8 Skatt på eierinntekter
8.1 Innledning
I dette kapittelet drøftes skatt på eierinntekter. Med eierinntekter menes i denne sammenheng kapitalinntekter som etter gjeldende rett omfattes av skjermingsmetoden (fellesbetegnelse for aksjonærmodellen, deltakermodellen og foretaksmodellen) og fritaksmetoden.
Skjermingsmetoden gjelder beskatning av eierinntekter som tilfaller henholdsvis personlige aksjonærer og andelseiere (aksjonærmodellen), personlige deltakere i selskap med deltakerfastsetting (deltakermodellen) og enkeltpersonforetak (foretaksmodellen). Det sentrale kjennetegnet ved skjermingsmetoden er at kapitalinntekt som tilsvarer en normalavkastning, skjermes fra dobbeltbeskatning. Skjermingen gjennomføres ved at aksjeinntekt tilsvarende avkastningen av en risikofri kapitalplassering kun skattlegges som alminnelig inntekt på selskapets hånd. Aksjeinntekter som overstiger skjermingsfradraget, blir i tillegg skattlagt hos personlige skatteytere ved at de inngår i alminnelig inntekt med en oppjusteringsfaktor.
Fritaksmetoden gjelder beskatning av eierinntekter som tilfaller selskapsaksjonærer. Fritaksmetoden innebærer at selskapsaksjonærer som hovedregel fritas fra beskatning av utbytte og gevinst på aksjer mv., samtidig som det ikke gis fradragsrett for tilsvarende tap. Formålet med fritaksmetoden er å forhindre at aksjeinntekter mv. blir skattlagt flere ganger på selskapsnivå i en eierkjede av selskaper (kjedebeskatning).
I punkt 8.2 redegjøres det for formålet med og betydningen av å skattlegge eierinntekter. I punkt 8.3 er hovedtrekkene i eierbeskatningen fra skattereformen i 1992 frem til i dag omtalt. I punkt 8.4 redegjøres det for gjeldende rett og bakgrunnen for dagens regler. I punkt 8.5 drøftes aksjonærmodellen. Det overordnede spørsmålet i dette underpunktet er om dagens skjermingsmetode bør videreføres. Ettersom også deltaker- og foretaksmodellen bygger på skjermingsmetoden, vil denne drøftelsen i stor grad gjelde tilsvarende for utdelinger fra selskaper med deltakerfastsetting til personlige deltakere og skattlegging av enkeltpersonforetak. Videre drøftes det i dette underpunktet om muligheten til å skyve den personlige eierbeskatningen ut i tid ved å tilbakeholde overskudd i selskapssektoren, innebærer en urimelig fordel for personlige aksjonærer. I punkt 8.6 drøftes fritaksmetoden. Det sentrale spørsmålet i dette underpunktet er om fritaksmetoden virker etter sin hensikt og om den rekker videre enn formålet tilsier. I punkt 8.7 drøftes mulige regelverkstiltak for å motvirke tilpasninger mv., herunder om det er behov for endringer i reglene om utflyttingsskatt for personer, privat konsum i selskap, tilbakebetaling av innbetalt kapital og kildeskatt på utbetaling ved likvidasjon. I punkt 8.8 drøftes nivået på beskatningen av eierinntekter.
8.2 Skatt på eierinntekter – formål og betydning
I den skatteøkonomiske litteraturen er det flere toneangivende bidrag som konkluderer med at kapitalinntekt, i hvert fall hva gjelder normalavkastning på kapital, bør fritas fra skatt både av effektivitets- og rettferdighetshensyn, se særlig Chamley (1986) og Judd (1985). Skatt på kapitalinntekt skaper vridninger i valget mellom å konsumere i dag eller senere, som kan redusere velferden i samfunnet. Det kan også hevdes at det er urettferdig, og i strid med prinsippet om horisontal likhet, at to personer med samme økonomiske utgangspunkt, men ulik preferanse for om de vil konsumere tidlig eller sent, skal skattlegges ulikt.
På den andre siden vil skattlegging av kapitalinntekter bidra til at andre, vridende skatter kan holdes lavere. Det er også rimelig å begrunne skatt på kapitalinntekter nettopp av hensyn til likhet, både av den horisontale og vertikale typen. Kapitalinntekter er ikke bare et resultat av oppspart arbeidsinntekt, men kan komme som følge av arv, flaks med investeringer og grunnrente. Når arbeidsinntekt beskattes, tilsier prinsippet om horisontal likhet at kapitalinntekter også bør beskattes. Siden kapitalinntekter er konsentrert i toppen av inntektsfordelingen, vil også skatt på kapitalinntekt bidra til vertikal likhet. Ved utformingen av det norske skattesystemet har en også lagt stor vekt på at forskjell i beskatning mellom arbeidsinntekt og kapitalinntekt kan skape insentiver til såkalt inntektsskifting, der inntekter fra arbeid omdannes til inntekt fra kapital dersom kapitalinntektsskatten er lavere.
Tidligere konklusjoner fra litteraturen om at skatt på kapitalinntekt er uforenlig med optimal beskatning, er omstridt, og ifølge de Mooij og Klemm (2021) synes den teoretiske forskningen å rette seg mer mot spørsmålet om hvordan kapitalinntekt bør beskattes, snarere enn hvorvidt den bør beskattes.
I Norge og i de fleste sammenlignbare land skattlegges kapitalinntekt både når inntekten opptjenes i selskaper og når den tilkommer eierne personlig. Størstedelen av de samlede kapitalinntektene i samfunnet er inntekter som opptjenes i selskapssektoren. Disse inntektene skattlegges først på selskapets hånd, og deretter skattlegges den samme inntekten på nytt når den deles ut til personlige aksjonærer som utbytte eller når personlig aksjonær realiserer inntekten gjennom salg av aksjene.
Virkningen av skatt på personers aksjeinntekter har i lang tid vært gjenstand for debatt i den økonomiske litteraturen. De første analysene ble utviklet av Harberger på 1960-tallet (Harberger, A.C. (1966)) og viste under enkle forutsetninger at dersom en har to sektorer i økonomien og legger en utbytteskatt på avkastning fra investeringer i den ene sektoren, vil kapitalkostnaden øke og investeringene i denne sektoren reduseres. Effekten vil dempes i den grad den marginale finansieringskilden er gjeld, som ikke vil gi den samme økningen i kapitalkostnaden som følge av gjeldsfradraget. Dette synet ble utfordret av andre økonomer på slutten av 1970- og begynnelsen av 1980-tallet. Disse hevdet at investeringer på marginen ville bli finansiert av andre kapitalkilder enn ny egenkapital, som gjeld eller tilbakeholdt overskudd, hvor kapitalkostnaden ikke i samme grad ble påvirket av utbytteskatten.1 Senere er kapitalinntektsbeskatningens effekt på bedriftenes finansieringskostnader analysert i en lang rekke arbeider under ulike forutsetninger. De viktigste resultatene fra denne litteraturen er at effektive finansmarkeder som gir bedriftene fleksibilitet i valg av finansieringsform, og åpne økonomier som reduserer betydningen av innenlandske personskatteregler, demper effekten av utbytteskatten på investeringene.
Dersom alle norske bedrifter fritt kunne velge finansieringsform på marginen, herunder å innhente kapital fra utenlandske investorer, ville en klassisk utbytteskatt uten skjerming for innenlandske, personlige aksjonærer vært nøytral og ikke ført til reduserte investeringer. Noen bedrifter kan imidlertid være avhengig av ny egenkapital fra norske investorer for å finansiere marginale investeringer. I disse tilfellene er ikke eierskatten nøytral, men har to fremtredende effekter som delvis virker mot hverandre. Det ene er at eierskatten tar en del av den realiserte avkastningen på investeringen, og dermed isolert sett gjør at investoren krever en høyere avkastning for å investere. Den andre er at tapsfradraget, gitt at dette er symmetrisk utformet, demper risikoen ved investeringen, noe som isolert sett tilskynder investeringer i risikable prosjekter. Hvilken effekt eierskatten til syvende og sist har på investors investeringsvilje, avhenger dermed av avveiningen mellom forventet avkastning etter skatt og risiko. Dette påvirkes av investorens personlige holdning til risiko (grad av risikoaversjon) og investors mulighet for å spre risiko i finansmarkedene. Sørensen (2022a) viser at eierskatten vil kunne ha stor betydning for kapitalkostnaden dersom investoren er lite diversifisert og har en viss grad av risikoaversjon. Det er særlig i slike tilfeller skjermingsfradraget er viktig for å unngå negative effekter av eierskatten på investeringene.
Et selskap kan redusere sin skattekostnad ved å flytte virksomheten fra Norge til et land med lavere skatt. For personlige aksjonærer som er bosatt i Norge, blir imidlertid beskatningen av aksjeinntekten lik uansett hvor i verden virksomheten utøves. Skatt på personers aksjeinntekter, i motsetning til selskapsskatten, gjør det derfor ikke mindre lønnsomt å drive virksomhet i Norge sammenlignet med andre land. I et internasjonalt kapitalmarked vil også eierskatten i mindre grad enn selskapsskatten kunne veltes over på arbeidstakere i form av lavere lønninger. Det skyldes at selskapsskatten reduserer investeringer og dermed kan føre til lavere lønnsnivå, slik at selskapsskatten i realiteten delvis bæres av lønnsmottakerne. Skatten på aksjeinntekter for personlige aksjonærer kan på sin side antas å påvirke investeringsnivået i mindre grad, og derfor i større grad bæres av aksjonærene alene. I den grad deler av næringslivet er avhengig av egenkapital fra norske aksjonærer, vil skjermingsmetoden i den norske eierbeskatningen (se punkt 8.5.2) bidra til å holde vridningene i eierbeskatningen lave. Disse forholdene taler for at de negative effektivitetsvirkningene er større for beskatning av selskapsoverskudd enn for eierskatten.
Scheel-utvalget, som foreslo å øke eierbeskatningen, konkluderte med at økningen ville ha begrenset betydning for investeringene, se NOU 2014: 13 s. 319. Utvalget viste til at store deler av investors alternativkostnad skjermes gjennom skjermingsfradraget, og at skatten uansett ikke er av betydning for investeringer i selskap som har tilgang på internasjonal kapital. OECD (2021) viser til at den personlige kapitalbeskatningen har begrenset betydning for investeringer, men kan ha positive virkninger for fordeling. Hensyn som taler mot et høyt nivå i den personlige kapitalbeskatningen, er at det kan gjøre det mindre lønnsomt å spare, øke insentivene for tilpasninger og misbruk, og at det kan føre til at kapitaleiere flytter ut av landet.
8.3 Historisk tilbakeblikk
Norge har siden skattereformen i 1992 hatt et todelt (dualt) inntektsskattesystem. I et rendyrket todelt skattesystem skiller en mellom kapitalinntekter på den ene siden og arbeidsinntekter på den andre siden.
Det norske inntektsskattesystemet har fra 1992 vært basert på at alle skattepliktige inntekter skal inngå i et felles inntektsgrunnlag med en flat skattesats (alminnelig inntekt). Fordelingshensyn har vært søkt ivaretatt gjennom progressiv beskatning av brutto arbeids- og pensjonsinntekter, mens hensynet til effektivitet har vært førende for den lavere og flate skattesatsen på selskapers og personers kapitalinntekter.
I perioden 1992–2006 ble alle former for kapitalinntekter skattlagt med en skattesats på 28 pst. Inntekter som ble opptjent i selskapssektoren, ble skattlagt hos selskapet, men i praksis ikke hos aksjonærene ved utdeling av aksjeutbytte eller ved realisasjon av aksjegevinst. Det skyldtes den såkalte godtgjørelsesmetoden for aksjeutbytte og RISK-metoden for aksjegevinster, som begge hadde til formål å forebygge dobbeltbeskatning av selskap og aksjonær og kjedebeskatning. Arbeidsinntekter ble på den andre siden skattlagt med en progressiv satsstruktur, med høy marginalskattesats for høye inntekter.
Et slikt dualt skattesystem forutsetter at det trekkes en grense mellom inntektstypene som omfattes av de to ulike inntektskategoriene. I systemet som gjaldt fra skattereformen i 1992 frem til skattereformen i 2006, skulle denne grensen trekkes ved hjelp av den såkalte delingsmodellen. Delingsmodellen gjaldt enkeltpersonforetak og selskap hvor minst 2/3 av eierne (eller personer disse kunne identifiseres med) var aktive i selskapet. Dersom vilkårene forelå, skulle det med utgangspunkt i virksomhetens eller selskapets inntekt beregnes en personinntekt. Personinntekten ble skattlagt hos innehaveren i enkeltpersonforetak og hos de aktive eierne i selskap.
Som følge av store satsforskjeller mellom skattleggingen av kapitalinntekt og lønnsinntekt, ble delingsmodellen gjenstand for utstrakt skatteplanlegging og lobbyisme. Delingsmodellen ble etter hvert så gjennomhullet at det var relativt enkelt å få reelle arbeidsinntekter skattlagt som kapitalinntekt i stedet for lønn (såkalt inntektsskifting). Tilpasningsmuligheten bestod i at aktive aksjonærer kunne ta selskapsoverskuddet ut som aksjeutbytte i stedet for lønn. Aksjeutbytte var normalt skattefritt hos aksjonærene etter den dagjeldende godtgjørelsesmetoden.
Et av formålene med skattereformen i 2006 var å få bukt med dette problemet. Dette ble gjort ved å redusere forskjellen i marginal skattesats mellom lønn og ulike typer eierinntekt fra selskap og selvstendig næringsvirksomhet, slik at delingsmodellen kunne fjernes.
Den marginale skattesatsen på eierinntekt fra selskap ble økt gjennom innføring av aksjonær- og deltakermodellen. For utdelte aksjeinntekter (inklusiv selskapsskatt) ble skattesatsen økt fra 28 pst. til 48,16 pst. Samtidig ble høyeste marginalskatt på lønnsinntekt redusert fra 51,3 pst. til 47,8 pst. eksklusiv arbeidsgiveravgift, og fra 64,7 pst. til 54,3 pst. inklusiv arbeidsgiveravgift. Forskjellen mellom høyeste marginalskattesats på lønnsinntekter og aksjeinntekter ble dermed redusert fra 19,8 prosentenheter til -0,65 prosentenheter eksklusiv arbeidsgiveravgift, og fra 36,7 prosentenheter til 6,1 prosentenheter inklusiv arbeidsgiveravgift. En slik harmonisering av marginale skattesatser gjorde at det ble vesentlig mindre lønnsomt å tilpasse seg i form av inntektsskifting. Endringene medførte videre at eierinntekter ble skattlagt med en langt høyere skattesats enn tidligere.
Reformen i 2006 innebar også en systemmessig endring i kapitalbeskatningen, ved at aksjeinntekt mv. ble gjort skattepliktig, samtidig som skjermingsmetoden (fellesbetegnelse for aksjonærmodellen, deltakermodellen og foretaksmodellen) ble innført. Det sentrale kjennetegnet ved skjermingsmetoden er at inntekt som tilsvarer en normalavkastning (risikofri avkastning) skjermes fra dobbeltbeskatning, se nærmere beskrivelse av skjerming i punkt 8.4.2 under.
Ved samme reform ble fritaksmetoden innført for beskatning av aksjeinntekter mv. innenfor selskapssektoren, se nærmere beskrivelse i punkt 8.4.5 under.
Fra og med 2016 har skattesatsen på eierinntekter økt ytterligere i takt med at selskapsskattesatsen har blitt redusert. Det skyldes hovedsakelig at man har ønsket å motvirke inntektsskifting, ved ikke å øke forskjellen i den samlede beskatningen av utdelt aksjeinntekt (inklusiv selskapsskatt) og den høyeste marginalskatten på lønnsinntekter, se Meld. St. 4 (2015–2016) punkt 6.8 og Prop. 1 LS (2015–2016) punkt 3.1.3.
I 2022 skattlegges aksjeinntekter utover skjerming med en sats på 35,2 pst. på den personlige aksjonærens hånd. Utdelt aksjeinntekt inklusiv selskapsskatt skattlegges dermed med en samlet sats på 49,5 pst. Andre kapitalinntekter enn aksjeinntekter mv. skattlegges med en skattesats på 22 pst. på personlig eiers hånd (samme som selskapsskattesatsen). Høyeste marginalskatt på arbeidsinntekt er 47,4 pst. eksklusiv arbeidsgiveravgift og 53,9 pst. inklusiv arbeidsgiveravgift. I 2022 er høyeste marginalskatt på lønn eksklusiv arbeidsgiveravgift dermed 2,1 prosentenheter lavere enn skattesatsen på utdelt aksjeinntekt inklusiv selskapsskatt, mens høyeste marginalskatt på lønn inklusiv arbeidsgiveravgift er 4,4 prosentenheter høyere enn utdelt aksjeinntekt inklusiv selskapsskatt, se Figur 8.1.2 Det er høyeste marginalskatt på lønn inklusiv arbeidsgiveravgift som er relevant når en vurderer insentivene til inntektsskifting og den samlede beskatningen av lønnsinntekter. Aktive eiere vil normalt tjene på å ta ut lønnsinntekt inntil en når maksimal opptjening av pensjon i Folketrygden, mens inntekter utover dette blir tatt ut som utbytte. Utregningen av høyeste marginalskatt på lønn og utdelt aksjeinntekt inklusiv selskapsskatt er forklart i Boks 8.1.
Figur 8.1 Høyeste marginalskattesats på lønn og utbytte med 2022-regler. Prosent
Skatteutvalget.
Boks 8.1 Marginalskattesatser
Når en ser bort fra arbeidsgiveravgift, vil høyeste marginalskatt på lønnsinntekt være summen av skattesatsene for alminnelig inntekt, trygdeavgift og høyeste trinnskattesats, trinn 5, som med satser for 2022 blir 22 pst. + 8 pst. + 17,4 pst. = 47,4 pst.
Når en krone opptjent i selskap tas ut som lønnsinntekt, må selskapet betale 12,4 øre i arbeidsgiveravgift. Selskapet betaler da 87,6 øre i lønn, og 14,1 pst. av dette (12,4 øre) i arbeidsgiveravgift, i alt 1 krone. Det er her lagt til grunn at selskapet befinner seg i sone 1, som har den høyeste satsen i arbeidsgiveravgiften.
Skatt på alminnelig inntekt, trygdeavgift og trinnskatt betales på grunnlag av lønnen som utbetales til personen på 87,6 øre, altså ekskludert arbeidsgiveravgiften. Av dette betaler personen
skatt på alminnelig inntekt, 87,6 øre*22 pst. = 19,3 øre
trygdeavgift, 87,6 øre*8 pst. = 7,0 øre
trinnskatt, 87,6 øre*17,4 pst. = 15,2 øre
Sum skatt for en krone som tas ut som lønnsinntekt blir 53,9 øre, slik at samlet marginalskattesats dermed er 53,9 pst. Marginalskattesatsen kan alternativt regnes ut som summen av de formelle skattesatsene dividert med 1,141, (0,141+0,22+0,8+0,174)/1,141 = 53,9 pst. Dette er et uttrykk for skattekilen (differansen mellom nettolønn og arbeidsgivers arbeidskraftskostnad) i prosent av arbeidskraftskostnaden.
Inntekten som danner grunnlaget for utbetalingen, er skattepliktig i selskapet med 22 pst. Dersom inntekten tas ut som lønn, kommer lønnskostnaden til fradrag i selskapets skattepliktige inntekter, slik at inntekten ikke beskattes i selskapet.
Hvis en krone opptjent i selskapet ikke tas ut som lønn, beskattes den først i selskapet med 22 pst., og selskapet må betale 22 øre i selskapsskatt. Hvis det resterende, 78 øre, betales ut som utbytte til personlig aksjonær, oppjusteres inntekten med faktoren 1,6 og beskattes med 22 pst., slik at den effektive skattesatsen blir 35,2 pst., gitt at utbyttet overstiger aksjonærens skjermingsfradrag. Inntekten etter selskapsskatt beskattes derfor med 27,5 øre (78 øre*35,2 pst). Sum skatt for en krone som tas ut som utbytte, blir 22 øre + 27,5 øre = 49,5 øre, slik at marginalskattesatsen dermed blir 49,5 pst. Regnestykket kan sammenfattes som 22 pst. + (100 pst. – 22 pst.)*1,6*22 pst. = 49,5 pst.
En samlet marginalskattesats for selskaps- og eierinntekter på 49,5 prosent er om lag på linje med andre sammenlignbare OECD-land, jf. Figur 8.2.
Figur 8.2 Samlet skattesats på utbytte i enkelte OECD-land i 2021. Prosent1
Figuren viser marginalskattesatsen for selskaps- og eierinntekter, og tar dermed ikke hensyn til fradrag og eventuell progressivitet. Figuren er ikke egnet til å illustrere hva som er den samlede skattebelastningen for kapitalinntekter i de ulike landene, ettersom den ikke hensyntar andre skatter på kapital, som for eksempel formuesskatt, arveavgift og eiendomsskatt.
OECD (2022)
8.4 Gjeldende rett og bakgrunn
8.4.1 Innledning
Dagens eierbeskatning er i stor grad utformet for å bygge bro mellom kapitalbeskatningen og beskatningen av arbeidsinntekt. Overskuddet beskattes løpende hos selskapet som alminnelig inntekt. I tillegg skattlegges inntekt ut over et skjermingsfradrag hos eieren. Mens aksjonærmodellen og deltakermodellen bygger på at personlig deltaker beskattes ved utdeling fra selskapet (uttaksbaserte modeller), skjer beskatningen hos eier løpende etter foretaksmodellen. Beskatningen i foretaksmodellen skjer ved at det beregnes en personinntekt.
Fritaksmetoden skal hindre kjedebeskatning. Kjedebeskatning innebærer at inntekten skattlegges mer enn én gang i selskapssektoren, dvs. mer enn to ganger totalt når skattlegging av selskapene ses i sammenheng med skattlegging av aksjonær som er fysisk person.
I det følgende redegjøres det for hovedtrekkene i gjeldende regler om aksjonærmodellen, deltakermodellen, foretaksmodellen og fritaksmetoden.
8.4.2 Aksjonærmodellen
Skatteplikt for aksjeutbytte og -gevinster mv.
Aksjeutbytter og -gevinster, samt andre nærmere angitte kapitalinntekter, regnes som skattepliktig alminnelig inntekt for personlige aksjonærer og andelseiere. Skatteplikten gjelder tilsvarende for dødsbo og administrasjonsbo som tilhører en fysisk person, samt konkursbo der skyldner er en fysisk person.
Skatteplikten gjelder utbytte og lignende utdelinger, samt gevinster, fra
aksjeselskap og allmennaksjeselskap
sparebanker og andre selveiende finansieringsforetak
gjensidige forsikringsselskap
samvirkeforetak
verdipapirfond (for aksjeandelen) og
tilsvarende utenlandske selskaper mv.
I skatteloven § 10-11 annet ledd er det bestemt at «enhver utdeling som innebærer en vederlagsfri overføring av verdier fra selskap til aksjonær» regnes som utbytte. Det følger videre av bestemmelsens annet punktum at dette ikke gjelder for tilbakebetaling av innbetalt kapital, herunder overkurs, eller utbetaling ved likvidasjon av aksjeselskap.
Lovgrunnlaget for aksjonærmodellen er de ulike bestemmelsene om skattlegging av aksjeutbytte og -gevinster mv. i skatteloven kapittel 10, jf. §§ 10-10 til 10-13 og 10-30 til 10-37.
Skjerming
Skatteplikten for aksjeutbytter og -gevinster mv. modifiseres noe gjennom retten til skjerming, jf. skatteloven § 10-12. Skjerming innebærer at inntekt tilsvarende avkastningen av en risikofri kapitalplassering (normalavkastning) etter skatt skjermes fra beskatning ut over ordinær skatt på alminnelig inntekt.
Det følger av skatteloven § 10-12 første ledd at retten til skjerming i utgangspunktet kun gjelder for personlige skattytere som har alminnelig skatteplikt til Norge. En aksjonær som er bosatt i et annet EØS-land, kan likevel etter søknad kreve skjerming, jf. skatteloven § 10-13 annet ledd.
Retten til skjerming er videre betinget av at utbyttet er «lovlig utdelt» fra selskapet.
Skjermingen beregnes for den enkelte aksje, og settes til et skjermingsgrunnlag multiplisert med en skjermingsrente. Skjermingsgrunnlaget er som hovedregel lik det beløpet som den aktuelle aksjonæren har betalt for aksjen (anskaffelsesverdien), tillagt aksjens ubenyttede skjermingsfradrag fra tidligere år.3
Skjermingsrenten fastsettes av departementet i forskrift. I fsfin. § 10-12-1 er det bestemt at skjermingsrenten skal baseres på gjennomsnittlig rente på statskasseveksler med tre måneders løpetid, med et tillegg på 0,5 prosentenheter. Renten skal videre nedjusteres med skattesatsen på alminnelig inntekt (22 pst.) for å komme frem til rente etter skatt. For inntektsåret 2021 var skjermingsrenten 0,5 pst.
Skjerming beregnes én gang i året, og skal tilordnes eier av aksjen 31. desember i inntektsåret.
Ubenyttet skjerming ett år kan fremføres til fradrag i senere års utbytte på samme aksje, jf. skatteloven § 10-12 første ledd fjerde punktum. Dersom skattyter selger aksjen uten at skjermingen er utnyttet fullt ut, kan ubenyttet skjerming fradras i gevinst ved salget, jf. skatteloven § 10-31 første ledd annet punktum. Fradraget kan imidlertid ikke være større enn gevinsten ved realisasjon av aksjen, jf. tredje punktum i samme bestemmelse. Dette innebærer at skjermingen ikke kan skape eller øke et tap. Ubenyttet skjerming som ikke kan utnyttes senest ved salg av aksjen, går dermed tapt.
Lån til selskap
Samtidig med innføringen av aksjonærmodellen ble det gitt en særregel om skattlegging av renteinntekter på lån fra personlige skattytere til selskaper mv., jf. skatteloven § 5-22. Formålet med bestemmelsen er å motvirke at det skal være skattemessig lønnsomt å ta ut overskudd fra selskapet som renter i stedet for som utbytte. Regelen innebærer at renter på slike lån først skattlegges på ordinær måte som alminnelig inntekt og deretter som om fordringen var aksjer. Bestemmelsen i skatteloven § 5-22 gjelder ikke renter av mengdegjeldsbrev som omsettes i organiserte markeder eller renter på innskudd i bank.
Lån fra selskap
I skatteloven § 10-11 fjerde ledd er det videre gitt en bestemmelse som utvider utbyttebegrepet til også å omfatte kreditt og sikkerhetsstillelse fra selskap mv. til personlig aksjonær. Regelen ble innført med virkning fra og med 7. oktober 2015. Formålet med bestemmelsen er å motvirke at utbyttebeskatning omgås ved at selskap for eksempel gir lån til aksjonær i stedet for at selskapet deler ut aksjeutbytte. Regelen gjelder også lån til personlig skattyter fra andre selskap i samme konsern og lån til nærmere angitte nærstående (aksjonærens ektefelle, barn mv.).
Oppjusteringsfaktor
Som omtalt over, har skattesatsen for alminnelig inntekt for personer og selskap gradvis blitt redusert til dagens 22 pst. de senere år. For å motvirke en tilsvarende reduksjon i den samlede beskatningen av aksjeinntekter mv. når selskap og personlig aksjonær ses under ett, ble det i 2016 innført en oppjusteringsfaktor som benyttes ved skattleggingen av slike inntekter. For inntektsåret 2022 er oppjusteringsfaktoren fastsatt til 1,6, jf. skatteloven § 10-11 første ledd (utbytte) og skatteloven § 10-31 (gevinst og tap).
Boks 8.2 Bakgrunn for aksjonærmodellen og oppjusteringsfaktoren
Aksjonærmodellen ble innført ved skattereformen 2006. Forslaget til aksjonærmodell ble fremmet i Ot.prp. nr. 1 (2004–2005), og Stortinget vedtok modellen iverksatt med virkning fra og med inntektsåret 2006.
Evaluering av skattereformen 2006 ble gjennomført i 2011, jf. Meld. St. 11 (2010–2011). I meldingen ble en rekke sider ved aksjonærmodellen drøftet, se særlig kapittel 6 i meldingen.
Hovedkonklusjonen i meldingen var at det bærende prinsippet for skattereformen om å skjerme en avkastning tilsvarende risikofri avkastning, burde ligge fast. Det ble ikke lagt opp til vesentlige endringer i aksjonærmodellen.
I Meld. St. 4 (2015–2016) ble det drøftet hvordan skattesystemet kunne tilpasses nye utviklingstrekk. Det ble pekt på at skattegrunnlagene har blitt mer mobile som følge av økt handel og tettere integrerte markeder over landegrensene.
Meldingen la grunnlaget for den reduksjonen i selskapsskattesatsen som er gjennomført de senere årene, frem til dagens nivå på 22 pst. I meldingen drøftet Finansdepartementet hvordan et ønskelig nivå på eierbeskatningen av selskaper og deltakere sett under ett, kan opprettholdes når selskapsskattesatsen går ned. Tre mulige utforminger av inntektsgrunnlagene ble vurdert:
i. Å bevare alminnelig inntekt som et netto skattegrunnlag med samme satsreduksjon for personer som for selskaper.
ii. Å innføre forskjellig skattesats i alminnelig inntekt for personer og selskaper.
iii. Å skille ut netto kapitalinntekter som eget inntektsgrunnlag.
Det ble konkludert med at alminnelig inntekt burde opprettholdes som et netto skattegrunnlag med samme satsreduksjon for personer som for selskaper.
I meldingen ble det videre drøftet hvordan en satsreduksjon i alminnelig inntekt kan kompenseres gjennom økt skatt på utbytte/utdelinger og gevinst på selskapsandeler, for at forskjellen i marginalskatt mellom lønn og utbytte ikke skulle øke. I meldingen vurderte departementet tre løsninger:
i. Utbytte mv. skal ikke inngå i alminnelig inntekt, men være et eget skattegrunnlag som skattlegges med høyere sats enn alminnelig inntekt, kalt eierinntekt («eierinntekt som selvstendig skattegrunnlag»).
ii. Utbytte mv. skal inngå i alminnelig inntekt, og i tillegg være eget skattegrunnlag som skattlegges i tillegg til alminnelig inntekt, kalt eierinntekt («eierinntekt som supplerende skattegrunnlag»)
iii. Utbytte mv. skal kun inngå i skattegrunnlaget alminnelig inntekt, men beregningsgrunnlaget økes med en justeringsfaktor («oppjustering av alminnelig inntekt»).
Etter en samlet vurdering kom departementet til at den mest hensiktsmessige løsningen ville være å oppjustere aksjeutbytte mv. i alminnelig inntekt med en oppjusteringsfaktor.
Løsningen med oppjusteringsfaktor ble foreslått for Stortinget i Prop. 1 LS (2015–2016). Forslaget ble vedtatt av Stortinget, og endringen fikk virkning fra og med inntektsåret 2016.
8.4.3 Deltakermodellen
Deltakere i selskaper med deltakerfastsetting skattlegges etter deltakermodellen, jf. skatteloven §§ 10-40 til 10-49. Deltakermodellen omfatter deltakere i ansvarlig selskap, kommandittselskap, indre selskap, partrederi og stille deltakere, jf. skatteloven § 10-40 første ledd.
Selskaper med deltakerfastsetting er ikke egne skattesubjekter. Det innebærer at selskapet som sådant ikke skattlegges, men at de personlige deltakerne skattlegges løpende for sin andel av selskapets resultat. Deltakerfastsettingen skjer etter nettometoden, jf. skatteloven § 10-41 første ledd. Nettometoden innebærer at selskapets overskudd eller underskudd fastsettes etter reglene i skattelovgivningen som om selskapet var skattyter. All inntektsberegning foregår derfor på selskapsnivå. Fritaksmetoden gis anvendelse ved fastsetting av inntekt på selskapsnivå, også når personlige deltakere blir tilordnet sin andel av selskapets inntekt, jf. skatteloven § 10-41 annet ledd. Fritaksmetoden gjelder ellers bare for selskaper.
I tillegg til at deltakerne skattlegges løpende for sin andel av selskapets inntekt (parallelt til aksjeselskapers skattlegging av egen inntekt), bygger deltakermodellen i likhet med aksjonærmodellen på at personlige deltakere i selskapet også beskattes ved utdelinger fra selskapet. Videre er skjermingsmetoden gjennomført også for inntekter fra selskaper med deltakerfastsetting, slik at risikofri avkastning av den investerte kapitalen skjermes fra beskatning ut over ordinær skatt på alminnelig inntekt.
Skatteloven § 10-42 regulerer beskatningen ved utdelinger fra selskapet til personlig deltaker. Utgangspunktet er at det beregnes et tillegg i alminnelig inntekt hos personlig deltaker som mottar utdeling fra selskapet. Tillegget settes til verdien av utdelingen, fratrukket den delen av utdelingen som medgår til å dekke løpende overskuddsskatt og et beregnet skjermingsfradrag, se Boks 8.3 om beregning av skjerming. Den skattepliktige delen av utdelingen oppjusteres med faktoren 1,6, tilsvarende som for utbytte til personlig aksjonær. Som utdeling regnes ikke tilbakebetaling av innbetalt kapital.
Boks 8.3 Beregning av skjerming i deltakermodellen
I skatteloven § 10-42 femte til tiende ledd er det gitt nærmere bestemmelser om beregning av skjerming. Skjermingsgrunnlaget er i utgangspunktet summen av netto kostpris for selskapsandelen, anskaffelseskostnader og deltakerens innskudd i selskapet, tillagt ubenyttet skjerming for tidligere år, jf. sjette ledd. Det korrigeres ikke for gjeldsansvar som overtas gjennom ervervet av selskapsandelen.
Etter skatteloven § 10-42 syvende ledd skal imidlertid skjermingsgrunnlaget korrigeres i visse tilfeller. Etter første punktum skal det gjøres tillegg i skjermingsgrunnlaget når deltakeren tar ut mindre fra selskapet enn beregnet overskuddsskatt. Fordi deltakeren da dekker overskuddsskatten med annet enn selskapsmidler, likestilles dette med et innskudd i selskapet. I lovforarbeidene omtales dette som «uegentlig innskudd». Etter annet punktum skal skjermingsgrunnlaget også korrigeres når selskapet går med underskudd. Skjermingsgrunnlaget skal da reduseres med deltakerens underskuddsandel multiplisert med deltakerens skattesats på alminnelig inntekt. Denne korreksjonen gjøres av symmetrihensyn: Når uegentlige innskudd øker skjermingsfradraget, må selskapsunderskudd som gir spart skatt på inntekt fra andre kilder, redusere skjermingsfradraget. Dette omtales i lovforarbeidene som «symmetriske korreksjoner».
Skjermingsrenten fastsettes tilsvarende som i aksjonærmodellen, jf. skatteloven § 10-42 femte ledd.
Skjermingsfradraget tilordnes den som er deltaker ved årets utgang, jf. skatteloven § 10-42 åttende ledd.
Ubenyttet skjermingsfradrag kan fremføres til fradrag i senere års utdeling fra samme selskap, jf. skatteloven § 10-42 niende ledd.
Skatteloven § 10-44 gjelder realisasjonsbeskatning av selskapsandel. Gevinstberegningen tar utgangspunkt i den nominelle differansen mellom netto salgssum for selskapsandelen og netto kjøpesum for andelen. Ubenyttet skjerming på realisasjonstidspunktet fradras i dette grunnlaget. Fradraget for ubenyttet skjerming kan ikke føre til eller øke et fradragsberettiget tap. Det skal også korrigeres for andelshaverens kapitalinnskudd i eierperioden, herunder såkalte «uegentlige innskudd» og «symmetriske korreksjoner».
Boks 8.4 Bakgrunn for deltakermodellen
Det ble gjort en rekke endringer i reglene for deltakerlignede selskaper1 både ved skattereformene i 1992 og 2006.
Ved skattereformen i 1992 fikk deltakerlignede selskaper større selvstendig skatterettslig betydning. Før reformen ble skatteposisjoner og forpliktelser knyttet direkte til deltakerne. Skattlegging ble gjennomført etter en bruttometode, hvor hver enkelt av selskapets formuesposter, gjeldsposter, inntektsposter og omkostningsposter ble fordelt på deltakerne ved skattleggingen. Ved 1992-reformen gikk man over til nettometoden, som innebærer at inntektsberegningen skjer på selskapsnivå og deltakerne tilordnes sin andel av selskapets nettoinntekt. Delingsmodellen ble brukt for å fastsette personinntekt for personlige deltakere som var aktive i selskapet, på tilsvarende måte som for aktive aksjonærer. Reglene stod deretter i hovedsak uendret frem til deltakermodellen ble innført som ledd i skattereformen i 2006.
Deltakermodellen bygger på forslagene i Uttaksutvalgets utredning, jf. NOU 2005: 2. Spørsmålet om selskapene fortsatt skulle deltakerlignes eller bli selvstendige skattesubjekter med selskapsligning, ble grundig behandlet av Uttaksutvalget. Et samlet utvalg konkluderte med at deltakerligning etter en nettometode burde opprettholdes, se nærmere omtale av utvalgets vurderinger i NOU 2005: 2 kapittel 7. En deltakermodell som i hovedsak var i samsvar med Uttaksutvalgets forslag ble fremmet i Ot.prp. nr. 92 (2004–2005), jf. punkt 1.7 i proposisjonen, og ble vedtatt av Stortinget med virkning fra og med inntektsåret 2006.
Evaluering av skattereformen 2006 ble gjennomført i 2011, jf. Meld. St. 11 (2010–2011). I stortingsmeldingen ble det vist til at målet med deltakermodellen var å oppnå en praktikabel løsning for deltakerlignede selskaper med samme økonomiske virkninger som aksjonærmodellen, og at deltakermodellen oppfyller dette målet. Departementet foreslo i meldingen at deltakermodellen skulle videreføres, men viste samtidig til at det ville bli arbeidet videre med mulige forenklinger og forbedringer i reglene.
