4 Beregningsmåten for marginale realavkastningskrav for investeringer i petroleumsskatteregimet
4.1 Innledning
De siste par tiårene er det blitt vanlig å beregne marginale realavkastningskrav for å analysere virkningen av skattereglene på selskapenes insentiver til å gjennomføre investeringer. Tanken er at sparerne kanaliserer sine midler til ulike investeringer, og at valget mellom disse avhenger av avkastningen etter skatt i investeringsalternativene.
Det marginale realavkastningskravet før skatt er den avkastningen en investering minst må ha før skatt for at selskapet (eierne) skal sitte igjen med minst like stor avkastning som de kan oppnå på alternative investeringer. Avkastningen på alternative plasseringer angir således den nedre lønnsomhetsgrensen for en investering. Uten usikkerhet settes alternativavkastningen lik risikofri rente etter skatt.
Den første systematiske studien av marginale realavkastningskrav og effektive skattesatser ble utført av Fullerton og King (1984), basert på en metodikk utviklet av Hall og Jorgensen (1967). Metoden var sentral i arbeidet med skattereformen i 1992, jf. NOU 1989: 14 og Ot.prp. nr. 35 (1990-91). Til gitt (marginal) avkastning etter skatt viste beregningene store forskjeller i kravet til avkastning før skatt, avhengig av sektor og objekter. Disse beregningene etablerte et viktig utgangspunkt og en betydelig motivering for reformen. Store forskjeller i avkastningskrav før skatt mellom ulike typer investeringer betyr at skattesystemet gir insentiver til feil allokering av kapital. Slike feilallokeringer vil redusere den samlede avkastningen av kapitalen og dermed økonomisk vekst.
I dette vedlegget skal vi vise hvordan metoden kan anvendes for investeringer i petroleumssektoren. Hensikten er først og fremst å analysere hvordan petroleumsskatteregimet påvirker investeringsinsentivene.
4.2 Marginale realavkastningskrav
Det finnes flere måter å beregne virkningene av skattereglene på selskapenes investeringsinsentiver. Med utgangspunkt i konkrete prosjekter er det vanlig å beregne prosjektets nåverdi eller internrente før og etter skatt. Dersom nåverdien etter skatt er lik eller større enn null, er investeringen lønnsom for selskapet.
Internrenten er den diskonteringsrenten som gjør at nåverdien etter skatt av et investeringsprosjekt er null. Er internrenten høyere enn renten på beste alternative plassering, er investeringen lønnsom. Ved beregning av nåverdien og internrenten må en kjenne investeringskostnaden, de årlige kontantstrømmene og alternativavkastningen, samt skatteregler, avskrivningssystem, rentenivå, finansieringsmåte mv.
Uten å ta utgangspunkt i et konkret prosjekt kan en likevel beregne hvordan skattesystemet virker for en investering som akkurat er lønnsom etter skatt, det vil si som har en nåverdi etter skatt lik null. Ved beregninger av marginale realavkastningskrav finner en hvilken årlig avkastning før skatt som til et gitt avkastningskrav etter skatt gir en nåverdi lik null. Ved beregninger av marginale avkastningskrav ser en altså ikke på en antatt kontantstrøm fra prosjektet, men beregner en årlig konstant minsteavkastning som gjør prosjektet marginalt lønnsomt. Denne minsteavkastningen vil avhenge av skatteregler, avskrivningssystem, rentenivå, finansieringsmåte mv., men ikke av en spesiell investeringskostnad og dens kontantstrømmer.
Det marginale realavkastningskravet er altså definert som den avkastningen et investeringsprosjekt minst må gi før skatt for at et selskap skal være villig til å investere i prosjektet. Det marginale avkastningskravet sier hva selskapet må ha i avkastning før skatt for at eierne skal sitte igjen med en avkastning etter skatt som er minst like høy som avkastningen på alternative plasseringer. Avkastningen på alternative plasseringer bestemmer den nedre lønnsomhetsgrensen for en nyinvestering. I forbindelse med beregningene vi har gjennomført for petroleumsskattesystemet, har vi benyttet et anslag for oljeselskapenes risikojusterte kapitalkostnad etter skatt som en slik nedre grense.
