3 En analyse av Petroleumsfondets aksjeandel
Brev fra Norges Bank til Finansdepartementet 15. mars 2001
3.1 Innledning
Finansdepartementet varslet i brev av 20. desember 2000 at det skal foretas en ny vurdering av Petroleumsfondets aksjeandel. Dette begrunnes blant annet med at fondet har blitt større og investeringshorisonten lengre enn det som ble lagt til grunn da aksjeandelen ble satt til 40 prosent høsten 1997. Norges Bank bes om å vurdere forhold som er relevante for en slik vurdering. Departementet er særlig interessert i en vurdering av fondets forventete avkastning og risiko ved ulike aksjeandeler. Videre ønskes en gjennomgang av hvilken aksjeandel store, internasjonale fond har valgt. Departementet ber også Norges Bank om å vurdere eventuelle operative konsekvenser av å endre aksjeandelen.
Valg av aksjeandel er den enkeltbeslutning som vil ha størst betydning for fondets avkastning og risiko. Det er rimelig å legge til grunn at en økning i aksjeandelen vil øke både fondets forventete avkastning og dets risiko. I valg av aksjeandel må det følgelig foretas en avveining mellom avkastning og risiko. I denne avveiningen vil eierens risikotoleranse være avgjørende. Norges Bank vil av den grunn ikke gi noen konkret råd om aksjeandel i dette brevet, men heller drøfte hvordan endringer i aksjeandelen kan antas å påvirke fondets forventete avkastning og risiko.
I Norges Banks brev av 10. april 1997 til Finansdepartementet drøftet banken hva som ville være en riktig investeringsstrategi for Petroleumsfondet i lys av at anslagene på fondets investeringshorisont da var blitt oppjustert. I brevet argumenterte banken for at deler av fondet burde investeres i aksjer, fordi det ville gi fondet et bedre bytteforhold mellom avkastning og risiko. Norges Bank ga ikke noe konkret råd om hvor stor aksjeandelen burde være, men konkluderte med at det neppe kan reises sterke faglige innvendinger mot en aksjeandel på minst 30 prosent. Det ble samtidig påpekt at andre forvaltningsinstitusjoner med ansvar for store porteføljer med langsiktig investeringshorisont gjerne hadde en høyere andel enn dette. I dette brevet oppdateres og utvides de analysene som ble gjort i brevet fra mai 1997. I tillegg brukes en simuleringsmodell for å se på egenskapene til aksje- og obligasjonsporteføljer over lengre investeringshorisonter. Brevet har også en drøfting av hvilken aksjeandel andre fond har valgt. Hovedkonklusjonene fra analysene i dette brevet er oppsummert i avsnitt 8.
3.2 Generelt om valg av investeringsstrategi
Det er naturlig at Petroleumsfondets investeringsstrategi vurderes med jevne mellomrom, blant annet fordi fondets størrelse og investeringshorisont endres over tid. Den største endringen i Petroleumsfondets investeringsstrategi skjedde i 1998. Fram til da var fondet bare investert i statsobligasjoner i 8 land. I løpet av første halvdel av 1998 ble Petroleumsfondets investeringsunivers utvidet til 21 land samtidig som 40 prosent av fondet ble investert i aksjer. De siste årene har landlisten for obligasjoner blitt utvidet med to nye land (Portugal og Hellas), mens det er åpnet for aksjeinvesteringer i de samme to landene samt seks såkalte framvoksende markeder.
Petroleumsfondet har allerede nådd en slik størrelse at selv små endringer i fondets investeringsstrategi vil kunne føre til store transaksjonsbehov. Endringer i strategien vil også kunne legge beslag på ressurser i den operative forvaltningen. Hensynet til både transaksjons-kostnader og kapasiteten i den operative forvaltningen gjør det derfor viktig å prioritere og samordne endringer i Petroleumsfondets investeringsstrategi. Av den grunn bør det helst foretas en samlet vurdering av mulige investeringsalternativer slik at en kan finne fram til den investeringsstrategien som gir det ønskete bytteforholdet mellom avkastning og risiko. I dette brevet diskuteres valg av aksjeandel, men også andre endringer i fondets investeringsstrategi kan være aktuelle. Det er særlig på tre områder at det er mulig å tenke seg endringer i strategien.
For det første er det mulig å utvide Petroleumsfondets investeringer til nye aktivaklasser. Eksempler på slik aktivaklasser er private obligasjoner, indekserte (inflasjonsbeskyttete) obligasjoner, obligasjoner i framvoksende markeder, ikke-børnoterte aksjer, råvarer og eiendom. Dette er aktivaklasser som har andre egenskaper enn de aktivaklassene som fondet i dag er investert i. Dersom fondets investeringsstrategi skal endres kan det følgelig skje både ved å endre fordelingen mellom de eksisterende aktivaklassene og ved å inkludere nye aktivaklasser. I den grad inkludering av nye aktivaklasser i Petroleumsfondets referanse-portefølje har konsekvenser for hvilken aksjeandel fondet bør ha, burde det i prinsippet foretas en samlet vurdering av mulige endringer i fondets strategi.
For det andre kan en endre eksponeringen innenfor de eksisterende aktivaklasser (stats-obligasjoner og børsnoterte aksjer). Det er kanskje mest aktuelt når det gjelder aksje-eksponeringen i de enkelte land. For eksempel er fondet i dag investert i rundt 650 selskaper i det amerikanske aksjemarkedet samtidig som investeringsuniverset i dette markedet består av rundt 8000 selskaper. Det betyr at det er svært mange børsnoterte selskaper fondet ikke investerer i. Dette er gjerne selskaper som ikke er store nok til å bli inkludert i den referanse-indeksen fondet bruker for det amerikanske markedet (FTSE). Det fører til at en viss overvekt av fondets aksjeeksponering i det amerikanske markedet er mot de store selskapene. Det samme gjelder for fondets eksponering i aksjemarkedene i andre land.
Et tredje forhold det kan være aktuelt å se nærmere på er hvor ofte en skal rebalansere fondet. I dag rebalanseres fondet kvartalsvis. Det betyr at aksjeandelen i referanseporteføljen ved inngangen til hvert kvartal settes til 40 prosent, men at andelen gjennom kvartalet varierer i takt med den relative kursutviklingen på aksjer og obligasjoner. Siden avkastningen på aksjer varierer mer enn avkastningen på obligasjoner, vil for eksempel en høyere aksjeandel gjøre at rebalanseringsbehovet ved hvert kvartalsskifte vil bli større. En endring i fondets aksjeandel reiser dermed spørsmål om en også bør endre rebalanseringsfrekvensen.
Selv om det i prisnippet vil være ønskelig å foreta en samlet vurdering av de mulige endringene i investeringsstrategien til Petroleumsfondet, mener Norges Bank at det er fornuftig å foreta en vurdering av fondets aksjeandel nå. Det skyldes at valg av aksjeandel vil være den enkeltbeslutning som har størst innvirkning på fondets avkastning og risiko samtidig som dette vil være en beslutning som raskt kan implementeres i den operative forvaltningen. En endring i fondets aksjeandel kan imidlertid få konsekvenser for hva som vil være et hensiktsmessig rebalanseringsregime for fondet. Norges Bank mener derfor at Finans-departementet bør vurdere dette spørsmålet samtidig med valg av aksjeandel. Når det gjelder eventuelle nye aktivaklasser kan det nevnes at Norges Bank i et annet brev har gitt Finans-departementet råd om å inkludere private obligasjoner i fondets referanseportefølje. På sikt vil det trolig også være aktuelt å vurdere om Petroleumsfondet bør investeres i framvoksende obligasjonsmarkeder, ikke-børsnoterte aksjer og eiendom. Det er viktig å tenke gjennom hvilke av de mulige endringene i strategien som kan bidra til å bedre bytteforholdet mellom fondets avkastning og risiko. Finansdepartementet bør også vurdere om det skal lages en samordnet plan for arbeidet med å vurdere nye endringer i strategien.
3.3 Avkastningen på aksjer og obligasjoner
Det synes å være bred enighet om at aksjer forventes å gi høyere avkastning enn obligasjoner. Det er imidlertid større usikkerhet om hvor stor denne meravkastningen kan forventes å være. Der er to hovedretninger i litteraturen som drøfter forskjellen i avkastning på aksjer og obligasjoner. Den ene studerer historiske data, mens den andre prøver å forklare avkastnings-forskjeller med utgangspunkt i ulike prisingsmodeller fra finansteorien. Nedenfor ser vi nærmere på begge disse retningene. Mot slutten av avsnittet vil vi også se på mulige implikasjoner av de senere års sterke oppgang i aksjekursene.
Historiske data
De fleste empiriske studier av aksjemarkedet er hentet fra det amerikanske markedet, fordi det her finnes lange avkastningsserier med god kvalitet. Figur 3.1 viser den årlige avkastningen på amerikanske aksjer og obligasjoner i perioden 1926-2000. 1 Figuren illustrerer godt at aksjer er betydelige mer risikable enn obligasjoner på kort sikt. Mens aksjer har gitt negativ avkastning nesten hvert tredje år, har avkastningen på obligasjoner vær negativ omtrent hvert tiende år.

Figur 3.1 Årlig avkastning for aksjer og obligasjoner i USA i perioden 1926 - 2000
I figur 3.2 har vi beregnet avkastningen i det amerikanske aksje- og obligasjonsmarkedet over rullerende (faste vinduer) tiårsperioder. Siden Petroleumsfondet har en lang investerings-horisont vil egenskapene til avkastningen over tiårsperioder være mer interessante enn egenskapene til årlige avkastninger. Vi ser at det er svært få tiårsperioder hvor aksjer ville gitt dårligere avkastning enn obligasjoner. Det er imidlertid store variasjoner når det gjelder hvor stor meravkastningen på aksjer har vært. Videre registrerer vi at en må helt tilbake til 1930-årene for å finne en tiårs-periode der aksjer ga negativ avkastning (som i hovedsak har sammenheng med aksjekrakket i 1929). I figuren har vi også tegnet inn gjennomsnittlig avkastning til aksjer og obligasjoner over perioden 1926 - 2000, som viser at aksjer har gitt en meravkastning i forhold til obligasjoner på rundt 5,5 prosentpoeng. Fra figuren ser vi dessuten at 1990-tallet har vært et tiår hvor både den absolutte avkastningen på aksjer og mer-avkastningen på aksjer i forhold til obligasjoner har vært på et høyt nivå.

