5 Kapitalkostnad for investeringer i petroleumssektoren
5.1 Innledning
I dette vedlegget bruker vi begrepet kapitalkostnad når vi mener finansiell kapitalkostnad, altså kostnader knyttet til finansiering av den kapitalen som bindes i et prosjekt. Ellers omfatter kapitalkostnaden ved realinvesteringer også kostnaden ved at fysisk kapital slites eller forringes i verdi.
Alternativet til å sette inn kapital i prosjektet, er å anvende kapital i annen virksomhet som gir avkastning. Det er denne alternativavkastningen som er den finansielle kapitalkostnaden for prosjektet. For at en investering skal være lønnsom, må inntektene fra prosjektet minst dekke alle kostnader ved prosjektet, herunder alternativkostnaden for kapital. Kravet til avkastning (avkastningskravet) av prosjektet er dermed lik kapitalkostnaden.
Når korrekte risikojusterte kapitalkostnader i hver periode anvendes til å neddiskontere forventningsrette kontantstrømmer i en lønnsomhetsberegning (nåverdiberegning), vil positiv nåverdi angi at prosjektet minst dekker kapitalkostnaden og derfor er lønnsomt. Et alternativ er å korrigere kontantstrømmene direkte for risiko ved å beregne sikkerhetsekvivalente beløp, og så nediskontere sikkerhetsekvivalentene med en risikofri rente.
Kapitalkostnaden vil inkludere den avkastningen som investorene krever for å bære risiko. Kapitalkostnaden for et bestemt prosjekt skal bare reflektere risikoen ved denne investeringen. Kapitalkostnaden er i utgangspunktet avhengig av det aktuelle prosjektet.
Først i dette vedlegget skal vi se hvordan kapitalverdimodellen kan hjelpe oss til å klargjøre hvilke parametre som bestemmer kapitalkostnaden for et petroleumsprosjekt. Det er langt fra trivielt å tallfeste disse parametrene, og dermed komme fram til et tallanslag for kapitalkostnaden. Særlig vil det være vanskelig å fastsette relevant risikotillegg for et bestemt prosjekt. I praksis baserer en seg derfor ofte på hvordan markedet priser usikkerhet i selskaper som gjennomfører denne typen investeringer. Styrken ved kapitalverdimetoden er likevel at man så langt som mulig baserer seg på tilgjengelig markedsinformasjon.
Ønsker man å benytte en fast kapitalkostnad over prosjektets levetid, må tallanslagene nødvendigvis bli noe skjønnsmessige. Vi presenterer et røft estimat for kapitalkostnaden vel vitende om at andre forutsetninger og større teknisk spissfindighet kan lede til andre resultater. Vi diskuterer også om det er rimelig å bruke en konstant kapitalkostnad fremover i tid.
I stedet for å anvende samme kapitalkostnad for alle (eller store grupper) av petroleumsprosjekter, er det teoretisk sett mer tilfredsstillende å benytte ulike kapitalkostnader for ulike prosjekter med ulik risiko. I tillegg kan det være aktuelt å ta hensyn til at ulike deler av kontantstrømmene til et prosjekt har ulik risiko. Det taler for delkontantstrømdiskontering som er nærmere omtalt i vedlegg 1. En metode med delkontantstrømdiskontering kan stille store krav til data, og det er kanskje en av grunnene til at den benyttes forholdsvis lite i praksis.
Det er imidlertid én anvendelse av delkontantstrømsdiskontering som er spesielt relevant for skatteanalyser. Ved vanlige utforminger av skattesystemet vil usikkerheten knyttet til de skattemessige fradragene som oftest være lavere enn usikkerheten i realprosjektet. Dersom skattesystemet garanterer skattefradragene, vil de være sikre og kan diskonteres med en rente som er risikofri. Når man anvender prosjektets risikojusterte kapitalkostnad også for skattefradragene, er det vanskelig å sammenlikne ulike skattesystemer som gir fradrag med ulik tidsplassering og sikkerhet. Vi omtaler noen av de problemene det reiser.
Tallanslaget for totalkapitalkostnaden sammenliknes med den avkastningen som selskaper på norsk sokkel har oppnådd etter skatt, jf. Vedlegg 3 »Lønnsomheten i petroleumsnæringen».
