7 Behandling av finansielle poster
7.1 Innledning
I dette kapitlet drøftes problemstillinger knyttet til behandling av finansielle poster i petroleumsvirksomheten særskilt. Viktige sider ved denne problemstillingen er også berørt i kapittel 6. Selskapene har i dag anledning til å trekke fra netto finanskostnader (netto renteutgifter og valutakursgevinster/tap) mot alminnelig skatt og særskatt. For sokkelselskapets eiere vil det derfor foreligge en sterk økonomisk interesse i å finansiere selskapets virksomhet med lån på sokkelselskapets hånd framfor med egenkapital. Dette skyldes at et tilsvarende rentefradrag på eiernes hånd bare kan trekkes fra med virkning for skatt på alminnelig inntekt (i Norge eller i utlandet) og derfor vil ha vesentlig lavere skattereduserende effekt enn for sokkelselskapet. På tilsvarende måte vil det være mest lønnsomt å ta ledig finanskapital ut av utvinningsvirksomheten slik at avkastningen vil komme til beskatning i et innenlands eller utenlands regime med en lavere skattesats enn på sokkelen. Muligheten for å dra nytte av skattefordelen er størst i selskaper som ikke trenger å låne selvstendig i markedet, men som kan låne direkte fra beslektet selskap eller med garanti derfra. Slike selskaper kan tilpasse seg med 100 prosent gjeld. Som hovedregel må det antas at de utenlandske selskapene har slike muligheter til lån fra beslektede selskaper.
Det har flere ganger vært vurdert å unnta finansposter fra beregningsgrunnlaget for særskatten. Dette ville fjerne, eller iallfall i vesentlig grad redusere, det generelle insentivet til lav egenkapitalfinansiering av utvinningsselskapene. I tillegg ville det avbøte uheldige effekter av reglene om fordeling av finansposter mellom sokkel og land, jf. nedenfor i avsnitt 7.2.3. Det har likevel ikke vært fremsatt forslag overfor Stortinget om å fjerne rentefradraget. Både hensynet til norske selskaper som dels har store fordeler av rentefradraget i kombinasjon med fordelingsregelen, og dels ville fått en betydelig skatteøkning dersom rentefradraget ble tatt bort, samt hensynet til utenlandske selskaper kan ha spilt inn. For de utenlandske selskapene har hensynet til skatteavtalene, og særlig avtalen med USA, vært viktig.
Siden de norske petroleumsskattene ble omfattet av skatteavtalen med USA i 1980 og anerkjent som krediterbare skatter, er det lagt betydelig vekt på å bevare den etablerte skatteavtaleordningen for å unngå dobbeltbeskatning. Det vises til avsnitt 7.4.2.2 for en omtale av skatteavtalene.
På grunn av de sterke insentivene til gjeldsfinansiering har Klagenemnda utarbeidet retningslinjer som setter krav til en viss egenkapitalfinansiering i selskapene. Disse retningslinjene har først og fremst betydning for nye selskaper som etablerer virksomhet på sokkelen, og hvor selskapets fremmedkapital er hentet fra et beslektet selskap. Ligningspraksis i tilknytning til slike saker er behandlet i avsnitt 7.2.1.
Med virkning fra og med inntektsåret 1994 ble det gjennom en ny bestemmelse i petroleumsskatteloven § 3 h innført en begrensning i retten til fradrag for finansutgifter når egenkapitalen er lavere enn 20 prosent. I motsetning til retningslinjene vedrørende tynn kapitalisering som er nevnt ovenfor, kommer bestemmelsen til anvendelse også når selskapets fremmedkapital er hentet fra ikke-beslektet selskap. Petroleumsskatteloven § 3 h er drøftet i avsnitt 7.2.2.
I avsnitt 7.2.3 drøftes reglene for fordeling av netto finansielle poster mellom land og sokkelskatteregimet. Dagens regler gir en fordeling av netto finansposter etter nettoinntekten før skatt (alminnelig inntekt) på henholdsvis land og sokkel. Som følge av at avkastningen på sokkelen gjennomgående må antas å være høyere enn i landvirksomhet, vil en for stor del av netto finansposter bli fordelt til sokkelregimet, dvs at staten gjennom skattesystemet må bære en større andel av kostnadene enn staten får av inntektene. Netto finansposter vil stort sett være negativ for alle selskapene, og den gjeldende fordelingsregelen kan derfor medføre en uthuling av skattegrunnlaget på sokkelen ved at utgifter som reelt sett ikke hører hjemme på sokkelen, kommer til fradrag både i særskattegrunnlaget og i grunnlaget for alminnelig inntektsskatt.
De gjeldende fordelingsreglene for netto finansposter er spesielt gunstige i forhold til investeringer i datterselskaper. Disse problemstillingene er drøftet i avsnitt 7.2.4, jf. også kapittel 6.
I avsnitt 7.2.5 drøftes problemstillinger knyttet til aktivering av renter. Når et driftsmiddel - for eksempel en feltinstallasjon - tilvirkes for et selskap, vil selskapet normalt pådra seg renteutgifter (”byggelånsrenter”) i tilvirkningsperioden. Innenfor visse rammer er det i både regnskaps- og skatterettslig sammenheng adgang til å behandle slike renter som en del av driftsmidlets kostpris. Rentene kommer da ikke til fradrag som finansutgifter, men gjennom avskrivninger på driftsmidlet. For sokkelselskapene kan valget mellom utgiftsføring og aktivering gi skattemessige effekter av betydelig økonomisk verdi.
I avsnitt 7.3 redegjøres det for tidligere vurderinger av gjeldende rett på de områdene som er nevnt over. I avsnitt 7.4.1-7.4.4 redegjør vi for mulige løsninger på de problemene som er drøftet i avsnitt 7.2, mens utvalgets forslag er oppsummert i avsnitt 7.5.
7.2 Gjeldende rett
7.2.1 Tynn kapitalisering - ligningspraksis
Spørsmål knyttet til tynn kapitalisering sto sentralt i oljeskattemyndighetenes arbeid fra begynnelsen av 1980-tallet. Begrepet sikter til at egenkapitalen i et selskap kan bli ansett som utilstrekkelig – det vil si ”tynn” – i forhold til den kapitalstrukturen et bestemt selskap ville hatt om det måtte finansiere sin virksomhet ved lån fra uavhengige långivere. Retningslinjene som ble utformet av Klagenemnda, vil fortsatt ha aktualitet for eventuelle nye selskaper som etablerer seg på sokkelen. Spørsmålsstillingen er bare aktuell når selskapets fremmedkapital er hentet fra et beslektet selskap.
Vurderingstemaet, som er forankret i armlengdestandarden i skatteloven § 13-1 (tidligere § 54 første ledd), ble formulert slik av Klagenemnda:
”Skjønnstemaet vil være hvilken kapitalstruktur selskapet måtte antas å ha hatt om det skulle drevet en tilsvarende virksomhet uavhengig av interessefellesskapet. Dette betyr at ligningsmyndighetene vil kunne tilbakeføre til beskatning en så stor del av selskapets konserngjeld at det får den egenkapital som det antas å ville ha hatt, om det hadde vært henvist til å finansiere virksomheten ved kreditt fra en frittstående långiver, på forretningsmessig rimelige og naturlige vilkår. Utgiftsførte gjeldsrenter, eventuelt også disagio, vil kunne tilbakeføres på tilsvarende måte.”
Klagenemnda fant at det ved den skjønnsmessige bedømmelsen i det enkelte tilfellet måtte kunne legges til grunn visse generelle retningslinjer. Det ble tatt utgangspunkt i at virksomhet på sokkelen kan deles i tre relativt klart avgrensede hovedaktiviteter: (1) leting, (2) utbygging og (3) drift. Kredittverdigheten for den enkelte aktiviteten vil være avhengig av forventet inntjening og risiko.
For leteprosjekter foreligger det en betydelig risiko for at det ikke vil bli gjort funn som er kommersielt interessante. Etter Klagenemndas oppfatning ville en uavhengig långiver ikke være villig til å bære den aktuelle risikoen dersom muligheten til avkastning var begrenset til vanlig utlånsrente. For skattemessige formål må derfor slik aktivitet anses fullt ut finansiert med egenkapital. I utbyggingsfasen er situasjonen en annen. Her vil det foreligge en forutsetning om kommersiell drivverdighet, og i de fleste tilfeller en forventning om høy avkastning. Muligheten for en betydelig grad av fremmedfinansiering er derfor til stede, og må antas å øke etter hvert som utbyggingen skrider fram. Klagenemnda la imidlertid til grunn at en normal finansieringsordning ville kreve en viss egenkapitalfinansiering. Klagenemnda fant at et egenkapitalkrav på 20 prosent for utbyggingsfasen sett under ett iallfall vanskelig kunne betegnes som for høyt.
Klagenemndas retningslinjer tar utgangspunkt i kontantstrømmene i det selskapet som vurderes. For et selskap som er kommet i driftsfasen, kan kravet om eksternt tilført egenkapital som følge av leting og utbygging erstattes av netto kontantstrøm fra driften. Klagenemnda sammenfattet retningslinjene slik:
”Hvor et utvinningsselskaps virksomhet på sokkelen er finansiert under medvirkning av andre selskaper innen samme konsern, anses – for skatteformål – leteomkostningene og 20 prosent av selskapets utbyggingsomkostninger, i den utstrekning summen av disse to beløp sammen med driftsomkostningene overstiger selskapets bruttoinntekter for vedkommende år, med tillegg av eventuelt disponibelt overskudd fra tidligere år, å være finansiert gjennom tilskudd til selskapets egenkapital. Denne norm anvendes tilsvarende på den del av selskapets finansielle utgifter som faller på drifts- og letefinansieringen og de 20 prosent av utbyggingsfinansieringen.”
På basis av vurderinger etter disse retningslinjene foretok oljeskattemyndighetene for inntektsårene 1981-1988 omklassifisering fra gjeld til egenkapital av totalt 59 mrd. kroner. Finansutgifter som derved ikke ble tillatt utgiftsført med virkning for beskatningen, utgjorde til sammen 3,3 mrd. kroner. Flere av sakene ble prøvet for retten, uten at det førte til endringer i forhold til ligningsmyndighetenes vurderinger.
I dagens situasjon har Klagenemndas retningslinjer mindre praktisk betydning, fordi de fleste selskapene på sokkelen har betydelige kontantstrømmer fra driften. De senere årene har bare ett selskap vært gjenstand for ligningsmessig fravikelse på grunnlag av tynn kapitalisering. For eventuelle nye aktører på sokkelen må det imidlertid legges til grunn at oljeskattemyndighetenes praksis fra 1980-årene vil være av stor betydning for den skattemessige vurderingen av selskapenes kapitalstruktur.
7.2.2 Skattemessig egenkapitalkrav etter petroleumsskatteloven § 3 h
Med virkning fra og med inntektsåret 1994 ble det gjennom en ny bestemmelse i petroleumsskatteloven § 3 h innført et generelt krav til en egenkapitalfinansiering av utvinningsselskapene på minst 20 prosent av regnskapsmessig totalkapital. Selv om bestemmelsen tar utgangspunkt i regnskapsmessige størrelser, er det bare skattemessige formål som reguleres. Det legges med andre ord ikke selskaps- eller regnskapsrettslige bindinger på egenkapitalen.
I motsetning til retningslinjene vedrørende tynn kapitalisering som er beskrevet ovenfor, kommer bestemmelsen til anvendelse også når selskapets fremmedkapital er hentet fra ikke-beslektet selskap.
Foranledningen til bestemmelsen var at lovendringer i forbindelse med skatte- og regnskapsreformene i 1992 ga selskapene mulighet til økte overføringer til morselskap; delvis gjennom ekstraordinære utbetalinger av fri egenkapital som aksjeutbytte og delvis gjennom fondsemisjon med påfølgende nedskriving av aksjekapitalen. På grunnlag av utvinningsselskapenes regnskaper for 1992 og 1993 ble det anslått at slike ekstraordinære kapitaloverføringer utgjorde 10-12 mrd. kroner disse årene. Disposisjonene ble etterfulgt av økning i rentebærende gjeld. For den alminnelige bedriftsbeskatningen ble det vedtatt regler om korreksjonsskatt ved utdeling av ikke-skattlagt kapital. På grunn av særegenhetene i petroleumsskattesystemet ble det imidlertid ikke ansett ønskelig å gi disse bestemmelsene anvendelse for utvinningsselskapene.
