 5,5 | 0,6 | 22,7 | 55 | 26 488 |
| Oppland | 4,7 | 2,7 | 29,5 | 52 | 25 961 |
| Buskerud | 4,6 | 1,1 | 14,2 | 36 | 16 588 |
| Vestfold | 5,2 | 2,2 | 55,2 | 50 | 22 049 |
| Telemark | 7,7 | 1 | 43,3 | 67 | 33 818 |
| Aust-Agder | 4,3 | 1 | 31,2 | 71 | 35 103 |
| Vest-Agder | 2,6 | 1 | 36 | 64 | 30 192 |
| Rogaland | 6 | 3 | 18,2 | 25 | 11 239 |
| Hordaland | 4,9 | 1,7 | 19,9 | 32 | 14 775 |
| Sogn og Fjordane | 5,4 | 1,9 | 25,3 | 75 | 42 135 |
| Møre og Romsdal | 3,5 | 2,4 | 29,6 | 69 | 32 844 |
| Sør-Trøndelag | 6,4 | 1,6 | 43,3 | 51 | 24 661 |
| Nord-Trøndelag | 3,4 | 2,3 | 11,2 | 73 | 36 573 |
| Nordland | 4,6 | 2,3 | 20,2 | 69 | 37 497 |
| Troms-Romssa | 2,5 | 1,3 | 8,2 | 72 | 37 974 |
| Finnmark-Finnmàrkku | 5,8 | 2,3 | 18,4 | 85 | 55 002 |
| Landet utenom Oslo | 5,2 | 2,1 | 27,3 | 55 | 26 282 |
Tabell 6.4 Finansielle nøkkeltall for kommuner, 2006. I prosent av driftsinntektene og kr per innbygger.
| Netto driftsresultat (prosent) | Akkumulert regnskapsresultat (prosent) | Arbeidskapital (prosent) | Netto lånegjeld (prosent) | Netto lånegjeld (kr per innbygger) | |
|---|---|---|---|---|---|
| 0101 Halden | 3,6 | 1,1 | 7,8 | 53 | 23 400 |
| 0104 Moss | 3,5 | 1,9 | 10,0 | 7 | 3 225 |
| 0105 Sarpsborg | 7,8 | 5,1 | 26,6 | 52 | 22 979 |
| 0106 Fredrikstad | 5,9 | 3,3 | 24,0 | 80 | 36 953 |
| 0111 Hvaler | 7,9 | 2,5 | 23,5 | 85 | 44 658 |
| 0118 Aremark | 13,7 | 7,0 | 27,3 | 29 | 17 100 |
| 0119 Marker | 7,3 | 5,8 | 15,0 | 76 | 34 753 |
| 0121 Rømskog | 17,0 | 9,3 | 54,7 | 41 | 26 745 |
| 0122 Trøgstad | 5,9 | 4,0 | 36,6 | 55 | 24 964 |
| 0123 Spydeberg | 5,7 | 5,2 | 26,9 | 51 | 24 623 |
| 0124 Askim | 8,8 | 7,5 | 19,7 | 59 | 26 109 |
| 0125 Eidsberg | 7,2 | 5,7 | 27,1 | 91 | 39 256 |
| 0127 Skiptvet | 13,1 | 7,6 | 27,8 | 16 | 7 253 |
| 0128 Rakkestad | 3,0 | 4,1 | 19,8 | 99 | 46 496 |
| 0135 Råde | 3,4 | 1,1 | 22,0 | 73 | 29 874 |
| 0136 Rygge | -2,6 | -2,1 | 18,6 | 68 | 27 498 |
| 0137 Våler | 5,1 | 2,1 | 43,4 | 55 | 24 006 |
| 0138 Hobøl | -0,9 | -6,0 | 22,7 | 71 | 31 035 |
| Østfold | 5,5 | 3,3 | 21,4 | 60 | 27 033 |
| 0211 Vestby | 12,0 | 4,5 | 41,3 | 80 | 33 329 |
| 0213 Ski | 2,6 | 1,6 | 20,6 | 76 | 32 644 |
| 0214 Ås | 4,4 | 0,2 | 37,6 | 104 | 46 810 |
| 0215 Frogn | 1,8 | 3,2 | 20,1 | 87 | 35 265 |
| 0216 Nesodden | 4,6 | 1,1 | 14,4 | 63 | 24 084 |
| 0217 Oppegård | 3,9 | 5,0 | 18,1 | 65 | 27 976 |
| 0219 Bærum | 10,2 | 0,7 | 56,3 | 62 | 30 921 |
| 0220 Asker | 5,8 | 5,1 | 46,7 | 97 | 44 956 |
| 0221 Aurskog-Høland | 5,3 | 4,8 | 26,4 | 89 | 36 946 |
| 0226 Sørum | 4,6 | 2,6 | 6,1 | -4 | -1 501 |
| 0227 Fet | 4,4 | 3,0 | 17,2 | 121 | 45 936 |
| 0228 Rælingen | 3,0 | 2,7 | 20,8 | 74 | 27 516 |
| 0229 Enebakk | 3,4 | 1,8 | 19,5 | 58 | 22 383 |
| 0230 Lørenskog | 4,4 | 4,4 | 8,7 | 71 | 30 522 |
