1 Nøytralitet i petroleumsskattleggingen
Diderik Lund
1.1 Innledning
Dette vedlegget tar for seg prinsippene for optimal skatt på petroleumsvirksomhet. Det blir lagt spesiell vekt på begrepet nøytralitet, som blir nærmere definert og drøftet. Under noen sett av forutsetninger vil det være optimalt å utforme et nøytralt skattesystem. Slike forutsetninger blir presentert, og det viser seg at en ikke kan regne med at de alltid er oppfylt. Likevel kan nøytralitet ha betydning, enten i en mer begrenset forstand, eller som en mer pragmatisk norm.
Det foreligger allerede flere offentlige utredninger som drøfter nøytral skatt på bedrifter og personer. Vedlegg 1 til NOU 1989:14 av Agnar Sandmo er en sentral referanse. En videre utdyping av spesielle problemstillinger i en åpen økonomi står i NOU 1996:17, vedlegg 4 av Kåre P. Hagen og kapittel 6. Dette stoffet vil ikke bli gjentatt her.
Hovedvekten vil i stedet bli lagt på forhold som er spesielle for sektorer som utvinner naturressurser og dermed gir opphav til grunnrente. Et viktig særtrekk i petroleumssektoren er den store usikkerheten, spesielt sett på bakgrunn av prosjektenes lange planleggingshorisont. Dette krever særskilt analyse.
I Norge og mange andre land er ressursene i utgangspunktet samfunnets eiendom. Dette er noe av bakgrunnen for at det har vært lagt skatt på overskudd med satser rundt 80 prosent siden 1975. Det blir vist nedenfor at så høye satser i seg selv gjør at detaljene i utformingen av skattesystemet kan bli uvanlig viktige. I kombinasjon med den store usikkerheten oppstår det en rekke problemer som krever spesiell diskusjon. Disse blir tatt opp i dette vedlegget.
1.2 Nøytralitet
Sandmo (1989) gir følgende definisjon: “En nøytral utforming av skattesystemet har som siktepunkt at private beslutninger ikke skal vris systematisk i bestemte retninger; den relative lønnsomhetsvurdering av ulike beslutningsalternativer skal være den samme før og etter skatt.”
Dersom en skal utforme et nøytralt skattesystem, må en derfor ha oppfatninger om hvordan private beslutninger blir påvirket av ulike skattesystemer, i hvert fall av det systemet en utformer. Det dreier seg om beslutninger av privatpersoner og av selskaper. Vi vil bygge på relevante deler av samfunnsøkonomisk teori om slike beslutninger.
Temaet er skatt på oljeselskaper, det vil si selskaper som utvinner petroleum (olje og gass), og det er disse selskapenes beslutninger som blir behandlet. Vi kan se bort fra privatpersoners beslutninger, blant annet fordi vi betrakter prisene på olje og gass som upåvirket av de skattene vi ser på. Det kan være nyttig å dele selskapenes beslutninger i tre kategorier. De treffer beslutninger (i) om realøkonomiske forhold i tradisjonell forstand (leting, utbygging, drift, nedlegging), (ii) om finansiering, organisering og eiendomsforhold (finansiering ved hjelp av lån, egenkapital eller tilbakeholdt overskudd, valg av selskapsform, kjøp/salg av eierandeler) og (iii) om overføringer og inntektsflytting, samt utradisjonelle kjøp av fordeler. Alle de tre kategoriene kan bli påvirket av skattesystemet.
Når en skal vurdere om et petroleumsskattesystem er nøytralt, må en ta stilling til hva som er sammenlikningsgrunnlaget. Det mest konsekvente vil være å sammenlikne de beslutningene en venter å se under systemet, med beslutninger som en venter å se i en situasjon uten skatt noe sted. (Med “skatt” menes her og i det følgende både skatter og avgifter.) Problemet er at det eksisterer skatter i andre sektorer i Norge og i andre land som påvirker beslutningene i norsk petroleumssektor. En kunne derfor velge å sammenlikne med de beslutningene en venter å se i en situasjon uten skatt i norsk petroleumssektor, men forutsette de eksisterende skattene i alle andre sektorer og land. For norske myndigheter kan det også være interessant å vurdere skatt på petroleum og andre norske sektorer under ett, og sammenlikne med en situasjon uten norsk skatt, men gitt de utenlandske skattene.
Blant alle virkninger av skattesystemer kan det være grunn til å trekke fram to virkninger som det er rimelig å anta at alle systemer har, og som medfører tvil om systemene er nøytrale. Skatten reduserer disponibel inntekt for dem som blir skattlagt, og den gjør det fristende å søke å unngå skatt, for eksempel ved å la noen inntekter eller kostnader framstå som noe annet enn de i virkeligheten er.
Den første av disse virkningene kalles inntektsvirkningen. For en forbruker er det rimelig å anta at etterspørselen etter varer endrer seg med endret inntekt, selv om en tenker seg en situasjon der de relative prisene er uendret. Det er vanlig og hensiktsmessig å velge en definisjon slik at vi kaller en skatt nøytral selv om den har inntektsvirkninger. Hvis ikke, vil det neppe eksistere nøytral skatt i det hele tatt. For øvrig tilsier tradisjonell økonomisk teori at inntektsvirkninger ikke har betydning for aksjeselskaper med et stort antall godt diversifiserte eiere. Det er vanlig å anta at et slikt selskap vil sette i gang alle prosjekter som gir positivt overskudd etter skatt, og at selskapet ikke har likviditets- eller finansieringsproblemer. Dermed blir selskapets øvrige inntekter irrelevante ved vurderingen av et prosjekt. Vi drøfter denne forutsetningen nærmere i punkt 8.4.
Den andre av virkningene dreier seg både om lovlig unngåelse og ulovlig unndragelse av skatt, og har å gjøre med det som ovenfor ble kalt for overføringer og inntektsflytting. Dette kan skape problemer for bruken av begrepet “nøytral skatt.” På den ene siden er forsøk på å unngå eller unndra skatt klart uønsket, og det ville være ønskelig med et skattesystem som var nøytralt i den forstand at det ikke førte til slik atferd. På den andre siden er det vanskelig å tenke seg et skattesystem som ikke gir skattyterne insentiver til å unngå skatt. Selv den minste skattesats gir i prinsippet et slikt insentiv, om enn lite. Om denne typen atferd blir regnet med blant de beslutninger som en nøytral skatt ikke skal påvirke, blir det rimelig å konkludere med at nøytral skatt ikke fins. Med høye skattesatser i petroleumssektoren blir dette et reelt problem. I det meste av faglitteraturen om nøytral skatt ser en bort fra at skatten skaper insentiver til unngåelse, og vi vil for det meste bruke begrepet i en slik snever forstand. Men vi skal også se på nøytralitet i utvidet forstand, selv om full nøytralitet i forhold til unngåelse neppe kan oppnås.
1.2.1 Begrunnelse for nøytralitet
Den viktigste begrunnelsen for ønsket om nøytral skatt stammer fra samfunnsøkonomisk velferdsteori. Vi skal se at det også kan tenkes mer pragmatiske begrunnelser.
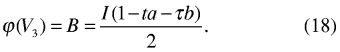
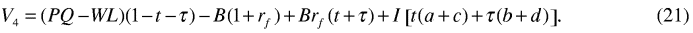
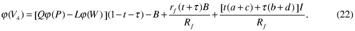
Den samfunnsøkonomiske velferdsteorien tar utgangspunkt i begrepet Pareto-optimum. En situasjon er Pareto-optimal hvis det ikke er mulig å gjøre den bedre for noen uten at noen andre får det dårligere. Det må spesifiseres hvilke aktører situasjonen omfatter, og vurderingene av hva som er bedre og dårligere i denne sammenhengen, er aktørenes egne. Pareto-optimum er et vanlig brukt kriterium for effektiv utnyttelse av samfunnets økonomiske ressurser. Det kan vises at en økonomi med fri konkurranse under visse forutsetninger når fram til et Pareto-optimum.
En enkel forklaring på at fri konkurranse fører til Pareto-optimum er at i fri konkurranse vil de økonomiske aktørene stå overfor de samme prisene og oppfatte dem som gitte. (Dette står i motsetning til situasjoner der en eller flere aktører er store nok til å påvirke prisene.) Da vil alle aktører gjøre samme avveining på marginen mellom ethvert par av varer (eller tjenester). “På marginen” betyr den avveiningen som gjøres mellom den siste enheten man kjøper av hver av de to varene. Det kan for eksempel dreie seg om hvor mye en kjøper av epler og pærer. Når prisforholdet mellom de to er det samme for alle, og alle har tilpasset seg dette, vil det ikke lenger være noen mulighet for gjensidig fordelaktig bytte av epler og pærer mellom noen forbrukere. Dette er en forutsetning for Pareto-optimum.
Det samme gjelder mellom to bedrifter som etterspør de samme to innsatsfaktorene, for eksempel fyringsolje og elektrisitet. Hvis bedriftene står overfor det samme forholdet mellom pris på fyringsolje og pris på elektrisitet, vil de gjøre samme marginale avveining mellom hvor mye som skal brukes av de to innsatsfaktorene. Da vil det ikke være mulig å øke produksjonen deres ved å flytte noe fyringsolje fra den ene til den andre og noe elektrisitet i motsatt retning. Dette er også en forutsetning for Pareto-optimum.
Skatter vil vanligvis forstyrre dette bildet og vri beslutningene. I begge eksemplene ser vi at det avgjørende for om skattene vrir beslutningene, er om de påvirker relative priser, altså forhold mellom par av priser som aktørene står overfor. Dette forklarer hvorfor inntektsvirkningen av skatt ikke er viktig for vridningene. En skatt kan gjerne ta inntekt fra noen aktører, men likevel gi en Pareto-optimal situasjon hvis alle aktører står overfor samme relative priser. Dette oppnås lettest ved såkalte rundsum-skatter, som ikke er knyttet til skattyters inntekt, formue, konsum, eller andre forhold skattyter kan treffe beslutninger om. For vårt tema er det kanskje viktigere å være klar over at aksjeselskaper, i motsetning til personer, ofte antas å treffe beslutninger uavhengig av sitt inntektsnivå.
Det at skatter medfører en annen atferd enn den en vil se i en situasjon uten skatt, er ikke uten videre noe argument for å fjerne eller redusere en bestemt skatt. Så lenge det er skatter i andre deler av økonomien, eller andre avvik fra Pareto-optimum, krever det en særskilt begrunnelse dersom en mener at reduksjon i visse skatter skal bringe en nærmere Pareto-optimum. Det er ikke åpenbart hva “nærmere” betyr i denne sammenhengen. Dette kalles nest-best-problematikk av samfunnsøkonomer.
Et viktig resultat i nest-best-teori, utviklet av Diamond og Mirrlees (1971), går ut på at det vil være fordelaktig å unngå å vri produksjonsbeslutningene. Hvis staten skal ha inn et visst skatteproveny med vridende skatter, vil det kunne oppnås gevinster for noen uten at andre taper (en Pareto-forbedring), dersom en avvikler vridende skatter på innsatsfaktorer, og i stedet skattlegger forbruk.
Det er ikke uten videre enkelt å legge Diamond og Mirrlees' resultat til grunn for utformingen av et petroleumsskattesystem. For det første er det vanskelig å tenke seg at en greier å unngå vridende skatter på innsatsfaktorer i resten av økonomien. For det andre bygger resultatet på en urealistisk forutsetning om at private aktører ikke får større kapitalavkastning enn en normalavkastning. Dette er nødvendig for å frikople konsumbeslutningene fra produksjonsbeslutningene. Et slikt fravær av renprofitt kan enten skyldes konstant skala-avkastning overalt, eller det kan oppnås ved hundre prosent skatt på renprofitt.
Dersom en ønsker å legge Diamond og Mirrlees' resultat til grunn for utformingen av landets skattesystem, vil det være avgjørende at grunnrenten i petroleumsvirksomheten inndras til staten. Med dette utgangspunktet blir resultatet dermed sterkt retningsgivende for utformingen av petroleumsskatten. Det vil ikke være nok å komme fram til en nøytral skatt, men en vil trenge en nøytral skatt med en sats på hundre prosent.
Dette er et av de få holdepunktene for å fastlegge teoretisk hva skattesatsen bør være. Faglitteraturen om nøytral skatt gir få resultater om dette, bortsett fra modeller som bygger på Diamond og Mirrlees.
Det har vist seg i praksis at hundre prosent grunnrenteskatt er vanskelig å gjennomføre, noe vi kommer tilbake til i det følgende. Om noe grunnrente blir igjen i privat sektor, kan en ikke lenger støtte seg på Diamond og Mirrlees som begrunnelse for nøytrale skatter i produksjonen.
Selv om den teoretiske begrunnelsen for nøytrale skatter, eller for Diamond-Mirrlees skatter, ikke kan sies å holde fullt ut i praksis, kan det likevel være mer pragmatiske grunner til å søke å gjøre petroleumsskattesystemet nøytralt. En mulighet er at myndighetene har en målsetting om Pareto-optimalitet eller en nest-best-situasjon som en kan nærme seg gjennom gradvise reformer. En annen mulighet er at en ikke ønsker å avvike fra den situasjonen en ville ha hatt uten skatt, uten å ha en spesifikk begrunnelse for å gjøre det. Dette kunne være begrunnet ut fra et prinsipielt syn om å ikke gripe unødig inn i markedets virkemåte.
En viktig innvending mot å bruke Pareto-optimum som kriterium for gode samfunnsøkonomiske løsninger, er at dette kriteriet ser bort fra fordelingen av inntekt, av formue, og av mer abstrakte mål for nytte eller velferd. I diskusjoner om petroleumsskatt er denne innvendingen trolig av mindre betydning. Her dreier det seg i hovedsak om fordeling av inntekt mellom staten og oljeselskapene, og argumenter om inntektsfordeling har sjelden eller aldri vært brukt for å grunngi at selskapene skal betale mindre skatt. Det kunne kanskje ha stilt seg annerledes dersom selskapene i utgangspunktet hadde eiendomsrett til ressursene. Det kan for øvrig tenkes mer indirekte virkninger av skattesystemet for eksempel på lønnsnivået i petroleumssektoren, men det lar vi ligge her.
1.2.1.1 Effektivitetsfremmende skatter og vridende skatter
En skiller ofte mellom tre typer skatter: De som fremmer samfunnsøkonomisk effektivitet, nøytrale skatter, og de som vrir beslutningene uten derved å fremme effektivitet. Ut fra det som står ovenfor om nest-best-situasjoner, er dette skillet ikke helt presist og uproblematisk, siden effekten av en skatt kan avhenge av hvilke andre skatter som er i virksomhet. Likevel er skillet nyttig.
Et typisk eksempel på en skatt som fremmer samfunnsøkonomisk effektivitet, er en miljøavgift. Denne vil påvirke aktørene til selv å ta hensyn til de miljøskadene de påfører andre. Et typisk eksempel på en nøytral skatt er en rundsum-skatt, for eksempel samme kronebeløp fra alle innbyggere. Vi skal se at også skatt på aksjeselskapers overskudd kan være nøytral. Et typisk eksempel på en vridende skatt er en skatt på arbeidsinntekt, som kan føre til at skattyterne arbeider mindre. Det er vanlig å bruke “vridende” om skatter som ødelegger for en effektiv allokering, men strengt tatt vil også den første typen skatt vri beslutningene. Forskjellen er at disse vridningene er ønskede.
Det vil være fornuftig å bruke de tre typene skatter i den rekkefølgen de er nevnt. Dette er i hvert fall åpenbart så lenge en ser bort fra inntektsfordeling. Først bør det innføres effektivitetsfremmende skatter. Om det er ønskelig med større statsinntekter, bør det brukes nøytrale skatter. Hvis en har utnyttet disse to typene fullt ut, kan en vurdere å innføre vridende skatter. Først ved innføring av vridende skatter vil det være en avveining mellom nytten av ytterligere statsinntekter og effektivitetstap som følge av skattleggingen.
Det kunne tenkes at de to første typene skatt var tilstrekkelige. En skal imidlertid være klar over at det også fins effektivitetsfremmende subsidier. Det gjelder spesielt når en tar i betraktning at det fins positive eksterne virkninger, f.eks. i produksjon og distribusjon av kunnskap. Om slik virksomhet blir subsidiert, er det ikke sikkert at det er noe netto proveny igjen til andre statlige formål.
I den normale situasjonen, der vridende skatter tas i bruk i betydelig omfang, vil skattene føre til effektivitetstap. Myndighetene vil avveie dette mot behovet for skatteproveny. Når den riktige avveiningen er gjort, vil en ha en situasjon der en krone statsinntekt er mer verdt enn en krone privat inntekt. Grunnen til at en ikke velger å utjevne denne forskjellen ved å overføre mer fra private til staten, er det effektivitetstapet som vil følge av å øke skattene ytterligere. Om en krone inntekt for private norske borgere er mer verdt enn en krone for utlendinger, kommer vi tilbake til i punkt 2.2.4.
1.2.1.2 Andre former for nøytralitet
I tillegg til det som har vært nevnt ovenfor, er det en rekke andre forhold som kan bli påvirket av skattesystemet, og der det kan tenkes en målsetting om nøytralitet. I NOU 1989:14 blir en rekke former for nøytralitet listet opp i punkt 8.2.4. En form vi hittil ikke har berørt, er “nøytralitet med hensyn til nyetablerte og veletablerte bedrifter.” Her vil skatt kunne ha stor betydning i petroleumsvirksomheten, noe vi kommer tilbake til nedenfor. Et oljeselskap som med sikkerhet er i skatteposisjon i mange år framover, vil ha mye større forventet verdi av skattefradragene for nye investeringer enn et selskap som er ute av skatteposisjon, eller som har en usikker skatteposisjon.
1.2.1.3 Betydning av nøytralitet
Teoretiske resonnementer kan begrunne at et skattesystem bør være nøytralt. Men en teoretisk drøfting alene kan ikke gi noe svar på hvor mye en kunne vinne på å gjøre systemet nøytralt, eventuelt tape på å avvike fra nøytralitet. Teorien gir riktignok noen holdepunkter for hvordan en kan gjøre samlet tap så lite som mulig, nemlig ved å spre vridningene over mange markeder.
Betydningen av nøytralitet vil være mindre jo færre viktige beslutninger de private aktørene treffer. Hvis et aksjeselskap har investert i anlegg som med stor grad av sikkerhet vil bli drevet på en bestemt måte i mange år, vil det ha liten betydning om en innfører skatt som i prinsippet er vridende. Her kan det være teknologiske forskjeller mellom ulike næringer. Det kan for eksempel tenkes at det er færre viktige beslutninger underveis ved drift av vannkraftverk enn ved drift av et typisk olje- eller gassfelt. Dessuten kan nøytralitet ha større betydning i en fase da store investeringsbeslutninger blir truffet, enn seinere. Men et slikt resonnement kan bli mindre relevant i petroleumssektoren hvis feltene ikke er i investeringsfasen samtidig.
Andre forhold som kan svekke betydningen av nøytralitet, er at myndighetene regulerer virksomheten gjennom lover og forskrifter, eller at myndighetene er inne på eiersiden. I så fall kan myndighetene påvirke selskapenes beslutninger direkte og derved unngå utslagene av vridende skatter.
Her må en imidlertid være klar over at begrunnelsen for at de private, og spesielt de utenlandske, selskapene skal delta i utvinning av petroleum på norsk sokkel, er at de har kunnskaper som er nyttige. Det antas at de bare vil bruke disse kunnskapene på best mulig måte dersom de selv har eierinteresser. Dersom dette er riktig, må det være noen viktige beslutninger som selskapene selv treffer. I så fall bør ikke skattesystemet påvirke disse beslutningene.
1.2.1.4 Effektiv utnytting av samlet investering
En mer begrenset målsetting enn det å ikke påvirke private beslutninger, er å sikre effektiv utnytting av de samlede investeringer i landet. I en situasjon uten skatt ville dette bli sikret hvis de som investerer, står overfor samme rente i kredittmarkedene, og denne er den samme for lån som for sparing. Alle investeringsprosjekter med høyere avkastning enn renten vil bli gjennomført. Dette fører til størst mulig avkastning på det samlede beløp som investeres.
Differansen mellom låne- og innskuddsrenter er trolig et mindre problem i denne forbindelse. Skatt trenger heller ikke føre til lavere avkastning (før skatt) av landets samlede investeringer. Ulik skattlegging i ulike sektorer vil imidlertid kunne føre til at kravet til prosjektenes avkastning før skatt blir ulik mellom sektorene. I så fall vil avkastningen på landets samlede investeringer bli lavere enn den kunne ha vært.
Vi skal se nedenfor at det avgjørende er hvordan skattesystemet virker på marginale investeringer; de som akkurat når opp i avkastningskravet. Ved en omhyggelig utforming av skattesystemet er det mulig å trekke inn en høy gjennomsnittlig skatt i en sektor uten at marginale investeringer rammes hardere enn i andre sektorer.
1.2.1.5 Nøytralitet og stabilitet
Mange ikke-nøytrale skattesystemer er forsøkt utformet for at de skal påvirke selskapenes beslutninger på en bestemt måte eller så lite som mulig, gitt visse begrensninger. Dette oppnås ofte ved å velge bestemte skattesatser og fradragssatser. Valget av slike satser vil ofte være avhengig av lønnsomheten (før skatt) i virksomheten. Lønnsomheten kan endre seg over tid som følge av endringer i priser, teknologi eller naturgrunnlag.
Dermed oppstår det behov for å endre skattesystemet. Slike endringer kan være gunstige og nærmest nødvendige i visse situasjoner, gitt det skattesystemet en har valgt. Men vurdert på lengre sikt vil endringer være lite heldige. Selskapene vil forutse at systemet ikke er stabilt over tid, men vil ikke vite hvordan, eller i hvilke situasjoner, det vil bli endret. Dermed oppstår politisk risiko, som vi kommer tilbake til i punkt 8.5. Dessuten oppstår muligheter for å påvirke myndighetene, noe det vil bli brukt ressurser på. Samfunnsøkonomisk er det en lite produktiv aktivitet.
I situasjoner med lav lønnsomhet kan myndighetene bli fristet til å gi skattelettelser for selskaper som kan starte ny virksomhet, men ikke til selskaper med eksisterende virksomhet. I situasjoner med høy lønnsomhet, vil skattene kunne bli økt for alle. En slik asymmetri kan være gunstig for myndighetene på kort sikt. Men hvis selskapene forutser den, vil det øke kravene deres til forventet avkastning, slik at investeringene bli mindre.
De nevnte problemene kan unngås hvis skattesystemet ikke trenger å endres på grunn av endret lønnsomhet. Nøytralitet er trolig en viktig forutsetning for slik stabilitet. En grundigere drøfting av troverdighet og stabilitet i samband med petroleumsskatt er gitt av Osmundsen (1996).
1.2.2 Nøytralitet ikke alltid ønskelig
Det teoretiske resultatet om at en frikonkurranseøkonomi når fram til en Pareto-optimal situasjon, bygger på en rekke forutsetninger. Hvis noen av disse forutsetningene ikke er oppfylt, kan det tenkes at myndighetene kan påvirke økonomien på en måte som er til gagn for noen uten å være til ulempe for andre. Et virkemiddel for å få til dette er ikke-nøytrale skatter. Det fins selvsagt også andre virkemidler, slik som konkurranselover for å nå fram til tilnærmet fri konkurranse.
Det er derfor god grunn til å undersøke de avvikene en kjenner til, i forhold til de teoretiske forutsetningene. I det følgende skal vi først og fremst konsentrere oss om de avvikene som er spesielt relevante for skattleggingen av norsk petroleumssektor. Vi skal dessuten drøfte om staten kan ha en annen målsetting enn Pareto-optimum.
1.2.2.1 Eksterne virkninger
Eksterne virkninger betyr at noen aktørers økonomiske beslutninger påvirker andres nytte eller overskudd på andre måter enn gjennom markedspriser og inntekter. (Virkninger gjennom inntekter, såkalte pekuniære eksterne virkninger, skaper ikke noe problem i denne sammenhengen.) Et aktuelt eksempel er forurensninger. Det er ofte mulig å avhjelpe eksterne virkninger gjennom avgifter. I norsk petroleumsvirksomhet er det innført en CO2-avgift. Dette er ment å være en effektivitetsfremmende ikke-nøytral skatt. Vi drøfter dette nærmere i punkt 8.1.
1.2.2.2 Dårlig diversifiserte eiere, eller risikoavers ledelse
Teorien om at markedsløsningen er Pareto-optimal, forutsetter at det eksisterer markeder for å spre risiko. I praksis skjer dette ved at selskapene er aksjeselskaper eid av et stort antall aksjonærer. Statseide selskaper kan også i prinsippet spre risikoen på alle innbyggere i et land.
Men det forutsettes også at ledelsen i selskapene utelukkende handler ut fra eiernes interesser. Dette er det vanskelig å få til. Mens eierne kan velge å spre sine eierinteresser på en lang rekke selskaper, vil ledelsen normalt ha en sterk interesse knyttet til resultatet for det selskapet de leder.
Samfunnsøkonomisk teori om selskapers beslutninger under usikkerhet viser at det er stor forskjell på beslutninger godt diversifiserte eiere vil gå inn for, og beslutninger som treffes av eiere eller en ledelse som har en stor del av sine inntekter og framtidsmuligheter knyttet til resultatet i selskapet. I det sistnevnte tilfellet vil beslutningene vanligvis være preget av risikoaversjon knyttet til selskapet sett isolert, eller til et prosjekt vurdert isolert. Alle former for risiko vil da telle negativt ved vurdering av et investeringsprosjekt.
Med godt diversifiserte eiere, derimot, vil risikoen bli spredt ut over mange, og den vil utgjøre en liten del av hver eiers samlede inntekt. Risiko i det enkelte prosjekt vil bare ha betydning i den utstrekning den bidrar til usikkerheten i hver eiers samlede inntekt, og dette avhenger av samvariasjonen mellom risikoen i prosjektet og risikoen i resten av økonomien. En slik diversifisering er nødvendig dersom private beslutninger skal føre fram til Pareto-optimum.
En populær modell som beskriver en likevekt i risikomarkedene er Kapitalverdimodellen (KVM), utviklet av Sharpe (1964), Lintner (1965) og Mossin (1966). Vi vender tilbake til denne i punkt 7.1.2.
Om eierne ikke er godt diversifiserte, eller om ledelsen legger vekt på egne interesser, blir situasjonen annerledes. Myndighetene kan i så fall forbedre situasjonen, og skatter er ett virkemiddel som kan brukes. Vi vender tilbake til dette i punkt 8.2.
1.2.2.3 Skattegrunnlag avviker fra beslutningsgrunnlag
Det er flere typer problemer som kan samles under denne overskriften. Vi har allerede nevnt selskapenes insentiver til å overføre netto inntekter vekk fra en sektor med spesielt høye skattesatser. Et beslektet problem er selskapenes ønsker om å gi ansatte fordeler som unnslipper personlig inntektsbeskatning, såkalte frynsegoder. Det fins også beslektede problemer som er mer problematiske sett fra selskapets synsvinkel, slik som at selskapene ikke alltid kan være sikre på å kunne henføre alle kostnader som vedrører et prosjekt, til fradrag i prosjektets regnskap. Det kan for eksempel dreie seg om kostnader knyttet til å overvåke prosjektet.
Vi kan oppfatte alt dette som måleproblemer, som er velkjente fra alle vitenskaper som samtidig er kvantitativt og empirisk orientert. Det meste av økonomisk teori om skatt ser bort fra disse problemene. Det vanlige er å definere ulike typer inntekter og kostnader, inn- og utbetalinger, og anta at disse både er de størrelsene som motiverer selskapenes handlinger, og de som inngår (eller gir fradrag) i skattegrunnlaget. Riktignok har faglitteraturen drøftet enkelte spesifikke unntak, slik som at skattemessige avskrivninger ikke samsvarer med den verdsettingen av kapitalutstyr som selskapene blir motivert av. Men det er mindre vanlig å ta hensyn til at alle de størrelsene en definerer i teorien, kan ha andre betydninger for selskapene enn det som kommer til uttrykk i skattegrunnlagene.
Vi skal se i det følgende at dette kan ha viktige konsekvenser for hva som er nøytral skatt i utvidet forstand. Det kan for eksempel være slik at et skattesystem som er nøytralt i snever forstand, fører til større overføringsproblemer jo høyere skattesatsen er.
1.2.2.4 Maksimering av skatteproveny
En grunn til å utforme ikke-nøytrale skatter kunne være at myndighetene har en annen målsetting enn Pareto-optimum. Inntektsomfordeling er en slik målsetting, men den spiller liten rolle ved utforming av petroleumsskattene. Uttrykt i fagterminologien skal vi forutsette at vi opererer med en enkel velferdsfunksjon, der all disponibel inntekt for private norske borgere og selskaper de eier, teller like mye.
Et mer relevant spørsmål, som prinsipielt er noe annet, er hvilken vekt myndighetene tillegger det overskuddet som blir igjen etter skatt i de utenlandske selskapene. En mulighet er at myndighetene ikke legger noen vekt på dette i velferdsfunksjonen. Om alle selskapene hadde vært eid av utlendinger, ville myndighetene bare ha ønsket å gjøre skatteprovenyet størst mulig. Alternativt kunne myndighetene ha tillagt overskuddet for utenlandskeide selskaper samme vekt som norskeide. En mellomting er også mulig.
Myndighetenes mandat er å ivareta interessene til Norges befolkning. Om man eventuelt velger å legge vekt på utlendingers interesser, krever det trolig en særskilt begrunnelse. En mulig begrunnelse vil være at det er til fordel for alle land om alle tar hensyn til hverandre, gjerne på spesifiserte måter, slik som nedbygging av handelshindre. Noe slikt kunne en også tenke seg når det gjelder skatt på overskudd, og dette er til en viss grad dekket av skatteavtaler med andre land. Men avtalene binder ikke Norges motiver. Myndighetene trenger ikke legge samme vekt på overskudd til utlendinger, og det er ikke grunn til å tro at andre lands myndigheter gjør det.
Derimot legger avtalene begrensninger på mulighetene til å ha andre skatteregler for utenlandskeide selskaper enn for norske. Siden både utenlandskeide og norske selskaper opptrer i petroleumsvirksomheten, betyr det at myndighetene neppe vil ha størst mulig skatteproveny som målsetting. På den andre siden er innslaget av norske private interesser lite. I den grad staten er inne som eier, har den mulighet til å motvirke effekten av vridende skatter ved direkte påvirkning av selskapene. Det kan derfor gis grunner for at staten kan tillegge overskuddet etter skatt mindre vekt ved utforming av skattene. Staten har i dag ikke tatt noe slikt standpunkt, i hvert fall ikke eksplisitt.
Det er kanskje ikke åpenbart at det vil ha noen betydning hvilken vekt en tillegger overskuddet til utlendinger. Om vi ser bort fra tidsdimensjonen og usikkerhet, blir tankegangen som følger: Hvis staten tillegger all inntekt samme vekt, betyr det at staten ønsker størst mulig overskudd før skatt. Men størst mulig overskudd før skatt vil kanskje også tillate det største skatteprovenyet? I så fall er det ikke noen motsetning mellom de to målsettingene. I det følgende skal vi imidlertid se at det kan tenkes situasjoner der det er en motsetning. Det er ikke uten videre enkelt å utforme et system som tar 99 eller 100 prosent av det størst mulige overskuddet inn som skatteproveny til staten. I punkt 8.3 skal vi se at det kan bli en avveining mellom å gjøre før-skatt-verdien størst mulig og å ta en størst mulig del av før-skatt-verdien inn som proveny.
1.3 Metode under full sikkerhet
Før vi går inn på en nærmere drøfting av egenskapene ved ulike skattesystemer, skal vi trekke et skille mellom analyser som tar hensyn til usikkerhet, og analyser som ikke gjør det. Usikkerhet gjør økonomisk-teoretisk drøfting atskillig vanskeligere, så det er grunn til først å undersøke hva vi kan si når vi ser bort fra usikkerhet. De fleste resultater vi kommer fram til under forutsetning om full sikkerhet, vil også gjelde under usikkerhet, eventuelt i modifisert form.
1.3.1 Nåverdi etter skatt
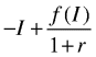
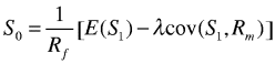
Den grunnleggende metoden for investeringsbeslutninger under full sikkerhet er nåverdimetoden. Den forutsetter at økonomiske aktører har adgang til å spare og låne ubegrenset, og at alle står overfor samme rente, både for sparing og lån. For analyser av mer enn to perioder skal vi for enkelhets skyld forutsette at renten er kjent og konstant over tid. Denne renten, r, brukes som kalkulasjonsrente til nåverdiberegninger. For en skattyter som står overfor en skattesats t på sine netto rente- og kapitalinntekter, brukes renten