I Prop. 1 LS (2014–2015) foreslo departementet slike forenklinger og forbedringer, se nærmere omtale av forslagene i kapittel 4 i proposisjonen. Forslagene ble vedtatt av Stortinget uten endringer, og iverksatt fra og med inntektsåret 2015.
I Meld. St. 4 (2015–2016) ble det drøftet hvordan skattesystemet kunne tilpasses nye utviklingstrekk. Meldingen la grunnlaget for den reduksjonen i selskapsskattesats som er gjennomført de senere årene, frem til dagens nivå på 22 pst. I meldingen drøftes hvordan en slik reduksjon kan gjennomføres for deltakerlignede selskaper. Meldingen går i liten grad inn på andre deler av skattereglene for deltakerlignede selskaper.
Reduksjonen av selskapsskattesatsen er gjennomført på en tilsvarende måte som i aksjeselskap mv., med bruk av oppjusteringsfaktor i grunnlagene for utdelingsbeskatning og gevinstbeskatning hos personlig deltaker.
1 Selskaper med deltakerfastsetting ble i skatterettslig sammenheng tidligere omtalt som «deltakerlignet selskap». Termen ligning bortfalt da ligningsloven 1980 ble erstattet av skatteforvaltningsloven 2016, og betegnelsen «deltakerlignet selskap» ble erstattet med «selskap med deltakerfastsetting». I omtalen nedenfor brukes betegnelsene «deltakerlignet selskap» og «ligning» ved omtalen av regelendringer mv. før skatteforvaltningsloven ble iverksatt.
8.4.4 Foretaksmodellen
Skattlegging av enkeltpersonforetak skjer etter foretaksmodellen.
Foretaksmodellen bygger på samme skjermingsprinsipp som aksjonærmodellen og deltakermodellen, slik at risikofri avkastning av den investerte kapitalen skjermes fra beskatning ut over ordinær skatt på alminnelig inntekt.
Mens aksjonærmodellen og deltakermodellen bygger på at personlig deltaker beskattes ved utdeling fra selskapet, skjer beskatningen løpende etter foretaksmodellen. Beskatningen i foretaksmodellen skjer ved at det beregnes en personinntekt.
Reglene for beregning av personinntekt er gitt i skatteloven § 12-11. Beregningen av personinntekt tar utgangspunkt i foretakets nettoinntekt, fastsatt etter reglene for alminnelig inntekt før fradrag for fremførbart underskudd. Inntekter som normalt ikke har direkte betydning for virksomheten, trekkes ut. Dette gjelder for eksempel inntekter av finansobjekter mv.
I tillegg trekkes ut en beregnet normalavkastning av investeringene i virksomheten som skjermes fra personinntektsbeskatning (skjermingsfradrag). Nærmere regler om beregning av skjermingsfradrag er gitt i skatteloven § 12-12.
Den inntekten som gjenstår, er skattepliktig beregnet personinntekt. Personinntekt er grunnlag for beregning av trinnskatt og trygdeavgift. Den beregnede personinntekten anses å svare til avkastningen utover normalavkastningen samt avkastningen av eierens arbeid i virksomheten.
Boks 8.5 Bakgrunn for foretaksmodellen
Foretaksmodellen ble innført som ledd i skattereformen 2006. Foretaksmodellen bygger i stor grad på forslaget til beskatningsløsning for enkeltpersonforetak i Uttaksutvalgets utredning, jf. NOU 2005: 2. Regelteknisk er det betydelig likhet mellom foretaksmodellen og den tidligere delingsmodellen.
Uttaksutvalget gjorde en grundig vurdering av om skattemodellen for enkeltpersonforetak kunne være basert på skattlegging ved utdeling fra foretaket. Utvalget viste til at uttaksbeskatning av enkeltpersonforetak har vært utredet en rekke ganger tidligere, uten at det er funnet noen hensiktsmessig løsning. Etter en samlet vurdering konkluderte Uttaksutvalget med at skattemodellen for enkeltpersonforetak ikke bør være basert på skattlegging ved utdeling, se nærmere omtale av utvalgets vurderinger i NOU 2005: 2 kapittel 12.
Som et alternativ til en uttaksløsning, drøftet utvalget også en ordning med utsatt skatt gjennom fondsavsetninger, etter mønster av danske regler. Formålet med slike regler er å gi næringsdrivende mulighet til å utjevne den skattemessige virkningen av svingende inntekter, uten at det er behov for en regnskapsmessig utskillelse av virksomhetens økonomi fra den næringsdrivendes privatøkonomi. Utvalget viste til at en slik ordning har likhetstrekk med de tidligere norske reglene om konsolideringsfond som ble opphevet ved skattereformen 1992. Utvalget konkluderte med at denne typen skattekreditter ikke bør gjeninnføres, da de bryter med forutsetningene som ble lagt til grunn for skattereformen 1992.
I Ot.prp. nr. 92 (2004–2005) sluttet departementet seg til Uttaksutvalgets vurderinger og foreslo en foretaksmodell som i hovedsak var i samsvar med Uttaksutvalgets forslag. Forslaget ble vedtatt av Stortinget, og foretaksmodellen ble gjort gjeldende med virkning fra og med inntektsåret 2006.
Evaluering av skattereformen 2006 ble gjennomført i 2011, jf. Meld. St. 11 (2010–2011). I stortingsmeldingen ble det vist til at foretaksmodellen har fungert godt i lys av reformens mål om økt skattemessig likebehandling. Det ble lagt opp til å videreføre foretaksmodellen uten større endringer.
I stortingsmeldingen vurderte departementet nærmere en avsetningsordning for enkeltpersonforetak, basert på liknende prinsipper som den avsetningsordningen Uttaksutvalget drøftet. Forslag om en slik avsetningsordning var blant annet fremmet som Dokument 8-forslag i Stortinget. Departementet konkluderte med at en slik avsetningsordning ikke burde gjennomføres. Det vises til kapittel 8 i meldingen. I Innst. 365 S (2010–2011) sluttet finanskomiteens flertall seg til departementets vurderinger.
Meld. St. 4 (2015–2016) la grunnlaget for den reduksjonen i selskapsskattesats som er gjennomført de senere årene, frem til dagens nivå på 22 pst. I meldingen er det vist til at reduksjonen i skattesats på alminnelig inntekt også ville få virkning for eiere av enkeltpersonforetak, og at det samme vil gjelde innføringen av ny bruttoskatt (overgangen fra toppskatt til trinnskatt).
I den samme stortingsmeldingen vurderte departementet behovet for å endre foretaksmodellen slik at skattyter med større sikkerhet får godtgjort den skattemessige verdien av skjermingsfradraget. Det ble vist til to forhold som kan ha betydning i denne sammenhengen. Det ene er spørsmålet om renteberegning for ubenyttet skjermingsfradrag, det andre er bortfall av negativ beregnet personinntekt ved opphør av virksomheten.
Etter en samlet vurdering konkluderte departementet med at det ikke var behov for endringer, se nærmere omtale av departementets vurderinger i Meld. St. 4 (2015–2016) kapittel 7. I Innst. 273 S (2015–2016) sluttet finanskomiteen seg til departementets vurderinger.
8.4.5 Fritaksmetoden
Hovedregel
Fritaksmetoden er regulert i skatteloven § 2-38, og innebærer at aksjeselskaper og enkelte andre kvalifiserende subjekt (verdipapirfond, foreninger, stiftelser, tilsvarende utenlandske selskap mv.) i stor grad er fritatt for skatt på
utbytte fra aksjeselskaper (og utdeling fra enkelte andre kvalifiserende objekter) og gevinst ved realisasjon av andel i slike selskaper,
gevinst ved realisasjon av finansielle instrumenter som har aksjer og andeler som faller inn under fritaksmetoden som underliggende objekt og
gevinst ved realisasjon av andel i selskap med deltakerfastsetting.
Motstykket er at tap ved realisasjon av aksjer og andeler som utgangspunkt ikke er fradragsberettiget.
På samme måte som for retten til skjerming for personlige aksjonærer, er det for aksjeutbytte et vilkår at utbyttet er «lovlig utdelt», jf. skatteloven § 2-38 annet ledd bokstav a.
Unntak: treprosentregelen
I skatteloven § 2-38 sjette ledd er det oppstilt et unntak fra hovedregelen om skattefrihet. Denne bestemmelsen gir anvisning på at tre pst. av aksjeutbytte og utdeling fra selskap med deltakerfastsetting som i utgangspunktet er fritatt for skatt etter fritaksmetoden, likevel skal inntektsføres (treprosentregelen). Regelen innebærer at aksjeutbytte som aksjeselskaper mv. mottar, som hovedregel skattlegges med en sats på 0,66 pst. i 2022 (22 pst. skatt av tre pst. av utbyttet).
Treprosentregelen har sammenheng med fradragsreglene. Etter hovedregelen i skatteloven § 6-1 skal det gis fradrag for kostnad som er pådratt for å erverve, vedlikeholde eller sikre skattepliktig inntekt. I skatteloven § 6-24 er det imidlertid gitt en særregel som utvider fradragsretten til også å gjelde kostnader som pådras for å erverve inntekt som er skattefri etter fritaksmetoden. Regelen i skatteloven § 6-24 er begrunnet med at det ellers vil oppstå vanskelige grensedragninger mellom kostnader med og uten tilknytning til skattepliktige inntekter (eksempelvis kostnader til administrasjon og strategi).4 Formålet med inntektsføring etter treprosentregelen er å sørge for en sjablongmessig reversering av kostnader som kan fradragsføres etter særregelen i skatteloven § 6-24.
Treprosentregelen gjelder ikke for utbytte fra selskap i samme skattekonsern (mer enn 90 pst. eier- og stemmeandel), jf. skatteloven § 2-38 sjette ledd bokstav c. Det skyldes at det innad i et skattekonsern kan ytes konsernbidrag istedenfor utbytteutdeling, og slike bidrag er ikke omfattet av treprosentregelen.
Unntak: internasjonale forhold
For internasjonale forhold gjelder det flere unntak fra fritaksmetoden.
For det første gjelder fritaksmetoden ikke hvor det utdelende selskapet er hjemmehørende i et såkalt lavskatteland utenfor EØS, jf. skatteloven § 2-38 tredje ledd bokstav a. Lavskatteland er definert som land hvor den effektive alminnelige inntektsskatt på selskapets samlede overskudd utgjør mindre enn to tredjedeler av hva den ville ha vært om selskapet hadde vært skattepliktig til Norge, jf. skatteloven § 10-63.
For det andre gjelder det unntak fra fritaksmetoden hvor det utdelende selskapet er hjemmehørende i et lavskatteland innenfor EØS, dersom selskapet «ikke er reelt etablert og driver reell økonomisk aktivitet i et EØS-land», jf. skatteloven § 2-38 tredje ledd bokstav a.
For det tredje gjelder fritaksmetoden ikke hvor det utdelende selskapet er hjemmehørende i land utenfor EØS som ikke er lavskatteland, dersom skattyteren (eller nærstående i tapstilfeller) ikke sammenhengende de to siste årene har eid minst 10 pst. av aksjene og hatt minst 10 pst. av stemmene som kan avgis på generalforsamlingen i selskapet, jf. skatteloven § 2-38 tredje ledd bokstav b (gevinst), bokstav c (tap) og bokstav d (utbytte).
For det fjerde gjelder fritaksmetoden ikke for utbytte i den utstrekning det utdelende selskapet gis fradrag for utdelingen, jf. skatteloven § 2-38 tredje ledd bokstav h.5
For det femte gjelder det et unntak fra fritaksmetoden for selskap hjemmehørende i utlandet som mottar utbytte fra selskap hjemmehørende i Norge. For at det utenlandske selskapet skal være fritatt for kildeskatt etter skatteloven § 10-13, kreves det at selskapet er «reelt etablert og driver reell økonomisk aktivitet i et EØS-land», jf. skatteloven § 2-38 femte ledd.
Boks 8.6 Bakgrunn for fritaksmetoden
Fritaksmetoden ble innført som ledd i skattereformen 2006. Forslaget til fritaksmetode ble fremmet i Ot.prp. nr. 1 (2004–2005), og Stortinget vedtok modellen iverksatt med virkning fra og med 1. januar 2004 for utbytte og 26. mars 2004 (dagen for fremleggelse av skattemeldingen) for gevinst og tap.
I forarbeidene til fritaksmetoden er det pekt på at selskapsbeskatningen bør utformes slik at ressursene kanaliseres dit de kaster mest av seg, og at beskatningen ikke skal medføre innlåsing av kapital eller påvirke organisasjonsstrukturene, jf. St.meld. nr. 29 (2003–2004) punkt 10.1. I skattemeldingen er det videre fremholdt at dette blant annet betyr at en bør unngå at aksjeinntekter blir skattlagt flere ganger i en eierkjede av selskaper (kjedebeskatning). I samsvar med vurderingene som ble gjort i skattemeldingen, ble det i Ot.prp. nr. 1 (2004–2005) punkt 6.1 lagt til grunn at innføring av fritaksmetoden ville forhindre kjedebeskatning og bedre kapitalmobiliteten i næringslivet. Videre ble det pekt på at fritaksmetoden ville medføre administrative besparelser for likningsmyndighetene og reduserte etterlevelseskostnader for selskapene. Det ble også fremhevet at det med fritaksmetoden ville bli stor grad av skattemessig likebehandling av investeringer i Norge og utlandet, og at usikkerheten som det dagjeldende systemet representerte med hensyn til EØS-avtalen, ville bli fjernet.
I Finansdepartementets evaluering av skattereformen 2006 ble det lagt til grunn at fritaksmetoden stort sett virket i tråd med forutsetningene og at målet om forenkling ble oppnådd, jf. Meld. St. 11 (2010–2011) kapittel 9.
I NOU 2014: 13 punkt 6.2 vurderte Scheel-utvalget fritaksmetoden og foreslo å innføre en regel som avskjærer fritaksmetoden for utbytter der det utdelende selskapet har fått fradrag for utdelingen. Forslaget er fulgt opp og implementert, jf. skatteloven § 2-38 tredje ledd bokstav h. Scheel-utvalget foreslo også at fritaksmetoden burde utvides til å gjelde porteføljeinvesteringer i normalskatteland, ved å oppheve kravet til eierandel og eiertid for slike aksjeinvesteringer. Forslaget, som ikke har blitt fulgt opp, ble begrunnet med forenklingshensyn og hensynet til å unngå kjedebeskatning.
8.5 Aksjonærmodellen
8.5.1 Innledning
Som det fremgår over, er utbytter og gevinster skattepliktige for personlige aksjonærer. Skattleggingen skjer etter aksjonærmodellen, som ble innført som ledd i skattereformen 2006. Aksjonærmodellen innebærer at skattyter gis rett til fradrag for skjerming. Skjerming vil si at aksjeinntekt som tilsvarer en normalavkastning (risikofri avkastning), skal skjermes fra dobbeltbeskatning ved hjelp av et skjermingsfradrag i utdelt utbytte og eventuelt i gevinst ved salg av aksjen.
Hovedbegrunnelsen for skjermingsfradraget er å motvirke at eierskatten øker avkastningskravet til å investere i aksjer. Uten skjerming ville man risikert at eierskatten øker bedriftenes kostnader ved egenkapitalfinansierte investeringer, samt at husholdningenes sparesammensetning kunne blitt påvirket. Skjermingsmetoden påvirker også forholdet mellom kapitalkostnaden for innskutt og opptjent egenkapital, ved at bare den innskutte egenkapitalen gir grunnlag for skjermingsfradrag. Dermed påvirker skjermingsmetoden også valget mellom å utdele/realisere aksjeinntekt og dermed betale skatt, eller å utsette skatten.
Det har fra flere hold blitt anført at skjermingsmetoden er komplisert og dessuten utgjør en så liten del av avkastningen på aksjer at den i mange tilfeller ikke er relevant. I tillegg er skjermingsmetoden avhengig av korrekte skjermingsgrunnlag, noe som i mange tilfeller har vært utfordrende å få på plass. I det følgende gis det en nærmere beskrivelse og drøftelse av skjermingsfradragets rolle i eierbeskatningen.
Det overordnede spørsmålet er om dagens skjermingsmetode bør videreføres. Sentrale problemstillinger som drøftes i den forbindelse, er hvordan aksjonærmodellen antas å påvirke aksjeselskapers kapitalkostnader, hvilken betydning det har at ubenyttet skjermingsfradrag ved realisasjon går tapt (asymmetri), hva som er riktig nivå på skjermingsrenten og om skjermingsmetodens egenskaper og virkninger står i forhold til kompleksiteten og de administrative kostnadene som skjermingen medfører. Disse spørsmålene drøftes i punktene 8.5.2–8.5.5. Som redegjort for i punkt 8.4, bygger også deltaker- og foretaksmodellen på skjermingsmetoden. Drøftelsen vil derfor i stor grad gjelde tilsvarende for utdelinger fra selskaper med deltakerfastsetting til personlige deltakere og ved skattlegging av enkeltpersonforetak.
I punkt 8.5.6 drøftes det om muligheten til å skyve den personlige eierbeskatningen ut i tid, innebærer en urimelig fordel for personlige aksjonærer. Når verdien av aksjer overstiger summen av det som aksjonæren har betalt for aksjene og skjermingsfradraget, oppstår det som ofte omtales som en «latent eierskatt» frem til aksjeinntekten utdeles som utbytte eller realiseres som gevinst. Slik latent eierskatt kan oppstå som følge av et bevisst valg om å utsette eierskatt. Latent eierskatt kan også oppstå som følge av at aksjonæren helt uavhengig av skattemessige forhold ikke ønsker å realisere aksjeinntekten, se nærmere om begrepet «latent eierskatt» i punkt 8.5.6 under.
8.5.2 Skjermingsfradrag og kapitalkostnader
Den tradisjonelle formen for beskatning av aksjeinntekt for personer innebærer full dobbeltbeskatning. I et slikt system skattlegges inntekten først i selskapet, og deretter når den deles ut til personlig aksjonær som utbytte eller realiseres gjennom salg av aksjer. Dobbeltbeskatningen kan føre til at investorene krever en høyere avkastning før skatt. Dette kan igjen øke bedriftenes kostnader knyttet til investeringer som finansieres med nyemittert kapital, og dermed føre til reduserte investeringer. Høyere skatt på aksjeavkastning sammenlignet med avkastning på andre investeringsobjekter kan også påvirke sammensetningen av husholdningenes sparing. En tradisjonell form for beskatning av aksjeinntekt kan videre føre til at en del av eierskapet til innenlandske selskaper fortrenges av utenlandske eiere, da eierskatten gjør aksjeinvesteringer mindre fordelaktig for innenlandske skattytere.
I forskningslitteraturen er det sprikende resultater om hvor store skadevirkningene fra en tradisjonell kapitalinntektsskatt for personer er, både teoretisk og empirisk. Dette skyldes at resultatene er svært sensitive for hvilke forutsetninger man legger til grunn for analysen, blant annet graden av effektivitet i finansmarkedene og åpenhet i økonomien.
Et skjermingsfradrag basert på risikofri rente innebærer at skattegrunnlaget i eierbeskatningen bare utgjør risikopremie og eventuell grunnrente. Den delen av aksjeinntekten som består av renprofitt, kan beskattes hardt på aksjonærens hånd uten at det fører til at aksjonæren vil investere mindre i aksjen eller at selskapet får mindre tilgang til kapital.
Beskatning av den delen av avkastningen som består av risikopremie, kan intuitivt antas å føre til mindre investeringer i risikofylte aktiva, som aksjer. Veletablert økonomisk teori tilsier imidlertid at effekten er motsatt, under nærmere angitte forutsetninger. En aksjeinvestor som i fravær av skatt velger å investere med en gitt forventet avkastning og risiko, vil ved innføring av en skatt på aksjenes risikopremie, få redusert forventet avkastning fordi staten tar en andel av risikopremien. Investoren vil samtidig få redusert risikoen, siden skatten reduserer både potensielle gevinster og tap. Dersom investoren øker aksjeinvesteringen, vil både forventet avkastning og risiko øke, noe som vil motvirke effekten av skatten, slik at både forventet avkastning og risiko blir lik som den var i utgangspunktet, før skatten ble innført.
Dette forutsetter at investoren er i stand til å tilpasse porteføljen, herunder at investoren kan låne penger dersom ønsket eksponering mot aksjer krever kreditt. Videre forutsettes det at skatten på risikopremien er fullt ut symmetrisk, slik at skatteverdien av tap er like høy som skatteverdien av en tilsvarende gevinst.
En formelbasert fremstilling av hvordan skatt på risikopremie kan føre til mer investeringer i risikofylte aktiva, kan for eksempel finnes i Sandmo (1985), som i sin verbale fremstilling oppsummerer poenget som at «risikosubsidieringen» gjennom beskatningen oppveier skatten på risikopremien. Sandmo (ibid.) tilskriver dette klassiske resonnementet Domar og Musgrave (1944), Mossin (1968) og Stiglitz (1969). I Vedlegg 1 vises det med et eksempel hvordan en investor kan tilpasse aksjeporteføljen for å motvirke effekten av skatt på risikopremie. Boks 8.7 viser et mer lettfattelig eksempel.
Boks 8.7 Skatt på risikopremie – Lotto-eksempelet
Virkningen av skatt på risikopremie kan illustreres ved å vise effekten av skatt på pengespillgevinster, for eksempel Lotto. Lotto-gevinster vil være en renskåren risikopremie, hvor en kan se bort fra normalavkastningen ved «investeringen», siden tidsfaktoren er ubetydelig, og der det utvilsomt ikke vil innkasseres noen grunnrente.
Det tas utgangspunkt i en person som foretrekker å kjøpe Lotto-kuponger for 100 kroner når Lotto-gevinster er fritatt fra skatt, som det er i Norge i dag. Hvis spilleren ikke vinner, går den 100 kroner i minus. Hvis spilleren vinner 1 000 kroner eller 1 mill. kroner, vil den sitte igjen med 900 kroner eller 999 900 kroner.
Hvis staten innfører 30 pst. skatt på Lotto-gevinster og tilsvarende fradrag for tap (kjøp av Lotto-kuponger), kan spilleren øke kjøp av Lotto-kuponger med 43 pst., til 143 kroner, etter formelen 100 / (1-skattesatsen). Da vil spilleren få et skattefradrag til verdi av 43 kroner, som kan anses som at staten har vært med å spleise på 30 pst. av innsatsen. Forventet gevinst vil øke med 43 pst. sammenlignet med om spilleren spilte for 100 kroner. Hvis spilleren vinner 1 430 kroner, sitter den igjen med 900 kroner etter skatt, og hvis spilleren vinner 1,43 mill. kroner, sitter den igjen med 999 900 kroner etter skatt. Spillerens resultat blir dermed likt som hvis det ikke var innført noen skatt på Lotto-gevinster og spilleren bare kjøpte kuponger for 100 kroner, ved alle utfall av Lotto-spillet.
Resultatet av å beskatte Lotto-kupongens risikopremie kan altså bli mer kjøp av Lotto-kuponger. Det har ikke vært nødvendig å øke vinnersjansene for å gjøre det like attraktivt for spilleren å spille Lotto etter at skatten ble innført. Med andre ord påvirket ikke skatten spillerens avkastningskrav.
I lys av at skatt på risikopremie kan føre til mer investeringer i risikofylte aktiva, er det en relevant problemstilling hvorvidt eierskatten i aksjonærmodellen fører til for mye investeringer i risikable aksjer. Dersom investorer responderer på eierskatten ved å kjøpe mer risikable aktiva, vil den ekstra risikoen i porteføljen som følge av eierskatten, bæres av staten. En kan argumentere for at dette verken vil være noen ulempe eller fordel, ettersom den norske stat er godt diversifisert og har god mulighet til å justere risikoeksponeringen gjennom Statens pensjonsfond utland. For øvrig argumenterer Sørensen (2014) for at en eierskatt med skjermingsfradrag vil føre til bedre risikoallokering i økonomien.
Dersom skjermingsfradraget fører til at den personlige eierbeskatningen ikke øker investors avkastningskrav for aksjer, vil skjermingsfradraget motvirke at selskapsskatten favoriserer gjeldsfinansiering. Scheel-utvalget drøftet i hvilken grad skjermingsfradraget motvirker favorisering av gjeldsfinansiering, se NOU 2014: 13 punkt 4.4.2–4.2.3. Utvalget konkluderte med at skjermingsfradraget, ved å skape en favorisering av egenkapitalfinansiering på personlig hånd, delvis vil utligne favoriseringen av gjeld på selskapets hånd, særlig for investeringer som av ulike grunner må finansieres med norsk egenkapital.
De nøytralitetsfremmende egenskapene til skjermingsfradraget har først og fremst betydning for investeringer i selskaper som er frikoblet det internasjonale kapitalmarkedet, og som er avhengige av finansiering fra norske aksjonærer. Skjermingsfradraget har liten betydning for investeringer og finansieringsstruktur for selskaper som er fullt integrerte i det internasjonale kapitalmarkedet, der norske personskatteregler ikke har betydning for markedets avkastningskrav. I disse tilfellene vil skjermingsfradraget og skattereglene for norske, personlige aksjonærer for øvrig, ikke ha betydning for selskapers investeringer og finansieringsstruktur. Det har vært faglig uenighet om den norske beskatningen av personlige aksjonærer har tilstrekkelig betydning for selskapers investeringer og finansieringsstruktur til at det forsvarer å ha et skjermingsfradrag.
Lindhe og Södersten (2012) mener det er mest rimelig å legge til grunn at avkastningskrav bestemmes i det internasjonale kapitalmarkedet, og at skjermingsfradraget dermed ikke har særlig betydning for norske selskapers kapitalkostnader. Disse forfatterne mener at dersom deler av næringslivet har dårlig tilgang på egenkapitalfinansiering fra det internasjonale kapitalmarkedet, så er det samvariasjonen mellom avkastningen til disse selskapene og avkastningen på «internasjonalt integrerte» selskaper som avgjør om skjermingsfradraget har betydning, og de mener at den faktiske samvariasjonen taler for at skjermingsfradragets betydning er lav.
Sørensen (2014) mener på sin side at ved å benytte fremgangsmetoden til Lindhe og Södersten med mer rimelige antakelser, så vil skjermingsfradraget redusere avkastningskravet for selskaper som er avhengig av finansiering fra norske investorer. Denne diskusjonen er også nærmere forklart i Sørensen (2022a). I denne oppdaterte analysen konkluderer Sørensen med at skjermingsfradraget, under realistiske forutsetninger, reduserer avkastningskravet til selskaper som er avhengige av egenkapital fra norske investorer, særlig dersom investorene ikke er veldiversifiserte. Sørensen (ibid.) viser at avkastningskravet for små, norske selskaper som er avhengige av finansiering fra norske aksjonærer, med realistiske antakelser og forutsetninger, kan reduseres med 0,5 prosentenheter som følge av skjermingsfradraget. Videre vises det at betydningen av skjermingsfradraget vil være størst for selskaper med udiversifiserte investorer, der skjermingsfradraget reduserer avkastningskravet med om lag én prosentenhet. Oppstartsselskaper kan være eksempler på selskaper som ofte vil ha finansiering fra udiversifiserte aksjonærer, eller fra investorer med lokal tilknytning som arbeider i eget selskap og som i liten grad er engasjert i andre virksomheter.
Analysen til Sørensen (ibid.), samt fremstillingen i Vedlegg 1, tar utgangspunkt i at aksjonæren setter sammen en portefølje av aksjer og risikofrie aktiva, og at skjermingsrenten er satt til risikofri rente etter skatt. Når skatten på aksjeinntekt reduserer både forventet avkastning og risiko for aksjonæren, vil aksjonæren kunne respondere på dette ved å øke aksjeandelen, som igjen gir økt forventet avkastning og risiko i porteføljen. Samtidig går beholdningen av risikofrie aktiva ned. Kjøp av aksjer finansieres dermed med de risikofrie aktiva, og en kan si at aksjonærens marginale alternativkostnad ved aksjekjøpet er risikofri rente etter skatt.
Som vist til i Sørensen (ibid.) og Sørensen (2022b), kan det argumenteres for at risikofrie aktiva har en verdi for investor utover den risikofrie renten, ved at slike aktiva er likvide. Å øke aksjeandelen i porteføljen for å motvirke reduksjonen i forventet avkastning og risiko fra eierskatten, vil i så fall medføre en ytterligere kostnad i form av tapt «likviditetsfordel». I så fall kan det argumenteres for at det må innføres en kompensasjon i eierskatten, for eksempel i form av en skjermingsrente som er høyere enn risikofri rente etter skatt, for at eierskatten skal virke nøytralt på investors avkastningskrav. Størrelsen på «likviditetsfordelen» vil kunne variere fra investor til investor. For eksempel er det rimelig å anta at en risikoavers investor, som forutsetningsvis har en høy andel av sin portefølje i risikofrie aktiva, vil ha en marginal «likviditetsfordel» fra sine risikofrie aktiva tett på null.
Investorer som på marginen lånefinansierer aksjeinvesteringer, vil ikke kunne nøytralisere virkningene av eierskatten ved å øke aksjeinvesteringene og dermed oppnå samme forventet avkastning og risiko, dersom skjermingsrenten er lik risikofri rente etter skatt og lånerenten er høyere enn dette. Denne tilpasningen vil da komme med en tilleggskostnad i form av økte rentekostnader, det vil si at investors marginale alternativkostnad er lånerenten. For at eierskatten skal virke nøytralt på investors avkastningskrav, tilsier også dette at det bør gis en kompensasjon, for eksempel i form av et skjermingsfradrag som overstiger risikofri rente etter skatt.6 Den marginale lånerenten for investorer med gjeldsfinansierte aksjer vil variere fra investor til investor.
Ettersom både «likviditetsfordelen» ved å ha risikofrie aktiva i porteføljen og lånerenten vil være størrelser som varierer mellom investorer, vil ikke en felles skjermingsrente virke nøytralt på alle investorers avkastningskrav samtidig. For en investor med høy marginal finansieringskostnad for aksjer, vil en eierskatt og skjerming av risikofri avkastning kunne øke avkastningskravet. På den andre siden vil en investor som på marginen finansierer aksjekjøp med egne, risikofrie aktiva, få redusert sitt avkastningskrav dersom skjermingsrenten gis et vesentlig påslag utover risikofri rente. Denne investoren vil i så fall kunne oppnå høyere forventet avkastning etter skatt enn før skatt, med samme risiko før og etter skatt. For en slik investor vil i så fall den høye skjermingsrenten virke som en subsidie av aksjeinvesteringen.
Poengene ovenfor kan tale for at den skjermingsrenten som samlet sett virker mest nøytralt på investorers avkastningskrav, vil ligge et sted mellom risikofri rente etter skatt og lånerente i kredittmarkedet. Dette står i noe motstrid til vurderingene i forarbeidene til aksjonærmodellen. Skauge-utvalget la til grunn at skjerming med full fradragsrett for ubenyttet skjermingsfradrag virker nøytralt dersom skjermingsrenten er lik risikofri rente etter skatt, se NOU 2003: 9 punkt 10.3.4. Når utvalget likevel foreslo et beskjedent risikoelement i skjermingsrenten, ble det begrunnet med manglende sikkerhet i å få utnyttet skjermingsfradraget. De samme vurderingene hadde Finansdepartementet, se St. Meld. 29 (2003–2004) punkt 8.5.3. Her viste departementet til at skjermingsfradraget må være lik risikofri rente for å oppnå at staten gjennom eierskatten påtar seg deler av investeringens risiko og mottar en tilsvarende andel av risikopremien.
Det har også blitt vist til at en skjermingsrente som settes høyere enn risikofri rente, kan gi insentiv til å tilpasse seg systemet. Dersom investor plasserer aktiva med sikker avkastning i et selskap, og skjermingsrenten er høyere enn risikofri rente etter skatt, vil skjermingsrenten overstige avkastningen på det sikre aktivumet. Investoren får dermed et overskudd av skjermingsfradrag som kan brukes for å skjerme annen inntekt i selskapet fra eierbeskatning, for eksempel aksjeinntekter eller inntekter fra næring. For investorer med svært høy andel av sine investeringer i risikofrie aktiva, vil all aksjeinntekt kunne bli skjermet fra eierbeskatning, bare andelen risikofrie aktiva er høy nok.
8.5.3 Betydningen av asymmetri
Ubenyttet skjermingsfradrag ved realisasjon går tapt, uten mulighet til å samordne det med annen inntekt, jf. redegjørelsen i punkt 8.4.2 foran. Denne asymmetrien svekker nøytralitetsegenskapene ved aksjonærmodellen, ved at forventet verdi av skjermingsfradraget er lavere for risikable investeringer.
Begrunnelsen for ikke å tillate samordning av skjermingsfradrag med andre inntekter enn inntekter fra den samme aksjen, er at slik samordningsmulighet ville lagt til rette for skattemessige tilpasninger. I forarbeidene er det blant annet pekt på at en utenlandsk aksjonær eller en norsk selskapsaksjonær uten denne regelen kunne «lånt» ut sine aksjer til en norsk personlig aksjonær over årsskiftet (ved bruk av gjenkjøpsavtale mv.), slik at den norske personlige aksjonæren fikk tilordnet årets skjermingsfradrag for aksjen til seg, se nærmere om dette i St.meld. nr. 29 (2003–2004) punkt 8.5.4.
Asymmetrien gjør at det kan være hensiktsmessig å samle aksjeinvesteringer i et holdingselskap fremfor å eie enkeltaksjer på privat hånd. Det skyldes at skjerming i slike tilfeller beregnes på aksjonærens innskudd i holdingselskapet, slik at det implisitt gis en samordningsadgang mellom aksjene som eies av holdingselskapet. Muligheten til å samordne ved å investere via et holdingselskap opphever langt på vei de uheldige sidene ved asymmetrien, samtidig som det ikke gir aksjonærene noen fordel ut over det reglene tar sikte på. Scheel-utvalget mente at manglende samordning av skjermingsfradrag trolig vil ha begrenset betydning for profesjonelle investorer på grunn av muligheten til samordning ved å investere i holdingselskap, se NOU 2014: 13 punkt 5.2.1. Også reglene om aksjesparekonto innebærer en samordning ved uttak og opphør av kontoen, jf. skatteloven § 10-21.
Når skjermingsfradraget ikke er fullt ut symmetrisk, reduseres nåverdien av skjermingsfradraget. Dette kan kompenseres gjennom et påslag i skjermingsrenten. En hake ved et slikt tiltak er at asymmetrien likefullt vil bestå, og et påslag vil dessuten øke verdien av skjermingsfradraget mest for de som i størst grad forventer å få utnyttet skjermingsfradraget, og mindre for de med usikre investeringer som rammes av asymmetrien.
8.5.4 Skjermingsfradragets betydning for effektiv beskatning
Rentenivået har de senere år vært historisk lavt. Dermed har også skjermingsrenten vært lav, og skjermingsfradraget har fått mindre betydning for den effektive beskatningen av samlet aksjeavkastning. Høsten 2022 synes det tydelig at rentenivået er på vei opp. Skjermingsfradraget må derfor ventes å få vesentlig større betydning fremover. Norges Bank forventer i Pengepolitisk rapport 3/22 at styringsrenten, som er styrende for den risikofrie markedsrenten, vil nå opp til om lag 3,5 pst. i løpet av 2023, hvorpå den vil nærme seg 3 pst. frem mot 2025, se Norges Bank (2022).
Med en risikofri rente før skatt på 3 pst. og dagens eierskattesats på 35,2 pst., vil aksjonærmodellen innebære en effektiv skattesats på aksjeutbytter og realiserte aksjegevinster på 23,3 pst. for aksjer med en risikopremie før skatt på 5 pst., som tilsvarer den historiske risikopremien i det norske aksjemarkedet.7 Med den forventede renteutviklingen vil en avskaffelse av skjermingsfradraget altså medføre en økning i den effektive eierskattesatsen på nesten 12 prosentenheter, opp til nivået på den formelle eierskattesatsen på 35,2 pst. (35,2 pst. – 23,3 pst. = 11,9 pst.). Dersom man ønsker å unngå at den gjennomsnittlige effektive skattesatsen på eierinntekter øker, må eierskattesatsen altså reduseres fra 35,2 pst. til 23,3 pst. dersom skjermingsfradraget fjernes. Den samlede marginalbeskatningen av inntekt fra selskapssektoren – summen av selskapsskatten og eierskatten – blir i så fall 40,2 pst., mot 49,5 pst. i 2022. Dette vil være vesentlig lavere enn høyeste marginalskatt på arbeidsinntekt, som i 2022 er 53,9 pst. (inkludert arbeidsgiveravgift). En forskjell i marginalskatt på nesten 14 prosentenheter vil gi et sterkt insentiv til inntektsskifting fra lønn til aksjeinntekt, se nærmere om inntektsskifting i punktene 8.8 og 9.7.