Det marginale realavkastningskravet gir ikke grunnlag for å si noe om den gjennomsnittlige avkastningen av ulike investeringer. Den samfunnsøkonomiske lønnsomheten av oljeutvinning på sokkelen kan være høy selv om det marginale realavkastningskravet eventuelt er lavt. Lavt realavkastningskrav før skatt sier imidlertid at den samfunnsøkonomiske avkastningen ikke nødvendigvis må være høy for at en investering i sektoren skal være bedriftsøkonomisk lønnsom. Et investeringsprosjekt, for eksempel en utbygging på sokkelen, er i seg selv et resultat av en rekke økonomiske avveininger blant annet av teknologiske løsninger, dimensjonering og levetid. Ved vurdering av hvor stor kapasitet som er lønnsom, hvor raskt det lønner seg å produsere, hvor stor investering som bør gjøres i assistert utvinning og lignende, vil lønnsomhetskravet etter skatt kunne tjene som et avskjæringskriterium for selskapene. Avskjæres investeringer ved en for lav lønnsomhetsgrense før skatt, vil kapitalbruken i sektoren være for stor.
4.3 Formell utledning av marginale realavkastningskrav ved vanlig overskuddsbeskatning
Utgangspunktet for utledningen av marginale realavkastningskrav er en skattyter som investerer i et driftsmiddel som gir en avkastning etter skatt lik hans kapitalkostnad. Det er en marginal investering i den forstand at den akkurat tilfredsstiller hans lønnsomhetskrav etter skatt, og derfor vil bli akseptert. Investeringer som gir lavere avkastning, vil ikke bli gjennomført.
Vi tenker oss at det investeres 1 (krone) ved begynnelsen av år 0 (eller slutten av år –1), og at kapitalen gir en konstant årlig avkastning pr. kapitalenhet, Ω, ved utgangen av året, første gang i år 0. Denne bruttoavkastningen er den reelle tjenestestrømmen fra kapitalen etter fradrag for løpende driftskostnader, men før fradrag for kapitalkostnader (finanskostnader og depresiering av kapitalen). Kapitalen er utsatt for årlig fysisk depresiering slik at tjenestestrømmen reduseres over tid. Også depresieringen kommer i slutten av året, umiddelbart etter at produksjonen er materialisert. Det forutsettes en geometrisk kapitalslitsprofil, slik at bruttoavkastningen reduseres med en konstant andel δ hvert år.
Realverdien av bruttoavkastningen i år t er da Ω·(1 -δ) t. Vi antar at produktprisen stiger i takt med en generell inflasjonsrate lik π, slik at den nominelle bruttoavkastningen i år t blir
Ω·(1 -δ) t·(1 +π) t+1.
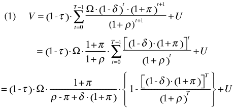
Bedriften er gjenstand for vanlig overskuddsbeskatning med skattesats τ, der den nominelle bruttoavkastningen inngår i skattepliktig overskudd. I tillegg består det skattemessige overskuddet av finansielle inntekter og utgifter, skattemessige avskrivninger, gevinst eller tap ved avhendelse av driftsmidlet. Skattesystemet kan også inneholde inntektsuavhengige skatter eller tilskudd. Nåverdien av avkastningen etter skatt finner vi ved å summere den diskonterte kontantstrømmen fra driftsmidlet over alle framtidige år, der antall år er satt til T:

Figur -1
I uttrykket ovenfor er det første leddet nåverdien etter skatt av bruttoavkastningen i år T, mens U er nåverdien av redusert skatt som følge av andre fradrag i eller tillegg til skattepliktig overskudd og eventuelle inntektsuavhengige skatter eller tilskudd som følger av investeringen.