Figur -001
som kalkulasjonsrente.
Da kan en begrunne at aktørene vil treffe investeringsbeslutninger basert på nåverdi: Et prosjekt med høyere nåverdi vil alltid bli foretrukket framfor et prosjekt med lavere, og positiv nåverdi er tilstrekkelig for at et prosjekt skal være ønskelig. Dette er uavhengig av den enkelte aktørs inntekt og formue, og av hva slags preferanser den enkelte har, så lenge mer foretrekkes framfor mindre. Metoden gir derfor grunn til å vente enighet mellom aksjeeiere. Den er også et enkelt investeringskriterium å delegere til en ansatt ledelse i et aksjeselskap.
Internrentemetoden er avledet av nåverdimetoden. For vanlige investeringsprosjekter, der år med negative netto kontantstrømmer i hovedsak kommer før år med positive netto kontantstrømmer, vil nåverdien være lavere jo større kalkulasjonsrenten er. Om kalkulasjonsrenten blir lav nok (men positiv), vil nåverdien som regel være positiv, men om den blir høy nok, vil nåverdien være negativ. Den kalkulasjonsrenten som gjør nåverdien lik null, kalles internrenten. Den er spesifikk for prosjektet.
Hvis kalkulasjonsrenten vi bruker, er forskjellig fra internrenten, vil internrenten (for et slikt prosjekt) vise om nåverdien er positiv eller negativ. Hvis og bare hvis internrenten er høyere enn den kalkulasjonsrenten vi bruker, vil nåverdien være positiv. Dette er internrentemetoden. Internrenten til hvert prosjekt kan beregnes uten kjennskap til hvilken kalkulasjonsrente som vil bli benyttet. Dette er administrativt enkelt, og forklarer noe av populariteten til metoden. Så kan hver beslutningstaker sammenlikne sin kalkulasjonsrente med internrentene, og velge å sette i gang de prosjektene som har positiv nåverdi.
Internrenten kan ikke brukes til å velge mellom prosjekter som utelukker hverandre. Den kan heller ikke brukes til å rangere prosjekter ut fra lønnsomhet, som måles ved nåverdi. Internrenten kan derimot oppfattes som et mål for relativ lønnsomhet ved prosjekter. Det betyr også at om en gruppe prosjekter varer i bare to perioder, og alle innebærer en like stor investering i den første perioden, så vil høyere internrente svare til høyere nåverdi.
Når vi har brukt plass på internrentemetoden på tross av dens begrensninger, har det med det sistnevnte poenget å gjøre. I analyser av skattesystemer vil vi nemlig ofte være spesielt opptatt av virkningen av skatt på avkastningen av den siste kronen som er investert, den marginale investeringen. I en slik analyse vil internrenten kunne brukes til å sammenlikne lønnsomhet, for eksempel under ulike skattesystemer. Høyere internrente etter skatt på den siste investerte kronen vil bety høyere nåverdi etter skatt for den marginale investeringen.
1.3.2 Marginale skattesatser
Ved vurdering av hvordan et skattesystem påvirker beslutninger under full sikkerhet, skal vi først se på to eksempler.
Anta først at en driftskostnad C gir opphav til en (brutto) inntekt

Figur -002
i samme år, uten noen konsekvenser i seinere år. Anta at et selskap kan velge størrelsen på C. Hvis funksjonen F er voksende og konkav, med en derivert funksjon

Figur -003
, vil differansen

Figur -004
bli størst mulig om C velges slik at

Figur -005
Dersom kostnaden C er fradragsberettiget ved beregning av en skatt med satsen s, mens inntekten blir skattlagt med satsen t, vil selskapet i stedet velge C slik at

Figur -006
og vi ser at effekten av skattesystemet kan måles med brøken

Figur -007
Vi kan definere denne brøken som skattekilen i dette tilfellet. Skattesystemet er nøytralt hvis

Figur -008
. Vi ser at små avvik mellom

Figur -009
og

Figur -010
vil bety mer for beslutningene jo høyere skattesatsene er. For eksempel er brøken 0,20/0,16 = 1,25 betydelig større enn brøken 0,70/0,66 = 1,06. Dette er et argument for at utforming av et skattesystem med høye skattesatser krever mer omtanke enn utforming av et system med lave skattesatser.
Som eksempel 2, anta at en investering

Figur -011
gir opphav til en netto kontantstrøm

Figur -012
i det påfølgende året. Hvis denne funksjonen er voksende og konkav, med en derivert funksjon

Figur -013
, vil høyest mulig nåverdi,

Figur -014
bli oppnådd dersom en velger

Figur -015
slik at

Figur -016
(Mer generelt skrives dette resultatet med

Figur -017
på høyre side av likhetstegnet, der

Figur -018
er årlig kapitalslitrate. Men i vårt enkle eksempel er denne lik 1.)
Anta nå at netto kontantstrøm i det andre året skattlegges med en sats t, mens det gis fradrag for investeringen delvis i det første året, og delvis i det andre året. Fradraget multiplisert med skattesatsen antas å være

Figur -019
i det første året og

Figur -020
i det andre året. Dette kan oppfattes som avskrivninger, spredt ut over bare to perioder. Det kan eventuelt dreie seg om en annen skattesats enn t i ett eller begge år — det er bare produktet av fradrag og skattesats som er av interesse her. I første omgang bruker vi markedsrenten som kalkulasjonsrente. Nåverdien etter skatt blir

Figur -021
Dette blir maksimert ved å velge I slik at

Figur -022
Eksempelet viser at beslutningen blir påvirket av brøken i den siste likningen, skattekilen i dette tilfellet. Jo større brøken er, jo større grenseprodukt av investeringen vil bli valgt, noe som innebærer en lavere I. Det er rimelig å betrakte

Figur -023
som en skattesats på linje med s i eksempelet foran. Vi definerer h som den marginale skattesatsen for investering i dette forenklede skattesystemet. Beslutningskriteriet vi fant ovenfor, viser at jo høyere andel skattesystemet dekker av I gjennom fradrag, altså jo høyere h, jo høyere I vil bli valgt.
Eksemplene illustrerer følgende poenger:
Ved beslutninger der en type kostnad veies opp mot en type inntekt, er det forholdet mellom “en minus marginal skattesats” for de to som avgjør vridningseffekten av skattesystemet.
Når skatten som følge av I blir endret i mer enn ett år, er det nåverdien av de endrede skattene som har betydning for beslutningen.
Hvis h-ene er skattemessige avskrivninger mot satsen t, og vi skriver