Innholdet i petroleumsskatteloven § 3 h er at selskapene i skattemessig sammenheng må ha en regnskapsmessig egenkapital tilsvarende minst 20 prosent av totalkapitalen. Dersom den faktiske regnskapsmessige egenkapitalandelen er lavere enn dette, skal det skje en forholdsmessig reduksjon av finansutgifter som ellers kunne føres til skattemessig fradrag i sokkelinntekten iht. petroleumsskatteloven § 3 d, jf. nedenfor. Den maksimale effekten av bestemmelsen – ved regnskapsmessig egenkapitalandel på 0 eller lavere – er at det skattemessige fradraget for finansnetto i sokkelinntekten reduseres med 20 prosent.
Eksempel A:
Selskapet har følgende regnskapsmessige balanse:
| Eiendeler 1000 | 900 Rentebærende gjeld |
| 100 Egenkapital |
Egenkapitalandelen utgjør 10 prosent og gjeldsandelen 90 prosent av totalkapitalen. Netto finansutgifter til fradrag i sokkelinntekten reduseres da iht. petroleumsskatteloven § 3 h til 80/90, det vil si med en brøk lik 10/90. Dersom finansutgiftene utgjør 63 (7 prosent av 900), gis det derved bare skattemessig fradrag for 56. Rentefradraget blir med andre ord som om gjelden hadde vært 800.
Det er balanseverdiene ved årsskiftet som legges til grunn ved vurderingen av egenkapitalens størrelse etter § 3 h. For å unngå tilpasninger rundt årsskiftet, for eksempel ved at det tilføres et egenkapitaltilskudd i desember som tilbakebetales etter årsskiftet, er det fastsatt en regel om skattemessig bindingstid for egenkapital inkludert regnskapsmessig overskudd som er tilført i løpet av året. For at denne skal medregnes som egenkapital med virkning for petroleumsskatteloven § 3 h, må den være i behold ved utløpet av det påfølgende inntektsåret.
Bestemmelsen gir en viss mulighet for at gjennomsnittlig egenkapital gjennom året er lavere enn 20 prosent - faktisk ned mot 10 prosent - når flere år ses under ett. Dette kan oppnås ved at egenkapital som er tilført i år 1, utbetales i begynnelsen av år 3, hvoretter det på slutten av år 3 tilføres ny egenkapital som blir tatt ut i begynnelsen av år 5.
Det er de regnskapsmessige verdiene som er avgjørende for om bestemmelsen i petroleumsskatteloven § 3 h kommer til anvendelse. Jo høyere de regnskapsmessige verdiene er, desto større blir den totale balanseverdien, og dermed øker også muligheten for skattemessig fradrag for finansutgifter. Dette innebærer at nye regnskapsregler får betydning for størrelsen av egenkapital som må bindes i et selskap for at avkorting etter § 3 h skal unngås.
Som eksempler på nye regler som må antas å få effekt på sokkelselskapenes balanser, kan nevnes at det fra og med regnskapsåret 1999 foreligger plikt til regnskapsmessig aktivering av renter i byggeperioden for en sokkelinstallasjon, samt at datterselskaper kan verdsettes etter egenkapitalmetoden slik at datters beholdte overskudd øker verdien av datter i mors balanse. Regnskapsregler gir dessuten i noen grad anvisning på skjønnsmessige vurderinger, og dette kan gi muligheter for påvirkning av bedømmelsen etter § 3 h. God regnskapsskikk er også i kontinuerlig utvikling, og i mange tilfeller vil det være vanskelig å fastslå hvor yttergrensene går. Bestemmelsen i § 3 h gir oljeskattemyndighetene både rett og plikt til å etterprøve selskapenes regnskapsmessige vurderinger og disposisjoner selv om disse ellers ikke har direkte betydning for beskatningen. Ved oljeskattemyndighetenes håndheving av § 3 h har det oppstått spørsmål som har krevet betydelig ekstra ressursinnsats. Som eksempler på slike spørsmål kan nevnes beregning av utsatt skatt, plikt til å foreta regnskapsmessige avsetninger til fremtidige fjerningsutgifter, samt regnskapsmessig behandling av vedtak etter petroleumsskatteloven § 10.
Alle regnskapsmessige poster inngår i beregningsgrunnlaget etter § 3 h. Som gjeld regnes derfor også ikke-rentebærende gjeldsposter som for eksempel utsatt skatt og skattegjeld. Det kan i denne sammenheng reises spørsmål ved om avkortingsformelen for renteutgifter som § 3 h gir anvisning på, er hensiktsmessig.
Eksempel B:
Selskapet har følgende regnskapsmessige balanse:
| Eiendeler 1000 | 800 Utsatt skatt |
| 100 Rentebærende gjeld | |
| 100 Egenkapital |
Avkortingsbrøken blir her den samme som i eksempel A, nemlig 10/90. Dersom finansutgiftene utgjør 7 (7 prosent av 100), gis det derved skattemessig fradrag for 6,2.
Det er grunn til å se nærmere på dette eksemplet i forhold til eksempel A ovenfor. I eksempel A var hele gjelden på 900 rentebærende. Avkortingsformelen i petroleumsskatteloven § 3 h fikk da en slik effekt at rentefradraget ble redusert til å tilsvare en gjeld på 800. Bestemmelsen ga med andre ord samme resultat som en regel om at det overhodet ikke innrømmes rentefradrag for den delen av gjelden som overstiger 80 prosent av totalkapitalen. I eksempel A gir derfor bestemmelsen i § 3 h et klart insentiv til egenkapitalfinansiering på minimum 20 prosent, fordi fradragsverdien av lån utover 80 prosent vil være større på eiernes hånd. Denne insentiveffekten reduseres imidlertid gradvis etter hvert som ikke-rentebærende poster utgjør en større del av selskapets gjeld.
I eksempel B utgjør utsatt skatt 80 prosent av totalkapitalen, og det er derfor egentlig ”ikke plass” til rentebærende gjeld. Avkortingsregelen for rentefradraget kunne da forventes å virke slik at det overhodet ikke ble gitt skattemessig fradrag for påløpte renter på den rentebærende gjelden på 100. Imidlertid ser man at avkortingen blir relativt ubetydelig. Dette skyldes at det foretas en tenkt reduksjon av den samlede gjelden – inkludert utsatt skatt – med 10/90 slik at gjelden totalt utgjør 80 prosent av totalkapitalen. I dette eksemplet vil verdien av å få et skattemessig fradrag på 6,2 i særskattepliktig inntekt sannsynligvis være betydelig større enn et fradrag på 7 på eiernes hånd. Bestemmelsen i petroleumsskatteloven § 3 h gir derved ikke insentiv til noen grad av egenkapitalfinansiering. Dette er en situasjon som vil oppstå etter hvert som de etablerte selskapene på sokkelen går over i en høstingsfase. Utsatt skatt og skattegjeld vil da utgjøre en svært stor del av selskapenes balanse, og dette vil begrense hvor mye rentebærende gjeld selskapene kan ha. Samtidig vil det skje en gradvis reduksjon av insentivet til å opprettholde slik egenkapitalandel som følger av § 3 h. Hvor brytningspunktet ligger, vil være avhengig av skattesatsen som gjelder for den beslektede långiveren. Det vises til boks 7.1 nedenfor.
Boks 7.1 Optimal egenkapitalandel
Med en gitt skattesats for beslektet långiver (eventuelt eiers skattesats) kan det beregnes hvilken andel ikke-rentebærende gjeld som representerer brytningspunktet mellom insentiv til henholdsvis økning eller reduksjon av egenkapitalen. I det følgende forutsettes denne skattesatsen å være 28 prosent Det ses bort fra alle andre faktorer som kan påvirke optimalitetsvurderingene. Spørsmålet er hvilken marginaleffekt en endring av egenkapitalandelen vil ha for verdien av skattefradraget. Svaret på dette spørsmålet er avhengig av hvilken egenkapitalandel som er utgangspunktet for beregningen.
Beregninger Oljeskattekontoret har foretatt, viser at med utgangspunkt i en egenkapitalandel på 20 prosent, vil brytningspunktet finnes ved en andel ikke-rentebærende gjeld på ca 29 prosent av totalkapitalen. Dersom ikke-rentebærende gjeld er høyere enn dette, vil det være regningssvarende for selskapets eiere å redusere sokkelselskapets egenkapitalandel. Dersom egenkapitalandelen er ned mot null, finnes brytningspunktet ved en andel ikke-rentebærende gjeld på om lag 45 prosent av totalkapitalen. Dersom ikke-rentebærende gjeld er lavere enn dette, vil det foreligge insentiv til å øke egenkapitalen, mens det vil være regningssvarende å redusere egenkapitalandelen ytterligere dersom ikke-rentebærende gjeld er høyere enn 45 prosent. På basis av de gitte forutsetningene i dette eksemplet kan insentivvirkningene i petroleumsskatteloven § 3 h oppsummeres på følgende måte:
Dersom ikke-rentebærende gjeld utgjør mindre enn om lag 29 prosent av totalkapitalen, foreligger det insentiv til å ha en egenkapitalandel på 20 prosent
Dersom ikke-rentebærende gjeld utgjør mer enn om lag 45 prosent av totalkapitalen, foreligger det ikke insentiv til å opprettholde noen egenkapital overhodet.
Dersom ikke-rentebærende gjeld utgjør mellom 29 prosent og 45 prosent, finnes den optimale egenkapitalandelen på en glideskala mellom 20 prosent og 0.
Nedenfor i avsnitt 7.2.3 vil det bli beskrevet hvordan finansposter fordeles mellom land og sokkel iht. petroleumsskatteloven § 3 d. I avsnitt 7.2.4 vil det bli vist at sokkelselskapene i stor grad oppnår fradrag i sokkelinntekt for finansutgifter knyttet til investeringer som ikke er sokkelrelaterte. Denne problemstillingen kan vinkles på forskjellige måter, og kan også betraktes som en svakhet ved petroleumsskatteloven § 3 h. Når det ses bort fra problemet mht. ikke-rentebærende gjeld som er beskrevet i forrige avsnitt, sikrer bestemmelsen at sokkelselskapene har insentiv til en egenkapitalfinansiering på minimum 20 prosent. Imidlertid finnes det ingen begrensninger for hva som kan inngå i sokkelselskapenes balanse ved vurderingen etter § 3 h. Investeringer på land eller i utlandet øker aktivasiden og gir rom for en økning av gjelden på inntil 80 prosent av investeringen. Det kan registreres at det blant selskaper som har en egenkapitalandel som er godt over 20 prosent, finnes tilfeller der gjelden i stor grad er ikke-sokkelrelatert. Dersom man legger til grunn en snever definisjon av hensikten med § 3 h, kan man si at denne er oppnådd fordi selskapene har en akseptabel egenkapitalandel. Imidlertid har ikke egenkapitalspørsmålet skattemessig betydning på annen måte enn gjennom fradragsretten for finansutgifter. Den bakenforliggende hensikten med § 3 h var å etablere begrensninger for selskapenes rentebærende gjeld fordi rentefradraget reduserer særskattegrunnlaget. I forhold til denne målsettingen kan det hevdes at bestemmelsen ikke representerer et effektivt virkemiddel. Når ikke-sokkelrelaterte investeringer inngår i balansen, vil gjelden, som gir rentefradrag i særskattegrunnlaget, i realiteten kunne tilsvare mer enn 100 prosent av sokkelinvesteringene.
7.2.3 Fordeling av finansposter mellom sokkel og land
For de fleste sokkelselskapene skal en del av den samlede inntekten beskattes på land. Dette gjelder selv om selskapet bare driver utvinningsvirksomhet, for eksempel for avkastning av fast eiendom eller anlegg. I ligningspraksis er det etablert sjablonregler for beregning av avkastning av eget kontorbygg. Enkelte selskaper driver imidlertid en til dels omfattende landbasert industrivirksomhet. Også avkastning fra virksomhet i utlandet beskattes som landinntekt. Dette gir grunn til å se nærmere på hvordan finansposter fordeles mellom de to skatteregimene selskapet er undergitt. Den generelle regelen for fordeling av inntekter og utgifter når selskapet har virksomhet både på land og sokkel, er iht. petroleumsskatteforskriften § 12 at inntekten fra utvinningsvirksomhet skal ansettes som om denne var drevet av et frittstående foretak. For finansielle utgifter, typisk gjeldsrenter, er det imidlertid skattelovens alminnelige forutsetning at slike utgifter ikke kan henføres til noen bestemt inntektskilde, men må regnes å være pådratt til skattyters samlede kapitalfundament. Fordelingen av slike utgifter skjer derfor sjablonmessig.