Figur 3.2 Aksje- og obligasjonsavkastning i USA over rullerende 10 årsperioder
Vi har ovenfor sett på avkastning ved amerikanske aksjer og obligasjoner i perioden 1926 til 2000. Selv om dette er en relativt lang periode som inneholder både finanskriser, lavkonjunkturer og kriger, er det mange som mener at det amerikanske aksjemarkedet i denne perioden gir et for positivt bilde av avkastning og risiko ved aksjeinvesteringer. Det amerikanske aksjemarkedet har vært gjennom en lang periode uten så alvorlige kriser som for eksempel markedene i Japan, Tyskland og Italia. I litteraturen går denne problemstillingen under navnet overlevelsesskjevhet. Det finnes en kontinuerlig og komplett tidsserie med avkastningsrater for det amerikanske markedet nettopp fordi landet har unngått de store krisene. Derfor kan det være at amerikanske historiske data for perioden 1926 til 2000 ikke gir et representativt bilde av hvordan aksjemarkedet vil være i fremtidige perioder. Det har følgelig vært stor interesse for å studere både lengre tidsperioder for USA og aksje- og obligasjonsmarkedene i andre land. Nedenfor refererer vi noen slike studier.
Siegel (1998) 2 studerer amerikanske aksje- og obligasjonsdata for perioden 1802 til 1997. I denne perioden har den gjennomsnittlige avkastningen på aksjer vært 8,4 prosent mens avkastningen på obligasjoner har vært 4,8 prosent. Meravkastningen på aksjer på 3,6 prosentpoeng har følgelig vært lavere enn hva tilfellet var i perioden 1926 - 2000 (5,5 prosentpoeng).
Figur 3.3 viser gjennomsnittsavkastningen i aksje- og obligasjonsmarkedene i perioden 1987 til 2000 for de fleste av de utviklede landene som inngår i Petroleumsfondets referanseportefølje. Vi ser av figuren at det har vært en betydelig meravkastning på aksjer i mange av landene i denne perioden. Japan, Østerrike og Australia er de eneste landene der avkastningen i aksjemarkedene har vært dårligere enn i obligasjonsmarkedene. Den gjennomsnittlige (likevektet) meravkastningen på aksjer i de 16 landene har vært 6,4 prosentpoeng over perioden.

Figur 3.3 Forskjellen i avkastning på aksjer og obligasjoner i ulike land i perioden 1987 til 2000
En mulig innvending mot resultatene i figur 3.3 er at perioden er relativt kort. Det hadde derfor vært ønskelig å undersøke om forskjellene i avkastningen mellom aksjer og obligasjoner i disse landene også holder for lengre perioder. Men det et vanskelig å finne gode avkastningsdata for mange av disse landene lengre tilbake i tid. Jorion og Goetzman (1999) 3 har forsøkt å konstruere slike avkastningsserier for aksjer. De studerer aksjeavkastningen i 39 markeder fra 1920-årene og fram til 1996. En ulempe ved disse seriene er at for de fleste markedene finnes det bare tall for aksjekursutviklingen og ikke for dividendeutbetalinger. Realavkastningen på aksjer måles derfor bare ved reelle kursendringer. 4 En annen ulempe ved arbeidene til Jorion og Goetzmann er at de ikke har tilgang til tilsvarende tidsserier for avkastningen på obligasjoner. Jorion og Goetzmann finner at i den perioden de studerer har realavkastningen vært høyest i det amerikanske aksjemarkedet. I dette markedet var realavkastningen 4,3 prosent mens median for alle de 39 markedene var 0,8 prosent. Det er interessant å merke seg at bare i 11 av de 39 markedene har det ikke vært brudd i tidsseriene for aksjeavkastningen. Disse resultatene kan tyde på at den høye observerte avkastningen på amerikanske aksjer i noen grad kan skyldes at dette markedet har vært gjennom en lang periode uten alvorlige kriser (overlevelsesskjevhet).
Andre metoder for å anslå avkastningen på aksjer
Vi har ovenfor studert den historiske avkastningen på aksjer og obligasjoner. Vi har gode data for det amerikanske markedet i perioden 1926-2000 og for 16 forskjellige land i perioden 1987-2000. Disse dataene viser at avkastningen på aksjer historisk har vært i størrelsesorden 5 - 6 prosentpoeng høyere enn avkastningen på obligasjoner. Det er imidlertid flere grunner til at en ikke nødvendigvis kan bruke disse tallene som anslag på fremtidige avkastnings-forskjeller mellom aksjer og obligasjoner. For det første viser de empiriske studiene at avkastningsforskjellene varierer mye over tid og mellom markeder. Fra figur 3.2 ser vi for eksempel at i perioden 1926 til 2000 har den gjennomsnittlige meravkastningen på aksjer over tiårsperioder variert fra -5 prosentpoeng til nesten +20 prosentpoeng. Det er følgelig betydelig usikkerhet rundt anslagene på historiske avkastningsforskjeller. For det andre er det vanskelig å forklare de empiriske resultatene ved hjelp av finansteoretiske modeller. Likevektsmodeller som relaterer forventet avkastning på aksjer til sentrale økonomiske størrelser som risikoaversjon, konsumvariasjon og tidspreferanser har i liten grad klart å forklare den høye meravkastningen på aksjer. Det manglende samsvaret mellom empiriske resultater og teoretiske beregninger går under navnet «aksjepremiegåten». Både usikkerheten knyttet til historiske avkastningsrater og aksjepremiegåten har gjort at det har blitt vanlig å bruke flere forskjellige metoder når en skal anslå avkastningen i aksjemarkedet. To metoder som er mye brukt i litteraturen er å vurdere avkastningen i aksjemarkedet ut fra dividende-pris forholdet eller inntjening-pris forholdet. Disse metodene forutsetter at aksjemarkedet er rasjonelt priset, uten at den bakenforliggende likevektsmodellen er presist formulert. Nedenfor ser vi nærmere på de to metodene.
Dividende-pris forholdet
I dividendemodellen bestemmes verdien på aksjemarkedet av fremtidige utbytter og investorenes avkastningskrav. Dersom en antar at investorene er rasjonelle og markedene effisiente, kan en under visse forutsetninger utlede følgende uttrykk for forventet avkastning på aksjer (E[R]): 
Det første leddet på høyre side er forholdet mellom forventet utbytte neste år og dagens pris (D/P), mens det andre leddet er et anslag på forventet årlig vekst i selskapenes utbytter (g). I (1) antas det blant annet at avkastningskravet ikke varierer over tid og at framtidige utbytter vokser med en konstant rate i all framtid. Det følger av (1) at vi trenger et anslag på veksten i dividende og dividende-pris forholdet for å kunne si noe om forventet avkastning på aksjer.
Et mulig utgangspunkt for å anslå veksten i dividende kan være å se på hva som er et rimelig estimat på den langsiktige økonomiske veksten i de aktuelle landene. Den reelle veksten bestemmes av veksten i sysselsettingen og av arbeidsproduktivitetsveksten. Tilhengere av den såkalte nye økonomien, argumenterer for høy produktivitetsvekst og vekstrater i området 3 til 4 prosent per år på lang sikt. Andre tror ikke like sterkt på ny økonomi og anslår langsiktige vekstrater til 2 til 2,5 prosent. Dersom vi som en illustrasjon antar at den langsiktige vekstevnen er om lag 2,5 prosent per år og at den globale inflasjonsraten er 2,5 prosent, vil nominell vekst kunne anslås til om lag 5 prosent per år. Dette kan under visse forutsetninger også være et anslag på veksten i dividende.
Figur 3.4 viser gjennomsnittlig dividende-pris forhold for perioden 1973-2000 for aksjemarkedene i en rekke utviklede land. For Italia, Spania og Sverige starter tidsseriene på 1980-tallet, mens de for USA og Storbritannia starter på 1960-tallet. Forholdet mellom selskapenes utbytte og pris varierer sterkt mellom landene. Gjennomsnittet for alle land var ved utgangen av 2000 i underkant av 2 prosent. Dersom vi legger dette til grunn og samtidig antar en nominell vekst (og dividendevekst) på 5 prosent, følger det fra (1) at forventet avkastning på aksjer vil være rundt 7 prosent.

Figur 3.4 Dividende-pris forholdet i perioden 1973 - 2000 i ulike land
Inntjening-pris forholdet
Siegel (1998) har argumentert med at forholdet mellom selskapenes inntjening og prisen på aksjene kan brukes til å bestemme den langsiktige realavkastningen på aksjer. I USA var gjennomsnittlig realavkastning på aksjer i perioden 1926-97 på 7,7 prosent, mens medianen til inntjening-pris forholdet var 7,2 prosent. Samsvaret mellom de to tallene holder også dersom perioden utvides tilbake til 1881.
En langsiktig sammenheng mellom inntjening-pris forholdet og realavkastningen på aksjer kan skyldes at inntjeningen til selskapene, enten den betales ut i dividende eller reinvesteres, er den egentlige verdikilden for aksjonærene. Det er derfor en reduksjon i utbytte ikke nødvendigvis er en dårlig nyhet for aksjonærene. Det skyldes at reinvesteringen av deler av selskapenes kontantstrøm kan føre til vekst i selskapenes inntjening, som danner grunnlag for vekst i framtidige utbyttebetalinger. På lang sikt vil derfor forholdet mellom selskapenes inntjening og prisen på selskapene være et rimelig estimat på hvor stor andel den langsiktige kontantstrømmen til aksjonærene vil utgjøre av den kapitalen som aksjonærene investerer i de samme selskapene.
Figur 3.5 viser gjennomsnittet for perioden 1973-2000 for inntjening-pris forholdet i en rekke markeder. Tidsseriene for Italia, Spania og Sverige starter på 1980-tallet, mens seriene for USA og Storbritannia starter på 1960-tallet.