8.5.5 Ulemper ved skjermingsmetoden
Et ankepunkt mot skjermingsmetoden helt siden den ble innført, har vært at reglene er kompliserte, og at kompleksiteten fører til økte administrative kostnader og utfordringer.
Skjermingsmetoden forutsetter at det foreligger en velfungerende registerløsning og et datagrunnlag av god kvalitet. Ved innføringen av skjermingsmetoden var det nødvendig å innhente historiske data. Dette var et omfattende arbeid, som blant annet utløste et stort behov for rapportering fra aksjonærer og selskaper. Fra Skatteetatens side var det nødvendig med videreutvikling av aksjonærregisteret samt omfattende veilednings- og kontrollarbeid.
Ved evalueringen av skattereformen 2006 fremkom det at det oppstod en høy andel feil ved registreringen i aksjonærrregisteret, som har påført både aksjonærer og Skatteetaten merarbeid, jf. Meld. St. 11 (2010–2011) punkt 5.3. Feilene skyldtes blant annet at det oppstod misforståelser og mangler i innrapporterte opplysninger fra skattepliktige. Skattedirektoratet har i innspill til utvalgets sekretariat uttalt at det er grunnlag for å anta at feilene blant annet oppstod fordi reglene om skjerming ble oppfattet som kompliserte. Direktoratet har videre pekt på at det har vist seg å være svært krevende å finne korrekte historiske inngangsverdier, og at Skatteetaten fremdeles har en pågående og ressurskrevende jobb for å oppnå og opprettholde en god kvalitet på inngangsverdiene.
Forutsatt at de historiske inngangsverdiene er korrekt registrert i aksjonærregisteret, beregnes riktig skjermingsfradrag maskinelt for personlige aksjonærer som har aksjer i norske aksjeselskaper eller utenlandske aksjeselskaper som er registrert på Oslo Børs. Denne aksjonærgruppen får dermed skjermingsfradraget automatisk angitt på skattemeldingen. For de som har investert i verdipapirfond, fondskonti, aksjesparekonto mv., blir de nødvendige opplysningene for å beregne skjermingsfradrag rapportert til Skatteetaten av tredjepart (finansnæringen). Også for denne gruppen blir skjermingsfradraget derfor automatisk angitt i den forhåndsutfylte skattemeldingen.
De som eier aksjer i utenlandske selskaper som ikke er registrert på Oslo Børs, utenlandske aksjefond, andeler i selskap med deltakerfastsetting, samvirkeforetak eller skal beregne personinntekt i enkeltpersonforetak, får på den annen side ikke automatisert hjelp til å beregne riktige skjermingsfradrag. Ifølge Skattedirektoratet medfører dette at mange personer avstår fra å kreve skjermingsfradrag. Videre opplyser direktoratet at mange av de som prøver å foreta korrekte beregninger, feiler.
For mange småsparere utgjør skjerming dessuten små beløp. I Meld. St. 11 (2010–2011) punkt 6.4.4 er det vist til tall fra Statistisk sentralbyrå, som viste at skatteverdien av årlig beregnet skjerming på det tidspunktet var under 1 000 kroner for om lag 60–70 pst. av aksjonærene. Det legges til grunn at disse opplysningene fremdeles er illustrerende, selv om tallene er fremskaffet for en del år tilbake. For den gruppen som ikke får automatisert hjelp til å beregne riktige skjermingsfradrag, vil det for mange være nødvendig å betale en rådgiver for hjelp til dette. I slike tilfeller vil kostnaden med å kreve skjermingsfradrag kunne bli større enn skattebesparelsen.
Finansdepartementets evaluering av skattereformen i 2006 ga ikke grunnlag for noen stor bekymring for de administrative kostnadene ved å drifte aksjonærmodellen, se punkt 5.3 i Meld. St. 11 (2010–2011). I evalueringen ble det lagt til grunn at kostnadene først og fremst var knyttet til opprettelsen av aksjonærregisteret. Departementet fremholdt at aksjonærregisteret har stor nytteverdi også utover beregning av skjerming, og pekte særlig på at opplysningene om inngangsverdier på aksjer gjør det mulig å utarbeide forhåndsutfylte realisasjonsoppgaver. Departementet la til grunn at dette innebærer en forenkling for de skattepliktige, og at sannsynligheten for feil reduseres når inngangsverdien registreres i aksjonærregisteret i ervervsåret, sammenlignet med et system der inngangsverdien først oppgis ved realisasjon av aksjen. Det ble samtidig pekt på at aksjonærmodellen er en større belastning for aksjonærer med aksjer som ikke er registrert i aksjonærregisteret.
I den grad den personlige eierbeskatningen fungerer som en «sikkerhetsventil» for at inntekter opptjent i selskap faktisk kommer til beskatning, kan det hevdes at skjermingsfradraget gjør skattereglene mindre robuste. Ikke alle inntekter som ligger til grunn for utbytteutdeling eller gevinster, er effektivt skattlagt i selskapssektoren. Dette kan for eksempel dreie seg om forventningsbaserte gevinster som er skattefrie etter fritaksmetoden, selskapsinntekt fra skatteplanleggingstransaksjoner i utlandet som ville ha blitt rammet av omgåelsesregler i Norge, selskapsinntekter fra skatteunndragelse eller selskapsinntekt i utlandet som er lavt skattlagt, eller for den saks skyld skattefri selskapsinntekt fra den norske rederiskatteordningen.
8.5.6 Beskatning av latent aksjeinntekt
Bakgrunn
Som det fremgår i punkt 8.5.1 over, omtales muligheten til å skyve den personlige eierbeskatningen ut i tid ofte som en «latent eierskatt». Latent aksjeinntekt og tilhørende latent eierskatt oppstår ved at aksjer eid av personlige aksjonærer stiger til en verdi som er høyere enn aksjens inngangsverdi og ubenyttet skjermingsfradrag. Etter gjeldende regler foreligger det ingen skatteplikt eller eierskatt før selskapet beslutter å utdele utbytte eller aksjonæren selger aksjen. Det er altså disse begivenhetene som utløser skatteplikt, og det er opp til selskapet og/eller aksjonæren å bestemme når disse begivenhetene skal inntre. Med latent eierskatt menes den potensielle skatten som ville ha oppstått dersom aksjeinntekten hadde blitt utdelt fra selskapet til personlig aksjonær som utbytte eller blitt realisert som gevinst ved den personlige aksjonærens salg av aksjene.
Latent eierskatt kan oppstå helt uavhengig av skattemessige motiver, ved at selskapet ikke deler ut utbytte og ved at aksjonæren ikke ønsker å realisere aksjene. Aksjonærer kan også ta mer aktive grep for å utsette eierskatten.
I de senere år har det vært en pågående politisk og faglig debatt om aksjonærbeskatningen i Norge. Startskuddet kan sies å ha vært en artikkelserie i Dagens Næringsliv (2019). Senere har to rapporter fra Aaberge mfl. (2020) og (2021) og artikler fra Bjerksund og Schjelderup (2021a, 2021b og 2022) vært toneangivende. Ordskiftet i kjølvannet av disse bidragene har dreid seg om mulighetene til å unngå den personlige eierbeskatningen gjennom lovlige eller ulovlige tilpasninger. En sentral problemstilling i debatten har også vært hvorvidt muligheten til å utsette den personlige eierbeskatningen er en urimelig fordel for aksjonærer som sparer gjennom private holdingselskap. Disse kan reinvestere overskudd uten å betale eierskatt, så lenge overskuddene holdes tilbake i selskapssektoren. For eksempel gir Aaberge mfl. (2020) uttrykk for at «skatt etter evne» må bety at gjennomsnittsskatten øker med inntekt, også når målet på gjennomsnittsskatten inkluderer tilbakeholdte overskudd i selskap som aksjonærer har aksjer i. Ettersom tilbakeholdte overskudd utgjør en stor andel av inntekten til de rikeste, og denne inntekten bare ilegges selskapsskatt, gir Aaberge mfl. (ibid.) uttrykk for at skatteevneprinsippet ikke er ivaretatt.
Et sentralt argument mot den tradisjonelle formen for beskatning av aksjeinntekt for personlige aksjonærer (utbytteskatt uten skjerming), har vært at den gir opphav til gunstige skattekreditter knyttet til latente aksjeinntekter, se for eksempel Bastani og Waldenström (2020) punkt 6.2. Å holde overskudd tilbake i selskapssektoren innebærer at aksjonæren har mer midler å investere for enn om aksjeinntekten ble utdelt eller realisert og beskattet. Dette utgjør en fordel sammenlignet med å investere med ny egenkapital, noe som kan føre til innlåsing av kapital i selskapssektoren, se Auerbach (1988). Fordelen kan også føre til at eierbeskatningen virker mindre omfordelende.
Skjermingsfradraget i den særegne, norske aksjonærmodellen innebærer imidlertid en fordel for nyinnskutt kapital. Den delen av aksjeinntekten som det knytter seg latent eierskatt til, inngår ikke i skjermingsgrunnlaget. Dette er en relativ ulempe ved å finansiere investeringer med tilbakeholdt overskudd. For å vurdere om det lønner seg å skyve eierskatten frem i tid, kan det tas utgangspunkt i en analyse av om fordelen med skatteutsettelsen overstiger ulempen med å investere uten skjermingsfradrag.
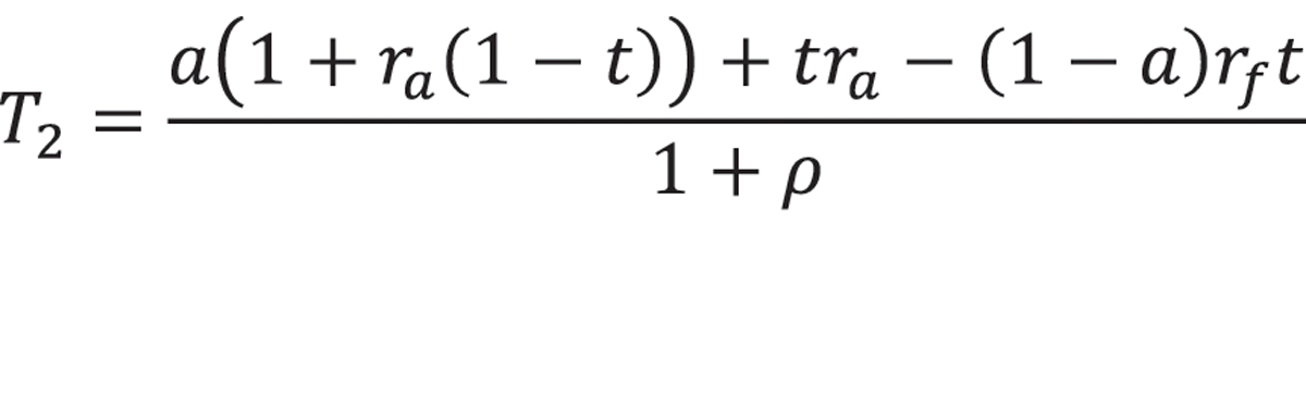
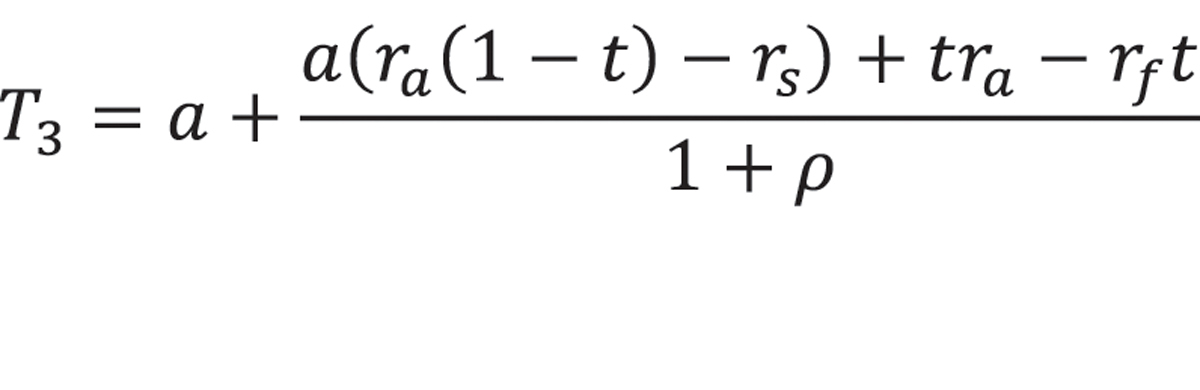
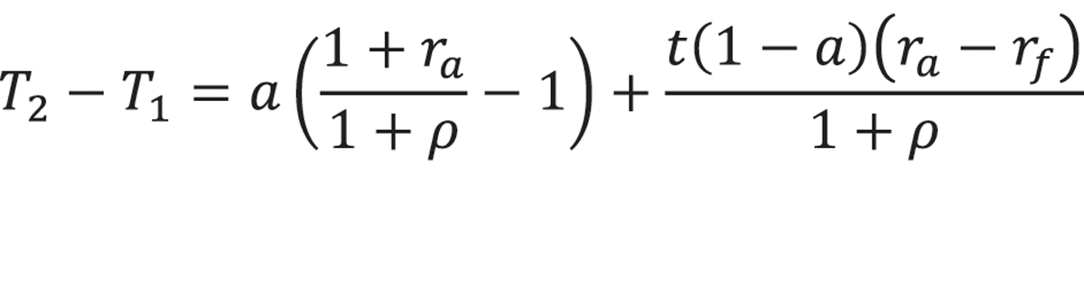
Et alternativ til å utsette eierskatten er å ta ut utbytte og betale eierskatt og istedenfor låne samme sum fra noen andre og reinvestere det lånte beløpet i aksjer. Bjerksund og Schjelderup (2021a) viser til at lånerenten normalt vil være høyere enn skjermingsrenten, og at det derfor lønner seg å utsette eierskatten. Sørensen (2022b) sin drøftelse bygger videre på fremgangsmetoden til Bjerksund og Schjelderup. Han viser at dersom lånerenten består av risikofri rente pluss et risikotillegg som bare kompenserer långiver for forventet mislighold av lånet, så vil det likevel ikke utgjøre en fordel for investor å utsette eierskatten. For at det skal utgjøre en fordel å utsette eierskatten, må investoren benytte en alternativ, ekstern finansiering av aksjeinvesteringen til en kostnad utover risikofri rente, for eksempel fordi lånerenten overstiger risikofri rente på grunn av risikoaversjon hos långivere, imperfekt konkurranse i kredittmarkedet og transaksjonskostnader.
Videre illustrerer Sørensen forventet nytte ved en investering over en tiårsperiode, der det å utsette eierskatt sammenlignes med å realisere eierinntekt og betale skatt tidlig i perioden og reinvestere med en ekstern lånefinansiering tilsvarende betalt eierskatt, gitt realistiske forutsetninger om avkastning, risiko og lånerente. Det vises her at å realisere aksjeinntekten i begynnelsen av perioden gir en sluttverdi for investeringen som er 10 pst. lavere enn dersom eierskatten utsettes til slutten av perioden for en investor som på marginen finansierer aksjekjøp med låneopptak. Uten skjermingsfradraget ville horisontverdien ved tidlig oppgjør av eierskatten vært om lag 14 pst. lavere. Fordelen ved å utsette eierskatten drives hovedsakelig av at det låneopptaket en alternativt må gjøre dersom en betaler eierskatten tidlig, kommer med en rente med et påslag utover risikofri rente. For en investor som på marginen finansierer aksjekjøp med egne, risikofrie aktiva, for eksempel kontanter, viser Sørensen at utsettelse av eierskatt har liten betydning. I illustrasjonen blir horisontverdien 0,5 pst. lavere over tiårsperioden dersom eierskatten gjøres opp ved begynnelsen av perioden. Ulempen ved å gjøre opp eierskatten tidlig sammenlignet med å utsette eierskatten, skriver seg her bare fra at investor ikke har full sikkerhet for å få utnyttet skjermingsfradraget ved tap. Beregningene kan dermed også illustrere at asymmetrien i skjermingsmetoden har nokså beskjeden betydning, gitt realistiske forutsetninger.
Formuesskatten bidrar til å gjøre det relativt mindre lønnsomt for aksjonærer å vente med å realisere latent aksjeinntekt. Latent eierskatt som følge av tilbakeholdt overskudd vil normalt inngå i grunnlaget for formuesskatten, fordi latent skatt ikke er fradragsberettiget gjeld, jf. skatteloven § 4-3 første ledd bokstav e. Aksjonærer med tilbakeholdte overskudd betaler dermed også formuesskatt for den del av investeringen som tilfaller staten ved utdeling eller realisasjon. Bjerksund og Schjelderup (2022) viser at en skjermingsrente som skal gi periodiseringsnøytralitet, må reduseres med formuesskattesatsen. Sørensen (2022b) illustrerer i punkt 2.9 betydningen formuesskatten har for beslutningen om å utsette eierskatt, gitt realistiske forutsetninger. For en aksjonær som betaler høyeste sats i formuesskatten i 2022 (1,1 pst.), og som på marginen ikke lånefinansierer aksjekjøp, vil formuesskatten gjøre det mer lønnsomt å betale eierskatt enn å utsette den.
Andre forhold enn de som er tatt høyde for i analysene nevnt ovenfor, kan også få betydning for om det anses som en fordel å utsette eierskatt:
Muligheten for å unngå eierskatt ved å emigrere vil kunne motivere aksjonærer til å utsette eierskatten. Reglene for skattlegging av latent aksjeinntekt ved personers utflytting drøftes i punkt 8.7.2.
Dersom eierbeskatningen er sårbar for unndragelse eller omgåelse som det tar noe tid å gjennomføre, vil utsettelse av eierskatten legge til rette for dette. Et eksempel på dette er ikke-rapportert privat konsum av selskapets midler, som er beskrevet i punkt 8.7.3.
Muligheten for at nivået på eierbeskatningen vil bli redusert i fremtiden, kan gi et insentiv til å utsette eierskatten. Dette vil særlig være tilfelle for investorer som antar at en eventuell økning vil bli annonsert på forhånd, slik at latent eierskatt kan gjøres opp før økningen i skattenivået trer i kraft, samt at en eventuell reduksjon i eierskatten også vil omfatte latent aksjeinntekt som er opptjent før reduksjonen trer i kraft. I så fall vil utsettelse av eierskatten gi en opsjonsverdi, der tidligere opparbeidede, latente aksjeinntekter maksimalt kan bli beskattet med dagens skattesats, med en potensiell mulighet for lavere skattesats i fremtiden. Ved innføringen av aksjonærmodellen i 2006 og senere satsøkninger i eierskatten fra og med 2016 til og med 2021 har endringer blitt gjennomført med mulighet til å utdele/realisere eierinntekten før endringene trådte i kraft.
På den andre siden kan det tenkes at fremtidige økninger i eierskatten innføres med virkning fra fremleggelsen av forslaget, slik at aksjonærer ikke har mulighet til å utdele/realisere eierinntekt før økningen trer i kraft. Støre-regjeringens forslag til statsbudsjett for 2023 illustrerer at dette ikke er utenkelig, se Prop. 1 LS (2022–2023) punkt 3.1.5. Muligheten for slik «umiddelbar» satsøkning kan trekke i motsatt retning og redusere fordelen ved å utsette eierskatt.
For investorer som ønsker en høy eksponering mot aksjer og som er kredittrasjonerte, vil det ikke være et aktuelt alternativ å realisere eierinntekt og betale skatt, og deretter gjennomføre en tilsvarende investering delvis finansiert med lån. For disse vil det dermed være en fordel å kunne utsette eierskatten.
I den grad utsettelse av eierskatt medfører at aksjonærer oppnår større aksjebeholdninger enn om eierskatten hadde blitt betalt, kan aksjonærer få større påvirkningskraft i samfunnet gjennom lobbyisme, noe som ikke er ønskelig.
På oppdrag for utvalget har Andresen (2022) sammenstilt data for å belyse virkningene av aksjonærmodellen. I analysen illustreres størrelsen på samlede latente eierinntekter for norske, personlige aksjonærer for perioden 2006–2016. Mens samlede inngangsverdier for aksjene og ubenyttet skjermingsfradrag over perioden har holdt seg om lag uendret, har aksjenes reelle verdi vokst. Dette tilsier at størrelsen på samlede, latente eierinntekter vokser, se Figur 8.3.
Figur 8.3 Latente aksjeinntekter for personlige aksjonærer. Mrd. kroner (løpende).
Figuren viser anslag for latente, skattepliktige aksjeinntekter for norske, personlige aksjonærer i 2006–2016. Anslagene er basert på henholdsvis aksjenes skattemessige ligningsverdier (blå linje) og predikerte markedsverdier (rød linje), etter fradrag for skattemessig inngangsverdi og ubenyttet skjermingsfradrag.
Andresen (2022)
Som mål på aksjenes reelle verdi, benyttes skattemessig formuesverdi, som kan anses som et konservativt mål som gir lave anslag på latent eierinntekt. Som et alternativt mål, benyttes predikerte markedsverdier fra Andresen og Bø (2022), basert på pris/bok-forhold overført fra børsnoterte til unoterte aksjer. Mens aksjenes samlede inngangsverdi og ubenyttet skjerming utgjorde om lag 400 mrd. kroner både i 2006 og i 2016, vokste ligningsverdiene for de samme aksjene fra om lag 700 mrd. kroner til 1 900 mrd. kroner. Det indikerer at den latente, skattepliktige eierinntekten vokste med om lag 1 200 mrd. kroner over 11-årsperioden. Dersom en legger til grunn predikerte markedsverdier for aksjene, vokste den latente eierinntekten fra om lag 900 mrd. kroner til om lag 3 100 mrd. kroner, en vekst på om lag 2 200 mrd. kroner over perioden. Dette viser at det er betydelig usikkerhet i anslagene, men at det likevel kan konkluderes med at samlede, latente eierinntekter er store og voksende. Veksten i latente eierinntekter har kommet i en periode med økte aksjepriser.
I den offentlige debatten har det ofte blitt referert til at aksjonærer tilpasset seg skattereformen i 2006 ved å ta ut utbytter før eierskatten ble innført og deretter skyte midlene tilbake i selskap. På denne måten kunne aksjonærene omgjøre latente eierinntekter til innskutt kapital som kan tilbakebetales uten eierskatt. Denne tilpasningsmuligheten var kjent ved innføringen av aksjonærmodellen i 2006. Det ble ikke innført mottiltak mot disse tilpasningene, delvis fordi det var politisk forståelse for at inntekter opptjent i et skattesystem uten eierskatt skulle være mulig å ta ut uten eierskatt, og delvis fordi det ble lagt til grunn at skjermingsmetoden gjorde at rekkefølgen på uttak, dvs. valget mellom å dele ut overskudd i form av utbytte eller nedskriving av egenkapital, ikke ville ha skattemessig betydning (jf. drøftingen over om periodiseringsnøytralitet). Andresen (ibid.) viser at innskutt kapital i selskaper som ble opprettet i 2005 og 2006, langt overgår innskutt kapital i selskaper stiftet før og etter, noe som tyder på at de omtalte tilpasningene fant sted. Videre vises det at innskutt kapital i selskap stiftet i 2005 og 2006 synker raskere enn i andre selskaper. Ved å følge disse selskapene frem til 2019 fremkommer det at om lag to tredeler av den innskutte kapitalen i 2005/2006 er tilbakebetalt. Størstedelen av potensialet for skattefrie uttak fra disse selskapene er derfor uttømt.
Andresen (ibid.) undersøker også om personlig eide, norske selskaper som er i posisjon til å betale ut utbytte og til å tilbakebetale innskutt kapital, velger den ene eller andre formen for utdeling. Dersom noen av fordelene eller ulempene ved å tilbakeholde overskudd dominerer, kunne en ha sett for seg hjørneløsninger. Hvis utsettelse av eierskatt er svært fordelaktig, så ville ingen selskaper med innskutt kapital valgt å betale ut utbytte. Dersom utsettelse derimot var svært ugunstig, ville ingen selskaper som var i posisjon til å betale utbytte, valgt å nedsette innskutt kapital. Det er imidlertid også andre forhold enn skatt som kan påvirke beslutninger om kapitalutdelinger.
Figur 8.4 viser selskapers utbytter og kapitalnedsettelser per krone innskutt kapital og opptjent kapital. Dersom insentivene til å utsette eierskatt var dominerende, ville de lilla stolpene bare vært lys lilla. Imidlertid er størstedelen av de lilla stolpene mørk lilla. Dette indikerer at selskaper som kunne valgt å tilbakebetale innskutt kapital for å utsette aksjonærenes eierskatt, i stor utstrekning har valgt å betale ut utbytter.
Figur 8.4 Kapitalnedsettelser og utbytte. Kroner per krone opptjent/innskutt egenkapital
Figuren viser årlige utbetalinger fra norske aksjeselskaper i form av utbytter1 (de nederste, mørke stolpesegmentene) og kapitalnedsettelser (de øverste, lyse stolpesegmentene) som andel av innskutt kapital (lilla stolper) og opptjent kapital (blå stolper). Andelene er resultater av en regresjonsanalyse, der utbytter og kapitalnedsettelser er avhengige variabler og innskutt og opptjent kapital er forklaringsvariabler. De oppgitte andelene er forklaringsvariablenes regresjonskoeffisienter. Y-aksen til venstre angir verdier for 2005, mens y-aksen til høyre gjelder øvrige år.
1 Inkluderer bare utbytter som overstiger ubenyttet skjermingsfradrag, og som dermed er skattepliktige.
Andresen (2022).
Dersom det hadde vært sterke insentiver til ikke å utsette eierskatt, ville de blå stolpene bare vært mørkeblå. De lyseblå toppene på stolpene viser imidlertid at det i et visst omfang har blitt gjennomført kapitalnedsettelser i selskap som kunne utbetalt utbytte.
Metoder for skatteutsettelse
Det kan være nyttig å skille mellom forhold som kan forklare mulige fordeler eller ulemper ved å utsette eierskatt, som drøftes ovenfor, og årsaker som kan føre til utsettelse av eierskatt, uten selv å skape noen fordel ved utsettelsen.
Latent aksjeinntekt og utsatt eierskatt oppstår ved at aksjer eid av personlige aksjonærer stiger til en verdi som er høyere enn aksjens inngangsverdi og ubenyttet skjermingsfradrag. Dette kan skje på mange måter, hvorav den mest nærliggende årsaken er at selskapet har hatt et overskudd som ikke utbetales til aksjonæren. Verdistigning kan også oppstå ved at forventningene til selskapets fremtidige inntjening stiger etter at aksjonæren har kjøpt aksjene. Så lenge aksjonæren velger ikke å selge aksjene, vil aksjonæren da ha en latent eierinntekt og latent eierskatt.
Å eie aksjer via holdingselskap fremfor direkte eierskap, gir aksjonærer full kontroll over når aksjeinntekter utdeles/realiseres på personlig hånd, og dermed mulighet til å utsette eierskatten. Dette kan være en medvirkende årsak til at investorer investerer gjennom private holdingselskap, skjønt det også finnes andre grunner for å organisere investeringer slik fremfor å holde en rekke aksjeposter på personlig hånd. Bruk av holdingselskaper ville vært uhensiktsmessig dersom vi ikke hadde hatt fritaksmetoden eller andre metoder for å motvirke kjedebeskatning av inntekt i selskapssektoren.
Utvalget bemerker imidlertid at det å ha skattefrie inntekter som er omfattet av fritaksmetoden ikke trenger å bety at eierskatt utsettes, og utsettelse av eierskatt forutsetter heller ikke bruk av fritaksmetoden. Dette kan illustreres med følgende eksempel: To entreprenører har investert samme beløp i sine respektive entreprenørselskap, og selskapene har hatt det samme overskuddet. Det ene entreprenørselskapet reinvesterer overskuddet i bedriften. Det andre betaler ut overskuddet til entreprenørens holdingselskap, som blir skattefritt etter fritaksmetoden og reinvesteres i en annen bedrift via holdingselskapet. I begge tilfeller er det tilbakeholdt samme overskudd i selskapssektoren, og begge har den samme latente aksjeinntekten. Hvis de har hatt en fordel ved å utsette eierskatten, så vil fordelen være lik for de to, men bare én av dem har hatt inntekt omfattet av fritaksmetoden. En tredje entreprenør får utbetalt overskudd fra entreprenørselskapet til sitt holdingselskap, som betaler dette videre ut til entreprenøren privat. Denne entreprenøren sin inntekt har blitt omfattet av fritaksmetoden, men entreprenøren har ikke utsatt noen eierskatt.
Aksjonærer med latent aksjeinntekt kan utsette eierskatt ved at selskapet nedsetter og tilbakebetaler innskutt kapital istedenfor å utbetale utbytte. Utsettelse av eierskatt på denne måten vil ikke gi noen særegne fordeler og ulemper sammenlignet med det å utsette eierskatt på andre måter. Reglene for tilbakebetaling av innbetalt kapital drøftes nærmere i punkt 8.7.4.
Aksjonærer med latent aksjeinntekt kan utsette eierskatt ved å finansiere privat forbruk gjennom låneopptak. I Vedlegg 2 vises det at å utsette skatten på denne måten ikke skaper noen særegen fordel eller skattebesparelse. Eventuell skattemessig fordel ved å utsette eierskatt gjennom å finansiere forbruk med låneopptak, vil i utgangspunktet være den samme som ved utsatt eierskatt for øvrig.
8.5.7 Utvalgets vurderinger
8.5.7.1 Overordnet om skjerming
Etter utvalgets vurdering reduserer skjermingsfradraget kapitalkostnaden for foretak som er avhengig av egenkapitalfinansiering fra norske aksjonærer, noe som kan bidra til å øke investeringene i norsk næringsliv til et nivå nærmere det som er samfunnsøkonomisk optimalt. Skjermingsfradraget kan særlig ha betydning for typiske gründerforetak finansiert av entreprenører som ikke diversifiserer sine investeringer i særlig grad, se drøftelsene i punkt 8.5.2. Slike virksomheter kan rammes uforholdsmessig av skadevirkningene av en «tradisjonell», vridende aksjonærbeskatning uten skjerming. I den grad skjermingsfradraget øker investeringer i entreprenør- og gründerbedrifter, vil det være gunstig for økonomiens omstillingsevne og produktivitet på lang sikt.
Skjermingsfradraget bidrar også til å redusere vridningene mot gjeldsfinansiering som skapes av selskapsskatten, og kan dermed bidra til mer hensiktsmessig kapitalstruktur i norske selskaper. Utvalget viser også til at skjermingsfradraget reduserer insentivet til å tilbakeholde overskudd i selskapssektoren for å skyve eierbeskatningen ut i tid, se nærmere drøftelse av denne problemstillingen i punkt 8.5.6 over.
Avvikling av skjermingsfradraget uten andre endringer vil føre til at beskatningen av alternativavkastningen blir høyere for aksjeinvesteringer enn for andre kapitalinvesteringer utenfor selskapssektoren. Det vil skape en favorisering av investeringer på privat hånd, som i så fall må vurderes korrigert gjennom endringer i beskatningen av andre kapitalinntekter for personer eller ved å skjerme risikofri avkasting fra selskapsskatt gjennom en såkalt ACE-modell, jf. punkt 7.3.2. Forholdet mellom beskatning av aksjeinntekter og andre kapitalinntekter er nærmere drøftet i kapittel 9.
På bakgrunn av det ovenstående mener utvalget at skjermingsmetoden har gode effektivitetsegenskaper som reduserer vridningene ved den personlige eierbeskatningen. Effektivitetshensyn taler derfor mot å avvikle skjermingsfradraget. Etter utvalgets vurdering vil en avvikling av skjermingsfradraget som kompenseres med lavere skattesats på eierinntekter, slik at det samlede nivået holdes uendret, øke vridningene fra eierskatten. Det skyldes at de negative virkningene av å øke skatten på den delen av avkastningen som tilsvarer risikofri rente, må antas å være større enn de eventuelt positive virkningene av å redusere beskatningen av aksjonærs risikopremie og grunnrente. Videre vil en avvikling av skjermingsfradraget kombinert med lavere skattesats for eierinntekter, øke insentivet til inntektsskifting, se punktene 8.5.4, 8.8 og 9.7.
Effektivitetshensyn må imidlertid avveies mot andre hensyn. Avvikling av skjermingsfradraget vil kunne være en regelteknisk forenkling, samt en forenkling for de skattepliktige som ikke får automatisert hjelp til å beregne skjerming (avhengig av hva som eventuelt kommer i stedet for skjerming). Utvalget peker imidlertid på at i den grad det er krevende for myndighetene å ha oversikt over aksjers inngangsverdier, så vil dette problemet ikke løses ved å avvikle skjermingsmetoden, ettersom inngangsverdier er avgjørende for å beregne aksjegevinster ved realisasjon. Gode registerdata om nordmenns aksjeinvesteringer har verdi også utover å kunne beregne korrekt skatt, for eksempel for forskning og statikkproduksjon.
Videre kan fordelingshensyn tale for økt skatt på eierinntekter, ettersom slike inntekter er skjevt fordelt og typisk tilfaller de mer velstående. Å avvikle skjermingsfradraget vil derfor trolig kunne ha positive fordelingsvirkninger. I den grad den personlige eierbeskatningen fungerer som en «sikkerhetsventil» for at inntekter i selskap faktisk kommer til beskatning, så kan skjermingsfradraget svekke denne egenskapen ved eierskatten. Utvalget viser til at det er det samlede nivået på eierskatten som har betydning for eierskattens virkninger på fordeling og eierskattens egenskap som «sikkerhetsventil» for beskatning av selskapsinntekter. Dersom provenyøkningen fra en eventuell avvikling av skjermingsfradraget benyttes til å redusere skattesatsen for eierinntekt, vil en ikke gjøre eierskatten mer omfordelende eller styrke eierskattens egenskap som «sikkerhetsventil».
Utvalget viser til at rentenivået ser ut til å være på vei opp fra historisk lave nivåer, se punkt 8.5.4. Dette vil føre til at betydningen av skjermingsfradraget vil øke og i større grad forsvare de administrative kostnadene ved skjermingsmetoden.
Samlet sett er det etter utvalgets flertalls vurdering, alle unntatt medlemmene Benn Folkvord, Elin Sarai og Frederik Zimmer, viktig å beholde de gode effektivitetsegenskapene ved skjermingsmetoden. Utvalgets flertall anbefaler derfor å videreføre skjermingsmetoden.
Utvalgets medlemmer Benn Folkvord, Elin Sarai og Frederik Zimmer mener at skjermingsreglene bør oppheves. Skjermingsreglene er i dag først og fremst begrunnet i hensynet til finansieringskostnadene for selskaper som må finansiere seg på det norske markedet. Skatt på aksjeinntekter øker potensielle investorers avkastningskrav og dermed selskapets kostnader, mens skjermingsfradraget reduserer avkastningskravet og dermed selskapets kostnader. Dette styrker investeringene og er dermed samfunnsøkonomisk gunstig.
Det er allment erkjent at dette bare gjør seg gjeldende for selskaper som må finansiere seg i det norske markedet, jf. under punkt 8.5.2 foran og innledningsvis i dette underavsnitt. Dessuten gjør dette seg bare gjeldende hvor den norske investor er en personlig aksjonær, for en selskapsinvestor kan påberope seg fritaksmetoden. Det internasjonale kapitalmarkedet påvirkes ikke av aksjonærbeskatningen i Norge, og et skjermingsfradrag har derfor ingen betydning for selskapets kostnader hvor selskapet finansierer investeringer internasjonalt. Aksjonærenes avkastningskrav vil heller ikke ha noen betydning der selskapet kan finansiere investeringer ved egne, oppsparte midler.
Disse medlemmer viser til at dette innebærer at det bærende hensyn bak skjermingsreglene gjør seg gjeldende bare der selskapenes investeringer finansieres i Norge av personlig skattyter (hvor stor del dette utgjør, finnes det visst ikke opplysninger om). Småsparere har til nå hatt lite glede av skjermingsmetoden, og samlet innebærer dette at det først og fremst er store personlige investorer bosatt i Norge som har nytte av skjermingsmetoden.
Dette innebærer også at når skjermingsfradrag gis ved finansiering internasjonalt (jf. skatteloven § 10–13 andre ledd om investor bosatt i EØS), oppnår aksjonærene en skattefordel – og det offentlige et skattetap – som er svakt begrunnet.
Som det fremgår av teksten i punkt 8.5.2 foran, er det – selv for finansiering på det innenlandske marked – omstridt blant fagøkonomer hvilken betydning aksjonærbeskatningen (og dermed også den lettelse i denne som skjermingsreglene innebærer) har, og det pekes på at resultatene er svært sensitive for forutsetninger som legges til grunn. Det kan også konstateres at det selv etter at reglene nå har vært i kraft i over 15 år, ikke er dokumentert noen empiri om skjermingsreglenes betydning for selskapers finansieringskostnader. Det kan også konstateres at regler tilsvarende de norske visstnok ikke er innført i andre land, selv om de har vakt internasjonal oppsikt (Meld. St. 11 (2010–2011) s. 77).
Disse medlemmer viser til at skjermingsreglene også har vært begrunnet i hensynet til nøytralitet mellom egen- og fremmedfinansiering av investeringer – skjermingsfradraget hos aksjonæren skal motvirke den fordel som rentefradraget gir for selskapet. Denne begrunnelsen er noe svekket ved at selskapets rett til gjeldsrentefradrag etter hvert er blitt innstrammet. Begrunnelsen vil bli ytterligere svekket dersom en evaluering av regelen, som foreslått av utvalget i punkt 7.4.4.5, leder til at unntaksregelen basert på egenkapitalen i konsernet blir opphevet. Dessuten er skjermingsfradraget gjennomgående lavere enn rentefradraget fordi skjermingsrenten har vært basert på risikofri avkastning, mens lånerenten gjennomgående inneholder et større eller mindre risikoelement.
Som beskrevet i punkt 8.5.3 foran, er det en svakhet ved de gjeldende reglene at de i noen grad er asymmetriske. Dette er det imidlertid vanskelig å gjøre noe med, fordi symmetriske regler vil åpne for omgåelser. Det norske systemet er altså ikke så perfekt som de teoretiske modellene legger til grunn, og kan vanskelig gjøres så perfekt.
Disse medlemmer viser videre til at skjermingsreglene også har blitt begrunnet med såkalt periodiseringsnøytralitet, dvs. at de – sammen med effekten av formuesskatten – bidrar til at det ikke er mer lønnsomt å beholde overskudd i selskap enn å dele det ut til aksjonærene. Det er imidlertid noe omstridt blant økonomer i hvilken grad reglene har denne effekten og ev. under hvilke omstendigheter. Uansett kan det konstateres at det i praksis er en klar tendens til at skattyterne foretrekker å beholde overskuddene i selskapet fremfor å dele dem ut. Siden det ikke er noen overordnet målsetning at selskapsoverskudd skal deles ut, har dette argumentet, etter disse medlemmers oppfatning, liten vekt.
Som vist i punkt 8.5.5, har skjermingsfradraget for de fleste utgjort små beløp. Dette skyldes nok for en del det lave rentenivået i de senere år, men selv med økt rentenivå – og dermed økt skjermingsrente – er det grunn til å anta at de fleste skjermingsfradrag vil være beskjedne. Vesentlig praktisk betydning har skjermingsfradraget først og fremst for store investorer og kan for dem dreie seg om betydelig beløp. Dette innebærer at skjermingsreglene er uheldige i et fordelingsperspektiv.
Disse medlemmer mener det er en vesentlig innvending mot skjermingsreglene at de er kompliserte, spesielt for de aksjonærene som ikke får automatisert hjelp til å beregne beløpet, jf. under punkt 8.5.5 foran. Dette må sammenholdes med at skjermingsfradraget utgjør små beløp for de fleste. Dette leder til at mange ikke tar seg bryet eller omkostningene med å beregne og kreve skjermingsfradrag som vedkommende har krav på. Dette skjerper reglenes uheldige fordelingsvirkninger. Selv om Aksjonærregisteret er vel etablert, rapporteres det ikke sjelden om feil og ufullkommenheter i opplysningene, og det fremgår av punkt 8.5.5 at Skatteetaten fortsatt strever med å finne frem til historiske inngangsverdier.