Vi redegjør for hvilken bruk som gjøres av anslaget på selskapenes kapitalkostnad i utvalgets utredning. Det knyttes også noen kommentarer til forholdet mellom selskapenes kapitalkostnad og samfunnsøkonomisk lønnsomhet.
Vi bruker stort sett begrepet kapitalkostnad synonymt med avkastningskrav i den tro at kapitalkostnaden over tid er avgjørende for hvilket avkastningskrav selskaper bruker. Vi diskuterer kort grunner til at selskapene kan sette et høyere krav til avkastning ("hurdle rate") enn en markedsbasert kapitalkostnad tilsier.
5.2 Metode for fastsetting av kapitalkostnaden. Kapitalverdimodellen
Det er vanlig å ta utgangspunkt i kapitalverdimodellen (KVM) når man skal beregne risikotillegget og kapitalkostnaden for et prosjekt. Kapitalkostnaden er et anslag på den minimumsavkastningen som kreves av henholdsvis långiver og egenkapitalinvestorer for å stille kapital til disposisjon for et prosjekt eller et selskap. Kapitalkostnaden for et selskap eller et prosjekt beregnes som et veiet gjennomsnitt av to deler; gjeldskostnaden og egenkapitalkostnaden. Vektene bestemmes av andelene som de to finansieringsformene utgjør av kapitalbehovet. I engelsk-amerikansk fagspråk brukes begrepet "weighted average cost of capital (WACC)".
Kapitalverdimodellen resulterer i en sammenheng mellom forventet avkastning av et prosjekt (eller et verdipapir) og prosjektets usikkerhet. Den usikkerheten som er relevant å ta hensyn til, er den delen av et prosjekts usikkerhet som ikke forsvinner gjennom diversifisering.
I et effektivt virkende marked vil ikke investorer få betalt for å påta seg risiko som kan diversifiseres bort. Den totale risikoen (variabiliteten) i prosjektet vil altså være av to typer. Diversifiserbar risiko omtales gjerne som usystematisk risiko eller spesifikk risiko, og er særegen for prosjektet eller bransjen. Det kan være risiko for kostnadsoverskridelser og forsinkelser eller for egenskaper ved reservoaret. Den systematiske risikoen er risiko som ikke forsvinner ved diversifisering, og som investor vil kreve kompensasjon for å bære. Det vil være usikkerhet knyttet til utviklingen i makroøkonomiske størrelser, som økonomisk vekst, rentenivå og andre størrelser som i større eller mindre grad påvirker lønnsomheten av alle prosjekter. For eierne av et oljeselskap kan f.eks. usikkerheten om utviklingen i oljepriser være relevant risiko, avhengig av hvordan variabiliteten henger sammen med variasjonen i resten av porteføljen til eierne.
Ifølge kapitalverdimodellen vil prisingen av verdipapirer bli bestemt av investorer som diversifiserer ved å holde markedsporteføljen eller en portefølje som er representativ for markedsporteføljen. Kapitalverdimodellen er nærmere forklart i appendikset.
Egenkapitalkravet
Basert på kapitalverdimodellen vil en investor som stiller egenkapital til disposisjon for et prosjekt, ha et avkastningskrav som er gitt ved:

Figur -1
Her er re egenkapitalkostnaden (avkastningskravet) til prosjektet , rf·s* er risikofri rente etter skattejustering, βe er betaverdien for egenkapitalen i prosjektet og E(rm) er forventet avkastning på markedsporteføljen m. Har vi først et mål for prosjektets systematiske risiko, βe,kan risikokostnaden for egenkapitalen (risikotillegget) beregnes ved å multiplisere systematisk risiko med markedets risikopremie. Markedets risikopremie er den meravkastningen som en investor kan forvente å få dersom han investerer i markedsporteføljen fremfor i et risikofritt alternativ. Markedspremien er altså gitt ved MP= E(rm)- rf·s*. Avkastningskravet for eier blir da summen av en skattejustert risikofri rente, rf·s*, og et risikotillegg for egenkapitalen i prosjektet.