Figur -024
og

Figur -025
så vil en positiv rente (og

Figur -026
) medføre at h blir mindre enn t. I så fall vil en lavere I bli valgt under dette skattesystemet enn i en situasjon uten skatt.
Det siste er en viktig konklusjon. Et typisk system for skatt på selskapers overskudd vil nemlig tillate avskrivninger som summerer seg til hele investeringen, som i eksempelet, men mer typisk fordelt over flere enn to år. (Gjeldende regler for særskatt i petroleumsvirksomheten gir riktignok fradrag for 130 prosent av investeringen.) Så lenge de er fordelt over mer enn ett år, ser det ut til at disse skattesystemene vrir beslutningene.
Men vi skal se nedenfor at den relevante kalkulasjonsrenten under visse forutsetninger kan antas å bli endret av skattesystemet. I så fall har vi funnet en svakhet ved metoden med marginale skattesatser. Under slike forutsetninger vil metoden kunne være villedende.
1.3.3 Marginale avkastningskrav
En alternativ metode for å framstille vridningseffekten av et skattesystem er å se på skattesystemets effekt på marginale avkastningskrav. Det betyr at en tar utgangspunkt i hvilken avkastning eierne krever etter skatt, og så beregner hvilken avkastning prosjektet minst må gi før skatt for å oppfylle kravet. I eksempel 2 foran vil den siste likningen også gi svar på dette, siden høyre side nettopp hadde form av en avkastning. Om en vil, kan metoden med marginale avkastningskrav bygges ut for å ta hensyn til blant annet inflasjon, lånefinansiering og hvordan alternativavkastningen påvirkes av skattesystemet.
1.4 Nøytral skatt på grunnrente
Selskapene i petroleumsvirksomheten får utvinningstillatelser uten noen forhåndsbetaling som eventuelt kunne ha reflektert verdien av ressursene. Når det utvinnes petroleum, og prisene ikke er alt for lave, vil selskapene dermed få en unormalt høy avkastning på den kapitalen de investerer, også om en ser avkastningen i forhold til den risikoen de tar. Denne unormalt høye avkastningen kalles grunnrente eller ressursrente. Den kan oppfattes som verdien av ressursene, og blir forsøkt tatt inn til staten gjennom særskatt. Hvis utvinningstillatelsene hadde vært auksjonert bort i utgangspunktet, kan en under ideelle betingelser vente at grunnrenten i stedet hadde kommet til staten som betaling for tillatelsene. To av betingelsene ville være at deltakerne i auksjonen ikke ventet seg at det også ville bli pålagt særskatt, og at det var tilstrekkelig konkurranse og tilstrekkelig informasjon blant deltakerne.
Skatt på selskapsoverskudd kan i teorien utformes nøytralt. Men hvis en slik skatt ikke skal vri sparebeslutningene i samfunnet, må normalavkastningen på kapitalen ikke skattlegges. I så fall vil sektorer uten noen grunnrente knapt nok gi grunnlag for noe skatteproveny: Oppgangstider eller tilfeldige utfall med mer enn normal kapitalavkastning vil motsvares av nedgangstider og utfall med dårlig avkastning, og nøytralitet krever at det gis fullt tapsfradrag for de sistnevnte. Dermed ville skatten over tid ikke gi proveny.
I sektorer der selskapene tjener grunnrente (som de ikke har måttet betale for i utgangspunktet), er det derimot grunnlag for å ta inn grunnrenten gjennom skatt. Under visse forutsetninger kan denne utformes nøytralt.
Det fins i hvert fall to ulike begrunnelser for å ta inn mest mulig av grunnrenten til staten. Den ene har med effektivitet å gjøre: Skatten kan utformes nøytralt og vil gi proveny. Dermed kan andre, vridende skatter reduseres. Denne begrunnelsen ville gjelde uansett hvem som eide ressursen i utgangspunktet. Samfunnsøkonomiske effektivitetsargumenter har typisk ikke noe med eiendomsrett, rettferdighet eller inntektsfordeling å gjøre.
Den andre begrunnelsen har med eiendomsrett å gjøre: Ressursene er i utgangspunktet statens eiendom. Dette gjør virksomheten til et spesielt attraktivt skatteobjekt: Deltakerne kan ikke hevde at en høy skattesats er konfiskatorisk. Selskapene som deltar i Norge, har riktignok hevdet at de gangene skattesatsene øker, blir de fratatt verdier på en uakseptabel måte. Men over tid har staten også redusert skattene i perioder med lavere priser, dels for å oppmuntre ny virksomhet, men trolig også for å opprettholde et troverdig inntrykk av at skattene ikke skal være urimelige.
Bortsett fra resultatet hos Diamond og Mirrlees (1971) har vi så langt ikke noe holdepunkt for hva en riktig skattesats vil være. Når ressursene er statens i utgangspunktet, og hvis skatten er nøytralt utformet, kan en tenke seg å nærme seg 100 prosent skatt. Med 99 prosent skatt vil det i teorien fortsatt være interesse hos selskapene for å delta. Dette blir diskutert nærmere nedenfor.
1.4.1 Kontantstrømskatt
Utforming av et nøytralt skattesystem er ingen enkel oppgave. Men det fins ett system som er forholdsvis enkelt å definere, samtidig som det er nøytralt under vanlige forutsetninger om aksjeselskapers atferd. Det dreier seg om kontantstrømskatt. Den utformingen som gir de enkleste egenskapene, var foreslått av Brown (1948), og går ut på at skatten er en fast andel av selskapets ikke-finansielle kontantstrøm, positiv eller negativ. Skattegrunnlaget er altså den årlige differansen mellom inn- og utbetalinger, der kapitalstrømmer, renter, utbytte og liknende holdes utenfor. Systemet er bl.a. drøftet av Christiansen og Sandmo (1983) og Sandmo (1989).
Systemet innebærer at investeringer utgiftsføres i stedet for å bli aktivert og avskrevet. Det innebærer videre at det ikke er fradrag for renteutgifter. Det innebærer også at staten må betale ut (“negativ skatt”) i de årene da kontantstrømmen er negativ.
En begrunnelse for at et slikt system er nøytralt, bygger på at effekten på kontantstrømmen er som om selskapet har en mindre eierandel i hver lisens enn det faktisk har. Men det er en forskjell, fordi en kontantstrømskatt ikke fratar selskapet beslutningsrett slik statsdeltakelse til en viss grad gjør.
Innenfor standard samfunnsøkonomisk teori vil et aksjeselskap gå inn for de samme beslutningene om det disponerer en prosent av de årlige kontantstrømmene fra en virksomhet, som om det disponerer hundre prosent. Vi skal se nedenfor at det kan reises innvendinger mot denne egenskapen ved teorien. Men det er viktig å være klar over at det er denne teorien som ligger til grunn for resultatet om at en frikonkurranse-likevekt er Pareto-optimal. Om en velger å trekke i tvil at selskapene vurderer kontantstrømmer uavhengig av hvor store andeler de disponerer, er det ikke lenger klart hvorfor et nøytralt skattesystem er ønskelig.
En proporsjonal skatt på ikke-finansielle kontantstrømmer vil være nøytral under forholdsvis generelle betingelser, nemlig de samme betingelsene som fører til at de beslutningene selskapet ønsker, er uavhengige av andel. Det kan for eksempel gjelde uavhengig av om det fins andre skatter på selskapets inntekt, formue, produksjonsverdi eller faktorinnsats, eller på selskapets eiere. Men dette betyr selvsagt ikke at vridninger fra slike skatter blir opphevet. Nedenfor kommer vi tilbake til at nøytraliteten også vil gjelde under usikkerhet under visse forutsetninger.
Når det ikke gis fradrag for netto finanskostnader (bl.a. rentekostnader) i skatten, vil skattesystemet heller ikke gi selskapene noe insentiv til å lånefinansiere. Derimot vil de få insentiv til å kamuflere finanskostnader som investerings- eller driftskostnader. Dette utgjør et særskilt kontrollproblem for myndighetene, ukjent fra skattesystemer med fulle fradrag for faktiske finanskostnader.
1.4.2 Alternativ til skatt: Statsdeltakelse
Virkningene på et selskaps kontantstrøm vil i hovedsak være den samme av statdeltakelse som av den typen kontantstrømskatt som er beskrevet foran. Derfor kan statsdeltakelse oppfattes som en nøytral skatt under de samme betingelsene. Det er riktignok visse forskjeller, særlig om en kontantstrømskatt har samme virkeområde som særskatten i dag, og spesielt om skattesubjektene er lisensgrupper i stedet for selskaper. Vi skal se at det kan være grunner til å ha både statsdeltakelse og en skatt på grunnrente.
Statsdeltakelse gir i utgangspunktet staten rett til å delta i beslutningene i en lisens, i motsetning til skatt. Den norske staten har riktignok valgt å pålegge seg selv visse begrensninger. Dette kan tolkes som at staten vil garantere overfor selskapene at den ikke skal drive detaljstyring i kraft av sine eierandeler. Likevel har staten beholdt noe av retten til å delta i styringen som eier.
En annen forskjell har å gjøre med hva som skjer før og etter utbygging og drift av et felt. Selskapene har utgifter til f.eks. seismikk før de deltar i en lisens, og det er ikke åpenbart at dette kan trekkes fra hvis lisensen er skattesubjekt. Dersom selskapet er skattesubjekt, kan fradragsmulighetene være større. Etter at aktiviteten i en lisens er avsluttet, kan det også tenkes eiendomsrett til gjenværende verdier (materielle eller ikke-materielle) som staten vil ha rett til ved statsdeltakelse, men ikke ved kontantstrømskatt.
En viktigere forskjell er muligheten for å justere statens eierandeler sammenliknet med muligheten for å justere skattesatser. Det er trolig vanskelig å praktisere et skattesystem som er differensiert mellom felt. Det ville være vanskelig å finne rimelige og udiskutable kriterier for å fastsette høyere skattesatser for noen felt enn andre. Statsdeltakelsen er mer fleksibel på dette punktet. Ved tildeling av lisenser kan staten beholde de andelene den ønsker, men det er en begrensning at den ønsker at selskapene skal være interesserte i å starte leting. (Alternativet ville være å lete i statlig regi.) Om det etter utforsking av et område viser seg at selskapene ikke er interesserte i å starte utvinning i lisensen, kan dette eventuelt påvirkes ved at staten selger sin andel helt eller delvis. Dette virker bare en vei, siden staten normalt ikke kan forlange å øke sin andel ved gunstige utfall av utforskingen. For øvrig vil selskapene, hvis de kjenner til statens hensikt om å selge, kunne ønske å framstå som mindre interesserte i utvinning enn de i virkeligheten er.
Den skisserte framgangsmåten vil ha en effekt først og fremst hvis selskapenes atferd avhenger av størrelsen på eierandelene, noe vi kommer tilbake til nedenfor. Effekten er ikke den samme som ved en glideskala der selskapene på forhånd vet hvordan statsdeltakelsen avhenger av produksjonsprofilen. Det er grunn til å anta at en glideskala (slik den har vært praktisert i norsk petroleumsvirksomhet) reduserer selskapenes interesse for å utforske, og gir dem insentiv til å holde en lavere produksjonsprofil.
Med en ikke ubetydelig statsdeltakelse i utgangspunktet vil staten i alle fall ha et virkemiddel å sette inn dersom den ønsker å påvirke selskapene til å bygge ut et felt. Den eksakte effekten av dette vil avhenge av selskapenes forventninger om statens atferd.
Ut fra det ovenstående kan det spørres om det er noen grunn til å ha en spesiell skatt på grunnrente. Det kunne tenkes at statsdeltakelse ville være tilstrekkelig. Men en fordel ved skatt er muligheten til å øke den, for eksempel ved store økninger i oljeprisen. Vi går i denne sammenhengen ikke inn på om en slik økning er nødvendig og riktig. En økning i statsdeltakelsen i tildelte lisenser er mye mer problematisk. Den vil bli oppfattet som (delvis) nasjonalisering, bortsett fra hvis det er inngått avtaler med selskapene på forhånd om at en økning er en mulighet.
Nå kan det innvendes at det også kan være en ulempe for staten at den har juridisk rett til å øke skattesatsene uten noe samtykke fra skattyterne. Selskapene vil frykte en asymmetrisk atferd fra statens side: Høyere skatt hvis produktprisene stiger, men ikke tilsvarende lavere skatt hvis prisene faller. Dette kan gjøre selskapene uinteresserte i utbygginger med relativt lav lønnsomhet. Ulempen må veies mot fordelen ved å kunne skattlegge. Det er lite trolig at staten vil gi fra seg fordelen, og dessuten er det juridisk sett vanskelig å gi fra seg denne retten.
1.4.3 Alternativ til skatt: Forhåndsbetaling
Et annet alternativ til nøytral skatt for å inndra grunnrente til staten vil være å la selskapene betale for rettighetene til å utvinne før utvinningen starter. Betalingen kan fastsettes ved å avholde en auksjon for hver lisens. Alternativt kunne den fastsettes på andre måter, for eksempel ensidig fra myndighetenes side. I alle fall ville myndighetene være interesserte i å sikre seg mot lave priser på grunn av utilstrekkelig konkurranse, men dette kan ordnes ved en utropspris i en auksjon. Ved en riktig utformet auksjon kan et beløp nesten like stort som forventet grunnrente bli inndratt til staten. Selv om det er mulig å kombinere forhåndsbetaling med ulike typer skatter, skal vi i første omgang forutsette at dette ikke skjer. Eventuelt kan selskapene være ilagt vanlig skatt på overskudd.
Forhåndsbetaling kan virke nøytralt i den forstand at den ikke påvirker selskapenes beslutninger. Det må riktignok tas noen forbehold. Vi kan her skille mellom beslutningen om å delta i en auksjon (og/eller betale for rettighetene), og beslutninger som treffes etterpå.
Beslutningen om å gi bud og betale for rettighetene vil avhenge av selskapets vurderinger av hvor lovende området er, og av risikoen. Risikobildet vil være et helt annet ved en forhåndsbetaling enn ved et skattesystem basert på realisert grunnrente. En stor forhåndsbetaling betyr at selskapene tar en mye større risiko, og at det beløpet de er villige til å betale, av den grunn kan være betydelig mindre enn forventet grunnrente. Vi kommer tilbake til vurdering av risiko i punkt 7 nedenfor. Det kan tenkes at selskapene og myndighetene verdsetter risiko likt. I så fall vil staten ikke tape noe hvis den på denne måten får byttet bort en usikker innbetaling av grunnrenteskatt mot en sikker forhåndsinnbetaling med en mindre forventet verdi.
Men lik verdsetting av risiko hos selskap og stat forutsetter blant annet at risikomarkedene fungerer, og at selskapenes ledelser opptrer i eiernes interesser. Det er rimelig å tro at ledelsen i et selskap kan ha en ekstra motvilje mot likviditetsproblemer og konkurs. Om selskapet er lite i forhold til den forhåndsbetalingen som kreves, vil det i så fall ha problemer med å delta. Store selskaper vil derfor ha lettere for å vinne fram i auksjoner, og den reelle konkurransen kan bli begrenset.
Om selskapene treffer beslutninger slik det er forutsatt i standard økonomisk teori, vil beslutninger som treffes etter forhåndsbetalingen, være upåvirket av forhåndsbetalingen. Den eneste viktige endringen i selskapets situasjon som følge av forhåndsbetalingen er at det har dårligere likviditet, men i standard teori betyr ikke likviditeten noe for beslutningene. I små selskaper er det imidlertid stor sannsynlighet for at likviditeten kan bli dårlig, og selv i store selskaper kan den bli dårlig ved uheldige utfall for olje- og gassprisene. I så fall er det ikke utenkelig at beslutningene påvirkes (i strid med den nevnte teorien), spesielt at de blir mer innrettet på kortsiktige overskudd.
En hovedgrunn til at forhåndsbetaling er mindre aktuelt i Norge nå, er at store utbygginger har skjedd uten noen vesentlig forhåndsbetaling. Skatt vil være det viktigste virkemiddelet til å inndra grunnrente for disse feltene, og det er ikke uten videre enkelt å lage et annet system for nye utbygginger.
Tidligere teoretiske diskusjoner har av og til anbefalt en kombinasjon av grunnrenteskatt og forhåndsbetaling, se f.eks. Clunies Ross (1982) s. 41 og Boadway m. fl. (1989) s. 114. Et problem med en slik kombinasjon er at det er vanskelig å fastlegge prinsippet for selve kombinasjonen, arbeidsdelingen mellom de to instrumentene. Eksistensen av en grunnrenteskatt vil gjøre det vanskelig for myndighetene å binde seg troverdig til ikke å øke skattesatsen seinere. Dette vil i så fall legge en demper på hva selskapene er villige til å by i en auksjon.
1.5 Ikke-nøytrale skattesystemer, uten usikkerhet
Foran så vi på systemer for å inndra grunnrente som var nøytrale under svært generelle forutsetninger. Først og fremst måtte vi forutsette at selskapenes valg ikke var skala-avhengig: De ønsker samme beslutninger for et prosjekt uavhengig av hvor stor andel de disponerer av prosjektet etter skatt.
Her skal vi studere skattesystemer som i beste fall er nøytrale under mer spesielle forutsetninger. Siden vi ikke kan regne med at de mer spesielle forutsetningene er fullstendig oppfylt, må vi klassifisere disse systemene som ikke-nøytrale. Vi skal også se på mer begrensede former for nøytralitet, slik som effektiv utnyttelse av samlede investeringer.
Om et skattesystem virker nøytralt eller ikke, kan avhenge av om det anvendes i en lukket eller åpen økonomi. Her skal vi i første omgang betrakte situasjonen i en lukket økonomi, mens vi kommer tilbake til åpne økonomier i punkt 6.
Analysen vil i denne omgangen begrense seg til situasjoner der framtida er kjent med full sikkerhet. Dette er ikke ment å være realistisk for noen situasjon, men en nyttig første analytisk tilnærming.
1.5.1 Norsk skatt på kapitalinntekt etter 1992
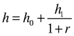
Siden 1992 har norsk skatt på kapitalinntekt fulgt noen forholdsvis enkle prinsipper. Vi skal konsentrere oss om aksjeselskaper og se bort fra delingsmodellen. Avkastning på egenkapital er i utgangspunktet skattlagt på selskapets hånd. Aksjeutbytte skattlegges ikke på mottakernes hender. RISK-systemet sørger for at i den grad avkastningen ikke er skattlagt i selskapet, vil overskytende kapitalgevinst bli skattlagt på aksjonærenes hender. Her er det riktignok en svakhet at kapitalgevinst først skattlegges ved realisering. Renter på selskapets gjeld er fradragsberettiget på selskapets hånd, men skattlegges på långivernes hender.
Det er altså en asymmetri mellom skatt på egen- og fremmedkapitalavkastning. Men samme skattesats anvendes på begge, og en kan si at asymmetrien i skatten på selskapets hånd motsvares av en omvendt asymmetri ved skattlegging av dem som eier kapitalen. Dermed er det ingen systematisk favorisering verken av egenkapital eller fremmedkapital. Denne nøytraliteten var en viktig motivasjon for skattereformen i 1992.
Den asymmetrien som er tilsiktet, kan vanskelig sikres når eierne av kapitalen er utenlandske. Forskjellige land har forskjellige metoder for å skattlegge avkastning av både egenkapital og fremmedkapital. Hvis nøytraliteten mellom egen- og fremmedkapital skal opprettholdes, må en mottaker i utlandet bli skattlagt høyere på sine renteinntekter enn på mottatt utbytte fra Norge. Men i noen land er skatten lik på begge typer inntekt. Dermed kan det tenkes at en av de to typene kapital er favorisert for utenlandske eiere. Et ekstremt tilfelle vil være at renteinntekter ikke er skattlagt hos en utenlandsk mottaker i enkelte land. I så fall vil utlendinger foretrekke å kanalisere kapital til Norge som lån fra et beslektet selskap i disse landene.
Når kapitaleierne er norske, avhenger effekten av systemet av om avskrivningene treffer det faktiske verdifallet på den investerte realkapitalen. I så fall vil den nominelle internrenten av et prosjekt etter skatt være redusert med skattesatsen i forhold til den nominelle internrenten før skatt. For tida er skattesatsen 28 prosent.
Det er enklest å se dette for en investering som ikke gir grunnlag for avskrivninger, slik som investering i en ubebygd tomt. Både skattemessige og økonomisk riktige avskrivninger vil da være null. Om tomta blir leid ut for et konstant nominelt beløp hvert år i evighet, vil dette beløpet bli skattlagt med 28 prosent. Om beløpet før skatt er 7 prosent av det tomta ble kjøpt for, vil internrenten før skatt være 7 prosent nominelt, mens nominell internrente etter skatt er om lag 5 prosent, d.v.s.

Figur -027
prosent.
Den samme reduksjonen i internrente skjer når skattesystemet mer generelt tillater økonomisk riktige avskrivninger. Som et eksempel kan vi se bort fra inflasjon og betrakte seks års lineære avskrivninger (som i petroleumsvirksomheten, uten at vi her tar stilling til om det er en rimelig sats). Dette er økonomisk riktig for et prosjekt som for eksempel krever en investering på 600 i ett år, og som gir inntekter i de følgende seks årene (men ingenting deretter) slik:
(42+100, 35+100, 28+100, 21+100, 14+100, 7+100).
Inntekten dekker kapitalslitet på 100 hvert år samt en avkastning på 7 prosent av den kapitalen som er bundet i prosjektet ved inngangen til året. Prosjektet har en internrente på 7 prosent. Den delen av inntekten som dekker kapitalslitet, motsvares av de skattemessige avskrivningene, og vil dermed unngå skatt. Skatten blir 28 prosent av avkastningen på 7 prosent, og inntekten etter skatt blir dermed redusert til
(30+100, 25+100, 20+100, 15+100, 10+100, 5+100).
Prosjektet har dermed en internrente på 5 prosent etter skatt.
Denne reduksjonen i internrente betyr at systemet ikke er nøytralt i en lukket økonomi. Vi ser nærmere på nøytralitetsegenskapene til systemet i punkt 6.
Systemet er begrenset nøytralt i den forstand at det gir effektiv utnyttelse av samlet investering. Både lånefinansierte og egenkapitalfinansierte investeringer vil på marginen ha en netto avkastning før skatt lik markedsrenten.
De egenskapene som er nevnt ovenfor, forutsetter at et selskap er i skatteposisjon hvert år. Reglene er slik at dersom skattegrunnlaget blir negativt, kan det framføres til fradrag i seinere år. Men et slikt utsatt fradrag har lavere nåverdi, slik at den effektive skatten blir tyngre. Dermed reduseres internrenten etter skatt ytterligere. Dette er en grunn til at systemet ikke er nøytralt mellom finansieringsformer, næringer eller kapitaltyper. Vi kommer tilbake til fradrag for underskudd i forbindelse med usikkerhet i punkt 7.1.2.
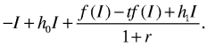
1.5.2 Norsk skatt på petroleumsinntekt etter 1992
Utgangspunktet for norsk skatt på petroleumsinntekt er det eksisterende systemet for skatt på aksjeselskapers inntekt. Denne skatten ilegges, riktignok med særskilte avskrivningsregler, og så ilegges det i tillegg en særskatt. Grunnlaget for særskatten tar utgangspunkt i grunnlaget for den vanlige selskapsskatten, men det er noen forskjeller, også når det gjelder innbetalingsdatoer (kortere skattekreditt).
For å analysere virkningen av særskatten, og om den eventuelt er nøytral, kan vi først se hva som ville ha skjedd hvis satsen for selskapsskatten var blitt økt uten noen endring i skattegrunnlaget. Dette er altså et tenkt skattesystem uten noen friinntekt eller produksjonsgodtgjørelse. Vi skal holde på forutsetningen om innenlandske kapitaleiere.
En høyere selskapsskatt i en sektor, men med fradrag for renteutgifter, vil redusere avkastningen på egenkapitalen ytterligere. (Dette gjelder riktignok ikke den delen av kapitalgevinster som ikke blir skattlagt i selskapet, men på personhånd etter RISK-reglene.) Om skattesatsen er

Figur -028
, der

Figur -029
er særskattesatsen, så vil en nominell internrente r før skatt bli redusert til en nominell internrente

Figur -030
etter skatt, forutsatt riktige avskrivninger. Men alternativavkastningen for eierne er i andre sektorer, og den er uendret. For egenkapitalfinansierte prosjekter vil dermed kravet til nominell avkastning før skatt øke. Hvis nominelt avkastningskrav etter skatt er 5 prosent som før, og

Figur -031
, ville nominelt avkastningskrav før skatt være r = 22,7 prosent.
Om et prosjekt derimot er fremmedkapitalfinansiert, vil ikke kravet til avkastning før skatt bli påvirket av en høyere skattesats. Så lenge nominell internrente (på totalkapitalen i prosjektet) er minst lik lånerenten, vil prosjektet være lønnsomt, uansett skattesats. Hvis låneprofilen er tilpasset prosjektet, vil prosjektet utelukkende bidra til at det i noen år blir et overskudd til eierne. Hvis dette er positivt før skatt, vil det også være positivt etter skatt, men det blir selvsagt redusert av skattesatsen.
I virkeligheten er de fleste utbyggingsprosjekter finansiert dels med lån, dels med egenkapital. Dermed blir ikke avkastningskravet så mye høyere før skatt på grunn av skattesystemet som tallet 22,7 prosent kunne tyde på. Men likevel har myndighetene sett det som nødvendig å innføre en friinntekt for at ikke kravet til avkastning før skatt skal være vesentlig høyere i petroleumsvirksomheten enn i andre næringer.
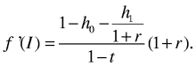
Friinntekten er et ekstra fradrag ved beregningen av særskatt, for tida satt lik 5 prosent av nominell verdi av aktiverte investeringer, til fradrag i hvert av seks år fra og med det året investeringen skjer. Til sammenlikning er det i petroleumsvirksomheten lineære avskrivninger over seks år fra og med investeringsåret. Dette innebærer et fradrag på 16,7 prosent i hvert av de samme seks årene. Avskrivningene kommer til fradrag både ved beregning av vanlig selskapsskatt og ved beregning av særskatt.
Friinntekten gir ikke selskapet noen beskyttelse mot den vanlige skatten på selskapsinntekt. Denne skatten vil derfor redusere nominell internrente med skattesatsen, som vist ovenfor. Men friinntekten sørger for at prosjekter (eller tilleggsprosjekter innenfor eksisterende prosjekter) med lav internrente, unngår særskatt. Dette er logisk nok siden særskatten er ment å være en skatt på grunnrente, som framstår som ekstraordinær avkastning på kapitalen.
Vi kan beregne hvor høy nominell internrente et prosjekt kan ha, før det blir ilagt noen særskatt. Vi forutsetter at selskapet hele tida er i skatteposisjon, at det blir investert tusen kroner, og at dette gir opphav til inntekter i flere år. Svaret avhenger noe av når i året investeringen skjer, og vi velger midt i året som et gjennomsnittlig tidspunkt.
Vi beregner hvilke inntekter selskapet kan ha slik at disse nøyaktig motsvares av fradragene som følger av investeringen. Fradragene kommer i seks år som avskrivninger og friinntekt, med første fradrag allerede i samme år som investeringen. Den årlige summen er 216,67 kroner. Hvis en investering på tusen kroner i år 1 gir inntekter på 216,67 kroner i årene 1–6, vil dette ikke føre til noen endret særskatt. Kontantstrømmen gjennom de seks årene er
(-1000+216,67, 216,67, 216,67, 216,67, 216,67, 216,67),
som har en nominell internrente på 11,88 prosent. Et slikt prosjekt unngår særskatt.
Hva så med prosjekter med denne internrenten, men en annen inntektsprofil over tid? En endring i inntektsprofilen som lar internrenten være uendret, vil i seg selv ha den nevnte internrenten. Et eksempel på en slik endring er om inntekten blir redusert med 100 i ett år og økt med

Figur -032
tre år seinere.
Det endrede prosjektet vil betale særskatt noen år, men gi overskytende fradrag (og dermed redusert særskatt) noen år. Nåverdien av disse særskatt-endringene vil være akkurat null om vi bruker den samme internrenten som kalkulasjonsrente. Derfor vil 11,88 prosent per år gjelde som grense generelt, ikke bare for denne profilen. Et prosjekt med denne nominelle internrenten vil ha samme internrente etter særskatt som før.
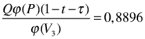
Vi kan så langt oppsummere at særskattesystemet er basert på at 11,88 prosent per år er normalavkastningen, som bare skal ilegges vanlig selskapsskatt. Det er åpenbart at dette ikke er basert på noe prinsipp som gjør systemet nøytralt. I beste fall dreier det seg om det Osmundsen (1999) kaller en beregnet nøytralitet. For eksempel vil endret nominelt rentenivå (p.g.a. endret inflasjon og/eller endret realrente) føre til at om skattesystemet først var nøytralt, så vil det ikke være det etter endringen. Vi kan definere beregnet nøytralitet som nøytralitet som avhenger av satsene for skatter og/eller fradrag, i motsetning til om skattesystemet er utformet slik at det er nøytralt uavhengig av satsene.
Hvis selskapet ikke er i skatteposisjon i alle år, vil det nevnte prosjektet fortsatt unngå særskatt. Investeringen på tusen kroner gir rett til de nevnte fradragene, og prosjektet vil ha inntekter som akkurat motvirker dem. Netto endring i særskatteposisjon blir derfor null. I de årene selskapet likevel ville være utenfor særskatteposisjon, vil ikke prosjektet påvirke dette.
Hvis selskapet ikke er i skatteposisjon i alle år, vil imidlertid 11,88 prosent ikke lenger gjelde som en generell grense for hvilken internrente før skatt som overlever særskatten. Et tilleggsprosjekt med denne internrenten, men med en annen inntektsprofil enn skattefradragene (se ovenfor), vil nemlig føre til økt særskatt i noen år, redusert særskatt i andre. Men det er bare hvis selskapet er i særskatteposisjon i alle disse årene, at nåverdien av disse endringene er null når en bruker 11,88 prosent som kalkulasjonsrente.
For et prosjekt som er helt ut lånefinansiert, er det ikke nødvendig med noen friinntekt for å beskytte normalavkastningen mot særskatt. Normalavkastningen er lånerenten, som er fradragsberettiget og dermed unngår all skatt på selskapets hånd. Hvis et prosjekt er 80 prosent lånefinansiert, som er det maksimale som gir fradrag, og selskapet alltid er i skatteposisjon, vil fradragene dermed være for rause. Kombinasjon av friinntekt og rentefradrag gjør at prosjekter kan være svært lønnsomme og likevel unngå særskatt.
Det er svært vanskelig å tenke seg justeringer av reglene for friinntekt og fradrag for renteutgifter slik at en treffer normalavkastningen riktig for selskaper i ulike situasjoner. Ethvert system basert på en beregnet nøytralitet vil ha sterke iboende svakheter, jfr. punkt 2.1.5 om stabilitet.
1.5.3 Ressursrenteskatt
Garnaut og Clunies Ross (1975) foreslo en modifikasjon av Browns (1948) kontantstrømskatt for å unngå utbetalinger av negativ skatt fra staten i noen år. Skattegrunnlaget er i utgangspunktet det samme som i den typen kontantstrømskatt som er nevnt under punkt 4.1 ovenfor. Men i de årene da dette grunnlaget er negativt, blir det ikke betalt ut noe fra staten. I stedet kan det negative beløpet framføres med rente.
Garnaut og Clunies Ross innførte navnet Resource Rent Tax på denne skatten, og det har seinere vært benyttet i faglitteraturen. Vi oversetter dette med Ressursrenteskatt. Når vi skriver dette med stor forbokstav, henviser det til det som på engelsk kalles Resource Rent Tax. Det er ikke urimelig om ordet ressursrenteskatt med liten forbokstav brukes mer generelt, bl.a. om den eksisterende norske særskatten.
Framføring med rente betyr at nåverdien av et fradrag holder seg, forutsatt at selskapet kommer i posisjon til å betale skatt i et seinere år. (Alternativt kan staten utbetale skatteverdien av fradragene hvis selskapet opphører, eller tillate salg av underskuddsposisjoner.) Under denne forutsetningen kan en dermed si at Ressursrenteskatt er likeverdig med kontantstrømskatt i nåverdiforstand. Det er riktignok en annen viktig forutsetning, nemlig at en setter riktig rente for framføringen. Hva som er riktig rente under usikkerhet, blir diskutert nærmere under punkt 7.2.3.
I en situasjon med full sikkerhet og en entydig gitt markedsrente er det to renter som peker seg ut som kandidater. Den ene er markedsrenten

Figur -033
, og den andre er markedsrenten etter skatt,

Figur -034
Den siste er aktuell fordi den er alternativ-avkastningen til eierne, og derfor vil t være den vanlige skattesatsen på kapitalinntekt, for tida 28 prosent. Hvilken av disse to som bør velges, kommer vi tilbake til i avsnitt 5.6.
Det fins flere varianter av Ressursrenteskatt. Den kan legges på feltnivå eller selskapsnivå, evt. beregnes for hver andel som selskapene har i hver lisens. Den kan stå alene eller kombineres med vanlig selskapsskatt på tre ulike måter:
Ressursrenteskatt fradragsberettiget i grunnlaget for vanlig selskapsskatt,
selskapsskatt fradragsberettiget i grunnlaget for Ressursrenteskatt, eller
ikke fradrag noen vei.
Det er også mulig å inkludere finansielle kontantstrømmer i skattegrunnlaget, slik det er drøftet f.eks. av Sandmo (1989) s. 320.
Endelig er det mulig å ha flere ulike framføringsrenter, slik Garnaut og Clunies Ross (1975) illustrerte. Dette vil innebære at en legger en viss skattesats på avkastning over et visst nivå, og en høyere skattesats på avkastning over et høyere nivå. Dette kan skyldes et ønske om progressivitet, eller at en er usikker på hva som er riktig framføringsrente. En nærmere diskusjon om progressivitet kommer i punkt 8.4.
Det er imidlertid noen ulemper ved å bruke flere framføringsrenter. For det første blir det i så fall viktig om en legger skattene på selskapsnivå eller feltnivå. Ulike skattesubjekter vil ha ulike marginale skattesatser, noe som åpner for skattemotivert atferd. Det kan bli vanskeligere å sikre nøytralitet under usikkerhet, noe vi kommer tilbake til.
1.5.4 Overskuddsbasert grunnrenteskatt
Ressursrenteskatt er bare en av mange muligheter for å gi fradrag for investeringskostnader og underskudd som har samme nåverdi som under en kontantstrømskatt. Boadway og Bruce (1984) pekte på at med samme nåverdi vil skatten gi samme insentiver. Dette forutsetter uendret skatt over tid. Ved mulighet for endringer i skattesystemet vil naturligvis tidsprofilen på fradragene kunne få økonomisk betydning.
Det kan kanskje være adminstrative grunner til å fordele fradragene annerledes over tid. En mulig fordeling over tid vil være å etterlikne overskuddsbegrepet i vanlig selskapsskatt. Fradragene for investeringer gis i form av avskrivninger. For å oppnå samme nåverdi av fradragene må det i tillegg gis fradrag for avkastningen på skattemessig nedskrevet verdi av kapitalen, og eventuelle underskudd må kunne framføres med rente.
Det er ikke noe problem i denne sammenhengen om ikke avskrivningene samsvarer med det økonomiske kapitalslitet. Nåverdiene av fradragene blir de samme uansett. Så lenge en bare tar sikte på å skattlegge grunnrenten, er det ikke nødvendig å fastlegge riktige avskrivninger. Om en derimot vil skattlegge normalavkastningen på kapital, er riktige avskrivninger en nødvendighet.
1.5.5 Sammenlikning av systemene ved egenfinansiering
For å se systemene i sammenheng, er det instruktivt å ta utgangspunkt i virkningene for et prosjekt som er finansiert bare med egenkapital. Dette er ikke ment som noe realistisk tilfelle, for dagens norske system favoriserer og tillater en viss lånefinansiering.

