6 Egenskapene til det gjeldende petroleumsskattesystemet
6.1 Innledning
I kapitlene 6 til 8 drøftes egenskaper ved det gjeldende petroleumsskattesystemet. Kapittel 7 er i sin helhet viet problemstillinger knyttet til den skattemessige behandlingen av selskapenes finansielle poster. Der gjennomgås og vurderes gjeldende rett, særlig virkningene av reglene som fordeler finansielle poster mellom landskatteregimet og sokkelskatteregimet. Utvalget begrunner i kapitlet forslagene til endringer i behandlingen av finansielle poster. I kapittel 8 gjennomgås dagens regler for skattemessig behandling av overdragelser av utvinningstillatelser, og utvalgets forslag til endringer.
I dette kapitlet drøftes andre egenskaper til det gjeldende petroleumsskattesystemet. Petroleumsskattesystemets hovedoppgave er å skaffe staten inntekter, som dels anvendes til å balansere de årlige budsjettene, og dels gir mulighet til å omdanne statens petroleumsformue til finansiell formue. Petroleumsskattesystemet må derfor først og fremst bedømmes etter den evnen det har til å skaffe staten inntekter. I avsnitt 6.2 kommenteres visse sider ved statens inntekter fra petroleumsvirksomheten og usikkerheten i disse inntektene.
For å gjøre skatteinntektene størst mulig og samtidig unngå effektivitetstap bør skattesystemet ideelt sett være nøytralt. Utvalget har derfor lagt vekt på å analysere skattesystemets virkninger på selskapenes beslutninger. Det betyr at vi er opptatt av i hvilken grad gjeldende regler tilfredsstiller kravene til nøytralitet i skattesystemet, slik de er beskrevet i kapittel 2 og i vedlegg 1 og 2.
Flere aspekter av nøytralitet blir vurdert. Det er lagt særlig vekt på å vise hvordan skattesystemet virker på insentivene til å investere, men også andre aspekter av nøytralitet er behandlet.
Petroleumsskattesystemet virker ikke nøytralt i valg mellom egenkapital- og fremmedkapitalfinansiering. Det er skattemessige fordeler ved å låne. I avsnitt 6.3 analyseres betydningen av skattefordelen knyttet til gjeldsfinansiering av sokkelinvesteringer.
Virkningene av skattesystemet på insentivene til å investere i sokkelvirksomheten er gjenstand for nøye drøfting i avsnitt 6.4. Skattesystemet bør ikke stimulere til prosjekter som ikke er lønnsomme før skatt, samtidig som lønnsomme prosjekter ikke bør hindres av skattesystemet. For å vite hvordan skattesystemet påvirker investeringsinsentivene, må vi undersøke hvordan skattesystemet påvirker investeringer som er marginalt lønnsomme. For dette formålet beregner vi marginale realavkastningskrav, en metode som ofte er brukt i skatteanalyser. Metoden bygger på en rekke forutsetninger som kan være usikre. Vi undersøker derfor i hvilken grad konklusjonene i analysen er følsomme for de forutsetningene som er valgt.
Insentivene til å investere kan være nokså ulike for selskaper avhengig av om selskapene har løpende inntekt på sokkelen eller ikke. Det er derfor av interesse å se hvordan forutsetninger om skatteposisjon virker inn. Dette er et av de forholdene som er drøftet under avsnitt 6.5 om inngangsbarrierer.
I avsnitt 6.6 ser vi på hvordan skattesystemet kan påvirke andre beslutninger, slik som valg av transportløsning, valg mellom nedstengning og fortsatt produksjon og valg mellom å eie eller leie produksjonsinnretningene. Vi ser også på om skattesystemet kan påvirke selskapenes holdning til risiko i prosjektene.
Petroleumsskattesystemet bør ideelt sett være enkelt og oversiktlig for å redusere konfliktpotensialet mellom skattemyndighetene og skattytere, og for å holde kostnadene ved etterlevelse og håndhevelse nede. Noen administrative aspekter ved petroleumsskattesystemet tas opp i avsnitt 6.7. I et skatteregime med høye marginalskatter er det en utfordring å sikre riktig plassering av inntekter og utgifter mellom sokkelskatteregimet og andre skatteregimer. Grensene mellom virksomhet som faller innenfor og utenfor særskatteplikt, bør være klare. Overføring av sokkelinntekt gjennom internprising av varer og tjenester fra beslektet selskap må unngås. Både selve skattesystemet, og det administrative apparatet rundt det, må derfor innrettes slik at en unngår uthuling av skattegrunnlaget.
Et annet spørsmål er hvordan ulike særregler bidrar til å gjøre systemet mer komplisert. Det gjelder for eksempel reglene om skattemessig behandling av overdragelser av utvinningstillatelser, reglene om fordeling av utgifter til fjerning av innretninger, reglene som begrenser fradraget for finansielle kostnader, og reglene om skattemessig likebehandling mellom eie og leie av produksjonsinnretninger. Formålet med disse særreglene er i stor grad å bøte på svakheter i skattesystemet. Behovet for særregler burde være mindre i et skattesystem som i utgangspunktet er utformet mer i overensstemmelse med ønskemålene.
6.2 Skatteinntekter og statens risiko
Kapittel 3 inneholder en redegjørelse for statens inntekter fra petroleumsvirksomheten. Det framgår at staten inntil 31.12.1999 har mottatt netto inntekter fra virksomheten på i alt 965 mrd. kroner målt i 1990-priser. I gjennomsnitt over 1980- og 1990-årene har statens inntekter fra petroleumsvirksomheten stått for 12 prosent av statens samlede inntekter. Det framgår at statens inntekter vil bli meget store også framover dersom oljeprisen holder seg på det nivået som er forutsatt i regjeringens plandokumenter. I så fall vil statens inntekter i perioden 2000-2035 bli 3-4 ganger høyere målt i 1999-priser enn i den foregående 35-års perioden.
Det er også presentert beregninger som viser at staten kan lykkes i å trekke inn en stor del av grunnrenten i sektoren, knapt 80 prosent. Beregningen er utført for 100 års-perioden 1965-2065. Beregningsresultatet bygger på en rekke forutsetninger om ukjente størrelser som gjør resultatet svært usikkert.
Beregningene av statens andel av grunnrenten bygger også på at beskatningen og statens direkte deltagelse videreføres på samme nivå som i dag. Siden skattesystemet gir tidlige fradrag og mange investeringer derfor allerede er skattemessig nedskrevet, er statens andel av grunnrenten hittil adskillig lavere enn 80 prosent. For å nå opp i 80 prosent over "sokkelens levetid", er det derfor nødvendig at nivået på skattene og den direkte deltagelsen opprettholdes. For den andel av virksomheten som staten eier direkte, beholder staten 100 prosent av grunnrenten. Ellers vil staten være skattekreditor og kan trekke inn en del av grunnrenten, men har i tillegg eierinteresser i Statoil og Norsk Hydro. Uten den direkte deltagelsen gjennom SDØE ville statens andel av grunnrenten blitt betydelig lavere, anslagsvis 65 prosent.
Høye inntekter og utsikter til å inndra en stor del av grunnrenten er ikke en fullgod indikator på hvorvidt petroleumsskattesystemet og statsdeltagelsen har virket effektivt i forhold til potensialet for statlige inntekter. Det er blant annet vanskelig å bedømme om skattegrunnlagene kunne vært høyere dersom skattesystemet og andre rammebetingelser hadde vært annerledes. Hvor store inntekter som genereres i sektoren, vil avhenge av hvor effektive de aktive selskapene er. Aktørsammensetningen er derfor av betydning. Myndighetenes regulering av sektoren og rammebetingelsene i vid forstand har opplagt stor innvirkning på hvordan potensialet for inntekter kan virkeliggjøres av selskapene.
Det er også svært vanskelig å bedømme om skattegrunnlagene kunne vært høyere dersom kontrollen med selskapenes selvangivelser hadde vært enda mer omfattende. Utvalget har ikke hatt mulighet til å analysere disse spørsmålene.
Utvalget peker i dette kapitlet og i kapittel 7 imidlertid på svakheter ved petroleumsskattesystemet som gjør at skattegrunnlagene burde vært bredere. Et hovedproblem er at finansieringskostnader knyttet til andre virksomheter kommer til fradrag i sokkelinntekt. Et annet problem er at petroleumsskattesystemet stimulerer til for høy kapitalbruk, og at en for høy kapitalbruk reduserer skattegrunnlaget gjennom fradragene for avskrivninger, friinntekt og finanskostnader.
Petroleumsskattesystemet er i det alt vesentlige basert på beskatning av netto inntekter. Det betyr at staten bærer en vesentlig del av risikoen i virksomheten. Går oljeprisen ned, slår det sterkt ut på skatteinntektene, men staten vil også motta en stor del av prisøkninger. De endringene som over tid er gjort i skattesystemet, har bidratt til å øke statens risiko. Produksjonsavgiften er under avvikling for de få feltene som fortsatt har den. Selv om produksjonsavgiften også vil påvirkes av oljeprisen, vil en ikke risikere at provenyet bortfaller helt, så lenge det opprettholdes produksjon. Produksjonsavgiften har derfor utgjort et relativt stabilt element i statens inntekter, og motsatt bidratt til å øke selskapenes risiko.
Også endringer i konsesjonssystemet har gått i retning av større risiko for staten. Ordningen med bæring av statens leteutgifter er avviklet. Også "skjult bæring" gjennom glideskalasystemet er avviklet.
Gjennom SDØE deltar staten økonomisk i virksomheten på lik linje med selskapene, og bærer risiko i samme utstrekning som selskapene for sine andeler.
Når staten stadig har påtatt seg større risiko gjennom endringer i skatte- og konsesjonssystemet, er det ut fra en forventning om at statens inntekter da blir høyere. De elementene i petroleumsskattesystemet og rammebetingelsene for øvrig som sterkest bidro til å overføre risiko fra staten til selskapene, som for eksempel produksjonsavgift, hadde samtidig systemegenskaper som innebar at det ikke ble samsvar mellom samfunnsøkonomiske og bedriftsøkonomiske lønnsomhetsvurderinger. De innebar derfor også potensielle kostnader for staten i form av redusert samlet avkastning fra virksomheten på sokkelen.
Sammenlignet med mange andre land med petroleumsutvinning, har den norske staten god evne til å bære risiko knyttet til kortsiktige endringer i oljeprisen. Den økonomiske politikken er blant annet lagt opp med sikte på å skjerme den innenlandske økonomien mest mulig fra svingninger i oljeinntektene. Statens petroleumsfond er opprettet for å kunne ta langsiktige hensyn ved anvendelse av petroleumsinntektene. Fondet fungerer på kort sikt som en buffer for svingende oljepriser, slik at de årlige oppleggene for budsjettpolitikken ikke skal bli påvirket av kortsiktige oljeprisendringer. Ved vurdering av det norske systemet for skattlegging av petroleumsvirksomheten, er det således etter utvalgets vurdering liten grunn til å legge særlig vekt på hvordan ulike utforminger av systemet påvirker statens kortsiktige oljeprisrisiko.
Gjennom oppbyggingen av petroleumsfondet reduseres også statens langsiktige oljeprisrisiko. Den delen av inntektene fra uttapping og salg av petroleumsressursene som ikke benyttes til å dekke underskuddet på statsbudsjettet utenom olje, blir gjennom fondet investert i utenlandske verdipapirer. Som vist i figur 6.1, hentet fra Langtidsprogrammet 1998-2001 (St.meld. nr. 4 (1996-97)), motsvarer oppbyggingen av finansformuen i offentlig forvaltning i årene fram til 2020 nedbygging av petroleumsformuen i samme tidsrom. Slik sett representerer oppbyggingen av Petroleumsfondet en omveksling av statens eiendeler fra petroleumsformue til en portefølje av utenlandske verdipapirer. Denne omvekslingsprosessen vil over tid føre til større risikospredning i statens formue og mindre oljeprisrisiko.

Figur V6-1 Petroleums- og finansformue i offentlig forvaltning. Prosent av BNP
Kilde: Langtidsprogrammet 1998-2001.
Det vil i første rekke være utvinningstempoet som bestemmer hvor raskt denne omvekslingsprosessen skal foregå. Utformingen av petroleumsskattesystemet vil i mindre grad påvirke statens langsiktige oljeprisrisiko direkte, blant annet fordi en vesentlig del av petroleumsinntektene kommer fra statens direkte økonomiske engasjement (SDØE). Indirekte kan imidlertid skattesystemet påvirke utvinningstempoet gjennom virkninger på investeringsnivå og utbyggingsinsentiver. I denne sammenhengen legger utvalget vekt på nøytralitet i beskatningen, slik at det blir best mulig samsvar mellom bedriftsøkonomiske og samfunnsøkonomiske vurderinger når det gjelder investerings- og driftsbeslutningene.
6.3 Virkninger av finansiering
6.3.1 Skattemessig favorisering av lån framfor egenkapital
Rentekostnader er i dagens petroleumsskattesystem fullt ut fradragsberettigede i særskattegrunnlaget. Verdien av rentefradraget på sokkelen er derfor svært høy sammenlignet med i det ordinære skattesystemet. Oljeselskapene kan dermed oppnå betydelige fordeler ved å ta opp lån i sokkelselskapet framfor å låne på eierens hånd og sette egenkapital inn i sokkelselskapet. For å få lavest mulig skatt vil oljeselskapene derfor lånefinansiere sine investeringer mest mulig.
På tilsvarende måte som renteutgifter er fradragsberettigede, er renteinntekter særskattepliktig inntekt. Det vil derfor ikke være lønnsomt for sokkelselskapet å ha ledig finanskapital, men heller overføre slike aktiva til selskaper som ikke er særskattepliktige.
I tillegg til at dagens regler gir motiv til mest mulig lånefinansiering, fører de gjeldende reglene for fordeling av et sokkelselskaps samlede netto finansielle poster mellom landskatteregimet og sokkelskatteregimet til at en uforholdsmessig stor del av de totale finanskostnadene henføres til sokkelen. Selskapenes aktivitet andre steder uthuler dermed skattegrunnlaget på sokkelen og gir sokkelselskapene lave kapitalkostnader i virksomhet utenfor norsk sokkel.
Muligheten til å dra nytte av skattefordelen ved lånefinansiering er størst i selskaper som ikke trenger å låne selvstendig i markedet, men kan låne direkte fra beslektet selskap eller med garanti derfra. Slike selskaper kan tilpasse seg med 100 prosent gjeld. Selvstendige selskaper må tilpasse sin gjeldsandel også ut fra andre hensyn enn å dra skattefordeler av lånefinansiering.
På grunn av de sterke insentivene til gjeldsfinansiering, er det fastsatt regler som setter krav til en viss egenkapitalfinansiering i selskapene. Klagenemndas retningslinjer har først og fremst betydning for nye selskaper som henter fremmedkapital fra beslektet selskap. Petroleumsskatteloven § 3 h begrenser retten til rentefradrag for finansutgifter når regnskapsmessig egenkapital er lavere enn 20 prosent. Disse begrensningsreglene er detaljert gjennomgått i kapittel 7. Der har vi også gjennomgått dagens fordelingsregler for netto finansposter og de problemene som oppstår med skjevdeling av finansposter når sokkelselskapet har aktivitet utenfor sokkelen.
6.3.2 Fordelen ved å lånefinansiere sokkelinvesteringer
I dette avsnittet skal vi vurdere hvilken betydning rentefradraget har i forhold til investeringer på sokkelen. Vi vil se på denne problemstillingen isolert, uten samtidig å trekke inn virkninger av selskapets investeringer utenfor sokkelen. Slik sett ser vi på virkninger av rentefradraget under forutsetning av at selskapet bare har investeringer på sokkelen.
Selskapet vil som påpekt foran ha en sterk økonomisk interesse av å lånefinansiere sokkelinvesteringer så mye som mulig. For hver krone i lånerenter som kan trekkes fra skattegrunnlagene, vil skatten reduseres med 78 øre. Av dette blir i prinsippet 28 øre inndratt i skatt igjen dersom renteinntekten beskattes i Norge, eller et tilsvarende beløp til utenlandsk skattemyndighet dersom renteinntektene beskattes i andre land. Men fradraget mot særskattesatsen på 50 prosent motsvares ikke av beskatning hos långiver og er en endelig fordel for selskapet. Det er en fordel som tilkommer selskapet så langt investeringen finansieres med gjeld, men ikke for den delen av investeringen som eventuelt egenkapitalfinansieres. Den skattemessige fordelen ved lånefinansiering kalles gjerne finansiell merverdi, finansieringsfordel eller gjeldssubsidium.
