2 Grunnrenteskatt, kapitalbeskatning og usikkerhet
Kåre P. Hagen og Geir Åvitsland
2.1 Innledning
Dette vedlegget omhandler hvordan en grunnrenteskatt kan utformes på en nøytral måte når det er usikkerhet og ordinær beskatning av kapital i alle sektorer. Drøftingen er ment å kunne anvendes på petroleumsskattleggingen. For en mer omfattende og generell drøfting av nøytralitet i petroleumsskattleggingen viser vi til vedlegg 1 av Diderik Lund.
Vi innleder notatet i punkt 2 med en drøfting av grunnrentebegrepet og grunnrenteskatt. Deretter drøfter vi i punkt 3 forholdet mellom en grunnrenteskatt og en ordinær skatt på kapitalinntekt. I punkt 4 trekker vi inn usikkerhet, og viser hvilken betydning det har for resultatene. Til slutt i punkt 5 oppsummerer vi de resultatene vi har kommet fram til.
2.2 Grunnrentebegrepet og grunnrenteskatt
Når innsatsfaktorene i produksjonsvirksomhet prises etter sin marginale verdiskaping i beste alternative anvendelse (økonomiske knapphetsverdi), vil et overskudd implisere at de gir en høyere verdiskaping i den aktuelle produksjonen enn i den mest lønnsomme alternative anvendelsen. Dette meroverskuddet kalles gjerne renprofitt og er den ekstra verdiskapingen som faktorene skaper i en bestemt sammenheng i forhold til i alternativ bruk. En skattlegging av det ekstraordinære overskuddet vil ikke rokke ved dette forholdet, slik at den aktuelle anvendelsen også er den mest lønnsomme etter skatt så lenge skattesatsen er mindre enn 100 pst.
En annen innfallsvinkel til dette er å anta at alle produksjonsfaktorer er perfekt varierbare i vilkårlig skala. Grensekostnaden i produksjonen under prisfast tilpasning i faktormarkedene er i så fall konstant og uavhengig av produksjonskalaen. Konstante grensekostnader innebærer at bedriften ikke vil ha noe ekstraordinært overskudd i likevekt under perfekt konkurranse. Eksistensen av overskudd i en frikonkurranseøkonomi der faktorene avlønnes etter sin økonomiske knapphetsverdi, forutsetter derfor stigende grensekostnader (avtakende skalautbytte). Stigende grensekostnader må skyldes at det er faste underliggende faktorer i produksjonen som ikke blir avlønnet, og som gjør det mer kostbart å produsere etter hvert som de underliggende faste faktorene blir mer og mer utnyttet. Renprofitten kan derfor ses som avkastningen til slike faste underliggende faktorer. En slik underliggende faktor kan være fysisk grunn eller andre naturgitte faktorer som mineralforekomster. Renprofitten kan i denne sammenhengen ses på som avlønning til den faste faktoren ”grunn”, derav uttrykket grunnrente. Forskjeller i renprofitt kan da forklares ved at grunn eller andre underliggende faste faktorer kan ha ulik produktivitet. Renprofittbegrepet krever imidlertid prisfast tilpasning både i vare- og faktormarkedene slik at et ekstraordinært overskudd ikke kan tilskrives bruk av markedsmakt.
Det følger definisjonsmessig at beskatning av renprofitt ikke kan ha allokeringsmessige konsekvenser så lenge skattesatsen er under 100 pst., da grunnrenten fortsatt vil være positiv. Så lenge utnyttelsen av slike faste faktorer har positiv avkastning, vil de fortsatt bli utnyttet. Slik sett er grunnrentebeskatning en nøytral (lump sum) skatt ettersom det er beskatning av avlønningen av faktorer der tilbudet er gitt.
Skal grunnrenteskatten være nøytral, krever det likevel at skattegrunnlaget er sammenfallende med det overskuddsbegrepet som bedriften faktisk maksimerer. Noen endogene produktivitetsrelevante faktorer kan være vanskelige å observere. Slike faktorer kan være eierens kompetanse, eller utnyttelse av andre spesielle, ikke observerbare ferdigheter. En del av det som i skattemessig sammenheng blir definert som renprofitt, kan være avlønning til slike endogene faktorer. I slike tilfeller vil overskuddsskatten ikke være nøytral med hensyn til økonomisk tilpasning og bruk av slike endogene faktorer.