Figur 1-1 Internrenter får og etter skatt for ulike skattesystemer
En sammenlikning av systemene kan ta utgangspunkt i en figur som viser nominell internrente etter skatt som funksjon av nominell internrente før skatt. Denne sammenhengen avhenger ikke bare av skattesystem, men også av selskapenes skatteposisjoner. Figur 1.1 viser situasjonen for selskaper som er i skatteposisjon hvert år, og selskaper som er i skatteposisjon først etter at feltet har gitt inntekter i noen år.
Begge disse situasjonene er relevante. For et selskap som har eksisterende aktivitet av et visst omfang på andre felt, vil det kunne være svært sannsynlig at de vil være i skatteposisjon i mange år framover. Det samme gjelder hvis de ikke deltar på andre felt, men vurderer en tilleggsinvestering innenfor et stort prosjekt med høy grunnrente. Men for et selskap som vurderer sitt første prosjekt, vil skatteposisjonen avhenge av prosjektet. Et typisk prosjekt er ikke i posisjon til å betale skatt i et par år etter produksjonsstart.
Ikke alle kurvene i figuren har like generell gyldighet. Vi tenker oss en investering i ett år og en tilhørende inntektsprofil i årene som følger. Noen av kurvene gjelder bare for en spesifikk inntektsprofil for prosjektet.
Den kraftig trukne kurven viser en situasjon der den nominelle internrenten etter skatt er lik den nominelle internrenten før skatt. Dette vil gjelde for en kontantstrømskatt. Det vil også gjelde for en Ressursrenteskatt hvis selskapet er i skatteposisjon hvert år, siden Ressursrenteskatt i så fall er identisk med kontantstrømskatt. Denne kurven gjelder uavhengig av inntektsprofilen til prosjektet.
Disse to skatteformene lar altså internrenten være upåvirket. Det betyr ikke at selskapets nåverdi er upåvirket. Den blir redusert med en prosent lik skattesatsen. Dermed kommer internrentens karakter som relativt lønnsomhetsmål klart fram.
Den neste kurven, tynn heltrukket, gjelder for en Ressursrenteskatt på 50 prosent i tilfelle prosjektet står alene. Det er negative kontantstrømmer de første årene, og disse framføres med 11,88 prosent rente. Denne renten er valgt for sammenlikningens skyld, siden vi fant at den ligger implisitt i dagens særskatt. Kurven viser at internrenten bare blir påvirket hvis den er større enn framføringsrenten.
Den tredje kurven, stiplet med lange streker, gjelder for dagens norske selskapsskatt på 28 prosent. Det forutsettes at avskrivningene er økonomisk riktige. Internrenten etter skatt er redusert med 28 prosent (ikke prosentpoeng) i forhold til internrenten før skatt. Kurven gjelder under forutsetning av at selskapet er i skatteposisjon hvert år.
Den fjerde kurven, stiplet med korte streker, gjelder for dagens kombinasjon av selskapsskatt på 28 prosent og særskatt på 50 prosent. Det forutsettes at seks års lineære avskrivninger er økonomisk riktige, og det er 5 prosent friinntekt hvert år i seks år. Kurven forutsetter at selskapet er i skatteposisjon både for selskapsskatt og særskatt. På grunn av friinntekten vil særskatten først påvirke internrenten negativt hvis internrenten overstiger 12,18 prosent. Hvis internrenten er lavere, vil særskatten tvert imot påvirke den positivt så lenge det er et særskattegrunnlag å trekke friinntekten fra mot. Dette er relevant på marginen innenfor prosjekter med høy grunnrente. Internrenten etter skatt blir høyere enn internrenten før skatt for internrenter lavere enn omtrent 7,6 prosent.
En femte relevant kurve dannes av, for lave internrenter, kurven for selskapsskatt, og, for høye internrenter, kurven for selskaps- og særskatt. Hvis selskapet i utgangspunktet ikke er i skatteposisjon, har vi tidligere vist at det kan ha 11,88 prosent nominell internrente uten å betale særskatt. Hvis fordelingen av inntekt over tid er slik vi da la til grunn, vil selskapet for lavere nominelle internrenter før skatt bare betale selskapsskatt. En økning i inntektene vil føre til betaling av særskatt. For en slik situasjon er altså kurven for selskapsskatt relevant opp til 12,18 prosent, mens kurven for selskaps- og særskatt er relevant for høyere internrenter.
Figuren kan gi svar på følgende for et egenkapitalfinansiert prosjekt: Hvis vi kjenner selskapenes krav til internrente etter skatt, hvordan påvirker skattesystemet kravet til internrente før skatt? I så fall må en ta utgangspunkt i et tall på vertikal akse og avlese det tilhørende tallet på horisontal akse. Vi ser at kontantstrømskatt vil være nøytral, mens de øvrige systemene i beste fall har en beregnet nøytralitet.
Kombinasjonen av selskapsskatt og særskatt har en beregnet begrenset nøytralitet. Det dreier seg om den typen begrenset nøytralitet som skal sikre effektiv utnytting av samlede investeringer. Kapitalavkastningen skal reduseres med 28 prosent, noe den vanlige selskapsskatten sikrer under disse forutsetningene. Men i tillegg må en forutsette at avkastningskravet er 11,88 prosent før skatt og 28 prosent lavere, 8,55 prosent, etter skatt. Dette er skjæringspunktet mellom den tredje og den fjerde kurven. Prosjekter som er lønnsomme under selskapsskatt, vil i så fall også være lønnsomme under kombinert selskapsskatt og særskatt. Prosjekter som ikke er lønnsomme under selskapsskatt, vil ikke være lønnsomme under kombinasjonen. Om avkastningskravet er lavere, vil særskatten føre til at noen prosjekter gjøres lønnsomme. Om avkastningskravet er høyere, vil det være omvendt.
Denne diskusjonen er bare ment å gi en prinsippforståelse av skattesystemene. Den gjelder bare for fullt ut egenkapitalfinansierte prosjekter, og er derfor ikke realistisk. Et hovedproblem med dagens norske system er nettopp at det ikke er nøytralt i forhold til finansieringsmåten. Dessuten har vi sett bort fra inflasjon. Som nevnt foran, vil underskuddsframføring også kunne påvirke den beregnede nøytraliteten. Kontantstrømskatt er robust i forhold til disse problemene. Ressursrenteskatt er nesten like robust, men forutsetter at en kan beregne framføringsrenten.
1.5.6 Vanlig selskapsskatt kombinert med grunnrenteskatt
Det gjeldende norske petroleumsskattesystemet kombinerer vanlig selskapsskatt med en særskatt. Siden særskatten har en del svakheter, er det av interesse å drøfte mer prinsipielt hvordan kombinasjonen bør utformes. Vi holder hele tiden på forutsetningen om at selskapets beslutninger ikke påvirkes av hvor stor andel det har i en lisens.
Vi legger videre til grunn at selskapsskatten beholdes i den form den har, eventuelt med endrede avskrivningsregler. Hensikten med denne skatten er å skattlegge all avkastning til egenkapitalen, også normalavkastningen, på selskapets hånd. To grunner til at skatten ikke treffer riktig, vil være at avskrivningene ikke treffer det økonomiske kapitalslitet, og at eventuelle underskudd mister noe av sin økonomiske verdi når de framføres.
Dersom grunnrenteskatten er en kontantstrømskatt som ilegges “først,” d.v.s. at den er fradragsberettiget i grunnlaget for selskapsskatten, vil situasjonen svare til dagens SDØE-ordning. Denne kombinasjonen fører ikke til andre vridninger enn dem som følger av selskapsskatten. En viktig betingelse for dette er at avskrivningene i selskapsskatten bare knyttes til den delen av investeringen som ikke er dekket av kontantstrømskatten. Dette vil være en uvanlig ordning i skatte-sammenheng, men det er klart at SDØE virker på tilsvarende måte.
Kontantstrømskatt parallelt med vanlig selskapsskatt (ikke fradrag noen vei) vil derimot medføre nye vridninger. Selskapsskatten tar (i hvert fall ideelt) 28 prosent av den avkastningen som ligger i kontantstrømmen før skatt. Men en parallell kontantstrømskatt vil krympe alle elementer i denne kontantstrømmen, og selskapsskatten blir dermed en tyngre byrde i forhold til den kontantstrømmen som er igjen etter kontantstrømskatt.
Vi skal se på to andre alternativer, ett basert på parallelle skatter, d.v.s. ikke fradrag noen vei, og et annet der selskapsskatten ilegges “først.” Det siste innebærer at selskapsskatten er fradragsberettiget i grunnlaget for grunnrenteskatten.
Selskapsskatten er den samme i begge tilfeller, både når det gjelder regler og beregningsgrunnlag. Begge de alternative grunnrenteskattene vi ser på, er basert på overskudd, d.v.s. de gir ikke umiddelbart fradrag for investeringer, men fradrag i form av avskrivninger. Disse avskrivningene er de samme som i selskapsskatten. Dessuten gis det et fradrag for avkastning på skattemessig nedskrevet kapital ved årets begynnelse. Den renten som brukes her, er forskjellig i de to systemene. Eventuelle underskudd i grunnlaget for grunnrenteskatt kan framføres med rente, og denne renten er lik selskapets kalkulasjonsrente etter selskapsskatt,

Figur -035
. Eventuelle endelige tap (ved opphør av virksomheten) fører til utbetaling av skatteverdien av tapet.
Selskapsskatten har satsen t, mens samlet marginalskatt skal være

Figur -036
.
De to alternativene er:
Selskapsskatt er fradragsberettiget i grunnlaget for grunnrenteskatten. Dette dreier seg om selskapsskatt før fradrag for netto finanskostnader. Grunnrenteskatten har satsen

Figur -037
. Kapitalavkastnings-fradraget beregnes med renten

Figur -038
.
Grunnrenteskatten beregnes parallelt med selskapsskatt, uten fradrag av den ene i grunnlaget for den andre eller omvendt. Grunnrenteskatten har satsen

Figur -039
. Kapitalavkastnings-fradraget beregnes med renten r.
Det første av disse systemene gir ingen vridninger ut over det som følger av vanlig selskapsskatt. Det skyldes at det har samme verdi for selskapet som en kontantstrømskatt beregnet på kontantstrømmen etter selskapsskatt. Det har med andre ord samme effekt som om selskapene hadde mindre andeler i lisensene.
Vi skal vise at de to systemene er ekvivalente for et selskap som er i posisjon til å betale selskapsskatt hvert år. Betalt grunnrenteskatt blir den samme år for år. Det betyr at heller ikke det andre systemet gir vridninger ut over det som følger av vanlig selskapsskatt, forutsatt at selskapet er i posisjon til å betale denne.
Men hvis selskapet er ute av posisjon til å betale selskapsskatt, får det betydning hvis underskuddsframføring i selskapsskatten er uten rente. Da blir systemene forskjellige. Under system 1 vil grunnrenteskatten gi en delvis kompensasjon av nåverditapet ved underskuddsframføring i selskapsskatten. Nærmere bestemt blir en andel

Figur -040
kompensert, for tiden 69,44 prosent, slik at nåverditapet bare blir 30,56 prosent av hva det ellers ville ha blitt. Under system 2 skjer det ingen kompensasjon.
Ekvivalens når underskuddsframføring er uaktuell
I et år da selskapet betaler begge skatter, vil grunnlaget for grunnrenteskatten i system 1 kunne skrives

Figur -041
der

Figur -042
er driftsoverskudd i år T,

Figur -043
er avskrivningssats i år T,
I er investeringskostnaden.
Her er skattegrunnlaget for selskapsskatten

Figur -044
Grunnlaget for grunnrenteskatten i system 2 kan skrives

Figur -045
og vi ser at skatten blir den samme om en betaler skatt med satsen

Figur -046
på dette eller med satsen

Figur -047
på (1).
Ekvivalens når underskudd framføres i grunnrenteskatten
Anta nå at

Figur -048
, slik at det skal framføres underskudd ved beregning av grunnrenteskatt. Det betales ikke grunnrenteskatt i år 1, men anta at selskapet kommer i posisjon til å betale grunnrenteskatt i år 2. Samlet grunnlag for denne skatten i år 2 blir da

Figur -049
under system 2, og det samme multiplisert med

Figur -050
under system 1. Her er uttrykket i den første parentesen negativt, nemlig underskuddet, og dette forrentes (i begge systemer) med faktoren

Figur -051
. Det som følger deretter, er den delen av skattegrunnlaget som har sitt opphav i år 2. Det siste leddet er avkastningen på den delen av investeringskostnaden som ikke ble avskrevet i år 1.
Vi kan begrunne nærmere hvorfor system 1 har skattegrunnlag lik (3) multiplisert med

Figur -052
. Under system 1 så vi ovenfor at grunnlaget i år 1 var som under system 2, men multiplisert med (1- t). Dermed inntrer framføring av underskudd under akkurat samme betingelser i de to systemene. Faktoren

Figur -053
for forrentning av underskudd er den samme i begge systemene, slik at det framførte, forrentede underskuddet også er multiplisert med

Figur -054
i system 1 sammenliknet med system 2. Grunnlaget i år 2 før underskuddsframføring er også multiplisert med samme (1- t) om vi sammenlikner system 1 med system 2.
Dermed blir skattebetalingen også ekvivalent i de to systemene i år 2 ved underskuddsframføring.
Underskuddsframføring uten rente i selskapsskatt
Vi skal videre se på hva som skjer hvis selskapet er ute av posisjon til å betale selskapsskatt i år 1, men kommer i posisjon igjen i år 2. Selskapsskatten blir endret av at selskapet faller ut av skatteposisjon i år 1. Denne endringen er den samme under system 1 og system 2.
For selskapsskatten er det skattegrunnlaget

Figur -055
som forskyves med ett år. Vi skal her anta at det skjer uten forrentning. Vi sammenlikner skattebetalingen med hvordan situasjonen hadde vært hvis selskapet hadde hatt annen virksomhet med overskudd i år 1. I så fall ville

Figur -056
ha kommet til fradrag i dette overskuddet. Når det i stedet skjer en framføring av underskudd, vil dette underskuddet øke med

Figur -057
i absoluttverdi. Skatten på

Figur -058
blir derfor null i år 1 i tilfellet med underskuddsframføring, mens den ville ha vært negativ (en reduksjon i skatt på det øvrige overskuddet) i år 1 dersom selskapet hadde vært i skatteposisjon. Skatten på blir derimot negativ i år 2 ved underskuddsframføring, gjennom en reduksjon i skatt på det øvrige overskuddet i år 2.
Den tapte nåverdien i selskapsskatten (sammenliknet med om selskapet hadde vært i skatteposisjon for selskapsskatt også i år 1) blir (med negativt fortegn)

Figur -059
Dette er negativt siden

Figur -060
.
Hva blir så effekten på grunnrenteskatten? Under system 2 blir det ingen effekt ut over det som allerede er nevnt i forrige punkt om underskuddsframføring i grunnrenteskatten.
Vi forutsetter at system 1 gir fradrag for faktisk påløpt selskapsskatt, bortsett fra fradraget for netto finanskostnader. Det betyr at framføring av underskudd i selskapsskatten påvirker det fradraget som gis i system 1 for faktisk påløpt selskapsskatt. Ved framføring av underskudd i selskapsskatten gis det ingen forrentning, og grunnlaget for grunnrenteskatten i system 1 i år 2 blir

Figur -061
Dette betyr en positiv nåverdi for selskapet av endringene i grunnrenteskatten som følge av underskuddsframføring i selskapsskatten,

Figur -062
I siste linje er både uttrykket i den første parentesen og uttrykket i hakeparentesen negative. Samlet effekt for selskapet, når vi bare ser på grunnrenteskatten, er derfor positiv. Dette kan forklares slik: Uttrykket framkommer ved å se (bare) på de endringene som skjer i det fradraget for selskapsskatt som gis i grunnlaget for grunnrenteskatt i hvert de to årene. Med et positivt skattegrunnlag

Figur -063
ville selskapsskatten ha vært positiv, og fradraget for denne i forhold til grunnrenteskatt ville ha gitt selskapet en positiv effekt i år 1. Med et negativt skattegrunnlag ville effekten for selskapet ha vært det motsatte i år 1 hvis selskapet hadde vært i skatteposisjon for selskapsskatt. Når det i stedet er underskuddsframføring i selskapsskatten, vil denne negative effekten bli forsinket med ett år, noe som har en positiv nåverdi for selskapet.
Konklusjon: Vi definerer skattemessig overskudd i år 1 som

Figur -064
Da vil nåverditapet, sett fra selskapets synspunkt, i selskapsskatten av at dette blir negativt og framføres uten forrentning, være

Figur -065
som med r = 0,07 og t = 0,28 blir 0,0134

Figur -066
.
Under system 1 blir dette delvis kompensert ved endret nåverdi av grunnrenteskatten

Figur -067
som med de samme verdiene er -0,00933

Figur -068
. Med andre ord, grunnrenteskatten bærer 69,44 prosent av nåverditapet.
Om en i stedet tillater framføring av underskudd med rente i selskapsskatten, vil nåverditapet bli kompensert i selskapsskatten. Da vil de to utformingene av grunnrenteskatten igjen bli ekvivalente.
1.5.7 Nøytralitet i forhold til finansiering
Et skattesystem kan sies å være nøytralt i forhold til selskapets finansieringsbeslutning (avveining mellom egen- og fremmedkapital) dersom systemet ikke påvirker denne beslutningen for en gitt kontantstrøm fra selskapets ikke-finansielle virksomhet. Men hvis selskapet driver sin aktivitet i flere sektorer, kan det dreie seg om flere separate typer beslutninger som blir, eller ikke blir, påvirket.
Om vi først tenker oss et selskap som bare har aktivitet i norsk petroleumssektor, er det klart at reglene favoriserer finansiering med fremmedkapital. Dette er begrunnet foran. En lånefinansiert investering behandles gunstig ved særskatteberegningen fordi selskapet både får friinntekt og fradrag for netto finanskostnader, spesielt rentekostnader. Men det er innført en særskilt begrensning for rentefradrag for en gjeldsandel over åtti prosent. Det er imidlertid vanskelig å forestille seg at et frittstående selskap ville ha vært finansiert med en så høy gjeldsandel.
I virkeligheten har selskapene virksomhet også i Norge forøvrig og/eller i utlandet, enten selv eller gjennom beslektede selskaper. Når det er mulig å låne av et beslektet selskap, eller med garanti (eventuelt underforstått) fra et beslektet selskap, er valget av gjeldsandel løsrevet fra hensyn til selskapets soliditet, og rene skattehensyn vil trolig være avgjørende.
Vi skal kort gå gjennom to tilfeller som viser hvordan virksomhet i flere sektorer gir grunnlag for å utnytte forskjellene i skattesatser. Rentefradrag mot særskatten kan benyttes ved finansiering av virksomhet i andre sektorer. Hvis et selskap med stor grad av sikkerhet vil betale særskatt i mange år, kan det på disse måtene oppnå en form for subsidiering av sine øvrige investeringer gjennom redusert skatt.
Når et selskap med virksomhet i norsk petroleumssektor også har skattepliktig inntekt i Norge forøvrig, vil selskapets netto finanskostnader komme til fradrag dels i petroleumssektoren, også mot særskatt, og dels i den øvrige inntekten. Fordelingen skjer etter forholdet mellom nettoinntektene i de to sektorene. Dette er dårlig i samsvar med det faktum at petroleumsvirksomheten gir opphav til grunnrente. Om selskapet i utgangspunktet gjeldsfinansierer sine investeringer i de to sektorene i samme grad, vil investeringer i petroleumssektoren normalt gi høyere nettoinntekt per investert krone. En uforholdsmessig stor del av gjeldsrentene kommer dermed til fradrag her. Fradraget mot særskatten gir dermed redusert samlet skatt for selskapet.
Når et selskap med virksomhet i norsk petroleumssektor oppretter et datterselskap i utlandet, er det mulig å finansiere en slik investering med opplåning som gir rentefradrag mot norsk særskatt. Inntekter fra datterselskapet kan komme på et mye seinere tidspunkt, og vil først da opptre som nettoinntekt i Norge som fører til fordeling av eventuelle rentekostnader vekk fra særskatteregimet.
Konklusjonen blir for det første at kombinasjonen av friinntekt og rentefradrag mot særskatten er en favorisering av lånefinansiering i petroleumsvirksomheten sett isolert. Men i tillegg åpner rentefradraget mot særskatten for at det blir gunstig å overføre rentekostnader til sektoren. Dagens prinsipp for fordeling har åpenbare svakheter. Men også andre prinsipper for fordeling av rentekostnader kan føre til betydelige kontrollproblemer, så lenge insentivet til å overføre er så sterkt.
1.6 Åpen økonomi
Etter den norske skattereformen i 1992 er det et prinsipp at all kapitalavkastning skal skattlegges med samme sats, for tiden 28 prosent. Under visse forutsetninger kan et slikt system betraktes som nøytralt. Dette er kjent i faglitteraturen som Johansson-Samuelson-teoremet, se f.eks. Sinn (1987).