Lønnsomheten av en sokkelinvestering etter skatt vil være svært avhengig av hvilke forutsetninger som gjøres om finansiering. En del av nåverdien av et prosjekt etter skatt kan tilskrives gjeldssubsidiet. Det er bakgrunnen for at en ofte viser hvilken del av nåverdien som utgjøres av den finansielle merverdien, jf. Ot.prp. nr. 12 (1991-92).
For å dempe virkningene av de skattemessige insentivene til lånefinansiering, er det innført bestemmelser som begrenser muligheten til å få fradrag for renter i sokkelinntekt, jf. ovenfor.
Ifølge petroleumsskatteloven § 3 h skal selskapene i skattemessig sammenheng anses å ha en regnskapsmessig egenkapital på minst 20 prosent av totalkapitalen. Dersom egenkapitalen er mindre, blir fradraget for finansposter avkortet. Jo høyere de regnskapsmessige verdiene av aktiva er, desto høyere blir totalkapitalen og dermed også muligheten for skattemessig fradrag for renteutgifter. All gjeld, både rentebærende gjeld og ikke rentebærende gjeld, trekkes fra totalkapitalen for å beregne egenkapitalandelen. Det betyr at ikke-rentebærende gjeld, som utsatt skatt og skattegjeld, vil redusere muligheten til å få plass til rentebærende gjeld innenfor den totale balanseverdien. Også avsetninger til nedstengnings- og fjerningsforpliktelser er ikke-rentebærende gjeldsposter som reduserer muligheten til å få fradrag for renter.
Ser vi på en investering på sokkelen, vil denne ha effekter på en rekke balansestørrelser over tid. For det første vil investeringen bli regnskapsført til kostpris. Over tid vil den bli avskrevet etter produksjonsenhetsmetoden, det vil si i takt med produksjonen. For det andre vil forskjellen mellom skattemessige og regnskapsmessige avskrivninger gi opphav til utsatt skatt. Utsatt skatt øker i den skattemessige avskrivningsperioden for deretter å falle over resten av levetiden til feltet. For det tredje vil inntektene og de skattemessige fradragene knyttet til prosjektet ha effekt på utlignet skatt, og dermed på størrelsen av skattegjelden i balansen. For det fjerde vil forpliktelsene til nedstengning og fjerning øke i regnskapet etter hvert som tidspunktet for nedstengning og fjerning nærmer seg. Disse effektene vil ha betydning for hvor stor plass det blir til ikke-rentebærende gjeld over prosjektets levetid.
Hvis vi betrakter en investering som gjennomføres av et selskap i skatteposisjon, kan vi tallfeste de effektene som er nevnt over, og dermed beregne hvor stor "gjeldskapasitet" investeringen gir, med andre ord hvordan investeringen skaffer plass for ny rentebærende gjeld. Vi kan illustrere med et eksempel der en investering på 100 (kroner) har en levetid på 20 år, og driftsoverskuddet er det samme (20 kroner) hvert år etter investeringsåret. Investeringen/innretningen fjernes i år 24. Figur 6.2 viser virkningen av denne investeringen på et selskaps rentebærende gjeld, utsatt skatt og skattegjeld over levetiden av investeringen når selskapet lånefinansierer så mye som mulig. Avsetninger til nedstengnings- og fjerningsutgifter er ikke tatt med i figuren, men de er med i regnestykkene som ligger til grunn for figuren.
Prosjektet bidrar til å redusere selskapets skattegjeld de første årene fordi det skattemessige resultatet da er negativt. De skattemessige fradragene er større enn prosjektets netto driftsinntekter i disse årene. Det reduserer selskapets skatt, og dermed også skattegjelden i selskapets balanse. At selskapets skattegjeld blir redusert, er også grunnen til at investeringen gir anledning til å øke rentebærende gjeld med mer enn 80 prosent av investeringen det første året.

Figur 6-2 Utviklingen i rentebærende gjeld, utsatt skatt og skattegjeld for en petroleumsinvestering. Prosent av investeringen
Vi ser av figur 6.2 at gjelden er høy de første årene, men at den reduseres raskt i takt med at utsatt skatt vokser. Utsatt skatt opptar stadig mer av plassen innenfor 80 prosent av investeringens regnskapsmessige verdi. Etter hvert vil det ikke være plass til alle postene utsatt skatt, skattegjeld og nedstengnings- og fjerningsforpliktelsene innenfor 80 prosent av regnskapsmessig verdi. Betydningen av det er at selskapet får reduserte muligheter til å ta opp lån med basis i andre aktiva. I figuren kommer det til uttrykk ved at rentebærende gjeld blir negativ.
Sokkelinvesteringen har derfor positiv effekt for selskapets mulighet til å ha rentebærende lån innenfor begrensningene i § 3 h i første del av levetiden til investeringen, men denne effekten er forholdsvis kortvarig. I slutten av levetiden for prosjektet, og inntil fjerning finner sted, vil investeringen ha negativ effekt på muligheten til å ha rentebærende lån i sokkelselskapet.
For å kunne beregne en nåverdi av skattefordelen ved lånefinansiering, gjeldssubsidiet, må en i tillegg gjøre forutsetninger om lånerente og diskonteringsfaktor. Særskattesatsen er 50 prosent. Med en lånerente på 7 prosent og en diskonteringsfaktor på 7,2 prosent kan gjeldssubsidiet beregnes til om lag 7,5 prosent av investeringsbeløpet i dette tilfellet. Det betyr at selskapet kan oppnå en skattefordel svarende til 7,5 prosent av investeringsbeløpet ved å finansiere maksimalt med gjeld framfor å finansiere med egenkapital.
Det prosjektet vi har beregnet gjeldssubsidiet for over, er et prosjekt med en internrente før skatt på om lag 20 prosent. For en investering som er mindre lønnsom, blir gjeldssubsidiet høyere fordi skatten, og dermed skattegjelden i balansen, blir lavere. Det blir dermed plass til mer rentebærende gjeld når investeringen er mindre lønnsom. For en investering som er marginalt lønnsom etter skatt, er gjeldssubsidiet 8,8 prosent av investeringsbeløpet. Det er gjort nærmere rede for beregning av gjeldssubsidiet i vedlegg 4 om marginale realavkastningskrav.
Et selskap utenfor skatteposisjon har også glede av gjeldssubsidiet, og fordelen kan bli både høyere og lavere enn for et selskap i skatteposisjon. Fradragene for renter må utsettes inntil det aktuelle prosjektet selv gir inntekter en kan trekke utgiftene fra mot. Det gjør verdien av dem lavere. På den annen side vil underskuddene gi en utsatt skattefordel som også kan "belånes". Dessuten vil det i dette tilfellet ikke være relevant å beregne negativ gjeld som følge av redusert mulighet til å ta opp gjeld med basis i andre aktiva.
I kapittel 2 om prinsippene for skattlegging argumenteres det for at det skal være fradrag for normalavkastningen i særskattegrunnlaget. Det er nødvendig for å unngå at normalavkastning blir skattlagt med særskatt. I prinsippet er det ikke noe i veien for at en del av denne skjermingen utgjøres av et fradrag for renter på fremmedkapitalen. Problemet vil i så fall bestå i å fastsette en friinntekt slik at rentefradraget og friinntekten til sammen treffer normalavkastningen. En friinntekt som er riktig fastsatt ut fra dette formålet, kan også nøytralisere det sterke insentivet til fremmedkapitalfinansiering.
Utover å stimulere til høy fremmedkapitalfinansiering har fradraget for finansielle poster betydning for hvilke insentiver petroleumsskattesystemet gir til å investere. Avskrivninger, friinntekt og rentefradraget utgjør til sammen de skattemessige fradragene som er knyttet til investeringer. I avsnitt 6.4 vil vi vise at den skattemessige verdien av fradragene i dagens petroleumsskattesystem er for høy, og at systemet derfor gir for sterke insentiver til å investere.
6.4 Investeringsinsentiver
6.4.1 Innledning
I dette avsnittet drøftes petroleumsskattesystemets virkninger på beslutningene om å investere i driftsmidler på sokkelen. Med nøytral beskatning vil selskapenes tilpasning bli den samme som i en situasjon uten grunnrentebeskatning. I vurderingen er det lagt til grunn at det fortsatt skal være alminnelig selskapsskatt på normalavkastningen. Et nøytralt skattesystem betyr da at petroleumsskattesystemet ikke skal føre til vridninger utover det som eventuelt følger av at normalavkastningen beskattes. Dette krever at investorene på en marginal investering i petroleumsvirksomheten sitter igjen med like høy avkastning etter skatt som om de hadde plassert pengene i en marginal investering med samme risiko på land.
6.4.2 Marginale realavkastningskrav for investeringer i petroleumssektoren
6.4.2.1 Hvorfor beregne marginale realavkastningskrav?
I analyser av skattesystemets virkninger på investeringsbeslutninger er det vanlig å beregne marginale realavkastningskrav. De marginale avkastningskravene viser hvor lønnsom en investering må være før skatt for at den skal være marginalt, det vil si så vidt, lønnsom etterskatt.
Beregninger av marginale realavkastningskrav bygger på samme metode som beregninger av nåverdi og internrente. Fordelen er imidlertid at en ikke eksplisitt fastsetter alle data for en investering, men heller gjør implisitte forutsetninger om tidsforløpet. Metoden var blant annet sentral i arbeidet med skattereformen i 1992. Beregninger av marginale realavkastningskrav kan også presenteres i form av effektive skattesatser eller skattekiler. 1
Grunnen til at de marginale betraktningene er interessante er at ressursanvendelsen avgjøres ved avveininger på marginen. For eksempel vil et selskap investere så lenge kontantoverskuddet fra driften etter skatt av en ekstra kapitalenhet overstiger det kapitalen koster etter skatt. Når vi ikke ønsker å vri ressursbruken, må vi sørge for at avveiningene på marginen påvirkes så lite som mulig av skatten.
Marginale realavkastningskrav sier kun noe om kravet til avkastning på marginale investeringer, og ikke noe om den gjennomsnittlige avkastningen av investeringer. Den gjennomsnittlige avkastningen på sokkelinvesteringer er normalt vesentlig høyere enn kravet til marginalavkastning. Det er grunn til å understreke at den samfunnsøkonomiske lønnsomheten av petroleumsvirksomheten på sokkelen kan være høy selv om de marginale realavkastningskravene eventuelt er lave. Et lavt marginalt avkastningskrav betyr imidlertid at den samfunnsøkonomiske avkastningen ikke trenger å være høy for alle de investeringene som det er bedriftsøkonomisk lønnsomt å gjennomføre.
Våre beregninger for investeringer i petroleumssektoren sammenligner disse investeringene med en alternativ (finansiell) plassering med tilsvarende risiko. Avkastningen av den finansielle plasseringen skattlegges med alminnelig inntektsskatt. Dersom det marginale realavkastningskravet er lavt for en petroleumsinvestering, og lavere enn avkastningskravet for den alternative plasseringen, tyder det på at marginale investeringer blir for gunstig behandlet i petroleumsskatteregimet. Det gir sterke investeringinsentiver og kan føre til for høy kapitalbruk i sektoren. Omvendt vil et relativt høyt marginalt avkastningskrav tyde på en for ”streng” skattemessig behandling av investeringene i petroleumssektoren, slik at en risikerer å få for lave investeringer i forhold til det som er samfunnsøkonomisk lønnsomt.
Det vises til vedlegg 4 for en nærmere forklaring av metoden for beregning av marginale realavkastningskrav. Boks 6.1 oppsummerer hovedpunktene.
Boks 6.1 Beregning av marginale realavkastningskrav
Utgangspunktet for beregning av marginale realavkastningskrav er at investor vil investere så lenge "kjøpsprisen" på en enhet kapital etter skatt er lavere enn nåverdien av kontantoverskuddet fra driften etter skatt. Kjøpsprisen for kapitalen etter skatt bestemmes av innkjøpspris minus nåverdien av redusert skatt som følge av skattefradragene knyttet til investeringsutgiften.
Kontantoverskuddet fra driften, eller bruttoavkastningen, reduseres år for år i takt med depresiering av kapitalen. Kapitalslitet beregnes som en fast prosent av gjenstående kapital hvert år.
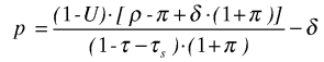
Av dette kan man utlede formelen for det marginale realavkastningskravet for investeringer i petroleumsvirksomheten, som er:
der
p = det marginale realavkastningskravet før skatt
U = nåverdien av alle reduksjonene i skatt som følge av investeringen (for eksempel på grunn av avskrivninger, friinntekt og rentefradrag)
τ= skattesatsen på alminnelig inntekt
τs = særskattesatsen
δ = økonomisk depresieringsrate for kapitalen
ρ = selskapenes nominelle kapitalkostnad etter skatt, gitt ved avkastningen på en alternativ plassering med tilsvarende risiko i landskatteregimet
π = inflasjonsraten
Utledningen av formelen er vist i vedlegg 4. Av uttrykket ser vi at jo høyere verdien på de skattemessige fradragene er, desto lavere blir det marginale realavkastningskravet.
For et skattesystem som er nøytralt i streng forstand, det vil si at skattesystemet ikke reduserer investors avkastning, må U være lik skattesatsen (det vil si 0,78). Da gir formelen:
Det vil si at kravet til realavkastning er lik den reelle kapitalkostnaden etter skatt.
Vi forutsetter at den alternative avkastningen blir beskattet i landskatteregimet. Det marginale realavkastningskravet må da tilsvare den reelle kapitalkostnaden før skatt. Vi kan ut fra det utlede av formelen at U må være lik ca. 0,75 for at petroleumsskattesystemet skal være nøytralt.
Under ideelle forutsetninger, blant annet at inflasjonen ikke påvirker beskatningen i noen sektor, vil U være litt lavere, 74,4 prosent.

Figur 6-1

Figur 6-2
6.4.2.2 Nærmere om behandlingen av fradragene
Når investor skal avgjøre om han vil investere, er det viktig for ham å vite hvilke skattereduksjoner som investeringskostnaden fører med seg. På investeringstidspunktet vil han vurdere kostnaden for investeringen, etter at nåverdien av skattereduksjonene er trukket fra, opp mot nåverdien av alle kontantoverskudd fra driften etter skatt.
I petroleumsskattesystemet vil investeringer føre til skattemessige fradrag for avskrivninger, friinntekt og gjeldsrenter. Størrelsen på disse fradragene i prosent av investeringsutgiften, og hvordan de plasseres i tid, vises i figur 6.3.

Figur 6-3 Skattemessige fradrag i særskattegrunnlaget - gjeldende system. Prosent av investeringsbeløpet
Figuren viser at alle skattemessige fradrag gis i løpet av 6-7 år fra og med det året investeringen foretas. Det gir tidlig skattedekning av investeringsutgiften dersom levetiden er lengre enn 6 år fra utgiften ble pådratt. Nominelt gis det fradrag for 130 prosent av investeringsutgiftene gjennom avskrivninger og friinntekt. I tillegg kommer rentefradraget som utgjør knappe 20 prosent (nominelt) av investeringsutgiftene.
Nåverdien av skattereduksjonene som følge av fradragene vil avhenge av hvilken rente som benyttes ved diskonteringen. Jo lavere rente, desto større verdi blir fradragene tillagt. I skatteanalyser er det derfor viktig å kunne bestemme hvordan fradragene plasseres i tid og hvilken diskonteringsrente det er riktig å benytte for skattereduksjonene som følge av fradragene. Vi skal se nærmere på om det kan være riktig å benytte en annen diskonteringsrente for disse skattereduksjonene enn den diskonteringsrenten man benyttet for kontantoverskuddet fra driften.
Det er vanlig å gjennomføre lønnsomhetsanalyser ved å beregne kontantoverskuddet for alle inn- og utbetalinger hvert år, og så diskontere de årlige kontantoverskuddene med et avkastningskrav for å komme fram til en nåverdi. Avkastningskravet settes som oftest likt for alle prosjekter innenfor samme industri. Framgangsmåten innebærer at man benytter samme diskonteringsrente for alle delkontantstrømmer i prosjektet. Det gjør man til tross for at man vet at usikkerheten i prosjektet er mer knyttet til noen forutsetninger enn til andre. For eksempel kan det være større usikkerhet om oljeprisen eller produksjonen enn om kostnadsanslagene. At usikkerheten er større for noen deler av kontantstrømmen enn for andre, taler for å diskontere deler av kontantstrømmen hver for seg med diskonteringsrenter som avspeiler risikoen for hver del. Det vises til vedlegg 1. I skatteanalyser er det spesielt relevant å vurdere hvor stor usikkerheten er for skattefradragene.