Skjermingsreglene er kompliserte også på regelnivå. Dette gjelder spesielt reglene om skjerming i foretaksmodellen, der reglene om samspillet mellom skjermingsfradraget og gjeldsrentefradraget er nærmest ugjennomtrengelige (skatteloven § 12-11 andre ledd bokstav a, jf. § 12-12 andre ledd bokstav c). Også reglene om samspillet mellom skjerming på den ene siden og innbetalt kapital, utdelinger og inngangsverdi på andeler i selskaper med deltakerfastsettelse på den andre siden, er svært kompliserte (skatteloven § 10-42 fjerde til syvende ledd og § 10-44 tredje ledd). Opphevelse av skjermingsreglene vil innebære en vesentlig regelforenkling.
Disse medlemmer viser til at en opphevelse av skjermingsreglene også vil gjøre reglene mer robuste. Skjermingsfradrag innebærer at deler av en utbytteutdeling går skattefritt fra selskap til personlig aksjonær. Dette er basert på en forutsetning om at inntekten som ligger til grunn for utbytteutdelingen, har vært effektivt skattlagt hos det utdelende selskap eller hos selskap lenger nede i en selskapskjede, eller vil bli skattlagt hos en senere eier av aksjene. Men denne forutsetningen slår ikke alltid til. Gevinster ved aksjesalg er omfattet av fritaksmetoden også hvor de ikke reflekterer inntekt som er eller vil bli skattlagt på selskapsnivå. Selskapsinntekten kan stamme fra skatteplanleggingstransaksjoner i utlandet som ville ha blitt rammet av omgåelsesregler i Norge. Selskapsinntektene kan stamme fra skatteunndragelse. Og inntekt kan være skattlagt i utlandet med lavere skattesats enn den som gjelder i Norge, uten at det dreier seg om lavskatteland. Med økte skjermingsfradrag vil hensynet til å gjøre reglene mer robuste, bli viktigere i tiden fremover.
Skattlegging av aksjeinntekt på linje med annen kapitalinntekt kan innebære for hard samlet skattlegging i betraktning av at selskapet er skattlagt for samme inntekt. Skjermingsfradrag ivaretar dette hensynet, og fremstillingen i punkt 8.5.4 foran viser at virkningen kan bli betydelig når skjermingsrenten stiger. Hvis skjermingen oppheves, bør dette hensynet ivaretas på andre måter. Disse medlemmer foreslår at dette skjer ved en tilsvarende reduksjon av formuesskatten på aksjer; formuesskatt og skatt på kapitalavkastning har langt på vei samme virkning. For å fange opp aksjonærer som ikke er i formuesskatteposisjon, kan det være aktuelt med en regel om at aksjeutbytte opp til et visst nivå, ikke inngår i kapitalinntektsgrunnlaget. Virkningen er at aksjeutbytte opp til dette nivået bare skattlegges med en skattesats på 22 pst. på aksjonærens hånd.
8.5.7.2 Nærmere om periodiseringsnøytralitet
Før utbytte er utdelt eller aksjer er solgt, står verdiene av aksjene ikke til disposisjon for privat forbruk for aksjonæren og de er heller ikke skattepliktig inntekt. Aksjonæren kan risikere at verdiene går tapt før de er delt ut eller aksjene er solgt. Det er heller ikke noen overordnet målsetning at aksjeselskapers overskudd skal deles ut til aksjonærene. Betegnelsene «latent skatteplikt» og «utsatt eierskatt» må derfor i denne sammenheng brukes med forsiktighet fordi de kan bidra til å tilsløre disse forholdene.
Utvalget mener uansett at det er relevant å vurdere hvorvidt det innebærer noen skattemessige fordeler å skyve eierbeskatningen ut i tid sammenlignet med å bli beskattet løpende.
Som utgangspunkt bør skattereglene verken stimulere til å holde overskudd tilbake i selskapssektoren eller stimulere til å realisere aksjeinntekter på privat hånd. Det er ingen god grunn til at aksjonærer som utsetter realisasjon av aksjeinntekt, skal få en lavere effektiv beskatning enn andre aksjonærer. Hvis det var tilfellet, ville eierbeskatningen trolig virket mindre omfordelende enn tiltenkt. Effektivitetsvirkningene av en eventuell gunstig beskatning av urealisert aksjeinntekt, kan være at kapital låses inne i selskapssektoren. Eventuelle fordeler ved å utsette eierskatt kan også føre til at personlige aksjonærer som investerer i noterte aksjer og fond, velger å investere gjennom aksjesparekonto, som gjør det mulig å utsette eierskatt på samme måte som ved investeringer gjennom et aksjeselskap. Vridningene som oppstår ved at investeringer gjøres via holdingselskaper eller aksjesparekonto fremfor å holde enkeltaksjer direkte på privat hånd, antas å ha små skadevirkninger. Både fordelingshensyn og i noen grad effektivitetshensyn taler derfor for at det ikke bør utgjøre noen fordel å utsette eierskatt sammenlignet med å realisere og beskatte aksjeinntekt løpende.
Utvalget viser til at skjermingsfradraget i aksjonærmodellen reduserer den relative fordelen ved å utsette eierskatt på latent aksjeinntekt. Formuesskatten bidrar også til å gjøre det skattemessig mindre gunstig å sitte på latent aksjeinntekt. Disse særegenhetene ved det norske skattesystemet taler for at å utsette skatt på aksjeinntekt for personer er mindre attraktivt i Norge enn i andre, sammenlignbare land. De forhold som likevel skaper utilsiktede fordeler ved å utsette eierskatten, bør en løse gjennom tiltak som mest mulig direkte motvirker de identifiserte forholdene.
For investorer som kan finansiere aksjeinvesteringer med egne, risikofrie aktiva istedenfor å utsette eierskatten, vil aksjonærmodellen kunne være så godt som periodiseringsnøytral. For investorer som på marginen finansierer aksjeinvesteringer med låneopptak, vil det derimot kunne være gunstig å utsette eierskatten snarere enn å oppta lån for å finansiere en tilsvarende aksjeinvestering, dersom lånerenten er tilstrekkelig høy. Det vil ikke være mulig å oppnå full periodiseringsnøytralitet for begge typer investorer samtidig med en realisasjonsbasert eierbeskatning.
Etter utvalgets vurdering taler hensynet til periodiseringsnøytralitet for å benytte en skjermingsrente som er noe høyere enn risikofri rente etter skatt. Utsettelse av eierskatt som er motivert av muligheter for unndragelse eller uønsket skatteplanlegging bør videre motvirkes med målrettede tiltak, og ikke med tiltak som generelt gjør det mer gunstig å utdele/realisere aksjeinntekt og betale latent eierskatt.
Muligheten til å unngå endelig skatteplikt på latent aksjeinntekt gjennom utflytting, gir etter utvalgets vurdering et potensielt sterkt insentiv til å utsette eierskatt ved å tilbakeholde overskudd i selskapssektoren. Det vises til punkt 8.7.2, der utvalget drøfter mulige regelverkstiltak for å stramme inn reglene. Dersom muligheten til å unngå skatt gjennom utflytting ikke begrenses, kan det være grunn til å vurdere mer generelle tiltak for å oppnå økt grad av løpende beskatning av latent aksjeinntekt.
Muligheten for at skattesatsen for eierinntekter skal reduseres i fremtiden, kan også være et betydelig insentiv til, og potensiell fordel ved, å utsette eierskatt. På den andre siden vil muligheten for fremtidige satsøkninger som gjennomføres umiddelbart uten anledning til å realisere aksjeinntekt før ikrafttredelse, delvis motvirke fordelen av å utsette eierskatt. En stabil og forutsigbar skattesats vil kunne føre til at skattesystemet i mindre grad påvirker valget om når aksjeinntekt utdeles/realiseres og beskattes.
Store og voksende latente eierinntekter kan i utgangspunktet tilsi at aksjonærer oppfatter det som fordelaktig å utsette eierskatten ved å holde overskudd tilbake i selskapssektoren. Det er imidlertid ikke noe mål i seg selv at alle latente aksjeinntekter skal realiseres og beskattes årlig. Dersom alle oppfattet at skattesystemet var nøytralt med hensyn til å tilbakeholde overskudd i selskapssektoren, for eksempel hvis vi ikke hadde hatt noen skatt på eierinntekter, ville neppe all latent aksjeinntekt blitt realisert på personlig hånd for aksjonærene på årlig basis. Det å ta ut utbytte fra personlig eide selskap, for eksempel holdingselskap, for så å reinvestere utbyttet tilbake i selskapet, ville gitt liten mening og skapt transaksjonskostnader. Særlig ville nok de aller rikeste uansett tilbakeholdt store overskudd i selskapssektoren, ettersom disse sparer større deler av sin inntekt, og typisk har flere investeringer som det kan være hensiktsmessig å organisere gjennom holdingselskap uavhengig av skattemessige forhold.
Resultatene i analysen til Andresen (2022) kan likevel tyde på at enkelte tar aktive grep for å utsette eierskatt ved å velge tilbakebetaling av innbetalt kapital fremfor utdeling av utbytte. Samtidig tyder analysen på at det fulle potensialet for slike tilpasninger utnyttes i nokså beskjeden grad. Erfaringer fra innføring av skattereformen i 2006 og økningene i den effektive skattesatsen for eierinntekter de senere år, viser at eierinntekter er et skattegrunnlag som responderer kraftig på endringer i skattereglene, med store tilpasninger. Det tilsier at aksjonærer har høy grad av bevissthet rundt sine skattemessige tilpasninger og stor evne til å tilpasse seg. De senere årene har det blitt observert store uttak av utbytter til personlige aksjonærer i år før eierskattesatsen har blitt justert opp, og særlig i 2021, før den seneste satsøkningen i 2022. Skattepliktige utbytter til personlige aksjonærer økte fra 61 mrd. kroner i 2020 til 144 mrd. kroner i 2021. Disse observasjonene kan tilsi at de mer langsiktige, potensielle fordelene ved å utsette eierskatten, som mulighet til å emigrere eller muligheten for fremtidige satsreduksjoner, tross alt av mange vurderes som mindre betydningsfulle enn en satsøkning i påfølgende år.
Det kan konstateres at aksjonærer i atskillig utstrekning velger å holde overskudd tilbake i selskapene. Det er derfor av sentral betydning å sikre at verdier som ikke er delt ut eller realisert ved aksjesalg, ikke kan utnyttes til aksjonærenes private bruk.
8.5.7.3 Vurdering av tiltak for beskatning av latent aksjeinntekt
I debatten om aksjonærmodellen de senere år har det blitt pekt på en rekke ulike tiltak med formål om å gjøre det mindre gunstig å utsette eierskatt ved å tilbakeholde overskudd i selskapssektoren, utover tiltakene som foreslås av utvalgets flertall. I det følgende drøftes i hvilken grad en del av disse tiltakene vil fungere for å oppnå dette formålet, målt opp mot potensielle ulemper ved tiltakene.
Utvalgets medlemmer Bettina Banoun, Elin Sarai og Karen Helene Ulltveit-Moe stiller seg ikke bak vurderingene nedenfor av at økt selskapsskatt ikke er et egnet tiltak for å øke beskatningen av latent eierinntekt, og viser til medlemmenes dissens om økt selskapsskatt i punkt 7.5.5.
Løpende beskatning
Dersom en vil forsikre seg om at skattesystemet er helt nøytralt med hensyn til periodisering av eierskatten, vil det mest målrettede og presise tiltaket være å omgjøre eierskatten fra å være basert på realisasjon til å bli en løpende beskatning av verdiendring for personlig eide aksjer. Dersom dette skulle innføres på en nøytral måte innenfor aksjonærmodellen, måtte årlige verdistigninger bli skattepliktig på samme måte som annen aksjeinntekt, det vil si med mulighet til å redusere inntekten med skjermingsfradrag, og deretter med oppjustering av resterende inntekt og beskatning med effektiv skattesats på 35,2 pst. Beskattet, urealisert inntekt fra den enkelte aksje måtte videre ha blitt lagt til inngangsverdien for aksjene og i skjermingsgrunnlaget, og dermed gitt opphav til lavere gevinstbeskatning og høyere skjermingsfradrag i fremtiden. Dette ville ha satt aksjonæren i samme posisjon som om vedkommende realiserte og beskattet aksjeinntekten og reinvesterte samme beløp i aksjer. Dersom systemet skulle vært symmetrisk, måtte årlige, urealiserte tap gitt fradrag til samme sats, og ført til reduksjon av skjermingsgrunnlaget. Løpende beskatning av urealisert aksjeinntekt på denne måten ville i prinsippet bevart nøytralitetsegenskapene ved aksjonærmodellen. Det bemerkes at beskatningen ville redusert grunnlaget for formuesskatten på samme måte som beskatning av realisert aksjeinntekt, ettersom selve skattebetalingen ville redusert skattyters netto formue.
Slik som for formuesskatten, kan likviditetshensyn tale mot løpende beskatning av urealisert aksjeinntekt. Gitt en skjermingsrente på eksempelvis 2 pst., så vil en årlig, urealisert avkastning på om lag 4,7 pst. gi tilsvarende skattebelastning som formuesskatten, og det er ikke vanskelig å se for seg at årlig avkastning utover dette kan forekomme. Skatt på urealisert inntekt ville dermed kunne ført til at aksjonærer hadde måttet selge seg ned for å betale skatten, noe som blant annet ville gitt opphav til transaksjonskostnader.
For å avhjelpe likviditetsutfordringer og andre mulige negative virkninger av en slik skatt, kunne en ha sett for seg mulighet til å betale skatten over flere år, eller en kunne ha begrenset skatten slik at bare en andel av urealisert inntekt kom til beskatning.
En annen grunnleggende utfordring med løpende beskatning er å definere og praktisere et mål på den årlige latente eierinntekten. Dersom en skulle ha utformet en slik skatt, ville det vært nærliggende å vurdere om skattemessige formuesverdier før formelle verdsettelsesrabatter hadde vært et egnet beregningsgrunnlag for latent eierinntekt. Administrative hensyn hadde talt for å benytte tallstørrelser som allerede inngår i skatteberegningen og er tilgjengelig i skattemyndighetenes systemer. For børsnoterte aksjer ville årlig endring i skattemessig formuesverdi før verdsettelsesrabatt gitt korrekt mål for årlig, latent eierinntekt, ettersom disse verdsettes til markedspris. Svakhetene i verdsettelsesmetoden for unoterte aksjer ville imidlertid skapt de samme skjevheter her som i formuesskatten.
For at latent eierinntekt skulle blitt beregnet på grunnlag av skattemessige formuesverdier, måtte verdsettelsen av unoterte aksjer blitt forbedret. Imidlertid ville nøytralitetsegenskapene gjennom samvirket mellom skatt på latent eierinntekt, inngangsverdier og skjermingsfradrag kunne trukket i retning av at unøyaktigheter i målet på inntekt ville hatt mindre betydning. Dersom latent aksjeinntekt hadde blitt målt for høyt, ville motstykket i for høy løpende beskatning vært at skjermingsfradraget også hadde blitt for høyt, og vice versa.
Alternativt kunne fastsettelse av årlig, latent eierinntekt vært basert på tilbakeholdt overskudd i selskapene som aksjonærer eier direkte og indirekte, fratrukket den faktisk realiserte aksjeinntekten. Tilbakeholdt overskudd kunne ha blitt definert med utgangspunkt i enten skattepliktig eller regnskapsmessig overskudd, som begge ville hatt respektive fordeler og ulemper. Den målte, latente eierinntekten hadde i så fall blitt begrenset til den delen av verdiøkningen som skyldes opptjente og tilbakeholdte overskudd, og ikke inkludert forventningsbasert verdiøkning. Slik beskatning er omtalt av Bjerksund og Schjelderup (2021b, se s. 61), som bemerker at et slikt system trolig vil oppleves som for radikalt for mange.
Det er nærliggende at en eventuell ny skatt på latente aksjeinntekter også burde blitt gjort gjeldende for aksjer eiet gjennom aksjesparekonto. Dersom muligheten til å utsette skatt på eierinntekter helt eller delvis forsvinner, vil også formålet med aksjesparekonto helt eller delvis forsvinne, og det vil trolig være hensiktsmessig å avvikle ordningen.
Biden-administrasjonen i USA har i sitt forslag til statsbudsjett for 2023 foreslått en skatt på urealisert aksjeinntekt, «minimumsskatt for milliardærer». Forslaget innebærer at urealisert aksjeinntekt tillegges skattyters skattepliktige inntekt, og dersom utlignet skatt utgjør mindre enn 20 pst. av summen av urealisert aksjeinntekt og skattyters skattepliktige inntekt, utlignes differansen som en tilleggsskatt. Denne tilleggsskatten kommer til fratrekk ved senere realisasjon av aksjeinntekt. Skatten skal bare ilegges husholdninger med nettoformue over 100 mill. dollar. For børsnoterte aksjer benyttes markedsverdier for å fastsette den latente aksjeinntekten. Forslagsstillerne overlater til det amerikanske finansdepartementet å utarbeide nærmere regler om beregning av latent aksjeinntekt for unoterte aksjer. Det foreslås å gi mulighet til å betale ekstraskatten gjennom avdrag over flere år, se Department of the Treasury (2022).
Scheel-utvalget anerkjente at det fantes argumenter for løpende beskatning som beskrevet ovenfor, men mente at praktiske og administrative hensyn tilsa realisasjonsbasert beskatning, se NOU 2014: 13 punkt 3.3.5.
Realisasjonsbeskatning ved arv og gaver
Istedenfor løpende beskatning av latent aksjeinntekt, kan beskatningen ilegges når aksjene overføres som arv eller gis som gaver. Med dette kan det unngås at latent eierskatt får vokse og forbli uoppgjort over generasjoner.
Slik som for løpende beskatning, vil tiltaket by på administrative utfordringer knyttet til å fastsette den latente eierskatten, skjønt fastsettingen vil måtte gjøres sjeldnere. Hvis aksjene uansett skal verdsettes for arveskatteformål, vil de ekstra administrative byrdene ved realisasjonsbeskatning ved arv ikke oppstå, se utvalgets forslag om arveskatt i kapittel 10. Dersom en vektlegger hensynet til manglende likviditet for å gjøre opp realisasjonsbeskatningen, kan det lages ordninger for avbetaling.
Eventuell realisasjonsbeskatning av aksjer ved arv og gave bør medføre oppjustering av mottakers inngangsverdier og skjermingsgrunnlag, og vil dessuten føre til lavere formuesskatt ettersom latent skatt inngår i formuesskattegrunnlaget. Dette vil innebære at realisasjonsbeskatning ved arv og gave over tid ikke vil gi noen vesentlig økning i nivået på eierbeskatningen. Se for eksempel Congressional Research Service (2021) eller Rosentahl og McCelland (2022) for drøftelser av realisasjonsbeskatning ved arv og gaver.
Utvalgsmedlemmene Ola Kvaløy og Jarle Møen bemerker at utvalget ikke har hatt tilstrekkelig tid til å vurdere de fulle implikasjonene av realisasjonsbeskatning ved arv og gaver og mener dette bør utredes videre.
Hvis utvalgets øvrige tiltak ikke gir full periodiseringsnøytralitet, kan realisasjonsbeskatning i forbindelse med arv og gaver virke som en sikkerhetsventil og motvirke at utilsiktede skattefordeler forblir uoppgjorte på tvers av generasjonsskifter. Hvis utvalgets øvrige tiltak sikrer full periodiseringsnøytralitet, vil realisasjonsbeskatning ved generasjonsskifter per definisjon ikke medføre en økonomisk ulempe for arvingene sammenlignet med å overta arvelaters skatteposisjon uoppgjort.
Disse medlemmene vil også påpeke at et periodiseringsnøytralt skattesystem fordrer at latent eierskatt blir oppgjort innenfor en endelig tidshorisont. Siden de rikeste eierfamiliene har lite behov for å ta utbytte utover skjerming, kan arvbare skattekreditter legge til rette for at det oppstår dynastier som bare inntektsbeskattes med en lav selskapsskatt. Eierskattens funksjon som bro mellom selskapsskatten og beskatningen av arbeidsinntekt, trer da ut av funksjon. Dette svekker skattens legitimitet, bidrar til økt ulikhet, uheldig maktkonsentrasjon og reduserer skattesystemets effektivitet siden andre skatter må holdes høyere i den grad de rikeste eierfamiliene ikke bidrar med proveny.
Avgift på latent eierinntekt
Et alternativ til løpende beskatning av verdiendring av aksjer, eventuelt løpende beskatning av tilbakeholdt overskudd, kan være at størrelsen på en slik skatt fastsettes uten at den må betales, men at det beregnes avgift på den latente skatten, som en slags renteberegning. En slik beskatning er skissert i Bjerksund og Schjelderup (2022). Avgiften kan enten kreves inn løpende eller gjøres opp når personlig aksjonær realiserer aksjeinntekten. I motsetning til tiltaket om løpende beskatning, som gjør beskatning av latent inntekt lik som dagens beskatning av realisert inntekt, vil en slik avgift skape en relativ ulempe ved ikke å realisere aksjeinntekt. Forslaget vil by på tilsvarende utfordringer med å identifisere grunnlaget, altså verdiendringen på aksjer eller de tilbakeholdte overskuddene, slik som for tiltakene omtalt ovenfor.
Økt skatt for selskaper
En kan se for seg flere tiltak som vil være generelle skjerpelser av beskatningen av norske aksjonærer, men som vil være upresise virkemidler for å adressere mulige fordeler ved å utsette eierskatt, etter utvalgets flertalls vurdering. For eksempel vil en økning i den generelle selskapsskattesatsen for alle selskaper treffe noen norske aksjonærer med latent eierskatt, men ikke alle, og det vil treffe mange uten latent eierskatt. Ettersom økt selskapsskatt vil treffe også selskap med utenlandske aksjonærer, vil det dessuten kunne redusere utlendingers investeringer i norsk økonomi, se punkt 7.5.2. Også andre former for skjerpelser av selskapsskatten vil kunne treffe norske aksjonærer med latent eierinntekt, som økte avskrivningssatser eller avvikling av rederiskatteordningen, men dette vil ikke redusere eventuelle insentiver til å utsette eierskatt for personlige aksjonærer. Økt selskapsskatt ville imidlertid ført til at det bygges opp mindre latent skatt i fremtiden, ettersom det vil redusere overskudd etter skatt i norske selskaper, som er grunnlaget for latent eierskatt knyttet til norske aksjonærers investeringer i norske selskaper.
Innskrenke fritaksmetoden
Fritaksmetoden er ikke en nødvendig forutsetning for utsettelse av eierskatt, ettersom latent aksjeinntekt kan tilbakeholdes i selskapene der den opptjenes. Innskrenkinger av fritaksmetoden vil være en skatteøkning som «treffer» mange aksjonærer med latent eierskatt, men det vil ikke adressere utsettelse av eierskatt på en presis måte. Kjedebeskatning av overskudd i selskapssektoren vil kunne ramme aksjonærer som tar ut utbytte og dermed ikke utsetter noen eierskatt, og det vil ikke treffe aksjonærer med latent eierskatt der overskudd reinvesteres i selskapene som opptjener overskuddene. Videre er det vanskelig å se at kjedebeskatning av selskapsoverskudd vil gi en skatteøkning som skulle samsvare med eventuelle fordeler ved å utsette eierskatten. Avvikling eller innskrenkninger av fritaksmetoden vil derfor være et lite presist virkemiddel dersom en vil motvirke fordeler ved å utsette eierskatt.
Begrensninger i fritaksmetoden vil føre til kjedebeskatning av inntekter innad i selskapssektoren, og trolig resultere i omorganiseringer med sikte på flatere selskapsstrukturer for å unngå kjedebeskatning. Ulempene vil være innlåsing av kapital i enkeltselskaper og ineffektiv allokering av investeringer. En ville antakelig på denne måten oppnådd en høyere løpende beskatning av kapitalinntekter for en del aksjonærer, men det ville ikke vært noen systematikk i at aksjonærer med høyere latent aksjeinntekt, ville blitt rammet hardere enn andre. Innskrenkninger i fritaksmetoden ville særlig berørt aksjonærer med mindre aksjeposter og spredte investeringer, som ikke kontrollerer utbyttebeslutningene i selskapene de investerer i. Derimot ville investorer som er eneeier i selskap, eller eier aksjene sammen med en samkjørt krets av investorer, fortsatt kunne utsette personlig eierbeskatning og unngå dobbeltbeskatning ved å holde overskuddet tilbake i selskapet.
Innskrenkning av fritaksmetoden kunne ført til at norske investorer opprettet holdingselskap i EØS-land med tilsvarende regler som fritaksmetoden, for fortsatt å ha mulighet til å omplassere kapital innad i selskapssektoren uten kjedebeskatning. Slike tilpasninger ville i så fall kunne redusert virkningene av å innskrenke fritaksmetoden, se Bjerksund og Schjelderup (2021b).
Eierskatt for holdingselskap
Tax Justice Network Norway har lansert et forslag om at inntekter i personlig eide holdingselskaper blir behandlet som om inntekten tilfalt aksjonæren personlig, se Wood (2022). Forslaget vil i og for seg kunne innebære at fritaksmetoden gjelder fullt ut også for de berørte holdingselskapene, men at både skattepliktige og skattefrie inntekter i holdingselskapet danner grunnlag for eierskatt for selskapets personlige aksjonærer. Videre må da aksjeinntektene fra holdingselskapet som faktisk realiseres på personlig hånd, fritas for skatt for å unngå dobbeltbeskatning.
Forslaget vil innebære at noe latent eierinntekt kommer til løpende beskatning. Det er imidlertid vanskelig å se gode grunner for at et overskudd som er betalt ut som et utbytte til et holdingselskap, er viktigere eller riktigere å beskatte på eierens hånd enn et overskudd som reinvesteres i selskapet der det oppstår. Videre byr forslaget på utfordringer knyttet til å avgrense holdingselskap mot andre selskap, og eventuelt avgrense «holdingselskapsvirksomheten» i holdingselskap mot annen virksomhet i selskapet. Dernest er det ikke åpenbart hvordan en slik regel skal virke der det investeres gjennom flere lag med holdingselskap. Et realistisk eksempel kan være at en personlig aksjonær eier alle aksjer i sitt holdingselskap, som igjen eier et holdingselskap sammen med familiemedlemmer, som igjen eier et holdingselskap som fungerer som konsernspiss i et konsern med realøkonomisk aktivitet i flere datterselskap. Dersom regelen bare gjelder første ledd i rekken, vil latent eierskatt enkelt kunne utsettes ved å holde overskudd tilbake lengre ned i kjeden. Dersom regelen skal gjelde et av selskapene nedover i kjeden, blir regelen mer komplisert og mer vidtrekkende.
8.5.7.4 Nivået på skjermingsrenten
For at eierskatten skal virke mest mulig nøytralt på selskapers kapitalkostnader og valg av tidspunkt for å realisere aksjeinntekt, må skjermingsrenten etter utvalgets vurdering tilsvare den marginale finansieringskostnaden for investor etter skatt. Denne vil kunne variere mellom investorer, fra risikofri rente til lånerente i kredittmarkedet. Den skjermingsrenten som i alt virker mest nøytralt, vil etter utvalgets vurdering befinne seg et sted i dette intervallet. Hensynet til fordeling og risiko for uønskede tilpasninger tilsier at det er bedre om skjermingsrenten er for lav enn for høy i forhold til den teoretisk nøytrale skjermingsrenten.
På denne bakgrunn foreslår utvalget at skjermingsrenten fastsettes til gjennomsnittlig rente på norske statsobligasjoner med ti års løpetid, redusert med skattesatsen, uten et særskilt tillegg. Dette vil innebære et visst risikoelement i skjermingsrenten. Med forslaget blir skjermingsrenten nærmere nivået på høyeste innskuddsrente som kan oppnås i bank, som for flere vil være den relevante alternativkostnaden.
I perioden 2003–2020 har differansen mellom renten på tre måneders statskasseveksel og statsobligasjoner med ti års løpetid i snitt vært på 1,0 prosentenheter. Utvalgets forslag vil derfor over tid om lag tilsvare en skjermingsrente om lag 0,5 prosentenheter høyere enn dagens skjermingsrente, altså renten på tremåneders statskasseveksel tillagt 0,5 prosentenheter, før skjermingsrenten reduseres med skattesatsen på 22 pst. Forslaget vil dermed innebære at den faktiske skjermingsrenten øker med om lag 0,4 prosentenheter. En skjermingsrente fastsatt på grunnlag av en kjent rentestørrelse, vil kunne være noe mer robust for svakt begrunnede endringer i skjermingsrenten i fremtiden, enn en skjermingsrente der grunnlaget inneholder en faktor som er skjønnsmessig fastsatt på Stortinget.
Utvalget anslår at forslaget om økt skjermingsrente over tid vil redusere statens proveny fra eierskatten med om lag 500 mill. kroner.
Figur 8.5 Renter på statsgjeld 2003–2020. Prosent
Årsgjennomsnitt av renter på statskasseveksel og statsobligasjoner.
Norges Bank
8.6 Fritaksmetoden
8.6.1 Innledning
Den norske fritaksmetoden innebærer at selskapsaksjonærer som hovedregel er fritatt fra beskatning av både utbytte og gevinst på aksjer mv. Motstykket er at tap ved realisasjon av aksjer mv. som utgangspunkt ikke er fradragsberettiget, se nærmere beskrivelse av reglene i punkt 8.4.5.
Fritaksmetoden ble innført som ledd i skattereformen 2006. Innføringen av fritaksmetoden føyde seg inn i en internasjonal trend, der såkalte godtgjørelsessystemer ble avviklet og erstattet med nye metoder for beskatning av aksjeinntekter mv.
Som det fremgår i Boks 8.6 over, ble det ved innføringen av fritaksmetoden lagt vekt på at reglene for beskatning innenfor selskapssektoren bør tilrettelegge for at ressursene kanaliseres dit de kaster mest av seg, og at beskatningen ikke skal medføre innlåsing av kapital eller påvirke organisasjonsstrukturer, jf. St.meld. nr. 29 (2003–2004) punkt 10.1. Det ble lagt til grunn at innføring av fritaksmetoden ville forhindre at aksjeinntekter blir skattlagt flere ganger på selskapsnivå i en eierkjede av selskaper (kjedebeskatning) og at fritaksmetoden dermed ville bedre kapitalmobiliteten i næringslivet.
Før skattereformen i 2006 ble kjedebeskatning i innenlandske forhold motvirket gjennom godtgjørelsesmetoden og den såkalte RISK-metoden. Hensynet til forenkling var en viktig begrunnelse for å erstatte disse reglene med fritaksmetoden. I St.meld. nr. 29 (2003–2004) punkt 10.4.6 uttalte Finansdepartementet blant annet at «sammenlignet med gjeldende RISK- og godtgjørelsessystem vil både likningsmyndighetene og skattyterne spare betydelige ressurser».
Videre ble det ved innføringen av fritaksmetoden lagt vekt på at de dagjeldende RISK- og godtgjørelsesmetodene innebar en forskjellsbehandling av aksjeinntekter mellom norske selskaper og grenseoverskridende aksjeinntekter, som skapte EØS-rettslig usikkerhet. Det ville i praksis vært umulig å la disse metodene gjelde tilsvarende for aksjer i selskaper i utlandet, ettersom en da ville vært avhengig av opplysninger om forhold i utenlandske selskaper. I forarbeidene er det vist til at innføring av fritaksmetoden ville føre til større grad av skattemessig likebehandling av investeringer i Norge og utlandet, og at den EØS-rettslige usikkerheten som det dagjeldende systemet representerte, ville bli fjernet, jf. Ot.prp. nr. 1 (2004–2005) punkt 6.1.
At aksjeinntekter fra utenlandske selskaper i stor utstrekning ble gjort skattefrie ved innføringen av fritaksmetoden, var ikke bare en motvillig tilpasning til utviklingen i EU-retten. I forarbeidene er det også vist til svakheter ved den såkalte kreditmetoden, som den gang var den dominerende mekanismen for å motvirke dobbeltbeskatning av grenseoverskridende selskapsinntekter. Kreditmetoden, slik den er implementert i Norge, innebærer at aksjeinntekt fra utenlandsk selskap er skattepliktig for mottaker i Norge, men at det gis direktefradrag (kredit) i norsk skatt for skatt som er betalt i utlandet av den aktuelle inntekten, begrenset oppad til den norske skatten på utbyttet. Metoden er mer krevende enn fritaksmetoden, da det kreves informasjon om skattemessige forhold i utlandet. Kreditmetoden er dessuten mer komplisert og/eller utilstrekkelig for å motvirke dobbeltbeskatning der utbyttet stammer fra inntekter som er opptjent og beskattet i dypere selskapsstrukturer i utlandet.
I den offentlige debatten i de senere år er det satt søkelys på fritaksmetoden og dens funksjon i skattesystemet. En sentral problemstilling i debatten har vært om aksjonærer som eier aksjer indirekte gjennom såkalte private holdingselskap, nyter godt av en urimelig skattemessig fordel. Disse aksjonærene kan velge å tilbakeholde overskudd i selskapssektoren og dermed reinvestere eller spare overskuddet i selskapet, uten først å betale eierskatt. Utvalget mener at denne problemstillingen favner videre enn fritaksmetoden. Det skyldes at muligheten til å skyve eierbeskatningen ut i tid ikke forutsetter bruk av fritaksmetoden, fordi også aksjonærer som eier aksjer direkte i selskaper som har overskudd, men ikke deler det ut som utbytte, vil skyve eierbeskatningen ut i tid. Spørsmålet knyttet til latent aksjeinntekt drøftes derfor samlet i punkt 8.5 over.
I dette delkapittelet vil utvalget vurdere andre sider ved fritaksmetoden. Det sentrale spørsmålet er om fritaksmetoden virker etter sin hensikt og om den rekker videre enn formålet tilsier.
Boks 8.8 Skatt på aksjeinntekt i selskap før og etter 2006-reformen
Godtgjørelsesmetoden innebar at den som mottok utbytte fra norske selskap, fikk et fradrag i skatt tilsvarende skatten på overskuddet som lå til grunn for utbyttet. Bare noen ekstra poster i selvangivelsen og en liten regneøvelse skilte altså godtgjørelsesmetoden fra et skattefritak. En hake ved metoden var at det ville oppstå skattearbitrasje dersom selskap delte ut ubeskattet inntekt som utbytte, siden aksjonærer ville fått godtgjørelse og dermed skattefrihet også hvor selskapet ennå ikke hadde betalt noe i skatt. Dette ble løst gjennom korreksjonsinntekt, som ga det utdelende selskapet et tillegg i inntekt tilsvarende den delen av overskuddet som lå til grunn for utbyttet og som ikke var beskattet.
RISK-metoden (regulering av inngangsverdi med skattlagt kapital) motvirket dobbeltbeskatning der aksjonæren realiserte aksjeinntekt gjennom aksjesalg. Skattlagt inntekt som er tilbakeholdt i selskaper, reflekteres i aksjeprisen. Når aksjeinntekt var skattlagt hos selskapet, ville det oppstått dobbeltbeskatning hvis denne inntekten også inngikk i gevinst ved salg av aksjene. Med RISK-metoden skulle man årlig holde oversikt over tilbakeholdt, skattlagt overskudd i underliggende selskap, og trekke dette i fra ved beregning av gevinst ved realisasjon (ved å legge det til inngangsverdien for aksjene i selskapet, noe som reduserte skattepliktig gevinst/økte tap ved salg av aksjene). Mer komplisert var det ved beregning av gevinst ved salg av aksjer i et selskap som igjen eide underliggende selskap med tilbakeholdte overskudd. Reglene om såkalt realisasjons-RISK og konsern-RISK motvirket dobbeltbeskatning av slike inntekter ved eierkjeder med opptil tre ledd.
RISK-metoden innebar at det ved beregning av aksjegevinst ble tatt hensyn til endringer i selskapets tilbakeholdte skattlagte kapital i løpet av det tidsrom aksjonæren hadde eid aksjen. Hvert år skulle det beregnes endring i selskapets skattlagte kapital tilsvarende årets skattepliktige inntekt fratrukket avsatt utbytte og skatt etter fradrag for godtgjørelse. Egne tilpasninger måtte gjøres for RISK-regulering i selskap innenfor særskatteregimene. Ved realisasjon av aksjen skulle aksjens inngangsverdi opp- eller nedreguleres med summen av de årlige reguleringsbeløpene i aksjonærens eiertid. Som med godtgjørelsesmetoden gjaldt RISK-regulering bare aksjeinntekter fra investeringer i norske selskap.