Figur 1-2 Skatt på kapitalavkastning i en lukket økonomi
For vårt formål er det nødvendig å undersøke hvordan systemet virker i en åpen økonomi. Vi ser bort fra usikkerhet omkring valutakurs og inflasjon. For sammenlikningens skyld begynner vi med en lukket økonomi. Resonnementet er illustrert i figur 1.2. Det er rimelig å anta at innenlandsk samlet sparing, d.v.s. tilbud av ny kapital, er en voksende funksjon av markedsrenten, mens innenlandsk samlet etterspørsel etter kapital til realinvesteringer er en avtakende funksjon av markedsrenten. De to heltrukne kurvene viser disse funksjonene i en situasjon uten skatt. Det er likevekt i markedet med en rente

Figur -070
og investeringsvolum

Figur -071
, og i en lukket økonomi er sparing lik investering.
Om det blir innført en skatt på kapitalavkastning med sats

Figur -072
, vil det oppstå en vertikal differanse mellom markedsrenten og den renten etter skatt som oppnås på sparing. Tilbudskurven er den samme som funksjon av den sistnevnte, men som funksjon av markedsrenten vil tilbudet bli redusert, d.v.s. forskjøvet mot venstre i diagrammet. Den nye tilbudskurven som funksjon av markedsrenten er vist som den stiplede voksende kurven i diagrammet. (Strengt tatt skal den ikke være parallell med den opprinnelige, men økt vertikalt med en (relativ) faktor

Figur -073
.) En ny likevekt vil inntreffe for renten

Figur -074
og investeringsvolum

Figur -075
. Det blir dermed spart og investert mindre i den lukkede økonomien som følge av skatten på kapitalavkastning. Vi har her sett bort fra hvordan det offentlige bruker skatteinntektene. Offentlig investering kan eventuelt kompensere for bortfallet av privat.
En god betegnelse på det norske systemet er uniform skatt på kapitalavkastning. For dem som eier kapital, vil alternativ avkastning i kredittmarkedet også bli skattlagt med 28 prosent i en lukket økonomi. Systemet er derfor nøytralt mellom egen- og fremmedkapital.
Et tilsvarende resonnement for en liten åpen økonomi er illustrert i figur 1.3, der etterspørselskurven og de to tilbudskurvene er de samme. I en åpen økonomi forutsetter vi at det er frie kapitalbevegelser, noe som fører til at rentenivået vil bli det samme som i utlandet. Når vi i tillegg antar at økonomien er liten, betyr det at innenlandske endringer ikke påvirker rentenivået, som er

Figur -076
både før og etter at skatten innføres.

Figur 1-3 Skatt på kapitalavkastning i en åpen økonomi
Både før og etter innføringen av skatten er sparingen fastlagt uavhengig av investeringsvolumet. Figuren viser bare en av flere mulige relasjoner mellom sparingen og investeringsvolumet, nemlig følgende: Før skatten innføres, er sparingen

Figur -078
større enn investeringsvolumet, men etter at skatten innføres, er det omvendt. (Vi kunne like gjerne ha valgt å illustrere en så høy

Figur -079
at begge nivåene for sparingen oversteg investeringsvolumet, eller omvendt, men uansett ville konsekvensen av skatten være at innenlandsk sparing gikk ned.) Endringen er

Figur -080
. For å dekke behovet for kapital, vil netto import av kapital øke. (I figuren fører skatten til at en går fra eksport av kapital til import av kapital.) Verken i en lukket eller en åpen økonomi er systemet nøytralt i forhold til samlet sparing, eller i forhold til import/eksport av kapital.
Når det gjelder samlet investering, kan det se ut som om systemet er nøytralt når økonomien er åpen. Vi skal se nærmere på dette. En slik konklusjon hviler på to forutsetninger. Den første er at markedsrenten ikke blir påvirket av skattesystemet. Den andre er at alle investeringsprosjekter som gir en avkastning før skatt minst lik markedsrenten, blir satt i gang. Dette er grunnlaget for at etterspørselskurven ligger fast i figuren.
Hvis investeringer er fullt ut lånefinansierte (til en rente lik markedsrenten), vil en avkastning lik markedsrenten være tilstrekkelig, siden lånerenten er fradragsberettiget i skatten. I den grad investeringene er finansiert av egenkapital, vil derimot skatten redusere avkastningen på en marginal investering sammenliknet med en situasjon uten skatt. Hvis eierne er norske skattytere, forutsetter vi at de står overfor samme reduserte avkastning på alternative investeringer. Hvis eierne er utenlandske skattytere, er det ikke åpenbart at alternativ-avkastningen deres på egenkapital er skattlagt tilsvarende. Vi kan derfor anta at en del utlendinger vil miste interessen for en del realinvesteringer i Norge.
Men det kan argumenteres med at norske skattytere kan gjennomføre de investeringene som utlendingene ville ha funnet lønnsomme uten skatt, men som er blitt ulønnsomme for dem når normalavkastning til egenkapitalen skattlegges. Dette er bakgrunnen for at etterspørselskurven etter kapital til realinvesteringer i Norge er holdt fast i figuren. Den uniforme skatten på kapitalavkastning i Norge må i så fall både føre til økt import av kapital og reduserte utenlandske direkte investeringer. Kapitalimporten må skje i form av at utlendingene overtar en større del av de mest lønnsomme realinvesteringene, og/eller i form av norsk opplåning i utlandet.
Hvis disse forutsetningene skulle være oppfylt for at samlet investeringsvolum blir uendret, vil skattesystemet likevel ha viktige konsekvenser i petroleumssektoren. Ulike investeringskriterier for utenlandske og norske selskaper kan gi grobunn for motsetninger mellom andelseiere i samme lisens. Dessuten kan det bli vanskeligere å tiltrekke utenlandske selskaper som har spesiell kompetanse som sektoren har bruk for.
Det kan tenkes at avtaler for å unngå dobbeltbeskatning modifiserer resonnementet i retning av at utlendinger likevel ikke mister interessen for prosjekter med lav lønnsomhet. Hvis skatten på kapitalavkastning i Norge ikke medfører noen ekstra skattebelastning for utlendinger i forhold til om det ikke hadde vært noen skatt i Norge, vil skatten i Norge ikke påvirke utlendingers realinvesteringer. I så fall representerer den bare en overføring fra andre stater til Norge. Men skatteavtalene har neppe denne effekten i forhold til alle andre land.
1.7 Usikkerhet
Med usikkerhet mener vi her en situasjon der selskapene og myndighetene kjenner sannsynlighetsfordelinger for framtidige økonomiske variabler. Det er ikke opplagt hvordan en skal etablere slike sannsynlighetsfordelinger, men det er en vanlig forutsetning, og det er betydelig vanskeligere å analysere en situasjon uten slike fordelinger.
Vi skal videre anta at selskapene og staten har samme oppfatninger om sannsynlighetsfordelingene. Igjen er det fullt tenkelig at en etablerer ulike subjektive fordelinger, men det gjør analysen vanskeligere. Det er her viktig å være klar over at selskapene kan oppleve myndighetenes framtidige handlinger som usikre. Dette kalles politisk risiko, men vi velger i første omgang å se bort fra dette.
En viktig del av samfunnsøkonomisk forskning siden 1960 har omhandlet situasjoner med asymmetrisk informasjon. Det dreier seg om at ulike aktører har ulik informasjon om for eksempel kostnadsforhold og teknologi, om geologiske forhold, eller om priser. I petroleumsvirksomheten vil det være rimelig å tro at selskapene har bedre kunnskap, i hvert fall om de førstnevnte forholdene, enn myndighetene. Dette er jo noe av grunnen til at selskapene inviteres til å delta i virksomheten. Det kan fortsatt være usikkerhet sett fra alle parters synsvinkler, men kanskje mindre usikkerhet sett fra selskapenes side enn fra myndighetenes. Asymmetrisk informasjon reiser viktige problemer for utformingen av skattesystemet. Vi kommer tilbake til dette i punkt 8.3.1, men antar i denne omgangen symmetrisk informasjon.
Usikkerhet vil kunne ha mange årsaker. I petroleumsvirksomhet er det et viktig skille mellom usikkerhet i priser (på olje og gass, men også på innsatsfaktorer) på den ene siden, og geologisk, teknisk og lokal værmessig usikkerhet på den andre siden. Det går et annet skille mellom menneskeskapt og naturskapt usikkerhet, og et tredje (evt. også et fjerde) skille mellom usikkerhet som det enkelte selskap kan påvirke, evt. som myndighetene kan påvirke, og usikkerhet i variabler som i hovedsak fastlegges utenfor disses kontroll. Det er også et skille mellom inntektsrisiko og kapitalrisiko, se f.eks. Boadway m. fl. (1989), s. 143. For vår analyse av effekter av grunnrenteskatt vil det førstnevnte skillet være viktigst. Det er viktig fordi priser samvarierer med andre økonomiske variabler.
Noe forenklet kan vi si at petroleumsvirksomhet i et område består av leting, deretter eventuelt utbygging, produksjon og opprydding. Letingen består av seismiske undersøkelser, deretter leteboring. Utbygging kan skje i flere faser, også etter at produksjon har startet, og opprydding i deler av området kan skje mens det ennå blir produsert i andre deler.
I alle faser av denne virksomheten er det usikkerhet. Usikkerheten blir vanligvis mindre over tid. Deltakerne får mer, eller i alle fall ikke mindre, informasjon med tida, om vi ser bort fra muligheten for at de glemmer eller mister den. (Dette kunne f.eks. skje ved at de mistet medarbeidere.) Mer informasjon vil vanligvis bety at en kjenner geologiske og tekniske forhold mer presist. Dette omtales som at usikkerheten avdekkes, eller avsløres, over tid. Unntaksvis kan en kanskje gjøre oppdagelser som gjør at det blir større usikkerhet f.eks. omkring gjenværende reserver.
Etter hvert som en får ny informasjon, vil det være aktuelt å treffe nye beslutninger på bakgrunn av denne. Det vil vanligvis være en fordel å ikke treffe alle beslutninger f.eks. om utbygging og drift av et felt på et tidlig tidspunkt. Fleksibilitet har en verdi — en kan f.eks. velge å produsere mer i perioder med høye oljepriser enn i perioder med lave. For oljevirksomhet til havs har en riktignok i de fleste tilfeller til nå valgt tekniske løsninger der en investerer mye og binder seg til høye løpende kostnader. I så fall har en liten fleksibilitet.
Faglitteraturen har mange analyser av hvordan selskaper treffer beslutninger når fleksibilitet har verdi. Det bør nevnes at det er viktig i denne forbindelsen at beslutningene er irreversible — en kan selvsagt ikke velge å gjenta utvinningen fra et felt mange ganger på samme måte. Siden Tourinho (1979) har en sett at analysen av slike beslutninger har mye til felles med analysen av finansielle opsjoner. Beslutningene er blitt kalt realopsjoner. I analysen som følger, vil det i første omgang ikke bli lagt noen vekt på realopsjoner. I punkt 7.2.4 skal vi såvidt komme tilbake til hvordan skattesystemet bør behandle realopsjoner.
Teorien om finansielle opsjoner har derimot en annen anvendelse, som vi skal se nærmere på. Det blir vist i punkt 7.1.2 at skatt i noen tilfeller har samme egenskaper som finansielle opsjoner. Dette gjelder helt uavhengig av om de beslutningene som skal treffes, er realopsjoner. For å analysere hvordan selskapene verdsetter myndighetenes skattekrav når det er usikkerhet, er det fruktbart å bruke teorien for verdsetting av finansielle opsjoner.
Det er knyttet betydelig usikkerhet til letevirksomhet. Den typiske situasjonen for selskaper som leter i flere områder, er at ikke all letevirksomhet resulterer i drivverdige funn. Når vi definerer grunnrente og utformer et system for at staten kan trekke inn grunnrenten fra virksomheten, må vi ikke glemme kostnadene ved letevirksomhet. Om en definerer grunnrenten for hvert drivverdig felt sett isolert, og trekker denne inn til staten, vil selskapene bli sittende igjen med normal avkastning på kapitalen på disse feltene. I så fall vil de ha mindre enn normal avkastning for virksomheten som helhet, siden de vanligvis også har leteutgifter i andre områder som ikke har ført til noe drivverdig felt.
For at selskapene skal ønske å drive letevirksomhet, må de derfor i gjennomsnitt ha mer enn normal avkastning på kapitalen på drivverdige felt sett isolert. Det betyr ikke at de bør bruke et høyere krav til forventet avkastning. Gitt at et felt er funnet, vil det være lønnsomt å bygge det ut selv om det bare gir normal avkastning. Om det bare gir litt mer enn normal avkastning, vil det være med på å bidra til å dekke letekostnadene. Men for at selskapets virksomhet som helhet skal ha tilfredsstillende avkastning (i forhold til risikoen), må selskapet finne noen felt som isolert sett gir mer enn normal avkastning.
Ved utbyggings- og driftsbeslutninger skal selskapet altså ikke justere sitt avkastningskrav for å ta hensyn til leteusikkerheten. Dette er viktig for å få akseptert alle utbygginger som bidrar til å betale letekostnadene. Men det er også viktig ved utforming av den enkelte utbygging. Det vil ofte være mange utbyggingsløsninger å velge mellom. Blant annet kan en utvinne mer petroleum — også målt som nåverdi — ved å bore flere eller lengre brønner eller ved injeksjon. Det er rimelig å anta at avkastningen av en ekstra krone investert blir mindre etter hvert som investeringene øker. På marginen bør selskapene akkurat ha en normal avkastning. Dette blir ikke forrykket av et nøytralt skattesystem. Grunnrenten oppstår fordi avkastningen av de “tidligere” investerte kronene er høyere. Et nøytralt skattesystem kan ta en større eller mindre del av denne grunnrenten, men må gi fradrag for letekostnadene.
1.7.1 Selskapenes beslutninger under usikkerhet
For å analysere virkningene av et skattesystem under usikkerhet er det nødvendig å finne ut hvordan selskapene treffer beslutninger under usikkerhet. Det kan ikke ordnes utelukkende ved å spørre selskapene. De vil ha interesse av å svare feil. De vil blant annet ha interesse av å overdrive sitt krav til forventet avkastning, for å påvirke slik at skattesystemet skal la dem beholde en høyere avkastning.
Selv om en finner ut hvordan selskapene treffer beslutninger, kan det være grunner til å analysere nærmere hvordan de bør treffe beslutninger. For det første er det grunn til å tro at ulike selskaper har ulike beslutningsregler og -prosesser. Det kan også gjelde mellom ulike avdelinger eller nivåer i samme selskap. For det andre kan det hende at selskapenes beslutningsregler er utviklet for en type situasjoner, men at det er nødvendig å se på andre situasjoner. Vi skal se i punkt 9 at det kan være riktig med andre krav til forventet avkastning under et annet skattesystem. For det tredje kan det tenkes at selskapenes beslutningsregler er innbyrdes inkonsistente, eller inkonsistente med godt begrunnet teori. I så fall kan det tenkes at utenforstående bør diskutere dette med selskapene. For det fjerde bør det vurderes om den atferden selskapene viser, stemmer overens med antakelsene i den samfunnsøkonomiske velferdsteorien. Hvis ikke, kan det hende at begrunnelsen for et nøytralt skattesystem faller bort.
Vi skal i det følgende trekke i tvil om de enkleste beslutningsreglene som selskapene beskriver, er fornuftige, om de er konsistente med noen teoretisk forståelse, og dermed om de stemmer overens med velferdsteorien. I den grad de nevnte beslutningsreglene likevel blir brukt, vil dette gi myndighetene et problem. Vi gir ikke noen analyse av optimal skattlegging i en situasjon der selskapene følger beslutningsregler som er inkonsistente med teorien.
1.7.1.1 Beslutningsregler slik selskapene beskriver dem
Mange selskaper beskriver følgende enkle beslutningsregler: Beregn årlige netto kontantstrømmer etter skatt basert på forventede tall for priser og kvanta. Beregn nåverdier av disse med en risikojustert kalkulasjonsrente. Følg den vanlige nåverdimetoden: Aksepter prosjekter som har positiv nåverdi. Blant prosjekter som utelukker hverandre, velg det med høyest nåverdi.
Med disse beslutningsreglene ser en bort fra verdien av fleksibilitet. Men vi skal konsentrere oss om andre mangler. De har å gjøre med at den risikojusterte kalkulasjonsrenten som anvendes, ofte vil være den samme for alle komponenter i kontantstrømmen, for hele virksomheten, for alle land og alle skattesystemer. Teorien tilsier en annen praksis.
1.7.1.2 Teori for aksjeselskapers beslutninger
I første omgang skal vi skissere standard teori for beslutninger i aksjeselskaper der ledelsen er motivert av interessene til eierne, som er godt diversifiserte. Det siste betyr at hver eier vurderer usikkerheten i selskapets virksomhet ut fra hvordan denne bidrar til usikkerheten i eierens samlede konsum-muligheter. Vi skal se bort fra at eierne bor i ulike land og kan ha ulike muligheter til å diversifisere.
Usikkerhet i bare en periode
Den mest brukte teorien for hvordan eierne vurderer risiko, er Kapitalverdimodellen (KVM). Denne bygger på en antakelse om at eierne bare bryr seg om to egenskaper ved de usikre konsum-mulighetene, forventning og varians. Dette er ikke noen opplagt forutsetning, men må oppfattes som en tilnærming. Det er etter hvert blitt en vanlig forutsetning å legge til grunn, også ved analyser av skattesystemer og offentlige beslutninger under usikkerhet, jfr. f.eks. kapittel 9 i NOU 1997:27.
Standardversjonen av KVM beskriver en lukket økonomi med bare to tidspunkter. Beslutninger fattes nå, og det er usikkerhet omkring utfallene på det framtidige tidspunktet. Modellen viser egenskaper ved likevekten i et verdipapirmarked der alle har samme oppfatninger om forventninger og varianser. Standardversjonen forutsetter at eventuelle skatter er begrenset nøytrale, ved at de ikke påvirker valgene mellom ulike verdipapirer. Aktørene i modellen fordeler sin sparing mellom verdipapirene.
Hvis det var full sikkerhet om utfallene, ville alle verdipapirer måtte ha samme avkastning. Hvis de ikke hadde det, ville det ikke være noen etterspørsel etter dem med lav avkastning. Når det er usikkerhet, viser modellen at noen verdipapirer vil ha høyere forventet avkastning enn andre. Likevel etterspørres alle papirene. For et papir der avkastningen har høy samvariasjon (kovarians) med avkastninger på andre verdipapirer, vil den bidra sterkt til samlet usikkerhet, og da krever aktørene i modellen desto høyere forventet avkastning for å eie vedkommende verdipapir.
Et mer spesielt resultat fra modellen er basert på ytterligere forutsetninger om at det fins et verdipapir med risikofri avkastning, at alle aktører har tilgang til de samme verdipapirene, og at det ikke fins noen andre kilder til framtidige usikre inntekter. I så fall vil alle aktørene velge den samme relative sammensetningen av den delen av sparingen sin som de investerer i usikre verdipapirer. Denne relative sammensetningen kalles markedsporteføljen. Aktørene kan ha ulike grader av risikoaversjon, men dette vil bare slå ut i ulik fordeling av sparingen mellom markedsporteføljen og det risikofrie verdipapiret.
Om vi lar

Figur -081
betegne verdien av et verdipapir ved tidspunkt T, der

Figur -082
betegner det første tidspunktet og

Figur -083
det andre, så vil avkastningsraten for verdipapiret være

Figur -084
. Det vil være enklere å legge til 1 og operere med brøken

Figur -085
, som vi i det følgende skal kalle avkastningen.
Kapitalverdimodellens hovedresultat er at forventet avkastning kan skrives som

Figur -086
der

Figur -087
er avkastningen på markedsporteføljen. Den risikofrie renten er rf, og

Figur -088
. Her er verdipapirets betaverdi definert som

Figur -089
og det må forutsettes at S1 inkluderer eventuelt utbytte. I en (lukket) økonomi der avkastning på egenkapital skattlegges i selskapene, mens avkastning på lånekapital skattlegges hos kreditorene, er det den risikofrie renten etter skatt som vil opptre i likevektslikningen ovenfor.
Om vi løser likningen for S0, finner vi

Figur -090
der

Figur -091
ikke avhenger av den spesifikke aksjen.
Ved hjelp av denne likningen kan vi innenfor KVM finne markedsverdien i periode 0 av enhver usikker kontantstrøm i periode 1. Vi vil bruke denne igjen i punkt 9, og innfører en egen notasjon,

Figur -092
En viktig egenskap ved denne likningen er at markedsverdien av lineære funksjoner er samme lineære funksjon av de enkelte markedsverdier,

Figur -093
der V og W er usikre kontantstrømmer og m og n er konstanter. Dette kalles verdiadditivitet. Det følger direkte av definisjonen, siden samme egenskap gjelder for forventninger og for kovarianser. Likningen gjelder også når m eller n er negative. Vi forutsetter her for enkelhets skyld at vi ser på et selskap som er helt ut finansiert ved egenkapital. Uttrykket

Figur -094
kan dermed oppfattes som selskapets kontantstrøm ved tidspunkt 1, og i så fall gir likningen oss verdsettingen av hele selskapet, ikke bare en aksje i selskapet. Den viser at hvert prosjekt bør verdsettes for seg. Dersom det er mulig, vil en i praksis komme nærmere et riktig resultat ved å dele opp kontantstrømmer etter hvilken kovarians de har med markedsporteføljens avkastning, og verdsette dem separat.
En hovedlærdom fra KVM er at det er kovarians med markedsporteføljens avkastning som er det relevante målet for risiko. Dette omtales som systematisk risiko. Alt annet like vil et element i en kontantstrøm være mindre verdt i dag hvis det har høy kovarians med avkastningen på markedsporteføljen, fordi det i så fall bidrar mer til samlet usikkerhet i eiernes framtidige konsum. Dette står i motsetning til for eksempel om variansen, eller andre mål for spredningen i en sannsynlighetsfordeling, hadde vært brukt som mål for risikoen i det enkelte element i kontantstrømmen. En sier gjerne at slike mål dreier seg om total risiko, som også omfatter usystematisk risiko. Usystematisk risiko er den delen av risikoen som kan diversifiseres bort i markedet.
En annen lærdom er at selskapene ikke har noe å vinne på å diversifisere. Det kan eierne like gjerne gjøre selv. Riktignok kan variansen i et selskaps kontantstrøm bli redusert ved at selskapet har aktiviteter som har lav samvariasjon. Men markedets verdsetting er lineær, og avhenger ikke av variansen. Derfor vil ikke selskapets verdi bli økt ved diversifisering. De problemene med diversifisering som er nevnt under punkt 2.2.2, eksisterer ikke i KVM.
Om en kontantstrøm S er produktet av en usikker pris og et usikkert kvantum, PQ, så vil det ofte være rimelig å anta at kvantumet ikke har noen samvariasjon med økonomiske variabler. Mer presist vil vi se på det tilfellet at Q er stokastisk uavhengig av

Figur -095
. Q er gjenstand for bare geologisk og teknisk usikkerhet. I så fall følger det at