I konsolideringstilfellet har vi forutsatt at selskaper til enhver tid har inntekter som er tilstrekkelige til å dekke alle utgifter og skattemessige fradrag uansett hvordan inntektene i prosjektet utvikler seg. I en slik situasjon vil det være sikkerhet for verdien av de skattemessige fradragene. Siden skattereduksjonene som følger av fradragene forutsetningsvis er sikre, bør de ikke diskonteres med selskapenes risikojusterte rente etter skatt, men med den risikofrie renten etter skatt. Gjør man det, må man også anslå eller beregne risikoen for den gjenværende delen av kontantstrømmen. Vi har ikke tilgang til data som kan hjelpe oss å anslå hva som er riktig risikojustert avkastningskrav for kontantoverskudd fra driften i oljeselskaper. Vi må derfor anvende en indirekte metode for å beregne et slikt avkastningskrav. I vedlegg 4 redegjøres det for hvordan dette kan gjøres, og i avsnitt 6.4.5 skisseres en tilsvarende metode for lønnsomhetsberegninger av inframarginale prosjekter. Vi vil understreke at den metoden som benyttes ikke er teoretisk sett helt tilfredsstillende. Vi får imidlertid illustrert betydningen av å diskontere skattefradragene med en sikker rente. De kvalitative konklusjonene vi trekker er ikke avhengige av den beregnede tallstørrelsen på avkastningkravet for de usikre strømmene. Når man diskonterer de sikre strømmene med den risikofrie renten, må avkastningskravet for den resterende usikre kontantstrømmen justeres opp til 11 prosent før skatt, for at totalkravet fortsatt skal være 10 prosent før skatt i det eksemplet vi bruker ved beregning av marginale realavkastningskrav.
Nåverdien av skattereduksjonen av avskrivninger, friinntekt og gjeldsrenter utgjør 87,5 prosent av investeringsutgiften dersom vi diskonterer med selskapenes avkastningskrav etter skatt på 7,2 prosent.
Bruker vi imidlertid den risikofrie renten etter skatt, 4,3 prosent, ved diskontering av skattereduksjonene, blir nåverdien 93 prosent av investeringsutgiften.
De beregnede skattereduksjonene ligger begge klart over den verdien av skattereduksjonen (om lag 75 prosent) som ville gitt nøytrale investeringinsentiver, jf. boks 6.1.
For selskaper som ikke er i skatteposisjon, synes det mindre grunn til å skille ut skattefradragene og behandle dem som mer sikre enn resten av kontantstrømmen. Verdien av fradragene vil jo avhenge av utviklingen av inntektene i dette prosjektet, og kan slik sett være like usikre som kontantoverskuddet i prosjektet.
Vi viser virkningen på de marginale realavkastningskravene av å delkontantstrømdiskontere nedenfor.
6.4.2.3 Forutsetninger og beregningsresultater
I beregningene må det gjøres en rekke forutsetninger knyttet til parametre som inngår og metoden som brukes i analysene. Boks 6.2 viser forutsetningene som er valgt for det vi kaller basistilfellet. Det er for eksempel lagt til grunn at årlig økonomisk depresiering tilsvarer 10 prosent av gjenstående kapital (geometrisk depresiering), og at kontantoverskuddet fra driften faller i takt med gjenstående kapital.
Selskapenes nominelle kapitalkostnad etter skatt for investeringer i petroleumssektoren er forutsatt å være 7,2 prosent, jf. vedlegg 5. Avkastningskravet til en alternativ plassering med samme systematiske risiko er da også 7,2 prosent nominelt etter skatt på alminnelig inntekt. For at plasseringen skal gi en avkastning etter skatt på 7,2 prosent, må altså avkastningen før skatt være 10 prosent nominelt, eller om lag 7,8 prosent reelt, det vil si etter at inflasjonen er trukket ut. Siden vi kommer til å bruke kapitalkostnaden (selskapenes avkastningskrav) i reelle og nominelle termer og før og etter skatt i ulike sammenhenger, settes disse opp i tabell 6.1 nedenfor.
Tabell 6.1 Nominell og reell kapitalkostnad før og etter skatt. Prosent
| Nominelt | Reelt | |
|---|---|---|
| Før skatt | 10 | 7,8 |
| Etter skatt | 7,2 | 5,1 |
Boks 6.2 Sentrale forutsetninger for beregninger av marginale realavkastningskrav i basistilfellet
Følgende forutsetninger er lagt til grunn i beregninger av marginale realavkastningskrav i basistilfellet, jf. omtalen av hvordan marginale realavkastningskrav beregnes i vedlegg 4:
1) Hele investeringen skjer i år 0.
2) Inntekter fra og med år 1.
3) Reelt økonomisk verdifall for driftsmidlet: 10 prosent pr. år, regnet av gjenstående saldo (geometrisk depresiering), i prinsippet over en uendelig tidshorisont.
4) Inntektene reduseres i takt med verdifallet på driftsmidlet.
5) Inflasjon: 2,0 prosent pr. år
6) Nominell kapitalkostnad etter skatt: 7,2 prosent (10 prosent før skatt) pr. år. Se vedlegg 5 for en drøfting av hvordan dette framkommer.
7) Det er sett bort fra eventuelle andre aktiviteter utenfor sokkelen.
8) Det er forutsatt maksimal gjeldsandel i forhold til petroleumsskatteloven § 3 h, hensyn tatt til ikke-rentebærende gjeld i form av utsatt skatt og skattegjeld. Ved beregning av maksimal gjeldsgrad er det også tatt hensyn til avsetninger til nedstengnings- og fjerningsutgifter.
9) Verdien av rentefradraget mot særskatten (gjeldssubsidiet) er lagt til de reelle kontantstrømmene fra prosjektet. Subsidiet er nåverdien av alle rentebetalingene som følger av prosjektet, multiplisert med særskattesatsen.
10) Det forutsettes at CO2-avgiften tilsvarer den samfunnsøkonomiske kostnaden ved utslipp.
11) Det forutsettes at fjerningstilskuddsloven fører til et nøytralt grunnlag for selskapenes fjerningsbeslutninger.
12) Det er sett bort fra arealavgift og produksjonsavgift. Arealavgiften har liten betydning. Produksjonsavgift kreves ikke på nye utbygginger og er i ferd med å avvikles for de få feltene som fortsatt betaler produksjonsavgift.
I forrige avsnitt pekte vi på betydningen av den skattemessige periodiseringen av fradragene. Et selskap som til enhver tid har inntekt som skattemessige fradrag kan føres mot, kan benytte de gunstige/raske fradragsordningene i det gjeldende systemet fullt ut. For disse selskapene er dermed plasseringen av fradragene i tid mulig å beregne med stor grad av sikkerhet. For selskaper som ikke er i skatteposisjon, for eksempel nye selskaper på sokkelen, kan en ikke generelt beregne når fradragene for avskrivninger og friinntekt mv. kommer effektivt til fradrag, fordi en ikke generelt kan forutsette hvordan inntektene i prosjektet utvikler seg. Hvert enkelt tilfelle er unikt. Når vi plasserer fradragene i prosjektskatttilfellet, tenker vi oss at inntekten påløper nokså jevnt over levetiden. I praksis vil inntektsprofilen avvike fra dette. Beregningene kan derfor bare indikere insentiveffektene i prosjektskatt-tilfellet.
Forskjellen mellom selskaper som har løpende annen inntekt og selskaper som ikke har det, gjør det nødvendig å analysere disse hver for seg. Vi beregner derfor marginale realavkastningskrav for to ulike situasjoner:
Selskapet er i skatteposisjon for både særskatt og skatt på alminnelig inntekt i hele levetiden til investeringen (konsolideringstilfellet). I dette tilfellet er det lagt til grunn at selskapet har annen petroleumsvirksomhet, og at selskapet er i skatteposisjon uansett hvordan inntektene i prosjektet utvikler seg. Selskapet kan dermed avskrive investeringskostnadene og føre friinntekt mv. på den nye investeringen mot annen særskattepliktig inntekt umiddelbart. Disse selskapene får dermed full nytte av at fradragene i det gjeldende systemet gjennomgående kommer tidlig i prosjektets levetid.
Selskapet har ingen andre inntekter eller utgifter enn det som følger av den aktuelle investeringen. Skatteposisjonen for skatt på alminnelig inntekt og særskatt følger derfor av utviklingen i dette prosjektets inntekter og kostnader (prosjektskatt-tilfellet). Selskaper som ikke er i særskatteposisjon, får ikke samme nytte av de gunstige avskrivningsreglene mv. som selskaper i skatteposisjon. Disse selskapene må framføre underskudd inntil investeringen genererer tilstrekkelig inntekt til at fradragene kan komme til anvendelse.
Basert på forutsetningene i basistilfellet har vi beregnet at det marginale realavkastningskravet før skatt er:
-1,4 prosent i konsolideringstilfellet
7,8 prosent i prosjektskatt-tilfellet
Disse resultatene gir grunnlag for følgende konklusjoner:
For et selskap som er i full skatteposisjon, og kan samordne eventuelle skattemessige underskudd fra nye investeringer mot skattemessige overskudd fra andre deler av virksomheten, er det gjeldende skattesystemet ikke nøytralt. For at investeringen skal være marginalt lønnsom for et slikt selskap, er det tilstrekkelig at investeringen gir en reell avkastning før skatt på -1,4 prosent. Investeringer som er klart ulønnsomme sammenlignet med alternativet (som forutsetningsvis gir en reell avkastning på 7,8 prosent før skatt), er med andre ord lønnsomme for selskapet etter skatt. Dette er en alvorlig svakhet ved det gjeldende skattesystemet, fordi selskapene gis insentiver til å bruke for mye kapital i alle prosjekter, samtidig som det stimulerer til utbygging av prosjekter som ikke er samfunnsøkonomisk lønnsomme.
For et selskap som bare har dette ene prosjektet på sokkelen, og derfor ikke kan samordne skattemessige underskudd i prosjektet mot overskudd i andre prosjekter, er skattesystemet nøytralt i det valgte eksemplet. Det marginale realavkastningskravet før skatt er lik den reelle alternativavkastningen på 7,8 prosent. Når vi tar hensyn til at det også kan være ledetid for investeringen (jf. avsnitt 6.4.3.2), og at selskaper utenfor skatteposisjon må framføre letekostnadene inntil lisensen (eventuelt) genererer inntekter, gir skattesystemet på sokkelen ikke tilstrekkelige insentiver til å investere. Dette er nærmere omtalt i avsnitt 6.5 om skattemessige inngangsbarrierer.
I konsolideringstilfellet bør vi diskontere skattereduksjonene med risikofri rente i stedet for det risikojusterte avkastningskravet. Da blir det marginale realavkastningskravet enda lavere, -5,0 prosent. Diskontering av skattereduksjonene med risikofri rente gjør altså at skattesystemet framstår som enda mer vridende.
Konklusjonener at det gjeldende skattesystemet innebærer store vridninger i selskapenes investeringsbeslutninger, men at betydningen av disse er avhengig av selskapenes skatteposisjon.
6.4.2.4 "Beregnet nøytralitet" kontra skattegrunnlag som sikrer nøytralitet
Beregningene viser at prosjekter i selskaper i skatteposisjon kan ha svært lav (negativ) avkastning før skatt, og likevel være lønnsomme etter skatt. Skattesystemet virker altså ikke nøytralt i slike situasjoner, men stimulerer til å gjennomføre samfunnsøkonomisk ulønnsomme investeringer. Det er mulig å oppnå nøytralitet i konsolideringstilfellet med gjeldende skattesystem ved å endre på avskrivningprofil og/eller friinntektssats. Dersom friinntekten ble redusert fra 30 til 2 prosent (fortsatt fordelt over 6 år), eller avskrivningene ble foretatt over 23 år i stedet for 6 år, ville det gjeldende skattesystemet være nøytralt i den forstand at verdien av skattereduksjonene var tilstrekkelige til at investeringen tilfredsstiller avkastningskravet. Det vil imidlertid være en "beregnet nøytralitet" 2 som bare gjelder for de valgte forutsetningene om skattesatser, avkastningskrav, inflasjon og levetiden (depresieringsrate) for investeringen. Så snart en av disse forutsetningene endres, vil skattesystemet ikke lenger være nøytralt, og minst en skatteparameter må endres for å gjenopprette nøytralitet.
Dersom skattereduksjonene diskonteres med risikofri rente, er det nødvendig både å oppheve friinntekten og øke avskrivningstiden til 18 år for å oppnå en beregnet nøytralitet for et selskap i skatteposisjon. Det illustrerer at dagens system framstår som mindre nøytralt når skattereduksjonene neddiskonteres med risikofri rente.
Grunnen til at vi bare kan oppnå en "beregnet" nøytralitet for dagens system, er at skattegrunnlagene ikke er utformet med sikte på nøytralitet. Skattegrunnlagene identifiserer ikke normalavkastningen og grunnrenten tilfredsstillende. I dagens system beskattes ikke normalavkastningen like hardt i petroleumsvirksomheten som i andre sektorer, fordi de skattemessige avskrivningene er for gunstige. Gjennom de fradragene som gis i særskattegrunnlaget, skjermes dessuten mer enn normalavkastningen mot særskatt. Vurdert over levetiden er altså særskattegrunnlaget lavere enn grunnrenten.
I dagens system vil "beregnet" nøytralitet under forutsetning av én skatteposisjon for selskapet ikke gi et system som er nøytralt under andre forutsetninger om skatteposisjon. Det er også et utslag av at skattegrunnlagene ikke er utformet med sikte på å gi et nøytralt system.
I et nøytralt system, som foreslått i kapittel 9, vil skattesystemet i prinsippet være nøytralt under alle forutsetninger om skatteposisjon, skattesatser, avkastningskrav, inflasjon og levetid.
6.4.3 Hvor følsomme er resultatene for forutsetningene?
Vi skal i dette avsnittet drøfte hvor følsomme beregningene av marginale realavkastningskrav er for de forutsetningene som er benyttet, jf. boks 6.2. Utgangspunktet er altså basistilfellet, der vi får marginale realavkastningskrav før skatt på -1,4 og 7,8 prosent for henholdsvis konsolideringstilfellet og prosjektskatt-tilfellet.
6.4.3.1 Økonomisk depresiering/levetid
I beregningene foran er det forutsatt at investeringer på sokkelen reelt sett faller i verdi med 10 prosent pr. år, langs en geometrisk profil. Endringer i forutsetningen om hvilken økonomisk levetid investeringen har, vil påvirke de marginale realavkastningskravene.
Svært gunstige skattemessige avskrivningsregler i kombinasjon med friinntekt og finansieringsfordelen (gjeldssubsidiet) fører til at nåverdien av alle skattereduksjoner i prosent av investeringen er høyere enn skattesatsen, jf. avsnitt 6.4.2.2 og boks 6.3. Det er det samme som at den marginale investeringen er skattemessig subsidiert. Subsidiert kapital er en fordel, og fordelen stiger desto mer kapital som blir brukt. Bruken av kapital øker når den økonomiske depresieringsraten øker (det vil si når levetiden går ned). Det fører til at de marginale avkastningskravene med dagens skattesystem går ned når depresieringsraten øker. Realavkastningskravet før skatt blir dermed lavere for en investering med kort levetid, siden en større del av avkastningen kommer i form av subsidier knyttet til kapitalen.
Boks 6.3 Virkningen av endringer i økonomisk depresiering
Virkningen av en økning i den økonomiske depresieringsraten kan beregnes direkte ved å derivere uttrykket for det marginale realavkastningskravet, p, i boks 6.1, med hensyn på økonomisk depresieringsrate, δ. Vi får da følgende uttrykk:
Kjøpsprisen for én enhet kapital etter skatt ("user cost of capital") er gitt ved (1-U), der U er verdien av redusert skatt som følge av fradragene for avskrivninger, friinntekt og finansieringsfordelen. Kontantoverskuddet fra driften beskattes med samlet skattesats (τ+τs). Dersom U er lik skattesatsen (τ+τs), er skattesystemet nøytralt i streng forstand, slik at avkastningskravet før og etter skatt er det samme, det vil si i en situasjon uten beskatning av normalavkastning. Det marginale avkastningskravet er da bestemt av alternativavkastningen for investor, uavhengig av depresieringsraten. Når vi tar hensyn til at også alternativavkastningen skattlegges som alminnelig inntekt (28 prosent), må U være lik om lag 75 prosent for at skattesystemet skal være nøytralt, gitt forutsetningene i basistilfellet for våre beregninger.