Skattejusteringsfaktoren, s*, er nærmere omtalt i appendikset. Det skal ta hensyn til forskjeller i hvordan eierinntekt og renteinntekt beskattes på investors hånd Med det norske skattesystemet blir skattejusteringsfaktoren (1-0,28)= 0,72 fordi utbytte og kursgevinst er skattefritt på investors hånd, mens renteinntekter beskattes med 28 prosent hos mottaker.
Fremmedkapitalkravet
Man kan bruke kapitalverdimodellen for å finne gjeldskostnaden på samme måte som egenkapitalkostnaden. Gjeldsbetaen uttrykker da den systematiske risikoen som selskapets kreditorer må bære gjennom ikke-diversifiserbar usikkerhet i den kontantstrømmen de mottar (renter og avdrag). Den vil være tilnærmet lik null for den typen aktører vi ser på her. Det er altså egenkapitalen som vil bære den alt overveiende delen av den systematiske risikoen i prosjektet. I praksis benyttes imidlertid ofte rentekostnad for prosjektet direkte som utgangspunkt for gjeldskostnaden, og denne vil inneholde et tillegg for kreditorens tapsrisiko. Det vil være korrekt så lenge det ikke tas hensyn til kreditorenes tapsrisiko i forventede kontantstrømmer, noe som heller ikke er vanlig.
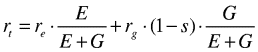
Totalkapitalkravet
Totalkapitalkravet etter skatt for selskapet ( rt ) er et veiet gjennomsnitt av egenkapitalkostnaden etter bedriftsskatt ( re) og gjeldskostnaden etter bedriftsskatt ( rg(1-s)) hvor vektene er henholdsvis egenkapitalandelen og gjeldsandelen.

Figur -2
Det er viktig at kapitalverdiene for gjeld og egenkapital verdsettes til markedsverdier. På grunn av at petroleumsskattesystemet favoriserer gjeld fremfor egenkapital, må en nøye vurdere hvordan en skal ta hensyn til skattefordelen av gjeld når en vurderer lønnsomheten av et prosjekt. I denne sammenheng må en også vurdere hvilken gjeldsandel og hvilken skattesats som skal brukes ved beregning av totalkapitalkravet. Den samlede skattefordelen av gjeld i et prosjekt kalles gjerne gjeldssubsidiet eller finansiell merverdi.
Det finnes flere metoder som i prinsippet burde gi samme resultat. En mulighet er å ta hensyn til gjeldssubsidiet i avkastningskravet. Så lenge vi ser på lønnsomheten av investeringer innenfor sokkelregimet, vil gjeldssubsidiet i gjeldende skattesystem være nokså likt fra prosjekt til prosjekt, forutsatt at skatteposisjonen er den samme. Da kan nedjustering av avkastningskravet være en grei metode.
Vi har i stedet valgt å beregne gjeldssubsidiet separat for hvert prosjekt og legge det til kontantstrømmene for prosjektet som en inntektskilde. Hvordan dette gjøres forklares nærmere i vedlegg 4. En viktig grunn for å gjøre det slik er at det gir større fleksibilitet når endringer i skattesystemet skal analyseres. Gjeldssubsidiet kan variere ganske kraftig med hvilke forutsetninger som gjøres om elementer i skattesystemet, for eksempel om skattemessig avskrivningsprofil.
Ved beregning av gjeldssubsidiet tar en hensyn til at selskapene vil ønske å maksimere gjelden til enhver tid innenfor begrensningene i petrskl. § 3h. Selskapene får da fradrag for gjeldsrenter mot en samlet marginalskattesats på 78 prosent, og denne skattesatsen inngår ved beregning av gjeldssubsidiet.
Gitt dette, er det rimelig å legge til grunn en »alminnelig» gjeldsgrad for denne typen prosjekter. For norske datterselskaper av utenlandske morselskaper vil det være rimelig å legge til grunn finansieringen i morselskapet fordi det er morselskapet som finansierer, direkte eller indirekte, investeringene i Norge. For norske selskaper med uavhengig finansiering, er det rimelig å legge til grunn faktiske kapitalandeler (etter markedsverdier) i selskapet.