| 0231 Skedsmo | 6,6 | 3,9 | 32,6 | 53 | 23 087 |
| 0233 Nittedal | 9,6 | 12,8 | 35,8 | 64 | 25 993 |
| 0234 Gjerdrum | 8,2 | 1,8 | 48,5 | 61 | 25 877 |
| 0235 Ullensaker | 8,7 | 2,8 | 20,4 | 111 | 48 980 |
| 0236 Nes | 3,5 | 1,9 | 19,0 | 72 | 30 270 |
| 0237 Eidsvoll | 4,5 | 1,7 | 37,3 | 59 | 23 608 |
| 0238 Nannestad | 5,7 | 3,2 | 41,0 | 143 | 60 903 |
| 0239 Hurdal | 1,1 | 0,0 | 11,3 | 32 | 15 535 |
| Akershus | 6,5 | 3,0 | 34,3 | 73 | 32 247 |
| 0301 Oslo | 8,0 | 3,5 | 15,3 | -36 | -20 635 |
| 0402 Kongsvinger | 2,6 | -3,4 | 13,8 | 55 | 23 681 |
| 0403 Hamar | 9,6 | 2,6 | 27,2 | 49 | 23 510 |
| 0412 Ringsaker | 6,8 | 0,0 | 32,1 | 43 | 18 716 |
| 0415 Løten | 4,1 | 4,1 | 19,9 | 73 | 30 494 |
| 0417 Stange | 4,3 | 3,0 | 25,4 | 51 | 21 840 |
| 0418 Nord-Odal | 0,8 | 0,1 | 19,4 | 101 | 48 306 |
| 0419 Sør-Odal | 4,6 | 3,4 | 9,7 | 63 | 27 795 |
| 0420 Eidskog | 1,2 | -11,2 | 6,5 | 58 | 28 356 |
| 0423 Grue | |||||
| 0425 Åsnes | -0,6 | -3,3 | 14,4 | 66 | 32 872 |
| 0426 Våler | 3,2 | ||||
| 0427 Elverum | |||||
| 0428 Trysil | 5,7 | 4,5 | 20,9 | 49 | 28 298 |
| 0429 Åmot | 17,4 | 4,0 | 37,0 | 74 | 50 315 |
| 0430 Stor-Elvdal | 1,7 | 1,0 | 17,6 | 57 | 34 671 |
| 0432 Rendalen | |||||
| 0434 Engerdal | 4,9 | 1,6 | 30,4 | 42 | 32 483 |
| 0436 Tolga | 0,1 | 0,0 | 8,1 | 61 | 37 675 |
| 0437 Tynset | 4,1 | 0,8 | 21,0 | 59 | 35 263 |
| 0438 Alvdal | 6,4 | 1,3 | 24,2 | 56 | 32 057 |
| 0439 Folldal | 6,8 | 1,4 | 11,0 | 41 | 26 559 |
| 0441 Os | 2,7 | 0,8 | 18,3 | 66 | 41 725 |
| Hedmark | 5,5 | 0,6 | 22,7 | 55 | 26 488 |
| 0501 Lillehammer | 1,0 | 2,2 | 16,7 | 74 | 36 441 |
| 0502 Gjøvik | 2,9 | 2,4 | 50,8 | 57 | 25 289 |
| 0511 Dovre | 6,0 | 2,1 | 30,8 | 41 | 22 162 |
| 0512 Lesja | 10,5 | 1,6 | 23,7 | 9 | 6 264 |
| 0513 Skjåk | 10,6 | 4,4 | 68,4 | 30 | 18 521 |
| 0514 Lom | 7,3 | 5,6 | 35,8 | 46 | 28 327 |
| 0515 Vågå | 4,3 | 1,5 | 29,4 | 39 | 22 148 |
| 0516 Nord-Fron | 6,8 | 2,0 | 26,7 | 27 | 14 659 |
| 0517 Sel | 6,7 | 2,1 | 18,3 | 45 | 24 977 |
| 0519 Sør-Fron | 1,6 | 0,2 | 20,6 | 24 | 13 283 |
| 0520 Ringebu | 2,5 | 2,6 | 18,0 | 68 | 36 280 |
| 0521 Øyer | 6,7 | 1,1 | 22,8 | 33 | 15 998 |
| 0522 Gausdal | 8,1 | 4,7 | 32,3 | 54 | 26 773 |
| 0528 Østre Toten | 4,9 | 0,4 | 28,6 | 43 | 19 871 |
| 0529 Vestre Toten | 4,8 | 3,1 | 18,1 | 75 | 32 233 |
| 0532 Jevnaker | 2,5 | 1,6 | 21,8 | 75 | 32 485 |
| 0533 Lunner | 5,0 | 0,0 | 18,6 | 69 | 29 901 |
| 0534 Gran | 3,7 | 0,8 | 20,0 | 40 | 18 647 |
| 0536 Søndre Land | 4,2 | 3,3 | 63,0 | 57 | 34 863 |
| 0538 Nordre Land | 8,0 | 8,9 | 35,5 | 58 | 29 041 |
| 0540 Sør-Aurdal | -0,2 | 1,0 | 17,7 | 71 | 40 947 |
| 0541 Etnedal | 6,0 | 3,5 | 14,5 | -11 | -6 498 |
| 0542 Nord-Aurdal | |||||
| 0543 Vestre Slidre | 8,3 | 8,1 | 25,5 | 19 | 12 845 |
| 0544 Øystre Slidre | 13,7 | 12,0 | 37,5 | 22 | 13 096 |