Diskonteringsrenten, ρ, er skattyterens finansielle kapitalkostnad etter skatt, gitt i nominelle termer. Hvis investeringen er egenfinansiert, skal ρ reflektere bedriftseiernes alternativkostnad ved å binde kapital i bedriften.
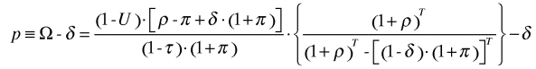
Bedriften tilpasser seg slik at markedsverdien av den blir størst mulig. Den gjennomfører derfor investeringer i et slikt omfang at nåverdien av kontantstrømmen etter skatt av den sist investerte kronen er lik investeringskostnaden på én krone, det vil si inntil V=1. Den marginale investeringen gir med andre ord en nåverdi av avkastningen etter skatt som tilsvarer investeringskostnaden. Det gir oss, når vi setter uttrykket i (1) lik 1 og løser for Ω, følgende uttrykk for det marginale realavkastningskravet p, definert som differansen mellom bruttoavkastningen før skatt (Ω) og depresieringen ( δ):
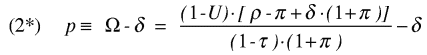
(2)

Figur -2
Hvis realrente før skatt er positiv vil uttrykket i klammeparentesen i (2) gå mot én når T går mot uendelig, det vil si når driftsmidlet beholdes til det er nedslitt. 1 I såfall vil p gå mot

Figur -3
Ved fravær av skatter blir både τ og U i (2*) lik null, og ρblir lik den nominelle renten. Dermed blir realavkastningskravet før skatt, ρ, lik realrenten ( ρ-π) /(1 +π) .
De vanligste elementene i U vil i utgangspunktet være nåverdien av redusert skatt som følge av fradragene for renteutgifter og avskrivninger mv.
I det norske skattesystemet er det skattemessig likebehandling mellom gjeld og egenkapital når man ser bedrift og eier under ett. Avkastningen på fremmedkapitalen beskattes hos långiver, og ikke i bedriftene, mens avkastningen på egenkapitalen skattlegges på bedriftens hånd og ikke hos eier. I dette tilfellet vil eierens avkastningskrav (og det beregnede marginale avkastningskravet før skatt) være upåvirket av hvordan driftsmidlet er finansiert. I formelen over gjenspeiler diskonteringsrenten, ρ, investors krav til avkastning på totalkapitalen etter skatt.
Fra uttrykket (2*) ser vi at jo større U er, desto lavere er avkastningskravet før skatt. I prinsippet kan U være større enn 1, og avkastningskravet før skatt blir dermed negativt. Størrelsen 1 - U kan tolkes som brukerprisen eller kjøpsprisen på kapitalenheten etter skatt, og denne vil bli negativ hvis subsidiene gitt i skattesystemet er høyere enn den gitte markedsprisen. 2
4.4 Tilpasning til petroleumsskattesystemet
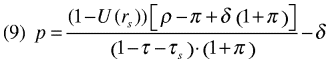
I dette avsnittet vises hvordan uttrykket for det marginale avkastningskravet før skatt må tilpasses særreglene i petroleumsskattesystemet. De særreglene som virker inn er spesielle avskrivninger og fradrag for friinntekt og gjeldsrenter mot særskatten.
Driftsmidler i petroleumsskatteregimet avskrives lineært over 6 år, første gang i anskaffelsesåret. Det er altså ikke noe krav om at driftsmidlet skal være tatt i bruk for at avskrivningene kan påbegynnes. Avskrivningene reduserer både alminnelig inntekt og særskattepliktig inntekt.
Grunnlaget for særskatten er det samme som for skatt på alminnelig inntekt, med unntak (for våre formål) av et ekstra fradrag kalt friinntekt. Friinntekten utgjør 5 prosent av verdien av driftsmidlet i 6 år fra og med anskaffelsesåret. De skattemessige verdiene av avskrivningene og friinntekten utgjør et element i U.