Definisjonen av grunnrente gjelder uavhengig av tidsperspektivet for produksjonen. I en flerperiodisk sammenheng må tidshorisonten være tilstrekkelig lang til at all ressursbruk som knytter seg til prosjektet, fanges opp. I et slikt langt perspektiv blir dermed alle kostnader variable. Nåverdien av strømmen av kontantoverskudd knyttet til bedriftens økonomiske virksomhet, blir på denne måten den flerperiodiske versjonen av renprofitt. Nåverdien fremkommer ved å diskontere ned alle inntekter minus utgifter knyttet til faktorbruk med en diskonteringsrente lik den finansielle alternativavkastningen til den kapitalen som bindes i virksomheten. Finansielle utgifter og inntekter holdes utenfor skattegrunnlaget, mens investeringsutgiftene kommer til fradrag i sin helhet når de påløper. Diskonteringsrenten er ikke påvirket av grunnrenteskatten. Nåverdien er positiv bare dersom avkastningen på kapitalen i bedriften (internrenten) er større enn alternativavkastningen.
Nåverdi blir dermed den flerperiodiske generaliseringen av renprofitt slik at nåverdibeskatning er en flerperiodisk versjon av grunnrentebeskatning. Det følger av dette at nåverdibeskatning er en lump sum skatt siden den bare beskatter den kapitalavkastningen i bedriften som overstiger kapitalavkastningen i den beste alternative kapitalanvendelsen. I en bedrift som maksimerer nåverdien av sine investeringer, vil avkastningen på den marginalt lønnsomme investeringen ha en nåverdi lik null. Nåverdibeskatning innebærer derfor at en bare beskatter den ekstraordinære kapitalavkastningen, mens marginalskatten (skatten på den marginalt lønnsomme investeringen) er lik null. Som alternativkastning tenker en seg gjerne en normalavkastning som er den kapitalavkastningen som kan oppebæres utenfor bedriften uavhengig av investert beløp. Ved nåverdibeskatning blir dermed normalavkastningen skjermet for grunnrenteskatt.
En skatt på et periodisert overskuddsbegrep krever tidsavgrensning av faktorbruk av innsatsfaktorer med en økonomisk levetid på mer enn én periode. Pr. definisjon gjelder dette ulike typer kapitalobjekter. Periodiserte kostnader for bruk av varige kapitalgoder som kan tilskrives perioden, kommer da til fradrag i periodens beskatningsgrunnlag. Tidsprofilen på beskatningen vil dermed avhenge av tidsprofilen på disse skattemessige avskrivningene.
Det er nokså opplagt at periodisert overskuddsbeskatning der skattegrunnlaget defineres slik at nåverdien av de periodiserte fradragsberettigede kapitalkostnadene er lik initial investering, er skattemessig ekvivalent med nåverdibeskatning. Et skattemessig periodeoverskudd som har denne egenskapen, er vilkårlige skattemessige avskrivninger i det enkelte år med en sluttjustering når kapitalobjektet realiseres, der differansen mellom realisert verdi og nedskrevet verdi tillegges (trekkes fra hvis negativt) skattbar inntekt. I tillegg må det gis et fradrag for årlig finansiell alternativkostnad lik alternativavkastningen beregnet på skattemessig restverdi. 1 En skattemessig restverdi betyr at bedriften har et tilgodehavende i skatt i forhold til situasjonen med en ren kontantstrømskatt. Når dette tilgodehavendet rentekorrigeres med den finansielle alternativkostnaden, vil bedriften være indifferent mellom å utgiftsføre investeringen straks, eller å utsette utgiftsføringen via skattemessige avskrivninger over tid. Dette forutsetter at positive og negative overskudd behandles skattemessig symmetrisk, og at skattesatsen er den samme over tid.
Et eksempel viser dette:
I = initial investering
at = skattemessige avskrivninger på tidspunkt t.
Rt= netto kontantoverskudd på tidspunkt t (eksklusive finansielle inntekter og utgifter)
KT = kapitalobjektets realisasjonsverdi på tidspunkt T som er realisasjonstidspunktet
r = alternativavkastning pr. tidsenhet (antas for enkelhets skyld konstant i alle perioder).
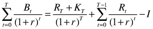
Skattegrunnlaget Btpå tidspunkt fra t= 0,...,T blir da
B0 = -a0B1 = R1- a1 – r(I-a0)
..........................
BT-1=RT-1 – aT-1 – r (I -