| 0545 Vang | 15,9 | 9,0 | 33,0 | 2 | 2 403 |
| Oppland | 4,7 | 2,7 | 29,5 | 52 | 25 961 |
| 0602 Drammen | 3,3 | 0,9 | 8,8 | -3 | -1 148 |
| 0604 Kongsberg | 5,5 | -3,5 | 6,4 | 70 | 32 514 |
| 0605 Ringerike | 2,1 | 0,0 | 9,6 | 65 | 29 357 |
| 0612 Hole | 2,2 | 0,5 | 16,1 | 87 | 39 350 |
| 0615 Flå | 12,2 | 4,8 | 27,5 | 60 | 46 670 |
| 0616 Nes | 7,0 | 0,0 | 18,0 | 23 | 14 499 |
| 0617 Gol | 8,1 | 0,5 | 4,6 | 28 | 18 055 |
| 0618 Hemsedal | 2,8 | 4,6 | 21,0 | 61 | 38 301 |
| 0619 Ål | 13,0 | 2,5 | 41,6 | 21 | 14 442 |
| 0620 Hol | 15,1 | 4,9 | 47,9 | 0 | 119 |
| 0621 Sigdal | 15,6 | 4,5 | 36,0 | 10 | 6 026 |
| 0622 Krødsherad | 10,9 | 4,3 | 22,8 | 13 | 7 305 |
| 0623 Modum | 3,9 | 5,4 | 20,3 | 25 | 11 819 |
| 0624 Øvre Eiker | 4,0 | 4,1 | 24,4 | 50 | 20 597 |
| 0625 Nedre Eiker | 0,0 | 0,7 | 12,9 | 70 | 26 698 |
| 0626 Lier | 4,7 | 3,0 | 14,5 | 65 | 27 258 |
| 0627 Røyken | 2,5 | -2,5 | 9,3 | 5 | 1 915 |
| 0628 Hurum | 2,6 | 2,9 | 5,0 | 37 | 16 240 |
| 0631 Flesberg | 4,1 | -3,2 | 8,4 | 43 | 22 457 |
| 0632 Rollag | 3,7 | 2,6 | 14,9 | 28 | 21 132 |
| 0633 Nore og Uvdal | 13,8 | 3,8 | 13,1 | 31 | 27 769 |
| Buskerud | 4,6 | 1,1 | 14,2 | 36 | 16 588 |
| 0701 Horten | 1,5 | 0,8 | 24,1 | 28 | 11 682 |
| 0702 Holmestrand | 0,2 | 2,8 | 50,1 | 76 | 33 096 |
| 0704 Tønsberg | 6,3 | 1,2 | 61,2 | 67 | 31 882 |
| 0706 Sandefjord | 8,7 | 2,9 | 80,6 | 19 | 8 184 |
| 0709 Larvik | 7,1 | 3,4 | 64,9 | 65 | 27 844 |
| 0711 Svelvik | 2,7 | 0,1 | 28,1 | 69 | 29 355 |
| 0713 Sande | 4,4 | 1,5 | 23,7 | 61 | 25 922 |
| 0714 Hof | 7,6 | 2,8 | 37,4 | 32 | 15 946 |
| 0716 Re | 3,1 | 1,8 | 68,5 | 85 | 39 100 |
| 0719 Andebu | 3,6 | 2,1 | 32,6 | 56 | 25 479 |
| 0720 Stokke | 0,4 | -0,9 | 63,0 | 49 | 21 493 |
| 0722 Nøtterøy | 2,7 | 2,3 | 30,8 | 39 | 17 345 |
| 0723 Tjøme | 4,3 | 5,2 | 57,6 | 58 | 27 242 |
| 0728 Lardal | 9,5 | 10,5 | 60,7 | 32 | 15 464 |
| Vestfold | 5,2 | 2,2 | 55,2 | 50 | 22 049 |
| 0805 Porsgrunn | 5,5 | 0,0 | 93,6 | 108 | 50 744 |
| 0806 Skien | 10,3 | 0,4 | 47,2 | 71 | 33 319 |
| 0807 Notodden | 7,3 | -1,8 | 16,4 | 57 | 27 909 |
| 0811 Siljan | 7,7 | 7,2 | 35,5 | 47 | 22 011 |
| 0814 Bamble | 10,2 | 1,0 | 52,9 | 67 | 30 939 |
| 0815 Kragerø | 1,7 | 3,0 | 8,4 | 40 | 19 277 |
| 0817 Drangedal | |||||
| 0819 Nome | 3,2 | 0,5 | 9,5 | 79 | 46 113 |
| 0821 Bø | 1,7 | -0,9 | 4,3 | 46 | 21 725 |
| 0822 Sauherad | 4,1 | -3,7 | -5,2 | 81 | 43 389 |
| 0826 Tinn | 10,5 | 4,7 | 19,1 | 33 | 23 534 |
| 0827 Hjartdal | 8,4 | ||||
| 0828 Seljord | 2,0 | 1,9 | 14,5 | 78 | 41 834 |
| 0829 Kviteseid | 8,0 | 2,6 | 14,0 | -5 | -2 597 |
| 0830 Nissedal | 13,4 | 3,8 | 30,5 | 33 | 25 188 |
| 0831 Fyresdal | 13,5 | 5,0 | 30,2 | 11 | 8 474 |
| 0833 Tokke | 4,7 | 1,7 | 49,5 | 7 | 5 056 |
| 0834 Vinje | 12,6 | 6,6 | 22,3 | 18 | 15 830 |