Dersom kontantstrømmene korrekt inneholder verdien av gjeldssubsidiet, er den relevante skattesatsen, s, i uttrykket ovenfor skattesatsen på 28 pst. ( for norsk investor).
En slik behandling av gjeldssubsidiet vil dessuten gjøre kapitalkostnaden for petroleumsvirksomhet mer direkte sammenlignbar med kapitalkostnaden for annen virksomhet.
5.3 Utvikling av risiko over tid
Kapitalverdimetoden er bare en én-periode modell, og sier noe om forholdet mellom priser på verdipapirer i en gitt periode. Prosjektene som skal vurderes, strekker seg normalt over flere perioder. I petroleumsvirksomheten kan prosjektene være svært langvarige. Det er derfor nødvendig å gjøre forutsetninger om hvordan usikkerheten utvikler seg over tid.
Det er vanlig å anta at risikoen i et prosjekt øker med avstanden i tid, slik at kostnader og inntekter som inntreffer i fjern fremtid, skal korrigeres mer enn dem som inntreffer den første tiden etter at prosjektet er iverksatt. I praksis brukes ofte en konstant risikojustert diskonteringsrente. Dersom vi forutsetter at risikofri rente ikke endres over tid, innebærer bruk av en konstant risikojustert diskonteringsrente en antagelse om at lønnsomheten i prosjektet er like utsatt for systematisk risiko i alle enkeltperioder. Den samlede risikoen i prosjektet øker da eksponensielt med avstanden fra beslutningspunktet.
Det kan reises innvendinger mot å bruke en konstant risikojustert kapitalkostnad for petroleumsprosjekter. En stor del av risikoen i prosjektet vil være oljeprisrisiko. Det er mange som tror at oljeprisen over tid beveger seg mot en "normal pris", jf. kapittel 3. I så fall burde risikotillegget settes ned over tid. Gjør man ikke det, beregner man en for høy risikokostnad for prosjektet som helhet.
5.4 Tallmessig anslag for kapitalkostnaden
I uttrykket for egenkapitalkravet:

Figur -3
er det tre størrelser som skal bestemmes:
Den risikofrie renten , rf.
Markedets risikopremie, MP.
Den systematiske risikoen knyttet til egenkapitalen i prosjektet, βe.
Både den risikofrie renten og markedets risikopremie er prosjektuavhengige. Den systematiske risikoen er imidlertid avhengig av det aktuelle prosjektet.
Ved vurdering av prosjekter som går langt fram i tid, er det langsiktig, fremtidig risikofri rente og markedspremie som er relevant. Et utgangspunkt er beregninger av de historiske størrelsene.
Risikofri rente
Bøhren og Gjærum (1999) har beregnet risikofri realrente etter skattejustering i perioden 1979-1998 i Norge. I løpet av denne perioden har risikofrie investeringer gitt en årlig avkastning etter skattejustering på 2 prosent utover generell prisstigning. Under forutsetning av 28 prosent skatt og 2 prosent prisstigning fremover, vil samme nivå på risikofri avkastning tilsvare om lag 5,5 prosent nominell risikofri rente før skattejustering. Johnsen (1999) bruker en 3-års statsobligasjonsrente på 5,5 prosent som risikofri rente før skattejustering. I NOU 1997:27 har kostnadsberegningsutvalget anslått langsiktig realrente til 4 prosent pr. år. Med en fremtidig forventet inflasjon på om lag 2 prosent, kan dette tilsi en langsiktig nominell risikofri rente på om lag 6 prosent. Usikkerheten knyttet til fremtidig inflasjonsnivå som vil være reflektert i de langsiktige rentene, trekker etter kostnadsberegningsutvalgets oppfatning i retning av at den riskofrie renten bør settes lavere enn 6 prosent.
I juni 2000 var renten på norske 10 års statsobligasjoner om lag 6 prosent. Alt i alt kan en langsiktig nominell risikofri rente uten skattejustering på 6 prosent være en rimelig antagelse.
Markedspremien
Johnsen (1999) oppgir at totalindeks for Oslo Børs i gjennomsnitt har gitt 6,2 prosent meravkastning (uten skattejustering av risikofri rente) over de siste 32 årene (1967-1998(oktober)). Ifølge Johnsen tilsvarer det hva man har observert for lengre perioder i andre land, for eksempel USA, Storbritannia og Sverige.