Figur -1
)
BT= RT- aT – r (I -

Figur -2
) + KT - (I -

Figur -3
)
Rekursiv løsning av dette ligningssettet med hensyn på Btgir

Figur -4
Nåverdien av de periodiserte skattegrunnlagene blir dermed lik nåverdien av kontantoverskuddene fra driften pluss realisasjonsverdien av kapitalutstyret. Når skattesatsen er konstant over tid, vil dermed beskatning av årsoverskudd som definert ovenfor og nåverdibeskatning gi samme resultat. Nøytralitet oppnås dermed med overskuddsbeskatning kombinert med beskatning av realiserte kapitalgevinster (fradrag for tap) med (mot) samme sats som grunnrenteskatten og fradrag for finansielle alternativkostnader svarende til normalavkastningen på nedskrevet kapitalverdi. Den økonomiske realiteten ved denne definisjonen av bedriftens skattebase er at nåverdien av rentekorrigeringen av nedskrevne restverdier pluss nåverdien av summen av de årlige skattemessige avskrivningene blir lik investeringsutgiften. Dette gjelder uansett avskrivningsprofil så lenge avskrivningene og nedskrevet restverdi på realisasjonstidspunktet summerer seg til anskaffelsesverdien av kapitalutstyret.
Ved nåverdibeskatning skattlegges bare inframarginal avkastning, slik at skattesatsen på marginalavkastningen er lik null. Nåverdibeskatning skattelegger derfor bare avkastning utoverden finansielle alternativavkastningen, slik at bedriftens tilpasning ikke vil bli endret.
2.3 Forholdet mellom beskatning av grunnrente, normalavkastning og skattemessig nøytralitet
Ordinær skattlegging av kapitalinntekt (overskuddsskatt)
Dersom den øvrige selskapssektoren skattlegges med en ordinær overskuddsskatt, vil en økonomisk korrekt definisjon av skattegrunnlaget kunne gi en nøytral beskatning også i denne sektoren, i den forstand at investeringstilpasningen ikke endres. Det korrekte overskuddsbegrepet i de selskapene som ikke er gjenstand for grunnrenteskatt, vil i så fall være løpende overskudd korrigert for økonomisk korrekte avskrivningssatser. Økonomisk korrekte avskrivningssatser er fysisk kapitalslit minus eventuelle realprisøkninger på kapitalutstyret.
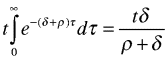
Dette innses ved et enkelt eksempel. For enkelhets skyld forutsetter vi kontinuerlig tid. Vi antar vi har et selskap som investerer i I enheter realkapital på tidspunkt 0. Kapitalen er i prinsippet evigvarende og gir en konstant avkastning på R(I) på den depresierte kapitalbasen til en hver tid. Vi antar at økonomisk korrekt depresieringsrate er δ (konstant over tid). Hver enhet kapital har pris lik 1, og vi ser bort fra generell prisstigning og realprisendringer på kapitalutstyret. Vi antar at den finansielle alternativkostnaden er ρ (diskonteringsrenten). Optimal investeringstilpasning før skatt er da gitt ved RI = ρ + δ (der RIermarginal realavkastningsrate) eller ved RI - δ = ρ, der RI - δ kan oppfattes som kapitalens grenseproduktivitet.
Vi antar så at overskuddet skattlegges med en skattesats på t, samtidig som bedriften får fradrag for gjeldsrenter og økonomisk korrekte avskrivninger. Vi beregner skatteeffekten av fradragene pr. krone investert. Vi lar A betegne nåverdien av spart skatt som følge av skattemessige avskrivninger. Betingelsen for nåverdimaksimering etter skatt er da gitt ved
(1-t)RI = (1-A)( ρ + δ)
Netto marginal realavkastning (kapitalens grenseproduktivitet) er gitt ved
(1) RI - δ =