| Telemark | 7,7 | 1,0 | 43,3 | 67 | 33 818 |
| 0901 Risør | 2,1 | -1,6 | 14,9 | 75 | 39 447 |
| 0904 Grimstad | |||||
| 0906 Arendal | 3,4 | 0,9 | 26,5 | 94 | 41 338 |
| 0911 Gjerstad | 5,3 | 3,0 | 13,5 | 68 | 37 591 |
| 0912 Vegårshei | 5,5 | 3,2 | 63,2 | 52 | 31 212 |
| 0914 Tvedestrand | 0,5 | -0,2 | 19,4 | 49 | 23 253 |
| 0919 Froland | 4,1 | -0,7 | 4,0 | 55 | 24 625 |
| 0926 Lillesand | 1,9 | 0,7 | 25,7 | 85 | 37 316 |
| 0928 Birkenes | 1,4 | 1,2 | 43,4 | 76 | 33 361 |
| 0929 Åmli | 9,4 | 1,8 | 27,2 | 43 | 27 967 |
| 0935 Iveland | 15,0 | 8,0 | 51,9 | 12 | 7 926 |
| 0937 Evje og Hornnes | 1,5 | 0,7 | 19,1 | 53 | 25 173 |
| 0938 Bygland | -2,3 | -2,3 | 22,7 | 55 | 41 823 |
| 0940 Valle | 1,2 | 1,8 | 49,6 | 47 | 45 639 |
| 0941 Bykle | 30,3 | 5,5 | 148,6 | -47 | -93 945 |
| Aust-Agder | 4,3 | 1,0 | 31,2 | 71 | 35 103 |
| 1001 Kristiansand | 1,6 | 0,9 | 21,2 | 57 | 26 467 |
| 1002 Mandal | 2,2 | 1,1 | 32,7 | 82 | 34 900 |
| 1003 Farsund | 0,8 | 0,0 | 42,9 | 64 | 28 745 |
| 1004 Flekkefjord | -1,0 | 0,0 | 0,4 | 70 | 35 732 |
| 1014 Vennesla | 2,5 | 0,6 | 19,8 | 70 | 29 832 |
| 1017 Songdalen | 1,8 | 0,0 | 97,4 | 95 | 41 435 |
| 1018 Søgne | 2,4 | -0,7 | 38,5 | 90 | 35 937 |
| 1021 Marnardal | 16,3 | 3,9 | 153,5 | 52 | 31 400 |
| 1026 Åseral | 21,1 | 16,0 | 208,4 | 14 | 15 473 |
| 1027 Audnedal | 5,9 | 1,2 | 244,3 | 63 | 40 416 |
| 1029 Lindesnes | 11,2 | 3,9 | 92,1 | 113 | 55 921 |
| 1032 Lyngdal | 0,4 | -1,0 | 12,6 | 64 | 27 759 |
| 1034 Hægebostad | 1,6 | 3,7 | 46,7 | 25 | 14 417 |
| 1037 Kvinesdal | 1,8 | 0,0 | 29,3 | 40 | 23 058 |
| 1046 Sirdal | 11,2 | 4,4 | 55,4 | 39 | 49 461 |
| Vest-Agder | 2,6 | 1,0 | 36,0 | 64 | 30 192 |
| 1101 Eigersund | 5,4 | 1,8 | 16,2 | 51 | 24 279 |
| 1102 Sandnes | 6,4 | 4,1 | 12,5 | -22 | -9 101 |
| 1103 Stavanger | 5,0 | 2,9 | 7,5 | 23 | 10 599 |
| 1106 Haugesund | 6,3 | 1,0 | 15,1 | 52 | 24 179 |
| 1111 Sokndal | 6,2 | 0,9 | 87,3 | 55 | 26 581 |
| 1112 Lund | 5,7 | 2,2 | 14,0 | 36 | 18 586 |
| 1114 Bjerkreim | 6,7 | 8,0 | 17,4 | 13 | 6 256 |
| 1119 Hå | 7,7 | 2,7 | 26,3 | 11 | 5 226 |
| 1120 Klepp | 7,5 | 3,2 | 20,9 | 24 | 9 615 |
| 1121 Time | 3,7 | 4,1 | 13,4 | 27 | 11 409 |
| 1122 Gjesdal | 9,8 | 2,8 | 18,7 | 79 | 34 098 |
| 1124 Sola | 12,1 | 6,1 | 39,2 | 27 | 12 008 |
| 1127 Randaberg | 9,2 | 3,2 | 23,0 | 44 | 20 649 |
| 1129 Forsand | 2,5 | 1,8 | 116,4 | 44 | 43 825 |
| 1130 Strand | 2,7 | 2,7 | 18,9 | 56 | 24 365 |
| 1133 Hjelmeland | 0,7 | 1,9 | 16,5 | 33 | 24 621 |
| 1134 Suldal | 8,4 | 4,9 | 50,1 | 17 | 14 430 |
| 1135 Sauda | 5,7 | 3,9 | 38,8 | 38 | 23 017 |
| 1141 Finnøy | 0,7 | 0,7 | 5,3 | 14 | 8 040 |
| 1142 Rennesøy | 8,3 | 4,8 | 20,1 | 53 | 26 682 |
| 1144 Kvitsøy | 10,7 | 10,1 | 15,8 | 18 | 12 004 |
| 1145 Bokn | 10,1 | 5,1 | 24,0 | 62 | 46 040 |
| 1146 Tysvær | 4,0 | 1,8 | 20,6 | 45 | 24 962 |