Johnsen mener det er flere grunner til at det fremtidige normalnivået for markedspremien vil være lavere enn det historiske nivået på om lag 6 prosent. Han nevner spesielt at mindre variasjon i børsens likviditet og i inflasjonen og bedre kapitaliserte selskaper har redusert markedsrisikoen. Videre er investorene nå mer diversifiserte, og tåler derfor risikoen bedre. Han mener også at skattereformen, som gav en reduksjon av beskatningen av aksjeinntekter i forhold til renteinntekter på eiers hånd, kan ha redusert markedspremien for Oslo Børs. Den totale effekten av disse faktorene, mener Johnsen, har redusert normal markedspremie for Oslo Børs til 5 pst. eller kanskje lavere. Uansett må det være trygt å anta at stadig mer integrerte kapitalmarkeder vil gjøre at både den internasjonale risikofrie renten og den internasjonale markedspremien blir avgjørende også for norske investorer.
Salomon Smith Barney (1999) anslår at risikopremien for egenkapitalen ligger mellom 4,5 og 6,5 prosent. De baserer seg bl.a. på historiske data, forventninger hos markedsaktørene og skjønn. Da Salomon Smith Barney beregnet kapitalkostnader for oljeindustrien i 1997, valgte de å bruke en markedspremie på 5 prosent.
Et rimelig anslag for markedspremien uten skattejustering fremover kan etter dette være 5 prosent.
Beta for egenkapitalen
Det er vanskelig å gi et godt anslag for risikoen ved egenkapitalen i et petroleumsprosjekt på norsk sokkel fordi vi mangler informasjon som er direkte relevant.
Hadde man hatt 10 selskaper som bare drev oppstrømsvirksomhet på norsk sokkel, og det aktuelle prosjektet var nokså typisk, ville man neppe gjøre store feil ved å ta utgangspunkt i disse selskapenes gjennomsnittlige beta målt i forhold til en veldiversifisert, internasjonal markedsportefølje. Siden vi ikke er i denne situasjonen, må vi ty til en annen fremgangsmåte.
Beregninger av betaer for selskaper som driver forskjellige steder i verden, kan være et utgangspunkt. Salomon Smith Barney (1999) oppgir en egenkapitalbeta for bransjen »Crude» på om lag 0,60.
Å legge til grunn betaer som er beregnet for selskaper som driver mange steder i verden, har klare svakheter. I så fall bør en vurdere om det er spesielle risikofaktorer ved utvinning på norsk sokkel som skulle tilsi et avvik fra den betaverdien som kan beregnes for internasjonale oppstrømsselskaper.
Noen momenter kan nevnes i den forbindelse. Risikoen for (uventede) endringer i skattenivået er antagelig liten i Norge. Siden 1975 har det vært et erklært mål å inndra en stor del av grunnrenten til staten. Det er grunn til å tro at risikoen for endringer i skattleggingen er langt større i for eksempel Storbritannia, der statens andel av verdiskapingen nå er på et lavt nivå, og der skattesystemet historisk har blitt endret vesentlig hyppigere enn i Norge. Det er også grunn til å tro at usikkerheten knyttet bl.a. til de fiskale vilkårene kan være større i oljeproduserende land med mindre stabile politiske forhold enn i Norge.
Et annet moment er at det norske skattesystemet langt på vei gir fradrag for de aktive selskapenes inntektsrisiko. Det skyldes at vi har selskapsbasert beskatning og full konsolidering mellom prosjekter. I andre land er innslaget av feltvis beskatning langt større. Innslaget av bruttoelementer i beskatningen vil også normalt være større. Om betaer kunne estimeres med utgangspunkt i bare virksomhet på norsk sokkel, kan det tenkes at disse var lavere enn dem som observeres internasjonalt.
Vi har imidlertid valgt ikke å tillegge dette synspunktet avgjørende vekt. Vår forutsetning om egenkapitalbeta er derfor på 0,60.