Figur -5
Nåverdien av skattereduksjonen fra avskrivningene (pr. krone investert )blir

Figur -6
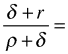
og ved innsetting i (1) får vi at i optimum er førskattsavkastningen gitt ved RI - δ =

Figur -7
Ved skattlegging av kapitalinntekt er den finansielle alternativkostnaden for selskapet renten etter skatt. Dersom r er renten før skatt, får vi at ρ = r(1-t) slik at RI - δ = r. Overskuddsskatten virker dermed nøytralt på selskapets investeringstilpasning.
En grunnrenteskatt som omtalt under punkt 1 fører ikke til noe effektivitetstap i økonomien. Ut fra drøftingen ovenfor kan det se ut som om det samme er tilfelle for en skatt på kapitalinntekt (overskuddsskatt) så lenge økonomiske og skattemessige avskrivninger er sammenfallende (slik at økonomisk resultat blir lik skattemessig resultat). Det er imidlertid ikke riktig. En skatt på kapitalinntekt skaper en kile mellom den samlede avkastningen på investeringen (før skatt) og den avkastningen investorene mottar (etter skatt), og dette gir på vanlig måte opphav til effektivitetstap. I eksemplet ovenfor har vi imidlertid implisitt forutsatt at renten før skatt er uendret. Effektivitetstapet gir dermed bare utslag i samlet sparing, og ikke i investeringstilpasningen.
Forutsetningen om uendret investeringstilpasning behøver ikke å være urealistisk i en liten, åpen økonomi med et fullstendig elastisk tilbud av kapital. Vi kommer også (noe upresist) til å bruke betegnelsen nøytralitet om en korrekt utformet kapitalbeskatning videre i dette notatet. 2
Særskatt og nøytralitet
Når vi holder fast ved at skatt på nåverdi er en grunnrenteskatt, blir spørsmålet om en nøytral særskatt i en grunnrentesektor som også er gjenstand for ordinær beskatning av kapital, i prinsippet forholdsvis enkelt. En særskatt lagt på alle kontantstrømmer etter en ordinær (nøytral) overskuddsskatt vil da være en nåverdiskatt, og følgelig også en nøytral skatt i denne sektoren.
La R* være netto betalingsstrøm fra driften etter ordinær inntektsskatt. En særskatt definert på R* med simultanavskrivning av investeringene i forhold til særskatten, vil da være en nøytral grunnrenteskatt.
En nøytral ordinær overskuddsskatt vil skjerme normalavkastning etter skatt mot overskudds-beskatning. Dersom særskatten implementeres i den ordinære overskuddsbeskatningen i en sektor der normalavkastningen på kapital blir beskattet etter en konstant skattesats lik t, må en sikre at normalavkastningen på kapital ikke blir dobbeltbeskattet. Dette kan gjøres ved at en i tillegg til fradrag for økonomisk korrekte avskrivninger gir et fradrag i særskattegrunnlaget for normalavkastningen av bundet kapital. Dersom ordinær skatt på kapitalinntekt er t og særskattesatsen er s, vil nåverdien av skatteeffekten av dette rentefradraget pr. krone investert være sr/(ρ+δ) hvor ρ = r(1-t).
La A1være nåverdien av skatteeffekten av økonomisk korrekte avskrivninger i den ordinære overskuddsskatten. Dvs.
A1 = tδ /(δ+ρ)
La videre A2 være nåverdien av skatteeffekten av fradrag for avskrivninger og normalavkastning i forhold til særskatten.
A2 = sδ/(δ+ρ) + sr/(ρ+δ)
La A = A1 + A2 = total skatteeffekt av alle fradrag. Når ρ = r(1-t), ser vi ved innsetting i (1) med kombinert overskudds- og særskattesats lik t+s, at den kombinerte overskudds- og grunnrenteskatten virker nøytralt på kapitaltilpasningen. Ved å gi fradrag i skattegrunnlaget for særskatten for økonomisk korrekte avskrivninger og normalavkastning på bundet kapital, vil særskatten implementert gjennom overskuddsbeskatningen dermed virke nøytralt på investeringstilpasningen. Nøytralitet av særskatten krever i dette tilfellet at nåverdien av de samlede fradrag i særskattegrunnlaget er lik
(2)