| 1149 Karmøy | 4,4 | 2,4 | 28,6 | 25 | 10 135 |
| 1151 Utsira | 10,8 | 2,4 | 45,1 | -9 | -10 584 |
| 1160 Vindafjord | 5,4 | 1,8 | 3,9 | 47 | 23 292 |
| Rogaland | 6,0 | 3,0 | 18,2 | 25 | 11 239 |
| 1201 Bergen | 5,7 | 1,5 | 11,4 | 7 | 3 277 |
| 1211 Etne | 4,3 | 3,7 | 11,7 | 54 | 25 921 |
| 1216 Sveio | 7,0 | -0,1 | 16,7 | 29 | 14 038 |
| 1219 Bømlo | 3,0 | 2,1 | 10,6 | 81 | 33 579 |
| 1221 Stord | 3,4 | 0,3 | 28,7 | 67 | 27 509 |
| 1222 Fitjar | |||||
| 1223 Tysnes | 3,1 | 3,5 | 13,2 | 48 | 26 970 |
| 1224 Kvinnherad | 4,8 | 5,0 | 66,4 | 97 | 53 834 |
| 1227 Jondal | 3,4 | 2,0 | 12,3 | 61 | 47 752 |
| 1228 Odda | 1,2 | -0,2 | 12,4 | 24 | 15 068 |
| 1231 Ullensvang | 2,1 | 0,9 | 15,3 | 36 | 23 035 |
| 1232 Eidfjord | 15,5 | 6,8 | 60,6 | -18 | -23 922 |
| 1233 Ulvik | |||||
| 1234 Granvin | 4,6 | 2,6 | 70,9 | 58 | 38 731 |
| 1235 Voss | 2,3 | 0,9 | 10,8 | 34 | 17 148 |
| 1238 Kvam | 4,8 | 3,0 | 52,4 | 81 | 44 310 |
| 1241 Fusa | 3,0 | 4,2 | 1,6 | 40 | 20 713 |
| 1242 Samnanger | 6,1 | 3,6 | 16,8 | 46 | 25 238 |
| 1243 Os | 6,2 | 5,7 | 67,6 | 75 | 29 749 |
| 1244 Austevoll | |||||
| 1245 Sund | 6,3 | 2,4 | 18,6 | 39 | 16 105 |
| 1246 Fjell | 4,7 | 0,0 | 43,5 | 53 | 19 959 |
| 1247 Askøy | 2,7 | 2,8 | 18,6 | 79 | 32 630 |
| 1251 Vaksdal | 2,8 | 2,8 | 45,1 | 56 | 33 887 |
| 1252 Modalen | 25,0 | 2,5 | 76,1 | 34 | 55 520 |
| 1253 Osterøy | 2,0 | -1,9 | 42,8 | 80 | 35 488 |
| 1256 Meland | 3,1 | -2,9 | 9,4 | 70 | 29 502 |
| 1259 Øygarden | -3,1 | -3,8 | -0,4 | 47 | 33 833 |
| 1260 Radøy | 3,6 | 0,5 | 9,6 | 42 | 19 714 |
| 1263 Lindås | 4,4 | 3,5 | 20,5 | 51 | 24 239 |
| 1264 Austrheim | 6,4 | -1,0 | 6,3 | 67 | 37 728 |
| 1265 Fedje | 8,4 | 5,2 | 85,8 | 55 | 44 777 |
| 1266 Masfjorden | 11,9 | 5,1 | 20,8 | 48 | 38 378 |
| Hordaland | 4,9 | 1,7 | 19,9 | 32 | 14 775 |
| 1401 Flora | 1,5 | -1,3 | 7,3 | 99 | 51 468 |
| 1411 Gulen | 7,7 | 2,2 | 13,9 | 39 | 24 703 |
| 1412 Solund | 3,2 | 2,7 | 19,3 | 64 | 51 444 |
| 1413 Hyllestad | 48 501 | ||||
| 1416 Høyanger | 4,4 | -0,5 | -2,2 | 85 | 55 639 |
| 1417 Vik | 6,2 | 3,2 | 4,3 | 57 | 37 504 |
| 1418 Balestrand | 6,8 | 2,2 | 51,1 | 46 | 43 195 |
| 1419 Leikanger | 4,1 | 6,4 | 103,4 | 87 | 45 799 |
| 1420 Sogndal | 7,7 | 2,8 | 34,6 | 68 | 33 084 |
| 1421 Aurland | 13,2 | 0,0 | 23,1 | 31 | 30 454 |
| 1422 Lærdal | |||||
| 1424 Årdal | 0,1 | 2,0 | 20,0 | 68 | 42 848 |
| 1426 Luster | 15,9 | 5,3 | 72,4 | 56 | 38 453 |
| 1428 Askvoll | 4,7 | 2,6 | 6,6 | 80 | 45 164 |
| 1429 Fjaler | 5,8 | 3,3 | 25,9 | 60 | 35 693 |
| 1430 Gaular | 11,4 | 1,1 | 31,2 | 79 | 42 762 |
| 1431 Jølster | 8,3 | -3,8 | 8,2 | 64 | 36 916 |
| 1432 Førde | 3,7 | 5,9 | 30,0 | 97 | 46 245 |
| 1433 Naustdal | 4,2 | ||||
| 1438 Bremanger | 9,1 | 0,0 | 17,5 | 92 | 57 760 |
| 1439 Vågsøy | 4,1 | 5,3 | 10,5 | 84 | 40 242 |