Figur 3.5 Inntjening-pris forholdet i perioden 1973-2000 i ulike land
Det er forholdsvis store variasjoner mellom landene med et maksimum på 8,8 prosent i Irland og et minimum på 2,6 prosent i Japan. Gjennomsnittet for alle landene er på 6,6 prosent. Dersom en tar utgangspunkt i gjennomsnittet for landene og antar at den globale inflasjonsraten framover vil være om lag 2,5 prosent, kan forventet nominell avkastning på aksjer anslås til 9 prosent.
Det bør understrekes at anslag på forventet avkastning på aksjer ut fra dividende-pris forholdet og inntjening-pris forholdet er gjort under flere forenklende forutsetninger. Det er derfor stor usikkerhet knyttet til denne type anslag. Anslagene bør derfor bare betraktes som en illustrasjon på hvordan en kan lage estimater på avkastningen på aksjer ut fra andre metoder enn å se på historiske avkastningsrater.
Utviklingen i aksjemarkedet i de senere år
I perioden 1995 - 2000 var den gjennomsnittlige (likevektete) avkastningen på aksjer i utviklede markeder rundt 20 prosent. Dette er omtrent 11 prosentpoeng høyere enn avkastningen på obligasjoner. Den kraftige oppgangen i aksjekursene har ført til en diskusjon om hva som er et riktig nivå på aksjekursene. Det er flere indikatorer som nyttes for å vurdere om nivået på aksjemarkedet er rimelig:
Verdien av en aksje er grunnleggende knyttet til selskapets fremtidige inntjenings-potensiale og utbyttekapasitet. På lang sikt bestemmes aksjeverdiene av framtidige dividender og aksjonærenes avkastningskrav. En mulig indikator er derfor forholdet mellom dividende og pris. Et lavt forholdstall betyr at den løpende utbetalingen til investorene er lav sammenliknet med det beløpet de må betale for å få denne løpende utbetalingen. Dette kan være en indikasjon på at markedet er priset høyere enn den underliggende inntjeningen i selskapene gir grunnlag for.
En annen indikator er forholdet mellom selskapenes samlede inntjening og den totale markedsverdien av selskapene. I denne type studier er det vanlig å se på pris-inntjening forholdet (og ikke inntjening-pris forholdet som i figur 3.4). Et høyt forholdstall viser at investorene må betale mye for hver krone som selskapene tjener. Shiller (2000) 5 viser at i det amerikanske aksjemarkedet har det historisk vært en negativ sammenheng mellom pris-inntjening forholdet i et år og realavkastningen på aksjer i den påfølgende tiårsperioden.
En tredje indikator er Tobins Q, som er definert som forholdet mellom verdien av aksjemarkedet og gjenanskaffelseskostnaden til selskapenes driftsmidler. Dersom verdien av aksjemarkedet overstiger gjenanskaffelseskostnaden, antas det at selskapene vil øke realinvesteringene. Dersom verdien av markedet er lavere enn gjenanskaffelskostnaden, antas det at realinvesteringer vil utsettes og at antall selskapsoppkjøp vil øke. I langsiktig likevekt bør derfor Tobins Q være rundt 1.
Det bør understrekes at for flere av disse indikatorene er det bedre å sammenligne utviklingen over tid i samme marked enn å sammenligne ulike markeder. Det skyldes at forskjellene mellom land kan være påvirket av forskjeller i skatteregler, regnskapsstandarder, rentenivå, struktur i kapitalmarkedene og vekstrater for økonomien.
Vi har tilgang til lange tidsserier for pris-inntjening forholdet og dividende-pris forholdet i det amerikanske aksjemarkedet. Disse tidsseriene, som er hentet fra Shiller (2000), starter i forrige århundre og går fram til 1999. Fra figur 3.6 ser vi at ved utgangen av 1999 var begge de to indikatorene på nivåer en ikke har observert tidligere. Indikatorene var følgelig også langt unna gjennomsnittet over perioden. Vi ser dessuten fra figur 3.4 og 3.5 at dividende-pris forholdet i de fleste land ved utgangen av 2000 var lavere enn gjennomsnittet for perioden 1973 til 2000, mens pris-inntjening forholdet er høyere enn gjennomsnittet. Dette reflekterer den sterke veksten i aksjekursene på siste halvdel på 1990-tallet.

Figur 3.6 Dividende-pris forholdet og pris-inntjening forholdet for det amerikanske aksjemarkedet i perioden 1871 til 1999
Det siste året har det i mange markeder vært en nedgang i aksjekursene. Den kraftigste reduksjonen har kommet i teknologiaksjer. Den amerikanske teknologibørsen Nasdaq har for eksempel falt med rundt 60 prosent fra toppnoteringen 10. mars i fjor til midten av mars i år. I mange land er imidlertid nedgangen i aksjekursene den senere tid liten sammenliknet med den kraftige oppgangen i aksjemarkedene på siste halvdel av 1990-tallet. I en analyse av utviklingen i aksjemarkedene fremover kan det derfor være nyttig å først se nærmere på hva årsakene til denne kursoppgangen kan ha vært. På generelt grunnlag kan en si at det er tre mulige forklaringer på en sterk stigning i aksjekursene.
En forklaring kan være at risikopremien på aksjer har blitt lavere. Risikopremien er den ekstraavkastningen investorene vil kreve for å holde aksjer, og er en kompensasjon for usikkerheten knyttet til avkastningen på aksjer. Størrelsen på risikopremien avhenger både av variasjonene til avkastningen på aksjer og investorenes holdning til risiko. En nedgang i risikopremien kan følgelig skyldes redusert volatilitet i aksjemarkedet eller at risikoaversjonen til investorene har blitt mindre. Studier av volatiliteten i aksjemarkedene gir ingen klare indikasjoner på at de kortsiktige variasjonene i aksjeavkastningen har blitt lavere de senere årene. Det kan imidlertid tenkes at økt informasjonstilgang har gjort at investorene i større grad vurderer risikoen ved aksjer ut fra mer langsiktige hensyn. En kan heller ikke utelukke at den sterke stigningen i aksjekursene i mange land på 1990-tallet har gjort at investorenes subjektive anslag på risikoen ved å investere i aksjer har blitt redusert. En nedgang i risikopremien kan også ha sammenheng med at aksjer tidligere primært var eid av en liten gruppe i befolkningen. Etter hvert som velstandsnivået har økt, har flere grupper blitt aktive i aksjemarkedet. Det har blitt enklere å kjøpe aksjer, og det er utviklet finansielle instrumenter som gjør det lettere å styre risikoen ved aksjeinvesteringer. I tillegg har endringer i myndighetenes reguleringer gjort at institusjonelle investorer som pensjonsfond og livselskaper i større grad har fått anledning til å investere i aksjer. Dette har økt etterspørselen etter aksjer og redusert risikopremien. Aksjer har gått fra å være en »narrowly held risk» til å bli en »broadly held risk», eller sagt på en annen måte; det er flere personer som bærer risikoen i aksjemarkedet.
En annen mulig forklaring på en oppgang i aksjekursene kan være at investorene venter høyere vekst i selskapenes inntjening og evne til å betale utbytte. Det er ikke uvanlig å bruke veksten i økonomien som et anslag på den langsiktige veksten i bedriftenes inntjening. Denne kan best anslås som potensiell realvekst i bruttonasjonalproduktet (BNP) siden veksten i selskapenes inntjening må være knyttet til veksten i økonomiens produksjonspotensiale. Realveksten i BNP avhenger av veksten i både sysselsettingen og arbeidskrafts-produktiviteten. For mange av de landene som Petroleumsfondet investerer i vil imidlertid veksten i arbeidsstyrken være begrenset siden andelen av befolkningen i arbeidsdyktig alder avtar på grunn av demografiske forhold. Det betyr at en høyere vekst i økonomiene først og fremst må skyldes høyere produktivitetsvekst.
En tredje mulig forklaring på en sterk stigning i aksjekursene kan være at markedet ikke er rasjonelt priset og at en står overfor en finansiell boble. Det finnes flere historiske eksempler på at aksjekursene i perioder ikke har vært knyttet til de underliggende verdiene i selskapene. For eksempel viste det seg at den sterke veksten i det japanske aksjemarkedet på slutten av 1980-tallet ikke kunne forklares med fundamentale forhold i japansk økonomi. Det kraftige fallet i teknologiaksjer det siste året har også vist at kursoppgangen i disse aksjene på slutten av 1990-tallet ikke kunne forsvares ut fra rimelige anslag på inntjeningsveksten til disse selskapene.
Det er vanskelig å vite hvilke av de tre forklaringene som er mest relevante for oppgangen i aksjekursene på slutten av 1990-tallet. Det kan også tenkes at det er en kombinasjon av dem som best forklarer den kraftige veksten i mange lands aksjemarkeder i disse årene. De tre forklaringene har imidlertid ulike implikasjoner for hva slags avkastning en kan forvente i aksjemarkedene fremover. Dersom forklaringen på kursoppgangen er lavere risikopremier, vil avkastningen på aksjer bli klart lavere i årene som kommer enn det vi så på slutten av 1990-tallet. Det skyldes to forhold. Det ene er at risikopremien har blitt lavere. Det andre er at selve nedgangen i risikopremien gir en ekstraordinær høy avkastning på aksjer i den perioden premien reduseres fordi aksjekursene stiger for å tilpasse seg den lavere risikopremien. Hvis stigningen i aksjemarkedet hadde sammenheng med at investorene forventet høyere inntjeningsvekst i bedriftene, vil meravkastningen på aksjer i årene som kommer kunne være i samme størrelsesorden som det vi har sett i et lengre historisk perspektiv. Men dersom inntjeningsveksten alene skal forklare oppgangen i aksjekursene, vil dette i enkelte markeder kunne innebære at inntjeningsveksten må være høyere enn veksten i økonomien. Det er mulig å tenke seg at dette kan skje i begrensete perioder, men på lang sikt er en slik utvikling mindre sannsynlig.
Dersom de fundamentale forutsetningene for en økning i aksjekursene skulle endres eller dersom en kursoppgang ikke er relatert til underliggende fundamentale forhold, vil en kunne oppleve en korreksjon i aksjekursene. Noen mener at nedgangen i aksjekursene det siste året representerer en slik korreksjon. Andre peker på at denne nedgangen ikke er stor sammen-liknet med den kraftige kursoppgangen på slutten av 1990-tallet, og at det derfor er en risiko for at aksjekursene kan falle videre.