For utvinningsselskapene følger det av petroleumsskatteloven § 3 d annet ledd at netto finansposter skal fordeles mellom sokkelen og landkommunene i samsvar med skatteloven § 6-90 første ledd (tidligere § 45 tredje ledd). Denne bestemmelsen gir anvisning på en forholdsmessig fordeling etter størrelsen av nettoinntekten i hver kommune. Dette kan karakteriseres som en fordeling etter bæreevne. Innenfor landskatteregimet har fordelingsnøkkelen gitt en praktikabel og antatt rimelig fordeling av rentefradrag mellom kommuner. For selskaper med bare landvirksomhet, har fordelingsregelen ikke hatt noen økonomisk betydning fordi skatten er den samme for all landvirksomhet. Når den samme regelen anvendes ved fordeling mellom sokkel og land/utland, trekker den i realiteten grensen mellom to ulike skattesystemer og får en økonomisk effekt som kan være betydelig.
Beløpet som skal fordeles mellom sokkel og land etter petroleumsskatteloven § 3 d, er en nettostørrelse. Denne fremkommer ved motregning av selskapets finansielle utgifter og inntekter – i det vesentlige renter og gevinster/tap som følge av valutasvingninger - og for øvrig av poster som ikke kan henføres til noen bestemt inntektskilde. 1 Inntil en lovendring av 11. juni 1982 var lovens system det samme som i den alminnelige skattelovgivningen, nemlig allokering til kontorkommunen av finansinntekter og forholdsmessig fordeling bare av finansutgifter. For sokkelselskapene ga dette et klart insitament til lånefinansiering av finansaktiva, og loven ble derfor endret med virkning fra og med inntektsåret 1982.
Netto finansposter vil som hovedregel være en negativ størrelse. Delvis skyldes dette det generelle insentivet som petroleumsskattesystemet gir til høy grad av gjeldsfinansiering, jf. ovenfor i avsnitt 7.2.2. Som det vil bli redegjort for nedenfor, bidrar imidlertid også fordelingsregelen i § 3 d i seg selv til å gi insentiver til gjeldsfinansiering av selskapets investeringer. Unntaksvis kan det tenkes at netto finansposter er positiv på grunn av gevinster på valutaposter. I slike tilfeller vil det til sokkelen bli tilordnet den samme andelen av inntekten som om nettoposten hadde vært negativ.
Netto finansposter til fordeling omfatter ikke utbytte fra andre selskaper, jf. petroleumskatteforskriften § 13 annet ledd. Sokkelselskapets inntekt i form av aksjeutbytte fra andre selskaper blir derved beskattet som landinntekt i selskapets kontorkommune. Lånefinansiering av aksjeinvesteringer kan derved fortsatt være skattemessig svært lønnsomt. Også gevinst eller tap ved salg av aksjer vil som hovedregel bli henført til kontorkommunen. Unntak fra dette gjelder dersom aksjene anses å ha hatt en særlig og nær tilknytning til utvinningsvirksomhet. Gevinst eller tap vil da bli henført til sokkelen.
Den forholdsmessige fordelingen av finansnetto mellom sokkelen og land skjer på grunnlag av selskapets alminnelige inntekt det aktuelle inntektsåret, det vil si før skatt og før fradrag for friinntekt for sokkelkommunens vedkommende.
Eksempel C:
Selskapet har følgende resultatposter:
| Renteutgifter 800 | 3000 Inntekt sokkel |
| 2000 Inntekt land |
Rentefordeling mellom sokkel og land skjer på følgende måte:
Til sokkel: renter 800 * 3000/5000 = 480. Skattbar inntekt sokkel: 3000 - 480 = 2520
Til land: renter 800 * 2000/5000 = 320. Skattbar inntekt land: 2000 - 320 = 1680.
Som nevnt ovenfor, innebærer den generelle regelen for utgiftsallokering mellom sokkel og land at utvinningsinntekten skal ansettes som om denne virksomheten var drevet av et frittstående foretak. Det kan hevdes at den særlige regelen i petroleumsskatteloven § 3 d for fordeling av finansposter gir et resultat som ikke er i godt samsvar med dette generelle utgangspunktet.
Eksempel D:
Selskap X driver bare sokkelvirksomhet og har følgende balanse:
| Sokkelinvestering 10000 | 8000 Gjeld |
| 2000 Egenkapital |
og følgende resultat:
| Gjeldsrenter 400 | 3000 Inntekt sokkel |
| Skattbar inntekt 2600 |
Selskap Y har en sokkelvirksomhet som nøyaktig tilsvarer selskap X’, men har i tillegg gjort en betydelig investering på land. Ys balanse er slik:
| Sokkelinvest. 10000 | 8000 Gjeld sokkelinvest. |
| Landinvest. 10000 | 8000 Gjeld landinvest. |
| 4000 Egenkapital |
Ys resultat er slik:
| Renter sokkelinvest. 400 | 3000 Inntekt sokkel |
| Renter landinvest. 400 | 2000 Inntekt land |
| Skattbar inntekt 4200 |
Som vist ovenfor i eksempel C, vil rentene iht § 3 d bli fordelt med henholdsvis 480 til sokkel og 320 til land. Skattbar sokkelinntekt blir 2520, sammenlignet med 2600 for selskap X. Skattbar landinntekt blir 1680, sammenliknet med 1600 dersom landvirksomheten ble drevet av et selskap uten sokkelvirksomhet. Det skjer med andre ord flytting av en skattbar inntekt på 80 fra sokkel til land. Skattebesparelsen utgjør 50 prosent av 80 = 40.
Når man i eksemplet ovenfor sammenligner selskap X med selskap Y, ser man at selskap Y gjennom sin landinvestering har oppnådd en økning i renteutgifter til fradrag i sokkelinntekten – det vil si en reduksjon av skattbar sokkelinntekt som utvilsomt ikke har sammenheng med sokkelvirksomheten. Skjevdelingen av renter mellom sokkel og land oppstår fordi inntekten (før skatt) fra sokkelvirksomhet i eksemplet er høyere enn fra landvirksomhet selv om investeringene i virksomhetene er like høye. Dette må anses som en realistisk forutsetning, og avkastningsforskjellene vil ofte være større i virkeligheten enn i dette eksemplet.
Skjevdelingseffekten er neppe noe særlig problem i tilfeller der den landskattepliktige inntekten bare gjelder beregnet avkastning av eget kontorbygg eller lignende. Disse inntektsbeløpene vil være relativt ubetydelige i forhold til sokkelinntekten. Dersom imidlertid landvirksomheten er en ordinær industri- eller varehandelvirksomhet, gir fordelingsreglene en skattefordel som er uheldig av flere grunner. Ved at utgifter som reelt ikke har sammenheng med sokkelvirksomheten, kommer til fradrag i inntekt fra denne, skjer det en uthuling av særskattegrunnlaget som i enkelte tilfeller kan ha stor provenymessig betydning, og som dessuten prinsipielt ikke samsvarer med det generelle utgangspunktet for utgiftsallokering, jf. petroleumsskatteforskriften § 12. Skattefordelen gir også sokkelselskaper en uheldig konkurransemessig fordel for landinvesteringer og investeringer i utlandet i forhold til alminnelige landbaserte selskaper. Fordelingsreglene gjør at investeringer på land for særskattepliktige selskaper kan være lønnsomme etter skatt selv om de ikke gir lønnsomhet før skatt, og dette kan gi investeringsbeslutninger som er samfunnsmessig uheldige. Med et eksempel: Utvikling av dagligvarekonseptet i oljeselskapenes bensinstasjonskjeder kan delvis ha blitt lånefinansiert med fradrag mot sokkelinntekter, og dermed har disse investeringene kunnet bli relativt konkurransedyktige i forhold til ordinær virksomhet i varehandelen.
7.2.4 Investering gjennom datterselskap
I de senere årene har man sett en tiltagende tendens til at sokkelselskaper – i særlig grad de norskbaserte – driver virksomhet i Norge eller i utlandet gjennom datterselskaper. Det har i enkelte tilfeller dreiet seg om betydelige investeringer. For de norskbaserte selskapene sett under ett foretas nær halvparten av nyinvesteringene i utlandet, og investeringer i datterselskaper utgjør inntil 30 prosent av selskapenes totale eiendeler. Sokkelselskapenes samlede bokførte verdi av datterselskaper utgjorde 33 mrd. kroner pr. 31.12.1996 og 55 mrd. kroner pr. 31.12.1998.
Oljeskattekontoret har gjennomgått kapitalstrukturen i sokkelselskapenes datterselskaper. Analysen viser at datterselskapene i de aller fleste tilfellene har en langt høyere egenkapitalandel enn morselskapet, og at denne for flere av selskapene ligger opp mot 100 prosent. For disse selskapene ser man med andre ord en tendens som er motsatt av det som gjelder for morselskapet på sokkelen, nemlig i retning av ”tykk kapitalisering”. Finansieringen av selskapet har ofte skjedd ved låneopptak i morselskapet. Renteutgiftene inngår i sokkelselskapets finansnetto, og kommer derved som hovedregel til fradrag i sokkelinntekten.
Eksempel E:
Norsk Sokkelselskap AS har følgende balanse:
| Sokkelinvestering 1000 | 800 Gjeld |
| 200 Egenkapital |
Konsernet beslutter å investere 400 i virksomhet på land, i Norsk landselskap AS. For enkelhets skyld forutsettes investeringen finansiert med 20 prosent egenkapital (det vil si 80) og 80 prosent gjeld (det vil si 320). Videre forutsettes rentesatsen å være 7 prosent.
Investeringen kan foretas gjennom et søsterselskap av sokkelselskapet etter modellen i figur 7.1.

Figur 7-1 Søsterselskapsmodell
Gjeldsrentene kommer til fradrag i landskattepliktig inntekt. Økte rentekostnader vil være lik: 400 * 80% * 7% = 22,4. Konsernets sparte skatt vil være 22,4 * 28% = 6,27.
Alternativt kan investeringen plasseres som et datterselskap av Norsk Sokkelselskap AS etter modellen i figur 7.2.

Figur 7-2 Datterselskapsmodell
Dersom finansieringen skjer gjennom Norsk Sokkelselskap AS, får selskapet følgende balanse:
| Anleggsmidler sokkel 1 000 | 1 120 Gjeld |
| Investering i datterselskap 400 | 280 Egenkapital |
Økte rentekostnader vil være det samme som ovenfor, det vil si 400 * 80% * 7prosent = 22,4. Spørsmålet blir i hvilket grunnlag denne økte rentekostnaden blir fratrukket. Med dagens system blir rentekostnader fordelt mellom sokkel og land i forhold til netto inntekt. Forutsatt at det ikke oppstår landskattepliktig inntekt gjennom utbytte eller gevinst ved salg av datterselskapet, vil rentekostnadene i sin helhet komme til fradrag i særskattegrunnlaget. Spart skatt for konsernet blir da: 400 * 80% * 7% * 78% = 17,47. Skattedifferansen mellom de to eksemplene utgjør 11,2(17,47 – 6,27) og kan forklares som: Økt rentekostnad (22,4) * særskattesatsen (50%).
Som det går frem av figurene, er problemstillingen tilsvarende dersom det dreier seg om investeringer i utlandet, gjennom Utland AS.
Boks 7.2 Samlet verdi av finansieringsfordelen (gjeldssubsidiet)
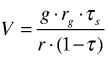
Eksempel E viser bare verdien av gjeldssubsidiet i ett år. Samme fordel kan oppnås i årene framover så lenge forutsetningene ellers er oppfylt. Vi forutsetter en investering på 1 (krone) og et lån på 80 prosent av dette beløpet i årene fra t=1 til t=n. Verdien av datterselskapet forutsettes ikke endret, og lånet opprettholdes på 80 prosent av kapitalinnskuddet. Vi får da følgende uttrykk for nåverdien av gjeldssubsidiet ved investeringen:

Figur 7-1
hvor g er gjeldsandelen, rg er gjeldsrenten, τ er skattesatsen for alminnelig inntekt, r(1-τ)er kapitalkostnaden etter skatt på alminnelig inntekt (diskonteringsrenten) og τs er særskatten. Fremtidige fordeler diskonteres til nåverdi med diskonteringsrenten.