RISK-metoden kan illustreres med følgende eksempel: En aksjonær kjøpte aksjene i et norsk selskap for 100 kroner. Selskapet hadde ingen tilbakeholdte overskudd eller RISK-regulering. Selskapet tjente 10 kroner og betalte 2,8 kroner av overskuddet i skatt, og selskapet delte ikke ut utbytte. RISK-reguleringen ble da 7,2 kroner. Deretter solgte aksjonæren aksjene i selskapet. Inngangsverdien på aksjene ble da justert fra 100 til 107,2 kroner. Salgssum lavere enn dette ga aksjonæren fradrag, mens overstigende salgssum ga skattepliktig gevinst.
Dersom aksjene i eksempelet ovenfor selges for mer enn den RISK-regulerte verdien (107,2 kroner), betyr det at aksjens verdi har steget mer enn selskapets skattemessige opptjening i eiertiden. Det kan skyldes at skattemessig opptjening ikke avspeiler den reelle opptjeningen. Det kan også skyldes at forventningene om selskapets fremtidige inntjening var høyere da aksjene ble solgt enn da de ble kjøpt, altså en forventningsbasert gevinst. Den forventningsbaserte gevinsten ble med RISK-metoden skattlagt hos selger. Motstykket var at hele kjøpesummen inngikk i den fradragsberettigede inngangsverdien for kjøper, slik at inntekten som utgjorde gevinst for selger, på et tidspunkt ville utgjøre et fradrag for kjøper. Under fritaksmetoden er slike forventningsbaserte gevinster ikke skattepliktige for selskaper.
Beskatning av forventningsbaserte gevinster med RISK-metoden og fritaksmetoden kan illustreres med følgende eksempel: En Aksjonær A etablerer et selskap med 100 i innskutt kapital i år 1. Selskapet bruker kapitalen til å kjøpe en maskin som gir en forventet bruttoinntekt på 100 kroner i år 2, og etter det er maskinen oppbrukt og verdiløs. Nettoinntekt etter avskrivninger blir dermed 0 kroner, og selskapet vil stå igjen med 100 kroner i kontanter istedenfor en maskin.
I løpet av år 1 blir det klart at forventet bruttoinntekt for selskapet i år 2 heller vil bli 110 kroner, slik at nettoinntekt før og etter skatt blir henholdsvis 10 og 7,8 kroner.
Aksjonær A selger aksjene i løpet av år 1 til Aksjonær B for 107,8 kroner, og får en forventningsbasert gevinst på 7,8 kroner. Denne skulle skattlegges etter reglene som gjaldt før skattereformen i 2006, men fritas i dag for skatt med fritaksmetoden dersom aksjonæren er et selskap.
I år 2 slår forventningen til, og selskapet får et overskudd på 10 kroner før skatt og betaler 2,2 kroner i skatt. Selskapet sitter igjen med en verdiløs maskin og 107,8 kroner i kontanter. 7,8 kroner deles ut som utbytte, og den innskutte kapitalen på 100 kroner tilbakebetales til Aksjonær B og selskapet likvideres.
Med systemet før skattereformen i 2006, ville Aksjonær B ikke betalt skatt på utbyttet på grunn av godtgjørelsesmetoden. Aksjonær B ville videre fått et fradrag på 7,8 kroner, siden vedkommende betalte 107,8 kroner og bare fikk igjen 100 kroner for tilbakebetaling av aksjekapital (likvidasjon av selskap anses som realisasjon av aksjen). Dersom selskapet ikke hadde delt ut utbytte, og aksjene hadde blitt solgt for 107,8 kroner, ville RISK-reguleringen på 7,8 kroner gitt Aksjonær B en oppjustert inngangsverdi på 115,6 kroner, og dermed et tap på 7,8 kroner. Med fritaksmetoden vil Aksjonær B ikke få fradrag eller skattepliktige inntekter.
Med systemet før skattereformen i 2006, ville altså Aksjonær A fått en skattepliktig inntekt i år 1 som tilsvarer fradraget til Aksjonær B i år 2, mens fritaksmetoden gir null skatt eller fradrag for begge.
På samme måte som for forventningsbaserte gevinster, førte metoden fra før skattereformen i 2006 til at latente skattegevinster kom til beskatning ved salg av aksjer, med motstykke i at fremtidige skattefradrag for kjøper av aksjene ble tilsvarende større.
Da Finansdepartementet fremmet forslag om fritaksmetoden for Stortinget, skrev departementet følgende om de provenymessige virkningene av endret beskatning av forventningsbaserte gevinster, jf. Ot.prp. nr. 1 (2004–2005) punkt 6.5.13.2:
«Forventningsbaserte gevinster og -tap på aksjer i norske selskaper vil imidlertid ikke lenger være skattepliktig eller fradragsberettiget, i motsetning til hva som er tilfelle med det gjeldende systemet. Over tid kan det forventes at gevinster og tap på aksjer som ikke skyldes tilbakeholdt overskudd, vil variere, men ikke systematisk innebære nettotap eller -gevinst. Departementet antar derfor at fritaksmetoden ikke vil medføre provenyendring av betydning knyttet til gevinstbeskatningen mellom norske selskaper.»
I det følgende gis det i punkt 8.6.2 først en kort presentasjon av rettstilstanden før fritaksmetoden ble innført samt en sammenligning mellom de tidligere RISK- og godtgjørelsesmetodene og dagens fritaksmetode. Deretter gis det i punkt 8.6.3 en kort omtale av enkelte andre lands innretning av fritaksmetoden. I punkt 8.6.4 presenteres problemstillingene som utvalget har vurdert nærmere, og det gis en oppsummering av utvalgets vurderinger.
8.6.2 Tidligere rettstilstand
Før skattereformen i 2006 var aksjeinntekter i form av utbytte og gevinster i utgangspunktet skattepliktig inntekt for både selskapsaksjonærer og personlige aksjonærer. Dobbeltbeskatning i forholdet mellom selskap og aksjonær og kjedebeskatning i selskapssektoren ble i innenlandske forhold motvirket gjennom godtgjørelsesmetoden og RISK-metoden, se nærmere om disse metodene i Boks 8.8 ovenfor. Som følge av at mekanismene mot dobbeltbeskatning også gjaldt for personer, var aksjeinntekter i stor utstrekning skattefrie for personlige aksjonærer før reformen i 2006.
8.6.3 Fritaksmetoden i enkelte andre land
De fleste sammenlignbare land har en fritaksmetode som i hovedtrekk tilsvarer den norske. Det er likevel ganske store variasjoner i den nærmere utformingen av unntak mv. fra fritaksmetoden. Dette gjelder spesielt såkalte porteføljeinvesteringer. I det følgende gis det en overordnet oversikt over hvordan enkelte andre land behandler porteføljeinvesteringer, samt hvordan regler tilsvarende den norske «treprosentregelen» er utformet i utvalgte andre land.8
Porteføljeinvesteringer
Mange land har valgt å avgrense fritaksmetoden mot porteføljeinvesteringer.9 Dette innebærer typisk at fritaksmetoden er gjort betinget av at det mottakende selskapet eier og/eller har stemmerett til en viss andel av aksjene i det utdelende selskapet (krav til eierandel). Ofte er fritaksmetoden samtidig gjort betinget av at det mottakende selskapet har vært eier av aksjene i en viss periode forut for utdelingen eller realisasjonen (krav til eiertid).
For EU-land gjelder mor-datterselskapsdirektivet, som pålegger medlemsstatene å innføre regler om skattefrihet for utbytte som utdeles mellom selskap som omfattes av direktivet. Direktivet gjelder der morselskapet har minst 10 pst. eierandel i datterselskapet.
Sverige er et av landene som har avgrenset fritaksmetoden mot visse former for porteføljeinvesteringer. Den nærmere utformingen av avgrensningen henger nært sammen med skillet som er oppstilt i Sverige mellom såkalte «näringsbetingade andelar» (som er omfattet av fritaksmetoden) og såkalte «kapitalplaceringsandelar» (som skattlegges på ordinær måte). Som hovedregel vil eierskap i ikke-børsnoterte selskap regnes som «näringsbetingade andelar». Utbytte og gevinst fra unoterte aksjer vil dermed omfattes av fritaksmetoden, uavhengig av eierandel og eiertid. Eierskap i børsnoterte selskap vil på den andre siden bare regnes som «näringsbetingade andelar» dersom eierandelen er over 10 pst. over en ettårsperiode. Utbytte og gevinst fra noterte aksjer vil dermed bare omfattes av fritaksmetoden dersom disse vilkårene om eierandel og eiertid er oppfylt.
I Danmark er avgrensningen mot porteføljeinntekter utformet slik at det mottakende selskapet må eie minst 10 pst. av kapitalen i det utdelende selskapet for å omfattes av fritaksmetoden. Kravet til eierandel gjelder i utgangspunktet både for inntekter fra børsnoterte og ikke-børsnoterte aksjer, og for både utbytte og gevinst. Dersom kravet til eiertid ikke er oppfylt, vil imidlertid 30 pst. av utbytte fra unoterte aksjer uansett fritas fra skattlegging.
I Finland er det oppstilt krav om 10 pst. eierandel i minst ett år for utdelinger av utbytte fra børsnoterte selskap til ikke-børsnoterte selskap. For andre utdelinger av utbytte gjelder det ikke et tilsvarende krav til eierandel. For gevinster gjelder vilkåret om 10 pst. eierandel i minst ett år ved realisasjon av både børsnoterte og ikke-børsnoterte aksjer.
I Storbritannia er det ikke oppstilt krav til eierandel og eiertid ved utdeling av utbytte. For aksjegevinster er det derimot stilt krav om at avhenderen kontinuerlig må ha eid minst 10 pst. av aksjene i det underliggende selskapet i en periode på minst 12 måneder i løpet av de siste seks årene. I tillegg må selskapet som avhendes regnes som et handelsselskap («trading company») eller være et holdingselskap for et handelsselskap. Et handelsselskap er et selskap som i hovedsak får sine inntekter fra næringsvirksomhet.
I Tyskland er det krav om eierandel på 10 pst. og at aksjene må være eid ved starten av inntektsåret for at utbytte skal være omfattet av fritaksmetoden. For gevinster gjelder det ingen krav om eierandel eller eiertid.
I Frankrike er det krav om at aksjonæren må ha eid minst 5 pst. av aksjene i minst to år for at utbytte skal omfattes av fritaksmetoden. Kravet om eierandel og eiertid gjelder også for gevinster.
«Treprosentregelen»
Flere land har også varianter av «treprosentregelen» som vi har i Norge. Den norske regelen gir anvisning på at tre pst. av aksjeutbytte (og utdeling fra selskap med deltakerfastsetting) skal inntektsføres. Formålet med regelen er å sørge for en sjablongmessig reversering av kostnader som kan fradragsføres etter særregelen i skatteloven § 6-24 og som i prinsippet ikke burde ha vært fradragsberettiget, se nærmere beskrivelse av regelen i punkt 8.4.5 over.
EUs mor-datterselskapsdirektiv åpner for at medlemsland kan ha regler om at morselskap må inntektsføre inntil fem pst. av utbytte fra datterselskap. Frankrike, Tyskland, Italia og Spania har benyttet seg av denne muligheten, og samtlige av disse landene har valgt fem pst. inntektsføring.
I Frankrike er det en tilsvarende regel for gevinster. Regelen innebærer at 12 pst. av en brutto aksjegevinst uansett regnes som skattepliktig inntekt for selskapsaksjonærer. Begrunnelsen for regelen synes å være at inntektsføringen skal sørge for en sjablongmessig reversering av kostnader som er fradragsført.10
8.6.4 Utvalgets vurderinger
Overordnede betraktninger
Anvendelse av de ordinære reglene om skattlegging av aksjeinntekt vil kunne lede til kjedebeskatning i konserner, dvs. skattlegging i flere ledd innad i selskapssektoren. Samlet skatt vil i så fall bero på antall ledd i selskapskjeden. Et slikt resultat vil være i strid med hensynet til å ha et nøytralt skattesystem, jf. utvalgets vurderinger i kapittel 5, ettersom beskatningen kan påvirke bedrifters valg og dermed gi insitament til skattemotivert atferd. Kjedebeskatning kan blant annet påvirke organiseringen i retning av at næringsvirksomhet samles i ett selskap fremfor i flere selvstendige selskaper eller at et konsern organiseres med en «flat» struktur, til tross for at for eksempel organisatoriske, regulatoriske eller ansvarsmessige forhold tilsier en annen organisering. Uhensiktsmessig, skattemotivert organisering av virksomhet av denne typen vil være en kostnad for samfunnet, og vil dessuten skape umotivert ulikhet mellom skattytere som i sin tur kan påvirke konkurransesituasjonen uheldig.
Kjedebeskatning kan videre medføre innlåsing av kapital i enkeltselskaper og svekke kapitalmobiliteten i næringslivet, noe som igjen gir lavere produktivitet i norsk økonomi. Innlåsing av kapital i enkeltselskaper kan også motvirke omstilling. Dette kan være særlig uheldig i disse tider, hvor næringslivet står overfor en omfattende omstilling som følge av den store klimautfordringen.
Utvalget mener på denne bakgrunn at kjedebeskatning i selskapssektoren bør unngås. Dette gjelder både hvor alle selskapene er hjemmehørende i Norge og for konserner hvor ett eller flere selskaper er hjemmehørende i andre land.
Kjedebeskatning kan motvirkes enten gjennom fritaksmetoden (som etter gjeldende rett) eller ved en kreditmetode, der det gis kredit i utdelt utbytte for selskapsskatt (såkalt underliggende skatt) i det selskapet i selskapskjeden som har opptjent den skattepliktige inntekten. For å forebygge kjedebeskatning, må metoden gi kredit for underliggende skatt også om det selskapet som har opptjent inntekten, befinner seg lenger nede i selskapskjeden og/eller inntekten er opptjent et annet år enn utdelingsåret. Reglene blir derfor kompliserte.11 Det er dessuten vanskelig å anvende kreditmetoden på gevinster. Ut fra slike betraktninger valgte man fritaksmetoden ved skattereformen i 2006.
Etter utvalgets syn er fritaksmetoden en mer treffsikker og enklere metode for å motvirke kjedebeskatning i internasjonale forhold enn kreditmetoden. Utvalget mener at fritaksmetoden bør fastholdes som metode for å forebygge kjedebeskatning i konserner. Dette støttes også av at fritaksmetoden i dag er den mest utbredte metoden internasjonalt for å unngå kjedebeskatning i selskapssektoren. Etter utvalgets vurdering er det likevel én side ved fritaksmetoden som fortjener en nærmere drøftelse. I det følgende drøftes behandlingen av gevinster innenfor fritaksmetoden.
Gevinster
Etter gjeldende regler innebærer fritaksmetoden at gevinster på aksjer mv. er skattefrie for selskapsaksjonærer, uavhengig av hva som er årsaken til at den aktuelle gevinsten har oppstått. Spørsmålet i det følgende er om fritaksmetodens anvendelsesområde på dette punktet rekker videre enn formålet med fritaksmetoden tilsier.
Gevinster på aksjer kan oppstå av flere ulike grunner. Blant annet kan gevinster skyldes at det underliggende selskapet har tilbakeholdt opptjente inntekter. Disse inntektene er forutsetningsvis allerede skattlagt i selskapssektoren ved at de er ilagt ordinær selskapsskatt eller særskatt. Etter utvalgets vurdering tilsier hensynet til å unngå kjedebeskatning i selskapssektoren at slike gevinster fullt ut bør være skattefrie for selskapsaksjonærer.
Gevinster på aksjer mv. kan også oppstå ut fra en forventning om fremtidig inntjening i det underliggende selskapet. Et typisk eksempel kan være en selskapsaksjonær som på et tidlig tidspunkt har investert i aksjer i et teknologiselskap. Ved senere salg av aksjene i teknologiselskapet blir aksjene verdsatt basert på forventningen om fremtidige inntekter. Dersom selskapets inntjeningspotensial vurderes å være stort, kan det oppstå en betydelig forventningsbasert gevinst på selskapsaksjonærens hånd. Denne verdistigningen er ikke tidligere skattlagt i selskapssektoren, ettersom inntekten ikke har materialisert seg ennå.
At fritaksmetoden gjelder for slike forventningsbaserte gevinster, kan sies å gå lengre enn det som er nødvendig for å unngå kjedebeskatning i selskapssektoren.
Utvalget mener at formålet med fritaksmetoden i utgangspunktet tilsier at det kun er gevinster som skyldes tilbakeholdte inntekter (som tidligere er skattlagt i selskapssektoren), som bør være skattefrie på selskapsaksjonærers hånd. Etter utvalgets vurdering vil det imidlertid være svært krevende å unnta forventningsbaserte gevinster fra fritaksmetoden uten samtidig å risikere kjedebeskatning av opptjente selskapsinntekter. Det skyldes at det i praksis vil være krevende å identifisere hvor stor del av en gevinst som skriver seg fra den ene og den andre årsaken.
For å oppnå realisasjonsbasert beskatning av forventningsbaserte aksjegevinster i selskapssektoren, må en trolig gjeninnføre regelsett lignende RISK, som gjaldt før skattereformen i 2006. Denne metoden skjermet bare aksjeinntekt knyttet til opptjent og beskattet overskudd fra å regnes som skattepliktig aksjeinntekt, slik at forventningsbaserte gevinster mv. kom til beskatning. Motstykket var at vederlaget for aksjene utgjorde kjøpers inngangsverdier for aksjene, og dannet grunnlag for potensielle skattefradrag ved tap, se eksempel i Boks 8.8. Over tid ga beskatningen av forventningsbaserte gevinster mv. derfor ikke høyere skatt i nominelle termer, men beskatningen ble fremskyndet sammenlignet med dagens rettstilstand og ga høyere nåverdi av skattebetalingene.
Ved en eventuell gjeninnføring av regelsett lignende RISK- og godtgjørelsesmetoden vil en møte på de samme EØS-rettslige utfordringene en søkte å unngå ved innføring av fritaksmetoden. En slik omlegging ville også ført til økte administrative kostnader. Videre ville skattebyrden ikke nødvendigvis bare falle på den som realiserer gevinsten (selger), fordi kjøper sannsynligvis vil måtte betale mer for aksjer dersom selger får en skatteregning ved å selge. Realisasjonsbasert beskatning av forventningsbaserte aksjegevinster innad i selskapssektoren vil også kunne føre til innlåsingseffekter, idet det kan lønne seg å bli sittende med aksjer i gevinstposisjon for å utsette skatt, og å selge aksjer i tapsposisjon for å få skattefradrag. At fritaksmetoden i dag er standardmetoden internasjonalt, tilsier også at Norge bør bevare fritaksmetoden.
Utvalget finner på bakgrunn av det ovennevnte ikke å anbefale gjeninnføring av regelsett lignende RISK- og godtgjørelsesmetoden.
Et annet alternativ som utvalget har vurdert, er innføring av et delvis unntak fra fritaksmetoden for gevinster. I praksis kan dette for eksempel gjennomføres ved at den skattepliktige delen av en gevinst fastsettes sjablongmessig som en prosentvis andel av den totale gevinsten, som så inntektsføres hos selskapsaksjonæren. Som det fremgår i punkt 8.6.3 over, har Frankrike regler som gir anvisning på at selskapsaksjonærer skal inntektsføre en andel av utbytte (fem pst.) og gevinst (12 pst.) fra datterselskap. Begrunnelsen for reglene synes imidlertid å være at inntektsføringen skal sørge for en sjablongmessig reversering av kostnader som er fradragsført.
En sjablongmessig beskatning av gevinster kunne ha blitt begrunnet med at fritaksmetoden (for forventningsbaserte gevinster) rekker videre enn formålet tilsier. Det kan isolert sett tilsi at gevinster innenfor fritaksmetoden delvis bør skattlegges. Prinsipielt er det imidlertid gode grunner som taler for å ha mest mulig like regler for gevinster som for utbytte. Dersom reglene utformes strengere for gevinster enn for utbytte, kan det føre til at aksjonærer som ellers ville solgt aksjer, istedenfor velger å beholde aksjene av skattemessige årsaker. Det vil bryte med nøytralitetshensyn, ettersom beskatningen dermed kan påvirke aksjonærenes valg og føre til uhensiktsmessig eiersammensetning og innlåsing av kapital.
Utvalget mener på bakgrunn av det ovennevnte at en bør tilstrebe å ha mest mulige like regler for utbytte og gevinst. For å oppnå dette, kan en vurdere en endring i den såkalte «treprosentregelen» i skatteloven § 2-38 sjette ledd. Treprosentregelen er ment som en sjablongmessig tilbakeføring av fradrag, og må ses i sammenheng med at det av praktiske grunner gis fradrag for utgifter knyttet til skattefrie aksjeinntekter (som etter hovedregelen i skatteloven ikke skulle vært fradragsberettiget), se nærmere beskrivelse av regelen i punkt 8.4.5 over.
Treprosentregelen gjelder i dag kun for aksjeutbytte (og utdeling fra selskap med deltakerfastsetting), men gjaldt opprinnelig også for gevinster. Da bestemmelsen ble endret med virkning fra inntektsåret 2012, ble treprosentregelens anvendelse avgrenset generelt mot gevinster. I forarbeidene er endringen blant annet begrunnet med administrative forenklinger. Det ble pekt på at treprosentregelen hadde komplisert fritaksmetoden, ved at den gjeninnførte et behov for å dokumentere skattemessige inngangsverdier og foreta gevinst- og tapsberegning ved realisasjon av aksjer mv. Videre ble det pekt på at treprosentregelen i konkrete tilfeller kunne være lite treffsikker med henblikk på å reversere fradragsførte kostnader, og at mangelen på treffsikkerhet særlig kunne bli synlig ved realisasjon av aksjeposter med store, latente gevinster. Endelig ble det fremholdt at det er uheldig om skattemessige kostnader som følge av treprosentregelen hemmer fornuftige omorganiseringer i konsern. Det ble lagt til grunn at de nevnte problematiske sidene ved treprosentregelen i hovedsak er knyttet til gevinstsituasjonen, jf. Prop. 1 LS (2011–2012) punkt 14.3.1.
Utvalget mener at den ovennevnte begrunnelsen for å avgrense treprosentregelen mot gevinster ikke er tungtveiende nok, sett i lys av hensynene som taler for å ha mest mulige like regler for utbytte og gevinst. Utvalget legger til grunn at de fleste selskapsaksjonærene normalt besitter dokumentasjon på skattemessige inngangsverdier, slik at det ikke vil være uforholdsmessig byrdefullt å foreta en gevinst- og tapsberegning på realisasjonstidspunktet. Utvalget peker også på at treprosentregelen uansett ikke gjelder for selskap som inngår i samme skattekonsern (mer enn 90 pst. eier- og stemmeandel). Dette bidrar i noen grad til å avhjelpe at gevinstbeskatning i selskapssektoren kan hemme fornuftige omorganiseringer i konsern.
Utvalget peker videre på at det er flere EU-land (Frankrike, Tyskland, Italia og Spania) som har benyttet seg av muligheten til å ha regler om at inntil fem pst. av utbytte fra datterselskap skal inntektsføres hos morselskapet, jf. EUs mor-datterselskapsdirektiv, og at samtlige av disse landene har valgt en sats på fem pst. Utvalget anbefaler at Norge legger seg på samme linje.
Utvalget foreslår på denne bakgrunn en utvidelse av «treprosentregelen», ved at gevinster inkluderes og at satsen økes fra tre til fem pst. Disse utvidelsene anslås å øke provenyet med 380 millioner kroner.
Utvalgsmedlem Frederik Zimmer er enig i at det er en fordel at reglene om fritaksmetoden er de samme for aksjeutbytte og aksjegevinst. Men dette må veies mot andre hensyn, og det kan også vises til at det internasjonalt ikke er uvanlig at reglene ikke er helt de samme for aksjeutbytte og aksjegevinster. Dette medlem henviser til at hele utvalget legger til grunn at ubegrenset skattefrihet for gevinster går lenger enn det som følger av begrunnelsen for fritaksmetoden. Forslaget om en viss utvidelse av treprosentregelen er ingen tilfredsstillende løsning på dette spørsmålet, og det er dessuten mindre heldig at formålet med en regel endres på denne måten. Dette medlem fremhever at skattefrihet ut over formålet med fritaksmetoden er særlig betenkelig i lys av at utvalgets flertall foreslår at skjermingsmetoden skal videreføres. Det kan lede til at inntekt som ikke skattlegges på selskapets hånd, heller ikke skattlegges ved overføring til personlige aksjonærer. Dette medlem er enig i at en RISK-lignende løsning ikke kan anbefales, men mener at det bør arbeides videre med spørsmålet med sikte på å finne frem til en begrensning, om nødvendig i form av en sjablong.
8.7 Regelverkstiltak for å motvirke tilpasninger mv.
8.7.1 Innledning
Som det fremgår av redegjørelsen foran, mener utvalget at det finnes elementer i gjeldende eierbeskatningsregler som bidrar til at mer overskudd holdes tilbake i selskapssektoren enn det man ville forvente i et nøytralt skattesystem. I punkt 8.5.7 fremkommer det at utvalget mener at skjermingsrenten har vært satt for lavt, og utvalget foreslår derfor at den økes. Utvalget har i punkt 8.5.6 videre lagt til grunn at muligheten for å unngå eierskatt ved å flytte ut av Norge, kan ha betydning for om det anses som en fordel å tilbakeholde overskudd i selskapssektoren. I punkt 8.7.2 under drøftes det derfor om dagens regler om utflyttingsskatt for personer bør skjerpes. Utvalget har også lagt til grunn at dagens eierbeskatning kan være sårbar for unndragelser og omgåelser, og at privat konsum av selskapets midler er et eksempel på dette. Denne problemstillingen er nærmere beskrevet i punkt 8.7.3 under.
Utvalget peker videre på at regelverket også ellers kan gi uheldige tilpasningsmuligheter som ikke (bare) har sammenheng med at overskudd holdes tilbake i selskapssektoren. Etter utvalgets vurdering er reglene om tilbakebetaling av innbetalt kapital og manglende hjemmel for å ilegge kildeskatt på utbetaling til utenlandske aksjonærer ved likvidasjon, eksempler på dette. Disse problemstillingene har videre rekkevidde og må derfor også vurderes innenfor en videre sammenheng. Utvalget drøfter disse problemstillingene og mulige regelverkstiltak i henholdsvis punkt 8.7.4 og punkt 8.7.5.
8.7.2 Utflyttingsskatt for personer
Bakgrunn og gjeldende rett
Så lenge en personlig aksjonær er skattemessig bosatt i Norge, er vedkommende skattepliktig til Norge for aksjegevinster (ut over skjerming), jf. skatteloven § 5-1 annet ledd, jf. skatteloven § 10-31. Aksjonærer som er skattemessig bosatt i utlandet, er etter norsk intern rett som hovedregel ikke skattepliktig til Norge for gevinst på aksjer, heller ikke for gevinst på aksjer i selskaper som er hjemmehørende i Norge.
Ved innføringen av aksjonærmodellen ble det i forarbeidene pekt på at personlige aksjonærer kan ha skattemessige incentiver til å flytte ut fra Norge før aksjene realiseres, typisk til et land der aksjegevinster ikke skattlegges, og at innføringen av aksjonærmodellen og fritaksmetoden kunne forsterke disse incentivene, jf. Ot.prp. nr. 1 (2004–2005) punkt 5.6.9.
Fra og med inntektsåret 2007 har bestemmelsen i skatteloven § 10-70 gitt hjemmel for en generell utflyttingsskatt på opparbeidede urealiserte (latente) gevinster på aksjer mv. ved fysiske personers utflytting. Det sentrale formålet med bestemmelsen var å hindre at norske skattytere av skattemessige årsaker flytter til utlandet for å realisere aksjer og andeler der. Dette skulle oppnås ved en generell utflyttingsskatt, som innebærer at verdistigning mens skattyteren er bosatt i Norge på nærmere vilkår blir gjenstand for skatteplikt til Norge på utflyttingstidspunktet.
Bestemmelsen i skatteloven § 10-70 inneholder en rekke vilkår. I det følgende redegjøres det for hovedtrekkene.
Bestemmelsen innebærer at personlig skattyter som eier aksjer i norske eller utenlandske selskap som det knytter seg latent skatteplikt til, er skattepliktig til Norge som om aksjene var realisert siste dag før skatteplikten til Norge opphører etter intern norsk rett eller når skattyter anses bosatt i annen stat etter skatteavtale, jf. første ledd. Ved gevinstberegningen fastsettes utgangsverdien til markedsverdien ved utflyttingen, jf. femte ledd. Det gis fradrag for latente tap når skattyter flytter til en annen EØS-stat, i samme utstrekning og på samme vilkår som gevinst er skattepliktig, jf. tredje ledd.
Den beregnede skatten bortfaller i sin helhet hvis aksjene ikke er realisert innen fem år etter at skatteplikten til Norge opphørte, jf. niende ledd bokstav c. Det samme gjelder hvis skattyteren igjen blir ansett skattemessig bosatt i Norge.
Når skattyter flytter til et land Norge har skatteavtale med, begynner femårsfristen å løpe fra det tidspunkt skattyteren i henhold til skatteavtalen anses bosatt i tilflytningsstaten. Ofte vil dette tidspunktet sammenfalle med tidspunktet skattyter flyttet fra Norge og tok varig opphold i tilflytningsstaten. I slike tilfeller vil aksjene kunne realiseres fem år etter utflyttingen uten at gevinsten skattlegges i Norge. Etter omstendighetene kan Norge beholde beskatningsretten til gevinsten opp til vel åtte år etter den faktiske utflyttingen. Dette vil være tilfelle der skattyter har vært bosatt i Norge i minst 10 år før utflyttingen, og skattyter flytter til et land Norge ikke har skatteavtale med, jf. skatteloven § 2-1. Det er imidlertid grunn til å tro at de fleste skattemotiverte utflyttinger skjer til land Norge har skatteavtale med. I disse tilfellene vil som nevnt aksjene kunne realiseres fem år etter at skattyter faktisk flyttet fra Norge uten at gevinsten skattlegges i Norge. Bestemmelsen er begrunnet i at presumsjonen for at utflyttingen er motivert av å spare skatt, er svakere dersom skattyteren forblir utflyttet i lenger tid, se Ot.prp. nr. 1 (2005–2006) punkt 11.4.3.3.
Utflyttingsskatten utløses kun i de tilfeller samlet gevinst for alle skattepliktige aksjer (fratrukket fradragsberettigede tap) overstiger 500 000 kroner, jf. fjerde ledd. I forarbeidene er dette begrunnet med at skattytere med små gevinster bør skjermes for beskatning, fordi mindre gevinster neppe vil motivere utflytting før realisasjon av verdistigningen, jf. Ot.prp. nr. 1 (2006–2007) punkt 6.9.1.3.
Et sentralt trekk ved reglene er at det gis utsettelse med betaling av utflyttingsskatten frem til faktisk realisasjon av aksjene finner sted, dersom skattyter stiller betryggende sikkerhet for betalingsforpliktelsen, jf. syvende ledd. Dersom skattyter flytter til en stat innenfor EØS hvor Norge i medhold av en folkerettslig overenskomst kan kreve informasjon og bistand til innfordring, gis det automatisk utsettelse uten krav til sikkerhetsstillelse, se nærmere om begrunnelsen for dette i Ot.prp. nr. 1 (2006–2007) punkt 6.10.2.3.
Den beregnede skatten kan kreves redusert dersom aksjene etter utflyttingen realiseres til en lavere verdi enn beregnet, eller hvis gevinsten er skattepliktig til en annen stat, jf. niende ledd bokstavene a og b.
Rettsutvikling innenfor EU/EØS
Ved innføringen av skatteloven § 10-70 i 2007 ble vilkårene i bestemmelsen vurdert opp mot forholdet til Norges forpliktelser etter EØS-avtalen. Den gang ble EØS-reglene forstått slik at de bare aksepterte skattlegging ved utflytting hvor det dreide seg om salg innen kort tid etter utflytting, slik at en kunne regne med at utflyttingen var motivert av hensynet til å selge aksjene skattefritt eller med lav skatt i utlandet. I etterkant har det vært en utvikling innenfor EU-retten, i retning av større anerkjennelse av at verdier som er opparbeidet innenfor en stats beskatningsområde, kan skattlegges der.
Flere land i EU har endret sine regler om utflyttingsskatt i de senere år. Blant annet har Tyskland med virkning for utflyttinger som skjer etter 31. desember 2021 strammet inn sine regler. De nye tyske reglene har færre begrensninger i utflyttingsskatteplikten enn gjeldende regler i Norge.
I august 2022 sendte det finske finansdepartementet på høring forslag om innføring av generelle regler om utflyttingsskatt. Finland har ikke tidligere hatt generelle regler om utflyttingsskatt for fysiske personer, og forslaget vil dermed innebære en innstramming av de finske reglene. Det finske forslaget ligger nærmere gjeldende norske regler enn de tyske reglene om utflyttingsskatt.
Tyske regler – hovedtrekk
Med virkning for utflyttinger (opphør av globalskatteplikt) etter 31. desember 2021 har Tyskland strammet inn sine regler om utflyttingsskatt. Personer som har vært globalskattepliktig i Tyskland i minst syv av de siste tolv år og som eier minst 1 pst. av aksjene i et selskap som det knytter seg en latent gevinst til, vil være omfattet av reglene om utflyttingsskatt. Skatten fastsettes på utflyttingstidspunktet og forfaller i utgangspunktet til betaling umiddelbart, men skattyter kan be om å betale skatten med like store rater over syv år mot at det stilles betryggende sikkerhet for skattekravet. Uavhengig av om det er gitt slik utsettelse, vil skatten uansett forfalle til betaling ved bl.a. realisasjon av aksjene eller insolvens. Skattekravet renteberegnes ikke. Reglene skiller ikke mellom utflytting til EU/EØS-stater og utflytting til tredjeland.
Utflyttingsskatten bortfaller hvis skattyteren igjen blir skattemessig bosatt i Tyskland innen syv år etter utflyttingen og aksjene fortsatt er i behold. Det er adgang til å forlenge denne perioden med ytterligere fem år. Skattytere med planlagt midlertidig opphold i utlandet kan søke om fritak fra plikten til å betale den beregnede utflyttingsskatten (som ville forfalt hvis utflyttingen ikke var midlertidig).
Hovedtrekk i forslaget til generelle utflyttingsskatteregler i Finland
Det finske finansdepartementet sendte 12. august 2022 på høring forslag til en generell utflyttingsskatt for fysiske personer, med foreslått virkning fra 1. januar 2023. Finland har ikke tidligere hatt generelle regler om utflyttingsskatt. Imidlertid har Finland bestemmelser som innebærer at det kan skje en skattlegging dersom eiendelen faktisk realiseres innen fem år etter utflyttingen.
Etter forslaget vil de nye finske reglene omfatte personer som enten har hatt ubegrenset skatteplikt til Finland etter finsk intern rett, eller som har vært bosatt i Finland i henhold til skatteavtale, i minst fire år i løpet av de ti siste årene før emigrasjon. De foreslåtte reglene omfatter finansielle eiendeler som for eksempel aksjer, andeler i verdipapirfond, obligasjoner, virtuell valuta mv. Ifølge forslaget vil bestemmelsene ikke omfatte tilfeller der den samlede virkelige verdien av eiendelene er mindre enn 500 000 euro eller hvis den beregnede gevinsten er mindre enn 100 000 euro.
Som utgangspunkt vil skatteplikten inntreffe på emigrasjonstidspunktet, men skattyter kan søke om utsatt beskatning slik at gevinsten først skattlegges på realisasjonstidspunktet.
Utflyttingsskatten bortfaller dersom eiendelen ikke er realisert innen åtte år etter utflyttingen.
Hensikten med forslaget er å bekjempe skatteflukt og å styrke det offentliges inntekter.
Utvalgets vurderinger
Etter utvalgets vurdering bør de norske reglene om utflyttingsskatt utformes slik at de i størst mulig grad sikrer at verdistigning opparbeidet mens eier har vært skattemessig bosatt i Norge, blir skattlagt her. Dette gjelder uavhengig av hvordan gevinstbeskatningen i Norge til enhver tid er utformet, og dermed uavhengig av dagens utforming av aksjonærmodellen og fritaksmetoden.
Etter hvert som mobiliteten i samfunnet har økt, har også prinsippet om en rimelig og rettferdig allokering av skattefundamentet mellom statene blitt viktigere, også innenfor EU-/EØS-retten. Utvalget mener at reglene om utflyttingsskatt for fysiske personer i større grad bør reflektere dette, og at dagens regler derfor bør strammes inn.