Figur -8
=

Figur -9

Figur -10
Vi ser da at i forhold til særskatten vil direkte utgiftsføring av investeringer ikke være tilstrekkelig for nøytralitet. Utformet som en kontantstrømsskatt (eller en skatt med fradrag for avskrivninger og normalavkastning etter skatt i særskatten) i kombinasjon med en ordinær overskuddsskatt, måtte det også gis et fradrag i særskattegrunnlaget for ordinær skatt på normalavkastning for å forhindre at særskatten angriper normalavkastningen.
Når normalavkastning i bedriften er gjenstand for ordinær overskuddsbeskatning, er det et alternativ å betrakte en særskatt i form av en grunnrenteskatt som en særskatt på nåverdien av alle kontantstrømmer etter ordinær overskuddsskatt, dvs. at ordinær overskuddsskatt er fradragsberettiget i særskattegrunnlaget. Dette vil virke nøytralt i forhold til investeringstilpasningen når den underliggende ordinære overskuddsbeskatningen er nøytralt utformet. Men siden skattegrunnlaget for særskattesatsen nå vil være 1-t av skattegrunnlaget før skatt, måtte en slik særskattesats på toppen av en ordinær overskuddsskatt ha skattesats lik s*=s/(1-t) for at den skulle innbringe samme skattebeløp.
2.4 Skattemessig nøytralitet under usikkerhet
Usikkerhet med hensyn til fremtidige overskudd og kapitalverdier skaper flere problemer i forhold til den enkle analysen under sikkerhet. For det første vil investeringer basert på verdimaksimering ikke nødvendigvis lenger være i eiernes – eller samfunnets – interesse. Årsaken til dette er at kapitaltilpasningen i et enkelt selskap kan påvirke risikoprofilen for selskapets kapitalavkastning. Dette kan endre mulighetene for diversifisering og risikoposisjonering i markedene for risikoavlastning, slik at en får en avveining mellom ønsket om maksimering av markedsverdi på den ene siden og hensynet til mulighetene for individuell risikotilpasning på eiersiden på den andre siden. 3 Et beslektet problem oppstår dersom det er en positiv sannsynlighet for at bedriften kan gå konkurs. I dette tilfelle ville et skattetilgodehavende - via fremført underskudd eller ikke nedskrevet restverdi - være en usikker fordring på myndighetene, og med risikoaversjon skulle en vente at sikkerhets-ekvivalent verdi av skattetilgodehavendet neddiskontert med den risikofrie finansielle alternativkostnaden ville være mindre enn skatteeffekten av direkte utgiftsføring på investeringstidspunktet.
Med en antagelse om verdiadditivitet blir imidlertid verdsettingsproblemet betydelig enklere. Dersom forutsetningene for additivitet i verdsetting av usikre inntekter og kapitalverdier er oppfylt, kan verdimaksimeringsproblemet og risikotilpasningsproblemet separeres. Uansett holdning til risiko vil alle eiere i dette tilfellet være interessert i at selskapet tilpasser sine investeringer for å maksimere selskapet markedsverdi for eierne. Eierne kan så tilpasse sin risikobæring ved tilpasning i markedene for risikoavlastning. 4
Vi kan definere verdien av et usikkert fremtidig beløp som det kontantekvivalente beløpet. Det vil være det sikkerhetsekvivalente beløpet diskontert ned til dagens verdi med den risikofrie finansielle alternativavkastningen som diskonteringsrente. Verdiadditivitet innebærer da at sikkerhetsekvivalenten til summen av to usikre overskudd er lik summen av sikkerhetsekvivalentene til hvert enkelt overskudd. Det er flere forhold som hver for seg er tilstrekkelige betingelser for verdiadditivitet:
Verdiaddivitivitet holder åpenbart under full sikkerhet
Uansett risiko, dersom markedsaktørene er risikonøytrale, vil sikkerhetsekvivalent verdi være lik forventet verdi, og forventningsverdier er additive.