Når n går mot uendelig, altså når lånet er "evigvarende", går dette uttrykket mot:

Figur 7-2
Hvis lånet beholdes «uendelig lenge» er nåverdien av gjeldssubsidiet den årlige fordelen dividert med diskonteringsrenten. Dersom fradraget anses som sikkert vil diskonteringsrenten settes til risikofri rente etter skatt. Er gjeldsrenten 7 prosent og risikofri rente 6 prosent, vil gjeldssubsidiet svare til 65 prosent av investeringsutgiften. Bruker selskapet sin risikojusterte kapitalkostnad etter skatt (forutsetningsvis 7,2 prosent) til diskontering, blir verdien av gjeldssubsidiet 38 prosent av investeringsbeløpet. Hvis lånet beholdes i 25 år, er verdien om lag 42 prosent eller 32 prosent av investeringsbeløpet avhengig av om man diskonterer med risikofri eller risikojustert rente. Vi har hele tiden forutsatt at alle netto finansposter fordeles til sokkel.
Vi skal nå vise hva gjeldssubsidiet har å si for marginale realavkastningskrav når et sokkelselskap investerer i et datterselskap.
Vi ser på investeringen i datterselskapet som en "evigvarende" plassering. Sokkelselskapet finansierer datterselskapet med kapitalinnskudd, og finansierer så mye som mulig av kapitalinnskuddet med gjeld i sokkelselskapet. Siden aksjeinvesteringen ikke genererer utsatt skatt og heller ikke andre ikke-rentebærende gjeldsposter av betydning i sokkelselskapet, kan vi forutsette at det gis fradrag for renter tilsvarende 80 prosent av kapitalinnskuddet. Gjeldssubsidiet utgjør verdien av å kunne trekke disse renteutgiftene fra mot særskattegrunnlaget uten at tilsvarende inntekt kommer til beskatning i særskatteregimet. Vi forutsetter som over at alle netto finansposter blir fordelt til sokkel, med andre ord at det ikke er nettoinntekt på land, men at inntektene i datterselskapet skattlegges løpende med en skattesats som tilsvarer skatt på alminnelig inntekt i Norge, 28 prosent.
For sokkelselskapet er kravet til avkastning ved investeringen i datterselskapet gitt ved avkastningen på alternative plasseringer (kapitalkostnaden)etter 28 prosent skatt. Formelen for det marginale realavkastningskravet før skatt (jf. vedlegg 4) for investeringen i datterselskapet blir, når vi ser bort fra kapitalslit siden det er en aksjeinvestering:

Figur 7-3
UG er gjeldssubsidiet som følger av gjeldsrentefradraget, π er inflasjonen, τ er skattesatsen for alminnelig inntekt og ρ er selskapets kapitalkostnad etter skatt, gitt ved avkastningen etter skatt på alternative plasseringer med tilsvarende risiko. UG er gitt ved uttrykket

Figur 7-4

Figur 7-5
,
som over, avhengig av om selskapet diskonterer den finansielle merverdien knyttet til gjeldsfinansieringen med det risikojusterte avkastningskravet ρ eller den risikofrie renten ( r) etter skatt. g er gjeldsandelen, rg er lånerenten og τs er særskattesatsen.
Setter vi (2) og (2') inn i (1), får vi:

Figur 7-7

Figur 7-8
Vi ser at det marginale realavkastningskravet for investeringen i datterselskapet er lik det reelle avkastningskravet før skatt på alminnelig inntekt redusert med effekten av gjeldssubsidiet, der verdien av subsidiet avhenger av hvilken diskonteringsrente selskapet benytter for den sparte særskatten knyttet til rentefradraget. Dersom vi forutsetter at det er 2 prosent inflasjon, selskapets avkastningskrav ( ρ) er 7,2 prosent etter skatt, gjeldsandelen ( g) er 80 prosent og lånerenten ( rg) er 7 prosent, reduserer gjeldssubsidiet det marginale realavkastningskravet før skatt til 4,3 prosent når verdien av gjeldssubsidiet diskonteres med selskapets avkastningskrav. Med en risikofri rente etter skatt på 4,3 prosent som diskonteringsrente, går det marginale realavkastningskravet ned til 2,5 prosent. Det kan altså være lønnsomt for sokkelselskapet å investere i datterselskap selv om investeringens avkastning før skatt er 3-5 prosentpoeng lavere pr. år enn for investeringer som ikke får gjeldssubsidier.
Investeringer i landvirksomhet som på marginen er ulønnsomme, det vil si ikke tilfredsstiller selskapenes vanlige krav til avkastning, kan med andre ord være lønnsomme etter skatt når selskapene tar hensyn til at gjeldsrentene kan trekkes fra i særskattegrunnlaget
Eksemplene viser at de skattemessige rammebetingelsene avhenger av hvilken organisasjonsform konsernet velger. Ved å organisere land- eller utenlandsvirksomheten som et søsterselskap av sokkelselskapet, oppnås det ikke mulighet for å føre konsernets økte renteutgifter til fradrag i sokkelinntekt. Skattefordelen ved å organisere som datterselskap kan derimot være meget betydelig. Fradraget for renter i særskattegrunnlaget kombinert med rentefordelingsregelen kan gi en skattefordel på 3-5 prosent av investeringen hvert år.
I eksemplene er det forutsatt at det ikke oppstår landskattepliktig inntekt gjennom aksjebesittelsen. Dette anses som en realistisk forutsetning. Erfaringen hittil viser at sokkelselskapene bare i begrenset grad mottar aksjeutbytte fra sine land- eller utenlandsinvesteringer. Det er også et moment at morselskapet selv bestemmer når avkastningen skal tas ut. Dette kan selskapene i noen grad utnytte slik at landinntekten økes med utbytte fra datterselskap i år da finansnetto er positiv. I eksemplene er det ikke regnet med at bokført verdi av datterselskapet kan øke som følge av at egenkapitalmetoden brukes ved verdsettelsen. Dette gir enda større mulighet til subsidiert gjeld i sokkelselskapet. På den annen side vil inntekt på land (før investering i datterselskap) føre til at ikke alle renteutgifter kan føres til sokkelen.
7.2.5 Aktivering av renteutgifter
Når et driftsmiddel, for eksempel en feltinstallasjon, tilvirkes for et selskap, vil selskapet normalt pådra seg renteutgifter (”byggelånsrenter”) i tilvirkningsperioden. Innenfor visse rammer er det i både regnskaps- og skatterettslig sammenheng adgang til å behandle slike renter som en del av driftsmidlets kostpris. Rentene kommer da ikke til fradrag som finansutgifter, men gjennom avskrivninger på driftsmidlet.
For sokkelselskapene kan valget mellom utgiftsføring og aktivering gi skattemessige effekter av betydelig økonomisk verdi. Oppsummeringsvis oppstår effektene på følgende måte:
Renter som aktiveres med virkning for beskatningen, inngår i grunnlaget for friinntekt.
Renter som aktiveres med virkning for beskatningen, unndrar seg fordeling mellom sokkel og land etter petroleumsskatteloven § 3 d.
Renter som aktiveres regnskapsmessig, øker totalkapitalen i selskapet og derved også gjeldskapasiteten etter petroleumsskatteloven § 3 h.
Hvor store de skattemessige effektene kan bli, vil avhenge av omfanget av henholdsvis den regnskapsmessige og den skattemessige aktiveringsadgangen. Det foreligger en viss usikkerhet mht. rettstilstanden på disse områdene. Ved vurderingen av behovet for en ny lovregulering av aktiveringsspørsmålet for sokkelselskapene, tar utvalget utgangspunkt i den rettsoppfatningen som anføres av selskapene.
Denne innebærer at det foreligger adgang til regnskapsmessig aktivering som om investeringen var fullt ut lånefinansiert, og at den skattemessige aktiveringsadgangen korresponderer med den regnskapsmessige. Dette gjelder selv om det ikke skulle være foretatt noe nytt låneopptak, og de aktuelle lånene skriver seg fra tidligere investeringer eller virksomhet.
Renter som aktiveres, er å anse som en investering. Ved aktivering av renter som investering i sokkeldriftsmiddel, vil disse komme fullt ut til fradrag i sokkelinntekt gjennom avskrivninger på driftsmidlet. For selskaper som er i skatteposisjon, er det imidlertid en skattemessig ulempe at det derved skjer en utsatt periodisering av utgiftene i forhold til om rentene utgiftsføres direkte. På den annen side oppstår det en skattemessig fordel gjennom retten til friinntekt. Renteutgifter som skal inngå i finansnetto til fordeling mellom sokkel og land etter petroleumsskatteloven § 3 d, jf. ovenfor i avsnitt 7.2.3, er en residualstørrelse som fremkommer som differansen mellom totale og aktiverte renteutgifter.
Eksempel F:
Selskapet har følgende balanse:
| Anleggsmidler 1000 | 800 Gjeld |
| Anl. under bygging 500 | 700 Egenkapital |
Gjelden på 800 er et generelt lån. Lånets gjennomsnittlige rente er 7 prosent, og årets renteutgift utgjør 56. Selskapet velger maksimal aktivering av renter på anleggsmidlene under bygging.
Dersom det forutsettes at 300 av anleggsmidlene under bygging er investert forut for inneværende år, kan det aktiveres renter på 300 * 7% = 21 for denne delen av investeringen. De resterende 200 forutsettes investert jevnt gjennom inneværende år, og gir da rett til aktivering av 100 * 7% = 7. Totalt kan det da i år aktiveres 28 av årets renteutgift på 56. Selskapets balanse blir da slik:
| Anleggsmidler 1000 | 800 Gjeld |
| Anl. under bygging 528 | 728 Egenkapital |
De resterende 28 av årets renteutgifter utgiftsføres og fordeles mellom land og sokkel etter petroleumsskatteloven § 3 d.
Aktiveringsadgang som vist i dette eksemplet vil – på grunnlag av de forutsetninger mht. gjeldende rett som er beskrevet ovenfor – foreligge selv om det ikke er foretatt noe nytt låneopptrekk, og gjelden på 800 har vært uforandret gjennom hele utbyggingsperioden. Den vil også foreligge selv om anleggsmidlene på 1000 som gjelden opprinnelig ble tatt opp for å finansiere, ikke har tilknytning til sokkelen, men for eksempel er en aksjepost.
Hva som anses som den mest fordelaktige behandlingsmåten for det enkelte selskapet, vil avhenge av nåværende og framtidig skatteposisjon, diskonteringsrente/avkastningskrav samt den relative størrelsen på landinntekten. Det er ikke tvil om at det i enkelte tilfeller kan oppnås betydelige skattebesparelser gjennom aktivering. Besparelsen oppstår dels direkte, ved at fordelen av friinntekten overstiger ulempen ved utsatt fradrag. Dette vil i særlig grad være tilfelle for selskaper som ikke er i full skatteposisjon. Besparelsen kan imidlertid også være av indirekte art, ved at aktiverte renteutgifter ikke inngår i finansnetto som skal fordeles etter § 3 d. Dette kan det dras spesielt stor nytte av i år der forholdet mellom land- og sokkelinntekten avviker fra det normale, for eksempel fordi oljeprisen har vært lav eller landinntekten høy pga. mottatt aksjeutbytte. Et eksempel som er hentet fra et konkret tilfelle, kan illustrere denne indirekte effekten:
Eksempel G:
Et selskap har aktivert sine samlede finansutgifter på 600 mill. kroner. Dette året var selskapets landinntekt noe høyere enn vanlig, 200 mill. kroner. Sokkelinntekten var imidlertid uvanlig lav, 500 mill. kroner. Etter aktivering kan selskapets skattepliktige inntekt beregnes slik:
| (tall i mill. kroner) | Sokkel | Land | Sum |
|---|---|---|---|
| Inntekt | 500 | 200 | 700 |
| Avskr. på aktiverte renter | -100 | 0 | -100 |
| Inntekt før fordeling | 400 | 200 | 600 |
| Fordeling av finans | 0 | 0 | 0 |
| Skattepliktig inntekt | 400 | 200 | 600 |
Dersom selskapet ikke hadde aktivert rentene, ville disse blitt fordelt iht. petroleumsskatteloven § 3 d med følgende resultat:
| (tall i mill. kroner) | Sokkel | Land | Sum |
|---|---|---|---|
| Inntekt | 500 | 200 | 700 |
| Fordeling av finans | -429 | -171 | -600 |
| Skattepliktig inntekt | 71 | 29 | 100 |
Som det går fram, oppnår selskapet gjennom aktiveringen at om lag 170 mill. kroner av rentefradraget flyttes fra land til sokkel.
Som antydet i eksemplet ovenfor, er dette neppe representativt. Vanligvis vil landinntekten for de fleste oljeselskaper være svært liten i forhold til sokkelinntekten. I slike tilfeller vil den indirekte effekten av aktiveringen som følger av fordelingsreglene i § 3 d være av relativt liten betydning, siden hoveddelen av rentekostnadene uansett ville blitt fordelt til sokkelen. Eksemplet illustrerer imidlertid at aktiveringsadgangen kan utnyttes med stor økonomisk effekt i år da inntektsforholdene ikke er som vanlig.