Utvalget har vurdert ulike regelverkstiltak. En mulig løsning er å endre bestemmelsen i skatteloven § 10-70 etter samme lest som eksisterende regler om beskatning ved utflytting av eiendeler mv. fra norsk beskatningsområde, jf. skatteloven § 9-14. Med en slik løsning vil Norge sikre seg at personers latente gevinster på aksjer mv. blir skattepliktige på utflyttingstidspunktet, samtidig som skattyter kan velge å innbetale skatten i rater over syv år. Dette alternativet innebærer en harmonisering av reglene om utflyttingsskatt for fysiske personer med reglene om utflyttingsskatt for eiendeler mv. Hvorvidt Norges EØS-rettslige forpliktelser muliggjør en slik løsning for privatpersoner, krever imidlertid nærmere utredning. Utvalget vil i denne sammenheng peke på at dette alternativet synes å ligge nært opp til den løsningen Tyskland har innført med virkning fra 2022.
En annen mulighet kan være å oppheve gjeldende femårsbegrensning, slik at det ikke lenger er en tidsmessig grense for bortfall av den skatteplikten som fastsettes på utflyttingstidspunktet. En slik løsning vil innebære at utflyttingsskatten aldri bortfaller, med mindre skattyter flytter tilbake til Norge. Hovedutfordringen med dette alternativet synes å være de administrative belastningene det vil medføre for skattyter og Skatteetaten å følge opp den utsatte skatteforpliktelsen. Utvalget viser imidlertid til at Danmark har en lignende løsning, og at Norge i så fall ville ha lagt seg tett opp mot de danske reglene. Etter dansk rett gis det ved utflytting til EU/EØS-stater ubegrenset utsettelse med betaling av skattekravet.
Samlet sett mener utvalget at det er et større EØS-rettslig handlingsrom i dag enn det var da bestemmelsen i skatteloven § 10-70 ble innført. Samtidig knytter det seg en viss rettslig usikkerhet til hvor langt en kan gå i å stramme inn reglene. Utvalget anbefaler på kort sikt at gjeldende femårsbegrensning i skatteloven § 10-70 niende ledd oppheves, og at departementet utreder nærmere om EØS-avtalen tillater at reglene kan strammes ytterligere inn. Utvalget peker samtidig på at det ikke er utvalgets hensikt å gå inn for strengere regler for de som flytter ut av EØS-området enn for de som flytter innad i EØS-området.
Utvalgets medlem Bettina Banoun vil advare mot en ordning som innebærer at de som emigrerer blir skattepliktig på utflyttingstidspunktet, selv om skattyter kan velge å innbetale skatten i rater over syv år. En slik løsning er tvilsom etter EØS-retten og er heller ingen god løsning. En slik regel vil ha innlåsningsvirkninger og kan gi investorer incentiv til å flytte ut fra Norge før de har opparbeidet seg en formue.
8.7.3 Privat konsum i selskap
I punkt 4.4 viser utvalget til at privat konsum i selskap er et av flere forhold som kan svekke skattesystemets bidrag til omfordeling, redusere skatteinntektene og svekke legitimiteten til skattesystemet.
Privat konsum i selskap kan innebære at personlig selskapseier og selskapet oppnår en urettmessig gunstig beskatning ved å la selskapet dekke eiers private kostnader. Vanlige metoder er at selskapet erverver eiendeler eller tjenester som eier benytter privat, eller at selskapet selger eiendeler videre til eier, uten at selskapet får dekket sine kostnader. Problemstillingen er særlig aktuell for selskap med få eiere.
Etter gjeldende regler skal selskapet uttaksbeskattes og eier beskattes etter reglene om utbytte eller utdeling for fordelen som overføres fra selskap til eier. I praksis skjer ofte ikke dette, fordi eier og selskapet ikke gir opplysninger til Skatteetaten.
Scheel-utvalget pekte på at privat konsum i selskap er et problem, jf. NOU 2014: 13 punkt 11.2.3.2. Det ble vist til at privat konsum i nært eide aksjeselskap ser ut til å ha økt betraktelig etter skattereformen i 2006, jf. Alstadsæter m.fl. (2014). Scheel-utvalget uttalte at det er grunn til å tro at økt kontroll og avdekking av privat konsum i selskap kan virke avskrekkende og redusere omfanget. Departementet ble likevel bedt om å vurdere behovet for ytterligere tiltak.
Den 9. mai 2022 sendte Finansdepartementet et forslag på høring om særregler for å motvirke privat konsum i selskap. I høringsnotatet fremgår det blant annet at Skatteetatens kontroller har avdekket betydelige beløp i uoppgitte inntekter, og at Skatteetatens erfaring er at økt kontroll etter de gjeldende reglene ikke er tilstrekkelig til å sikre riktig skattlegging av privat konsum i selskap. Forslaget i høringsnotatet er ment å redusere mulighetene for urettmessig gunstig beskatning og forenkle bevisvurderingene for Skatteetaten.
Høringsfristen var 1. august 2022. I høringen oppfordret departementet høringsinstansene til å gi innspill til flere enkeltelementer i forslaget. Departementet har mottatt mange høringssvar. Høringen viser at det er bred støtte for strengere regler for privat konsum, men bekrefter også at det er nødvendig å målrette de foreslåtte reglene bedre. Departementet har i Prop. 1 LS (2022–2023) kapittel 24 uttalt at det vil ta tid å gå gjennom alle høringssvarene og å utarbeide justeringer av forslaget. Departementet har videre varslet at det ikke vil bli foreslått endringer med virkning fra 1. januar 2023, slik det ble lagt opp til i høringen, men at regjeringen vil legge frem et justert forslag i 2023, med sikte på ikrafttredelse i 2024.
Utvalget mener at det er nødvendig å skjerpe dagens regler. Det er imidlertid viktig at reglene er mest mulig målrettede og at de ikke går lengre enn nødvendig. Utvalget legger til grunn at den pågående prosessen vil lede til hensiktsmessige løsninger på disse spørsmålene.
8.7.4 Tilbakebetaling av innbetalt kapital
Innledning
Ved beskatning av utdeling fra aksjeselskap er utgangspunktet at verdier som er opptjent i selskapet, skal utbyttebeskattes når de deles ut til personlig aksjonær. De midlene som aksjonæren har skutt inn i selskapet, anses som innbetalt kapital, og skal derfor ikke skattlegges som aksjeutbytte ved tilbakebetaling til aksjonæren, jf. skatteloven § 10-11 annet ledd annet punktum.
I utgangspunktet omfatter skattemessig innbetalt kapital det eierne har betalt inn ved tegning av aksjer i forbindelse med stiftelse (aksjekapital og overkurs), og ved senere kapitalforhøyelser gjennom nyemisjoner (enten ved nytegning av aksjer eller ved forhøyelse av eksisterende aksjers pålydende).
Utdeling av skattemessig innbetalt kapital reduserer aksjens inngangsverdi (som kan bli negativ) og skjermingsgrunnlag, jf. skatteloven § 10-35. Dette innebærer en tilsvarende økning av gevinst eller reduksjon av tap ved eventuell senere realisasjon av aksjen, samt reduksjon av skjermingsfradrag for personlige aksjonærer.
Skatteposisjonen innbetalt kapital er knyttet til den enkelte aksje. Ved salg av en aksje innebærer det at skatteposisjonen videreføres hos den nye aksjonæren, uavhengig av hvor mye den nye aksjonæren betaler for aksjen.
Etter utvalgets syn gir reglene slik de er utformet i dag, rom for tilpasninger som innebærer at personlige aksjonærer kan unngå skattlegging ved utdeling fra selskap. I det følgende drøftes mulige endringer som kan motvirke slike tilpasninger.
Forholdet mellom aksjonærens investering og innbetalt kapital
Investering i aksjeselskap kan gjøres gjennom direkte innskudd i selskapet mot utstedelse av aksjer eller ved kjøp av aksjer i annenhåndsmarkedet. Det beløpet aksjonæren investerer i aksjen, enten ved innskudd eller vederlag ved kjøp, utgjør aksjonærens inngangsverdi på aksjen. Aksjonæren kan få tilbakebetalt investert beløp uten beskatning enten i forbindelse med gevinst- og tapsoppgjør ved realisasjon av aksjen eller ved tilbakebetaling av innbetalt kapital fra selskapet. Dette utgjør en skatteposisjon for aksjonæren.
Før aksjen har vært omsatt, reflekterer innbetalt kapital på aksjen aksjonærens investering. Når aksjen overdras til ny aksjonær, vil den opprinnelige aksjonæren få fradrag for investeringen i selskapet gjennom gevinst- eller tapsoppgjøret. Dette innebærer at den selgende aksjonærens skatteposisjon knyttet til investert beløp gjøres opp.
Den nye aksjonæren får en inngangsverdi som tilsvarer vederlaget for aksjen. Det vil normalt ikke være sammenfall mellom denne inngangsverdien og den kapitalen som opprinnelig ble innbetalt på aksjen. Likevel videreføres skatteposisjonen innbetalt kapital basert på opprinnelig innbetaling på aksjen, til den nye aksjonæren.
Boks 8.9 Eksempel
En aksjonær (A) som har skutt inn 100 i aksjekapital, har 100 i skattemessig innbetalt kapital og 100 i inngangsverdi. Dette beløpet kan aksjonæren motta uten skattlegging, enten ved selskapets tilbakebetaling av innbetalt kapital og/eller i form av vederlag ved realisasjon av aksjeposten. Overdras aksjen til B for 120 og A ikke har mottatt tilbakebetaling av innbetalt kapital i eiertiden, får A en skattepliktig gevinst på 20.
At skatteposisjonen innbetalt kapital videreføres til ny aksjonær basert på opprinnelig innbetaling, kan i noen tilfeller føre til at aksjens innbetalte kapital er høyere enn aksjonærens inngangsverdi på aksjen. Det kan da oppstå tilfeller der aksjonæren får utdelinger i form av tilbakebetaling av innbetalt kapital som overstiger egen investering, uten skattlegging. Utdelingene trekkes fra aksjonærens inngangsverdi og aksjonæren får negativ inngangsverdi. Den negative inngangsverdien vil bli skattlagt senere i forbindelse med realisasjon av aksjen.
Dersom aksjen i eksempelet over overdras til B for 80 og A ikke har mottatt tilbakebetaling av innbetalt kapital, oppstår det et fradragsberettiget tap for A på 20. B vil da ha en inngangsverdi på 80, men skattemessig innbetalt kapital vil være 100. Dette beløpet kan B motta som tilbakebetaling av innbetalt kapital selv om Bs investering var 80. B vil da få en negativ inngangsverdi på 20, som vil komme til beskatning hvis B realiserer aksjen.
Hvis en aksjonær mottar tilbakebetaling av innbetalt kapital som overstiger aksjonærens inngangsverdi på aksjen, vil skattefritaket for den delen som overstiger inngangsverdien ikke være et endelig fritak. Det aksjonæren kan få tilbakebetalt uten beskatning er begrenset til investert beløp. Den negative inngangsverdien som oppstår, vil bli skattlagt ved senere realisasjon av aksjen. Det kan reises spørsmål ved begrunnelsen for en slik utsatt beskatning av utdelinger som overstiger inngangsverdien. Negativ inngangsverdi på aksjer kan også øke risikoen for at aksjene aldri blir solgt. Dersom aksjene gis bort i gave til f.eks. en skattefri institusjon, et aksjeselskap eller en aksjonær som ikke er skattemessig hjemmehørende i Norge, er det videre en risiko for at den latente gevinsten aldri blir skattlagt fordi gave ikke er realisasjon og derfor ikke utløser skatteplikt, og gevinsten ikke er skattepliktig i Norge når aksjene selges. Se Boks 8.9 for en illustrasjon av hvordan negativ inngangsverdi for aksjer kan oppstå.
Gjeldende regler gir rom for tilpasninger. En fysisk aksjonær A kan for eksempel skyte inn 10 mill. kroner i egenkapital i sitt heleide selskap M. Selskap M benytter innskuddet som egenkapitalinnskudd i sitt heleide datterselskap D. Det forutsettes videre at D mislykkes med sin virksomhet og at kapitalen går tapt. Den fysiske aksjonæren A kjøper da aksjene i D mot et symbolsk vederlag. Etter at A har overtatt aksjene, tilføres D 10 mill. kroner gjennom for eksempel fusjon. Midlene utdeles deretter til den fysiske aksjonæren A. Utdelingen gjennomføres som en kapitalnedsettelse, og er dermed skattefri for A. A vil etter kapitalnedsettelsen ha en negativ inngangsverdi på aksjene i D på 10 mill. kroner, som skal skattlegges når A realiserer aksjene. Hvis A aldri realiserer aksjene, forblir utdelingen skattefri.
Skatteetaten har opplyst at den i de senere årene har sett flere ulike måter å tilpasse seg reglene på, og at omfanget er økende. Eksempel på slike tilpasninger er tilfeller med kjøp av (mer eller mindre tomme) selskaper der aksjene har høy skattemessig innbetalt kapital. Selskapet kan senere fusjonere med kjøpers selskap for å kunne utnytte skatteposisjonen innbetalt kapital.
Praktiske utfordringer med dagens regler
Etter dagens regler er skatteposisjonen innbetalt kapital knyttet til den enkelte aksje. Dette gir en rekke praktiske utfordringer på aksjonærnivå.
Skatteposisjonen rapporteres ikke til skattemyndighetene. Innbetalt kapital per aksje fremgår derfor ikke av aksjonærregisteret, slik inngangsverdien gjør. Følgelig er det opp til aksjonæren å dokumentere skatteposisjonens størrelse.
I mange tilfeller kan det være vanskelig for aksjonærene å finne ut av og holde rede på innbetalt kapital på den enkelte aksje. Dette gjelder særlig selskaper med lang og innholdsrik historie. Har selskapet utstedt aksjer gjennom flere emisjoner, vil aksjene ofte være utstedt med ulik overkurs. For å finne riktig innbetalt kapital på aksjen, må aksjonæren da kjenne til om aksjen er utstedt i forbindelse med stiftelsen av selskapet eller ved hvilken emisjon den er utstedt. Videre må aksjonæren kjenne til eventuelle kapitalutvidelser uten utstedelse av nye aksjer og kapitalnedsettinger uten innløsning av aksjer. Andre hendelser som fusjoner, fisjoner, splitt eller spleis av aksjer vil også påvirke skatteposisjonen på den enkelte aksje. I mange tilfeller blir dette så uoversiktlig og utilgjengelig at det fører til feil ved aksjonærens fastsetting av skatteposisjonens størrelse, med den konsekvens at skattepliktig inntekt blir uriktig oppgitt.
Problemene med å følge innbetalt kapital på den enkelte aksje er særlig store i børsnoterte selskap. Skatte-ABC (Skatteetaten, 2021) gir anvisning på at innbetalt kapital på selskapsnivå i slike tilfeller kan fordeles likt på antall aksjer. Der en eller flere aksjonærer kan dokumentere innbetalt kapital på sine aksjer, skal dette legges til grunn for disse aksjene. For de øvrige aksjene beregnes da innbetalt kapital på selskapsnivå etter at det er gjort fradrag for slik dokumentert innbetalt kapital.
Utvalgets vurdering
Dagens regler om skattemessig innbetalt kapital er kompliserte, uoversiktlige, og i mange tilfeller vanskelig å praktisere. I tillegg kan de gi rom for tilpasninger. Hovedproblemet med dagens regler er etter utvalgets syn at skatteposisjonen er knyttet til innbetalt aksjekapital og overkurs på den enkelte aksje, uavhengig av eierskifte og kjøpers inngangsverdi på aksjen. Utvalget mener derfor at det er behov for å se på endringer av regelverket. Også Scheel-utvalget pekte på utfordringer ved reglene om tilbakebetaling av innbetalt kapital og ba Finansdepartementet om å utrede problemstillingen nærmere, jf. NOU 2014: 13 punkt 11.2.3.
Den enkleste løsningen ville være å anse alle utdelinger til personlige aksjonærer som skattepliktig utbytte. Aksjonærene ville da bare få fradrag for sine investeringer når investeringene ble realisert, det vil si i forbindelse med realisasjon av aksjen. Dette synes å være løsningen som er valgt i Sverige og Danmark. En slik løsning vil innebære en vesentlig forenkling av systemet. Den vil også være enkel å forholde seg til for norske aksjonærer i utenlandske selskap. På den annen side vil denne løsningen gjøre innskudd av egenkapital mindre fleksibelt. Utvalget mener dette vil være uheldig og foreslår derfor ikke en slik løsning.
Et annet alternativ til dagens regler som også kan bidra til å forenkle reglene, er å ta utgangspunkt i innbetalt kapital på selskapsnivå for å bestemme skatteposisjonen på den enkelte aksje. Det vil i praksis si at skatteposisjonen settes til aksjens forholdsmessige andel av innbetalt kapital i selskapet. En slik regel innebærer at det ikke vil være behov for å holde oversikt over innbetalinger og utdelinger knyttet til den enkelte aksje. I stedet må selskapene holde oversikt over faktisk innbetalt kapital i selskapet og rapportere endringer i skattemeldingen årlig. Videre tilsier en slik løsning etter utvalgets syn at også klassifiseringen av utdelinger utledes på selskapsnivå. Det vil si at det er selskapets forhold som avgjør om det foreligger innskutt eller opptjent kapital, og at det er selskapets beslutning som avgjør om utdelingen skal klassifiseres som tilbakebetaling av innbetalt kapital.
Utdelinger som i utgangspunktet klassifiseres som tilbakebetaling av innbetalt kapital, kan overstige aksjonærens inngangsverdi på aksjene. Etter gjeldende regler får aksjonæren negativ inngangsverdi på aksjene i slike tilfeller, noe som øker faren for tilpasninger. Etter utvalgets syn er det liten grunn til at aksjonæren skal få skattefrihet for utdelinger ut over inngangsverdien. Den tidligere aksjonæren kunne riktignok fått utbetalt innbetalt kapital skattefritt, men her som ellers bør regelen være at en skattyters skatteposisjon bestemmes av vedkommendes eget forhold. Dette tilsier at skattefriheten hos den enkelte aksjonær begrenses til aksjonærens inngangsverdi på aksjen.
Utvalget har også vurdert om klassifiseringen av utdelinger burde knyttes til en rekkefølgeregel. Denne kan utformes slik at utdelinger bare kan klassifiseres som tilbakebetaling av innbetalt kapital hvis selskapet ikke har tilbakeholdt opptjent kapital. Har selskapet tilbakeholdt opptjent kapital, skal utdelinger klassifiseres som utbytte uavhengig av selskapsrettslig utdelingsform. Etter utvalgets syn vil en rekkefølgeregel komplisere regelverket, og utvalget vil derfor ikke foreslå en slik regel.
Forslaget utvalget skisserer ovenfor, innebærer at skatteposisjonen innbetalt kapital settes til aksjens forholdsmessige andel av innbetalt kapital i selskapet. Hvorvidt en utdeling skal klassifiseres som tilbakebetaling av innbetalt kapital, avgjøres av selskapets beslutning om utdeling. For den enkelte aksjonær vil skattefrihet for tilbakebetaling av innbetalt kapital være begrenset til aksjonærens inngangsverdi på aksjen. Inngangsverdien skal som i dag nedskrives med den skattefrie tilbakebetalingen. Er utdelingen høyere enn aksjonærens inngangsverdi, skattlegges den delen av utdelingen som overstiger inngangsverdien, som utbytte.
En slik løsning innebærer endringer i eksisterende skatteposisjoner. På grunn av sammenhengen mellom tilbakebetaling av innbetalt kapital og aksjenes inngangsverdi, vil de skisserte forslagene i utgangspunktet innebære en forskyvning av tidspunktet for beskatning. Hvorvidt dette tilsier at det bør gis overgangsregler, må vurderes nærmere.
8.7.5 Kildeskatt på utbetaling ved likvidasjon
Etter norsk rett anses likvidasjon av selskap som realisasjon, jf. skatteloven § 10-37 første ledd. Utbetalinger ved likvidasjon av selskap skattlegges derfor som aksjegevinst, og ikke som aksjeutbytte.
For norske aksjonærer har denne klassifiseringen mindre betydning, ettersom disse aksjonærene i det alt vesentlige skattlegges på samme måte ved realisasjon av aksjegevinster som ved utdeling av aksjeutbytte. For utenlandske aksjonærer skaper klassifiseringen derimot rom for skatteplanlegging og tilpasninger. Det skyldes at utenlandske aksjonærer normalt bare ilegges norsk kildeskatt på aksjeutbytte, og ikke på aksjegevinster.
Å benytte seg av likvidasjon fremfor å dele ut aksjeutbytte for å unngå norsk kildeskatt, er en tilpasningsmulighet som for eksempel kan benyttes i private equity-bransjen. Utenlandske oppkjøpsfond som kjøper seg inn i et norsk selskap, har normalt til hensikt å selge med gevinst etter å ha videreutviklet det norske selskapet i noen år. Utenlandske oppkjøpsfond etablerer typisk et norsk holdingselskap, som står som kjøper av aksjene i målselskapet. En del av kjøpesummen finansieres med lån, som gir rentefradrag. Muligheten til å oppnå rentefradrag uten å ha vesentlige skattepliktige inntekter er riktignok innskrenket med rentebegrensningsregelen, og særlig etter utvidelser av denne regelen i 2019.
Når aksjene i det underliggende selskapet senere selges, kan det norske holdingselskapet få gevinsten skattefritt opp til seg ved hjelp av fritaksmetoden. Når det ikke lenger er bruk for det norske holdingselskapet, kan holdingselskapet likvideres, og det utenlandske oppkjøpsfondet kan dermed unngå norsk kildeskatt.
Etter utvalgets vurdering er det uheldig at utenlandske aksjonærer har mulighet til å unngå kildeskatt gjennom tilpasninger. En internrettslig hjemmel for kildeskatt på aksjegevinster ville imidlertid fått et begrenset anvendelsesområde, fordi skatteavtalene ofte gir aksjonærens hjemstat eksklusiv beskatningsrett til aksjegevinster.12 En kildeskatt på aksjegevinster vil trolig også gi store administrative utfordringer. Utvalget foreslår derfor at bestemmelsen i skatteloven § 10-37 første ledd endres, slik at utbetalinger ved likvidasjon behandles som utbytte i stedet for gevinst.
8.8 Nivået på beskatning av eierinntekt
Etter utvalgets vurdering er trolig effektivitetstapet ved beskatning av aksjeinntekter for personlige aksjonærer forholdsvis lavt. Det skyldes at selskapenes kapitalkostnader i en liten åpen økonomi som den norske, i stor grad avgjøres av avkastningskrav i de internasjonale kapitalmarkedene. For den delen av næringslivet som er avhengig av finansiering fra norske investorer, bidrar dessuten skjermingsfradraget i aksjonærmodellen til at eierbeskatningen i liten grad påvirker selskapenes kapitalkostnader, se punkt 8.5.2. Utvalget legger på denne bakgrunn til grunn at beskatningen av innenlandske, personlige aksjonærer har mindre betydning for det samlede omfanget av investeringer i Norge.
Nøytralitetsegenskapene til aksjonærmodellen bidrar videre til at den ekstra eierbeskatningen ikke gjør at aksjeinvesteringer som er lønnsomme før skatt, blir ulønnsomme etter skatt. Dersom det er betydelige satsforskjeller mellom beskatningen av aksjeinntekt i forhold til beskatningen av annen kapitalinntekt, slik det er i dag, kan det imidlertid ha uheldige virkninger. Utvalget anbefaler derfor å redusere disse forskjellene vesentlig, se om beskatning av kapitalinntekt utenfor selskap i kapittel 9.
Som det fremgår i punkt 8.4.1 over, er dagens eierbeskatning i stor grad utformet for å bygge bro mellom kapitalbeskatningen og beskatningen av arbeidsinntekt. Ved fastsettelsen av nivået på eierbeskatningen er det lagt betydelig vekt på at det ikke bør være mulig å unngå skatt i vesentlig omfang ved å ta ut reelle arbeidsinntekter som utbytte i stedet for lønn, gjennom såkalt inntektsskifting. Inntektsskifting reduserer skatteinntektene, svekker omfordelingsegenskapene i personbeskatningen og kan svekke legitimiteten til skattesystemet.
Med dagens differanse mellom høyeste marginalskatt på aksjeinntekt (inkludert selskapsskatt) og lønnsinntekt (inkludert arbeidsgiveravgift) på 4,4 prosentenheter, kan insentivet for inntektsskifting være betydelig for aktive eiere som har høye inntekter og som kan velge om inntekten tas ut som lønn eller utbytte. Samtidig bør det påpekes at langt fra alle personlige aksjonærer er i posisjon til å velge mellom å ta ut inntekt som lønn eller utbytte. Videre er det mangel på empiri som viser hvor utbredt problemet med inntektsskifting er i Norge. Se nærmere beskrivelse av inntektsskiftingsinsentivet i boks 8.10.
Boks 8.10 Eksempel på inntektsskifting
I 2022 er selskapsskattesatsen på 22 pst. Aksjeinntekt som utdeles til personlig aksjonær, oppjusteres med faktoren 1,6 før inntekten beskattes som alminnelig inntekt med 22 pst. Det gir en samlet marginalskattesats på 49,5 pst. Høyeste marginalskattesats på lønnsinntekter er 53,9 pst. inkludert arbeidsgiveravgift, og inntreffer for brutto inntekter utover 2 mill. kroner. I inntektsintervallet 969 200 kroner–2 000 000 kroner er marginalskattesatsen for lønnsinntekter 53,0 pst. inkludert arbeidsgiveravgift. Ettersom lønnsinntekter, i motsetning til aksjeinntekter, gir grunnlag for opptjening av rettigheter i folketrygden, er det ikke nødvendigvis gunstig å ta ut inntekter som aksjeinntekt istedenfor lønnsinntekt, selv om det gir lavere skatt. Opptjeningen av rettigheter i folketrygden gjelder inntekter opptil 7,1 G, som i 2022 er om lag 780 000 kroner. For inntekter utover dette, vil det være en ren skattebesparelse å ta ut inntekter som aksjeinntekt istedenfor som lønnsinntekt.
Følgende eksempel kan illustrere betydningen av inntektsskifting: En konsulent driver virksomhet gjennom eget aksjeselskap og har en inntjening på 2 mill. kroner i 2022. Dette er arbeidsintensiv virksomhet, og konsulenten har derfor ikke investert midler slik at vedkommende oppnår et skjermingsfradrag i aksjeinntekten av betydning. Konsulenten tar ut en lønnsinntekt fra selskapet på 1 mill. kroner. Dersom den neste millionen også tas ut som lønnsinntekt, må konsulenten betale 530 000 kroner i skatt inkludert arbeidsgiveravgift. Hvis millionen i stedet tas ut som utbytte, blir skatten 495 000 kroner, altså 35 000 kroner lavere.
Dersom konsulenten i eksempelet over har en inntjening på 10 mill. kroner i 2022, vil konsulenten oppnå en skattebesparelse på om lag 390 000 kroner ved å ta ut 9 millioner kroner som utbytte istedenfor som lønnsinntekt.1
1 1 mill. kroner * (53,0 pst.-49,5 pst) + 8 mill. kroner (53,9 pst.-49,5 pst.) = 387 000 kroner.
Utvalgets flertall, alle unntatt Bettina Banoun, Benn Folkvord, Elin Sarai, Karen Helene Ulltveit-Moe og Frederik Zimmer, mener at hensynet til å unngå inntektsskifting taler for at samlet marginalskatt for inntekter som opptjenes i selskap og deles ut som utbytte, ikke bør avvike vesentlig fra høyeste marginalskatt på lønnsinntekter inkludert arbeidsgiveravgift, se også punkt 9.7. Utvalgets flertall viser videre til at aksjeinntekter er konsentrert i toppen av inntektsfordelingen, jf. punkt 4.4. Hensynet til nøytralitet i beskatningen og hensynet til horisontal likhet trekker i retning av at inntekt bør beskattes mest mulig likt, uavhengig av om inntekten kommer i form av kapitalinntekt eller høy lønnsinntekt.
Utvalgets flertall peker også på at latente aksjeinntekter for personlige aksjonærer er høye, og at de anslås å ha vært i størrelsesorden 1 500–3 100 mrd. kroner per 2016, se punkt 8.5.6. Å endre den effektive skattesatsen for aksjeinntekter for personer med én prosentenhet, vil dermed anslagsvis endre den latente skatteforpliktelsen for personlige aksjonærer med 15–30 mrd. kroner. Det er grunn til å tro at latente aksjeinntekter har fortsatt å vokse i årene etter 2016. Endringer i latente skatteforpliktelser ved endret skattesats på aksjeinntekter fremkommer ikke i beregninger av kortsiktige provenyvirkninger og fordelingsvirkninger ved endret eierskatt, men kan likevel være verdt å vektlegge når en vurderer virkninger av endret nivå på eierskatten.
Etter utvalgets flertalls syn taler hensynet til å unngå inntektsskifting, fordelingshensyn og hensynet til provenyvirkninger for at nivået på eierbeskatningen ikke bør settes vesentlig ned.
På den andre siden taler flere forhold for at nivået på eierskatten heller ikke bør settes for høyt. Utvalget peker for det første på at risikoen for misbruk og skatteunngåelse normalt øker med skattesatsen. For det andre kan høy samlet beskatning av kapitaleiere føre til at flere velger å flytte til land med lavere skattenivå, og at færre kapitaleiere ønsker å flytte til Norge. Utvalget foreslår derfor ikke å øke den samlede beskatningen av formue og kapitalinntekter.
Videre viser utvalget til at selv om aksjonærmodellen har gode nøytralitetsegenskaper som er forankret i økonomisk teori, vil det ikke være mulig å oppnå perfekt nøytralitet i praksis. Eierbeskatningen vil derfor kunne føre til vridninger som til en viss grad kan få betydning blant annet for nivå og sammensetning av sparing, og slike vridninger vil i så fall øke med skattesatsen.
Etter en samlet avveining av ulike hensyn foreslår utvalgets flertall at den effektive skattesatsen for eierinntekter for personlige aksjonærer reduseres fra 35,2 pst. til 34 pst. Dette anslås å gi et årlig provenytap på om lag 1 mrd. kroner. Sett i sammenheng med at utvalget foreslår redusert marginalskatt på lønn, jf. kapittel 6, vil utvalgets forslag medføre at samlet marginalskatt på selskapsinntekt som deles ut som utbytte, blir 48,6 pst., mens høyeste marginalskattesats på arbeidsinntekter inkludert arbeidsgiveravgift blir 53,0 pst. Differansen på 4,4 pst. innebærer at insentivet til inntektsskifting ikke endres sammenlignet med 2022-regler.
Utvalgets flertall vil for øvrig understreke behovet for stabilitet og forutsigbarhet ved skattlegging av aksjeinntekt og annen eierinntekt fra selskap. Erfaring viser at endringer i nivået på eierbeskatningen fører til betydelige tilpasninger, noe som gir en rekke uheldige konsekvenser. Det vises i denne forbindelse til kapittel 5, hvor behovet for stabilitet og forutsigbarhet i skattesystemet er omtalt mer generelt.
Utvalgets medlemmer Bettina Banoun, Benn Folkvord, Elin Sarai, Karen Helene Ulltveit-Moe og Frederik Zimmer foreslår etter en samlet avveiing at den effektive skattesatsen for eierinntekter for personlige aksjonærer settes til 31,7 pst., dvs. tilnærmet det den var i 2021.
Disse medlemmer er enig med flertallet i at skattesatsen for aksjeinntekt har en viktig rolle å spille mht. å motvirke inntektsskifting mellom lønns- og kapitalinntekt. Disse medlemmer viser til at den skattesatsen som gjaldt på aksjeutbytte frem til 2021, nemlig 31,68 pst., sammen med en selskapsskattesats på 22 pst., utgjorde 46,7 pst., som var litt høyere enn høyeste marginalskattesats for lønnsinntekter eksklusive arbeidsgiveravgift (46,4 pst.). Selv om dette ga en samlet beskatning av kapitalinntekt som er noe lavere enn lønn inklusive arbeidsgiveravgift (53 pst.), er det ikke rapportert om at denne rettstilstanden har ledet til noen omfattende inntektsskifting. Idet et samlet utvalg går inn for å redusere skatten på arbeidsinntekt slik at høyeste marginalskatt igjen blir 46,4 pst., er disse medlemmer av den oppfatning at en kapitalinntektsskattesats på det nivået som gjaldt for aksjeutbytte frem til 2021, avrundet til 31,7 pst., er tilstrekkelig til å forebygge inntektsskifting.
Disse medlemmene vil også understreke at en stor del av norske personlige aksjonærer ikke er i en situasjon hvor inntektsskifting er aktuelt. Dette gjelder blant annet de 46 pst. av befolkningen som har andeler i aksjefond.13
Disse medlemmene har merket seg at det har vært argumentert med at en endring av skattesatsen på aksjeutbytte vil innebære en endring av den såkalte latente skatteforpliktelsen som ligger i ikke utdelt overskudd i aksjeselskapene. Implikasjonen synes å være at en reduksjon av skattesatsen fra dagens nivå på 35,2 pst., innebærer en betydelig skattefri overføring av verdier til aksjonærene. Men en reduksjon av skattesatsen for aksjeutbytte fra dette nivået til nivået fra 2021 på 31,7 pst., innebærer bare en tilbakeføring av den økningen i latente skatteforpliktelser som var et resultat av økningen av skattesatsen på aksjeutbytte 2021 til 2022. Disse medlemmer kan ikke se at dette er problematisk ut fra et fordelingshensyn. Disse medlemmer bemerker også at når dette argumentet ses i sammenheng med at flertallet mener at skattesatsen bør være den samme for aksjeinntekt og annen kapitalinntekt utenfor selskap, innebærer det at argumentet om ikke å redusere latent skattepliktige verdier i aksjeselskap, i realiteten brukes også for å begrunne en høy skattesats på annen kapitalinntekt enn aksjeinntekt, der noe hensyn til latent skatteplikt ikke gjør seg gjeldende.
Disse medlemmene har også merket seg at det har vært argumentert for en relativt høy skattesats bl.a. med at aksjeinntekter er konsentrert i toppen av inntektsfordelingen. Dette er etter disse medlemmers syn et argument med svært begrenset rekkevidde. Argumentet tar etter disse medlemmers syn ikke tilstrekkelig hensyn til at det er en rekke aksjonærer som ikke er konsentrert i toppen av inntektsfordelingen, noe som den økende andelen av befolkningen med andeler i aksjefond og investeringer i aksjer på Oslo Børs illustrerer.14
Utvalgets medlemmer Karen Helene Ulltveit-Moe og Elin Sarai viser avslutningsvis til de samme medlemmenes forslag om å øke selskapsskattesatsen til 24 pst., jf. kapittel 7. Kombinert med en kapitalinntektsskatt på 31,7 pst. gir dette en samlet marginalskatt på aksjeinntekt på 48,1 pst. som er ubetydelig lavere enn satsen som utvalgets flertall foreslår (48,5 pst.).
Utvalgets medlem Bettina Banoun mener at en eventuell opptrapping av selskapsskatten må motsvares av en korresponderende nedtrapping av kapitalinntektsskatten, slik at samlet beskatning også ved en opptrapping av selskapsskatten forblir på 46,7 pst., slik den var i årene 2014–2021. I så fall blir satsstrukturen som i 2017, hvor selskapsskattesatsen var 24 pst. og utbytteskatten om lag 30 pst.
Vedlegg 1 Utbytteskatt og risikable investeringer
Dette vedlegget viser at utbytteskatt med symmetrisk tapsfradrag ikke trenger å påvirke forventet avkastning og risiko i en investeringsportefølje. Effekten av utbytteskatt kan nøytraliseres ved å øke eksponeringen mot aksjer. Det gjør at rasjonelle investorer vil ønske å kjøpe seg opp i aksjer hvis utbytteskatten øker. Resultatet er uavhengig av investorens investeringsstrategi, avkastningsprofilen på aksjene og andre egenskaper med det økonomiske systemet.
La det eksistere en aksje (eller hvilket som helst veddemål) med prosentavkastning 
(1)
(2)
(3)
Forventet avkastning fanger opp hvor lønnsom aksjen er, ettersom høy forventningsverdi innebærer større sannsynlighet for at avkastningen blir stor. Standardavvik fanger opp hvor risikabel aksjen er, ettersom høyt standardavvik innebærer større sannsynlighet for at avkastningen avviker mye fra forventningsverdien. Skjevhet (Pearson-koeffisienten) fanger opp asymmetrisk risiko i aksjen. Positiv skjevhet betyr at dårlige utfall er uforholdsmessig mer sannsynlig enn bra utfall; jo større skjevheten er, jo mer av sannsynlighetsmassen ligger på dårlige utfall.
Anta at det betales skatt av avkastning utover risikofri rente, slik at skatten utgjør
(4)
hvor rF < µ er risikofri rente og t er skattesatsen på utbytte. Hvis det er skatt på risikofri rente, forstås rF som risikofri rente netto av skatt. Skattefunksjonen (4) innebærer at det gis skjermingsfradrag for risikofri avkastning, slik at det bare er risikopremien som beskattes. Skattefunksjonen innebærer også at det gis fullt fradrag for tap, ettersom tilfellet rA < rF betyr at investoren får utbetalt skatt.
La andelen av porteføljen som investeres i aksjen være w pst. Hvis 
Avkastningen på porteføljen netto av skatt er
(5)
Forventet avkastning, standardavvik og skjevhet for porteføljen er da
(6)
(7)
(8)