I særskattepliktig inntekt inngår også finansielle inntekter og kostnader. Det gis dermed fradrag for gjeldsrenter, ikke bare i alminnelig inntekt, men også i særskattepliktig inntekt. Fradraget i særskattepliktig inntekt har ikke noe motstykke i tilsvarende beskatning hos mottaker av renteinntekten. Den skattemessige favoriseringen av fremmedkapital innebærer dermed en økonomisk subsidiering av gjelden. I våre beregninger inngår denne subsidieringen, som også kalles finansiell merverdi eller finansieringsfordel, som et element i U.
For å redusere skatten har oljeselskapene insentiv til å ha så store rentefradrag som mulig. Mulighetene til rentefradrag begrenses imidlertid av petroleumsskatteloven § 3 h. Regelen fastslår at selskapet i forhold til inntektsansettelsen skal ha en egenkapitalandel som minst utgjør 20 prosent av summen av selskapets gjeld og egenkapital (totalbalanse). Dersom selskapet i henhold til balansen ved utløpet av inntektsåret har en gjeld som utgjør mer enn 80 prosent av totalbalansen, gis det bare fradrag ved ligningen for en forholdsmessig andel av netto finansutgifter som svarer til forholdet mellom 80 prosent av summen av egenkapital og gjeld og samlet gjeld ifølge balansen. Ved beregning av gjeldssubsidiet har vi lagt til grunn at selskapet tilpasser gjelden til 80 prosent slik at fradraget for gjeldsrenter blir størst mulig.
Et driftsmiddel som aktiveres, vil altså gi mulighet til rentefradrag for gjeld for i utgangspunktet 80 prosent av driftsmidlets regnskapsmessige verdi. Men investeringen vil påvirke også andre størrelser i selskapets balanse som kan føre til mulighet for større eller mindre rentefradrag enn 80 prosent. Investeringen vil endre selskapets overskudd og derigjennom skattegjelden i balansen. Dessuten vil det oppstå endringer i utsatt skatt forpliktelsene gjennom friinntekten og midlertidige forskjeller mellom regnskapsmessige og skattemessige avskrivninger. Det må også gjøres avsetninger til nedstengnings- og fjerningsforpliktelsene i selskapenes balanse. Mer skattegjeld, økt utsatt skatt og større nedstengnings- og fjerningsforpliktelser vil redusere muligheten til å øke den rentebærende gjelden, fordi økning i disse ikke-rentebærende gjeldspostene må regnes innenfor 80 prosent av driftsmidlets regnskapsmessige verdi.
Muligheten for økt rentebærende gjeld over levetiden for investeringen beregnes i en egen rutine der vi blant annet tar hensyn til utviklingen i skattegjeld, utsatt skatt og nedstengnings- og fjerningsforpliktelser, jf. nærmere omtale i punkt 5 nedenfor.
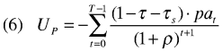
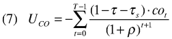
Produksjonsavgiften beregnes på grunnlag av den årlige inntekten og er fradragsberettiget ved beregning av både skatt på alminnelig inntekt og særskatt. Nettoverdien av produksjonsavgiften er et negativt bidrag til den samlede U. I den utstrekning CO2-avgiften vurderes som rent fiskal, beregnes en nettoverdi som tar hensyn til at den er fradragsberettiget i begge skatter. Et eventuelt fiskalt element i CO2-avgiften gir også et negativt bidrag til den samlede U. Den delen av CO2-avgiften som korrigerer for samfunnsøkonomiske kostnader knyttet til utslippet er det implisitt tatt hensyn til ved at disse inngår i de løpende driftskostnadene som pr. forutsetning er dekket av bruttoavkastningen, Ω, jf. punkt 3.