3.4 Risiko ved aksjer og obligasjoner
Risikoen til aksjer og obligasjoner kan måles på flere måter. Det mest vanlige målet er standardavviket til avkastningen. Dette er et spredningsmål som sier noe om hvor store svingningene i avkastningen kan være. Et annet mål som er mye brukt er sannsynligheten for at avkastningen faller under en viss grense (såkalt shortfall risk). For aksjer fokuseres det noen ganger på sannsynligheten for negativ avkastning, mens en andre ganger er mer opptatt av sannsynligheten for at avkastningen på aksjer er dårligere enn avkastningen på pengemarkedsplasseringer eller obligasjoner. I dette avsnittet vil vi bruke begge de to risikomålene.
Det vil være interessant å se hvordan risikoen til aksjer og obligasjoner endres over tid og om det er store forskjeller mellom land. Det første vil vi belyse ved å bruke lange tidsserier for USA, mens det andre undersøkes ved hjelp av kortere tidsserier for mange land. Figur 3.7 viser standardavviket til den årlige avkastningen på amerikanske aksjer og obligasjoner i perioden 1926 til 2000. Vi ser av figuren at standardavviket til aksjer er nesten fire ganger så høyt som standardavviket til obligasjoner for hele perioden under ett. Det skyldes mye den svært høye risikoen på aksjer på 1930-tallet. De siste 50 årene har standardavviket til aksjer ligget rundt 15 prosent mens standardavviket til obligasjoner har vært rundt 5 prosent. Figuren viser også at det er store variasjoner over tid i standardavviket når dette beregnes over rullerende tiårsperioder.

Figur 3.7 Standardavviket til amerikanske aksjer og obligasjoner beregnet over rullerende 10 årsperioder
Figur 3.8 viser historiske estimat på standardavviket til aksjer og obligasjoner i 16 forskjellige land. Selv om det er klare forskjeller mellom landene, gir likevel figuren noe av det samme bildet som resultatene fra det amerikanske markedet; standardavviket til aksjer er mellom 3 og 4 ganger høyere enn standardavviket til obligasjoner.

Figur 3.8 Standardavviket til aksjer og obligasjoner i perioden 1987 til 2000 i ulike land
I figur 3.7 og 3.8 har vi sett på volatiliteten til aksjer og obligasjoner i enkelte land. Petroleums-fondets investeringer er imidlertid spredt på mange land. Det vil isolert sett føre til at volatiliteten til fondets aksje- og obligasjonsportefølje er noe lavere enn volatiliteten til investeringer i enkeltmarkeder. Det skyldes at det ikke er perfekt korrelasjon mellom avkastningen i de enkelte markedene slik at en oppnår en diversifikasjonsgevinst ved å spre investeringene på mange land. Når en skal måle risikoen til en portefølje som er investert i flere land, må en imidlertid også ta stilling til hvordan en skal behandle variasjoner i valutakursene. Siden formålet med forvaltningen av Petroleumsfondet er å sikre fondets internasjonale kjøpekraft, kan det være riktig å se bort fra kurssvingningene mellom norske kroner og de øvrige valutaene i vurderingen av fondets risiko. Dersom vi ser bort fra disse kurssvingningene, viser beregninger vi har gjort for perioden 1987 til 2000 at standardavviket til fondets obligasjonsportefølje er noe lavere enn 5 prosent mens standardavviket til fondets aksjeportefølje er i underkant av 15 prosent.
I analysene ovenfor har vi fokusert på det årlige standardavviket til aksjer og obligasjoner. På bakgrunn av disse tallene kan vi få et inntrykk av hvor mye avkastningen på hhv aksjer og obligasjoner vil svinge fra år til år. Resultatene viser at i et slikt perspektiv er aksjer betydelig mer risikable enn obligasjoner. Det er imidlertid to viktige forhold ved vurderingen av risikoen til aksjer og obligasjoner som ikke fanges opp av denne type studier. Det ene er at vi først og fremst er interessert i hvordan fordelingen mellom aksjer og obligasjoner påvirker risikoen til porteføljen. Denne risikoen avhenger ikke bare av standardavviket til aksjer og obligasjoner men også av samvariasjonen mellom dem. Det betyr at selv om aksjer har høyere risiko enn obligasjoner, er det ikke sikkert at porteføljens risiko øker når aksjer inkluderes. Diversifikasjonsgevinsten en får ved at avkastningen på aksjer og obligasjoner ikke er perfekt korrelert, kan nemlig oppveie virkningene på porteføljens risiko av at aksjer har høyere volatilitet enn obligasjoner. Det andre forholdet som det er viktig å ta hensyn til er at Petroleumsfondet har en lang investeringshorisont, og at vi derfor er særlig interessert i hvordan risikoen til porteføljen er på lang sikt. Dette vil avhenge av tidsserieegenskapene til avkastningen. Vi skiller gjerne mellom tre forskjellige typer tidsserier:
Mean reversion betyr at høy avkastning i noen perioder blir etterfulgt av lavere avkastning i påfølgende perioder. For aksjer kan mean reversion skyldes at risikopremien endres over tid. En annen mulig forklaring kan være at aksjekursene i perioder avviker fra de underliggende fundamentale verdiene, men at slike avvik over tid blir korrigert.
Random walk innebærer at avkastningen i neste periode er uavhengig av avkastningen i tidligere perioder.
Mean aversion betyr at høy avkastning blir etterfulgt av høy avkastning og vice versa. Avkastningsseriene kan ikke ha slike egenskaper over lange tidsperioder, men i begrensete perioder er det for eksempel mulig å tenke seg trender i det nominelle rentenivået som gjør at avkastningen på obligasjoner har mean aversion egenskaper.
Det kan vises at variansen til avkastningen vil øke proporsjonalt med tiden dersom avkastningsserien følger random walk. Det betyr at standardavviket øker med kvadratroten av tiden. Ved mean reversion vil risikoen øke mindre enn dette, mens den vil øke mer dersom avkastningen følger en mean aversion prosess. Det er derfor interessant å vite hvilke tidsserieegenskaper avkastningen til aksjer og obligasjoner har. For å kunne undersøke dette trenger vi lange tidsserier. Det har vi bare for det amerikanske markedet. Figur 3.9 viser risikoen til en portefølje med amerikanske aksjer og obligasjoner ved investeringshorisonter på hhv 1 og 5 år. Siden vi bare har 15 uavhengige observasjoner av avkastningen over 5 årsperioder, er anslaget for standardavviket for denne horisonten beheftet med betydelig usikkerhet.

Figur 3.9 Sammenhengen mellom aksjeandel og standardavviket til porteføljen ved investeringshorisonter på henholdsvis 1 år og 5 år
Figuren gir grunnlag for flere interessante observasjoner av egenskapene til risikoen på en portefølje. For det første ser vi at dersom investeringshorisonten er 1 år vil selv en begrenset aksjeandel føre til at risikoen til porteføljen øker. Dette er ikke tilfelle når investerings-horisonten er 5 år. Da vil risikoen reduseres når aksjer inkluderes i porteføljen. Figuren viser at den porteføljen som gir lavest risiko over en femårshorisont har 80 prosent obligasjoner og 20 prosent aksjer. Vi ser også av figuren at en portefølje med 50 prosent obligasjoner og 50 prosent aksjer har omtrent samme risiko som en portefølje som bare er investert i obligasjoner. For det andre ser vi at risikoen på en obligasjonsportefølje mer enn tredobles når horisonten øker fra 1 til 5 år (fra 5 prosent til 17 prosent). Til sammenlikning blir risikoen på en aksjeportefølje mindre enn doblet ved en slik økning i investeringshorisonten (fra 19 prosent til 30 prosent). Vi viste ovenfor at under en antakelse om random walk vil risikoen øke med kvadratroten av antall perioder (altså med roten av 5 i vårt tilfelle). Det betyr at amerikanske data for perioden 1926 - 2000 viser at risikoen til en obligasjonsportefølje øker mer enn hva vi skulle forvente dersom det var random walk, mens risikoen til en aksjeportefølje øker mindre enn det en skulle forvente. Det kan indikere at det er mean aversion i obligasjoner og mean reversion i aksjer. Det er imidlertid viktig å understreke at vi har såpass få observasjoner av avkastningen over femårsperioder at det ikke er mulig å trekke noen klare konklusjoner.
Vi har ikke tilstrekkelige lange tidsserier til at det blir meningsfullt å analysere hvordan risikoen til en aksjeportefølje utvikler seg over lengre horisonter enn 5 år. Vi har derfor istedenfor prøvd å belyse dette spørsmålet ved hjelp av en simuleringsmodell. Vi har gjort simuleringer under to ulike antakelser om tidsserieegenskapene til aksjeavkastningen. Vi har antatt at aksjekursene enten følger en random walk eller en mean reversion prosess. 6 Figur 3.10 viser hvordan risikoen til en portefølje med avkastning på 8 prosent og standardavvik på 15 prosent endres når horisonten øker. Vi ser av figuren at dersom avkastningen følger en mean reversion prosess vil risikoen over lange horisonter være lavere enn dersom avkastningen følger en random walk prosess. Figuren viser også hvordan sannsynligheten for negativ akkumulert avkastning påvirkes av lengden på investeringshorisonten og av hvilke tidsserieegenskaper avkastningen har. Når risikoen måles på denne måten ser vi at risikoen avtar med investeringshorisonten. Det gjelder uavhengig av tidsserieegenskapene til aksjeavkastningen.

Figur 3.10 Simulering av sammenhengen mellom risiko og investeringshorisont for en portefølje med en avkastning på 8 prosent og et standardavvik på 15 prosent. Heltrukken kurve viser random walk og stiplet kurve viser mean reversion.