Figur -096
Dette betyr at usikkerheten i de ikke-økonomiske variablene er uten betydning. De variablene som bare er gjenstand for teknisk og geologisk usikkerhet, kan vi representere med forventningsverdier. Her bør det legges til at dette ikke lenger vil være tilfelle hvis det er fleksibilitet, ovenfor kalt realopsjoner. Men for øvrig er antakelsen om at Q er stokastisk uavhengig av de øvrige variablene, en nyttig forenkling.
KVM tilsier at en bør verdsette ulike elementer i kontantstrømmen hver for seg. Vi skal se mer konkret på dette i punkt 9. Det samme vil for øvrig være konklusjonen i andre modeller for markedsverdier under usikkerhet. Det at verdsettingsfunksjonen er lineær, gjelder generelt i markeder der aktørene har mulighet til å diversifisere fritt. Hvis den ikke var lineær, ville det være mulig å skape ekstra verdi ved å diversifisere, men det kunne ikke være en likevektssituasjon.
Om en sammenlikner ulike olje- eller gassprosjekter, vil ulike elementer av kontantstrømmene opptre i ulike relative størrelsesforhold. Noen prosjekter har høyere driftsoverskudd enn andre, d.v.s. en venter større differanse mellom bruttoinntekt og driftskostnad i hvert (eller de fleste) år. Dessuten kan prosjektene ha ulike typer kostnader med ulike typer risiko. For et utvinningsselskap er det forøvrig ikke bare prisrisikoen i faktormarkedene som betyr noe, men også hvordan ulike kontrakter fordeler denne risikoen mellom selskapet og de forskjellige ansatte og leverandører.
Alt dette tilsier at ulike prosjekter har ulik systematisk risiko. Vi skal nedenfor se at ulike skattesystemer også kan føre til ulikheter. Men selv før vi har trukket skatt inn i analysen, ser vi at det er problematisk å anvende samme krav til forventet avkastning for ulike prosjekter.
Usikkerhet i flere perioder
Om det er usikkerhet i flere perioder, og det ikke er noen fleksibilitet, er det vanlig å bruke avkastningskrav fra KVM som om den gjaldt i hver periode. Det kreves imidlertid ytterligere forutsetninger for at dette skal være teoretisk holdbart. Uansett vil det fortsatt være ønskelig å dele opp kontantstrømmen i delstrømmer for å ta hensyn til den systematiske risikoen i hver delstrøm.
Hvis den enkle en-periodiske Kapitalverdimodellen holder i hver periode, så vil forventet verdi av en aksje som ikke betaler utbytte, stige eksponensielt fra dagens nivå når vi ser inn i framtida. Dette dreier seg om en betinget forventning, gitt det nivået vi observerer i dag. Om aksjens verdi vokser mer enn forventet i løpet av det neste året, vil vi på det tidspunktet få en ny betinget forventningsbane. Denne vil vokse eksponensielt med samme rate, men fra det nye nivået.
Om aksjen betaler utbytte, må vi tenke oss at en eier reinvesterer dette ved å kjøpe mer av den samme aksjen. Denne verdien inkludert utbytte vil ha samme forventede utvikling som nevnt foran.
Om vi skal bruke denne flerperiodiske utvidelsen av KVM til å finne markedsverdien i dag av en framtidig usikker kontantstrøm, vil vi verdsette den som om den utgjorde et egenkapitalfinansiert aksjeselskap alene. Verdien i dag finner vi ved å neddiskontere den forventede framtidige verdien med en risikojustert kalkulasjonsrente. Denne er lik den forventede prisveksten som aksjen i et slikt selskap ville ha. Den avhenger derfor av kontantstrømmens systematiske risiko, kovariansen med markedsporteføljens avkastning.
Dette innebærer at effekten av risikotillegget øker eksponensielt over tid, og det er blitt reist tvil om ikke dette overdriver risikoen. Det er en følge av antakelsen om at KVM gjelder uendret i hver periode. Men resultatet kan likevel være misvisende, og det er blitt misbrukt. I utgangspunktet gjelder nemlig KVM for verdipapirer, ikke for de usikre elementene i en kontantstrøm, slik som oljeprisen. Oljeprisen trenger ikke følge den typen utvikling over tid som ovenfor er skissert for aksjer. Det er gode grunner til å tro at det ikke er tilfelle, som vist i Lund (1993). Det fins ikke noen teoretisk modell å støtte seg på når det gjelder prisusikkerhet i oljemarkedet. Men det kan være grunn til å tro at oljeprisen har en tendens til å vende tilbake mot en langsiktig trend, i motsetning til det som gjelder for aksjeverdier etter den enkle versjonen av KVM.
Om vi holder oss til KVM som definert foran, vil terminkontrakter på olje ha likevektspriser i tråd med modellen. Verdien av terminkontrakter er en kilde til å finne markedsverdi i dag av en enhet olje levert på en framtidig dato. Dette er et alternativ til å finne en forventet framtidig oljepris og en riktig risikojustert kalkulasjonsrente. Problemet er at det ikke fins organiserte markeder for terminkontrakter for levering mer enn tre år framover, mens mange feltutbygginger strekker seg over mer enn tjue år. Det er likevel tenkelig at terminmarkedene kan brukes til å estimere betaverdier for oljeprisen, eller avkastningsmankoen, som blir nærmere omtalt i punkt 9. Nye arbeider av Schwartz (1997, 1998) er eksempler på denne tilnærmingen.
Verdier av ikke-lineære kontantstrømmer og opsjoner
Kapitalverdimodellen viser hvordan en kan finne markedsverdier i dag av framtidige usikre kontantstrømmer. Den lineære egenskapen betyr at en kan dele kontantstrømmene opp i deler som kan verdsettes hver for seg. For et oljeprosjekt vil en typisk tenke seg å verdsette inntektsstrømmen for seg og noen kategorier av kostnadsstrømmer for seg. Det er vist et eksempel på dette i punkt 9. Betaverdier for produkt- og faktorpriser inngår som inndata i analysen, og forutsettes å være upåvirket av prosjektet.
Men om den framtidige kontantstrømmen er en ikke-lineær funksjon av disse prisene, blir det vanskeligere å bruke KVM. Da er det ikke uten videre enkelt å komme fram til noen kovarians med markedsporteføljens avkastning eller noen riktig betaverdi.
Typiske eksempler på slike ikke-lineære funksjoner er realopsjoner, som nevnt ovenfor, og skatter. Skattene er ikke-lineære hvis de er progressive, men også hvis de ikke har fullt, umiddelbart fradrag for tap. I så fall vil skatten være positiv hvis skattegrunnlaget er positivt, men null hvis skattegrunnlaget er negativt. Dette uttrykkes som

Figur -097
når t er skattesatsen, og

Figur -098
er skattegrunnlaget. Selv om tapet kan framføres, og den nominelle verdien kan trekkes fra i et seinere år, vil en slik skatt være en tyngre byrde for selskapene enn en skatt som gir fullt, umiddelbart fradrag for tap.
Analogien til finansielle opsjoner har gjort det mulig å tallfeste denne ekstra byrden. Denne tilnærmingen ble først brukt av Ball og Bowers (1982). Skatten er analog til en finansiell opsjon, nærmere bestemt en europeisk kjøpsopsjon, med oljeprisen som underliggende aktivum. Det er staten som kan sies å eie denne opsjonen. Om vi sammenlikner med en skatt med fullt, umiddelbart tapsfradrag, vil opsjonen være mer verdt, og det gjelder spesielt jo større usikkerhet det er omkring framtidig oljepris. Metoden er tallfestet for det daværende norske petroleumsskattesystemet av Lund (1987, 1991) og Hvideberg og Langbraaten (1989).
De delstrømmene som er ikke-lineære funksjoner av prisene, kan verdsettes med metoder hentet fra teorien om finansielle opsjoner. Det er nødvendig å ta hensyn til avkastningsmanko (som er nærmere forklart i punkt 9), og det kan være riktig å innføre antakelser om at prisene på lang sikt vender tilbake til en trend. Det siste var ikke gjort i de nevnte arbeidene av Ball og Bowers, Lund, eller Hvideberg og Langbraaten. Som et spesialtilfelle av opsjonspris-metoden kan en se på hvordan denne metoden verdsetter kontantstrømmer som er lineære funksjoner av prisene. Da finner en at opsjonspris-metoden er konsistent med å verdsette de enkelte delstrømmene hver for seg, ikke å bruke en fast betaverdi for den samlede netto kontantstrømmen.
Opsjonsverdi avhenger ikke bare av systematisk risiko, men av et mål for total risiko, for eksempel i oljeprisen. For øvrig må en kjenne verdien i dag av et krav på å motta det underliggende aktivum på opsjonens forfallsdato. Dette siste er det samme som en trenger for å verdsette lineære kontantstrømmer. Den nevnte verdien kan enten være kjent fra et terminmarked, eller den kan tallfestes ved å anslå forventet framtidig pris og den relevante risikojusterte kalkulasjonsrenten.
1.7.2 Vurdering av skattesystemene under usikkerhet
Vi skal nå gi en vurdering av tre skattesystemer ut fra de prinsippene og metodene som har vært drøftet foran. Vi holder oss her til standard teori, mens vi vurderer modifikasjoner i forhold til standard teori under punkt 8 nedenfor.
Standard teori forutsetter blant annet at selskapene er eid av godt diversifiserte eiere, at ledelsen i et selskap opptrer i eiernes interesser, og at beslutningsgrunnlaget er lik skattegrunnlaget, bortsett fra eventuelt nærmere spesifiserte unntak.
1.7.2.1 Kontantstrømskatt
Som nevnt foran vil en skatt på ikke-finansielle kontantstrømmer være nøytral hvis den gir fullt og umiddelbart fradrag for tap, d.v.s. utbetaling fra staten i de årene kontantstrømmen er negativ. Dette gjelder også under usikkerhet. Det gjelder når Kapitalverdimodellen holder. Men det kan argumenteres mer generelt med at det må gjelde når det er likevekt i et marked der aksjeeiere har mulighet til fritt å kjøpe og selge selskapenes aksjer. I et slikt marked må et krav på x prosent av en kontantstrøm være verdt akkurat x prosent av det et krav på hele kontantstrømmen er verdt. I så fall vil en gå inn for de samme beslutningene om en har krav på x prosent av resultatet av beslutningene, som om en har krav på hele resultatet.
1.7.2.2 Ressursrenteskatt
Ressursrenteskatt tar inn samme skatt som kontantstrømskatt, regnet i nåverdi. Forskjellen er at når kontantstrømmen er negativ, vil den under Ressursrenteskatt bli framført til fradrag i seinere år. Framføringen skjer med rente, slik at nåverdien av fradraget blir den samme som om fradraget hadde kommet i form av (utbetaling av) negativ skatt.
Det er to problemer med denne ideen. Det ene er å finne riktig framføringsrente. Det andre er at det vil være en viss sannsynlighet for at selskapet aldri får alle fradragene. Selskapet kan komme til å ende sin virksomhet ute av skatteposisjon, eller skattesystemet eller -satsen kan bli endret.
Analysen ovenfor har vist at de to problemene henger sammen. En Ressursrenteskatt er i beste fall nøytral under samme betingelser som en kontantstrømskatt. For at den skal oppfattes som likeverdig med kontantstrømskatt av selskapene, må verdien av fradragene oppfattes som likeverdig med umiddelbare fradrag og eventuelt utbetalt negativ skatt. Under forutsetning av full sikkerhet kan dette oppnås ved å framføre med selskapets kalkulasjonsrente for kontantstrømmer etter skatt og å sikre at selskapet får fradragene før eller seinere. Under usikkerhet er det to muligheter.
Den ene er at selskapene garanteres at de vil få fradragene før eller seinere. Hvis dette gjøres troverdig, slik at selskapene ikke opplever noen politisk eller annen risiko, vil selskapene oppfatte fradragene som likeverdige om de framføres med en risikofri rente. Dette er påpekt av Fane (1987).
Den andre er at det er en usikkerhet omkring muligheten for å få effektive fradrag fullt ut, evt. omkring skattesatsen som fradragene vil bli regnet mot. I så fall vil selskapene måtte få framføre fradragene med en risikojustert rente for at de framførte fradragene skal være likeverdige med umiddelbare fradrag. Men risikoen vil være ulik for ulike selskaper og ulike situasjoner. For noen kan sannsynligheten for aldri å få effektive fradrag være forsvinnende liten, mens den kan være betydelig for andre. Det er vanskelig å praktisere ulike renter for ulike tilfeller. Dermed kan en i beste fall oppnå en tilnærmet nøytralitet med en tilnærmet riktig risikojustering i renten.
Problemet med å fastsette riktig framføringsrente er ofte sett som en avgjørende svakhet ved Ressursrenteskatt. Men en bør være klar over at framføring av underskudd uten rente som regel vil være et betydelig større problem. Hvis det ikke gis noen forrentning, vil det være store forskjeller mellom verdien av fradrag slik den oppleves av et selskap i sikker skatteposisjon og av et selskap med stor usikkerhet om skatteposisjonen.
I praksis fins det flere virkemidler for å sikre selskapene en høy sannsynlighet for å få effektive fradrag. En mulighet er å garantere utbetaling av skatteverdien av gjenstående fradrag hvis virksomheten opphører. En annen er å tillate andre selskaper i skatteposisjon å kjøpe selskaper med ubenyttede fradrag. Det er dessuten en betydelig forskjell mellom feltvis og selskapsvis Ressursrenteskatt: Hvis det ikke er noen mulighet for utbetaling, vil et felt ha mye større sannsynlighet for å ende med ubenyttede fradrag enn et selskap. Her eksisterer det riktignok en særskilt ordning for opprydningskostnader, som eventuelt kan tas inn i et system med Ressursrenteskatt.
1.7.2.3 Dagens norske petroleumsskatt
Det er rimelig å tolke dagens norske petroleumsskattesystem slik: Vanlig inntektsskatt for selskaper skal sørge for å skattlegge normalavkastningen på kapital med en sats på 28 prosent. Dette skal være på linje med den måten normalavkastningen blir skattlagt på i andre næringer. Særskatten skal ta en stor del av ekstraavkastningen, grunnrenten, inn til staten. Som vist foran, er denne ekstraavkastningen det som overstiger en nominell internrente på 11,88 prosent.
Det kan reises tvil om avskrivningene er for gunstige for selskapene ved skattleggingen av normalavkastningen. De er i hvert fall vanligvis raskere enn reelt økonomisk verdifall av kapitalen. Det kan kanskje argumenteres med at en bare får effektivt fradrag etter at selskapet er kommet i skatteposisjon, og at dette vil ta flere år for selskaper som er nye i norsk petroleumsvirksomhet. Dette er mer utpreget i petroleumsvirksomheten på grunn av lang utbyggingstid for prosjekter, og kan motvirkes av kortere avskrivningstid. Kanskje er det også større usikkerhet i denne virksomheten, med større sannsynlighet for å være ute av skatteposisjon, selv om dette langt fra er opplagt for selskaper med andeler i mange felt i produksjon. Den lavere verdien av skattefradragene når det er usikkerhet omkring når og om de vil bli effektive, kan bli motvirket av kortere avskrivningstid.
Når det gjelder særskatten, er spørsmålet om fradragene treffer riktig: Er normalavkastningen fritatt for særskatt? Dette kan i beste fall dreie seg om en beregnet nøytralitet. Det kan se ut som om 11,88 prosent er et høyt anslag for nominell normalavkastning for et selskap som er i sikker skatteposisjon i hvert år, mens det er lavt hvis skatteposisjonen er usikker. Den avkastningen som unngår særskatt, vil bli lavere hvis det går lang tid fra investeringen til selskapet kommer i skatteposisjon, som vist i punkt 5.2.
Analysen i punkt 9 viser at en viss sannsynlighet for å miste noe av fradrags-verdien kunne gjøre skattene mye tyngre å bære for selskapene. Det samme er konklusjonen i Lund (1987, 1991) og Hvideberg og Langbraaten (1989). Det kan se ut til at dette, som har med usikkerhet å gjøre, kan være en vel så alvorlig vridningseffekt som den som fulgte av en sikker utsettelse av fradragene, som var analysert i punkt 5.2. Vi kan ikke trekke noen sikker konklusjon om dette her.
Til slutt bør det nevnes at det oppstår en ytterligere vridningseffekt i det norske systemet når selskapene står overfor realopsjoner. Systemet med avskrivninger vil gi en uniform skattlegging av avkastningen hvis det treffer det reelle økonomiske verdifallet på kapitalen. Men McKenzie (1994) viser at det ikke bare er kapitalutstyret som bør gi opphav til avskrivninger. For å oppnå uniformitet må også realopsjonsverdiene avskrives. Vi kjenner ikke til at dette er gjennomført i praksis i noe eksisterende system for selskapsskatt.
1.8 Modifikasjoner i forhold til standard teori
Diskusjonen foran har dreid seg om skattesystemenes egenskaper i en situasjon der selskapene treffer sine beslutninger som i standard økonomisk teori, og der det ikke er noen eksterne virkninger. Vi skal nå se på noen punkter der det er nærliggende å reise tvil om dette er situasjonen. Det er viktig å være klar over at det i så fall ikke lenger er noen klar begrunnelse for at skattesystemet bør være nøytralt.
1.8.1 CO2-avgift
Utslipp av CO2 antas å føre til eksterne virkninger ved global oppvarming. Det fins en velutviklet teori om hvordan negative eksterne virkninger kan motvirkes av avgifter eller omsettbare kvoter. Det er ikke åpenbart at myndighetene har vært i stand til å utforme avgiftene på en effektiv måte for landet som helhet. Det er dessuten ennå ikke noen effektiv ordning for internasjonale kvoter eller avgifter.
Uansett om systemet har mangler i forhold til andre land og andre næringer, har CO2-avgift i petroleumsvirksomheten trolig en klar insentiveffekt for selskapene. De vil søke å unngå utslipp, og med samme avgift i hele næringen vil en få en effektiv fordeling av rensekostnader mellom selskapene og feltene.
Dette gjelder også etter at utbyggingsløsningen for et felt er valgt. Om det produseres med CO2-utslipp, vil selskapene betale avgift gjennom hele feltets produksjonstid. Dette vil blant annet føre til at selskapene blir interesserte i å stenge produksjonen tidligere enn det de ellers ville ha ønsket. Dette er en ønsket effekt av CO2-avgiften. Avgiften gir dessuten selskapene insentiv til å forske og utvikle i retning av lavere framtidige utslipp.
Avgiften har som hensikt at selskapene skal internalisere de kostnadene som utslippene medfører. Når kostnadene per enhet karbon er den samme for alle utslipp, bør avgiften per enhet karbon være den samme. Siden det dreier seg om en (internalisert) kostnad, skal den være fradragsberettiget i skattegrunnlaget. Den blir dermed behandlet på samme måte som selskapets øvrige kostnader, og avgiften skal reflektere hva utslippene koster samfunnet. Det er derfor ikke slik at en høy skattesats på overskudd eller kontantstrøm i denne sektoren tilsier at en fradragsberettiget CO2-avgift skal være høyere enn i andre sektorer med lavere skattesatser.
Hvis skattesystemet bygger på en beregnet nøytralitet, og det derfor er nødvendig å endre satsene når lønnsomheten endres, bør en CO2-avgift holdes uendret. Om en eventuelt skulle endre CO2-avgiften, måtte det i så fall være begrunnet av at den marginale samfunnsøkonomiske kostnaden ved utslippene var endret.
1.8.2 Dårlig diversifiserte eiere, eller risikoavers ledelse
Dersom innflytelsesrike eiere i et selskap har selskapets overskudd som en vesentlig del av dine inntekter, er det rimelig å tro at de ønsker å legge sin egen risikoaversjon til grunn for selskapets beslutninger. Dette betyr at selskapet vil legge vekt på total risiko i sin kontantstrøm, ikke bare systematisk risiko. Det medfører blant annet at selskapet vil ønske å diversifisere sin aktivitet ved å ha mange små lisensandeler framfor få store. Det kan også medføre et ønske om å gå inn i andre typer virksomhet. Eventuelle stordriftsfordeler og utnytting av spesifikk kunnskap vil trekke i motsatt retning.
Noe liknende kan skje dersom ledelsen i et selskap legger egne interesser til grunn for beslutningene i stedet for eiernes interesser. Ledelsen vil som regel ha en betydelig del av sine inntekter og sin velferd forøvrig, blant annet makt, prestisje og framtidige inntektsmuligheter andre steder, knyttet til selskapets overskudd. Ledelsen vil derfor ønske å legge sin risikoaversjon til grunn for beslutningene.
Virkningen av skatt i en slik situasjon har vært analysert av blant andre Domar og Musgrave (1944), Mossin (1968) og Sandmo (1977). Analysen er utviklet for det tilfellet at det er konstant skalaavkastning, som for eksempel kan komme av at den risikable investeringen er en finansinvestering, og at investoren er en liten aktør i markedet. Analysen gir det klareste resultatet i tilfelle skatten er en kontantstrømskatt som bare treffer den delen av avkastningen som overstiger en risikofri rente. Under en slik skatt vil investoren ønske mer (før skatt) av en risikabel investering jo høyere skattesatsen er.
Forklaringen på dette resultatet er enkel. Om vi i første omgang ser på situasjonen uten skatt, er det bare en egenskap ved beslutningsproblemet som gjør at det har en endelig løsning, nemlig investorens risikoaversjon. Ved risikonøytralitet ville investoren ønske uendelig mye av en risikabel investering med konstant skalaavkastning hvis den hadde høyere forventet avkastning enn alternativene. Ved risikoaversjon blir det derimot en avveining mellom risikoen og forventet avkastning, og det er slik den optimale risikable investeringen blir fastlagt. Hva skjer nå hvis det blir ilagt en skatt? For investoren vil det være mulig å oppnå akkurat samme optimale kontantstrøm etter skatt fra den risikable investeringen ved å øke investeringen før skatt. Hvis skattesatsen for eksempel er åtti prosent, må investeringen (og dermed hele kontantstrømmen før skatt) femdobles. De tjue prosentene investoren sitter igjen med, vil i så fall gi samme kontantstrøm som den investeringen som var valgt i situasjonen uten skatt.
Langbraaten og Lund (1990) viser at en kontantstrømskatt på ikke-finansielle kontantstrømmer akkurat svarer til den typen skatt som er analysert i de nevnte artiklene. De viser videre hvordan analysen kan overføres til en realinvestering med avtakende skalaavkastning. Her vil det optimale nivået på investeringene bli påvirket både av risikoaversjonen og av den avtakende grenseproduktiviteten av investeringene. Hvis grenseproduktiviteten er sterkt avtakende, gir ikke analysen noe klart svar. Men hvis den er svakt avtakende, vil en fortsatt ha det forannevnte resultatet, at økt skattesats fører til økte investeringer.
Dersom eierne er dårlig diversifiserte, eller dersom ledelsen handler i egen interesse, vil selskapet ha en tendens til å investere for lite. En kontantstrømskatt kan bidra til å påvirke selskapet i riktig retning.
Dersom eierne derimot er godt diversifiserte, og markedene for øvrig virker som forutsatt i standard samfunnsøkonomisk teori, vil selskapet investere på en måte som er samfunnsøkonomisk optimal. En kontantstrømskatt påvirker ikke dette.
Vi ser at i forhold til dette mulige avviket fra standardforutsetningene har en kontantstrømskatt gunstige effekter. For de selskapene der avviket har betydning, vil skatten bidra til å korrigere problemet. For andre selskaper er skatten nøytral. Siden en i praksis vil ha problemer med å skattlegge de to typene selskaper ut fra ulike prinsipper, er dette en svært heldig egenskap ved systemet. Men en skal ikke ha for store forventninger til hva det er mulig å oppnå på denne måten. Hvor stor kontantstrømskatt som er ønskelig for å påvirke dårlig diversifiserte eiere, vil variere fra selskap til selskap. Det er vanskelig å få til en slik differensiering i praksis.
Vi har sett i punkt 3.2 at skattesystemer som ikke er nøytrale, kan vri beslutningene i retning av mer eller mindre investeringer. Drøftingen der vil kunne overføres direkte til godt diversifiserte eiere. Hvis skattesystemet vrir beslutningene i retning av mindre investering for disse, kan det hende at det også vrir på samme måte for dårlig diversifiserte eiere. Riktignok kan skatten påvirke til økt investering selv om det er en svak ikke-nøytralitet, for eksempel en svak reduksjon i nåverdien av fradragene ved framføring. Men om skattesystemet avviker betydelig i denne retningen fra å være nøytralt, vil det påvirke i retning av reduserte risikable investeringer. Det er trolig lite som skal til før den negative effekten tar overhånd.
1.8.3 Skattegrunnlag avviker fra beslutningsgrunnlag
Dette punktet omfatter problemer som skyldes fradrag for kostnader mot en høy marginal skattesats. For at et skattesystem skal virke nøytralt, er det åpenbart nødvendig å gi fradrag for kostnadene mot samme skattesats som gjelder for inntekter. Når dette likevel oppfattes som et problem, har det å gjøre med at skattegrunnlaget avviker fra beslutningsgrunnlaget. Selskapene har andre fordeler av å pådra seg kostnadene enn det at disse kostnadene bidrar produktivt til å øke skattegrunnlaget. Dersom økningen i skattegrunnlaget hadde reflektert hele den gevinsten selskapet hadde av å pådra seg kostnadene, ville de problemene som tas opp, ikke være relevante.
1.8.3.1 Overføringsproblemet
Overføringsproblemet består i at selskapene vil ønske å overføre kostnader til en sektor med høyere skatt enn andre sektorer og inntekter i motsatt retning. Dette gjelder selv om skattesystemet i sektoren er nøytralt i snever forstand. Med overføringer tenker en vanligvis på overføringsprising. Det består i at selskapet har beslektede selskaper (f.eks. mor-, søster- eller datterselskaper) i andre sektorer eller land, slik at det selv kan fastsette hvilke priser som skal brukes ved kjøp og salg av varer og tjenester mellom de beslektede selskapene. Myndighetene vil søke å regulere dette ved å kreve at det brukes armlengdespriser. Armlengdespriser betyr de prisene som ville ha vært fastsatt for samme transaksjon mellom uavhengige parter.
Det er generelt vanskelig for myndighetene å fastsette armlengdespriser og gjøre dem gjeldende ved skattleggingen. Blant annet fins det ikke alltid noen observerbare priser for liknende transaksjoner. For å unngå en del av tvistene som kan oppstå med selskapene, har norske myndigheter innført ordningen med normpriser som skal brukes for olje ved beregning av skattegrunnlagene. Det er atskillig vanskeligere å gjøre noe tilsvarende på kostnadssiden. Mange innsatsfaktorer er spesiallagde, slik at det ikke fins noe marked for helt tilsvarende varer. Dessuten omsettes en del innsatsfaktorer først og fremst mellom beslektede selskaper, slik at det ikke er lett å observere armlengdespriser.
Overføringer kan være et problem også når det gjelder reelle strømmer av varer og tjenester, ikke bare prisingen av disse. Når en sektor skattlegges med en høyere sats enn andre, vil et selskap med virksomhet i flere sektorer og/eller land ønske å prøve ut nytt utstyr og lære opp nytt personell i sektoren med høy skattesats. De økte inntektsmulighetene som følger av utprøving og opplæring, vil kunne komme i andre sektorer uten at myndighetene kan hindre dette. Dette vil føre til redusert samlet skattebyrde for konsernet, og lavere skatteproveny fra høyskattsektoren. Det vil også gjøre det lønnsomt for konsernet å bruke mer ressurser på testing og opplæring enn det ville ha brukt om det ikke var noen forskjell i skattesatser.
Det er vanskelig å gi en tilfredsstillende løsning på disse problemene. Siden problemene er størst på kostnadssiden, kan det være et argument for en viss bruttoskatt, for eksempel en produksjonsavgift. Mer generelt oppnår en det samme ved å ha høyere marginalskatt på inntekter enn den satsen kostnader kan trekkes fra mot. Dette er vist i et arbeid av Halvorsen og Lund (1998), under forutsetning av at myndighetene tillegger skatteproveny større verdi enn det overskuddet som eierne sitter igjen med. Det vil være en avveining mellom effektivitetstapet ved bruttoskatt og fordelene ved å fjerne motivet for overføringsatferd. Men størrelsen på bruttoskatten burde tilpasses overføringsmulighetene i det enkelte tilfelle, og dette er lite realistisk. Det beste som kan oppnås, er trolig tilpasning til en gjennomsnittlig situasjon.
En mer ytterliggående løsning er foreslått av Osmundsen (1995). Han antar at myndighetene bare kjenner en sannsynlighetsfordeling for selskapenes kostnader. De faktiske kostnadene kan ikke verifiseres, og skattene må derfor utformes uten å gi noen fradrag for de kostnadene selskapene rapporterer. Skattene utformes som en voksende funksjon av utvunnet kvantum, som antas å være observerbart. Her kan det innvendes at det synes svært drastisk å velge å se helt bort fra hva myndighetene kan finne ut om faktiske kostnader.
1.8.3.2 Kostnadsbevissthet
Et problem som er beslektet med overføringsproblemet, dreier seg om selskapets villighet til å pådra seg kostnader som tilsynelatende er uproduktive. I motsetning til overføringer kan dette være aktuelt uten at selskapet har noe beslektet selskap i andre sektorer. Lav kostnadsbevissthet har å gjøre med den høye skattesatsen i sektoren, ikke med differansen i skattesats i forhold til det søsterselskapene i andre sektorer står overfor. En kan eventuelt si at lav kostnadsbevissthet også bygger på en sammenlikning med andre skattesatser, i noen tilfeller null skatt på visse typer fordeler, i andre tilfeller skattesatsen på arbeidsinntekt.
Så lenge selskapet står overfor en marginal skattesats som er lavere enn hundre prosent, vil det ikke ønske å pådra seg kostnader uten å oppnå noen fordeler av det. Det kunne eventuelt dreie seg om at ledelsen og andre ansatte oppnår fordeler uten at dette er i eiernes interesse. I så fall dreier det seg om et kontrollproblem i selskapet.
Men det er fullt tenkelig at selskapets eiere har fordel av at selskapet pådrar seg kostnader, selv om disse ikke direkte fører til noen økt skattbar inntekt for selskapet. Det kan for eksempel tenkes at kostnadene bidrar til økt velferd for ledelsen og andre ansatte og på den måten utgjør et alternativ til økte lønnsutbetalinger.
En annen variant av problemet med kostnadsbevissthet er at selskapene kan hevde at de ikke vil anstrenge seg for å holde kostnadene nede, fordi det likevel er lite å vinne for dem. Mer konkret kan det dreie seg om å pådra seg kostnader i dag for å redusere framtidige kostnader. I så fall er det grunn til å tro at et nøytralt skattesystem ikke påvirker beslutningen, uansett om skattesatsen er høy. Hvis beslutningen er lønnsom før skatt, vil den også være det under et nøytralt skattesystem.
1.8.4 Finansielt volum, materialitet
Selskapene hevder av og til at det ikke er tilstrekkelig for å fatte beslutning om en investering at den gir positiv nåverdi etter skatt. Det hevdes at prosjekter som gir små nåverdier, ikke bare er mindre interessante, men direkte uinteressante. Dette omtales som et krav om finansielt volum eller materialitet. Det er ikke i tråd med standard teori, som tilsier at en skulle sette i gang alle prosjekter som har positiv nåverdi.
En bør for det første være klar over at selskapene åpenbart har interesse av å overdrive hvilke krav de stiller til nåverdi. De kan jo håpe på at myndighetene gir lettelser i skattene på bakgrunn av disse kravene.
Men det fins flere mulige grunner til at selskapene faktisk vurderer på denne måten. Vi skal ikke her ta stilling til om det er rimelig å tro på noen av disse. Det er viktig å klargjøre hva slags avvik fra standard teori vi har med å gjøre.
Et krav om noe mer enn positiv nåverdi kan skyldes at selskapene egentlig har en høyere kalkulasjonsrente enn det som er lagt til grunn i nåverdiberegningene. I så fall bør man i stedet bruke den faktiske kalkulasjonsrenten.
Under usikkerhet kan det være større sannsynlighet for å havne ute av skatteposisjon jo mindre et prosjekt er, spesielt om selskapet ikke har annen virksomhet. I så fall vil et krav til høyere nåverdi være en mulig tommelfingerregel, men en mer korrekt metode er vist i punkt 9. For øvrig må en i denne situasjonen skille mellom prosjekter med lave forventede driftsoverskudd i forhold til investeringene, og prosjekter som både har lave forventede driftsoverskudd og lave investeringer. Det siste vil være situasjonen etter skatt når skatten er en kontantstrømskatt med en høy sats. Sannsynligheten for å havne utenfor skatteposisjon avhenger i dette tilfellet ikke av skattesatsen, og har derfor ingenting å gjøre med om nåverdien etter skatt er lav. Det samme holder ikke fullt ut for alle andre skattesystemer. Det er nødvendig å være klar over at “lav netto nåverdi etter skatt” er en samlebetegnelse for mange typer kontantstrømmer med ulike tidsprofiler og ulike grader av risiko.
Det kan også tenkes at selskapene er rasjonert i kapitalmarkedene. Dette virker lite sannsynlig for store konserner, men det kan være mer aktuelt for mindre selskaper. Med en absolutt rasjonering i form av en gitt sum å investere i inneværende år vil det være fornuftig å søke å investere i prosjekter som gir størst mulig samlet nåverdi. Det vil ikke være mulig å velge alle tilgjengelige prosjekter med positiv nåverdi, og de med minst nåverdi kan bli nedprioritert. Men i denne situasjonen er ikke høy nåverdi det riktige kriteriet. Det riktige vil være å foretrekke prosjekter med en høy nåverdibrøk, netto nåverdi per investert krone i inneværende år. Denne brøken kan være høy selv om netto nåverdi av prosjektet er lavt. Kontantstrømskatt med høy sats reduserer ikke nåverdibrøken til et prosjekt.
En annen begrunnelse for å kreve nåverdi av en viss størrelse kan være at hvert prosjekt krever en viss overvåking fra selskaps- eller konsernledelsen. Det krever mer ressurser å overvåke fem prosjekter som gir en nåverdi på en milliard hver enn ett prosjekt som gir en nåverdi på fem milliarder. Slik vil det i hvert fall være hvis den eneste grunnen til forskjellen er at de fem prosjektene betaler åtti prosent skatt, mens alle seks prosjekter er omtrent like store før skatt. Det kan reises tvil om denne begrunnelsen siden selskapene har anledning til å trekke fra kostnadene til ledelse og overvåking i prosjektregnskapene. Men det er ikke sikkert at det er anledning til å trekke fra alle de faktiske kostnadene. Haaparanta og Piekkola (1997) antar i sin analyse av dette at det gjenstår noen kostnader som er vanskelige å verifisere og trekke fra i skattegrunnlaget.
Hvis det er den sistnevnte begrunnelsen som gjelder, dreier det seg om et måleproblem, altså at beslutningsgrunnlaget avviker fra skattegrunnlaget. Det fins ressurser internt i selskapet som har en betydelig skyggepris (i hvert fall i en gitt situasjon) som ikke fullt ut kan føres til fradrag. Det er vanskelig å utforme et system som fullt ut løser slike problemer.
Det er ikke åpenbart hvordan skattesystemet skal utformes hvis selskapene krever finansielt volum. Den beste utformingen vil avhenge av den nøyaktige begrunnelsen for kravet. I alle fall dreier det seg om en situasjon der standardbegrunnelsen for et nøytralt skattesystem ikke lenger holder. Det virker klart at hvis en tar kravet på alvor, vil det ikke finnes noe prinsipp for hva som er optimal skatt uavhengig av skattesats. Skattesatsen må fastsettes for å avveie skatteproveny mot andre hensyn.
Kravet om finansielt volum står direkte i motsetning til situasjonen med risikoaversjon som var tatt opp under punkt 8.2. Hvis et selskap handler ut fra risikoaversjon, vil det foretrekke fem små kontantstrømmer framfor en som er fem ganger så stor. (Unntaket er hvis de fem er perfekt korrelerte.) Men ut fra en vektlegging av finansielt volum vil det være omvendt.
Gjennom konsesjonstildelinger og kjøp og salg av lisensandeler kan selskapene selv til en viss grad tilpasse seg ut fra behov for enten diversifisering eller finansielt volum. Det er ikke åpenbart at myndighetene trenger å bruke skattesystemet for å løse problemene, i hvert fall ikke problemet med krav om finansielt volum.
Et krav om finansielt volum kan være et argument for at skattesystemet bør være progressivt: Det bør ta en større del av nåverdien jo større nåverdien er. Dette vil kunne øke selskapenes samlede investeringer, bortsett fra hvis selskapene er rasjonert i kapitalmarkedet og samlede investeringer i Norge er gitt. Dette forbeholdet er trolig mindre relevant, siden selskapene kan velge å investere i utlandet.
Nå er ikke nåverdien det formelle skattegrunnlaget. Det er vanskelig å utforme et skattesystem som er nøytralt og samtidig tar større andeler av høye nåverdier. Det kan være mer å vinne på å bruke reduksjon av SDØE-andeler som virkemiddel i de tilfellene der selskapene overbeviser myndighetene om at nåverdien av et felt etter skatt vil være for lav til at utbygging er interessant.
Ønsket om å gjøre skattesystemet progressivt kommer imidlertid i konflikt med ønskene om å redusere overføringsproblemene og styrke kostnadsbevisstheten. Dette kan vises ved å betrakte en sterkt stilisert modell av skattesystemet. For argumentets skyld kan vi anta at skattene er lineære, med en marginalskatt