Utvalget vil bemerke at det er ønskelig at det ikke i unødvendig grad etableres klassifiseringsforskjeller mellom finans- og skatteregnskapet. Når det etter regnskapsloven er en ufravikelig regel at renter i byggeperioden skal anses som investering, er det i utgangspunktet naturlig at en slik betraktningsmåte tillates også på skatterettens område. Problemet i forhold til sokkelbeskatningen er at en beregningsmåte som er tillatt i regnskapsmessig sammenheng, fører til at utgifter som reelt sett ikke har sammenheng med sokkelvirksomheten, kommer til fradrag i inntekter fra denne. Problemet er for så vidt det samme som er beskrevet ovenfor i avsnitt 7.2.3 og 7.2.4, nemlig at det skjer en uthuling av særskattegrunnlaget.
7.3 Tidligere vurderinger av gjeldende rett
Med unntak for den lovendringen som fant sted i 1982, jf. ovenfor i avsnitt 7.2.3, har lovens system for skattemessig behandling av finansposter vært uendret siden petroleumsskatteloven ble vedtatt i 1975. Allerede i forarbeidene til loven, Ot.prp. nr. 26 (1974-75), er det påpekt at når et selskap driver virksomhet både på sokkel og land, vil bestemmelsen kunne føre til en rentefordeling som ikke er i samsvar med det underliggende forhold bak låneopptaket. Departementet viste imidlertid til at den foreslåtte regelen om forholdsmessig fordeling kunne være så vel til gunst som til ugunst for selskapene. Av hensyn til ligningsmyndighetenes håndhevelse av regelverket, avviste departementet et forslag om å tillate fradrag i særskattegrunnlaget for renter som etter en konkret vurdering kunne anses å være pådratt ved utvinningsvirksomhet.
Ved revisjonen av petroleumsskatteloven i 1980 ble det overveiet ulike former for begrensning i fradragsordningen for gjeldsrenter, blant annet fordi enkelte selskaper ble ansett å ha en unaturlig lav egenkapital og for å stimulere til økt kostnadsbevissthet i selskapene. Av Ot. prp. nr. 37 (1979-80) går det frem at departementet forut for proposisjonen hadde tatt opp spørsmål om å avskjære rentefradrag i særskattegrunnlaget. Etter en vurdering av selskapenes synspunkter på denne løsningen, valgte departementet imidlertid å arbeide videre med andre muligheter for regulering av rentefradraget, herunder å begrense dette til for eksempel 70 prosent av driftsmidlenes kostpris etter fradrag for avskrivninger. Ved finanskomiteens behandling av proposisjonen, jf. Innst. O. nr. 64 (1979-80), ble departementet oppfordret til også å vurdere andre alternativer, for eksempel å stille krav om en tilfredsstillende egenkapital direkte til selskapet.
Finanskomiteen tok også opp fordelingsproblemene i Innst. O. nr. 1 (1984-85). Komiteen understreket behovet for avklaring på dette området og ba departementet gjøre det som var mulig for å fremskynde arbeidet.
I Ot. prp. nr. 3 (1986-87) pekte departementet på at de selskapsrettslige reglene om reservefond hadde ført til at mange utvinningsselskaper hadde bygget opp en relativt høy egenkapital. Behovet for å stimulere selskapenes kostnadsbevissthet ble ansett ivaretatt ved at det i proposisjonen ble foreslått at friinntekten skulle falle bort og erstattes med en produksjonsgodtgjørelse. Av disse grunner – og hensett til den sterke motstanden fra selskapene – ble det ikke fremsatt forslag om å fjerne retten til rentefradrag i særskattegrunnlaget. Imidlertid forelå det fortsatt behov for å vurdere det eksisterende regelverket. En endring av organisasjonsmønsteret i selskapene ville kunne avbøte hovedtyngden av fordelingsproblemene. En slik modell var foreslått av en arbeidsgruppe i 1986, men selskapene hadde gått klart imot et slikt selskapsrettslig skille. Departementet ville arbeide videre med forskjellige løsningsmodeller, både basert på endringer i selskapenes organisasjonsmønster og med utgangspunkt i å stille skattemessige krav til selskapenes egenkapitalandel.
Også ved skattereformen i 1992 ble det pekt på at de gjeldende reglene førte til at staten gjennom skattesystemet måtte bære en større andel av kostnadene enn staten tok av inntektene, jf. Ot. prp. nr. 12 (1991-92). Reduksjonen av alminnelig selskapsskatt og den korresponderende økningen av særskatten ville forsterke de uheldige effektene. Departementet hadde derfor under vurdering en endring av fordelingsregelen slik at finansielle poster ble fordelt mellom sokkel og land på grunnlag av formuesverdier etter fradrag for skattemessige avskrivninger.
Under arbeidet med petroleumsskatteomleggingen i 1992 ble det lagt til grunn at de nye skattereglene ikke i vesentlig grad ville føre til endringer av selskapenes kapitalstruktur. Imidlertid viste det seg at selskapene foretok betydelige utdelinger av egenkapital til morselskaper i utlandet og derved økte gjeldsgraden. Problemet ble omtalt i flere dokumenter til Stortinget. I brev av 23. november 1993 til oljeselskapene og deres interesseorganisasjoner skisserte departementet mulige endringer i petroleumsskatteloven, samt overgangsordninger. Hovedelementet i skissen var å fjerne finansielle inntekter og utgifter fra grunnlaget for særskatt, eventuelt i kombinasjon med lempningstiltak. Industriens hovedinnvendinger til skissen var at en slik endring ville innebære en vesentlig systemomlegging med skatteskjerpende konsekvenser, herunder med risiko for dobbeltbeskatning. På bakgrunn av disse innvendingene valgte departementet ikke å arbeide videre med dette løsningsalternativet. I stedet ble det i Ot. prp. nr. 12 (1994-95) fremsatt forslag om å sette skattemessig krav til minste egenkapital for selskaper med særskattepliktig virksomhet, hvoretter den nåværende bestemmelsen i petroleumsskatteloven § 3 h ble vedtatt.
7.4 Utvalgets vurderinger
7.4.1 Generelt
Fra forvaltnings- og forskerhold er det gjennom flere år påpekt at det någjeldende regelverket for skattemessig behandling av finansposter medfører finansielle og realøkonomiske vridninger og uthuler skattegrunnlaget i petroleumsvirksomheten. Det er utvalgets oppfatning at de negative effektene av dagens system sett under ett er så betydelige at systemet ikke kan anses som bærekraftig, særlig ikke når det tas hensyn til det betydelige omfanget av annen aktivitet i sokkelselskapene og forventningene om ytterligere investeringer, spesielt utenlands.
Vridningseffektene er delvis av finansiell art, ved at det i selskapenes finansieringsbeslutninger vil bli foretrukket gjeld fremfor egenkapital. De realøkonomiske vridningene er også betydelige. Investeringsbeslutningene må antas å bli påvirket slik at den samfunnsøkonomiske totalavkastningen ikke blir maksimert. Subsidieringen gjennom rentefradraget kan føre til at sokkelselskapenes oppkjøp i utlandet eller på fastlandet øker i omfang. Regelverket kan, som vist i kapittel 6, gi samfunnsøkonomisk ulønnsomme investeringer fordi det kan oppnås lønnsomhet etter skatt uten at det foreligger lønnsomhet før skatt.
Nedenfor redegjør utvalget for enkelte mulige løsninger på de problemene som er omtalt i avsnitt 7.2. Når det gjelder vurderingen av adgangen til aktivering av renteutgifter, vil denne avhenge av hva som foreslås når det gjelder rentefradraget og fordeling av netto finansposter mellom land og sokkel. Utvalgets vurdering av aktiveringsadgangen for renter er derfor omtalt under de enkelte punktene nedenfor.
7.4.2 Fradraget for netto finansposter i særskattegrunnlaget
7.4.2.1 Omlegging av fradraget for finansielle poster i særskattegrunnlaget
Som beskrevet ovenfor, er det adgangen til skattemessig fradrag i særskattegrunnlaget som er årsaken til de uheldige vridningene som følger av de någjeldende reglene for skattemessig behandling av finansposter. En nærliggende løsning, som også har vært vurdert flere ganger, vil da være å unnta finansielle poster fra særskattegrunnlaget slik at den skattemessige effekten av rentefradraget blir den samme som utenfor sokkelregimet. Dette ville redusere vridningene i finansieringstilpasningen fordi det ikke lenger er samme skattemessige insentiver til gjeldsfinansiering framfor egenkapitalfinansiering av investeringer på sokkelen. Gjeldssubsidiet knyttet til gjeldsfinansiering av investeringer på sokkelen er anslått til 8,8 prosent av investeringskostnaden for et selskap i særskatteposisjon, jf. kapittel 6. En fjerning av nettofinansposter fra særskattegrunnlaget vil også redusere vridningene i investeringsinsentivene mellom sokkelen og andre beskatningsregimer. Tapet som vil oppstå på selskapenes hånd som følge av økt skatt, kan søkes motvirket gjennom lempningstiltak uten de samme uheldige vridningseffektene. Det vises til kapittel 9, hvor utvalget foreslår å erstatte dagens fradrag for netto finansposter og friinntekten i særskattegrunnlaget med et kapitalavkastningsfradrag.
I utgangspunktet er det de postene som i dag henføres til sokkelen i medhold av petroleumsskatteloven § 3 d, som foreslås tatt ut av særskattegrunnlaget. Postene som omfattes er først og fremst rentekostnader, renteinntekter, og valutatap og valutagevinst, jf avsnitt 7.2.3. Utvalget antar at det ikke foreligger grunn til å skille mellom renter og valutaelementer for å undergi disse forskjellig skattemessig behandling. Det vises i denne forbindelse til den nære sammenhengen det er mellom renter og valuta (renteparitet).
Selskapenes beslutninger vil kunne bli påvirket dersom finansielle poster unntas fra særskattegrunnlaget. Forslaget innebærer at selskapene får fullt fradrag for driftskostnader i særskattegrunnlaget, men ikke for faktiske finanskostnader. Selskapene kan da foreta en tilpasning slik at rentefradraget erstattes med et fradrag for driftsutgifter. Som hovedregel vil for eksempel et leiebeløp være fradragsberettiget som driftskostnad, det vil si med virkning for særskatten, selv om leiebeløpet i stor grad skal dekke utleiers finanskostnader. Det er ikke derved gitt at leiealternativet vil bli foretrukket, blant annet fordi man som eier etter utvalgets forslag i kapittel 9 har krav på et kapitalavkastningsfradrag. Hvilket alternativ som vil være det gunstigste, vil i tillegg avhenge av driftsmidlets levetid, hvor gunstig leieavtale som kan oppnås osv. Likeledes kan selskapene ha insentiv til å omgjøre driftsinntekter til finansinntekter, fordi sistnevnte ikke vil være gjenstand for særskatt. I klare omgåelsestilfelle må ligningsmyndighetene kunne sette en disposisjon til side i medhold av ulovfestede gjennomskjæringsregler, og skattlegge etter den underliggende realitet. Men det må antas at det også vil være mulig å konstruere kontrakter slik at selskapene lovlig kan erstatte finansposter med driftsposter, jf. for eksempel ovenfor om leie. Det må vurderes nærmere om det er behov for en særlig regulering av slike forhold.
En fjerning av fradraget for netto finansposter i særskattegrunnlaget vil forutsette at det blir gitt en regel om at det ikke lenger skal være adgang til aktivering av renteutgifter for sokkeldriftsmidler. I motsatt fall vil selskapene kunne oppnå fradrag for renter i særskattegrunnlaget ved å aktivere dem som sokkelinvestering, og deretter avskrive etter vanlige regler.
Insentivet til høy grad av lånefinansiering vil reduseres hvis faktiske rentekostnader ikke lenger skal inngå i særskattegrunnlaget. Utvalget antar at det da vil være begrenset behov for egenkapitalbestemmelsen i petroleumsskatteloven § 3 h, og foreslår at bestemmelsen oppheves. Utvalgets forslag vil imidlertid ikke hindre fortsatt svært høy gjeldsgrad i sokkelselskapet dersom for eksempel utenlandske eiere ønsker å overføre normalavkastningen til eget skatteregime ved å gi lån til det norsketablerte selskapet. Det kan derfor fortsatt være behov for en ”tynn kapitaliseringsregel”, men denne bør i tilfelle være mer effektiv enn dagens.