Aktørenes marginale betalingsvillighet for tilstandsbetinget inntekt (konsum) i alle de forskjellige tilstandene en ønsker å sikre seg mot ex ante, er uendret når to usikre inntekter aggregeres til én inntekt, eller én usikker inntektsstrøm splittes i to. En tilstrekkelig betingelse for dette er at sammenslåing av aktiva med usikker avkastning ikke har betydning for diversifiseringsmulighetene i markedet. 5 Sammenslåing eller oppdeling av aktiva med usikker avkastning vil da ikke påvirke aktørenes optimale risikobæring, og den relative betalingsvilligheten for inntekt i ulike tilstander vil dermed heller ikke endres. Når markedsaktørenes marginale verdsetting av tilstandsbetinget inntekt er uendret, må markedets verdsetting av usikre inntektsstrømmer være additiv. 6
Vi antar først at sannsynlighetsfordelingene til kontantoverskudd og markedsverdier er uavhengige av konkurssannsynligheten. Det forutsetter at konkurs ikke innebærer ressurskostnader, eller at konkurssannsynligheten ikke påvirker ressursbruken i selskapet. Verdiadditivitet impliserer da at et selskaps totale markedsverdi er uavhengig av hvordan det er finansiert. Det betyr at et selskaps totale verdi er bestemt av dets brutto inntjening (før gjeldsrenter), og markedsverdien av avkastningen på totalkapitalen er uavhengig av hvordan denne avkastningen blir delt mellom långivere og aksjonærer. 7 Konkurs betyr i denne sammenhengen kun en overføring av eierrettigheter fra aksjonærene til långiverne.
Utsatt utgiftsføring av avskrivninger er jevngodt med at bedriften bruker egenkapital til å gi myndighetene et rentefritt lån, mens en skattekreditt fra myndighetene har motsatt effekt. Bedriften må da ha en rentekompensasjon for dette lånet for at beskatningen skal virke nøytralt. Ved verdiadditivitet vil ikke totalverdien av selskapet påvirkes av et slikt rentebelastet lån når kontantoverskuddene fra driften er gitt. Verdien av egenkapitalen i tilfellet med en ren kontantstrømskatt må da være den samme som verdien av egenkapitalen inklusive verdien av lånet til myndighetene i tilfellet med en periodisert kontantstrømskatt. Siden dette lånet er en del av bedriftens egenkapital, må derfor verdien av den samlede egenkapitalen være den samme i begge situasjoner. Det implisitte lånet til myndighetene via utsatt utgiftsføring av avskrivning, har derfor karakter av et risikofritt lån fra selskapet til myndighetene, siden markedsverdien av egenkapitalen er upåvirket av lånet.
Selskapet kan realisere markedsverdien av lånet til myndighetene ved overdragelse av selskapet. Det er også underforstått at skatteverdien av lånet utbetales ved konkurs. Resonnementet bygger derfor på en antagelse om skattemessig kontinuitet ved eierskifte, enten ved salg eller konkurs. Siden verdien av dette lånet til myndighetene (skatteeffekten av ikke nedskrevet restverdi) er uavhengig av hvem som står som kreditor, må det anses som en sikker fordring. Det må derfor renteberegnes med den risikofrie finansielle alternativkostnaden for at dette skal virke nøytralt med hensyn på investeringsbeslutningene. De investeringsbeslutningene som maksimerer selskapets totalverdi med en ren kontantstrømskatt, vil da fortsatt være verdimaksimerende med en periodisert kontantstrømskatt, eventuelt med rentekorrigert fremføring av negativt kontantoverskudd. Eksistensen av konkursrisiko har i dette tilfellet ingen betydning for selskapets optimale investeringstilpasning.
Dersom konkursrisiko påvirker ressursbruken, vil dette også påvirke sannsynlighetsfordelingen for kontantoverskudd og realiserte verdier. Siden konkursrisikoen påvirkes av gjeldsgraden, vil gjeldsgraden påvirke brutto inntjening og avkastning på totalkapitalen. Den optimale gjeldsgraden er da den som svarer til den konkursrisikoen som maksimerer totalverdien av selskapet. Ved verdiadditivitet vil ikke aktørenes optimale risikobæring påvirkes av beskatningen. Den optimale konkursrisikoen etter skatt vil da fortsatt være den som maksimerer totalverdien av selskapet. Det betyr at gjeldsgraden etter skatt vil bli tilpasset slik at konkurssannsynligheten før skatt reetableres, og den opprinnelige sannsynlighetsfordelingen for kontantoverskudd opprettholdes. En sammenheng mellom gjeldsgrad og ressursbruk via konkurssannsynligheten vil derfor ikke rokke ved at selskapets skattetilgodehavende hos myndighetene kan betraktes som en risikofri fordring så lenge markedets verdsetting av usikre inntekter er additiv, jf. Bond og Devereux (1995).