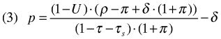
Formelen for beregning av marginale realavkastningskrav for et driftsmiddel i petroleumsskatteregimet, gitt at driftsmidlet beholdes ut levetiden, blir:

Figur -4
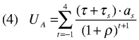
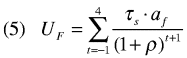
der τs er særskattesatsen og U er summen av nåverdien av skattereduksjonene som følger av fradrag for avskrivninger ( UA) og friinntekt, ( UF) gjeldssubsidiet ( UG), produksjonsavgift ( UP) og CO2-avgift ( UCO). Uttrykkene for UA, UF, UP og UCO er satt opp i likningene (4)-(7) nedenfor.

Figur -5

Figur -6

Figur -7

Figur -8
aser årlig skattemessige avskrivninger, af er årlig friinntekt, pat er produksjonsavgift i år t og cot er CO2-avgiften i år t. I formlene ovenfor er første gangs avskrivning og friinntekt lagt ett år før første års inntekter. Dette avspeiler en investering som foretas i slutten av året (slutten av år -1), og som gir inntekter året etter (år 0).
De skattereduserende elementene avskrivninger og friinntekt diskonteres med avkastningskravet etter skatt ( ρ). Alle deler av kontantstrømmen fra investeringen vurderes dermed til samme diskonteringsrente. Dette er en forenkling som ikke synes realistisk i alle tilfeller. Det er grunn til å tro at selskaper som er i full skatteposisjon (over hele investeringens levetid), og som dermed har full sikkerhet for at alle fradragene kommer umiddelbart til fradrag, vil vurdere slike sikre elementer i kontantstrømmen til en lavere diskonteringsrente enn usikre deler av kontantstrømmen. Siden skattereduksjonene som følger av fradragene forutsetningsvis er sikre, bør de ikke diskonteres med selskapenes risikojusterte rente etter skatt, men med den risikofrie renten etter skatt. Gjør man det, må man også anslå eller beregne risikoen for den gjenværende delen av kontantstrømmen. En metode for hvordan dette kan gjøres omtales i punkt 8 nedenfor.
4.5 Nærmere om beregning av gjeldssubsidiet
Gjeldssubsidiet, UG, beregnes i en egen rutine. Rutinen beregner regnskapsmessige og skattemessige effekter av en investering som gir marginal lønnsomhet. De regnskapsmessige virkningene er:
I petroleumsvirksomheten avskrives driftsmidler regnskapsmessig etter produksjonsenhetsmetoden. Forholdet mellom årets avskrivning og kostprisen fastsettes da lik forholdet mellom årets produksjon og forventet totalproduksjon. I rutinen er det forutsatt lineære økonomiske avskrivninger over 20 år. Det svarer til en geometrisk depresiering med 10 prosent årlig. De skattemessige avskrivningene foretas over 6 år fra og med det året utgiften er pådratt. Forskjellen mellom årets skattemessige og regnskapsmessige avskrivninger øker/reduserer utsatt skatt forpliktelsen i regnskapet. Normalt vil det oppstå en ganske stor utsatt skatt forpliktelse i den skattemessige avskrivningsperioden. Denne bygges ned gradvis etter at de skattemessige avskrivningene er gjennomført.
Skattevirkningen av friinntekten regnes, i tråd med gjeldende regnskapspraksis, i sin helhet som en utsatt skattefordel i det året investeringen pådras. Denne skattefordelen vil redusere utsatt skatt forpliktelsen i regnskapet og bidra til at rentebærende gjeld kan økes innenfor regelen i petroleumskatteloven § 3 h.
Som følge av betalingsterminene i petroleumsskattesystemet vil skattegjelden ved utløpet av året utgjøre halvparten av årets betalbare skatt.
Ved 20 års økonomisk levetid er det antatt at nedstengningsutgiftene utgjør om lag 3 prosent av investeringsutgiften. Det er antatt at fjerning finner sted etter 24 år og at fjerningsutgiftene utgjør om lag 5 prosent av investeringsutgiften. Selskapene foretar avsetninger til nedstengnings- og fjerningsutgifter hvert år i henhold til dette. Nedstengningsutgifter er fradragsberettiget i skattegrunnlaget. Selskapene må betale en egenandel av de totale fjerningsutgiftene. Denne egenandelen er ikke fradragsberettiget i skattegrunnlaget.