Uttrykk (6) forteller at forventet avkastning fra porteføljen kan økes ved å øke aksjeandelen, w. Hvis utbytteskatten øker, reduseres forventet avkastning fra porteføljen. Uttrykk (7) forteller at risikoen i porteføljen blir større hvis aksjeandelen økes. Det betyr at det foreligger en avveiing mellom forventet avkastning og risiko. Jo større utsikter til avkastning som ønskes, jo større risiko må aksepteres. Uttrykk (7) forteller også at risikoen reduseres når utbytteskatten økes. Uttrykk (8) forteller at skjevheten i porteføljeavkastningen er lik skjevheten i aksjeavkastningen selv. Det betyr at skjevheten er uavhengig av både porteføljeandelene, w og 1 – w, og utbytteskatten, 
Hvis skattesatsen, 

(9)

som forteller hvor mye aksjeandelen må økes for å holde forventet porteføljeavkastning uendret når utbytteskatten øker.
Hvis skattesatsen, 


(10)

som forteller hvor mye aksjeandelen må økes for å holde porteføljerisikoen uendret når utbytteskatten øker.
Ettersom uttrykk (9) og (10) er identiske, vil nøytralisering av forventet porteføljeavkastning automatisk innebære nøytralisering av porteføljerisiko. Dette betyr at man kan skjerme seg fra virkningene av økt utbytteskatt. For en rasjonell investor spiller det dermed ingen rolle hva utbytteskatten er (så lenge den er mindre enn 100 pst.); investoren kan alltid finne tilbake til sin foretrukne avveining mellom forventet avkastning og risiko, gjennom å kjøpe seg opp i aksjer. Det understrekes at dette resultatet ikke krever forutsetninger om sannsynlighetsfordelingen til aksjen. Resultatet gjelder derfor for ethvert verdipapir som har usikker avkastning.
Resultatets uavhengighet av sannsynlighetsfordelingen innebærer også at det ikke spiller noen rolle om fordelingen anses som frekventistisk eller bayesisk. En frekventistisk fordeling er en «ekte» fordeling i den forstand at den karakteriserer usikkerhetsegenskaper som er gitt fra naturen. En bayesisk fordeling karakteriserer derimot usikkerhet som skyldes mangelfull informasjon. F.eks. er sannsynligheten 1/6 for å få 6 i et terningkast. Men hvis du har fått beskjed om at terningen viser et tall større enn 3, øker sannsynligheten for at terningen viser 6 til 1/3. Får du beskjed om at terningen viser 6, øker sannsynligheten ytterligere, til 1. Sannsynlighetsfordelingen, og dermed usikkerheten, påvirkes altså av informasjonen du har tilgjengelig (og evnen du har til å prosessere den). I bayesisk statistikk er sannsynlighetsfordelingen derfor et mål på hvor god informasjon du har, istedenfor at fordelingen karakteriserer en ev. «ekte» usikkerhet.
Dette er sentralt når det kommer til aksjer. Profesjonelle investorer har tilgang på mye mer informasjon enn amatører har, og de har større evne til å analysere informasjonen. Det gjør at sannsynlighetsfordelingen for en aksje ser annerledes ut for en profesjonell investor enn for en amatørinvestor. At resultatet over er uavhengig av sannsynlighetsfordelingen til aksjen, betyr at det ikke spiller noen rolle hvordan investors forståelse av usikkerheten er kommet til. Sannsynlighetstettheten f(rA) kan være en funksjon som karakteriserer utsiktene til avkastning etter grundig analyse av aksjen. Men like gjerne kan f(rA) være en funksjon som karakteriserer utsiktene til avkastning ut fra ville gjetninger og vrangforestillinger.
Enkelt regneeksempel til illustrasjon
Anta at avkastningen på aksjen har to mulige utfall, rA = 25 pst. og rA = -10 pst. Hver av utfallene er like sannsynlige. Forventet avkastning fra aksjen er dermed 7,5 pst. Videre legges det til grunn at risikofri rente er rF = 2,5 pst. Under disse forutsetningene angir tabell 8.1 forventet porteføljeavkastning og porteføljerisiko for ulike investeringsstrategier og skatteregimer.
Tabellen illustrerer at hvis en investor ønsker f.eks. 4,8 pst. forventet avkastning, må investoren akseptere at porteføljerisikoen blir 7,9 pst.16 Hvis det ikke betales skatt av avkastningen, oppnås denne porteføljeprofilen ved å velge 45 pst. aksjeandel. Hvis utbytteskatten er 25 pst., må investoren øke aksjeandelen til 60 pst. for å beholde profilen. Til sist gjør en utbytteskatt på 50 pst. at aksjeandelen må økes til 90 pst. for å opprettholde 4,8 pst. forventet avkastning og 7,9 pst. porteføljerisiko.
Tabell 8.1 Forventet porteføljeavkastning og porteføljerisiko for ulike aksjeandeler og utbytteskattesatser. Prosent
Ingen utbytteskatt | Utbytteskatt på 25 pst. | Utbytteskatt på 50 pst. | ||||
|---|---|---|---|---|---|---|
Aksjeandel | Forventet porteføljeavkastning | Porteføljerisiko | Forventet porteføljeavkastning | Porteføljerisiko | Forventet porteføljeavkastning | Porteføljerisiko |
0 | 2,5 | 0,0 | 2,5 | 0,0 | 2,5 | 0,0 |
5 | 2,8 | 0,9 | 2,7 | 0,7 | 2,6 | 0,4 |
10 | 3,0 | 1,8 | 2,9 | 1,3 | 2,8 | 0,9 |
15 | 3,3 | 2,6 | 3,1 | 2,0 | 2,9 | 1,3 |
20 | 3,5 | 3,5 | 3,3 | 2,6 | 3,0 | 1,8 |
25 | 3,8 | 4,4 | 3,4 | 3,3 | 3,1 | 2,2 |
30 | 4,0 | 5,3 | 3,6 | 3,9 | 3,3 | 2,6 |
35 | 4,3 | 6,1 | 3,8 | 4,6 | 3,4 | 3,1 |
40 | 4,5 | 7,0 | 4,0 | 5,3 | 3,5 | 3,5 |
45 | 4,8 | 7,9 | 4,2 | 5,9 | 3,6 | 3,9 |
50 | 5,0 | 8,8 | 4,4 | 6,6 | 3,8 | 4,4 |
55 | 5,3 | 9,6 | 4,6 | 7,2 | 3,9 | 4,8 |
60 | 5,5 | 10,5 | 4,8 | 7,9 | 4,0 | 5,3 |
65 | 5,8 | 11,4 | 4,9 | 8,5 | 4,1 | 5,7 |
70 | 6,0 | 12,3 | 5,1 | 9,2 | 4,3 | 6,1 |
75 | 6,3 | 13,1 | 5,3 | 9,8 | 4,4 | 6,6 |
80 | 6,5 | 14,0 | 5,5 | 10,5 | 4,5 | 7,0 |
85 | 6,8 | 14,9 | 5,7 | 11,2 | 4,6 | 7,4 |
90 | 7,0 | 15,8 | 5,9 | 11,8 | 4,8 | 7,9 |
95 | 7,3 | 16,6 | 6,1 | 12,5 | 4,9 | 8,3 |
100 | 7,5 | 17,5 | 6,3 | 13,1 | 5,0 | 8,8 |
Vedlegg 2 Utsettelse av eierskatt gjennom låneopptak
Harding m.fl. (2021) omtaler ulike metoder for aksjonærer til å benytte tilbakeholdte overskudd til eget forbruk uten å betale skatt. En av metodene forskerne skisserer, tar som utgangspunkt at investor skal kjøpe et hus privat som kan finansieres med utbytte fra selskap. Alternativt kan utbyttet bli stående i selskapet, og investor kan ta opp et privat lån og finansiere huskjøpet. Forskerne mener at dette alternativet, med utsatt eierbeskatning kombinert med privat lån, gir en skattebesparelse, og at strategien er et smutthull som bryter med intensjonen i skattesystemet om at selskapsinntekter skal skattes på privat hånd før de brukes til å finansiere privat forbruk.
I det følgende vurderes de to strategiene, omtalt hhv. strategi 1 og 2, sammenholdt med en tredje strategi:
Utgangspunkt: Ved begynnelsen av en periode har en aksjonær et tilbakeholdt overskudd i sitt selskap på 1 krone etter selskapsskatt, og skal konsumere (1 – a) i perioden. Hele det tilbakeholdte overskuddet overstiger aksjonærens skjermingsfradrag.
a = skattesats for utbytte
t = skattesats for alminnelig inntekt for personer og selskap
ra = avkastning i selskap før skatt
rf = lånerente før skatt
rs = skjermingsrente
Strategi 1: Aksjonæren får utbetalt utbytte på 1 fra selskapet ved begynnelsen av perioden, betaler utbytteskatt på a og sitter igjen med (1 – a), som konsumeres.
Strategi 2: Aksjonæren låner (1 – a) i banken privat og konsumerer (1 – a). Overskuddet på 1 krone blir stående i selskapet. Ved slutten av perioden tas det gamle og det nyskapte overskuddet i selskapet ut, og det private lånet nedbetales.
Strategi 3: Aksjonæren får utbetalt utbytte på 1 fra selskapet ved begynnelsen av perioden, betaler utbytteskatt på a og sitter igjen med (1 – a), som konsumeres. Så låner aksjonæren 1 krone og investerer den i aksjer.
Alle strategier innebærer et konsum på (1 – a). Etter perioden sitter aksjonæren igjen med en horisontverdi fra strategi i på 