Gjeldsandel
Gjennomsnittlig gjeldsandel for de selskapene som betaen er beregnet for, er om lag 35 prosent. Det er ikke avgjørende forskjellig fra gjeldsandelen basert på markedsverdier i de norske selskapene. Vi legger derfor til grunn 35 prosent gjeldsandel ved beregning av totalkapitalkravet.
Gjeldskostnad
På bakgrunn av opplysninger fra Johnsen og Salomon Smith Barney antar vi at oljeselskapene kan låne til en rente som er ett prosentpoeng over risikofri rente.
Totalkapitalkostnaden
Til sammen gir disse forutsetningene et totalkapitalkrav for selskapene etter skatt på vel 7 prosent nominelt. Det kan omsettes til et avkastningskrav før skatt på 10 prosent nominelt.
5.5 Delkontantstrømdiskontering av skattefradrag
Ulike skattesystemer kan føre til ulik plassering av skattemessige fradrag over tid. En kontantsstrømsskatt gir for eksempel fradrag for hele kapitalutgiften i investeringsåret, mens andre skattesystemer sprer fradragene over lengre tid. Er fradragene helt sikre, burde både selskap og stat være indifferente i forhold til tidsplasseringen av fradragene så lenge utsettelse av fradrag blir kompensert med en risikofri rente. Å anvende prosjektets risikojusterte avkastningskrav for de sikre fradragene, vil ikke gi en riktig sammenlikning mellom skattesystemer. Systemer som gir raske fradrag, vil da se mer lempelige ut for skatteyter enn et system som har senere fradrag, selv om nåverdien av de sikre fradragene er den samme i begge tilfeller. For en nærmere drøfting av diskontering av delkontantstrømmer vises det til vedlegg 4 om marginale avkastningskrav.
5.6 Avvik mellom selskapenes avkastningskrav og beregnet kapitalkostnad
Selskapene oppgir krav som er høye sammenliknet med dem man kommer fram til ved bruk av kapitalverdimetoden. Analytikere synes å legge til grunn krav som er mer i overenstemmelse med forutsetninger og beregninger som gjøres ovenfor.
Det er grunn til å anta at selskapenes krav i praksis har ulike formål utover å avspeile korrekt kapitalkostnad. Kravet kan være uttrykk for et mål, noe å strekke seg etter. Det kan være satt for å motivere til større innsats. Et selskap kan også bruke et høyt kapitalkrav dersom det står overfor flere prosjekter enn det vil gjennomføre hensyn tatt til vekstkostnader og liknende.
Mange selskaper synes å benytte samme kapitalkostnad ved investeringer i ulike deler av verden og i ulike prosjekter innenfor samme bransje. Hvis risikoforholdene er forskjellige, for eksempel på grunn av ulike skattesystemer, innebærer det at selskapenes samlede portefølje kan få en ikke-optimal balanse mellom avkastning og risiko.
Selv om krav ikke er markedsriktige, vil de påvirke beslutningene hvis disse kravene virkelig legges til grunn ved beslutningene. Dersom skattesystemet ikke skal påvirke selskapenes beslutninger, kan det tale for at en ved design av skattesystemet forutsetter det avkastningskravet som selskapene oppgir. Et problem er imidlertid at en slik fremgangsmåte åpner for strategisk adferd fra selskapenes side. Selskapene vil ha insentiver til å oppgi et høyt krav dersom de regner med at myndighetene da vil ty til skattestimulanser for å få gjennomført prosjekter som er samfunnsøkonomisk lønnsomme.
5.7 Kapitalkostnad og samfunnets kalkulasjonsrente
Risikojusterte avkastningskrav kan under gitte forutsetninger benyttes som samfunnsøkonomiske kalkulasjonsrenter i prosjekter med tilsvarende systematisk risiko. For en nærmere drøfting av risiko i nytte-kostnadsanalyser, viser vi til Halleraker (1995).