Vi regner ikke med regnskapsmessige effekter i balansen av anvendelsen av underskudd/overskudd i prosjektet. Det forutsettes med andre ord at underskudd kan dekkes opp og overskudd deles ut gjennom kostnadsfrie kapitaltilførsler eller -nedsettelser før utløpet av regnskapsåret. 3
Under disse forutsetningene om regnskapsmessige effekter beregnes hvor stor den rentebærende gjelden maksimalt kan være i hvert år for at egenkapitalen skal tilfredsstille kravet i petroleumskatteloven § 3 h om 20 prosent egenkapital i forhold til samlet egenkapital og gjeld. Størrelsen på rentebærende gjeld er dessuten avhengig av avkastningen på prosjektet fordi skatt på avkastningen påvirker skattegjelden i balansen og dermed størrrelsen på den rentebærende gjelden som gir rentefradrag. UG er altså en funksjon av p. Ved iterasjon sørger vi for at prosjektets inntekter innebærer at prosjektet er marginalt lønnsomt målt med det resulterende realavkastningskravet før skatt. Inntektsprofilen er dessuten tilpasset slik at den passer med profilen for økonomiske avskrivninger.
Rentefradraget framkommer da som renten på den beregnede rentebærende gjelden. Nåverdien av rentefradraget ved særskatteberegningen (gjeldsubsidiet UG) er nåverdien av rentebetalingene multiplisert med særskattesatsen.
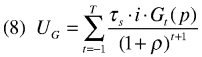
Vi har følgende formel for UG:

Figur -9
der i er lånerenten og Gt(p) er rentebærende gjeld i hver periode.
Det gjeldssubsidiet som beregnes ( UG) legges så til nåverdien av de skattemessige fradragene for avskrivning ( UA), friinntekt ( UF) og de skattemessige tilleggene for produksjonsavgift ( Up) og CO2-avgift ( UCO). Summen av U'ene settes deretter inn i formel (3) for marginalt avkastningskrav.
4.6 Marginale realavkastningskrav når selskapene ikke er i skatteposisjon
Hittil har vi lagt til grunn at alle skattemessige fradrag kommer effektivt til fradrag umiddelbart. Det gjenspeiler en situasjon der selskapet vil være i skatteposisjon uansett utviklingen i denne investeringens utgifter og inntekter. Selskap i skatteposisjon kan dermed utnytte de raske fradragsordningene i det gjeldende systemet fullt ut ved at disse kan avskrives mot annen særskattepliktig inntekt i selskapet.
Selskaper som ikke har annen inntekt enn fra den aktuelle investeringen, må imidlertid avvente at denne gir (tilstrekkelig) inntekt før fradragene kommer effektivt til fradrag. Spesielt vil raske avskrivninger og friinntekt føre til at inntektene normalt vil være lavere enn fradragene de første årene, slik at selskapene kommer i underskuddsposisjon og dermed må framføre underskudd mot framtidig inntekt. Siden underskudd kun kan framføres med nominelle verdier, vil nåverdien av fradragene være lavere.
Omfanget av underskuddsframføring vil avhenge av inntektsprofilen for investeringen. Til forskjell fra situasjonen når selskapet har tilstrekkelige andre inntekter, vil nåverdien av skattereduksjonene ( U) avhenge av investeringens inntektsprofil. Derfor er det ikke samme sikkerhet for størrelsen av de marginale realavkastningskravene i tilfellet der selskapet bare har dette prosjektet. Beregningene må anses som illustrasjonsmessige.
For å kunne plassere effektive fradrag i dette tilfellet har en tenkt seg at inntektsprofilen er slik at inntektene hvert år dekker en lineær depresiering av kapitalen og realavkastningskravet på gjenstående kapital.