I et lengre tidsperspektiv er det ikke tilstrekkelig å fokusere på standardavviket eller sannsynligheten for negativ avkastning. Da bør en også ta hensyn til sjeldne begivenheter som kan ha stor betydning på verdiutviklingen på aksjer og obligasjoner (såkalt event risk). For eksempel kan kriger, naturkatastrofer eller hyperinflasjon føre til at både aksjer og obligasjoner faller betydelig i verdi. Jorion og Goetzmann (1999) illustrerer hvordan slike begivenheter har påvirket verdiutviklingen på aksjer. Av de 24 aksjemarkedene som Jorion og Goetzmann hadde observasjoner for i 1931 var det så mange som 17 markeder som i perioden fram til 1996 var stengt i kortere eller lengre perioder. Jorion og Goetzmann viser at aksjekursfallet har vært betydelig i flere av de markedene som har vært stengt. For eksempel falt realverdien av japanske aksjer med hele 95 prosent i perioden 1944-1949, mens tyske aksjer falt med 84 prosent i perioden 1944-1950. Det er viktig å merke seg at denne type risiko ikke fanges opp av et risikomål som viser variasjonene i avkastningen på aksjer de siste 10 eller 20 år.
3.5 Noen porteføljeberegninger
Det er to metoder som ofte brukes for å illustrere hvordan egenskapene til en portefølje vil avhenge av aksjeandelen. Den ene er en porteføljemodell som viser hvilke kombinasjoner av aksjer og obligasjoner som gir det beste bytteforholdet mellom avkastning og risiko. Den andre er en simuleringsmodell som studerer hvordan egenskapene til en portefølje endres når investeringshorisonten øker. I dette avsnittet vil vi bruke begge de to metodene.
Porteføljeteorien tar som utgangspunkt at en investor velger mellom ulike aktivaklasser basert på investeringenes forventete avkastning og standardavviket til avkastningen. Høy forventet avkastning er positivt, mens høyt standardavvik (risiko) er negativt. For at en slik optimeringsfunksjon skal kunne brukes må enten egenskapene til avkastningen på finansielle aktiva være fullt ut beskrevet ved forventet avkastning og standardavvik, eller så må investorenes nyttefunksjoner være kvadratiske. 7 Til tross for at dette ofte oppfattes som relativt restriktive forutsetninger, er det vanlig både i finansteori og i praksis å anta at investorer velger porteføljer ut fra forventet avkastning og standardavvik. Investors risikotoleranse er bestemmende for avveiningen mellom avkastning og standardavvik.
Vi har laget en porteføljemodell der avkastning og standardavvik for aksjer og obligasjoner er beregnet ved å vekte sammen indekser for USA, Europa og Japan med Petroleumsfondets regionvekter. Aksje- og obligasjonsindeksene gir grunnlag for å beregne samvariasjonen mellom avkastningen på de to aktivaklassene. Vi har benyttet avkastningsdata for perioden 1986 til 2000. I beregningene har vi målt avkastningen i lokal valuta, noe som betyr at vi ser bort fra endringer i kronekursen og variasjoner i denne. Resultatene er vist i figur 3.11. Vi ser av figuren at dersom en startet ut med en portefølje som var 100 prosent investert i obligasjoner, kunne en redusert porteføljens risiko noe ved å investere en mindre andel i aksjer. Etter å ha tatt ut denne diversifikasjonsgevinsten, ville en fortsatt økning i aksjeandelen nesten gitt en lineær sammenheng mellom avkastning og risiko. Dersom hele porteføljen ble plassert i aksjer ville standardavviket økt fra om lag 4 til 14 prosent, mens avkastningen ville økt fra 8 prosent til 13,5 prosent. Forholdet mellom avkastning og risiko som funksjon av aksjeandelen har variert over tid. Splittes tidsseriene i delperioder, framgår det at bytteforholdet mellom aksjer og obligasjoner er gunstigere i noen perioder enn i andre.

Figur 3.11 Den effisiente fronten for en aksje- og obligasjonsportefølje med regionsvekter som er de samme som for fondet
Hvordan egenskapene til en portefølje påvirkes av endret aksjeandel avhenger av hvilke forutsetninger vi gjør om avkastning og risiko på aksjer og obligasjoner og om samvariasjonen mellom dem. Det er vanskelig å vite hva som vil være de riktige forutsetningene å gjøre for årene som kommer. I perioden 1986 til 2000 har gjennomsnittlig obligasjonsavkastning vært rundt 8 prosent. I lys av dagens nivå på obligasjonsrentene kan det være urimelig å legge en slik avkastning til grunn i porteføljeberegningene. Et mer nøytralt estimat på obligasjonsavkastningen kan være den effektive renten på obligasjoner som for tiden ligger rundt 5 prosent i mange land. Vårt anslag på avkastningen på aksjer har tatt utgangspunkt i denne avkastningen på obligasjoner og et noe lavere anslag på risikopremien enn hva historien skulle tilsi. I beregningene har vi satt avkastningen på aksjer til 8 prosent. Anslaget på standardavviket til aksjer og obligasjoner og korrelasjon mellom dem er basert på historiske estimat. Vi har sett bort fra variasjoner i kronekursen ved beregninger av standardavviket til avkastningen. 8 I figur 3.12 vises hvordan endringer i aksjeandelen påvirker porteføljens egenskaper.

Figur 3.12 Sammenhengen mellom aksjeandel og egenskapene til en global portefølje med regionsvekter som i Petroleumsfondet
I figuren fokuseres det på hvordan endret aksjeandel påvirker porteføljens avkastning og risiko målt over ettårshorisonter. Figuren med konfidensintervall viser de mest sannsynlige variasjonene i den årlige avkastningen. I analysene i dette avsnittet presenterer vi konfidensintervall som er beregnet ved å legge til og trekke fra to standardavvik fra forventningsverdien til avkastningen. Dersom avkastningen til aksjer og obligasjoner er normalfordelt vil dette representerer et 95 prosent konfidensintervall. Det betyr at avkastningen i 19 av 20 år vil ligge innenfor dette intervallet. Empiriske arbeider viser imidlertid at avkastningen på aksjer og obligasjoner oftere antar ekstreme verdier enn det normalfordelingen skulle tilsi. Avkastningen er heller ikke symmetrisk rundt forventningsverdien slik normalfordelingen er. Dette betyr at våre anslag på sannsynligheten for negativ avkastning og konfidensintervallet for avkastningen kan undervurdere den virkelige risikoen til en aksje- og obligasjonsportefølje. 9 Vi ser blant annet av figuren at konfidensintervallet for avkastningen til en obligasjonsportefølje er fra -2,5 prosent til +12,5 prosent, mens det tilsvarende intervallet for en aksjeportefølje er fra -23 prosent til +39 prosent. Figuren med standardavvik viser hvordan risikoen til porteføljen endres med aksjeandelen. Vi ser at risikoen stiger nesten proporsjonalt med aksje-andelen og at en aksjeportefølje har omtrent tre ganger høyere standardavvik enn en obligasjonsportefølje. Dersom risikoen måles som sannsynligheten for negativ avkastning blir bildet omtrent det samme. Figuren viser at en ren obligasjonsportefølje vil ha negativ avkastning omtrent hvert femtende år mens en ren aksje-portefølje vil ha negativ avkastning nesten hvert tredje år. En portefølje med 40 prosent aksjer og 60 prosent obligasjoner (som Petroleumsfondet) vil i følge beregningene ovenfor ha negativ avkastning omtrent hvert sjette år.
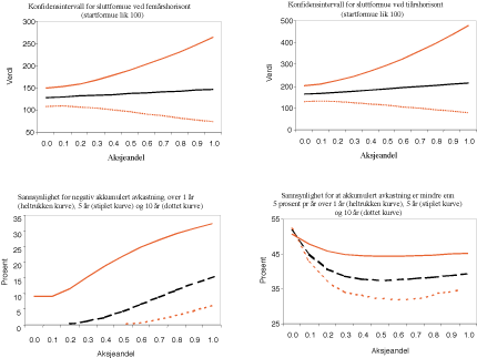
I analysene over har vi fokusert på hvordan endret aksjeandel påvirker avkastning og risiko over ettårshorisonter. Men som tidligere nevnt er det kanskje mer interessant å studere hvordan egenskapene til en portefølje utvikler seg på lang sikt. For å belyse dette bruker vi en simuleringsmodell. I modellen er det to aktivaklasser (aksjer og obligasjoner) og vi antar et avkastningen på aktivaklassene følger random walk. Vi gjør de samme antakelsene om avkastning, standardavvik og korrelasjon som ved beregningene av figur 3.12. Figur 3.13 viser konfidensintervall for sluttformue, sannsynlighet for negativ akkumulert avkastning og sannsynlighet for at den akkumulerte avkastningen er lavere enn 5 prosent pr år ved investeringshorisonter på 1, 5 og 10 år.

Figur 3.13 Konfidensintervall for sluttformue, sannsynlighet for negativ akkumulert avkastning og sannsynlighet for at den akkumulerte avkastningen er lavere enn 5 prosent pr år ved investeringshorisonter på 1, 5 og 10 år
Fra figuren ser vi at utfallsrommet for sluttformuen blir større desto høyere aksje-andelen er og desto lengre investeringshorisonten er. Ut fra dette er det nærliggende å konkludere med at risikoen øker både med aksjeandel og investeringshorisont. Men høyere aksjeandel og lengre horisont vil også øke avkastningen til porteføljen. Et sentralt spørsmål blir dermed hvordan forholdet mellom avkastning og risiko blir påvirket av endringer i aksjeandel og investerings-horisont. En måte å illustrere det på er å se på sannsynligheten for negativ akkumulert avkastning over ulike investeringshorisonter. Figuren viser hvordan denne sannsynligheten er påvirket av aksjeandel. Nå er ikke sammenhengene lenger like entydige. Generelt ser vi at sannsynligheten for negativ akkumulert avkastning faller med investeringshorisonten. Vi har også beregnet hvordan aksjeandelen påvirker sannsynligheten for at den akkumulerte avkastningen på porteføljen blir lavere enn en fast avkastning på 5 prosent pr år. Siden den forventete avkastningen på obligasjoner er 5 prosent hvert år, vil sannsynligheten for at obligasjonsporteføljen gir lavere avkastning enn 5 prosent pr år naturlig nok være 50 prosent. Sannsynligheten for at en aksjeportefølje gir lavere akkumulert avkastning enn 5 prosent pr år er lavere enn dette.