Horisontverdien ved strategi 2 kan skrives:

… der første ledd er mottatt utbytte fra selskapet etter selskapsskatt og eierskatt ved slutten av perioden. Andre ledd er tilbakebetaling av hovedstolen på lånet, mens tredje ledd er betaling av renter til banken og skatteverdien av rentefradraget. Uttrykket forenkles til

Horisontverdien ved strategi 3 kan skriver:

… der første ledd er realisasjon av aksjeinvesteringen inkludert avkastningen etter selskapsskatt. Andre ledd er eierskatt utover skjermingsfradrag, mens tredje og fjerde ledd er hhv. tilbakebetaling av lånet med renter etter skattefradrag. Uttrykket kan forenkles til

Horisontverdien av strategi 1 er uavhengig av den usikre aksjeavkastningen , i motsetning til horisontverdiene av strategiene 2 og 3, som kan uttrykkes slik:


Tilpasningen beskrevet av Harding m.fl. (2021) innebærer valg av strategi 1 istedenfor strategi 2.Strategi 1 innebærer ingen risikoeksponering og ingen mulighet for tap eller gevinst. Strategi 2 på sin side gir en horisontverdi som varierer med avkastningen i selskapet, og strategien fører aksjonæren i tapsposisjon hvis avkastningen er negativ. Dette gjør det problematisk å sammenligne de to strategiene, da forskjeller i forventet avkastning kan skyldes risikotaking, og ikke innretningen av skattesystemet.
For at strategi 2 skal gi høyere forventet horisontverdi enn strategi 1, må avkastningen på kapitalen i selskapet være høyere enn aksjonærens lånerente, altså ra > rf. I så fall er det nærliggende å forklare høyere forventet avkastning med at aksjeinvesteringen innebærer risiko, som aksjonæren kan få betalt for i form av risikopremie. Hvis ra > rf, så vil strategi 2 gi høyest forventet horisontverdi selv uten eierskatt, der a = 0. I så tilfelle er det åpenbart ikke noen fordel å utsette eierskatten. Eventuell høyere forventet avkastning ved strategi 2 sammenlignet med strategi 1 må derfor kunne forklares med meravkastningen i selskapet sammenlignet med lånekostnaden, og ikke med at strategien innebærer noen skattebesparelse.
Strategi 2 og 3 innebærer like eksponeringer mot den usikre avkastningen. Strategi 3 skiller seg fra 2 ved at aksjonæren tar ut utbytte og gjør opp den latente eierskatten ved begynnelsen av perioden. For å vurdere om det lønner seg å utsette eierskatten og lånefinansiere privat konsum, er det derfor mer farbart å sammenligne strategi 2 med strategi 3. Denne sammenligningen blir helt parallell med analysen i Bjerksund og Schjelderup (2021a). I Strategi 2 og 3 ovenfor blir det sammenlignet to aksjeinvesteringer på 1 krone, som begge er finansiert med en andel lån 1 – a og resterende finansering av a med hhv. latent eierskatt og lån. Hvilken av de to strategiene som gir høyest forventet horisontverdi, avhenger av forholdet mellom skjermingsrenten og lånerenten, samt andre mulige fordeler og ulemper med å utsette eierskatt, jf. drøftelsene i punkt 8.5.6.
Foreløpig kan det konkluderes at dersom en vurderer det som en fordel å utsette eierskatt, så er dette en generell fordel for alle aksjonærer som utsetter eierskatten, og det er ingen særegen fordel å utsette eierskatten for aksjonærer som tar opp lån for å utsette eierskatten. Lånopptak vil imidlertid kunne være metode for å oppnå utsettelse av eierskatten, og den samme, eventuelle fordelen som andre aksjonærer som utsetter eierskatten.
Med virkning for 2016 ble det innført en særregel om at lån fra selskap til personlig aksjonær skal beskattes som utbytte, for å motvirke omgåelse av utbytteskatt, se Prop. 1 LS (2015–2016) punkt 5.1. Med et stilisert oppsett kan det vises at utsettelse av eierskatt med lån fra eget selskap ikke vil innebære noen særegen fordel sammenlignet med andre metoder for utsettelse eierskatt, gitt at lånerenten er satt markedsmessig. Det å betale renter til sitt eget selskap, er i utgangspunktet en ulempe ettersom renteinntektene til selskapet blir belastet med (latent) eierskatt, noe som motsvarer fordelen av å utsette eierskatten på tilbakeholdte overskudd. Slike lån kan imidlertid være skattebesparende dersom renten settes for lavt. Hvis for eksempel renten settes til null, blir det ingen eierskatt på selskapets renteinntekter fra aksjonæren, kun en utsettelse av eierskatten. Det at lånerenten mellom nærstående er manipulerbar og kan være krevende å kontrollere, kan derfor tale for en særlig regulering av denne formen for tilpasning.
Om skatteinntektene
Mens det her argumenteres for at det er økt risikotaking som forklarer eventuell fordel ved å lånefinansiere aksjeinvesteringer, argumenterer Harding m.fl (ibid.) for at det er skattebesparelse ved utsatt eierskatt som utgjør fordelen. I det videre undersøkes derfor skattebelastningen ved de ulike strategiene 1–3.
Statens skatteinntekter ved de tre strategiene kan uttrykkes som følger, der

… som kommer fra eierskatt ved begynnelsen av perioden.
Skatteinntektene ved strategi 2 kan uttrykkes:

… der første ledd i telleren er eierskatt på det opprinnelige tilbakeholdte overskuddet. Andre leddet er eierskatt på avkastningen i selskapet etter selskapsskatt. Tredje ledd er selskapsskatten på avkastningen i selskapet, og fjerde ledd er skatteverdien av rentefradraget for aksjonærens private lån på (1 – a).
Skatteinntektene ved strategi 3 kan uttrykkes:

… der første ledd er eierskatten ved begynnelsen av perioden, første ledd i telleren er eierskatt på avkastningen i selskapet etter selskapsskatt, andre ledd skjermingsfradrag, tredje ledd selskapsskatt og fjerde ledd skatteverdien av rentefradraget for aksjonærens private lån på 1 krone.
Differansen mellom skatteinntektene ved strategi 1 og 2, sammenligningen til Harding m.fl., blir:

Første ledd viser at staten får en merinntekt fra utbytteskatten ved strategi 2 dersom avkastningen i selskapet overstiger statens diskonteringsrente 
Det er her forutsatt at avkastningen i selskapet skattlegges med samme skattesats som fradraget til aksjonæren for renter på det private lånet. I regneeksempelet til Harding m.fl. (ibid.) er ikke selskapsskatten regnet med, ev. forutsatt at skattesatsen på inntekter i selskaper er null. Når forskerne med dette finner en skattebesparelse ved å utsette eierskatten gjennom å lånefinansiere aksjeinvesteringer, skyldes ikke dette at eierskatten utsettes, men at investeringen gir skattefrie inntekter i selskapet og samtidig et skattefradrag for lånefinansieringen. Med denne regnemetoden vil alle som lånefinansierer aksjeinvesteringer oppnå en skattebesparelse, uavhengig av om det knytter seg latent eierskatt til aksjeinvesteringen.
Om pantsettelse av aksjer
Dersom en legger til grunn at aksjonærmodellen er periodiseringsnøytral, så skal det være like verdifullt å eie aksjer med en markedsverdi på 1 krone, der aksjonæren har en latent eierskatt på a knyttet til investeringen, som å eie aksjer til verdi av (1 – a), uten noen latent eierskatt knyttet til investeringen. Det fremstår imidlertid intuitivt at det å pantsette aksjer til verdi av 1 krone, vil være en større fordel for aksjonæren enn å pantsette aksjer til verdi av (1 – a) kroner. Dette vil gi banken bedre dekning for kravet og ventelig lavere lånerente for den lånefinansierte aksjonæren. Men når det kommer til en eventuell innløsing av pantsatte aksjer for 1 kroner, der aksjonæren har en latent eierskatt på a, vil i utgangspunktet innløsning av aksjene være en realisasjon som gjør at aksjonæren må betale eierskatten. Så lenge staten vil få gjort opp den latent eierskatten ved innløsing av pantsatte aksjer, så vil ikke aksjonærens fordel ved å «pantsette latent eierskatt» gjennom lavere lånerente komme på bekostning av staten, men på egen bekostning, siden aksjonæren i så fall risikerer å ende opp både med tap av aksjene og en skatteregning. Aksjonæren som pantsetter aksjer til verdi av (1 – a) uten noen latent eierskatt, risikerer bare å miste aksjene.
Dersom staten ikke er garantert å få gjort opp latent eierskatt knyttet til pantsatte aksjer, stiller dette seg annerledes. Dette vil eventuelt kunne være tilfelle dersom realisasjon av pantet i forbindelse med konkursoppgjør blir ansett som skattefri gjeldsettergivelse. Dersom realisasjon av pantsatte aksjer kan innebære at eventuell latent eierskatt bortfaller helt eller delvis, så vil pantsettelsen innebære at staten bærer deler av risikoen for at lånet misligholdes, til fordel for både banken og låntaker. I så fall vil det å pantsette aksjer med latent eierskatt kunne innebære en utsettelse av eierskatt med en særegen fordel.
Referanser
Aaberge, R., Modalsli, J. H., & Vestad, O. L. (2020). Ulikheten–betydelig større enn statistikken viser. SSB analyser, 13.
Aaberge, R., Mogstad, M. Vestad, O.L. & Vestre, A. (2021). Økonomisk ulikhet i Norge i det 21. århundre. SSB rapporter 2021/33.
Alstadsæter, A., Kopczuk, W., & Telle, K. (2014). Are Closely Held Firms Tax Shelters?. Tax Policy and the Economy, 28(1), 1-32.
Andresen, M. E. (2022). Latente eierinntekter og skatteplikt på unoterte aksjer etter aksjonærmodellen. SSB rapporter 2022/37.
Andresen, M. E., & Bø, E. E. (2022). Verdsetting av unoterte selskaper. SSB rapporter 2022/31.
Auerbach, A. J. (1988). Retrospective capital gains taxation. Working Paper No. 2792. NBER Working Paper Series. National Bureau of Economic Research.
Bastani, S., & Waldenström, D. (2020). How should capital be taxed?. Journal of Economic Surveys, 34(4), 812-846.
Bjerksund, P., & Schjelderup, G. (2021a). Er den norske aksjonærbeskatningen nøytral?. Samfunnsøkonomen 2021 nr. 4, s. 43-52
Bjerksund, P., & Schjelderup, G. (2021b). Aksjonærmodellen og fritaksmetoden: Et tohodet troll. Samfunnsøkonomen 2021 nr. 4, s. 53-63.
Bjerksund, P., & Schjelderup, G. (2022). Investors utbyttebeslutning og formuesskatt. Samfunnsøkonomen 2022 nr. 2, s. 27-34.
Chamley, C. (1986). Optimal taxation of capital income in general equilibrium with infinite lives. Econometrica: Journal of the Econometric Society, 607-622.
Congressional Research Service (2021). Tax Treatment of Capital Gains at Death. 4. Juni 2021. Tilgjengelig fra: https://crsreports.congress.gov/product/pdf/IF/IF11812
Dagens Næringsliv. (2019, 13. desember). Milliardærenes skattefrie pengebinger. Tilgjengelig fra: https://www.dn.no/magasinet/dokumentar/skatt/formue/fritaksmetoden/norges-rikeste-far-80-milliarder-i-skattefrie-inntekter-i-aret/7-1-z_r7vzct
Department of the Treasury. (2022). General Explanations of the Administration’s Fiscal Year 2023 Revenue Proposals. Tilgjengelig fra: https://home.treasury.gov/system/files/131/General-Explanations-FY2023.pdf
De Mooij, R., & Klemm, A. D. (2021) Why and How to Tax Corporate Income. I de Mooij, R., Klemm, A. D., Perry, V. J. (Red.), Corporate Income Taxes under Pressure. Washington D.C.: International Monetary Fund.
Domar, E. D., & Musgrave, R. A. (1944). Proportional income taxation and risk-taking. The Quarterly Journal of Economics, 58(3), 388-422.
Finansdepartementet. (1990). Ot.prp. nr. 35 (1990–1991) Skattereformen 1992. Oslo: Finansdepartementet.
Finansdepartementet. (2004a). St.meld. nr. 29 Om skattereform (2003–2004). Oslo: Finansdepartementet.
Finansdepartementet. (2004b). Ot.prp. nr. 1 (2004–2005) Skatte- og avgiftsopplegget 2005 – lovendringer. Oslo: Finansdepartementet.
Finansdepartementet. (2004c). Ot.prp. nr. 92 (2004–2005) Om lov om endringer i skatte- og avgiftslovgivningen mv. Oslo: Finansdepartementet.
Finansdepartementet. (2005). Ot.prp. nr. 1 (2005–2006) Skatte- og avgiftsopplegget 2006 – lovendringer. Oslo: Finansdepartementet.
Finansdepartementet. (2006). Ot.prp. nr. 1 (2006–2007) Skatte- og avgiftsopplegget 2007 – lovendringer. Oslo: Finansdepartementet.
Finansdepartementet. (2011a). Meld. St. 11 (2010–2011) Evaluering av skattereformen 2006. Oslo: Finansdepartementet.
Finansdepartementet. (2011b). Prop. 1 LS (2011–2012) Skatter, avgifter og toll 2012. Oslo: Finansdepartementet.
Finansdepartementet. (2014). Prop. 1 LS (2014–2015) Skatter, avgifter og toll 2015. Oslo: Finansdepartementet.
Finansdepartementet. (2015a). Meld. St. 4 (2015–2016) Bedre skatt – en skattemelding for omstilling og vekst. Oslo: Finansdepartementet.
Finansdepartementet. (2015b). Prop. 1 LS (2015–2016) Skatter, avgifter og toll 2016. Oslo: Finansdepartementet.
Finansdepartementet. (2022). Prop. 1 LS (2022–2023). Oslo: Finansdepartementet.
Harberger, A.C. (1966): «Efficiency effects of taxes on income from capital» i M. Krzyzakniak (ed.) «Effects of Corporation Income Tax», Detroit Waine State University Press.
Harding, T., Mogstad, M., & Næss, O. A. E. (2021, 17. august). Tett smutthullet for utbytteskatt (kronikk). Dagens Næringsliv. Tilgjengelig fra: https://www.dn.no/innlegg/skatt/ utbytteskatt/formuesskatt/tettsmutthullet-for-utbytteskatt/2-1-1052822
Lindhe, T., & Södersten, J. (2012). The Norwegian shareholder tax reconsidered. International Tax and Public Finance, 19(3), 424-441.
Mossin, J. (1968). Taxation and risk-taking: an expected utility approach. Economica, 35(137), 74-82.
Norges Bank. (2022). Pengepolitisk rapport med vurdering av finansiell stabilitet 3/22. Tilgjengelig fra: https://www.norges-bank.no/ contentassets/ 42d4eaca54224dd0bd55c22522792f28/ ppr-3-22.pdf?v=10/05/2022135906&ft=.pdf
NOU 2003: 9 Skatteutvalget – forslag til endringer i skattesystemet. Oslo: Finansdepartementet
NOU 2005: 2 Skattlegging av personlig næringsdrivende ved utdeling. Oslo: Finansdepartementet
NOU 2014: 13. (2014). Kapitalbeskatning i en internasjonal økonomi. Oslo: Finansdepartementet.
Judd, K. L. (1985). Redistributive taxation in a simple perfect foresight model. Journal of public Economics, 28(1), 59-83.
OECD. (2021). Tax and Fiscal Policies after the COVID-19 Crisis: OECD Report for G20 Finance Ministers and Central Bank Governors. Tilgjengelig fra: https://www.oecd.org/tax/tax-policy/tax-and-fiscal-policies-after-the-covid-19-crisis.pdf
OECD. (2022, publiseringsår ikke tilgjengelig.) OECD Tax Database. Tilgjengelig fra: https://www.oecd.org/tax/tax-policy/tax-database/
Rosenthal, S. M., & McCelland, R. (2022). Taxing Capital Gains at Death at A Higher Rate Than During Life. 13. mai 2022. Tax Policy Center – Urban Institute & Brookings Institution. Tilgjengelig fra: https://www.taxpolicycenter.org/taxvox/taxing-capital-gains-death-higher-rate-during-life
Sandmo, A. (1985). The effects of taxation on savings and risk taking. In Handbook of public economics (Vol. 1, s. 265–311). Elsevier.
Stiglitz, J. (1969). The Effects of Income, Wealth, and Capital Gains Taxation on Risk-Taking. The Quarterly Journal of Economics, 83(2), 263-283.
Skatteetaten (2021). Skatte-ABC 2021/2022. Tilgjengelig fra: https://www.skatteetaten.no/globalassets/rettskilder/handboker/skatte-abc/skatte-abc_2021-2022.pdf
Sørensen, P. B. (2014): Taxation of shareholder income and the cost of capital in a small open economy. Vedlegg 2 i NOU 2014: 13 Kapitalbeskatning i en internasjonal økonomi. Oslo: Finansdepartementet.
Sørensen, P. B. (2005). Neutral taxation of shareholder income. International Tax and Public Finance, 12(6), 777-801.
Sørensen, P. B. (2022a). Om aksjonærmodellens betydning for selskabernes kapitalomkostning. Notat utarbeidet for Skatteutvalget. Publisert på Finansdepartementets nettsider.
Sørensen, P. B. (2022b). Om periodiseringsneutralitet i aksjonærmodellen. Notat utarbeidet for Skatteutvalget. Publisert på Finansdepartementets nettsider.
Wood, J. K. (2022). Vil regjeringen avskaffe ulikhetsmaskinen? Tax Justice Network Norway. Tilgjengelig fra: https://taxjustice.no/ artikkel/vil-regjeringen-avskaffe- ulikhetsmaskinen
Fotnoter
En vanlig antakelse som lå til grunn for dette synet, var at tilbakeholdt overskudd ikke ville utløse utbytteskatt, men øke verdien av aksjene. Denne verdiøkningen ville en gang i fremtiden bli utsatt for gevinstbeskatning, men til en langt lavere effektiv skattesats fordi gevinstbeskatningen kunne utskytes i tid.
Forholdet mellom marginalskattesatsen for aksjeinntekt utenfor skjerming og arbeidsinntekt drøftes i punkt 8.8 og kapittel 9.
Ubenyttet skjermingsfradrag oppstår når årets skjerming overstiger årets utbytte/utdeling.
I forarbeidene er det blant annet vist til at det i større konsernforhold hvor det er datterselskaper i land utenfor EØS-området (som ikke er omfattet av fritaksmetoden), kan være vanskelig å foreta riktig fastsettelse av kostnader som vedrører skattepliktige aksjeinntekter, jf. Ot.prp. nr. 1 (2005–2006) punkt 15.3.
Bestemmelsen er i praksis bare aktuell for utbytte fra utenlandske selskap, ettersom norsk rett ikke gir rett til slikt fradrag.
Kompensasjonen må i hvert fall kompensere for den delen av differansen mellom lånerenten og risikofri rente som ikke er kompensasjon for långivers forventede tap ved mislighold av fordring. Muligheten til å misligholde lånet, er en fordel for låntaker som igjen øker dennes forventede avkastning på en lånefinansiert portefølje. Det er ikke åpenbart at skattesystemet skal kompensere investor for den delen av lånerenten som kompenserer långiver for risiko for mislighold av lånet, for at eierskatten skal virke nøytralt. Lånerenten kan imidlertid overstige risikofri rente av andre årsaker enn risiko for mislighold, for eksempel som følge av imperfekt konkurranse på kredittmarkedet, långivers risikoaversjon, transaksjonskostnader, asymmetrisk informasjon mv.
Med en risikofri rente på 3 pst. før skatt og det gjeldende risikotillegget på 0,5 prosentenheter blir skjermingsrenten 2,7 pst. Med en risikopremie på 5 pst. vil samlet avkastning utgjøre 3 pst.+5 pst.=8 pst. Den effektive, gjennomsnittlige skattesatsen på eierinntekt blir da 0,352 pst.*(8 pst.-2,7 pst.)/8 pst.= 23,3 pst.
Opplysningene er i hovedsak basert på «Country Guides» fra the International Bureau of Fiscal Documentation (IBFD) sin database. Formålet med informasjonen er å gi et oversiktsbilde. Det kan forekomme unøyaktigheter i beskrivelsen.
Se omtale av Norges porteføljeunntak i internasjonale forhold i punkt 8.4.5.
Jf. følgende sitat fra the International Bureau of Fiscal Documentation (IBFD) sin «Country Guide» om Frankrike: «[…] However, this is not a full exemption as a lump sum of 12% of the gross gains (deemed to represent non-deductible expenses related to the participation) is added back to taxable income and taxed at the standard rate of corporate income tax […].»
En slik regel, med svært snevert anvendelsesområde, finnes i skatteloven § 16-30.
Se OECDs modellavtale artikkel 13 og den nordiske modellavtalen artikkel 13.
https://vff.no/news/2021/ny-undersokelse-rekordmange-nye-fondssparere-i-ar
https://aksjenorge.no/aksjesparing/statistikk-privat-aksjesparing/arlig-og-kvartalsvis-statistikk/
Det legges til grunn at f(rA) har egenskaper slik forventningen og standardavviket eksisterer. Eksistensen av skjevheten er imidlertid ikke vesentlig for resonnementet.
Standardavvik måler forventet avvik fra forventningsverdien. Standardavvik på 7,9 pst. betyr derfor at avkastningen avviker fra gjennomsnittsavkastningen med 7,9 prosentenheter i gjennomsnitt.