Av uttrykket over ser vi at det marginale realavkastningskravet faller med økende økonomisk depresiering, d, når skattesatsen er lavere enn nåverdien av alle skattefradrag, U. Når U er høyere enn skattesatsen (τ+τs) er investeringen skattemessig subsidiert. For investor er subsidiert kapital en fordel, og fordelen blir større, desto mer kapital som blir brukt. Bruken av kapital øker når depresieringsraten øker. Da kan realavkastningskravet før skatt være lavere, siden en del av avkastningen skaffes gjennom subsidiet knyttet til kapitalen.
Motsatt, dersom U er lavere enn skattesatsen (τ+τs), er kjøpsprisen høyere enn skattesatsen på kontantoverskuddet fra driften. Det kan bare kompenseres ved at det marginale realavkastningskravet er høyere, det vil si at bare investeringer som gir en avkastning som kompenserer for "for små" skattefradrag knyttet til investeringen, blir gjennomført. Når den økonomiske depresieringsraten, δ, øker, må det marginale realavkastningskravet øke.
Når det er en skattemessig ulempe knyttet til investeringen (høy kjøpspris etter skatt), er det en ytterligere ulempe at investeringen faller raskt i verdi. Da må den erstattes raskere av nye investeringer med skattemessig ulempe.
Virkningen av endringer i den økonomiske depresieringsraten på de marginale realavkastningskravene er illustrert i figur 6.4. Figuren viser at reell økonomisk depresiering påvirker det marginale realavkastningskravet for selskaper i skatteposisjon. For disse selskapene er konklusjonen at skattesystemet stimulerer til investeringer i driftsmidler med kort økonomisk levetid, det vil si høy depresieringsrate. For en investering med økonomisk depresieringsrate på 20 prosent, det vil si en økonomisk levetid på om lag 10 år, er vridningen i skattesystemet større enn om depresieringsraten er 10 prosent, for et selskap i full skatteposisjon. For en slik investering er det marginale realavkastningskravet -5,4 prosent.
Skattesystemet gir ikke selskaper utenfor skatteposisjonen de samme insentivene for investering med kort levetid. I prosjektskatt-tilfellet vil det marginale realavkastningskravet være omtrent upåvirket av depresieringsraten.

Figur 6-4 Marginale realavkastningskrav ved ulike forutsetninger om økonomisk depresieringsrate. Prosent
6.4.3.2 Ledetid
Som følge av at skattereglene på sokkelen tillater at avskrivningene kan påbegynnes når investeringsutgiftene er pådratt, oppstår en skattekreditt sammenlignet med om avskrivningene må vente til at driftsmidlet er tatt i bruk. I landskatteregimet kan avskrivninger først påbegynnes når driftsmidlet er levert eller ferdig. Det avspeiler at kapitalslitet normalt først setter inn ved bruk av driftsmidlet.
Vi har i basistilfellet foran forutsatt at investeringen skjer i år 0, og at det første årets inntekter kommer ett år etter at investeringsutgiften er betalt. Ofte vil det påløpe investeringer over flere år før driftsmidlet er ferdigstilt og kan settes i produksjon. Noen investeringer vil da påløpe flere år før produksjonen starter. Vi sier at investeringen har en ledetid.
Investor vil stille samme krav til avkastning på investeringstidspunktet, uavhengig av hvor lang tid det tar før investeringen tas i bruk og genererer inntekter. Dette betyr at investoren krever en høyere inntekt når prosjektet først begynner å produsere hvis det tar tid før driftsmidlet tas i bruk, sammenlignet med kravet for et driftsmiddel som kan generere inntekter umiddelbart. Det skyldes at det er en ulempe å måtte vente på inntektene i flere år. Investor vil bare akseptere investeringer som er så lønnsomme at de kompenserer for at det går flere år uten inntekt. De marginale avkastningskravene vi beregner uttrykker kravet til avkastning på investeringstidspunktet.
Et selskap i skatteposisjon kan etter gjeldende regler påbegynne de skattemessige avskrivningene og få friinntekt fra det året investeringen er foretatt, uansett når driftsmidlet blir tatt i bruk og inntektene kommer. Det betyr at det marginale realavkastningskravet blir lite påvirket av om investeringen har ledetid. Den eneste effekten i beregningene av de marginale realavkastningskravene er at ledetid fører til et litt høyere gjeldssubsidium fordi det kan tas opp noe høyere gjeld de første årene. Den økte gjeldskapasiteten skyldes at driftsmidlet ikke avskrives regnskapsmessig før produksjonen starter opp, slik at totalkapitalen i forhold til petroleumsskatteloven § 3 h er høyere.
Realavkastningskravet synker litt, fra -1,4 prosent i basisalternativet, til -1,8 prosent når inntektene først kommer 5 år etter at investeringsutgiften er pådratt. Hvis selskapet ikke har andre inntekter, øker imidlertid avkastningskravet fra 7,8 prosent i basisalternativet til 11,1 prosent når ledetiden er fem år. Når selskapet ikke har andre inntekter enn fra prosjektet, må det uansett vente med fradragene til inntektene kommer, og selskapet må vente lengre med fradragene når det er ledetid.
Når det er ledetid, vil ikke skattesystemet virke nøytralt i prosjektskatt-tilfellet. Selskapene vil i denne situasjonen kreve en høyere realavkasting enn for alternative plasseringer. Skattesystemet gir altså ikke tilstrekkelige insentiver til å investere i dette tilfellet.
Den skattemessige ulempen i forhold til selskaper i skatteposisjon øker dersom man også tar hensyn til at leteutgiftene må framføres i prosjektskatt-tilfellet. Disse resultatene illustrerer at det nåværende skattesystemet innebærer en skattemessig ulempe for selskaper som ønsker å komme inn på norsk sokkel via konsesjonstildeling.
6.4.3.3 Kapitalkostnad (selskapenes avkastningskrav)
Forutsetninger om selskapenes kapitalkostnad har betydning for beregningene av marginale realavkastningskrav. Med kapitalkostnad menes her finansiell kapitalkostnad for den kapitalen som bindes opp i en investering. Kapitalkostnaden uttrykker avkastningen på alternative plasseringer som den aktuelle investeringen sammenlignes med. I basistilfellet for våre beregninger er det lagt til grunn at selskapenes kapitalkostnad er 10 prosent nominelt før skatt for investeringer med samme systematiske risiko som i petroleumsvirksomheten. I vedlegg 5 forklarer vi hvordan vi er kommet fram til at et anslag for avkastningskravet på 10 prosent kan være rimelig. Boks 6.4 viser kort forutsetninger og beregninger som er gjort for å komme fram til anslaget.
Vi skal nå illustrere hvor følsomt det marginale realavkastningskravet er for forutsetningene om risikotillegget i kapitalkostnaden før skatt. I basistilfellet er kapitalkostnaden før skatt 10 prosent og risikofri rente 6 prosent, slik at risikotillegget er 4 prosentpoeng i kapitalkostnaden før skatt. I beregningene har vi hevet dette risikotillegget. I beregningene er inflasjonsraten, risikofri rente og gjeldsrente holdt konstant, mens risikotillegget er endret. I et skattesystem som ikke er nøytralt, eller bare har beregnet nøytralitet, vil forutsetningen om kapitalkostnaden påvirke de marginale realavkastningskravene.
Figur 6.5 viser hvordan det marginale avkastningskravet øker dersom risikotillegget i kapitalkostnaden før skatt øker. Risikotillegget framkommer ved å trekke risikofri rente, 6 prosent, fra det nominelle avkastningskravet før skatt.
Figuren viser at det marginale realavkastningskravet øker når risikotillegget øker, uavhengig av selskapets skatteposisjon. Det samme gjelder selvsagt også for den alternative investeringen, siden denne forutsetningsvis har samme risiko, men kapitalkostnaden øker mindre enn det marginale realavkastningskravet.

Figur 6-5 Marginale realavkastningskrav ved ulike forutsetninger om risikotillegget i kapitalkostnadenfør skatt. Ingen delkontantstrømdiskontering. Prosent
Dette resultatet må ses i sammenheng med at vi i beregningene diskonterer alle kontantstrømmene med avkastningskravet etter skatt. Da vil verdien av de gunstige/raske fradragsordningene i det gjeldende petroleumsskattesystemet bli relativt mindre verdt når kapitalkostnaden øker, og dermed øker det marginale realavkastningskravet.
I avsnitt 6.4.2.2 har vi argumentert for at skattereduksjonene som følger av investeringen bør diskonteres med risikofri rente i stedet for risikojustert rente når det er sikkerhet for verdien av skattereduksjonene. Det vil forutsetningsvis være tilfellet når selskapet er i skatteposisjon. Diskontering av skattereduksjonene med risikofri rente gir motsatt konklusjon med hensyn til effekten av endring av risikotillegget i kapitalkostnaden. Dette er illustrert i figur 6.6. I dette tilfellet ville det marginale realavkastningskravet øke mindre enn den reelle alternativavkastningen når risikotillegget øker. I dette tilfellet vil nåverdien av fradragene være upåvirket av risikotillegget, og det marginale realavkastningskravet øker dermed mindre enn alternativavkastningen. Vridningene av skattesystemet er da større, desto høyere kapitalkostnaden er.

Figur 6-6 Marginale realavkastningskrav før skatt ved ulike forutsetninger om kapitalkostnaden eller risikotillegget i kapitalkostnaden. Skattereduksjoner som følge av investeringen diskonteres med risikofri rente. Prosent
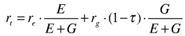
Boks 6.4 Beregning av selskapenes finansielle kapitalkostnad
Selskapenes finansielle kapitalkostnad uttrykker kostnadene knyttet til finansiering av den kapitalen som bindes opp i et prosjekt. Denne kostnaden er lik avkastningen av kapitalen i alternativ anvendelse.
Kapitalkostnaden for et selskap eller et prosjekt beregnes som et veiet gjennomsnitt av egenkapitalkostnaden ( re), og gjeldskostnaden ( rg) etter bedriftsskatt, gitt ved følgende uttrykk:
(1)
rt er selskapets (total)kapitalkrav etter skatt. Vektene er henholdsvis egenkapitalandelen og gjeldsandelen (beregnet etter markedsverdier av henholdsvis egenkapital og gjeld).
Egenkapitalkostnaden er beregnet med utgangspunkt i kapitalverdimodellen (KVM), jf. vedlegg 5. Denne modellen fører til en sammenheng mellom forventet avkastning av et prosjekt (eller et verdipapir) og prosjektets risiko.
Det gir følgende uttrykk for egenkapitalkravet, re:
(2)
der følgende tre størrelser skal bestemmes:
Den risikofrie renten, rf.
Markedets risikopremie, MP = E(rm)-rf
Den systematiske risikoen som er knyttet til egenkapitalen i prosjektet, βe.
Skattejusteringsfaktoren, s*, tar hensyn til forskjellen i beskatningen av gjeldsrenter og avkastningen til eierne på selskapets hånd. Gjeldsrenter er fradragsberettigede, mens eieravkastning ikke er det. Derfor er skattejusteringen s*=(1-τ) i det norske skattesystemet.
I beregningen av kapitalkostnaden i basisalternativet er den risikofrie renten satt lik 6 prosent nominelt. Videre er det lagt til grunn en markedspremie på 5 prosentpoeng, en egenkapital-beta for investeringer i petroleumssektoren på 0,6, en gjeldsandel på 35 prosent og en gjeldskostnad lik 7 prosent. Med disse forutsetningene er selskapenes avkastningskrav på totalkapitalen beregnet til 10 prosent nominelt før skatt, det vil si at risikotillegget i totalkapitalkostnaden før skatt utgjør 4 prosentpoeng. Det vises til vedlegg 5 for en nærmere drøfting av hvordan kravet er satt.

Figur 6-4

Figur 6-5
6.4.3.4 Finansiering
I avsnitt 6.3 viste vi at rentefradraget mot særskatten gir opphav til en ”finansiell merverdi” eller et gjeldssubsidium. Gjeldssubsidiet utgjør 8,8 prosent av investeringsbeløpet for en marginal investering som gjennomføres av et selskap i skatteposisjon. Virkningen av rentefradraget eller gjeldssubsidiet er isolert sett å redusere det marginale realavkastningskravet fra 4,6 til -1,4 prosent for selskaper i skatteposisjon, gitt forutsetningene i basisalternativet.
Vi beregner ikke eksplisitt verdien av gjeldssubsidiet i prosjektskatt-tilfellet. Uten løpende inntekter må gjeldsrenter, avskrivninger og friinntekt framføres sammen med eventuelle underskudd fra driften i et samlet underskudd. Det kan synes vilkårlig å gjøre forutsetninger om i hvilken rekkefølge de ulike komponentene av underskuddet kommer effektivt til fradrag.
6.4.3.5 Nedstengnings-/fjerningsutgifter
Beregninger av marginale realavkastningskrav vil ikke påvirkes direkte av kostnader til nedstengning og fjerning. Kontantoverskuddet fra driften, eller bruttoavkastningen, skal også dekke selskapets andel av nedstengnings- og fjerningsutgifter. Vi har likevel tatt hensyn til at forpliktelsene til nedstengning og fjerning påvirker selskapenes fradrag for gjeldsrenter via balanseeffekter og § 3 h i petroleumsskatteloven. Høyere forpliktelser reduserer andelen rentebærende gjeld og dermed mulighetene for rentefradrag mot særskatten. Virkningen på verdien av gjeldsrentefradraget, og dermed på avkastningskravet, av endringer i nedstengnings- og fjerningsforpliktelsene er imidlertid liten. I beregningen av marginale avkastningskrav er det lagt til grunn at fjerningsutgiftene utgjør 5 prosent av investeringsutgiften (nominelt). På grunnlag av opplysninger fra Oljeskattekontoret har vi satt nedstengningskostnader til noe over halvparten av fjerningskostnadene.
De marginale avkastningskravene vi har beregnet viser hvilken avkastning investeringen må gi for å kunne konkurrere med alternative plasseringer, etter at alle driftskostnadene, inklusive en markedskorrigerende CO2-avgift (etter skatt), nedstengningskostnader (etter skatt) og fjerningskostnader (etter tilskudd fra det offentlige), er dekket.
6.4.3.6 CO2-avgiften
I beregningene av marginale realavkastningskrav har vi sett bort fra CO2-avgiften, siden den i likhet med andre driftsutgifter forutsettes dekket av bruttoavkastningen vi beregner. Det vil være riktig så lenge CO2-avgiften reflekterer den samfunnsøkonomiske marginalkostnaden ved utslippet.
Dersom CO2-avgiften avviker fra den samfunnsøkonomiske kostnaden ved CO2-utslipp, må vi imidlertid ta hensyn til den som en skatt eller et subsidium i beregningene. Hvis skattesystemet i utgangspunktet var nøytralt, ville en for høy CO2-avgift gjøre marginalt lønnsomme investeringer ulønnsomme. En for lav avgift vil motsatt føre til at samfunnsøkonomisk ulønnsomme investeringer kan bli bedriftsøkonomisk lønnsomme.
Det er derfor av interesse å se hvordan et eventuelt "fiskalt element" i CO2-avgiften påvirker de marginale realavkastningskravene. Resultatene framgår av tabell 6.2. For beregningsformål har vi måttet gjøre forutsetninger om sammenhengen mellom kontantoverskuddet fra driften i prosjektet og CO2-utslippet. Tabellen viser de marginale avkastningskravene i tilfelle den fiskale delen av CO2-avgiften er inntil 6 prosent av kontantoverskuddet fra driften. Til sammenlikning kan en anslå at dagens CO2-avgift på 70 øre pr. Sm3 gass og pr. liter olje gjennomsnittlig kan utgjøre 3-4 prosent av kontantoverskuddet fra driften. Dagens avgift kan derfor ikke bestå av et fiskalt element på 6 prosent i en gjennomsnittsbetraktning for virksomheten. Et felt skal ha svært høye CO2-utslipp for at man kan tenke seg at den fiskale delen av avgiften kan være så høy som 6 prosent av kontantoverskuddet fra driften.
Utslagene på de marginale realavkastningskravene av et eventuelt fiskalt element i CO2-avgiften er små. For et selskap som er i skatteposisjon, vil marginalavkastningskravene øke litt, og slik sett isolert sett bidra til at skattesystemet vil framstå som "litt mer nøytralt". I prosjektskatt-tilfellet ser vi at når skattesystemet i utgangspunktet virker nøytralt, vil et fiskalt element i CO2-avgiftene heve marginalavkastningskravet over reell kapitalkostnad før skatt (7,8 prosent).