Når tidligere forslag om å fjerne rentefradraget fra særskattegrunnlaget ikke har vært realisert, har en vesentlig årsak vært hensynet til skatteavtalen mellom Norge og USA. Nedenfor følger en redegjørelse for hovedtrekkene i de problemstillingene som reiser seg på dette området, samt utvalgets syn på betydningen av dette spørsmålet.
7.4.2.2 Hensynet til skatteavtalene med andre land
Utenlandske selskaper som driver virksomhet på norsk sokkel gjennom filial, vil være skattepliktige til Norge. De vil imidlertid også som hovedregel måtte svare skatt i hjemlandet på inntekten som opparbeides i Norge. Videre må et utenlandsk morselskap som driver utvinningsvirksomhet på norsk sokkel gjennom et datterselskap, normalt betale skatt i hjemlandet på mottatt utbytte. Dette innebærer at utvinningsvirksomheten i Norge kan være skattepliktig utover det som følger av det norske petroleumsskattesystemet (juridisk eller økonomisk dobbeltbeskatning).
I skatteavtalene med andre land og i utenlandsk intern rett finnes det regler som begrenser slik dobbeltbeskatning, blant annet gjennom regler om kredit (fradrag) for den skatten som er betalt i Norge, i den skatten selskapet/morselskapet blir utlignet i sitt hjemland. Disse reglene får dermed betydning for hva som blir den endelige skatten på eierens hånd når det gjelder sokkelvirksomheten i Norge.
Kreditbestemmelsene i skatteavtalene og i utenlandsk intern rett varierer fra land til land. Det kreves derfor inngående kjennskap til de aktuelle kreditreglene for å kunne fastslå den endelige skattebelastningen på norsk utvinningsinntekt. Ulike periodiseringsregler i Norge og utlandet, og adgangen til å framføre eller tilbakeføre overskytende kredit, er eksempler på forhold som vil ha betydning. Kreditreglene kan også være utformet slik at overskytende kredit fra virksomheten i Norge kan føres mot og redusere skatten på selskapets virksomhet i andre land, se nedenfor under omtalen av reglene i USA.
Ved tidligere endringer i petroleumsskattesystemet har norske myndigheter lagt vekt på at de norske petroleumsskattene utformes slik at de fortsatt vil være kreditable mot utenlandske skatter, først og fremst i henhold til skatteavtalen med USA. Nedenfor gis en kort oversikt over de amerikanske kreditbestemmelsene, både i skatteavtalen mellom Norge og USA og etter interne amerikanske regler. Kreditregler av lignende karakter som de amerikanske, kan følge av skatteavtaler med andre land eller utenlandsk intern rett.
Etter skatteavtalen mellom Norge og USA kan amerikanske selskaper få kredit for petroleumsskatter betalt av norsk filial, i amerikansk skatt på samme inntekt (per country limitation). Tilsvarende kan amerikansk morselskap få kredit i amerikansk skatt på utbytte, for petroleumsskatter betalt av norsk datterselskap (etter særlig bestemmelse i skatteavtalen om kredit for underliggende selskapsskatter). Kredit gis både for særskatten og skatt på alminnelig inntekt. Skatteavtalebeskyttelsen gjelder petroleumsskattene slik de gjaldt i september 1980 (da protokoll til skatteavtalen ble underskrevet) og ”skatter av vesentlig lignende art” som er vedtatt etter denne dato. Vesentlige endringer i norsk petroleumsbeskatning kan dermed føre til at retten til kredit etter skatteavtalen faller bort. Hvis for eksempel særskatten endres, slik at den ikke lenger er av vesentlig lignende art, kan dette dessuten ”smitte” over på retten til kredit for alminnelig selskapsskatt. Det kan skje dersom en ikke-krediterbar særskatt heller ikke er fradragsberettiget i alminnelig inntekt.
Amerikansk intern rett har kreditregler som kan være gunstigere for skattyter enn kreditreglene i skatteavtalen. Det skyldes blant annet at det innenfor visse inntektskategorier er adgang til å benytte overskytende kredit mot amerikansk skatt betalt på tilsvarende inntekt fra tredjeland (overall credit). Virkningen er at den delen av de utenlandske inntektsskattene som overstiger den amerikanske skatten på (for tiden) 35 prosent, kan benyttes for å redusere den delen av den amerikanske skatten som blir tilbake etter at det er gitt kredit for skatt fra tredjeland der skatten er lavere enn den amerikanske skatten. Overskytende kredit kan ikke benyttes til å redusere amerikansk skatt på inntekter som skriver seg fra USA.
For å få kredit etter interne amerikanske regler må skatten ha karakter av å være en (netto)inntektsskatt etter amerikansk målestokk, dvs oppfylle nærmere angitte krav. Blant annet må det innrømmes fradrag i skattegrunnlaget for alle vesentlige kostnader som pådras for å erverve inntekten. Videre må inntektsskatten ikke kunne anses som en betaling for en spesiell gjenytelse fra myndighetenes side (”a specific economic benefit”), typisk royalty.
Etter amerikanske interne regler har selskapene i tilfeller der det for eksempel hersker usikkerhet om hvorvidt skatten på en utenlandsk inntekt kvalifiserer til fradrag etter øvrige kreditregler, mulighet for å kreve kredit etter en sikkerhetsformel, ”safe harbor formula”. Formelen tar sikte på å beregne det skattebeløp som svarer til hva skattyteren måtte betale i en fremmed stat i henhold til de ordinære skatteregler der, dersom det ble innrømmet fradrag i inntekten for den delen av samlet pålagt ytelse som representerer vederlaget for ”a specific economic benefit”.
En dom avsagt av US Tax Court i 1996 gjaldt spørsmålet om de norske petroleumsskattene, blant annet på grunn av normprissystemet, ikke var kreditable etter amerikansk intern rett. Retten kom til at særskatten og selskapsskatten, slik de var utformet i 1979-1982, tilfredsstilte vilkårene for å være en kreditabel inntektsskatt etter interne amerikanske regler. US Tax Court har nylig også avsagt en dom om kreditabiliteten etter interne amerikanske regler for den britiske Petroleum Revenue Tax (PRT). Det vises til nærmere beskrivelse av det britiske skattesystemet i avsnitt 4.2. US Tax Court fastslo at PRT måtte kunne regnes som en inntektsskatt i forhold til en ”specific economic benefit” test. Retten kom også til at PRT tilfredsstilte kravene til å være en nettoinntektsskatt selv om faktiske renteutgifter ikke var fradragsberettiget i skattegrunnlaget, men det i stedet ble innrømmet et normfradrag. Det ble blant annet vist til at ulike normfradrag medførte at selskapene fikk tilstrekkelig kompensasjon for manglende fradrag for faktiske renteutgifter.
I brev av 5. april 2000 til utvalget (Vedlegg 7 i denne rapporten) har OLF redegjort nærmere for reglene om kredit for norske petroleumsskatter, først og fremst i USA, og betydningen av at fradraget for renter ikke fjernes eller begrenses. Videre omtales den økonomiske virkningen av et eventuelt bortfall av kreditbeskyttelsen etter skatteavtalen med USA eller amerikanske interne regler.
OLF konkluderer med følgende punkter:
Det å opprettholde både den norske selskapsskatten og den norske særskatten som kreditable inntektsskatter i forhold til andre lands interne lovgivning, herunder særlig USA, er av vesentlig betydning.
Et bortfall av, eller en vesentlig begrensning i, eksisterende rentefradragsregler i Norge, vil med stor grad av sannsynlighet kunne medføre at amerikanske skattemyndigheter vil hevde at særskatten – og muligens også selskapsskatten – ikke er krediterbar etter amerikanske internrettslige regler. Det er i så fall grunn til å frykte at også avtalebeskyttelsen vil falle bort.
Med et svært høyt skattenivå vil en ytterligere beskatning av samme inntekt i skattyters hjemland kunne være ødeleggende for investeringer på norsk sokkel.
En særskilt skatteavtalebeskyttelse basert på en ”country by country limitation”, slik som i skatteavtalen mellom Norge og USA, er viktig som en sikkerhetsventil, men vil gi klart dårligere resultater for selskap som kan benytte seg av regler tilsvarende amerikanske internrettslige regler om skattekreditt.
Ved å innrette skattesystemet slik at det oppnås kreditabilitet for de norske inntektsskattene, vil norske myndigheter uten å avgi proveny kunne unngå en ytterligere svekkelse av norsk sokkels konkurranseevne.
Utvalget har fått presentert beregninger fra industrien som viser at bortfall av kreditbeskyttelsen etter henholdsvis skatteavtalen med USA og amerikanske interne regler, kan ha stor økonomisk betydning for enkeltselskaper.
Når det gjelder den kreditbeskyttelsen som måtte følge av utenlandske interne regler, herunder bestemmelser om ”overall” kredit, er utvalget av den oppfatning at det verken er praktisk mulig eller ønskelig å ta hensyn til slike virkninger av andre lands interne skattesystemer når en fastlegger det norske regelverket. Det at skatt i Norge eventuelt kan benyttes til å redusere hjemlandets skatt på inntekter opptjent i tredjeland, er det norske skattesystemet uvedkommende. Opprettholdelse av slike muligheter bør etter utvalgets vurdering ikke være et argument for å opprettholde uønskede skatteregler i Norge.
Utvalget viser til at norske myndigheter ved tidligere endringer i petroleumsbeskatningen har lagt vekt på at en beholder kreditbeskyttelsen som følger av skatteavtalene, særlig i forhold til USA. Utvalget legger til grunn at dette fortsatt kan være et hensyn som myndighetene vil tillegge vekt ved utformingen av den norske petroleumsbeskatningen. Dette hensynet må imidlertid veies mot de ulempene det medfører ikke å kunne rette opp vesentlige svakheter ved systemet.
I kapittel 9 foreslår utvalget å erstatte fradraget for renter og friinntekt i særskattegrunnlaget med et kapitalavkastningfradrag, å endre avskrivningsreglene mer i samsvar med faktisk kapitalslit og å framføre underskudd i særskattegrunnlaget med rente. Utvalget antar at det først og fremst er endringen vedrørende rentefradraget som i tilfelle kan få betydning for kreditbeskyttelsen i skatteavtalen med USA.
Slik forslaget er utformet, vil selskapene etter utvalgets oppfatning få skattemessig fradrag for kostnader knyttet til finansiering av utvinningsvirksomheten på norsk sokkel, uavhengig av om finansieringen faktisk skjer med gjeld eller egenkapital. Dagens regelverk gir ikke fradrag for 100 prosent gjeldsfinansiering siden § 3 h begrenser gjeldsopptaket. Utvalget mener at forslaget innebærer at de norske petroleumsskattene fortsatt er nettoinntektsskatter, og at de må anses å være av vesentlig lignende art som tidligere (1980). Det legges derfor til grunn at forslaget på dette punkt ikke setter skatteavtalebeskyttelsen med USA i fare. Utvalget har imidlertid ikke mulighet til å trekke sikre konklusjoner i dette spørsmålet.
7.4.3 Endret fordelingsregel for finansielle poster
Utvalget vil understreke at å unnta netto finansposter fra særskattegrunnlaget slik det er beskrevet ovenfor i avsnitt 7.4.2, er en sterkt ønskelig løsning fordi den i det alt vesentligste vil fjerne de uheldige vridningseffektene som følger av de gjeldende reglene. Utvalget antar imidlertid at det også kan være behov for å vurdere alternativer til denne løsningen. Som det vil gå fram i det følgende, anbefaler utvalget subsidiært en endring av fordelingsregelen i petroleumsskatteloven § 3 d. Det vises til beskrivelsen ovenfor i avsnitt 7.2.3 og 7.2.4 av de uheldige effektene av den eksisterende fordelingsregelen. Utvalget foreslår for øvrig også en endring av § 3 d selv om netto finansposter unntas fra særskattegrunnlaget, men endringen vil da være av mindre betydning.
7.4.3.1 Fordeling basert på kausalitet
Som beskrevet ovenfor i avsnitt 7.2.3, skjer fordelingen av finansposter mellom sokkel og land i dag etter inntekt i de respektive områdene. Dette kan karakteriseres som en fordeling etter bæreevne. Det generelle prinsippet i regnskapsteorien bygger imidlertid på kausalitet.Et kausalitetsprinsipp vil innebære at fordeling av finansposter til sokkelen bare kan skje dersom den aktuelle aktiva- eller gjeldsposten har tilstrekkelig tilknytning til utvinningsvirksomheten. For renteutgifter vil kausalitetskravet være oppfylt dersom gjelden er tatt opp for å finansiere et driftsmiddel eller andre utgifter i sokkelvirksomheten. Prinsipielt må dette anses som den mest korrekte fordelingsmetoden. En tilsvarende regel gjelder også for utenlandske skattytere som har begrenset skatteplikt til Norge, se skatteloven §§ 4-31 tredje ledd og 6-40 tredje ledd (tidligere §§ 36 femte ledd og 45 femte ledd).