Figur -099
på bruttoinntekter, X, og en marginal skattesats

Figur -100
som kostnader, C, kan trekkes fra mot. Progressiv skatt vil si at skattebetalingen

Figur -101
er en voksende andel av skattegrunnlaget

Figur -102
når dette vokser. Det krever at

Figur -103
. Det står i direkte motstrid til hensynet til overføringsproblemet, som er størst på kostnadssiden. Dette motvirkes ved å redusere

Figur -104
, og hvis skatteprovenyet skal opprettholdes, må en ha

Figur -105
.
1.8.5 Politisk risiko
Politisk risiko vil si den risikoen selskapene opplever for at myndighetene skal endre skattesystem, skattesatser, eller andre reguleringer og rammebetingelser. Selskapene vil generelt investere mindre jo større risiko de opplever. Men for andre typer risiko er kildene til risiko til stede både sett fra myndighetenes, samfunnets og selskapenes synsvinkler. Da er det i prinsippet mulig at risikomarkedene sørger for at selskapene treffer beslutninger som er samfunnsøkonomisk fornuftige. Politisk risiko kan derimot bli fjernet eller sterkt redusert om myndighetene går inn for det, og dette vil åpenbart være gunstig i en økonomi av risikoaverse individer. Konklusjonen blir at myndighetene bør sørge for mest mulig stabile forhold med lavest mulig politisk risiko.
1.9 Appendiks: En modell for avkastningskrav under ufullstendig tapsfradrag
Vi skal nå gjennomgå en modell som viser verdsetting av kontantstrøm etter skatt basert på Kapitalverdimodellen og opsjonspristeori, som skissert i punkt 7.1.2. Modellen kan vise hvordan selskapenes beslutninger blir påvirket av
graden av egenfinansiering,
skattesatser,
avskrivningsregler, bl.a. avskrivninger i investeringsåret,
sannsynligheten for å være i skatteposisjon,
forholdet mellom driftsinntekter og driftskostnader,
betaverdiene til produktpris og faktorpris.
En hovedkonklusjon fra analysen er at beslutningene påvirkes sterkt av momentene 1–4 på listen. De to siste er ikke analysert nedenfor. Spesielt slår sannsynligheten for å være i skatteposisjon sterkt ut. Utslagene er merkbare selv når sannsynligheten bare er noe mindre enn 1. En naturlig slutning å trekke er at en målsetting om et mest mulig nøytralt skattesystem tilsier at en bør gi gode muligheter for tapsfradrag.
Modellen viser også hvordan betaverdien for netto kontantstrøm til egenkapitalen varierer sterkt med de nevnte faktorene. Dette betyr blant annet at det vil være feil å anvende krav til forventet avkastning under ett skattesystem som er basert på observerte krav til forventet avkastning under andre skattesystemer. Hvis ett skattesystem har bedre mulighet for tapsfradrag, er det grunn til å benytte et lavere krav til forventet avkastning.
For å gjennomføre analysen uten alt for kompliserte resonnementer er det gjort en rekke forenklinger. De viktigste er
Selskapet produserer bare en vare, f.eks. olje, ved hjelp av bare en innsatsfaktor, som vi vil kalle arbeidskraft, i tillegg til kapital.
Selskapet investerer i periode 0 og produserer i periode 1.
Det er ingen flere perioder. Samlet avskrivning og friinntekt fordeles mellom investeringsåret og produksjonsåret.
Det er et gitt forhold mellom driftsinntekt og driftskostnad i periode 1.
Selskapets gjeld er risikofri.
Når selskapet låner, er det en fast andel av finansieringsbehovet i periode 0 som dekkes av (rentebærende) gjeld, mens resten dekkes av egenkapital.
Når det usikkerhet om selskapets skatteposisjon, er det antatt at faktorpris og produktpris er perfekt korrelerte. Dette reduserer problemet til et endimensjonalt opsjonsprisingsproblem, som er atskillig lettere å håndtere enn et todimensjonalt problem.
Dersom selskapet er ute av skatteposisjon i periode 1, vil muligheten for fradrag ved skatteberegningen gå endelig tapt.
For å verdsette kontantstrømmene etter skatt bruker vi to sentrale modeller fra finansteorien, Kapitalverdimodellen og Black og Scholes’ opsjonspristeori. Vi bruker standard-formuleringene av hver av disse modellene, selv om de bygger på forutsetninger som ikke er helt sammenfallende.
Det er sett bort fra inflasjon.
Forenklingene innebærer at modellen først og fremst bør brukes til å illustrere metoder og kvalitative resultater (i hvilken retning forskjellige effekter trekker), ikke til å trekke endelige slutninger om hvor sterke effektene er.
Tallstørrelsene i analysen som følger, er ment å være noenlunde realistiske anslag innenfor en modell med bare to perioder. Men sannsynlighetene for å havne utenfor skatteposisjon er bare valgt som eksempler. Vi antar at de effektene vi finner, har noenlunde riktig størrelsesorden og i hvert fall riktig fortegn.
Selskapet velger størrelsen på realinvesteringen i periode 0 for å maksimere markedsverdien sin, vurdert i periode 0. Markedsverdien i periode 0 av netto driftsinntekt i periode 1 er en voksende, konkav funksjon av realinvesteringen, slik at selskapet investerer inntil det nivået der økningen i netto markedsverdi blir null, d.v.s. til det koster en krone å øke brutto markedsverdi med en krone. Den siste kronen investert oppnår dermed ingen grunnrente, men bare normalavkastningen i forhold til risikoen. Det er derfor denne siste kronen legges til grunn for beregning av betaverdier. Det gir ingen mening å beregne betaverdier for investeringer som gir grunnrente, siden betaverdier er definert i en modell som beskriver en likevektssituasjon.
Det er vanlig å anta at produsert mengde er en voksende, konkav funksjon av investeringen. Her skal vi i stedet se direkte på markedsverdien i periode 0 av driftsoverskuddet i periode 1, og vi antar at denne er en voksende, konkav funksjon av investeringen. Sett fra selskapets side vil verdsettingen avhenge av markedsparametre, slik som betaverdier, som selskapet ikke kan påvirke. Fra selskapets synspunkt blir beslutningsproblemet dermed essensielt sett det samme under begge måter å spesifisere funksjonen på. Hvis det egentlig er produsert mengde som står i et gitt funksjonsforhold til investeringen, vil den funksjonen vi benytter, endres når betaverdiene endres.
Nedenfor vil det imidlertid framgå at skattenes vridende effekt på beslutningen ikke avhenger av betaverdiene når den vridende effekten måles direkte i markedsverdier. Hvis disse markedsverdiene også er samfunnsøkonomisk riktige verdier, vil det derfor være en metodisk forenkling å basere seg direkte på markedsverdier som funksjon av investert beløp.
Betaverdien for egenkapitalen etter skatt avhenger av betaverdiene til produktpris og faktorpris. Dette er de grunnleggende variablene som beskriver den systematiske risikoen i virksomheten, og som holdes konstante i hele analysen. Dette er størrelser vi har dårlige anslag for hver for seg, men i talleksemplene velger vi å illustrere betaverdien for et oljeselskap uten lån og skatt som 0,60, som antas å være et rimelig anslag.
Her må en være oppmerksom på fenomenet avkastningsmanko, jfr. McDonald og Siegel (1984). Verken produktet eller innsatsfaktoren er omsatt som investeringsobjekter i kapitalmarkedene. Produktprisen og faktorprisen må derfor antas å ha avkastningsmanko, d.v.s. de gir lavere forventet avkastning enn det som skal til for at noen ville være villige til å investere i de to varene. Vi skal først definere hva som menes med betaverdiene deres i en slik situasjon.
I punkt 7.1.2 definerte vi markedsverdien av en kontantstrøm

Figur -106
som

Figur -107
Om vi anvender likningen for en enhet olje i stedet for en aksje, finner vi en ulikhet

Figur -108
på grunn av avkastningsmankoen. I det følgende resonnementet vil

Figur -109
ikke spille noen rolle, mens derimot

Figur -110
vil ha betydning. Det dreier seg om markedsverdien i periode 0 av å ha et krav på å motta en enhet olje om en periode. Avkastningen

Figur -111
har derfor ikke noen avkastningsmanko, i motsetning til P1/P0, og betaverdien til P må defineres ut fra den førstnevnte. Betaen for oljeprisen blir

Figur -112
og tilsvarende for lønna,

Figur -113
Det er mulig å uttrykke f.eks.