Tabell 6.2 Marginale realavkastningskrav før skatt for ulike nivåer på et eventuelt fiskalt element i CO2-avgiften. Prosent
| Fiskal CO2-avgift som andel av produksjonsinntekten | Full skatteposisjon | Prosjektskatt |
|---|---|---|
| Basistilfellet (0 prosent) | -1,4 | 7,8 |
| 2 prosent | -1,2 | 8,1 |
| 4 prosent | -1,1 | 8,5 |
| 6 prosent | -0,9 | 8,9 |
6.4.3.7 Konklusjon om følsomhetsberegningene
Beregningene i dette avsnittet viser at konklusjonene om at det gjeldende skattesystemet behandler marginale investeringer for gunstig for selskaper som er i full skatteposisjon, holder selv om vi gjør store endringer i enkeltforutsetningene. Vi kan gjøre flere samtidige endringer hvor alle enkeltendringene går i retning av å heve det marginale realavkastningskravet. Med en økonomisk depresieringsrate på 5 prosent (approx. 40 års levetid), ingen ledetid, et avkastningskrav før skatt på 15 prosent, og en dobling av nedstengnings- og fjerningsutgiftene, vil det marginale realavkastningskravet fortsatt være lavt (6,5 prosent), sammenlignet med det reelle avkastningskravet for en alternativ investering med samme risiko i landskatteregimet (som er 12,7 prosent under disse forutsetningene). Da har vi også latt være å diskontere skattereduksjonene som følger av investeringen med risikofri rente. Alternative beregninger av denne typen viser at konklusjonen om for sterke investeringsinsentiver for selskaper i skatteposisjon er svært robust.
Slike sett av alternative forutsetninger anvendt på prosjektskatt-tilfellet viser at skattesystemet i en rekke tilfeller ikke gir tilstrekkelige investeringsinsentiver til selskaper som ikke har annen løpende inntekt på sokkelen.
6.4.4 Leting
I beregningene av marginale realavkastningskrav får vi ikke eksplisitt tatt hensyn til at det påløper til dels betydelige kostnader knyttet til leting og avgrensning før utbyggingsbeslutninger fattes. Beslutningen om utbygging tas først når det er avdekket et drivverdig funn. På dette stadiet er letekostnadene allerede påløpt, og er derfor å betrakte som en ”sunk cost”. Dette innebærer at det er lønnsomt å bygge ut felt som tilfredsstiller selskapenes avkastningskrav selv om de ikke får dekket letekostnadene. Letekostnadene er uansett påløpt, og har derfor ikke betydning for utbyggingsbeslutningen. De blir derfor ikke tatt hensyn til ved lønnsomhetsberegninger av investeringer eller beregninger av marginale avkastningskrav for investeringer.
På den annen side må selskapene også fatte beslutninger om leting, og da er selvsagt disse kostnadene, og den skattemessige behandlingen av dem og senere investeringer og inntekter ved funn, relevant for denne beslutningen. For at selskapene skal være interesserte i å lete på sokkelen, må de forventningsmessig få dekket alle kostnader, herunder letekostnader, gjennom inntektsbringende funn.
Selskapenes beslutninger om leting og utbygging er i utgangspunktet to atskilte beslutninger, der utbyggingsbeslutningen først vurderes etter at funn er konstatert. Selskapenes beslutninger om leting er basert på en sannsynlighet for funn og den forventede verdien av funnet. Selskapene vil lete hvis forventet verdi av funnet er tilstrekkelig til å dekke selskapenes kostnader, inkludert deres krav til avkastning. Usikkerheten i forbindelse med leting er til dels betydelig, og det er derfor viktig at skattesystemet er nøytralt overfor usikkerhet. Dette krever blant annet at selskapene får skattedekning for letekostnadene i samme utstrekning som eventuelle senere inntekter blir beskattet. Hvis ikke, ville det vært en skattemessig asymmetri mellom beskatningen av inntekter og skattedekning av leteutgifter, og en kunne dermed fått for lite leting.
I det norske petroleumsskattesystemet kan letekostnader fradragsføres etter hvert som de påløper mot annen særskattepliktig inntekt i selskapet. Det gir 78 prosents skattedekning av leteutgifter, tilsvarende skattesatsen på inntekter. Skattesystemet er således nøytralt overfor letebeslutningen for selskap som er i skatteposisjon. Men verdien av fradraget for letekostnader er lavere i nåverdi for selskaper som ikke har annen inntekt på sokkelen å trekke kostnadene mot. Skattesystemet virker derfor ikke nøytralt i forhold til beslutning om leting i selskaper som ikke har etablert inntekter på sokkelen.
6.4.5 Opplegg for beregning av lønnsomhet i inframarginale prosjekter
Vi har vurdert egenskapene til petroleumsskattesystemet i lys av hvordan skattereglene påvirker selskapenes insentiver i forhold til investeringer som er marginalt lønnsomme, det vil si som akkurat tilfredsstiller selskapenes avkastningskrav. De aller fleste utbyggingene som faktisk gjennomføres, har en lønnsomhet som er høyere enn avkastningskravet – de er inframarginale. Særlig i virksomhet som en antar gir opphav til grunnrente, kan det være interessant å vurdere hvordan skattesystemet påvirker lønnsomheten av prosjekter etter skatt, sammenlignet med lønnsomheten før skatt, også for ulike typer felt.
Utvalget har ikke gjennomført beregninger av inframarginale felt innenfor den tidsrammen som har vært til disposisjon. Dette skyldes blant annet at realistiske beregninger er avhengige av gode anslag for prosjektets diskonteringsrente før skatt. Denne diskonteringsrenten vil variere avhengig av det aktuelle prosjektet. I det følgende gir vi imidlertid en kort beskrivelse av en mulig måte å gjennomføre slike beregninger på i konsolideringstilfellet slik at de blir konsistente med de beregningene utvalget for øvrig har utført, jf. særlig drøftingen av diskontering av delkontantstrømmer tidligere i dette kapitlet: 3
Anslå den risikojusterte, nominelle diskonteringsrenten for prosjektet før skatt, k. Den risikojusterte diskonteringsrenten etter skatt for hele prosjektet er da gitt ved

Figur 6-6
der t er den alminnelige skattesatsen, under forutsetning av at skattesystemet er nøytralt.
Finn de sikre skattemessige fradragene i et nøytraltskattesystem (det vil si fradrag for økonomiske avskrivninger mot alminnelig skatt og særskatt og et tilsvarende risikofritt kapitalavkastningsfradrag mot særskatten, jf. utvalgets forslag i avsnitt 9.5). 4 Disse fradragene neddiskonteres med den risikofrie renten etter skatt.
Finn en diskonteringsrente etter skatt,

Figur 6-7
, for de usikre kontantstrømmene etter skatt for prosjektet, slik at summen av nåverdien av disse kontantstrømmene og nåverdien av de sikre skattemessige fradragene diskontert med den sikre renten etter skatt, blir lik nåverdien av hele prosjektet etter skatt, diskontert med

Figur 6-8
.
Beregn nåverdien etter skatt for prosjektet med et vilkårlig skattesystem (for eksempel dagens system) ved å benytte diskonteringsrenten,

Figur 6-9
, for de usikre kontantstrømmene fra prosjektet og den risikofrie renten etter skatt for de sikre skattemessige fradragene i det aktuelle skattesystemet.
Framgangsmåten innebærer at prosjekter som er lønnsomme før skatt, også blir lønnsomme etter skatt, og omvendt, så lenge skattesystemet er nøytralt. Dette følger av den måten beregningene er konstruert på, og er ikke noe bevis for at det skattesystemet som utvalget foreslår, faktisk er nøytralt. Argumentasjonen for at det foreslåtte systemet faktisk gir nøytralitet, finnes imidlertid i kapittel 9.
Utvalget mener det er behov for å gjennomgå metoder og å foreta beregninger også for prosjekter som er inframarginale. Slike analyser vil vise hvordan lønnsomheten av slike prosjekter påvirkes av endringene, men vil ikke ha betydning for utvalgets konklusjoner om utforming av et nøytralt skattesystem.
6.5 Inngangsbarrierer
En kan tenke seg ulike typer inngangsbarrierer på norsk sokkel. Det kan være inngangsbarrierer knyttet til konsesjonssystemet og barrierer knyttet til skattesystemet. I dette avsnittet drøftes først inngangsbarrierer knyttet til konsesjonssystemet og deretter inngangsbarrierer knyttet til skattesystemet. Når det gjelder skattemessige inngangsbarrierer, kan en ha ulike inngangsbarrierer avhengig av om selskapet kommer inn på norsk sokkel gjennom konsesjoner eller ved kjøp av en eksisterende andel.
6.5.1 Inngangsbarrierer knyttet til konsesjonssystemet
Det norske konsesjonssystemet er et diskresjonært system, det vil si at myndighetene bestemmer hvilke selskaper som skal få konsesjon. Norske myndigheter stiller strenge krav til selskapenes kompetanse. Selskapene må kunne dokumentere relevante finansielle, tekniske og miljømessige kvalifikasjoner for å bli rettighetshaver på norsk sokkel. Kvalifikasjonskravene er:
Relevant teknisk kompetanse, herunder kompetanse vedrørende utviklingsarbeid, forskning, sikkerhet og miljø, og hvordan denne kan bidra aktivt til en kostnadseffektiv undersøkelse etter og eventuell utnyttelse av petroleum fra det berørte geografiske området..
Tilstrekkelig finansiell kapasitet til å foreta undersøkelse etter og eventuell utnyttelse av petroleum fra det berørte geografiske området.
Forståelse av geologien i det berørte geografiske området og hvordan selskapet planlegger å foreta en effektiv undersøkelse etter petroleum her.
Erfaring på norsk kontinentalsokkel eller tilsvarende relevant erfaring fra andre områder.
Erfaring med søkerens virksomhet.
Disse kriteriene har bidratt til at aktørene på norsk kontinentalsokkel i stor grad er fullt integrerte selskaper med bred teknisk og geologisk kompetanse. Kriteriene har vært godt tilpasset en tid med store funn og forventninger til høy oljepris. Mindre selskaper eller spesialiserte selskaper som bare oppfyller enkelte av kriteriene, har ikke hatt mulighet til å delta i utvinningsaktiviteten på norsk sokkel. Slike selskaper har ikke fått tildelinger i konsesjonsrunder, og eventuelle overdragelser til selskaper som ikke oppfyller kriteriene, har ikke blitt godkjent av Olje- og energidepartementet.
Mange funn som nå vurderes utbygd, er vesentlig mindre enn tidligere. Dette kan gjøre det ønskelig med andre typer aktører enn dem som dominerer på norsk kontinentalsokkel. Slike selskaper kan være spesialiserte selskaper som ikke innehar den brede tekniske og geologiske kompetansen som de store integrerte selskapene besitter. Enkelte av de mindre, spesialiserte selskapene vil trolig ikke tilfredsstille alle dagens kvalifikasjonskrav for å bli rettighetshaver på norsk sokkel.
I St.meld. nr. 39 (1999-2000) Olje- og gassvirksomheten omtaler Olje- og energidepartementet hvordan man i konsesjonspolitikken vil legge til rette for nye rettighetshavere på kontinentalsokkelen. Blant annet mener departementet at det er tilstrekkelig at rettighetshavere besitter geologisk eller annen teknisk kompetanse, mens kvalifikasjonskravene for operatører fortsatt vil være de samme som i dag. Departementet vil også gjennomføre andre tiltak som kan redusere inngangsbarrierene for nye deltakere og bidra til en mer positiv vurdering av investeringsklimaet hos disse, jf. avsnitt 4.2.2 i stortingsmeldingen.
6.5.2 Skattemessige inngangsbarrierer
En kan tenke seg ulike definisjoner av skattemessige inngangsbarrierer. En tolkning kan være at en med skattemessige inngangsbarrierer mener at skattesystemet kan føre til at en investering som er lønnsom før skatt, ikke blir lønnsom etter skatt. En alternativ tolkning er at skattesystemet gir selskapene ulike insentiver, avhengig av deres skatteposisjon. Det kan være hensiktsmessig å dele drøftingen opp i to deler; skattemessige inngangsbarrierer ved konsesjonstildeling og skattemessige inngangsbarrierer ved kjøp av andeler.
6.5.2.1 Konsesjonstildeling
Selskaper som er etablert på sokkelen, og er i særskatteposisjon, får fradrag for letekostnader, driftsutgifter, avskrivninger, friinntekt m.m. mot inntekter fra andre felt. Nye selskaper og andre selskaper utenfor skatteposisjon må på den annen side vente til de kommer i skatteposisjon før leteutgifter, friinntekt, avskrivninger mv. kommer effektivt til fradrag. Siden det ikke tillates framføring av underskudd med rente, vil derfor nåverdien av fradragene være lavere for selskaper utenfor skatteposisjon. Insentivene til å investere er størst for selskaper i skatteposisjon, og vesentlig lavere for selskaper utenfor skatteposisjon. Skattesystemet gir altså selskaper i og utenfor skatteposisjon ulike investeringsinsentiver. Det samme er tilfellet for selskaper i landskatteregimet, men betydningen av forskjellsbehandlingen er større på sokkelen blant annet på grunn av den høyere skattesatsen, de gunstige avskrivningsreglene og friinntekten.
Forskjellen på investeringsinsentivene mellom selskaper i og utenfor skatteposisjon for marginale investeringer i petroleumssektoren kan illustreres av forskjellen i marginale realavkastningskrav. Med de forutsetningene som er lagt til grunn, vil et selskap som er i skatteposisjon ikke kreve mer enn -1,4 prosent i reell avkastning før skatt for at investeringen skal være lønnsom etter skatt. Et selskap som ikke kan trekke utgifter og skattemessige fradrag mot inntekten fra andre felt, vil imidlertid kreve en reell avkastning før skatt på 7,8 prosent for at investeringen skal være marginalt lønnsom etter skatt.
Disse beregningene viser at selskaper som ikke er i skatteposisjon, herunder eventuelle nye selskaper, har en skattemessig ulempe når de investerer i forhold til selskaper som er i skatteposisjon. Ved vurdering av utbygginger kan det være uheldig at ulike rettighetshavere kan ha ulik dekning av kostnader og risiko gjennom skattesystemet.
Det norske konsesjonssystemet er som påpekt basert på et diskresjonært system uten kontantvederlag, men med et obligatorisk arbeidsprogram for utforskning av lisensene, i motsetning til auksjoner, som er vanlig i mange andre petroleumsprovinser. Det er derfor ikke slik at selskaper som har skattemessige fordeler av å være i skatteposisjon, kan overby selskap som ikke er i skatteposisjon. Den skattemessige asymmetrien mellom selskaper i og utenfor skatteposisjon innebærer imidlertid at selskaper i skatteposisjon kan påta seg større kostnader for å få en konsesjon enn det selskaper som ikke er i skatteposisjon kan.
Beregningene av marginale realavkastningskrav viser at et selskap utenfor skatteposisjon har samme avkastningskrav før skatt som alternativavkastningen, slik at skattesystemet virker om lag nøytralt overfor investeringsbeslutninger for disse.
Det er imidlertid flere forhold som gjør at insentivene skattesystemet gir til å investere ikke er tilstrekkelige for selskaper utenfor skatteposisjon.
For det første må det tas i betrakting at selskapene normalt må pådra seg leteutgifter før utbygging er aktuelt. Et selskap utenfor skatteposisjon kan få lav skattedekning av leteutgiftene avhengig av hvor lang tid det tar før selskapet kommer i skatteposisjon.
For det andre vil hovedtyngden av investeringsutgiftene ha en ledetid, det vil si at det tar noen år fra investeringen er betalt til den genererer inntekter. I avsnitt 6.4.3.2 vises det at ledetid på fem år vil føre til at det marginale realavkastningskravet øker fra 7,8 til 11,1 prosent for et selskap utenfor skatteposisjon. Det betyr at det finnes investeringer som er lønnsomme før skatt, som selskaper utenfor skatteposisjon ikke vil gjennomføre, jf. den første definisjonen av skattemessige inngangsbarrierer.
For det tredje kan det være usikkerhet knyttet til framtidig skatteposisjon. Denne usikkerheten er større for nye selskaper.
6.5.2.2 Kjøp av andeler i felt
Alternativet til å delta i de ordinære konsesjonsrundene er å kjøpe en andel i en produserende tillatelse eller en tillatelse på letestadiet. Den skattemessige behandlingen av slike overdragelser er regulert i petroleumsskatteloven § 10, jf. kapittel 8. § 10-systemet skal sikre at:
Staten ikke får noe provenytap/gevinst ved overdragelser.