| 1441 Selje | 1,6 | -3,4 | 6,9 | 99 | 50 427 |
| 1443 Eid | 4,6 | 2,9 | 50,3 | 74 | 32 922 |
| 1444 Hornindal | 6,5 | 1,8 | 64,1 | 56 | 33 298 |
| 1445 Gloppen | 2,2 | ||||
| 1449 Stryn | 4,3 | 0,0 | 20,2 | 61 | 30 820 |
| Sogn og Fjordane | 5,4 | 1,9 | 25,3 | 75 | 42 135 |
| 1502 Molde | 1,0 | 1,4 | 17,9 | 91 | 39 834 |
| 1503 Kristiansund | 0,2 | 1,6 | 14,9 | 98 | 49 170 |
| 1504 Ålesund | 3,6 | 0,1 | 9,2 | 1 | 447 |
| 1511 Vanylven | 3,2 | 0,4 | 14,1 | 52 | 26 841 |
| 1514 Sande | 2,6 | -0,3 | 37,8 | 73 | 43 613 |
| 1515 Herøy | 6,9 | 6,0 | 33,8 | 63 | 28 815 |
| 1516 Ulstein | 3,7 | 2,8 | 24,2 | 23 | 11 030 |
| 1517 Hareid | 3,1 | -2,2 | 2,9 | 190 | 85 342 |
| 1519 Volda | 3,2 | 2,9 | 38,4 | 119 | 54 957 |
| 1520 Ørsta | 2,3 | 1,2 | 35,9 | 97 | 44 269 |
| 1523 Ørskog | 3,9 | 1,1 | 19,9 | 49 | 31 468 |
| 1524 Norddal | 1,2 | 0,2 | 1,5 | 65 | 48 039 |
| 1525 Stranda | 1,8 | -0,4 | 1,0 | 6 | 3 167 |
| 1526 Stordal | 9,0 | 0,3 | 58,6 | 77 | 51 724 |
| 1528 Sykkylven | 6,9 | 0,3 | 16,6 | 86 | 35 321 |
| 1529 Skodje | 5,0 | 5,2 | 50,8 | 81 | 37 679 |
| 1531 Sula | 4,6 | 3,9 | 48,3 | 67 | 28 720 |
| 1532 Giske | 7,7 | 8,8 | 56,8 | 77 | 33 010 |
| 1534 Haram | 7,1 | 15,8 | 114,6 | 122 | 56 872 |
| 1535 Vestnes | 2,9 | 2,7 | 40,1 | 82 | 52 027 |
| 1539 Rauma | 2,4 | 2,7 | 13,2 | 44 | 21 491 |
| 1543 Nesset | 3,8 | 3,9 | 25,4 | 54 | 30 363 |
| 1545 Midsund | |||||
| 1546 Sandøy | 15,2 | 13,4 | 105,7 | 31 | 23 132 |
| 1547 Aukra | 3,9 | 4,1 | 14,2 | 78 | 50 663 |
| 1548 Fræna | 2,1 | 0,6 | 44,5 | 73 | 33 710 |
| 1551 Eide | 1,4 | 1,9 | 44,0 | 50 | 24 355 |
| 1554 Averøy | 2,4 | 1,6 | 119,7 | 205 | 90 344 |
| 1556 Frei | 4,6 | 2,3 | 22,4 | 56 | 22 585 |
| 1557 Gjemnes | 3,8 | 1,7 | 33,1 | 72 | 40 697 |
| 1560 Tingvoll | 1,9 | 0,0 | 20,0 | 82 | 47 967 |
| 1563 Sunndal | 5,6 | ||||
| 1566 Surnadal | 2,9 | 0,8 | 23,8 | 63 | 34 764 |
| 1567 Rindal | 9,6 | 3,3 | 14,1 | 55 | 34 588 |
| 1571 Halsa | 3,9 | 3,1 | 10,6 | 52 | 31 160 |
| 1573 Smøla | 4,5 | 1,7 | 29,9 | 57 | 38 818 |
| 1576 Aure | 7,1 | 4,0 | 18,5 | 53 | 35 059 |
| Møre og Romsdal | 3,5 | 2,4 | 29,6 | 69 | 32 844 |
| 1601 Trondheim | 7,1 | 0,7 | 49,4 | 30 | 14 219 |
| 1612 Hemne | 8,7 | 7,5 | 42,9 | 63 | 31 559 |
| 1613 Snillfjord | 1,4 | 2,3 | 16,5 | 57 | 40 159 |
| 1617 Hitra | 14,8 | 5,0 | 106,4 | 124 | 73 803 |
| 1620 Frøya | 8,3 | 7,9 | 57,3 | 52 | 28 435 |
| 1621 Ørland | -1,9 | -2,1 | 53,4 | 109 | 53 325 |
| 1622 Agdenes | 7,2 | 3,2 | 30,8 | 39 | 23 371 |
| 1624 Rissa | 5,0 | 4,9 | 35,9 | 134 | 63 726 |
| 1627 Bjugn | 0,7 | 0,6 | 17,9 | 74 | 38 308 |
| 1630 Åfjord | 7,8 | 7,8 | 48,0 | 83 | 49 700 |
| 1632 Roan | 5,5 | 6,0 | 22,2 | 66 | 47 954 |
| 1633 Osen | 9,3 | 5,3 | 12,0 | 117 | 81 822 |
| 1634 Oppdal | 13,0 | 0,0 | 23,6 | 68 | 36 393 |