Figur -114
mer eksplisitt, uten å gå omveien om

Figur -115
, nemlig

Figur -116
.
Netto driftsinntekt i periode 1 før skatt er

Figur -117
, der Q er mengden olje, og L er mengden arbeidskraft. Det er ikke lenger nødvendig med noen fotskrift på P og W for å markere periode 1, siden vi bare er opptatt av produktpris og faktorpris i den ene perioden.
Markedsverdien av dette i periode 0 er

Figur -118
. La

Figur -119
betegne denne verdien for en investering som er akkurat marginal under et gitt skattesystem for gitte antakelser om lånefinansiering og skatteposisjoner. Fotskriften i betegner tilfelle i i drøftingen nedenfor.
Som en forenkling er det hensiktsmessig å spesifisere nærmere hva slags teknologi selskapet står overfor. I det følgende setter vi forholdet mellom

Figur -120
og

Figur -121
lik 2. Den avgjørende forenklingen er antakelsen om at selskapet står overfor et fast forhold. Det ville derimot være enkelt å modifisere modellen for å studere virkningen av at forholdet var noe annet enn 2.
1.9.1 Tilfelle 1: Ingen fremmedkapital, ingen skatt eller kontantstrømskatt
Vi ser først på tilfelle 1, et selskap som er helt ut finansiert av egenkapital. Vi ser først på situasjonen uten noen skatt. Vi lar V1 (der fotskriften betegner tilfelle 1) betegne kontantstrømmen for dette selskapet i periode 1,

Figur -122
Med definisjonene foran blir betaverdien

Figur -123
Vi skal løse for den γ1 som gjør at investeringen akkurat er marginal. Da må

Figur -124
være akkurat lik I,

Figur -125
Dermed er γ1 lik 1, og

Figur -126
for den marginale investeringen. Videre er

Figur -127
og

Figur -128
. Disse vektene gjør det mulig for oss å beregne betaverdien for avkastningen på egenkapitalen, gitt betaverdier for P og W.
Eksempel: Om

Figur -129
,

Figur -130
, så blir

Figur -131
.
I det følgende skal vi bruke samme metode for å se hvordan betaverdiene (for egenkapitalen etter skatt) blir påvirket av først å innføre lånefinansiering, deretter skatt, deretter skatt med underskuddsframføring, og til slutt skatt med mulighet for ufullstendig underskuddsframføring. Metoden vil samtidig gi en

Figur -132
for hvert tilfelle, som viser hvordan realinvesteringsbeslutningen avviker fra en situasjon uten skatt.
Det avgjørende for vridningseffekten av skattesystemet er virkningen for en marginal investering. Når vi ser på valget av utbyggingsløsninger for et selskap som med svært stor sannsynlighet vil betale skatt, kan tilfelle 3 være realistisk. Hvis det dreier seg om et selskap uten annen aktivitet, men prosjektet er så lønnsomt at det med svært stor sannsynlighet bringer selskapet i skatteposisjon så snart produksjonen begynner, kan tilfelle 4 være realistisk. Hvis det dreier seg om et selskap uten annen aktivitet, og prosjektet har en viss sannsynlighet for ikke å bringe selskapet i skatteposisjon for begge skatter, vil tilfelle 5 være mest realistisk.
Det er lett å analysere virkningene av en kontantstrømskatt. Den har samme effekt som en annen andelseier i prosjektet. Som vanlig i modeller basert på markedsverdier, vil verken beslutninger eller betaverdier bli påvirket av hvor stor andel selskapet har, og derfor heller ikke av en kontantstrømskatt. Vi bruker midlertidig fotskriften

Figur -133
for dette tilfellet. Kontantstrøm etter skatt i periode 1 blir

Figur -134
og investeringen er akkurat marginal hvis

Figur -135
Dermed blir

Figur -136
, og

Figur -137
Om vi ser på talleksemplene i det følgende, vil avvikene fra tilfelle 1 kunne tolkes slik:
En høy

Figur -138
, større enn

Figur -139
, betyr at egenkapitalen har høyere systematisk risiko enn i tilfelle 1.
En høy

Figur -140
, større enn

Figur -141
, betyr at selskapet krever høyere marginal produktivitet enn i tilfelle 1. Det medfører at det blir investert mindre i prosjektet.
Lave

Figur -142
og

Figur -143
har selfølgelig motsatt tolkning. Vi skal se at det ikke er noen enkel, monoton sammenheng mellom

Figur -144
og

Figur -145
. Men det ville heller ikke være å vente, siden

Figur -146
har sammenheng med forventet avkastning på egenkapitalen etter skatt, mens

Figur -147
har sammenheng med forventet avkastning på totalkapitalen før skatt. Variasjonene vi gjør i skattesystemet, er mer kompliserte enn f.eks. en monoton endring i en sats.
1.9.2 Tilfelle 2: Selskap med fremmedkapital, uten skatt
I tilfelle 2 ser vi på effekten av at selskapet lånefinansierer deler av investeringen i periode 0, men vi antar at gjelden blir tilbakebetalt med full sikkerhet i periode 1. Da blir kontantstrømmen i periode 1

Figur -148
der B er lånopptaket. Verdien av kontantstrømmen vurdert fra periode 0 blir

Figur -149
Vi skal anta at lånefinansieringen er på 50 prosent, men også her vil det være enkelt å innføre en parameter som kan endres. La

Figur -150
betegne grenseproduktet av den marginale investeringen i form av markedsverdi vurdert i periode 0,

Figur -151

Figur -152
Vi skal løse for den γ2 som gjør at investeringen akkurat er marginal. Da må γ2I være lik lånopptaket pluss markedsverdien av

Figur -153
,

Figur -154
Dermed er γ2 lik 1, og

Figur -155
. Når det ikke er noen skatt, vil lånefinansiering ikke påvirke realinvesteringen. Men betaverdien for egenkapitalen blir påvirket. Vi finner

Figur -156

Figur -157
og vi er klare til å beregne betaverdien ut fra

Figur -158
og

Figur -159
.
Eksempel: Om

Figur -160
,

Figur -161
, så blir

Figur -162
. Denne effekten av opplåning er velkjent.
1.9.3 Tilfelle 3: To typer skatt på overskudd
Inspirert av det norske petroleumsskattesystemet skal vi nå anta at det legges to typer skatt på overskudd. Vi kaller dem selskapsskatt og særskatt, selv om vi her opererer med forenklede systemer. Den viktigste forenklingen er at skattleggingen bare skjer over to perioder. Vi skal i første omgang operere med generelle symboler for satsene, men vil seinere benytte satser som er inspirert av dagens norske system. Samlet avskrivning er som i dagens system, og samlet friinntekt er som i dagens system.
| Selskapsskatt | Særskatt | |
|---|---|---|
| Sats | t = 0,28 | τ = 0,50 |
| Avskrivning og eventuell friinntekt, periode 0 | a = 0,1667 | b = 0,2167 |
| Avskrivning og eventuell friinntekt, periode 1 | c = 0,7312 | d = 0,9506 |
De avskrivningene og den friinntekten som kommer over de fem årene etter investeringsåret, er altså samlet i ett år, og tallstørrelsene for c og d i tabellen framkommer som nåverdier av fradragene, beregnet med 7 prosent kalkulasjonsrente. Dette er et forsøk på å benytte realistiske størrelser innenfor rammen av en modell med bare to perioder. (Udiskontert ville vi finne c = 0,8333 og d = 1,0833.)
I tilfelle 3 skal vi anta at selskapet med full sikkerhet vil være i skatteposisjon i begge perioder. Da blir kontantstrømmen til egenkapitalen i periode 1

Figur -163
Markedsverdien vurdert i periode 0 av dette er

Figur -164
Analogt med de foregående tilfellene skal vi sette uttrykket i hakeparentesen lik γ3I, og deretter finne produktiviteten av den marginale investeringen. Investeringen er marginal hvis

Figur -165
er lik den delen av investeringen som må dekkes av egenkapitalen i periode 0,

Figur -166
Femti prosent lånefinansiering medfører

Figur -167
Dermed får vi

Figur -168
Her får vi betaverdien for egenkapitalens avkastning gitt som

Figur -169
Om vi setter inn tallstørrelsene for skatte- og fradragssatsene finner vi

Figur -170
og, med en risikofri rente på 7 prosent,

Figur -171
. Dette er en lavere

Figur -172
enn i tilfellene 1 og 2, og indikerer at skattesystemet bidrar til å senke kravet til produktivitet av investeringen sammenliknet med en situasjon uten skatt. Her bør det imidlertid gjentas et forbehold om at dette dreier seg om en stilisert utgave av dagens skattesystem, ikke systemet slik det faktisk virker.
Basert på disse tallstørrelsene kan vi finne

Figur -173

Figur -174
Eksempel: Om

Figur -175
,

Figur -176
, så blir

Figur -177
.
Eksempelet illustrerer at skattesystemet kan motvirke den effekten lånefinansiering har på betaverdien. I dette eksempelet blir betaverdien betydelig mindre enn betaverdien uten skatt og lånefinansiering. Sammenliknet med en nøytral kontantstrømskatt kan en overskuddsskatt nettopp oppfattes som det motsatte av lånefinansiering. Vi kan oppfatte det som at selskapet yter et lån til myndighetene i år null. Hvis ikke noe av investeringen kunne ha vært trukket fra i år null, ville størrelsen av lånet ha vært skattesatsen(e) muliplisert med investert beløp. Men siden noe kan trekkes fra, blir lånet bare

Figur -178
Dette “lånet” gir ikke noen vanlig rente, men betales tilbake i form av verdien av fradragene i det følgende året, i dette tilfellet

Figur -179
Med de tallene vi har brukt, svarer dette til en rente på 8,8 prosent.
Den dramatiske effekten på betaverdien for egenkapitalen skyldes altså at selskapet yter et lån, som gir motsatt effekt av den velkjente ved å ta opp et lån. Når effekten blir stor, skyldes det den høye skattesatsen i sektoren. Ideen om å se dette som et lån, skyldes sammenlikningen med en kontantstrømskatt, som er nøytral.
1.9.4 Tilfelle 4: Ute av skatteposisjon i investeringsåret
I tilfelle 4 ser vi på samme situasjon som i tilfelle 3, bortsett fra at selskapet er ute av skatteposisjon i investeringsåret. Derimot antar vi at selskapet med full sikkerhet betaler skatt i produksjonsåret. For en del selskaper vil dette være mer realistisk enn tilfelle 3. Dessuten tjener dette tilfellet som et godt sammenlikningsgrunnlag for tilfelle 5, der det er usikkerhet omkring skatteposisjonen i produksjonsåret.
Vi antar nå at fradragene for investeringen er de samme, men at de kommer effektivt til fradrag i periode 1. Kontantstrømmen til egenkapitalen i periode 1 blir

Figur -180
Markedsverdien vurdert i periode 0 av dette er

Figur -181
Finansieringsbehovet i periode 0 deles mellom egen- og fremmedkapital:

Figur -182
som med lik deling gir

Figur -183
Dermed får vi

Figur -184
Her får vi betaverdien for egenkapitalens avkastning gitt som

Figur -185
Om vi setter inn tallstørrelsene for skatte- og fradragssatsene og risikofri rente, finner vi

Figur -186
. Dette er en noe høyere

Figur -187
enn i tilfelle 3, men fortsatt lavere enn 1, noe som betyr at skattesystemet ikke oppmuntrer til investeringer med fullt så lav lønnsomhet før skatt som i tilfelle 3. Basert på disse tallstørrelsene kan vi finne

Figur -188

Figur -189
Eksempel: Om

Figur -190
,

Figur -191
, så blir

Figur -192
.
1.9.5 Tilfelle 5: Usikkerhet omkring skatteposisjonen
I tilfelle 5 er forutsetningene som i tilfelle 4, bortsett fra at det er usikkerhet omkring skatteposisjonen i produksjonsperioden. Det er verdt å merke seg at dette kan være relevant selv om en mener at sannsynligheten for å havne utenfor skatteposisjon er svært lav. Ved en opsjonsprising som er konsistent med KVM, skal nemlig denne sannsynligheten oppjusteres for å ta hensyn til markedets prising av systematisk risiko.
For å behandle problemet på en noenlunde oversiktlig måte, gjør vi en forenkling: Vi forutsetter at faktorprisen er perfekt korrelert med produktprisen. Dermed er det mulig å redusere usikkerheten til usikkerhet omkring produktprisen, og det blir enklere å bruke opsjonspris-teori til å verdsette skattekravet.
Perfekt korrelasjon betyr at det fins konstanter k0 og k1 slik at

Figur -193
Da finner vi

Figur -194
Om vi sammenlikner med (28), ser vi at positiv

Figur -195
og positive konstanter k0 og k1 innebærer at

Figur -196
Videre får vi bruk for følgende to sammenhenger som er lette å vise ut fra definisjonene ovenfor:

Figur -197

Figur -198
Vi antar nå at mulighetene for fradrag ved skatteberegningen går tapt dersom selskapet havner utenfor skatteposisjon i periode 1. Ikke bare mister selskapet fradragene som kunne ha vært brukt i periode 1. I talleksempelene har vi forenklet og latt disse også inneholde nåverdien av fradragene i de følgende fire periodene. Disse går også tapt. Dette er selvsagt et ekstremt tilfelle. Det vil ofte være mulighet for at selskapet kommer i skatteposisjon i en seinere periode, slik at fradragene blir effektive da. Men det kan være nyttig å se på det ekstreme tilfellet fordi det er lett å regne på, og fordi det setter en øvre grense for effekten av tapet dersom det inntrer.
Kontantstrømmen til egenkapitalen i periode 1 blir

Figur -199
Denne kan omskrives ved hjelp av

Figur -200
til uttrykket

Figur -201
For å finne markedsverdiene vurdert i periode 0 bruker vi Black og Scholes’ opsjonsverdi-teori, slik den er modifisert av McDonald og Siegel (1984) for å ta hensyn til avkastningsmanko. De to max-uttrykkene oppfattes som verdiene av europeiske kjøpsopsjoner på en enhet av produktet, olje, levert i periode 1, med kontraktpriser lik de brøkene som er subtrahert fra P.
Markedsverdien vurdert i periode 0 av dette er

Figur -202
dr N er den kumulative normalfordelings-funksjonen.
N( x1) og N( x2) kan tolkes som sannsynligheter for at selskapet kommer i posisjon til å betale den skatten som har satsen t. Men de to sannsynlighetene må være justert for å reflektere markedets prising av den systematiske risikoen knyttet til kontantstrømmene. N( x3) og N( x4) tolkes som tilsvarende justerte sannsynligheter for at selskapet kommer i posisjon til å betale den skatten som har satsen

Figur -203
.
Om alle de fire sannsynlighetene går mot 1, nærmer vi oss situasjonen i tilfelle 4 ovenfor, og markedsverdien etter skatt nærmer seg også det uttrykket vi hadde i tilfelle 4. (For å se dette er det trolig enklest å innføre forutsetningen

Figur -204
i likningen for

Figur -205
ovenfor.)
Den foregående likningen uttrykker

Figur -206
som funksjon av

Figur -207
, uten bruk av

Figur -208
. For å uttrykke hvert element av verdien proporsjonalt med I som i de foregående tilfellene må vi imidlertid gjeninnføre

Figur -209
og

Figur -210
.
Da finner vi ved hjelp av (29) og (30),

Figur -211
Igjen antar vi at finansieringsbehovet deles likt mellom egen- og fremmedkapital. Dermed kan vi løse for

Figur -212
:

Figur -213
Deretter er det mulig å løse for betaverdien for avkastningen på egenkapitalen. Den blir i dette tilfellet

Figur -214
Her finner vi verdien av brøken ved å bruke første linje og første ledd i andre linje i (34):

Figur -215
Eksempel: Anta nå at

Figur -216
,

Figur -217
,

Figur -218
og

Figur -219
. Med de øvrige tallstørrelsene som er gitt foran, blir denne brøken lik 0,7839, og med

Figur -220
og

Figur -221
, blir

Figur -222
. I dette tilfellet har vi

Figur -223
.
Eksempelet viser at selv med forholdsvis høye verdier på sannsynlighetene for å være i skatteposisjon, vil kravet til produktivitet i den marginale investeringen stige betydelig, og betaverdien for egenkapitalen kan bli økt betydelig i forhold til en situasjon der en med sikkerhet vil være i skatteposisjon.
1.9.6 Oppsummering av modellen
En oppsummering av talleksemplene i de fem tilfellene ser slik ut:
| i | [figur 1 i tabeell] | |
|---|---|---|
| 1 | 1 | 0,60 |
| 2 | 1 | 1,20 |
| 3 | 0,85 | 0,27 |
| 4 | 0,88 | 0,23 |
| 5 | 1,10 | 0,38 |

Figur -224
[figur 1 i tabeell]

Figur -225
[figur 2 i tabeell]
Her gir

Figur -226
uttrykk for den marginale produktiviteten før skatt av en investering, altså et krav til avkastning på totalkapitalen før skatt. Tabellen viser at de forenklede skattesystemene som er analysert i tilfellene 3 og 4, bidrar til at selskapene er villige til å investere med lavere produktivitet enn de ville ha krevd før skatt. Men usikkerheten omkring skatteposisjonen i tilfelle 5 fører til et krav om høyere produktivitet enn det som var kravet før skatt.
Betaverdiene er lineært knyttet til kravet til forventet avkastning på egenkapitalen etter skatt. I analyser av samspillet mellom skatt og investering er det ikke uvanlig å anta at avkastningskravet etter skatt er gitt på forhånd. En motsatt ytterlighet er å ta inn over seg hvordan skattesystemet påvirker likevekten i hele økonomien. Den tilnærmingen som er valgt her, er en mellomting. Grunnleggende krav til forventet avkastning etter skatt holdes konstante, men et slikt krav knytter seg til en kontantstrøm med en spesifisert kovarians med avkastningen på markedsporteføljen. Når tabellen viser at kravet til forventet avkastning for egenkapitalen varierer, skyldes det at skattesystemet (og lånefinansieringen) påvirker denne kovariansen.
Vi har vist at de lave betaverdiene under en overskuddsskatt med høy sats kan tolkes ved å sammenlikne med en kontantstrømskatt, som er nøytral. I denne sammenlikningen vil en overskuddsskatt bety at selskapet yter et lån til myndighetene. Det er velkjent at lånopptak øker betaverdien, men her får vi motsatt effekt, en lavere beta jo høyere skattesatsen er.
Selv om teknologien er den samme i alle tilfellene, og selv om betaverdiene til de to prisene er de samme, ser vi betydelige variasjoner i kravet til produktivitet før skatt og spesielt i betaverdien. Vi ser også at det ikke er noen monoton sammenheng mellom de to.
Dette illustrerer problemene med å utforme et skattesystem med beregnet nøytralitet. Samspillet mellom lånefinansiering og ufullstendig tapsfradrag gjør at selskapets investeringsbeslutning er svært følsom for endringer i selskapets skatteposisjon. Dette var vist av Lund (1987) med samme metode. Dette kan tyde på at en må velge et annet prinsipp for å oppnå nøytralitet, ikke bare søke å justere skattesatser og friinntektsatser slik at en treffer best mulig.
Eksemplene viser også at det er svært vanskelig å overføre betaverdier fra ett skatteregime til et annet. Lærebøkene advarer mot å anvende samme avkastningskrav for alle prosjektene i et selskap. Dette blir begrunnet med at et nytt prosjekt vil ha en netto kontantstrøm med en annen systematisk risiko enn selskapets øvrige, men det forklares gjerne med forskjeller før skatt, typisk forskjeller som har å gjøre med produkt- og faktorpriser. Så lenge selskapet bare opererer innenfor petroleumsvirksomhet, kunne en kanskje tro at det ikke er noen forskjeller. Talleksemplene foran har vist at skattesystemene kan skape store forskjeller. I tillegg vil det kunne være forskjeller på grunn av ulike driftsmarginer, altså ulike størrelsesforhold mellom bruttoinntekter og driftskostnader. Dette vil lett kunne illustreres ved å modifisere modellen. Det samme gjelder ulik grad av lånefinansiering.
Tradisjonelt har en analysert hvordan skattesystemer påvirker selskapenes krav til avkastning før skatt. Dette kan her uttrykkes ved γ. Men analysen her viser at skattesystemer også påvirker selskapenes krav til (forventet) avkastning etter skatt, uttrykt ved

Figur -227
. Det betyr at en ikke bør benytte krav til forventet avkastning etter skatt under andre skattesystemer, når en vil analysere det norske eller forslag til endringer i det norske. En bør ikke en gang benytte samme krav til forventet avkastning etter skatt for ulike forslag til endringer.
Krav til forventet avkastning etter skatt i andre skatteregimer blir typisk observert som realisert avkastning etter skatt, eller gjennom tilsvarende realiserte betaverdier. Disse kan altså ikke overføres mellom skatteregimer eller prosjekter med ulike driftsmargin eller ulik grad av lånefinansiering. Men i tillegg kan de lide av den svakheten at avkastningen inkluderer realisert grunnrente. (Det gjelder ikke hvis selskapene betaler fullt ut for verdien av ressursene, eller hvis grunnrenten allerede er kapitalisert i selskapenes verdi.) Det dreier seg altså om en realisert gjennomsnittsavkastning, mens avkastningskravet har relevans for marginal avkastning.
1.10 Referanser
Ball, Ray, og John Bowers (1982), “Distortions created by taxes which are options on value creation,” Australian Journal of Management, bd. 8, nr. 2, s. 1–14.
Boadway, Robin W., og Neil Bruce (1984), “A general proposition on the design of a neutral business tax,” Journal of Public Economics, bd. 24, s. 231–239.
Boadway, Robin W., Kenneth J. McKenzie og Jack M. Mintz (1989), Federal and Provincial Taxation of the Canadian Mining Industry: Impact and Implications for Reform, Centre for Resource Studies, Queen's University, Kingston, Ontario, Canada.
Brown, E. Cary (1948), “Business-income taxation and investment incentives,” i Income, Employment, and Public Policy: Essays in Honor of Alvin H. Hansen, Norton, New York, U.S.A, s. 300–316.
Christiansen, Vidar, og Agnar Sandmo, “Et nytt prinsipp for bedriftsbeskatning,” Statsøkonomisk tidsskrift, bd. 97, nr. 2, s. 81–108.
Clunies Ross, Anthony I. (1982), “North Sea oil and gas taxation: A case for reform,” Three Banks Review, nr. 134, juni, s. 32–45.
Diamond, Peter A., og James A. Mirrlees (1971), “Optimal taxation and public production. I: Production efficiency. II: Tax rules,” American Economic Review, bd. 61, s. 8–27 og 261-278.
Domar, Evsey D., og Richard A. Musgrave (1944), “Proportional income taxation and risk-taking,” Quarterly Journal of Economics, bd. 58, s. 388–422.
Fane, George (1987), “Neutral taxation under uncertainty,” Journal of Public Economics, bd. 33, s. 95–105.
Garnaut, Ross, og Anthony I. Clunies Ross (1975), “Uncertainty, risk aversion, and the taxing of natural resource projects,” Energy Journal, bd. 85, s. 272–285.
Haaparanta, Pertti, og Hannu Piekkola (1997), “Taxation and entrepreneurial effort,” upublisert manuskript, Helsingfors handelshøyskole, Finland.
Halvorsen, Hilde E., og Diderik Lund (1998), “Rent taxation when cost transfers are possible, but costly,” memorandum nr. 20/1998, Sosialøkonomisk institutt, Universitetet i Oslo, august.
Hvideberg, Halvor, og Nina Langbraaten (1989), Skattlegging under usikkerhet med utgangspunkt i norsk petroleumsvirksomhet — en anvendelse av opsjonsteori, Rapport nr. 18/89, Senter for anvendt forskning, Oslo.
Langbraaten, Nina, og Diderik Lund (1990), “Taxation of risky investment: The finance approach and its relation to the economics approach,” memorandum nr. 23/1990, Sosialøkonomisk institutt, Universitetet i Oslo.
Lintner, John (1965), “The valuation of risk assets and the selection of risky investments in stock portfolios and capital budgets,” Review of Economics and Statistics, bd. 47, s. 13–37.
Lund, Diderik (1987), “Investment, taxes, and uncertainty, with applications to the Norwegian petroleum sector,” memorandum nr. 1/1987, Sosialøkonomisk institutt, Universitetet i Oslo.
Lund, Diderik (1991), “Petroleum taxation under uncertainty: Contingent claims analysis with an application to Norway,” Energy Economics, januar, s. 23–31.
Lund, Diderik (1993), “The lognormal diffusion is hardly an equilibrium price process for exhaustible resources,” Journal of Environmental Economics and Management, bd. 25, s. 235–241.
McDonald, Robert, og Daniel Siegel (1984), “Option pricing when the underlying asset earns a below-equilibrium rate of return: A note,” Journal of Finance, bd. 34, s. 261–265.
McKenzie, Kenneth J. (1994), “The implications of risk and irreversibility for the measurement of marginal effective tax rates on capital,” Canadian Journal of Economics, bd. 27, nr. 3, august, s. 604–619.
Mossin, Jan (1966), “Equilibrium in a capital asset market,” Econometrica, bd. 35, s. 768–783.
Mossin, Jan (1968), “Taxation and risk-taking: An expected utility approach,” Economica, bd. 35, februar, s. 74–82.
NOU 1989:14, Bedrifts- og kapitalbeskatningen — en skisse til reform, Finansdepartementet, Oslo.
NOU 1996:17, I Norge — for tiden? Finansdepartementet, Oslo.
NOU 1997:27, Nytte-kostnadsanalyser, Finansdepartementet, Oslo.
Osmundsen, Petter (1995), “Taxation of petroleum companies possessing private information,” Resource and Energy Economics, bd. 17, s. 357–377.
Osmundsen, Petter (1996), “Dynamisk petroleumsbeskatning og bindingsproblemer,” Norsk økonomisk tidsskrift, bd. 110, s. 35–53.
Osmundsen, Petter (1999), Effektivitet, insentiver og proveny, utredning på oppdrag av Olje- og energidepartementet, Oslo, november.
Sandmo, Agnar (1977), “Portfolio theory, asset demand and taxation: Comparative statics with many assets,” Review of Economic Studies, bd. 44, nr. 2, s. 369–379.
Sandmo, Agnar (1989), “Om nøytralitet i bedrifts- og kapitalbeskatningen,” vedlegg 1 til Bedrifts- og kapitalbeskatningen — en skisse til reform, NOU 1989:14, Finansdepartementet, Oslo, s. 310–334.
Schwartz, Eduardo S. (1997), “The stochastic behavior of commodity prices: Implications for valuation and hedging,” Journal of Finance, bd. 52, nr. 3, s. 923–973.
Schwartz, Eduardo S. (1998), “Valuing long-term commodity assets,” Financial Management, bd. 27, nr. 1, s. 57–66.
Sharpe, William F. (1964), “Capital asset prices: A theory of market equilibrium under conditions of risk,” Journal of Finance, bd. 19, s. 425–442.
Sinn, Hans-Werner (1987), Capital Income Taxation and Resource Allocation, North-Holland, Amsterdam, Nederland.
Tourinho, Octavio A.F. (1979), “The option value of reserves of natural resources,” working paper nr. 94, Institute of Business and Economic Research, University of California, Berkeley, U.S.A.