Skattemessige forhold ikke skal ha noe å si for selskapenes beslutninger om overdragelser av utvinningstillatelser.
§ 10-systemet sikrer skattemessig likebehandling av kjøpende selskaper som er i og utenfor skatteposisjon. Det er derfor i prinsippet ingen inngangsbarrierer for nye selskaper ved kjøp av andeler i produserende utvinningstillatelser på sokkelen. Det kan imidlertid tenkes at § 10-systemet representerer en ulempe for nye selskaper ved at det er et komplisert og spesielt system. Selskaper som har vært inne på sokkelen i lengre tid, har bedre kjennskap til systemet, og kan derfor utnytte det bedre.
En konsekvens av § 10-systemet er at det kan være mer lønnsomt for et nytt selskap å komme inn på norsk sokkel ved å kjøpe en tillatelse enn ved å komme inn gjennom ordinær tildeling av konsesjon. Kjøp av produserende andel kan gi skattemessige overskudd som utgifter på nye engasjementer kan føres mot. I så måte er det en skattemessig asymmetri mellom ”inngang” ved konsesjonstildeling og ”inngang” via oppkjøp.
6.5.2.3 Forenklet § 10-behandling ved tillatelser på letestadiet
Ved overdragelser av tillatelser på letestadiet gjennomføres det en forenklet § 10-behandling, jf. kapittel 8. Forenklingen består i at det ikke tas hensyn til framtidige kontantstrømmer, men bare inntekter og utgifter fram til overdragelsestidspunktet. Dette innebærer en likestilling mellom nytildeling i ordinære konsesjonsrunder og kjøp av tillatelse på letestadiet for selskaper utenfor skatteposisjon. Det vil imidlertid oppstå en skattemessig asymmetri mellom selskaper som er i skatteposisjon, og selskaper som ikke er i skatteposisjon, ved kjøp av tillatelser på letestadiet. Selskaper som er i skatteposisjon, vil på grunn av skattemessige fordeler kunne være i stand til å betale mer for en letetillatelse enn et selskap som ikke er i skatteposisjon.
6.5.2.4 Konklusjon
Beregningene av marginale realavkastningskrav viser at skattesystemet fører til for svake investeringsinsentiver for selskaper som ikke har løpende inntekt på sokkelen. Også leteinsentivene vil være for svake for slike selskaper. Det betyr at selskaper som er nye på sokkelen, vanskelig kan gjennomføre marginalt lønnsom leting og investering. Selskaper som ikke har løpende sokkelinntekt, gis adskillig lavere insentiver gjennom skattesystemet til å lete og investere enn selskaper som er i skatteposisjon.
Dette forholdet skyldes blant annet at nye selskaper må avvente inntekt før de får effektivt fradrag for leteutgifter, friinntekt og avskrivninger mv. Analysen er således i tråd med konklusjonene i Wood MacKenzie (1999a - Rapport for Olje- og energidepartementet: Comparison of Efficiency, Incentives & Government Take, November 1999):
"There is a strong incentive to be in a tax paying position in Norway. ... The government may therefore have to address the issues of ... the barriers to entry."
Petroleumsskatteloven § 10 sikrer i prinsippet at skatteposisjon ikke betyr noe ved kjøp av produserende utvinningstillatelser. For letetillatelser vil det være en skattemessig asymmetri mellom selskaper som er i skatteposisjon, og selskaper som ikke er i skatteposisjon. Den beste strategien for et selskap som vil inn på norsk sokkel i dag, synes derfor å være å kjøpe seg inn i en produserende lisens.
6.6 Andre aspekter av nøytralitet
Vi skal i dette avsnittet vurdere om skattesystemet bidrar til å vri andre forretningsmessige beslutninger i forhold til en situasjon uten skatt. Noen dimensjoner er implisitt behandlet i sensitivitetsanalysene i forrige avsnitt, for eksempel når det gjelder valget mellom driftsmidler med kort eller lang levetid. Utvalget drøfter her valget mellom ulike transportløsninger, valget mellom eie og leie av driftsmidler, og valget mellom nedstengning og fortsatt produksjon. Først omtaler vi hvordan skattesystemet påvirker selskapenes holdning til risiko.
6.6.1 Virkninger av skattesystemet på selskapenes holdning til risiko i prosjekter
Ideelt sett bør ikke skattesystemet påvirke investors valg mellom investeringer med ulik risiko. Det gjelder dersom en kan anta at skattyter og staten har like muligheter til å diversifisere sin risiko.
Det gjeldende systemet med adgang til konsolidering av inntekt på selskapsnivå bidrar til at tap kan komme til fradrag mot annen særskattepliktig inntekt i selskapet umiddelbart. Når selskapet er i skatteposisjon får det derfor umiddelbart fradrag for all inntektsrisiko, det vil si risikoen for svingninger i løpende inntekt. Dette betyr at staten bærer sin forholdsmessige andel av inntektsrisiko.
For selskaper utenfor skatteposisjon bærer staten en mindre andel ved at disse må avvente inntekt før eventuelle tap kommer effektivt til fradrag. Staten bærer da ikke sin forholdsmessige andel av inntektsrisikoen i prosjektet.
Kapitalrisiko er knyttet til svingningene i verdien av kapitalen, i prinsippet den neddiskonterte verdien av nettoinntekten som kapitalen genererer. For at et skattesystem skal være nøytralt overfor kapitalrisiko, er det nødvendig at de faktiske verdiendringene på kapitalen inngår i skattegrunnlaget i hver periode, jf. kapittel 2. De høye skattemessige avskrivningene kombinert med fradrag for friinntekt og gjeldsrenten, gjør at staten i dag bærer en for stor del av kapitalrisikoen for et selskap som er i skatteposisjon.
Samlet sett vil staten bære for stor del av risikoen når investeringer gjennomføres av selskaper i skatteposisjon. Det kan føre til at slike selskaper kan stimuleres til å gjennomføre usikre investeringer.
Motsatt vil skattesystemet stimulere til investeringer med lav usikkerhet for selskaper som ikke har løpende inntekt på sokkelen. Det vises til kapittel 2 og vedlegg 1 og 2 for en nærmere drøfting av skattesystemets virkning overfor usikre investeringer.
6.6.2 Nøytralitet i valget mellom ulike typer transportløsninger
De ulike skattereglene på sokkelen, på land og i de særlige rederibeskatningsreglene kan i noen tilfeller påvirke valget av transportløsninger på sokkelen. Det er relevant i tilfeller der det teknisk er mulig å velge ulike transportløsninger, det vil si særlig for olje og andre flytende komponenter. Med endringer i teknologien som fører til at større deler av produksjonen fysisk kan foregå på land, er det også interessant å vurdere hvordan selskapenes insentiver påvirkes av de ulike skattereglene.
Dersom selskapet (operatøren) velger ilandføring via rørledning, vil investeringen helt fram til strandkanten være innenfor petroleumsskatteregimet. Den vil avskrives etter reglene der og gir grunnlag for friinntekt. Dersom ilandføring med skip velges, med bøyelasting på feltet, vil som hovedregel kun investeringene fram til og med bøyelasterne være innenfor petroleumsskatteregimet.
Skipsinvesteringene vil imidlertid skattlegges etter ordinære landskatteregler (eller eventuelt de spesielle skattereglene for rederier), med avskrivninger etter saldometoden fra og med ferdigstillelsestidspunktet. Inntektene som skipsinvesteringen gir, beskattes med 28 prosent (eller mellom 0 og 28 prosent pluss tonnasjeavgift, avhengig av selskapets utbyttepolitikk), mens inntektene fra rørledninger i tillegg ilegges særskatt etter fradrag for friinntekt. Avhengig av hvordan selskapet velger å organisere virksomheten i tilfellet med investeringer i skip, kan finansieringsfordelen (gjeldssubsidiet) være den samme i de to tilfellene, jf. omtalen av virkninger av rentefradraget mot særskatten i avsnitt 6.3 og kapittel 7.
Tariffene ved transporten gjennom rørledning eller med skip vil i begge tilfeller komme til fradrag i utvinningsinntekten på sokkelen, enten direkte eller indirekte via normprisreglene.
Det marginale realavkastningskravet for en investering i rørledning med en økonomisk depresieringsrate på 5 prosent pr. år er 0,6 prosent for et selskap i full skatteposisjon (se også figur 6.4 foran), med alle øvrige forutsetninger som i basistilfellet. En marginalt ulønnsom investering i rørledning kan altså være klart lønnsom etter skatt. (Den samme konklusjonen gjelder dersom vi beregner lønnsomheten ved rørledninger med eksisterende forutsetninger om regulering av tariffinntekter mv.) Det er grunn til å vurdere om det er rasjonelt for et oljeselskap å legge til grunn samme avkastningskrav for en investering i rørledning med relativt sikre transportvolum og regulerte tariffinntekter som for en investering i for eksempel et oljefelt, jf. også drøftingen av delkontantstrømdiskontering foran. Vi tar ikke opp denne problemstillingen nærmere her.
Vi legger til grunn følgende forutsetninger for en alternativ investering i bøyelastere:
Skattesatsen er 28 prosent (det vil si vi ser foreløpig bort fra muligheten i rederiskattereglene som innebærer skattefrihet, men tonnasjeskatt, så lenge inntektene beholdes i selskapet).
Den økonomiske depresieringsraten er 10 prosent.
Sokkelselskapet organiserer investeringen gjennom et datterselskap som finansieres slik at en beholder fordelen ved gjeldsrentefradraget mot særskatten.
Avkastningskravet på investeringen i bøyelaster er den samme som for sokkelselskapets øvrige virksomhet.
Skipet beholdes i virksomheten til det er utslitt.
Med disse forutsetningene får vi et marginalt realavkastningskrav for bøyelasterinvesteringen på 6,7 prosent før vi tar hensyn til fordelen ved gjeldsfinansiering. Som følge av at avskrivningssatsen på 20 prosent er høyere enn den forutsatte depresieringsraten på 10 prosent, får vi altså at avkastningskravet i landskatteregimet er noe lavere enn alternativavkastningen. I kapittel 7 (boks 7.2) viser vi at virkningen av fordelen ved gjeldsfinansiering ved en investering i datterselskap, er å redusere det marginale avkastningskravet med 2,8 prosentpoeng med de forutsetningene som er valgt i basisalternativet for våre beregninger.
Det betyr at det marginale realavkastningskravet for investeringen i bøyelasteren blir 3,9 prosent når vi forutsetter at skipsinvesteringen skattlegges etter landskattereglene og organiseres slik at sokkelselskapet beholder finansieringsfordelen. Dersom et uavhengig selskap beholder finansieringsfordelen, blir avkastningskravet høyere - noe som var med på å begrunne endringene i reglene om skattemessig behandling av leiekontrakter for driftsmidler på sokkelen i 1997, jf. nedenfor.
Konklusjonen blir at skattesystemet innebærer en viss vridning i favør av investeringer i rørledning framfor bøyelaster. Gitt at det foreløpig er sjelden at beslutninger om transportløsninger påvirkes av skattereglene alene, er denne vridningen neppe av stor betydning for ressursallokeringen på sokkelen. Hvis den teknologiske utviklingen gjør det mulig å legge større deler av installasjonene på land, kan denne vridningen få større betydning for selskapenes beslutninger.
6.6.3 Nøytralitet mellom eie og leie av flyttbart produksjonsskip
Eieren av et driftsmiddel i sokkelvirksomhet har rett til avskrivning etter de særlige reglene i petroleumsskatteloven § 3 d og friinntekt i henhold til § 5. Leie av et driftsmiddel gir i utgangspunktet rett til skattemessig fradrag for faktisk betalte leiebeløp. Det kan hevdes at dette innebærer en skattemessig forskjellsbehandling av eie og leie som gir insentiv til at sokkelselskapene eier sine egne driftsmidler. Lovens system er med andre ord ikke nøytralt.
I forbindelse med innføringen av nye regler for rederibeskatning, jf. Innst. O. nr. 81 (1995-96), pekte Finanskomiteen på at det var uheldig dersom skattereglene skulle favorisere at oljeselskapene eier produksjonsutstyr selv, hvis rederier kan drive mer effektivt. I St.meld. nr. 1 (1996-97) uttalte Finansdepartementet blant annet følgende om disse problemstillingene:
”Ved omleggingen av petroleumsbeskatningen i 1992, og ved innføringen av regelen for tynn kapitalisering i 1994, var det en målsetning å oppnå et mest mulig nøytralt skattesystem. Det kan likevel hevdes at petroleumsbeskatningen i enkelte situasjoner ikke er nøytral. Fradraget for friinntekt, de gunstige avskrivningsreglene samt reglene for uttaks- og realisasjonsbeskatning fører til at petroleumsskattesystemet kan gjøre det mer lønnsomt for utvinningsselskapene å eie driftsmidler selv framfor å leie dem. Årsaken er at disse tre elementene til sammen kan føre til at oljeselskapene får skjermet mer enn normalavkastningen fra særskatten. Fradraget for gjeldsrenter i særskattegrunnlaget kan forsterke dette forholdet.”
På denne bakgrunn er det med virkning fra inntektsåret 1997 innført en særordning for den skattemessige behandlingen av leie av flyttbare produksjonsinnretninger. Det vises til Ot.prp. nr. 36 (1997-98) og forskrift av 18. august 1998 nr. 819 (eie/leie-forskriften). Reglene tar sikte på å oppnå nøytralitet i beskatningen slik at selskapenes beslutning om henholdsvis eie eller leie av driftsmidlet ikke influeres av skattereglene.
Innholdet i de skattemessige særreglene er at utvinningsselskapet – under forutsetning av at leieforholdet tilfredsstiller nærmere angitte kriterier – kan kreve en beskatning som tilnærmelsesvis svarer til beskatningen ved eie. For å oppnå dette gjøres det utstrakt bruk av sjabloner. Det må fastsettes en kostpris for innretningen som kan danne grunnlag for avskrivningsfradrag og friinntekt. Retten til rentefradrag innebærer at det dessuten må fastsettes et fiktivt gjeldsforhold, en antatt gjeldsgrad ved finansieringen og en antatt avdragsprofil. Også gevinst- eller tapsberegning som må foretas ved opphør av leieforholdet, baseres på sjabloner.
Av merknadene til eie/leie-forskriften går det fram at Finansdepartementet allerede ved vedtagelsen av forskriften var oppmerksom på at det heftet enkelte svakheter ved denne slik at nøytralitetsforutsetningen ikke ble innfridd i ønsket utstrekning. På visse punkter gjorde forskriften det mer gunstig å leie enn å eie en flyttbar innretning, mens den på andre punkter ikke i tilstrekkelig grad begunstiget leiealternativet. I høringsnotat av 4. mai 1999 ble det derfor foreslått enkelte endringer med sikte på å skape større grad av nøytralitet i samsvar med forskriftens formål. Eventuelle endringer i forskriften er ennå ikke fastsatt.
6.6.4 Nærmere om fjerningstilskuddsloven
Ved fjerningstilskuddsloven er det etablert en ordning hvor utgifter til fjerning av innretninger på kontinentalsokkelen er ”løftet ut” av det alminnelige skattesystemet ved at slike utgifter ikke er fradragsberettiget ved ligningen etter de generelle regler. I stedet får selskapene tilskudd fra staten til dekning av en andel av fjerningsutgiftene etter nærmere regler i fjerningstilskuddsloven.
I forarbeidene til fjerningstilskuddsloven, jf. Ot.prp. nr. 33 (1985-86), er valget av tilskuddsordningen som system for skattemessig behandling av fjerningsutgifter blant annet begrunnet med følgende hensyn:
Unngå ordninger som fører til klar reell forskjellsbehandling mellom selskapene. Ordinær utgiftsføring etter hvert som kostnadene påløper kan føre til at en rekke selskaper ikke vil være sikret fullt fradrag for de utgiftene fjerning må antas å føre med seg, fordi de ikke vil ha tilstrekkelig inntekter i Norge til å dekke kostnadene.
Unngå vridninger av beslutninger. Ordinær utgiftsføring kan føre til at oljeselskapene fristes til å avslutte produksjonen tidligere mens de har inntekter, samt at de unnlater å bygge ut satelittfelt.
Stortinget får anledning til å vurdere tidspunktet for, og omfanget av, fjerningsoperasjonene i en total samfunnsøkonomisk sammenheng. Ansvarlige politiske organer sikres kontroll med kostnadsspørsmålet.