4.7 Marginale realavkastningskrav når investeringen har en ledetid
I basistilfellet foran er det forutsatt at investeringen skjer i år 0, og at det første årets inntekter faller ett år etter at investeringen er foretatt. Ofte vil det imidlertid påløpe investeringer over flere år før driftsmidlet er ferdigstilt og kan settes i produksjon. Noen investeringer vil da påløpe flere år før produksjonen starter. Vi sier at investeringer har en ledetid.
Investor vil stille samme krav til avkastning av investeringer på investeringstidspunktet, uavhengig av hvor lang tid det tar før investeringen tas i bruk og genererer inntekter. Dette betyr at investoren krever en høyere inntekt når prosjektet først begynner å produsere hvis det tar tid før driftsmidlet tas i bruk, sammenlignet med kravet for et driftsmiddel som kan generere inntekter umiddelbart. Det skyldes at det er en kostnad knyttet til å binde opp kapital i prosjekter som først genererer inntekt om noen år. Investor vil derfor bare akseptere investeringer som er tilstrekkelig lønnsomme til at de kompenserer for at kapitalen bindes opp i flere år uten å generere inntekt. De marginale avkastningskravene vi beregner uttrykker kravet til avkastning på investeringstidspunktet.
Etter de gjeldende reglene kan driftsmidler på sokkelen avskrives når investeringsutgiftene er påløpt, og ikke når driftsmidlet tas i bruk.
For selskaper i skatteposisjon kommer dermed avskrivningene og friinntekten effektivt til fradrag det året investeringen er foretatt, uansett når driftsmidlet blir tatt i bruk og inntektene kommer. Det betyr at det marginale realavkastningskravet blir lite påvirket av om investeringen har ledetid. Økt ledetid fører imidlertid til at selskapet kan ta opp mer gjeld de første årene innenfor begrensningene i petroleumsskatteloven § 3 h, og dermed øker gjeldssubsidiet. Den økte gjeldskapasiteten skyldes at driftsmidlet ikke avskrives regnskapsmessig før produksjonen starter opp, slik at totalkapitalen i forhold til petroleumsskatteloven § 3 h er høyere.
Hvis selskapet ikke har andre inntekter enn fra den aktuelle investeringen, vil imidlertid en økt ledetid føre til at selskapet må vente enda lengre før skattefradragene kommer effektivt til fradrag. Derfor vil realavkastningskravet øke når ledetiden øker.
4.8 Marginale realavkastningskrav når det er mindre usikkerhet for skattefradragene enn for driftsoverskuddet
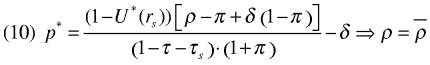
I punkt 4 antydet vi at skattereduksjonene som er sikre, bør diskonteres med en risikofri rente etter skatt. Gjør man det, må man også anslå eller beregne risikoen for den gjenværende delen av kontantstrømmen. Vi har ikke tilgang til data som kan hjelpe oss å anslå hva som er riktig risikojustert avkastningskrav for kontantoverskudd fra driften i oljeselskaper. Vi må derfor anvende en indirekte metode for å beregne et slikt avkastningskrav.
I beregningene av marginale avkastningskrav har vi forutsatt at vi kjenner selskapenes avkastningskrav etter skatt for petroleumsprosjekter. Vi kan tenke oss at det avkastningskravet vi bruker korrekt avspeiler avkastningskravet gitt et nøytralt skattesystem. Det marginale realavkastningskravet før skatt er da kjent og lik realavkastningen før skatt på en alternativ plassering med tilsvarende systematisk risiko. Nøytralitet kan teknisk sett oppnås både med og uten oppsplitting av kontantstrømmene. Vi gjennomfører oppsplittingen i en sikker kontantstrøm (bestående av skattefradragene) og rest-kontantstrømmen som er usikker. Den sikre kontantstrømmen diskonteres med risikofri rente etter skatt. Vi kan så fastsette det risikojusterte avkastningskravet for den usikre delen av kontantstrømmen slik at marginalavkastningskravet for hele prosjektet ikke endrer seg. Vi forutsetter at avkastningskravet for den usikre delen av kontantstrømmen ikke endres når vi endrer avskrivningene eller andre sikre fradrag som fører til redusert skatt. På denne måten kan vi regne ut det marginale realavkastningskravet også for ikke-nøytrale skattesystemer.