Siden Petroleumsfondet i dag har en aksjeandel på 40 prosent, vil det være særlig interessant å se hvordan endringer i aksjeandelen fra dette nivået vil påvirke fondets avkastning og risiko. I undervedlegg 1 har vi i tabellform reprodusert resultatene fra analysene i dette avsnittet for aksje-andeler mellom 30 prosent og 70 prosent. Disse tabellene viser at under våre forutsetninger vil eksempelvis en økning i aksjeandelen på 10 prosentpoeng øke den forventete avkastningen på fondet med 0,3 prosentpoeng, noe som over en tiårsperiode ventelig vil gi en økning i avkastningen på mer enn 5 prosentpoeng. En slik økning i aksjeandelen vil samtidig øke sannsynligheten for negativ årlig avkastning med noen prosent, mens sannsynligheten for negativ avkastning over en tiårsperiode vil bli lite påvirket.
I simuleringene ovenfor har vi lagt til grunn at avkastningen til både aksjer og obligasjoner følger random walk. I avsnitt 4 viste vi at det ikke nødvendigvis var tilfelle. Resultatene fra våre studier av amerikanske data kunne indikere at det var mean reversion i aksjer slik at risikoen til aksjer økte mindre over tid enn hva en antakelse om random walk skulle tilsi. Usikkerheten om resultatene fra det amerikanske markedet og mangelen på resultater fra andre markeder gjør at vi i simuleringsmodellen ikke har lagt til grunn at det er mean reversion i aksjer. Det er likevel viktig å understreke at dersom aksjer følger en mean reversion prosess, vil usikkerheten til den akkumulerte avkastningen til aksjer være mindre enn det simuleringene ovenfor gir inntrykk av.
Et vanlig argument for at aksjeandelen bør økes når investeringshorisonten blir lengre, er at sannsynligheten for at aksjer gjør det dårligere enn alternative investeringer reduseres (shortfall risikoen går ned). Det er imidlertid ikke tilstrekkelig å fokusere på sannsynligheten for mindreavkastning på aksjer. Det er også viktig å se på hvor mye lavere avkastningen på aksjer potensielt kan bli. Selv om sannsynligheten for mindreavkastning reduseres når horisonten blir lengre, vil størrelsen på den eventuelle mindreavkastningen øke.
Sammenhengen mellom aksjeandel og investeringshorisont har vært mye diskutert i litteraturen. Det kan vises at dersom investorene har konstant relativ risikoaversjon 10 og dersom aksjeavkastningen følger en random walk, vil aksjeandelen være uavhengig av investeringshorisonten. Hvis derimot aksjeavkastningen følger en mean reversion prosess og investorene har spesielle preferanser for å unngå negativ avkastning på porteføljen, kan det argumenteres for at aksjeandelen bør øke med lengden på investeringshorisonten. Sammenhengen mellom aksjeandel og investeringshorisont blir følgelig et spørsmål om tidsserieegenskapene til avkastningen på aksjer og obligasjoner og investorenes holdning til risiko.
I analysene ovenfor har vi brukt standardavvik, konfidensintervall og sannsynlighet for negativ avkastning som mål på porteføljens risiko. I begrunnelsen for å vurdere Petroleums-fondets aksjeandel legger Finansdepartementet blant annet vekt på at fondet ser ut til å bli større enn det en så for seg da aksjeandelen ble fastsatt i 1997. Et større fond vil gjøre at variasjonene i kroneverdien til fondet blir større selv med uendret investeringsstrategi. I hvilken grad denne risikoen er relevant for spørsmålet om aksjeandel vil avhenge av eierens risikotoleranse.
3.6 Aksjeandel i andre fond 11
Hvilken investeringsstrategi et fond bør velge er avhengig av hva formålet med forvaltningen av fondet er. Formålet avhenger både av hva fondet skal brukes til og når det skal brukes (investeringshorisonten). Det er naturlig at fond med ulike formål også velger forskjellig investeringsstrategi. Det vil derfor være mest relevant å sammenlikne Petroleumsfondets investeringsstrategi med investeringsstrategien til fond som har et tilsvarende formål. Det finnes ikke mange slike fond. De mest nærliggende er kanskje Alaska Permanent Fund, Alberta Heritage Fund og oljefondene til Kuwait og Oman. Det kan også være relevant å sammenlikne Petroleumsfondet med institusjoner som forvalter eget lands akkumulerte overskudd, slik som Government of Singapore Investment Corporation.
Problemet med flere av disse fondene er det finnes lite informasjon om hvilken investeringsstrategi de har valgt. Det er enklest å få informasjon om strategien til Alaska Permanent Fund og Alberta Heritage Fund. Alaska Permanent Fund har en portefølje på rundt 27 milliarder amerikanske dollar. Aksjeandelen er 49 prosent. Alberta Heritage Fund har en portefølje på 12,4 milliarder canadiske dollar (CAD). Denne er delt i en langsiktig portefølje på 7.0 milliarder CAD og en mer kortsiktig portefølje på 5,4 milliarder CAD. I den førstnevnte porteføljen er aksjeandelen 55 prosent, mens den andre porteføljen ikke har aksjer. Alberta Heritage Fund har imidlertid vedtatt en plan om å overføre den kortsiktige porteføljen til den langsiktige porteføljen innen 2005. Dette betyr at den samlede aksjeandel gradvis vil øke mot 55 prosent. I tillegg til investeringer i aksjer og obligasjoner har både Alaska Permanent Fund og Alberta Heritage Fund investeringer i fast eiendom.
For pensjonsfond finnes det lett tilgjengelig informasjon om investeringsstrategi generelt og aksjeandel spesielt. Figur 3.14 viser gjennomsnittlig aksjeandel til pensjonsfond i noen utvalgte land.

Figur 3.14 Gjennomsnittlig aksjeandel i pensjonsfond i noen utvalgte land. Tallene for Sverige gjelder bare for private pensjonsfond og er fra 1997.
Vi ser av figuren at den gjennomsnittlige aksjeandelen i pensjonsfondene varierer mye mellom land. I USA og Storbritannia har aksjeandelen i pensjonsfondene tradisjonelt vært høy, mens den har vært betydelig lavere i kontinental-Europa. Vi ser også at det er en klar trend i retning av høyere aksjeandel for alle land med unntak av Storbritannia.
I kontinental - Europa har det de senere årene vært en klar tendens til at aksjeandelen økes på bekostning av obligasjoner, og at investeringer flyttes fra innenlandske plasseringer til internasjonale aksje- og obligasjonsmarkeder. Ifølge markedsundersøkelser har aksjeandelen for gjennomsnittet av europeiske pensjonsfond i 2000 vært høyere enn tidligere år. Det har blant annet sammenheng med oppmyking av regelverket for pensjonsfondenes investeringsstrategi i enkelte land. I en rekke land i Europa er det imidlertid fortsatt restriksjoner på hvor stor aksjeeksponeringen i pensjonfondene kan være. EU-kommisjonen har foreslått et direktiv som på lengre sikt vil gi pensjonsfondene økt fleksibilitet til å velge aktivafordeling. 12
I Sverige er det bare private pensjonsfond som inngår i figur 3.14. AP-fondene er en sentral del av det offentlige pensjonssystemet. Fra og med 1.januar i år er forvaltningsstrukturen i disse fondene forandret som følge av den svenske pensjonsreformen. Det er opprettet 4 uavhengige og konkurrerende fond med samme investeringsregler, og som hver forvalter omlag 125 milliarder svenske kroner. Disse fondene tjener som en buffer mellom innbetalinger av trygdeavgift på 16 prosent av pensjonsgivende inntekt og utbetaling av pensjoner. Det er foreløpig ikke kjent hva slags investeringsstrategi disse fondene vil velge. I følge de generelle reglene som gjelder for alle de fire fondene skal minst 30 prosent være i rentebærende verdi-papirer (d.v.s implisitt maksimalt 70 prosent i aksjer). I det svenske pensjonssystemet skal 2,5 % av pensjonsgivende inntekt betales inn til en innskuddsbasert ordning med individuelle investerings- og forvaltervalg. De som ikke har valgt særskilte forvaltere vil få plassert sin kapital i et eget fond, AP-fond 7. Dette fondet er mye mindre enn hvert av de fire bufferfondene, men antas å vokse betydelig i de kommende år. Fondet har en aksjeandel på 85 prosent.
Europas største pensjonsfond, ABP, er hjemmehørende i Nederland. Myndighetene i Nederland har ikke fastsatt tilsvarende begrensninger på aktivaallokeringen som gjelder i mange andre europeiske land. Nederlandske pensjonsfond har derfor i gjennomsnitt en høyere aksjeandel enn gjennomsnittet i kontinental-Europa (45 prosent mot 36 prosent 13). I aksjeandelen til ABP inngår for øvrig en mindre andel plasseringer i ikke-børsnoterte aksjer, jf tabell 3.1.
Tabell 3.1 ABP's aktivafordeling (oktober 2000)
| Aktivaklasse | Andel i prosent |
| Obligasjoner | 40 |
| Børsnoterte aksjer | 48 |
| Ikke-børsnoterte aksjer | 4 |
| Eiendom | 8 |
Verdens største forvalter av pensjonskapital er det amerikanske Teachers Insurance and Annuity Association - College Retirement Equity Fund (TIAA-CREF). I mange sammenhenger regnes dette selskapet som en av flere tilbydere av forvaltnings-tjenester for andre, på linje med de eksterne forvaltere Petroleumsfondet har engasjert. De tilbyr imidlertid ikke sine forvaltningstjenester i det ordinære markedet. TIAA-CREF forvalter pensjonskapital til lærere/professorer etc. i høyskoler og universiteter over hele USA. Selskapet er derfor mer sammenlignbart med pensjonsfond. TIAA-CREF forvalter i overkant av 290 milliarder amerikanske dollar, hvorav mer enn halvparten er plassert i børsnoterte aksjer i USA og resten av verden.
Gjennomgangen av investeringsstrategien til andre fond viser at det er mange fond som har høyere aksjeandel enn Petroleumsfondet. En annen forskjell er at en del fond investerer noe av kapitalen i aktivaklasser som Petroleumsfondet for tiden ikke investerer i (som for eksempel ikke-børsnoterte aksjer og eiendom).