Hovedregelen for beregning av statens andel av fjerningsutgiftene innebærer at statens tilskuddsandel fastsettes særskilt i forhold til hver rettighetshaver. I henhold til tilskuddsformelen skal statens andel av fjerningsutgiftene settes til selskapets gjennomsnittlige effektive skattesats over en nærmere angitt tidsperiode, det vil si den perioden innretningen har vært i bruk for rettighetshaveren.
Uten særloven om tilskudd fra staten i forbindelse med fjerning, ville fjerningsutgiftene vært fradragsberettiget ved ligningen som en driftsutgift, jf. skatteloven § 44. Verdien av skattemessig fradrag ved ligningen for det enkelte selskap for en pådratt fjerningsutgift (det vil si fordelingen av utgiften mellom selskapet og staten gjennom skattesystemet) er imidlertid ingen entydig størrelse, men avhenger av flere forhold. Den skattemessige fradragsverdien vil for eksempel bli påvirket av skattesatsen på det tidspunktet utgiften kommer til fradrag, samt øvrige regler, herunder periodiseringsreglene. Videre vil nåverdien av fradrag ved ligningen reduseres for et selskap som ikke er i (sær)skatteposisjon, men først kan føre utgiften til fradrag i framtidig inntekt.
Gjeldende formel for beregning av statens tilskudd ved fjerning vil ikke gi et resultat for selskapene som helt ut svarer til om de hadde fått fradrag gjennom skattesystemet etter de alminnelige reglene. Fjerningstilskuddsloven kan dermed føre til vridninger ved at selskapene har fordel av å føre utgifter henholdsvis utenfor eller innenfor loven, avhengig av den aktuelle skattesats og skatteposisjon på fjerningstidspunktet og faktisk tilskuddsandel.
På den annen side var en begrunnelse for å innføre fjerningstilskuddsloven å unngå vridninger av beslutninger, fordi ordinær utgiftsføring kan føre til at oljeselskapene fristes til å avslutte produksjonen tidligere mens de har inntekter, samt at de unnlater å bygge ut satelittfelt. Videre skulle selskapene være sikret likebehandling ved at alle selskapene får dekning for fjerningsutgifter selv om de ikke har inntekter å føre dem mot.
I 1999 ble det foretatt visse justeringer i fjerningstilskuddsloven, basert på forslag fra en arbeidsgruppe som hadde vurdert behovet for endringer i loven. Hovedregelen for beregning av statens tilskuddsandel ble videreført. Det lå utenfor mandatet til arbeidsgruppen å vurdere behovet for å ha en særordning for fjerningsutgifter.
Hvis utvalgets forslag i kapittel 9 blir gjennomført, vil deler av begrunnelsen for å ha en egen fjerningstilskuddslov falle bort. Selskapene vil for eksempel ha sikkerhet for behandling av fjerningsutgifter gjennom regler om framføring av underskudd med rente og adgang til overføring av underskuddsposisjon sammen med tilhørende virksomhet. I så fall mener utvalget at det kan være grunn til å vurdere behovet for en egen fjerningstilskuddslov på ny.
6.6.5 Valget mellom nedstengning og fortsatt produksjon
CO2-avgiften og eventuelle produksjonsavgifter/arealavgifter kan påvirke beslutningen om nedstengning av felt som alternativ til fortsatt produksjon. Isolert sett kan slike bruttoskatter bidra til tidligere nedstengning enn ellers. På den annen side kan tidlig nedstengning innebære en forsering av nedstengnings- og eventuelle fjerningskostnader, som kan trekke i motsatt retning. Gitt at bruttoavgiftene er fradragsberettiget mot særskatten, og at utsatte nedstengnings- og fjerningskostnader har en verdi for selskapene, er det grunn til å tro at betydningen av CO2-avgiften og andre bruttoavgifter for nedstengningsbeslutningene er beskjeden. I det gjeldende skattesystemet er videre produksjonsavgiftene på vei ut, slik at de etter hvert har liten betydning for nedstengningsbeslutninger. Alt i alt er det liten grunn til å tro at bruttoavgifter har særlig betydning for nedstengningstidspunktet, men de kan ha betydning for selskapenes vilje til å foreta tilleggsinvesteringer på eksisterende felt. Når det gjelder CO2-avgiften, er denne ment å vri selskapets beslutninger. I den grad nedstengning framskyndes på grunn av en riktig utformet CO2-avgift, reflekterer dette derfor i prinsippet at utslippene gjør tidligere nedstengning samfunnsøkonomisk lønnsomt.
For felt der produksjonen foregår med flyttbare innretninger, kan i tillegg reglene for beskatning av eventuelle skattemessige salgsgevinster påvirke beslutningen om nedstengning.
Gevinstbeskatningsreglene ble mer nøytrale i forbindelse med endringen av eie-/leiereglene i 1997, slik at også disse reglene må antas å ha begrenset betydning for nedstengningsbeslutningen. Som følge av at beskatningen av skattemessige salgsgevinster ikke skjer umiddelbart, men utsettes over flere år, mens beskatningen av løpende produksjonsinntekter skjer med en gang, kan en ikke utelukke at selskapene i gitte situasjoner isolert sett ville velge å selge et driftsmiddel og stenge feltet framfor å fortsette produksjonen. En slik avgjørelse vil imidlertid være svært avhengig av annenhåndsverdien på installasjonen, som trolig varierer betydelig i ulike tilfeller. Det er derfor ikke generelt slik at utsatt gevinstbeskatning bidrar til tidligere nedstengning enn en ellers ville hatt.
6.7 Administrative sider ved skattesystemet
6.7.1 Innledning
Vi skal i dette avsnittet vurdere om det gjeldende systemet påfører skattyterne og skattemyndighetene unødige administrative kostnader. I tillegg til å påføre administrative kostnader, kan reglene også innebære en reell fare for at deler av skattegrunnlaget forsvinner.
Et system for grunnrentebeskatning fordrer at en skiller ut grunnrenten fra normalavkastningen og ilegger denne en høyere skatt. Den høyere skattesatsen i grunnrenteregimet gir opphav til flere avgrensnings- og vridningsproblemer i skjæringsflaten mellom de ulike systemene, med påfølgende kontrollspørsmål. Forskjellene i skattesats vil for eksempel gi selskapene sterke insentiver til å overføre kostnader til særskatteregimet og inntekter til landskatteregimet eller til utlandet.
Det oppstår blant annet spørsmål om den nærmere grensen for særskattepliktig utvinningsvirksomhet og rørledningstransport mot annen aktivitet på land, og om i hvilken grad nye aktører på sokkelen ved bruk av insentivkontrakter blir særskattepliktige. Dette er nærmere omtalt i avsnitt 6.7.2.
Den generelle problemstillingen knyttet til prising av varer og tjenester og henføring av inntekter og kostnader mellom beslektede selskap, er særlig aktuell på grunn av de høye skattesatsene i utvinningsvirksomheten, jf. avsnitt 6.7.3.
Også det forholdet at petroleumsbeskatningen bygger på de alminnelige skatte- og regnskapsreglene, medfører administrative kostnader. Dette forsterkes av bestemmelsen i petroleumsskatteloven § 3 h, som innebærer en direkte kobling til regnskapsreglene. Dette er omtalt i avsnitt 6.7.4.
Videre kan det oppstå administrative kostnader fordi det foreligger særordninger på enkeltområder. Petroleumsskatteloven § 10 innebærer for eksempel at det må treffes et forvaltningsvedtak ved hver enkelt overdragelse, i stedet for at generelle regler kommer til anvendelse. Det vises til nærmere behandling av petroleumsskatteloven § 10 i kapittel 8. Fjerningstilskuddsloven (og petroleumsskatteloven) bestemmer at fjerningskostnader ikke skal følge de alminnelige reglene for driftsutgifter ved ligningen, men i stedet ”løftes ut” av skattesystemet og behandles for seg. Det blir dermed behov for å etablere egne kompetanseregler og prosessuelle regler til erstatning for ligningsloven og skattebetalingsloven mv. Fjerningstilskuddsloven er omtalt i avsnitt 6.6.4. Også reglene om skattemessig behandling av leie av flyttbare produksjonsinnretninger på sokkelen, jf. avsnitt 6.6.3, må antas etter hvert å ville påføre skattyter og ligningsmyndighetene administrative kostnader. Forskriften betyr at en skattemessig behandler et forhold som noe annet (eie) enn det reelt sett er (leie).
De forslagene utvalget anbefaler, jf. kapittel 9, vil eliminere eller begrense noen av de administrative kostnadene ved gjeldende system som beskrives her. Det vises blant annet til at utvalget foreslår å erstatte petroleumsskatteloven § 10 med generelle regler, samt å oppheve § 3 h og eie/leie-forskriften. På andre punkter mener utvalget at det ville vært hensiktsmessig med en nærmere regulering eller klargjøring i loven, men har ikke hatt kapasitet til å gå nærmere inn på dette. Til en viss grad kan det også tenkes at en må aksepterer at det ikke finnes helt enkle løsninger, for eksempel når det gjelder internprising mellom beslektede selskaper. I disse tilfellene vil det fortsatt være nødvendig med en stor grad av kontroll fra ligningsmyndighetenes side.
6.7.2 Nærmere avgrensning av særskatteplikten
6.7.2.1 Utvinning/utnyttelse – teknologisk utvikling
Særskattepliktens omfang bestemmes av en kombinasjon av petroleumsskattelovens funksjonelle og geografiske virkeområde, det vil si at det må dreie seg om utvinningsvirksomhet eller rørledningstransport innenfor det geografiske området som er angitt i petroleumsskatteloven § 1.
Petroleumsskatteloven § 1 d og petroleumsskatteforskriften angir den nærmere avgrensning av særskatteplikten på land. Særskatteplikten omfatter rørledningstransport og annen virksomhet ved mottaks- og utskipningsanlegg som ledd i utvinning og rørledningstransport av petroleum.
Anlegg for videre bearbeiding eller utnyttelse av petroleum, herunder raffinering, anses ikke som en del av særskattepliktig virksomhet.
Bestemmelsen i § 1 d ble innført i 1982 i forbindelse med beslutningen om å føre rikgass, det vil si naturgass med relativt høyt innhold av våtgass, fra Statfjordfeltet og noen andre felt i samme område i land på Kårstø. Rikgassen blir utskilt fra brønnstrømmene og prosessert på feltanleggene før rørtransporten til land. Gassterminalanlegget på land består hovedsakelig av en mottakerdel, en separasjons- og fraksjoneringdel, samt lager og utskipningsanlegg. I mottakeranlegget fjernes vann fra gassen, før rikgassen kjøles ned. Den ekstraherte væsken (våtgassen) blir deretter sendt til fraksjoneringsdelen, der den omdannes til en rekke produkter, propan, normalbutan, isobutan og naturbensin. Tørrgassen blir prosessert til salgsspesifikasjon, komprimert og sendt ut i rørledningssystemet via Ekofisk til Tyskland.
Stortinget ga sin tilslutning til at petroleumsskatteloven skulle omfatte rørledningstransport med tilhørende anlegg på land når dette er knyttet til produksjonsvirksomheten på kontinentalsokkelen, også når transporten foregår på land i Norge. Avgrensningsreglene i § 1 d medfører at alle deler av terminalanlegget på Kårstø som er nødvendige for gjennomstrømming av gass, omfattes av petroleumsskatteloven. Våtgassanleggets funksjoner regnes som videre bearbeiding av petroleum. Fraksjoneringsdelen er derfor underlagt de vanlige skattereglene for virksomhet på land.
Mottaksanlegget på Kollsnes for gassen fra Troll-feltet har i hovedsak de samme funksjoner som mottaksanlegget på Kårstø. Forskjellen består særlig i at gasstrømmen fra Troll-feltet kommer ubehandlet i to flerfaserørledninger til land, slik at all væskeutskilling må skje ved landterminalen. Prosesseringen på land består i hovedsak i å utskille tørrgass og kondensat fra gasstrømmen, og sende salgsklar tørrgass tilbake til rørledningssystemet på Kontinentet, og kondensat til videre transport og bruk. Særskilte behandlings- og fraksjoneringanlegg for våtgass er ikke aktuelt.
Prosesseringsanlegget på Kollsnes ble i utgangspunktet ansett som et mottaksanlegg tilknyttet ilandføringsrør som var omfattet av petroleumsskatteloven, jf. ovenfor, men det ble likevel ansett hensiktsmessig å presisere i loven at et slikt mottakeranlegg som står i mer direkte forbindelse med utvinningen av petroleum, omfattes av særskatteplikten. I 1992 ble det derfor tatt inn en tilføyelse i loven om at også ”annen virksomhet ved mottaks- og utskipningsanlegg som ledd i utvinning og rørledningstransport av slik petroleum” var særskattepliktig.
Med en stadig mer omfattende gassvirksomhet, og med innenlandsk anvendelse av gass til for eksempel gasskraftverk, har utvinningsselskapenes investeringer i mottaksanlegg og prosesseringsanlegg på land fått økt betydning. Videre er næringen i teknologisk utvikling blant annet for å få ned kostnadsnivået på norsk sokkel. Det oppstår spørsmål om den nærmere avgrensningen av utvinningsvirksomheten i gjeldende lov er tilpasset denne virkeligheten.
Når det gjelder teknologiske utviklingsstrekk, kan en se for seg økt bruk av plattformløse feltutbygginger i fremtiden. Felt kan bygges ut med undervannsløsninger hvor store deler av aktiviteten eller hele produksjonen flyttes på land, det vil si at felt utvinnes med en kombinasjon av produksjonsanlegg undersjøisk og på land.
Utvalget er kjent med at foreliggende planer om å bygge ut Snøhvit-feltet, innebærer at store deler av produksjonsanleggene og et anlegg for LNG legges på land. Den nærmere avgrensningen av særskatteplikten må i et slikt tilfelle skje ved en konkret vurdering av om aktiviteten på land faller innenfor de kriteriene som er angitt i gjeldende lov, jf. ovenfor. I utgangspunktet omfattes da anlegg som tar sikte på å klargjøre petroleum til den når en fysisk tilstand hvor den kan selges eller bearbeides/foredles til andre produkter. Utenfor særskatteplikten faller anlegg/aktivitet for videre bearbeiding og utnyttelse av petroleum.
I medhold av petroleumsskatteloven § 1 tredje ledd kan Finansdepartementet treffe vedtak om den nærmere avgrensningen av petroleumsskatteloven etter § 1 d. Utvalget legger til grunn at denne kompetansen kan være aktuell i et tilfelle som Snøhvit, men antar at det generelt er best om slike avgrensningsspørsmål løses gjennom klargjøring i loven etter hvert som utviklingen finner sted, jf. lovendringene i henholdsvis 1982 og 1992.
Utvalget har ikke hatt kapasitet til å vurdere nærmere hvordan særskatteplikten bør avgrenses i forhold til den utviklingen som er beskrevet her. Utvalget peker imidlertid på at det både av administrative og kontrollmessige hensyn må være en fordel å unngå at grensen trekkes gjennom et integrert landanlegg. Det vises også til de internprisingsproblemene som kan oppstå, blant annet tariffspørsmål, hvis grensen for særskatteplikten trekkes før det eventuelt skjer et salg til markedet, jf. avsnitt 6.7.3.
6.7.2.2 Insentivkontrakter - volum- og prisavhengig leie for produksjonsskip
Det har fra forskjellig hold blitt reist spørsmål om utleie av produksjonsskip, der enkelte elementer i tariffen er volum- eller prisavhengige, faller inn under den særskilte regelen i petroleumsskatteloven § 5 første ledd annet punktum, slik at det volum- eller prisavhengige elementet i tariffen blir undergitt særskatt.
De tariffstrukturene som har vært benyttet, har gjerne bestått i en fast dagrate kombinert med tillegg av et tariffelement som består i en pris på produsert volum (volumbasert tariff). Alternativt har man bakt inn et priselement i den volumbaserte tariffen. I tillegg til dagraten gis et vederlag for produsert mengde multiplisert med en gitt prosentandel av oljepris ut over et avtalt nivå inntil et maksimumsrate. Ved å avtale slike tariffer kan noe av produksjons- og prisrisikoen overføres på utleier. Dagraten kan da settes lavere, og går prosjektet dårlig og/eller prisen blir lav, vil oljeselskapet oppnå en lavere leie enn om slike prismekanismer ikke benyttes. Går prosjektet godt, vil utleier oppnå en høyere fortjeneste enn det han ville ha oppnådd med leie fastsatt etter konvensjonelle kriterier. Utleier tar altså en viss risiko for den økonomiske utviklingen i prosjektet.