Vi tar utgangspunkt i uttrykket for det marginale realavkastningskravet (2*):

Figur -10
rs er risikofri rente etter skatt som benyttes til å diskontere sikre kontantstrømmer. La toppskrift * betegne verdier i nøytralt system. Hvis p* er kjent, kan vi løse for ρ og får da.

Figur -11

Figur -12
er nå den risikojusterte diskonteringsrenten etter skatt for de usikre elementene i kontantstrømmen etter skatt.
For vilkårlige verdier på U kan vi finne et korresponderende marginalt realavkastningskrav, p, når

Figur -12A
holdes fast, det vil si:

Figur -13
Framgangsmåten er ikke teoretisk sett helt korrekt, blant annet fordi det marginale avkastningskravet etter skatt i prinsippet endres når petroleumsskattesystemet endres.
Referanser:
King, M. A. and D. Fullerton (red.) (1984): «The taxation of income from capital - A comparison of the United States, the United Kingdom, Sweden and West-Germany». Chicago University Press.
Hall, R.E. og D.W. Jorgensen (1967): »Tax policy and investment behaviour». American Economic Review 57, 391-414.
NOU 1989: 14 »Bedrifts- og kapitalbeskatning – en skisse til reform»
Ot. prp. nr. 35 (1990-91): «Innstilling fra finanskomiteen om skattereformen» 1992.
Fotnoter
Konvergens krever at π < δ(1+π). En tilstrekkelig, men ikke nødvendig, betingelse for dette er at den reelle diskonteringsrenten etter skatt, (ρ-π)/(1+π), er positiv.
På den annen side kan det tenkes at subsidiene vil påvirke prisene i investeringsmarkedet. Det kan derfor diskuteres om prisen på investeringen (1 krone), som er forutsatt å være markedsprisen, er et korrekt referansepunkt. Hvis alle aktører har informasjon om subsidiene kan dette muligens føre til kjøpsprisen er høyere enn det den ville ha vært i et marked uten skatter og subsidier. I så fall kan en hevde at slike subsidier blir kapitalisert i markedet.
Anvendelsen av overskuddet eller underskuddet i prosjektet vil i prinsippet også virke inn på balansestørrelser i regnskapet. Dersom selskapet valgte å justere årets utbytte med årets overskudd/underskudd fra prosjektet, ville det påvirke balansens avsetning til utbytte. Dersom selskapet alternativt valgte å beholde prosjektets verdiskaping i selskapet framfor å dele ut utbytte, reiser det spørsmål om det er relevant å ta hensyn til hvordan kapitalen anvendes. Det er på det rene at avkastning som investeres i for eksempel aksjer dramatisk kan øke muligheten for rentefradrag ved at aktivapostenes verdi øker. Rentefradraget blir ikke motsvart av en løpende (sær)skattepliktig avkastning ettersom utbytte sjelden forekommer og i tilfelle høyst skattlegges med alminnelig skatt. (Gevinst ved avhendelse er særskattepliktig bare dersom datterselskapet anses som del av den særskattepliktige sokkelvirksomheten.) Vi har imidlertid valgt ikke å ta hensyn til at selskapene kan anvende overskuddet til investering i datterselskap for å øke gjeldskapasiteten. En begrunnelse kan være at dersom det er lønnsomt å tilføre kapital i selskapet for på bestemte måter å øke den totale gjeldskapasiteten, vil det kunne gjennomføres uten tilknytning til den typen investering i driftsmiddel som vi ser på. (Det reiser imidlertid igjen spørsmål om gjeldskapasiteten i hovedsak bestemmes av andre forhold enn de vi ser på her, gjennom selskapets aktivitet og verdsettinger e llers.)