I praksis skjer imidlertid lånefinansieringen av sokkelselskapene i all hovedsak gjennom generelle lån for selskapenes samlede virksomhet. Fordi de fleste selskapene har betydelige inntekter fra driften, kan det pådras store investeringer uten at det samtidig skjer en økning av gjeld. På den annen side kan låneopptak skje i et år da det ikke finner sted store investeringer, men foretas betydelige overføringer til hovedkontoret. For etablerte lån vil det være svært problematisk å finne en metode for fordeling av gjeld på forskjellige investeringer. Også for nye investeringer vil det måtte foretas en løpende allokering av lån. I denne forbindelse må det tas stilling til om alle investeringer skal forutsettes å være finansiert med samme gjeldsgrad. Det må videre legges til grunn at gjeld som henføres til et driftsmiddel, ikke kan bli stående med uendret saldo gjennom driftsmidlets levetid. Fordi selskapenes faktiske nedbetalinger av gjeld er influert av forskjellige skattemessige motiver (insentiv til høy gjeld, mulig urealisert valutagevinst på enkelte poster osv.), må det tas utgangspunkt i en tenkt nedbetalingsprofil.
Fordeling av finansposter etter en konkret kausalitetsvurdering vil, som beskrevet ovenfor, bero på en rekke skjønnsmessige vurderinger. Enkelte spørsmål vil kunne løses gjennom et nøye utarbeidet regelverk, men det vil neppe være mulig å unngå at det også i enkeltsaker må utøves en betydelig grad av skjønn. I denne forbindelse kan det vises til at oljeskattemyndighetene i forbindelse med aktiveringsspørsmål, jf. ovenfor i avsnitt 7.2.5, i en periode har anvendt en fordelingsmetode basert på kontantstrømmer. Erfaringen fra dette arbeidet var at det oppsto forskjellige spørsmål fra selskap til selskap, slik at metoden stadig måtte bygges ut eller justeres for å tilpasses forholdene i det enkelte selskapet. Under enhver omstendighet må en fordelingsmetode basert på kausalitet antas å påføre så vel selskapene som ligningsmyndighetene betydelig arbeid og dessuten kunne føre til utbredt uenighet.
7.4.3.2 Fordeling etter formuesverdier
Som hovedregel vil gjeld bli pådratt for å finansiere formuesverdier. En praktisk tilnærming til et fordelingsprinsipp bygget på kausalitet kan derfor være å basere en fordelingsnøkkel på formuesverdiene på henholdsvis sokkel og land. Formuesverdier vil også gi et mer stabilt fordelingsgrunnlag enn nettoinntekt, som kan variere betydelig fra år til år avhengig av oljeprisen og andre produktpriser. Med tanke på de omgåelsesmulighetene som ellers vil oppstå, må fordeling etter formuesverdier foretas før eventuell aktivering av renter.
Det første spørsmålet som må vurderes ved utarbeidelsen av en slik fordelingsnøkkel, er hvilke formuesobjektersom skal inngå i fordelingsgrunnlaget på henholdvis sokkel og land. Det kan også tenkes å være hensiktsmessig å se bort fra enkelte poster i balansen, for eksempel poster som ikke klart kan henføres til det ene eller andre skattedistriktet, som kontanter og bankinnskudd. En annen grunn til ikke å ta med kontanter og bankinnskudd er at størrelsene kan manipuleres rundt årsskiftet. Disse synspunktene kan også tilsi at fordringer ikke bør medtas i fordelingsgrunnlaget, men dette spørsmålet bør vurderes nærmere i forhold til ulike typer av fordringer.
Til sokkelformuen må i første rekke henregnes alle eiendeler som i dag er avskrivbare etter petroleumsskatteloven § 3 b. Også driftsmidler som avskrives etter § 3 b i henhold til eie/leie-forskriften, bør antakelig inkluderes, jf. at det etter forskriften skal beregnes renter som skal inngå i finansposter som fordeles etter § 3 d. (Hvis utvalgets forslag i kapittel 9 gjennomføres bør imidlertid denne forskriften bli opphevet). Dernest må sokkelformuen omfatte andre driftsmidler i sokkelvirksomheten selv om avskrivning skjer etter de alminnelige regler i skatteloven.
Landformuen må i første rekke omfatte eiendeler som avskrives etter alminnelige skatteregler og henføres til fradrag på land. Aksjer eller andel i selskap som driver virksomhet på land og/eller i utlandet, må videre henføres til landformuen. Dette bør også gjelde når det dreier seg om en kortsiktig investering.
Et mulig problemområde med hensyn til allokeringen av formuesposter mellom land og sokkel, er eventuelle investeringer i selskap som lignes etter petroleumsskatteloven. Avkastning i form av utbytte fra slike selskaper vil være landinntekt. Imidlertid kan det tenkes at aksjene har karakter av ”aksjer i (sokkel)næring”, og da vil gevinst /tap ved salg bli henført til sokkelen. Lignings- og rettspraksis viser at grensedragningen mellom aksjer i og utenfor næring er problematisk. Det hender også at aksjebesittelsen forandrer karakter over tid. Utvalget finner at hensynet til enkelhet i regelverket tilsier at all formue i form av aksjer eller selskapsandeler anses som landformue. Det antas at det neppe vil oppstå urimelige utslag av en slik regel.
Utvalget viser også til at dersom utvalgets øvrige forslag blir gjennomført, vil fordelingsregelen i petroleumsskatteloven § 3 d bare ha betydning for om netto finanskostnader skal komme til fradrag i alminnelig inntekt på henholdsvis sokkel eller land. Det betyr at kostnadene uansett vil komme til fradrag mot en sats på 28 prosent gitt at selskapet er i alminnelig skatteposisjon.
Det andre spørsmålet som må vurderes ved utarbeidelse av en fordelingsnøkkel basert på formuesverdier, er verdsettingsprinsippetfor de formuespostene som inngår i fordelingsgrunnlaget.
I utgangspunktet er det grunn til å anta at det er formuespostenes markedsverdi som avgjør i hvilken grad de kan belånes. Sokkelselskaper har imidlertid insentiv til å låne så mye som mulig, og fradraget for finansposter er derfor begrenset av petroleumsskatteloven § 3 h. Denne bestemmelsen setter dermed rammer for hvor store rentefradrag selskapene kan få ved beskatningen. I en slik situasjon kan det hevdes at en formuesgjenstands evne til å skape rentefradrag i sokkelselskapet innenfor § 3 h, bør være avgjørende for fordeling av selskapets netto finansposter mellom formuesgjenstander, jf. nedenfor.
Det antas at en fordeling basert på markedsverdier uansett vil være utelukket. En slik regel vil medføre store administrative problemer for så vel selskapene som ligningsmyndighetene.
Utvalget har også vurdert om finansielle poster burde fordeles på grunnlag av sysselsatt kapital i henholdsvis sokkel- og landvirksomheten. Sysselsatt kapital kan defineres som rentebærende gjeld pluss egenkapital. Med utgangspunkt i eiendels- eller aktivasiden blir dette regnskapsmessige verdier fratrukket utsatt skatt – forutsatt at drifts- eller arbeidskapital er lik null. For å beregne sysselsatt kapital på henholdsvis land og sokkel, må en skille mellom utsatt skatt i de to distriktene. Videre må annen ikke rentebærende gjeld fordeles på eiendelene. Utvalget antar at dette i tilfelle ville bli et komplisert fordelingsgrunnlag, og en har derfor ikke gått videre med dette alternativet.
De mest aktuelle metodene blir etter dette allokering basert på enten regnskapsmessige eller skattemessige verdier.
Et moment som kunne tale for å bruke regnskapsmessige størrelser er at disse vil være en bedre tilnærming til markedsverdier. Men som nevnt ovenfor, kan det argumenteres for at fordeling av rentefradraget for sokkelselskaper i stedet bør skje på grunnlag av formuesverdienes evne til å skape rentefradrag innenfor petroleumsskatteloven § 3 h. Ikke alle selskapene tilpasser seg § 3 h. Det må derfor vurderes om det er grunn til å skille mellom selskaper som tilpasser seg og selskaper som ikke tilpasser seg denne bestemmelsen.
Selskaper som ikke trenger å lånefinansiere seg i markedet, men kan forsynes med lån direkte fra morselskapet eller med lån som er garantert av morselskapet, har størst mulighet til å utnytte skattefordelen ved gjeldsfinansiering. Disse selskapene vil ha gode muligheter til å tilpasse seg petroleumsskatteloven § 3 h. En investering i et datterselskap gir stort rom for å ta opp rentebærende gjeld, fordi den medfører ingen utsatt skatt, og bokført verdi kan oppjusteres etter egenkapitalmetoden. Sokkelinvesteringer har forholdsvis mindre evne til å innpasse rentebærende gjeld fordi de fører til mye utsatt skatt og skattegjeld. Disse forholdene taler for at netto finanskostnader bør fordeles etter skattemessig nedskrevet verdi.
I selvstendige selskaper vil gjeldsandelen være en avveining mellom å maksimere skattefordelen og andre hensyn. Overfor långivere og andre samarbeidspartnere kan det være ønskelig å vise en bokført egenkapitalandel som overstiger 20 prosent, det vil si at selskapene ikke utnytter muligheten til trekke fra finanskostnadene fullt ut. Dette kunne trekke i retning av å legge noe vekt på regnskapsmessige verdier av formuesgjenstandene. Men disse selskapene kunne i stedet ha organisert seg med sokkelvirksomheten i et eget selskap underlagt en konsernspiss. Et rent sokkelselskap ville, med eller uten medvirkning fra morselskapet, kunne oppta lån inntil grensen i § 3 h. Når det ikke gjøres, kan det være fordi fordelen ved skjevdeling av renter i et konsolidert selskap er større enn fordelen ved å låne inntil § 3 h grensen i et rent sokkelselskap. Ut fra dette er det ikke urimelig å legge til grunn en fordeling av netto finansposter i forhold til formuespostens mulighet til å generere fradrag for finansutgifter, altså slik det er argumentert for i forbindelse med selskaper som tilpasser seg § 3 h. Uansett vil det være vanskelig å følge ulike prinsipper avhengig av selskapenes tilpasning til § 3 h.
Et ytterligere argument for å anvende skattemessige verdier er at de skattemessige avskrivningene fra en finansieringssynsvinkel vil være en finansiell kilde som kan gi grunnlag for nedbetaling av lån.
På bakgrunn av vurderingene ovenfor foreslår utvalget at en bruker skattemessige nedskrevne verdier som grunnlag for å fordele netto finanskostnader.
Utvalget har fått Oljeskattekontoret til å vurdere provenyvirkningene av å endre fordelingsgrunnlaget for finansielle poster fra nettoinntekt i de to skattedistriktene til formuesverdier i de to skattedistriktene. Kontoret har beregnet provenyvirkningene basert på fordeling etter både regnskapsmessige formuesverdier og skattemessige formuesverdier. Det understrekes at det i disse beregningene ikke er tatt hensyn til andre endringer av skattesystemet enn en endring av fordelingsregelen. Provenyvirkningene som fremkommer i beregningene, viser derfor ikke effekten av utvalgets forslag, der et kapitalavkastningsfradrag vil erstatte rentefradraget og friinntekten i særskattegrunnlaget.
7.4.3.2.1 Provenyvirkninger basert på fordeling etter regnskapsmessige formuesverdier
Det er laget tre forskjellige alternativer for hvilke poster som skal inngå i fordelingsgrunnlaget. I alternativ A er kontanter, bankinnskudd og fordringer på selskap i konsernet (både kortsiktige og langsiktige) holdt utenfor fordelingsgrunnlaget. I modell B inngår alle poster i fordelingsgrunnlaget og i modell C er alle omløpsmidler, samt langsiktige fordringer (inkludert fordringer på konsernselskap) holdt utenfor fordelingsgrunnlaget.