Appendiks. Nærmere om kapitalverdimodellen Forutsetninger i modellen
Kapitalverdimodellen utleder relativ prising av usikre verdipapirer, eller om man vil, relativ avkastning. Modellen forutsetter at investorer velger verdipapirer på basis av forventet avkastning og varians. I modellen gjøres det forutsetninger om investorenes preferanser og sannsynlighetsfordelingen for verdipapirenes avkastning. Investorene er forutsatt å like høy forventet avkastning og mislike varians (risiko). Preferansene er homogene. Avkastningenes sannsynlighetsfordelinger er normalfordelte. Det er perfekte kapitalmarkeder i den forstand at det er full informasjon og ingen meglerkostnader. Modellen er i utgangspunktet en én-periodes likevektsmodell, og resultatene om prising og avkastning beskriver derfor tilstanden når tilbudet er lik etterspørselen etter usikre objekter.
Som regel antas det at det finnes et risikofritt verdipapir, f.eks. statsobligasjoner. Det kan vises at en risikoavers investor vil holde en kombinasjon av det risikofrie instrumentet og markedsporteføljen.Hvor mye han avsetter i det risikofrie instrumentet og hvor mye han vil utsette seg for svingningene i det risikable markedet, avhenger (for gitt avkastning) av hvor stor risikoaversjon han har.
Markedsporteføljen
Markedsporteføljen består i prinsippet av alle usikre investeringsmuligheter som en investor har, og inkluderer også avkastningen av hans arbeid (menneskelig kapital) og realaktiva (boligkapital for eksempel). Blant annet avkastningen av arbeid vil variere fra person til person. Det innebærer at investoren vil tilpasse sin verdipapirportefølje til avkastningen av arbeidet. Alle investorer vil derfor ikke nødvendigvis holde børsens markedsportefølje. Selv om investorer eier risikable aktiva utover det som omsettes i markedet, vil likevel risikotillegget som observeres i markedet, kunne ta hensyn til ikke-børsomsatte aktiva (Mayers, 1972).
Det antas altså som regel at børsen avbilder markedsporteføljen godt nok. Et aksjefond som er konstruert for å bevege seg likt som markedet, kan altså brukes som markedsportefølje. Selv 15-20 tilfeldig valgte verdipapirer vil gjerne gi en god tilnærming til markedsporteføljen.
Markedspremien
Den som holder markedsporteføljen, blir kompensert med meravkastningen av denne i forhold til avkastningen av det riskofrie alternativet. Denne meravkastningen kalles markedspremien og er gitt ved:
MP=E(rm)- rf·s*
E( rm) står for forventet avkastning av markedsporteføljen og rf·s* er skattejustert risikofri avkastning. Skattejusteringsfaktoren s* er nærmere forklart nedenfor.
Prosjektets systematiske (relevante) risiko
Diversifiseringsmulighetene som markedet gir, betyr at det ikke gis kompensasjon for den delen av et prosjekts risiko som er såkalt usystematisk risiko. Usystematisk risiko er for eksempel risikoen for at det bores tørre hull, risiko knyttet til utvinnbare reserver og produksjonsprofil, samt risiko knyttet til utvikling av ny teknologi. Den usystematiske risikoen forsvinner når investeringen inkluderes i markedsporteføljen. Bare den delen av investeringens risiko som samvarierer med markedsporteføljen, den systematiske risikoen, vil oppnå en kompensasjon. Det er risiko som ikke forsvinner ved diversifisering, og tilsvarer risikoen i markedsporteføljen. Det vil være risikofaktorer som slår inn i store deler av det økonomiske liv, slik som økonomisk vekst, konjunkturer, utfall av lønnsoppgjør, muligheten for streik, skatteomlegginger og lignende.
Prosjektets samvariasjon med markedsporteføljen er altså det sentrale risikomålet i KVM. En investerings beta måler den systematiske risikoen i prosjektet i forhold til markedsporteføljens risiko:

Figur -4
,
der rp og rm står for prosentvis avkastning på henholdsvis prosjektet p og markedsporteføljen m. Var(rm) er variansen til markedsporteføljens avkastning og Kov(rp,rm)er kovariansen mellom avkastningen på prosjektet og avkastningen på markedsporteføljen. Kovariansen, som er det absolutte nivået på den systematiske prosjektrisikoen, er definert ved:

Figur -7
E er forventningsoperatoren. For hvert utfall beregner en produktet av avkastningsavvikene for henholdsvis prosjektet og markedet fra sine forventningsverdier, og disse produktene vektes med sannsynlighetene for hvert enkelt utfall for å komme fram til kovariansen.