| 1635 Rennebu | 4,4 | 2,1 | 19,0 | 67 | 39 476 |
| 1636 Meldal | 4,4 | 3,1 | 20,7 | 50 | 29 213 |
| 1638 Orkdal | 5,1 | 3,1 | 21,8 | 54 | 24 100 |
| 1640 Røros | 0,2 | 2,3 | 21,0 | 66 | 35 428 |
| 1644 Holtålen | 0,8 | 1,3 | 21,9 | 52 | 30 048 |
| 1648 Midtre Gauldal | 3,4 | 3,7 | 74,5 | 59 | 30 724 |
| 1653 Melhus | 6,2 | 3,9 | 33,1 | 108 | 47 293 |
| 1657 Skaun | 5,8 | 2,1 | 39,5 | 109 | 49 594 |
| 1662 Klæbu | 1,2 | 0,0 | 16,8 | 68 | 33 248 |
| 1663 Malvik | 5,4 | -1,9 | 30,6 | 60 | 23 925 |
| 1664 Selbu | 9,6 | 4,1 | 28,6 | 67 | 38 743 |
| 1665 Tydal | 3,7 | 5,2 | 24,9 | 28 | 28 022 |
| Sør-Trøndelag | 6,4 | 1,6 | 43,3 | 51 | 24 661 |
| 1702 Steinkjer | 1,1 | 1,1 | 4,5 | 62 | 28 159 |
| 1703 Namsos | 2,3 | 2,4 | 6,1 | 87 | 46 812 |
| 1711 Meråker | 9,7 | 6,6 | 39,0 | 75 | 52 901 |
| 1714 Stjørdal | 1,3 | 0,6 | 14,4 | 78 | 33 255 |
| 1717 Frosta | 6,0 | 4,9 | 14,6 | 74 | 37 174 |
| 1718 Leksvik | |||||
| 1719 Levanger | 6,4 | 4,0 | 12,4 | 63 | 30 083 |
| 1721 Verdal | 2,5 | 1,2 | 9,1 | 80 | 34 645 |
| 1723 Mosvik | 7,4 | 5,7 | 22,3 | 55 | 37 612 |
| 1724 Verran | 2,9 | 1,6 | 8,7 | 61 | 36 586 |
| 1725 Namdalseid | 3,8 | 2,8 | 10,9 | 76 | 47 173 |
| 1729 Inderøy | 3,5 | 1,5 | 3,3 | 94 | 43 146 |
| 1736 Snåsa | 4,2 | 2,6 | 10,7 | 63 | 39 132 |
| 1738 Lierne | 4,9 | 4,2 | 16,1 | 38 | 29 757 |
| 1739 Røyrvik | 7,6 | 0,0 | 21,7 | 67 | 74 306 |
| 1740 Namsskogan | 12,7 | 4,5 | 28,2 | 60 | 56 122 |
| 1742 Grong | 4,9 | 4,4 | 16,9 | 68 | 49 261 |
| 1743 Høylandet | 0,8 | 0,1 | 13,3 | 54 | 36 109 |
| 1744 Overhalla | 0,9 | 2,3 | 14,2 | 67 | 34 259 |
| 1748 Fosnes | 4,1 | 4,9 | 15,8 | 52 | 39 846 |
| 1749 Flatanger | |||||
| 1750 Vikna | 3,4 | 3,2 | 9,0 | 82 | 43 791 |
| 1751 Nærøy | 3,8 | 2,6 | 9,3 | 99 | 50 300 |
| 1755 Leka | |||||
| Nord-Trøndelag | 3,4 | 2,3 | 11,2 | 73 | 36 573 |
| 1804 Bodø | 4,4 | 3,0 | 31,1 | 93 | 43 510 |
| 1805 Narvik | -0,6 | -1,0 | 6,5 | 68 | 36 100 |
| 1811 Bindal | 15,6 | 7,4 | 27,9 | 53 | 42 356 |
| 1812 Sømna | 6,8 | 3,1 | 13,9 | 65 | 39 270 |
| 1813 Brønnøy | 3,0 | 1,7 | 17,8 | 70 | 39 731 |
| 1815 Vega | -1,7 | 2,1 | 16,5 | 78 | 51 031 |
| 1816 Vevelstad | 4,1 | 3,6 | 20,3 | 25 | 20 006 |
| 1818 Herøy | |||||
| 1820 Alstahaug | 3,4 | 0,0 | 4,9 | 1 | 280 |
| 1822 Leirfjord | |||||
| 1824 Vefsn | 6,7 | 3,6 | 18,2 | 45 | 22 987 |
| 1825 Grane | 7,0 | 1,8 | 29,8 | 30 | 18 894 |
| 1826 Hattfjelldal | 13,4 | 6,5 | 46,0 | 56 | 43 360 |
| 1827 Dønna | 2,1 | 1,6 | 11,2 | 47 | 31 711 |
| 1828 Nesna | 6,1 | 5,7 | 18,5 | 41 | 26 614 |
| 1832 Hemnes | 61 116 | ||||
| 1833 Rana | 8,2 | 5,5 | 31,3 | 68 | 33 600 |
| 1834 Lurøy | |||||
| 1835 Træna | |||||
| 1836 Rødøy | |||||
| 1837 Meløy | 8,9 | 5,0 | 17,4 | 50 | 33 765 |
| 1838 Gildeskål | 5,8 | 0,5 | 3,5 | 65 | 46 879 |
| 1839 Beiarn | 9,8 | 0,0 | 58,6 | 51 | 40 346 |