3.7 Operative hensyn
Norges Bank har et apparat som kan håndtere både en eventuell overgangsfase med økende aksjeandel og et større forvaltningsvolum i aksjer. En økt aksjeandel vil ikke innebære noe kvalitativt nytt for gjennomføring av forvaltningen, men det vil likevel ha enkelte operative konsekvenser som bør nevnes.
Løpende kostnader i forvaltningen
Aksjeforvaltning vil være dyrere enn renteforvaltning, slik at en økning av aksje-andelen vil øke forvaltningskostnadene. I 2000 var gjennomsnittlig forvaltningskostnad for aksjeporteføljen på 20,8 basispunkter, mens den for renteporteføljen var på 4,5 basispunkter. Størrelsen på forskjellen i 2000 gjenspeiler imidlertid også at en mye større del av aksjeporteføljen enn av renteporteføljen ble forvaltet eksternt, og at det var et betydelig større innslag av aktiv forvaltning i aksjeporteføljen. Fordelingen mellom intern og ekstern forvaltning er i ferd med å endres slik at den blir mer lik for aksje- og renteporteføljene, og da vil kostnadsforskjellen bli mindre.
Et canadisk konsulentfirma, Cost Effectiveness Measurement Inc.(CEM), har kostnadsdata for flere hundre amerikanske og europeiske pensjonsfond og har på oppdrag fra Norges Bank levert en analyse av kostnadene ved forvaltningen av Petroleumsfondet. Ut fra det materialet vi har fått fra CEM vil en normal kostnadsforskjell mellom aktiv aksje- og renteforvaltning være på 4-5 basispunkter dersom forvaltningen gjøres internt. Dersom den aktive forvaltningen gjøres eksternt vil en normal kostnadsforskjell være på om lag 15 basispunkter. For intern indeksforvaltning er det ut fra dette datamaterialet liten forskjell på kostnadene for aksjer og renter, mens ekstern indeksforvaltning er om lag 1 basispunkt dyrere for aksjer enn for renter.
I Petroleumsfondet er det i dag aktiv forvaltning av 38 prosent av aksjeporteføljen, fordelt med 26 prosentpoeng eksternt og 12 prosentpoeng internt. I renteporteføljen er 7,5 prosent i ekstern forvaltning. Med denne fordelingen, og med utgangspunkt i kostnadstallene fra CEM, vil gjennomsnittlig kostnadsforskjell mellom aksje- og renteforvaltning være på om lag 8 basispunkter.
Kostnader ved tilførsel
I tillegg til løpende forvaltningskostnader påløper også engangskostnader når nye midler skal investeres i verdipapirmarkedene. I årsrapporten for 2000 er kostnadene ved nyinvesteringer i aksjemarkedene anslått til 25 basispunkter. For nyinvesteringer i rentemarkedene kan kostnadene tilsvarende anslås til mindre enn 5 basispunkter. Det betyr at etablerings-kostnadene for nye aksjeporteføljer er om lag 20 basispunkter høyere enn for nye renteporteføljer.
Kostnader ved rebalansering
Det er betydelig større prisvolatilitet i aksjemarkedene enn i rentemarkedene. Med en høyere aksjeandel vil som tidligere nevnt de absolutte avvikene fra faste aktiva- og regionvekter som regel bli større, og i dagens rebalanseringsregime vil behovet for transaksjoner i forbindelse med rebalanseringer øke tilsvarende. Med andre rebalanseringsregimer kan virkningen på transaksjonsvolumet bli mindre. Kostnadsforskjellen mellom aksje- og rentetransaksjoner vil uansett være om lag som ved tilførsel av nye midler.
Implementering av eventuell økt aksjeandel
En beslutning om momentan implementering medfører risiko for store transaksjonskostnader. Mest kostnadseffektivt vil det være å la aksjeandelen drifte opp til ny målsone, ved at nye midler kanaliseres til aksjeporteføljen samtidig som det ikke korrigeres for eventuell høyere avkastning i aksjemarkedene i forhold til rentemarkedene. Referanseporteføljen må da endres i samsvar med dette.
En slik glidende overgang betyr at vi ikke på forhånd kan vite hvor lang tid implementeringen vil ta. Det vil avhenge av størrelsen på tilflyten av ny kapital og av markedsutviklingen. I følge Nasjonalbudsjettet 2001 er forventet størrelse på Petroleumsfondet ved utgangen av 2001 på 590 milliarder kroner, og ved utgangen av 2002 på om lag 750 milliarder. Med en kvartalsvis tilførsel på 35-40 milliarder kroner, vil for eksempel en 10 prosentpoengs økning i aksjeandelen mest sannsynlig kunne gjøres på et halvt år uten salg av rentepapirer.
Generelt bør det foretas en avveining mellom den forventede meravkastning ved rask opptrapping av aksjeandelen og den økte risikoen dette kan gi. Det vil imidlertid uansett være en fordel om opptrappingen gjøres på en slik måte at aksjeandelen ikke må økes raskere enn det som følger av tilflyten og markedsutviklingen.
3.8 Oppsummering
I valg av aksjeandel for Petroleumsfondet må det foretas en avveining mellom avkastning og risiko. I dette brevet har vi drøftet hvordan endringer i aksjeandelen kan påvirke fondets avkastning og risiko.
Det er flere metoder som kan brukes for å anslå hvor stor avkastningen på aksjer og obligasjoner vil være. Et naturlig utgangspunkt er å se på historiske avkastningsrater. Disse viser at avkastningen på aksjer i gjennomsnitt har vært mellom 5 og 6 prosentpoeng høyere enn avkastningen på obligasjoner. Det er imidlertid betydelig usikkerhet rundt anslagene på historiske avkastningsforskjeller. Det er dessuten vanskelig å forklare såpass store avkastningsforskjeller ut fra teoretiske modeller for prising av finansielle aktiva.
En alternativ metode for å anslå avkastningen på aksjer er å ta utgangspunkt i dividende-pris forholdet eller inntjening-pris forholdet. Vi har brukt denne metoden til å gjøre noen illustrerende beregninger. De viser at avkastningen på aksjer framover vil kunne være lavere enn det historiske gjennomsnittet. Beregningene er imidlertid svært følsomme for hvilke forutsetninger som gjøres.
Det har også vært en diskusjon om hvilke implikasjoner den sterke stigning i aksjekursene på siste halvdel av 1990-tallet kan ha for fremtidig avkastning på aksjer. Vanligvis kan en oppgang i aksjekursene forklares med lavere risikopremie eller forventinger om høyere inntjening i bedriftene. Dersom kursoppgangen skyldes reduserte risikopremier, vil avkastningen på aksjer være lavere i årene som kommer enn det vi har sett historisk. Hvis stigningen i aksjemarkedet har sammenheng med at investorene forventer høyere inntjeningsvekst i bedriftene, vil meravkastningen på aksjer i årene som kommer kunne være i samme størrelsesorden som det vi har sett i et lengre historisk perspektiv.
Dersom de fundamentale forutsetningene for en økning i aksjekursene skulle endres eller dersom kursoppgangen ikke er relatert til underliggende fundamentale forhold, vil en kunne oppleve et fall i aksjekursene. Noen mener at nedgangen i aksjekursene det siste året representerer en slik korreksjon. Andre peker på at denne nedgangen er liten sammenliknet med den kraftige kursoppgangen på slutten av 1990-tallet, og at det derfor er en risiko for at aksjekursene kan falle videre.
Risikoen til aksjer måles gjerne ved standardavviket til avkastningen eller ved sannsynligheten for at avkastningen på aksjer enten er negativ eller lavere enn avkastningen på andre aktivaklasser. Vi har benyttet begge disse metodene for å illustrere risikoen ved aksjer. Ut fra historiske avkastningstall finner vi at standardavviket til årlige avkastningsrater er omtrent tre ganger høyere for aksjer enn for obligasjoner. Sannsynligheten for negativ avkastning i løpet av et år er også høyere for aksjer enn for obligasjoner. Petroleumsfondet har imidlertid en lang investeringshorisont, noe som gjør det viktig å fokusere på risikoen målt over lengre tidsperioder. Hvordan risikoen endres med lengden på horisonten avhenger av tidsserieegenskapene til avkastningen på aksjer og obligasjoner. For de fleste markedene har vi ikke tilstrekkelig lange tidsserier til å kunne undersøke tidsserieegenskapene. Våre studier av amerikanske data for perioden 1926 - 2000 kan imidlertid tyde på at standardavviket til aksjer øker langsommere enn standardavviket til obligasjoner når lengden på investeringshorisonten øker. Dersom dette gjelder mer generelt vil det isolert sett være et argument for å øke aksjeandelen når investeringshorisonten blir lengre.
Når en skal velge aksjeandel for et fond, kan det være naturlig å se på hva andre fond har valgt. I USA og Storbritannia er det mange fond som har høyere aksjeandel enn Petroleumsfondet. I kontinental-Europa har pensjonsfondene i gjennomsnitt en noe lavere aksjeandel enn Petroleumsfondet. I disse landene er imidlertid aksjeandelen på vei opp, blant annet fordi myndighetene i mange har lempet på de restriksjonene pensjonsfondene er underlagt. En viktig forskjell mellom investeringsstrategien til Petroleumsfondet og andre fond er at mange fond investerer noe av kapitalen i aktivaklasser som Petroleumsfondet for tiden ikke investerer i (som for eksempel ikke-børsnoterte aksjer og eiendom).
En endring i Petroleumsfondet aksjeandel vil ikke innebære noe kvalitativt nytt i den operative forvaltningen. Norges Bank har et apparat for å håndtere en eventuell endring i fondets aksjeandel. Den mest kostnadseffektive måten å endre aksjeandelen på er å benytte tilflyten til fondet til gradvis å endre fondets sammensetning.