Egenkapitalbeta og egenkapitalkostnaden
Det er normalt ikke mulig å beregne et prosjekts beta på den måten som er anvist ovenfor. En må derfor basere seg på erfaringsmateriale for liknende prosjekter. I praksis blir betaer estimert på grunnlag av historisk samvariasjon mellom markedsporteføljens (børsens) avkastning og avkastningen av børsnoterte aksjer i selskaper som antas å være sterkt påvirket av den type prosjekt man vil vurdere. Børsen måler avkastning på egenkapitalen etter bedriftsskatt. De betaene som estimeres på grunnlag av børsdata, vil derfor være betaer for egenkapitalen.
Gitt at vi har et mål for den systematiske risikoen ved egenkapitalen, βe, kan risikokostnaden beregnes ved å multiplisere systematisk risiko med kostnaden pr. risikoenhet.Kostnaden pr. risikoenhet er markedets risikopremie. Egenkapitalkravet, re, kravet til forventet avkastning av egenkapitalen, er da gitt ved:

Figur -9
Brukes det også fremmedkapital i prosjektet, finner man totalkapitalkostnaden som et veiet gjennomsnitt av egenkapitalkostnaden og fremmedkapitalkostnaden.
Skattejustering
Skattejusteringsfaktoren, s*, skal ta hensyn til at avkastningskravet til prosjektets kontantstrømmer etter selskapsskatt påvirkes av hvordan investorens inntekt beskattes. Sett fra investors side er utgangspunktet at alle investeringer med samme risiko skal ha samme avkastningskrav etter investorskatt.
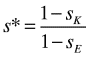
I det norske skattesystemet er utbytte skattefritt på mottakers hånd, og RISK-regulering vil føre til at kursgevinst heller ikke blir skattlagt på mottakers hånd. Renteinntekter, derimot, beskattes med 28 prosent uansett om mottaker er et aksjeselskap eller en personlig skattyter. Eierinntekt er altså skattemessig favorisert i forhold til renteinntekt på investors hånd. (Samlet sett for selskap og investor er det full skattemessig likestilling mellom gjelds- og egenkapitalfinansiering i det norske skattesystemet.) Det er denne skjevheten i investorbeskatningen skattejusteringsfaktoren skal fange opp. Den risikofrie lånerenten i KVM må derfor skattejusteres med en faktor som avspeiler forskjellen i skattlegging av eierinntekt og renteinntekt. Desto hardere renteinntekt beskattes i forhold til eierinntekt, desto lavere blir s*, dvs. jo sterkere skattejustering. Generelt er skattejusteringsfaktoren gitt ved:

Figur -10
, der sK er kreditorskatten og sE er eierskatten.
Hvis renteinntekter og eierinntekter beskattes likt på investors hånd, skal det ikke skje noen skattejustering av egenkapitalkravet.
Det norske skattesystemet fører til at skattejusteringsfaktoren s*= (1-0,28) = 0,72. For et prosjekt der egenkapitalens betaverdi er 1, får ikke skattejusteringen innvirkning på beregnet kapitalkostnad. Er betaen høyere enn 1, vil egenkapitalkravet reduseres når man skattejusterer. Er betaen lavere enn 1, vil effekten av skattejustering være å øke egenkapitalkravet.
Referanser:
Bøhren, Øyvind og P. I. Gjærum (1999): Prosjektanalyse. Skarvet Forlag.
Halleraker, Morten (1995): Behandling av risiko i nytte-kostnadsanalyser – en prinsipputredning. SNF-rapport 41/95.
Johnsen, Thore og Frøystein Gjesdal: Kravsetting, lønnsomhetsmåling og verdivurdering, Cappelen Akademiske Forlag, Oslo 1999.
Mayers, D. (1972): Non-Marketable Assets and the Capital Market Equilibrium under Uncertainty.
I M. C. Jensen (red.): Studies in the Theory of Capital Markets. New York. Praeger Publishers.
NOU 1997: 27 Nytte-kostnadsanalyser.
Salomon Smith Barney: The Industry Cost of Equity (februar 1999).
Salomon Smith Barney: Oil and Gas (november 1997).