Netto finansposter er en beregnet størrelse som tar utgangspunkt i selskapenes rentebærende gjeld. 2 Beregningene baserer seg på opplysninger hentet fra selskapenes selvangivelser/årsregnskap. Opplysningene er således ikke innhentet i den hensikt å foreta en fordeling av de ulike formuespostene mellom sokkel og land. Dette innebærer at det kan være usikkert hvorvidt en bestemt formuespost skal henføres til sokkel eller land. Eksempler på slike formuesposter er fordringer på konsernselskap (både kortsiktige og langsiktige). I det tilfelle hvor konsernfordringer er tatt med (modell B) er det forutsatt at disse ikke vedrører sokkelvirksomheten 3, og formuespostene er følgelig henført til land.
Dersom en endrer regelen for fordeling av finansielle poster, vil dette sannsynligvis medføre at selskapene tilpasser seg til petroleumsskatteloven § 3 h (tynn kapitalisering) for å motvirke at en mindre del av finansutgiftene da vil bli henført til sokkelen. Slike tilpasninger kan selskapene gjøre for eksempel ved å skille ut landinvesteringene fra sokkelselskapet eller ved å redusere landinvesteringene ned til et nivå der egenkapitalen i sokkelselskapet utgjør 20 prosent av ny totalkapital. Dersom det siste alternativet velges, beholdes netto finanskostnad uendret. Imidlertid vil en større andel av kostnadene allokeres til sokkelen enn det som ville vært tilfellet dersom selskapet ikke hadde tilpasset seg. I det tilfellet hvor det er antatt at selskapene tilpasser seg til petroleumsskatteloven § 3 h, er det bare regnet på modell B, det vil si hvor alle poster inngår i fordelingsgrunnlaget.
Tabell 7.1 nedenfor viser provenyvirkningene av å endre fordelingsgrunnlaget for finanskostnader fra nettoinntekt til regnskapsmessige formuesverdier. Beregningene viser provenyvirkningen både dersom selskapene ikke tilpasser seg, og dersom de tilpasser seg. I tilfeller hvor det er forutsatt at selskapene ikke tilpasser seg nye regler, er det altså regnet på tre ulike modeller, mens det bare er regnet på modell B når det er forutsatt at selskapene tilpasser seg nye regler. Det understrekes at provenytallene som oppgis i tabellene nedenfor, er svært usikre.
Tabellen viser at det kan oppstå skattemessige effekter av en viss størrelse ved å endre fordelingsgrunnlaget for finansielle poster selv om selskapene sannsynligvis vil motvirke endringen noe ved å endre sin tilpasning/organisering. Det presiseres at tabell 7.1 er et regneeksempel basert på historiske tall og derfor ikke viser provenyvirkningene av utvalgets forslag.
Selv om en fordeling basert på regnskapsmessige formuesverdier vil redusere vridningene, synes det fortsatt å være gunstig å beholde landinvesteringer i sokkelselskapet (forutsatt at utskilling av datterselskapene medfører at egenkapitalandelen blir lavere enn 20 prosent). I det følgende er det forsøkt å belyse denne problemstillingen nærmere. 4
Det antas at man kan legge til grunn at investeringer i datterselskap ikke medfører økning (evt. marginal økning) i ikke-rentebærende gjeld som for eksempel leverandørgjeld og utsatt skatt. 5 Videre antas det at sokkelinvesteringer medfører en (stor) andel ikke-rentebærende gjeld. Forutsatt at et konsern (som blant annet inkluderer et sokkelselskap 6) har vedtatt å investere i et landprosjekt, blir spørsmålet hvordan denne investeringen skal organiseres. Følgende alternativer anses for å være aktuelle:
Investeringen plasseres i et annet selskap i konsernet (som ikke er tilknyttet sokkelselskapet).
Investeringen plasseres direkte i sokkelselskapet (det vil si anleggsmidler som for eksempel bygninger og maskiner er oppført i balansen til sokkelselskapet).
Investeringen plasseres gjennom et datterselskap av sokkelselskapet.
Dersom alternativ 1 velges, vil effektivt skattefradrag på rentekostnadene være 28 prosent, forutsatt at landselskapet er i skatteposisjon. Dersom alternativ 2 velges, vil en del av finanskostnadene knyttet til opptak av ny gjeld fordeles til sokkel. Motsvarende vil en del av eksisterende finanskostnader fordeles til land. Hvorvidt selskapet tjener på en slik organisering, avhenger av hvor stor andel ikke-rentebærende gjeld (for eksempel leverandørgjeld og utsatt skatt) landinvesteringen genererer. Dersom alternativ 3 velges, vil det - i likhet med alternativ 2 - medføre at en del av de nye finanskostnadene fordeles til sokkel samtidig som en (større) del av eksisterende finanskostnader fordeles til land. I og med at ikke-rentebærende gjeld i sokkelselskapet ikke øker som følge av investering i datterselskap, kan investeringen finansieres med 80 prosent rentebærende gjeld. Videre, i og med at rentebærende gjeld i sokkelselskapet vil være lavere enn 80 prosent, vil den prosentvise økningen i finanskostnadene tilknyttet nyinvesteringen være større enn økningen i totalkapital. Dette medfører at sokkelens andel av nye finanskostnader vil være høyere enn landdelens andel av eksisterende finanskostnader. 7 Det effektive skattefradraget knyttet til opptak av ny rentebærende gjeld vil avhenge av hvor stor andel ikke-rentebærende gjeld sokkelselskapet har før landinvesteringen foretas, og vil variere mellom maksimalt 78 prosent og minimum 28 prosent (jo større andel ikke-rentebærende gjeld, desto mer lønnsomt). Gitt ovennevnte forutsetninger synes det følgelig som om det aldri vil være ulønnsomt å plassere datterselskapsinvesteringer i sokkelselskap selv om netto finanskostnader fordeles på grunnlag av regnskapsmessige formuesverdier.
En mulig løsning på ovenstående problemstilling vil være å innføre et krav om at sokkelselskapet skilles ut som et ”single purpose”-selskap. En slik løsning er drøftet i avsnitt 7.4.4.
7.4.3.2.2 Provenyvirkninger basert på fordeling etter skattemessige formuesverdier
En fordeling på grunnlag av skattemessige verdier medfører at en høyere andel av netto finansposter fordeles til land sammenlignet med fordeling på grunnlag av regnskapsmessige formuesverdier. Dette skyldes blant annet at sokkelinvesteringer avskrives skattemessig over kun 6 år etter gjeldende regler.
Tabell 7.1. Økt skatteinntekt ved å endre fordelingsgrunnlaget til regnskapsmessige verdier. Mill. kroner
| 1996 | 1997 | 1998 | |
|---|---|---|---|
| Ikke tilpasning | |||
| A | 552 | 607 | 592 |
| B | 636 | 715 | 715 |
| C | 630 | 700 | 688 |
| Tilpasning | |||
| B | 495 | 556 | 553 |
Tabell 7.2 viser skattemessige virkninger av å endre fordelingsgrunnlaget for finansielle poster til skattemessige formuesverdier. De samme tre modellene for hvilke poster som skal inngå i fordelingsgrunnlaget, er brukt her som ved regnskapsmessige formuesverdier. På samme måte som ved fordeling basert på regnskapsmessige verdier, er det for modell B også beregnet provenyvirkningen dersom selskapene tilpasser seg petroleumsskatteloven § 3 h. Det presiseres at tabell 7.2 er et regneeksempel basert på historiske tall og derfor ikke viser provenyvirkningene av utvalgets forslag.
Tabell 7.2. Økt skatteinntekt ved å endre fordelingsgrunnlaget til skattemessige verdier. Mill. kroner
| 1996 | 1997 | 1998 | |
|---|---|---|---|
| Ikke tilpasning | |||
| A | 774 | 875 | 976 |
| B | 871 | 988 | 1098 |
| C | 938 | 1060 | 1176 |
| Tilpasning | |||
| B | 703 | 812 | 919 |
Tabell 7.1 og 7.2 viser at en fordeling basert på skattemessige verdier fører til at en større andel av nettofinanskostnader fordeles til land enn ved en fordeling basert på regnskapsmessige verdier.
7.4.4 Forbud mot å drive annen virksomhet
Det kan konstateres at problemene ved det gjeldende regelverket som er beskrevet ovenfor i avsnitt 7.2, i vesentlig grad ville vært redusert dersom sokkelselskapene ikke hadde hatt interesser i annen virksomhet på land eller i utlandet. Det har ikke stor provenymessig betydning at selskapene eier kontorbygninger, baser mv. på land, og problemene med hensyn til fordeling mellom land og sokkel ville derved vært minimale. Overfor ”rene” sokkelselskaper kunne insentivene til høy grad av gjeldsfinansiering enkelt vært motvirket gjennom lovgivning.
Dersom man helt fra de første konsesjonstildelingene hadde vært oppmerksom på de uheldige virkningene som kunne oppstå ved at utvinningsselskapene drev virksomhet på land eller hadde mulighet til å etablere datterselskaper på land eller i utlandet, kunne det vært et aktuelt alternativ å fastsette ”single purpose”-vilkår i konsesjonene 8. Problemet i dagens situasjon er at krav om ”single purpose” eventuelt må fastsettes ved lov, og at dette vil innebære en pålagt omorganisering av flere selskaper.
Generelt er det ikke ønskelig å søke løsning på skattemessige problemer gjennom annen lovregulering enn den skatterettslige. Det er allikevel grunn til å peke på at man ved et forbud mot å eie eller drive annen virksomhet enn sokkelvirksomhet, kunne unngått uheldige skattemessige effekter som følger av dagens regelverk. Utvalget antar imidlertid at myndighetene ikke vil anse det som aktuelt å innføre krav om ”single purpose” overfor etablerte selskaper, og har derfor ikke foretatt noen nærmere vurdering av mulige uheldige tilpasningseffekter og håndhevingsmessige problemer ved en slik regel. Utvalgets forslag til skatteendringer vil dessuten fjerne argumentene for denne typen krav til sokkelselskapene.
7.5 Oppsummering
Utvalget foreslår følgende:
Finansielle poster, som henføres til sokkelen etter petroleumsskatteloven § 3 d, unntas fra særskattegrunnlaget (og erstattes med et kapitalavkastningfradrag, jf. kapittel 9). Det skal ikke være adgang til å aktivere byggelånsrenter på sokkeldriftsmidler.
Petroleumsskatteloven § 3 d endres, ved at finansielle poster fordeles mellom sokkel- og landinntekt på grunnlag av skattemessig nedskrevet verdi av formuesposter henført til henholdsvis sokkel og land.
Petroleumsskatteloven § 3 h om skattemessig krav til egenkapital, oppheves.
Fotnoter
Poster som inngår i § 3 d, er netto renteutgifter, netto valutakursgevinster, og ytelser som ikke kan henføres til noen bestemt inntektskilde, etter at det er gjort fradrag for andre finansielle inntekter. Gevinster og tap knyttet til finansielle instrumenter er i tråd med praksis ansett for å falle inn under § 3 d. Dette omfatter blant annet gevinster/tap på valutaopsjoner og rente- og valutaswaper. Gevinst/tap knyttet til realinstrumenter, som for eksempel oljesikringskontrakter, regnes imidlertid ikke som fordelingspost etter § 3 d, men henføres til land.
Dette for at store valutatap/-gevinster ikke skal påvirke beregningene. Det er benyttet en rentesats på 6 prosent for alle årene.
Dette medfører sannsynligvis ikke riktighet for enkelte selskap og landformuen vil derfor være overvurdert for disse selskapene.
Hele balansen tas med i fordelingsgrunnlaget.
Ved bruk av egenkapitalmetoden for investeringer i datterselskap skal det riktignok beregnes utsatt skatt (28 prosent) på differansen mellom regnskapsmessig og skattemessig verdi. Imidlertid, i og med at regnskapsmessig verdi antas å øke (andel av resultat i datterselskap skal tillegges bokført verdi), synes dette å øke gjeldspotensialet i sokkelselskapet ytterligere.
Sokkelselskapets egenkapitalandel forutsettes å holdes konstant på 20 prosent.
Dersom andelen av ikke-rentebærende gjeld knyttet til landinvesteringer er lik andelen av ikke-rentebærende gjeld knyttet til sokkelinvesteringer, vil konsernets skattebelastning være upåvirket av den valgte organisasjonsformen.
Det er fastsatt «single purpose» vilkår i pass through-avtalene når retten iht. en utvinningstillatelse har vært overdratt fra AS til beslektet filial av utenlandsk selskap. I disse avtalene betyr imidlertid vilkåret vanligvis at det utenlandske selskapet ikke skal drive annen virksomhet enn gjennom filialen – ikke at filialen ikke kan drive annen virksomhet enn utvinning.