| 1840 Saltdal | 5,6 | 2,0 | 10,0 | 39 | 27 467 |
| 1841 Fauske | |||||
| 1845 Sørfold | |||||
| 1848 Steigen | 2,9 | -4,2 | -0,5 | 77 | 50 256 |
| 1849 Hamarøy | |||||
| 1850 Tysfjord | |||||
| 1851 Lødingen | 3,9 | 0,8 | 7,3 | 60 | 39 384 |
| 1852 Tjeldsund | 4,7 | 3,0 | 12,2 | 89 | 62 712 |
| 1853 Evenes | 3,2 | -0,5 | 12,1 | 64 | 45 088 |
| 1854 Ballangen | |||||
| 1856 Røst | 6,6 | -0,5 | 20,1 | 89 | 70 213 |
| 1857 Værøy | |||||
| 1859 Flakstad | -0,5 | -0,5 | 9,7 | 49 | 29 800 |
| 1860 Vestvågøy | -0,7 | ||||
| 1865 Vågan | 3,2 | 0,0 | 16,8 | 121 | 57 420 |
| 1866 Hadsel | |||||
| 1867 Bø | |||||
| 1868 Øksnes | 2,8 | -0,1 | 14,4 | 57 | 30 765 |
| 1870 Sortland | 5,4 | 1,5 | 11,9 | 75 | 40 452 |
| 1871 Andøy | |||||
| 1874 Moskenes | |||||
| Nordland | 4,6 | 2,3 | 20,2 | 69 | 37 497 |
| 1901 Harstad | -1,2 | 0,0 | 0,1 | 0 | 0 |
| 1902 Tromsø | 3,7 | 3,1 | 8,0 | 103 | 48 407 |
| 1911 Kvæfjord | 4,6 | 1,8 | 14,3 | 40 | 40 230 |
| 1913 Skånland | 3,6 | 3,1 | 25,6 | 63 | 38 206 |
| 1915 Bjarkøy | 5,9 | 2,5 | 13,4 | 29 | 27 560 |
| 1917 Ibestad | -1,2 | 0,9 | 10,7 | 53 | 37 297 |
| 1919 Gratangen | |||||
| 1920 Lavangen | |||||
| 1922 Bardu | |||||
| 1923 Salangen | |||||
| 1924 Målselv | |||||
| 1925 Sørreisa | 5,9 | 0,9 | 1,7 | 106 | 60 323 |
| 1926 Dyrøy | |||||
| 1927 Tranøy | |||||
| 1928 Torsken | |||||
| 1929 Berg | 5,8 | 2,3 | 16,6 | 64 | 54 815 |
| 1931 Lenvik | 3,7 | 1,3 | 14,1 | 65 | 36 356 |
| 1933 Balsfjord | -0,5 | -0,1 | 4,3 | 63 | 31 719 |
| 1936 Karlsøy | -0,4 | -3,1 | 7,5 | 127 | 77 579 |
| 1938 Lyngen | -2,7 | -2,2 | 7,5 | 121 | 68 335 |
| 1939 Storfjord | |||||
| 1940 Gaivuotna Kåfjord | 4,7 | -4,8 | 9,7 | 32 | 22 452 |
| 1941 Skjervøy | 0,3 | -0,6 | 13,9 | 100 | 59 957 |
| 1942 Nordreisa | 3,4 | -3,6 | 10,0 | 51 | 29 156 |
| 1943 Kvænangen | 5,4 | 0,0 | 15,8 | 40 | 32 462 |
| Troms | 2,5 | 1,3 | 8,2 | 72 | 37 974 |
| 2002 Vardø | 4,6 | 5,3 | 36,2 | 76 | 49 275 |
| 2003 Vadsø | |||||
| 2004 Hammerfest | 15,6 | 4,4 | 19,7 | 98 | 71 595 |
| 2011 Guovdageaidnu-Kautokeino | 1,5 | 1,3 | 13,8 | 150 | 93 145 |
| 2012 Alta | 3,2 | 1,4 | 20,2 | 72 | 39 885 |
| 2014 Loppa | 2,8 | 5,2 | 21,3 | 60 | 51 448 |
| 2015 Hasvik | 5,3 | 1,0 | 8,4 | 41 | 32 857 |
| 2017 Kvalsund | |||||
| 2018 Måsøy | 6,1 | 0,8 | 15,4 | 47 | 38 760 |
| 2019 Nordkapp | -2,9 | 0,9 | 10,2 | 95 | 59 276 |
| 2020 Porsanger -Porsángu | |||||
| 2021 Kárásjohka - Karasjok | |||||
| 2022 Lebesby | 0,4 | 0,0 | 8,9 | 91 | 77 789 |
| 2023 Gamvik | 1,0 | -0,2 | 8,0 | 88 | 74 608 |
| 2024 Berlevåg | |||||
| 2025 Deatnu Tana | |||||
| 2027 Unjarga-Nesseby | |||||
| 2028 Båtsfjord | |||||
| 2030 Sør-Varanger | |||||
| Finnmark Finnmarárkku | 5,8 | 2,3 | 18,4 | 85 | 55 002 |
| Landet utenom Oslo | 5,2 | 2,1 | 27,3 | 55 | 26 284 |