Petroleum Geo Services (PGS) har i notat av 25. april 2000 til utvalget opplyst at ved å bruke slike prismekanismer mot slutten av levetiden for et felt, har partene funnet det lønnsomt å fortsette produksjonen på et tidspunkt hvor man uten slike mekanismer ville ha avsluttet produksjonen.
Spørsmålet er om slike metoder ved fastsettelsen av leiebeløp faller innenfor petroleumsskatteloven § 5 første ledd annet punktum som lyder:
”Vederlag som ytes som andel av produksjon eller resultat regnes like med inntekt av utvinning og rørledningstransport.”
Innledningsvis kan det nevnes at skattelovens regler om deltakerligning er basert på et alminnelig deltakerbegrep som er utformet gjennom praksis. Som en bred hovedregel kan man si at en andel av nettooverskudd i en virksomhet må regnes som deltakelse i denne virksomheten, mens andel av omsetningen (bruttoinntektene) vanligvis ikke kvalifiserer for å ligne kreditor som deltaker. Unntak kan forekomme hvis kreditor har en særskilt sterk stilling i forhold til og kontroll med debitor, se for eksempel Rt. 1933 s. 500 (Star Contrapropeller) og Rt. 1956 s. 943 (Perleessens-dommen).
Ordlyden i petroleumsskatteloven går lenger enn det som følger av skattelovgivningens alminnelige deltakerbegrep. Etter petroleumsskatteloven § 5 første ledd annet punktum er det avgjørende at det gis et vederlag for en tjeneste (som ikke består i kjøp av olje) som fastsettes som a) andel av produksjon eller b) andel av resultat.
Dersom for eksempel en entreprenør skulle yte tjenester til rettighetshaver mot en viss prosentvis andel av produsert petroleum (som altså da tilfaller entreprenøren), vil dette ha karakter av ”andel av produksjon” og følgelig være gjenstand for særskatt. Dersom vederlaget er splittet opp slik at en andel fastsettes på konvensjonell måte (for eksempel ut i fra medgått tid med tillegg av materialer), mens det resterende fastsettes som en andel av produksjon, vil bestemmelsen kun omfatte den delen av vederlaget som er fastsatt som andel av produksjon.
Uttrykket ”andel av resultat” må ut i fra sammenhengen i regelverket bety en prosentandel av såvel brutto salgsinntekt som andel av netto overskudd. En bank som finansierer rettighetshaver med lån mot en fast rente, og flytende rente fastsatt som en prosentandel av brutto salgsinntekter, vil altså måtte særbeskattes for det renteelementet som er fastsatt som andel av bruttoinntekt.
Volumavhengig leie
Utleie av et produksjonsskip med vederlag fastsatt som en dagleie, og som tidsmessig er begrenset til levetiden av feltet, vil inneholde en form for volumelement. Lengre produksjonstid gir høyere totale leieinntekter for skipets eier.
Dersom leien avtales som dagleie med et særskilt tillegg hvis produksjonen overstiger et visst volum (for eksempel totalt produksjonsvolum fra feltet, eventuelt hvis dagsproduksjonen overstiger et visst nivå), vil noe av volumrisikoen som normalt ligger hos rettighetshaver være overført til utleier. Men selv om utleier har tatt et skritt inn i en typisk produsentrisiko, er det ikke naturlig å si at det foreligger et vederlag i form av andel av ”produksjon eller resultat”. Denne formen for vederlag har åpenbart ingen sammenheng med rettighetshavers nettoinntekt, og sammenhengen med bruttoinntektene er også for svak, siden oljeprisen ikke slår ut i vederlaget for skipet.
Konklusjonen må altså bli at en volumavhengig leie eller et volumavhengig element i en leietariff, ikke oppfyller ”vederlagsregelen” i petroleumsskatteloven § 5 første ledd annet punktum. Oljeskattekontoret har i en uttalelse av 23. juni 1999 til en skattyter bygget på et slikt syn.
Prisavhengig leie
Vanskelighetene blir større når leien – eller et element i en leietariff – fastsettes med utgangspunkt i et oljeprisnivå. Her får utleier ikke bare en andel i feltets volumrisiko, han tar også et skritt inn i prisrisikoen.
Om en slik avtale har karakter av vederlag i form av produksjon eller resultat, kan neppe besvares generelt. Svaret må avhenge av en nærmere analyse av de økonomiske virkningene av avtaleforholdet. Spørsmålet må bli om utleier gjennom prismekanismen reelt sett må sies å få en andel av resultatet av rettighetshavers brutto (eller netto) inntekt (i dette tilfelle vil det være bruttoinntekt som vil være det aktuelle alternativet).
Det kan vanskelig angis nærmere hvordan grensen skal trekkes mellom avtaler som faller innen- eller utenfor vederlagsregelen i § 5 første ledd annet punktum. For å finne ut av dette må man som nevnt foreta en detaljert analyse av et konkret avtaleforhold. Dessuten må flere ulike avtaletyper gjerne vurderes i forhold til hverandre, slik det skjer når det utvikles ligningspraksis på et område.
Vi vil nedenfor antyde noen alternative tariffer med en løselig angivelse av om de faller innen- eller utenfor vederlagsregelen.
Vi tenker oss at tariffen er fastsatt ut fra en døgnleie med tillegg av produsert volum multiplisert med en andel av oljepris ut over en forventet normalpris da kontrakten ble inngått, eventuelt med et tilsvarende fradrag hvis prisen synker under nivået. Vi tenker oss videre at det ikke er noen begrensning oppad i de tilleggene som utleier kan oppnå. I et slikt tilfelle synes volum/priselementet å ha karakter av å være andel av ”produksjon eller resultat” – det er det siste som er aktuelt her.
Alternativt tenker vi oss at volum/priselementet kun gir tilleggsleie – intet fradrag i leiesummen, men fortsatt at det ikke er noen begrensninger på utleiers oppside. Også i et slikt tilfelle synes volum/priselementet å ha karakter av andel av resultat.
Så varierer vi volum/priselementet slik at det er en begrensning oppad. Det gir altså leietaker en tilleggsavkastning som er prisavhengig, men ved en oljepris ut over et fastsatt nivå vil ikke utleier få ytterligere leieinntekter. Er dette nivået relativt stramt fastsatt, synes det mindre naturlig å karakterisere elementet som andel av resultat. Det er mer en teknikk for å gi en ekstra avkastning til utleier som bare i en viss utstrekning reflekterer rettighetshavers oppside. Dersom taket er satt meget romslig, slik at man må regne med at det vil være svært lite sannsynlig at det vil inntre prisøkninger som vil falle ovenfor taket, synes volum/priselementet i tariffen mer å ha karakter av andel av produksjon/resultat.
PGS har i ovennevnte notat til petroleumsskatteutvalget fremmet forslag om en oppmykning av petroleumsskatteloven § 5 første ledd annet punktum, slik at det skal bli mulig å leie ut produksjonsskip (eventuelt annet utstyr) med en volum-/prisbasert leie uten at dette medfører særskatt, jf. vedlegg 8. Det vil imidlertid være svært vanskelig å utforme en slik regel uten å komme i konflikt med de hensynene som petroleumsskatteloven § 5 første ledd annet punktum skal ivareta. Lager man et generelt unntak for slike leieavtaler, kan man få en utvikling hvor utleier av skipet i stor utstrekning får andel i de risiki som er typiske for rettighetshaver. Utvalget kan ikke se at det er lett å oppstille en fornuftig, generell grense for de tilfellene som må karakteriseres som andel av resultat, og de tilfellene som ligger utenfor denne bestemmelsen. Grensedragningen bør derfor skje i ligningspraksis. Utvalget antar at den adgangen man har etter petroleumsskatteloven § 7 nr. 5 til å få avklart spørsmål gjennom forhåndsuttalelse, til en viss grad kan avhjelpe de behovene utleier og rettighetshaver har for å få en avklaring av rekkevidden av vederlagsregelen i petroleumsskatteloven § 5 første ledd annet punktum før man treffer avgjørende beslutninger om en eventuell leie av et produksjonsskip.
6.7.3 Internprising - beslektede selskaper
De fleste selskapene som er representert på norsk sokkel, er en del av multinasjonale konserner med aktivitet i mange land. Ofte skjer det omfattende kjøp og salg av varer og tjenester internt i konsernet. I tillegg vil for eksempel datterselskaper bli belastet med felleskostnader fra morselskapet. På grunn av den høye skattesatsen på norsk sokkel er det sterke insentiver til å overføre kostnader fra regimer med lavere skattesats til norsk sokkel, og omvendt når det gjelder inntekter. I tilfeller hvor det foreligger interessefellesskap mellom partene, og det er grunn til å anta at inntekten er redusert på grunn av interessefellesskapet, kan ligningsmyndighetene fastsette inntekten ved skjønn til det som ville blitt avtalt mellom uavhengige parter (armlengdepris), jf. skatteloven § 13-1 (tidligere § 54 første ledd). OECD har dessuten utarbeidet retningslinjer for prising mellom beslektede selskaper over landegrenser (OECD Transfer Pricing Guidelines), som Norge har sluttet seg. Arbeidet med å videreutvikle disse retningslinjene pågår kontinuerlig i OECD. Nedenfor omtales noen inntekts- og utgiftsposter som særlig har vært aktuelle på norsk sokkel.
6.7.3.1 Normpris
En relativt stor andel av petroleum utvunnet på norsk sokkel, spesielt råolje, selges til beslektede selskap. Hvilken pris som fastsettes mellom disse beslektede partene, vil således ha stor betydning for størrelsen på særskattepliktig inntekt. Som nevnt gir skatteloven § 13-1 ligningsmyndighetene adgang til å fastsette inntekten ved skjønn dersom denne skulle være redusert som følge av interessefellesskapet. Dette fordrer imidlertid at ligningsmyndighetene konkret vurderer hvert enkelt salg for deretter eventuelt å måtte sannsynliggjøre at prisen er lavere enn den som ville blitt avtalt mellom uavhengige parter. Tatt i betraktning omfanget av internsalg av petroleumsprodukter, må det antas at en slik ordning ville være meget arbeidskrevende for ligningsmyndighetene.
Ved innføringen av petroleumsskatteloven i 1975 valgte man i stedet å innføre et system med normpriser, jf. petroleumsskatteloven § 4. Det framgår av nevnte bestemmelse at Kongen kan fastsette normpriser for petroleum som er utvunnet på norsk sokkel. Formålet med bruk av normpriser er å komme fram til en riktig og reell pris eller verdi, basert på hva som kunne ha vært oppnådd ved salg av tilsvarende petroleum mellom uavhengige parter i et fritt marked.
Normprisen baserer seg på verdien av petroleum på et bestemt referansepunkt – det såkalte normprispunktet. Videre anses inntekten innvunnet når petroleum passerer dette punktet (uavhengig av om det er foretatt noe salg).
Det er opprettet et særskilt petroleumsprisråd som er gitt myndighet til å fastsette normpriser, jf. normprisforskriften § 4 andre ledd. I praksis har det så langt kun vært fastsatt normpris for råolje, men bestemmelsens ordlyd innebærer at det også kan fastsettes normpris på for eksempel våtgass og tørrgass. Dereguleringen av gassmarkedet og økt bruk av gass innenlands vil kunne øke behovet for å fastsette normpriser også for gass.
Opp gjennom årene er det blitt stilt spørsmål ved enkelte utslag av normprissystemet. Utvalget har ikke hatt tid til å vurdere eventuelle uheldige effekter, og om det er behov for å justere ordningen på enkelte punkter. Alt i alt må det antas at systemet medfører store administrative fordeler i forhold til å kontrollere prisen ved hvert enkelt salg, og at ordningen med administrativt fastsatte normpriser bør videreføres.
6.7.3.2 Konsernbelastninger
Konsernbelastninger er kostnader som oppstår i konsernet, sentralt hos morselskapet eller hos andre døtre, og som relaterer seg til indirekte tjenester som alle enhetene i konsernet mer eller mindre nyter godt av. Konsernbelastninger blir fordelt mellom selskapene i konsernet etter ulike fordelingsnøkler. I hovedsak knytter verdien av de indirekte tjenestene seg til fordeler av det å være en del av et stort konsern.
I utgangspunktet er utgifter pådratt til (særskatte)inntektens ervervelse, sikrelse og vedlikeholdelse fradragsberettiget. Ligningsmyndighetene må kontrollere om de kostnadene som skyldes konsernbelastninger, faller innenfor dette kriteriet. Dersom dette er tilfellet, må man ta stilling til kostnadenes størrelse. For ligningsmyndighetene er dette oppgaver som krever betydelige ressurser, blant annet fordi ligningsmyndighetene ikke har den nødvendige spisskompetanse for å vurdere belastningenes reelle innhold.
6.7.3.3 Kostnader til forsikring (captives)
Mange oljeselskaper har opprettet egne forsikringsselskaper, såkalte captives. Bruken av disse har reist en rekke skattemessige spørsmål. Høyesterett har i Schlumberger-dommen lagt til grunn at bruk av captives i seg selv ikke gir grunnlag for fradragsnektelse. Fradragsrett forutsetter imidlertid at det er en reell forsikringsdekning som kjøpes, med andre ord at selskapet frir seg fra den risikoen som forsikres, og overfører denne til captivet.
De sakene oljeskattemyndighetene har tatt opp, kan deles i to kategorier. Den ene er prisingspørsmålet; hvorvidt premien som betales til captivet er en armlengdes-premie.
Prisingspørsmålet i captivesaker skiller seg prinsipielt ikke fra andre spørsmål om internprising, men sakene har medført vanskelige vurderinger av prinsipielle juridiske spørsmål og kompliserte faktiske forhold.
Det andre spørsmålet oljeskattemyndighetene har tatt opp, er det såkalte captive-spørsmålet; hvorvidt risikoen reelt er overført til captivet. Oljeskattemyndighetene har blant annet tatt opp spørsmål om captivet opptrer forsikringsmessig forsvarlig og om forsikringstakeren i realiteten har fridd seg fra risikoen. Dersom transaksjonen skatterettslig ikke kan anses å være forsikring, vil selskapet ikke få fradrag for noen del av premien. En variant av captive-spørsmålet er spørsmålet om fradragsrett for såkalt vertikal forsikring. Når det skattesubjektet som er forsikringstaker, eier captivet det forsikrer seg i, vil erstatningsutbetalinger fra captivet medføre en tilsvarende reduksjon i verdien av forsikringstakerens aksjer i captivet. Spørsmålet er om forsikringstakeren i så fall kan sies å ha overført den faktiske risikoen til captivet.
Flere forsikringssaker som gjelder oljeselskapene, er for tiden til behandling ved domstolene. Det vil ta lang tid før de er endelig avgjort. Gjennom domstolsbehandling kan noen prinsipielle spørsmål bli avgjort, men ligningsmyndighetene vil likevel i mange saker fortsatt være henvist til en konkret vurdering ved ligningen av det enkelte selskap.
6.7.4 Koblingen til de alminnelige skatte- og regnskapsreglene
En annen side ved det gjeldende petroleumsskattesystemet er at det bygger på de alminnelige skattereglene. Fortolkningen av og endringer i de alminnelige skattereglene vil dermed ha konsekvenser for petroleumsbeskatningen. Det er også en kobling mellom petroleumsskattereglene og regnskapsreglene, blant annet gjennom periodiseringsbestemmelsen i skatteloven § 14-4. Petroleumsskatteloven § 3 h, som fastsetter at egenkapitalandelen skal beregnes ut fra regnskapsmessige balanse, fører til at regnskapsreglene får direkte betydning for sokkelskatten. Sistnevnte forhold har medført at det ved ligningen har oppstått en rekke tvistespørsmål, som til dels er basert på anvendelsen av regnskapsregler og regnskapspraksis.
Fotnoter
Ett problem med beregninger av effektive skattesatser (se for eksempel Boadway m.fl. (1989)), som er forskjellen mellom avkastning før og etter skatt i prosent av avkastningen før (eller etter) skatt, er at de blir svært høye når avkastningen er lav, og at de kan være meningsløse når avkastningen er negativ. En fordel med beregninger av marginale realavkastningskrav er at de er uttrykt som en rentesats og enkelt kan sammenlignes med alternativavkastningen for eksempel i finansmarkedet.
Uttrykket er hentet fra Osmundsen (1999).
På samme måte som for marginale avkastningskrav er ikke metoden teoretisk helt korrekt, jf. omtale i vedlegg 4.
De skattemessige fradragene er sikre etter at den korresponderende investeringen er gjennomført.