Med hilsen
Svein Gjedrem
Harald Bøhn
Undervedlegg 1
I avsnitt 5 viste vi hvordan endret aksjeandel vil påvirke avkastning og risiko til en portefølje. I analysene i dette avsnittet antok vi at avkastningen på obligasjoner var 5 prosent og avkastningen på aksjer var 8 prosent. Standardavviket til aksjer og obligasjoner og korrelasjonen mellom dem ble beregnet ut fra historiske data. Hvordan endret aksjeandel påvirker egenskapene til en portefølje er imidlertid avhengig av de forutsetninger som gjøres om avkastning, standardavvik og korrelasjon. I dette vedlegget vil vi illustrere dette ved å gjøre andre forutsetninger om avkastningen på aksjer og obligasjoner. Vi legger hele tiden til grunn at avkastningen på obligasjoner er 5 prosent, men lar risikopremien på aksjer være henholdsvis 2 og 4 prosent. Vi gjentar også de relevante resultatene fra avsnitt 5 for å gjøre sammenlikningene enklere. Nedenfor vises resultatene i tabeller og bare for aksjeandeler mellom 30 prosent og 70 prosent. Dette er gjort for å få mer presist fram hvordan ulike avkastningsforskjeller påvirker egenskapene til porteføljen.
I tabellene beregner vi sannsynlighet for negativ avkastning, konfidensintervall for årlig avkastning og konfidensintervall for sluttformue ved ulike investeringshorisonter. I alle disse beregningene har vi antatt at avkastningen til aksjer og obligasjoner er normalfordelt. Konfidensintervallene er beregnet slik at dersom forutsetningen om normalfordeling holder kan en forvente at 95 prosent av observasjonene vil være innenfor dette intervallet.
Det er viktig å understreke at resultatene som presenteres i dette vedlegget er følsomme for de forutsetninger som gjøres om egenskapene til aksjer og obligasjoner når det gjelder avkastning, standardavvik, korrelasjon og den statistiske fordelingen. Hvis for eksempel avkastningsratene har en bredere statistisk fordeling enn normalfordelingen, vil resultatene nedenfor kunne undervurdere risikoen til porteføljene. Anslaget på sannsynligheten for negativ avkastning vil blant annet være følsom for våre antakelser om nivået på aksje- og obligasjonsavkastningen. Resultatene nedenfor må derfor sees i lys av de forutsetningene som er gjort.
Tabell 3.2 Konfidensintervall for årlig avkastning som funksjon av aksjeandel. Tabellen viser nedre grense i intervallet, forventningsverdien og øvre grense i intervallet. Prosent
| Aksjer 8%, obligasjoner 5% | Aksjer 7%, obligasjoner 5% | Aksjer 9%, obligasjoner 5% | |||||||
| Aksjeandel | Nedre | Forventning | Øvre | Nedre | Forventning | Øvre | Nedre | Forventning | Øvre |
| 0,3 | -5,4 | 5,9 | 17,2 | -5,7 | 5,6 | 16,9 | -5,2 | 6,2 | 17,6 |
| 0,4 | -7,5 | 6,2 | 19,9 | -7,9 | 5,8 | 19,5 | -7,2 | 6,6 | 20,4 |
| 0,5 | -9,9 | 6,5 | 22,9 | -10,3 | 6,0 | 22,3 | -9,5 | 7,0 | 23,5 |
| 0,6 | -12,3 | 6,8 | 25,9 | -12,8 | 6,2 | 25,2 | -11,8 | 7,4 | 26,6 |
| 0,7 | -14,9 | 7,1 | 29,1 | -15,4 | 6,4 | 28,2 | -14,3 | 7,8 | 29,9 |
Tabell 3.3 Sannsynlighet for negativ akkumulert avkastning som funksjon av aksjeandel og investeringshorisont. Prosent
| Aksjer 8%, obligasjoner 5% | Aksjer 7%, obligasjoner 5% | Aksjer 9%, obligasjoner 5% | |||||||
| Aksjeandel | 1 år | 5 år | 10 år | 1 år | 5 år | 10 år | 1 år | 5 år | 10 år |
| 0,3 | 15,3 | 1,1 | 0,1 | 16,5 | 1,5 | 0,1 | 14,1 | 0,8 | 0,0 |
| 0,4 | 18,9 | 2,4 | 0,3 | 20,5 | 3,3 | 0,5 | 17,5 | 1,8 | 0,2 |
| 0,5 | 22,2 | 4,3 | 0,8 | 24,0 | 5,7 | 1,3 | 20,5 | 3,3 | 0,5 |
| 0,6 | 24,9 | 6,5 | 1,6 | 26,9 | 8,4 | 2,6 | 23,0 | 5,0 | 1,0 |
| 0,7 | 27,2 | 8,8 | 2,8 | 29,3 | 11,2 | 4,3 | 25,2 | 6,8 | 1,7 |
Tabell 3.4 Konfidensintervall for sluttformue som funksjon av aksjeandel og investeringshorisont. Startformue er lik 100. Tabellen viser nedre grense i intervallet, forventningsverdien og øvre grense i intervallet. Prosent
| Aksjer 8%, obligasjoner 5% | |||||||||
| 1 år | 5 år | 10 år | |||||||
| Aksjeandel | Nedre | Forventning | Øvre | Nedre | Forventning | Øvre | Nedre | Forventning | Øvre |
| 0,3 | 94,6 | 105,9 | 117,2 | 104,1 | 133,2 | 168,0 | 124,7 | 177,5 | 245,2 |
| 0,4 | 92,5 | 106,2 | 119,9 | 100,1 | 135,1 | 178,5 | 118,7 | 182,6 | 268,9 |
| 0,5 | 90,1 | 106,5 | 122,9 | 95,8 | 137,1 | 190,2 | 112,2 | 187,9 | 295,9 |
| 0,6 | 87,7 | 106,8 | 125,9 | 91,3 | 139,0 | 203,0 | 105,4 | 193,3 | 326,2 |
| 0,7 | 85,1 | 107,1 | 129,1 | 86,8 | 141,0 | 216,8 | 98,6 | 198,8 | 359,6 |
| Aksjer 7%, obligasjoner 5% | |||||||||
| 1 år | 5 år | 10 år | |||||||
| Aksjeandel | Nedre | Forventning | Øvre | Nedre | Forventning | Øvre | Nedre | Forventning | Øvre |
| 0,3 | 94,3 | 105,6 | 116,9 | 102,7 | 131,4 | 165,6 | 121,3 | 172,6 | 238,4 |
| 0,4 | 92,1 | 105,8 | 119,5 | 98,3 | 132,6 | 175,1 | 114,4 | 175,9 | 258,9 |
| 0,5 | 89,7 | 106,0 | 122,3 | 93,6 | 133,9 | 185,8 | 107,1 | 179,3 | 282,3 |
| 0,6 | 87,2 | 106,2 | 125,2 | 88,8 | 135,2 | 197,4 | 99,7 | 182,7 | 308,3 |
| 0,7 | 84,6 | 106,4 | 128,2 | 84,1 | 136,5 | 209,8 | 92,4 | 186,2 | 336,7 |
| Aksjer 9%, obligasjoner 5% | |||||||||
| 1 år | 5 år | 10 år | |||||||
| Aksjeandel | Nedre | Forventning | Øvre | Nedre | Forventning | Øvre | Nedre | Forventning | Øvre |
| 0,3 | 94,8 | 106,2 | 117,6 | 105,6 | 135,1 | 170,4 | 128,2 | 182,5 | 252,2 |
| 0,4 | 92,8 | 106,6 | 120,4 | 102,0 | 137,7 | 181,8 | 123,2 | 189,5 | 279,1 |
| 0,5 | 90,5 | 107,0 | 123,5 | 98,0 | 140,3 | 194,7 | 117,4 | 196,8 | 310,1 |
| 0,6 | 88,2 | 107,4 | 126,6 | 93,8 | 142,9 | 208,8 | 111,3 | 204,3 | 344,9 |
| 0,7 | 85,7 | 107,8 | 129,9 | 89,7 | 145,6 | 224,0 | 105,1 | 212,1 | 383,7 |
Fotnoter
Konsulentselskapet Ibbotsen Associates har konstruert årlige data for avkastningen på amerikanske aksjer og obligasjoner for perioden 1926 til 1998. Ved hjelp av Datastream har vi forlenget disse tidsseriene til og med 2000. Avkastningen på aksjer gjelder for en bred markedsportefølje, mens avkastningen på obligasjoner gjelder for en portefølje med durasjon rundt 5. I dette brevet benytter vi nominelle avkastningsrater. Resultatene vil bli lite endret om vi istedenfor hadde studert realavkastningen på aksjer og obligasjoner.
J.J. Siegel (1998): «Stocks for the long run,» Irwin Inc.
P. Jorion og W.N. Goetzmann (1999): «Global stock markest in the twentieth century», Journal of Finance.
Dette kan føre til at de europeiske markedene relativt sett kommer dårligere ut siden det i disse markedene har vært mer vanlig å betale dividende.
R. J. Shiller (2000): «Irrational Exuberance», Princeton University Press.
Vi har antatt at aksjekursene følger en Ornstein-Uhlenbeck mean reversion prosess. Denne prosessen er kalibrert slik at den har egenskaper som ligner egenskapene til de historiske aksjekursene i USA
At avkastningen er normalfordelt betyr at hele utfallsrommet til avkastningen på en aktivaklasse er beskrevet ved forventet avkastning og standardavviket til avkastningen. En kvadratisk nyttefunksjon innebærer at investor har økende absolutt risiko-aversjon; dvs at andelen som den risikable aktivaklassen har i porteføljen avtar når formuen øker.
Det bør understrekes at estimatene på avkastning og risiko er beheftet med stor usikkerhet. I vedlegg 1 ser vi nærmere på porteføljeegenskapene under andre forutsetninger om avkastningen på aksjer og obligasjoner.
Hvor stor feilen er avhenger av hvor store avvik det er mellom normalfordelingen og den faktiske fordelingen til avkastningen Disse avvikene vil avhenge av hvilken tidshorisont en ser på og hvor diversifiserte porteføljene er.
Relativ risikoaversjon (RRA) er et mål på hvilken holdning investoren har til et proporsjonal tap av formue. En investor med økende (avtakende) RRA vil plassere mindre (mer) i aksjer når formuen øker.
I Petroleumsfondets årsrapport for 2000 gis det i en egen temaartikkel en grundig gjennomgang av investeringsstrategien til andre fond.
EU-kommisjonens forslag til Europa-parlamentets og rådets direktiv om arbeidsmarkedsorienterte pensjonskassers aktiviteter, 11.oktober 2000.
Kilde: Greenwich Associates: «Investment Management, Continental Europe», oktober 2000.