Resonnementet over forutsatte verdiadditivitet slik at verdien av bedriften var gitt ved den kontantstrømmen som tilfaller totalkapitalen, uavhengig av hvem som bærer risikoen knyttet til bedriftens inntjening. Ved en ren kontantstrømsskatt tar skatten en andel av bedriftens kontantstrøm. Skattemyndighetene får dermed en rolle som passiv eier i bedriften. Bedriftens kontantstrøm etter skatt vil dermed være perfekt korrelert med kontantstrømmen før skatt. Det betyr at beskatningen ikke vil påvirke diversifikasjonsmulighetene i aksjemarkedet og dermed heller ikke aktørenes risikobæring. Verdien av bedriften etter skatt vil dermed være (1-s) av verdien før skatt, der s er skattesatsen. Den investeringspolitikken som maksimerer markedsverdien før skatt, vil dermed også være maksimerende etter skatt, og beskatningen vil virke nøytralt i forhold til investeringstilpasningen. Dette gjelder også i forhold til konkursrisiko. Et lån til myndighetene i form av rentekorrigert fremføring av underskudd vil være å anse som en sikker fordring når skatteposisjonen ikke endrer seg ved konkurs.
Dette resonnementet holder ikke ved ordinær skattlegging av kapitalinntekt (overskuddsbeskatning) når skattegrunnlaget ikke faller sammen med korrekt økonomisk resultat. Riskodelingsegenskapene ved kontantstrømsskatten gjelder i forhold til beskatning av driftsresultatet når skattesatsen er konstant. Men hvis det faktiske verdifallet på realkapitalen ikke faller sammen med den skattemessige avskrivningen, for eksempel ved at avskrivningene er stipulert ut fra forventet verdifall, vil kapitalrisikoen i sin helhet bli båret av bedriftens eiere. 8 I dette tilfellet vil bedriftens kontantoverskudd etter skatt ikke være perfekt korrelert med overskuddet før skatt, slik at beskatningen påvirker diversifikasjonsmulighetene i markedet. Men dersom skattemessige avskrivninger korrigeres for faktiske verdiendringer slik at bedriftens skattbare overskudd faller sammen med det økonomisk korrekte resultatet, vil en proporsjonal overskuddsskatt være nøytral i forhold til investeringspolitikken. 9
I praksis kan det være vanskelig å korrigere skattemessige avskrivninger for faktiske verdiendringer, slik at skattemessig resultat blir likt økonomisk resultat. De faktiske verdiendringene vil ikke kunne observeres fra bedriftens transaksjoner i perioden, men vil måtte bygge på verdiendringer i aksjemarkedet. For et system med bare ordinær kapitalbeskatning er det i prinsippet mulig å skattlegge verdiøkninger og gi fradrag for -tap på investors hånd. Det norske RISK-systemet kan oppfattes som et system for å tilpasse skattleggingen til realisert resultat ex post. (Systemet gir imidlertid ikke perfekt nøytralitet siden skattleggingen først finner sted når aksjene omsettes.) Et tilsvarende system er imidlertid vanskelig å realisere i petroleumsskattleggingen, siden endringer i aksjeverdier for et selskap ikke nødvendigvis relaterer seg til virksomheten på norsk sokkel.
Som omtalt under punkt 3 vil skattlegging i en sektor med grunnrente ofte innebære særbeskatning av grunnrenten utover ordinær kapitalinntektsbeskatning av normalavkastning og økonomisk overskudd. Dersom skattleggingen kan baseres på realisert resultat ex post, innebærer ikke kombinasjonen av ordinær overskuddsskatt og særskatt noen ytterligere komplikasjoner i forhold til drøftingen ovenfor.
Dette innses lett ved et enkelt eksempel. La X betegne realisert økonomisk resultat i hver periode (X = C – A, der C er kontantstrøm i perioden og A er faktisk verdifall på realkapitalen), K verdien av kapitalen ved inngangen til perioden, r den sikre renten, t den ordinære skattesatsen for overskudd og s* særskattesatsen. Fra drøftingen i punkt 3 har vi at særskatten, S, nå kan skrives som:

Figur -11
Skattegrunnlaget for særskatten gitt ved (3) innebærer at staten via særskatten går inn og tar en andel, s*, av det faktiske økonomiske resultatet etter overskuddsskatt, og etter at investor har fått kompensasjon for sin finansielle alternativkostnad ved at investeringene ikke utgiftsføres direkte. Ut fra drøftingen ovenfor er det godtgjort at den risikofrie renten etter skatt skal benyttes ved beregning av den finansielle alternativkostnaden så lenge verdien av fradragene er sikre. Dersom vi i stedet definerer en ny særskattesats, s = s*(1-t), kan vi alternativt uttrykke særskatten som (jf. punkt 3):

Figur -12
Grunnlaget for særskatten er dermed økonomisk resultat ex post med fratrekk av kapitalgrunnlaget ved inngangen til perioden multiplisert med en risikofri rente før skatt.
Vi tar så hensyn til at avskrivningene må baseres på forventede økonomiske avskrivninger i stedet for den realiserte verdiendringen i perioden. For alminnelig skatt fører dette isolert sett til den samme ikke-nøytraliteten som i sektorer som bare er gjenstand for ordinær overskuddsbeskatning, jf. drøftingen ovenfor. Vi skal derfor konsentrere oss om virkningen knyttet til særskatten. Problemet med kapitalrisiko er knyttet til fordelingen av avskrivningene mellom ulike perioder siden hele investeringsbeløpet vil bli avskrevet i løpet av driftsmidlets levetid, jf. Bulow og Summers (1984). Vi skal derfor illustrere problemet ved å vise hva som skjer i en modell med to perioder, der avskrivningene er for lave i periode 1, slik at dette motsvares av en tilsvarende økning i avskrivninger og kapitalgrunnlag i periode 2. Vi betegner forskjellen mellom faktiske og forventede (skattemessige) avskrivninger

Figur -13
, og benytter skattesystemet i likning (3). Dette gir følgende endring i investeringens nåverdi som følge av endret særskatt:

Figur -14
Det første leddet på høyresiden av det første likhetstegnet er skatteeffekten på grunn av reduserte avskrivninger i forhold til særskatten. Det andre leddet er skatteeffekten i særskatten ved at en får fradrag for en høyere ordinær overskuddsskatt i første periode. Det tredje leddet består egentlig av to ledd. Leddet

Figur -15
er nåverdien av skatteeffekten av høyere avskrivninger i forhold til særskatten i andre periode. Leddet

Figur -16
er nåverdien av skatteeffekten av større fradrag for finansielle alternativkostnader i andre periode knyttet til utsatte avskrivninger i forhold til særskatten. Det siste leddet før andre likhetstegn er nåverdien av reduserte fradrag i særskatten for ordinær overskuddsskatt i andre periode.
Vi ser at den direkte virkningen mot særskatten nulles ut. Det følger av drøftingen i punkt 1 at avskrivningsprofilen ikke betyr noe i forhold til særskatten isolert sett, siden utsettelse av avskrivninger kompenseres med større fradrag for finansiell alternativkostnad.
Videre ser vi at for lave avskrivninger i første periode gir en gevinst i forhold til skjermingen for alminnelig skatt i særskattegrunnlaget. Dette motvirker delvis det tapet i nåverdi som oppstår i forhold til den alminnelige skatten isolert sett når avskrivningene i første periode er for lave. Med et skattesystem som for øvrig er nøytralt, innebærer dette at investorene i petroleumssektoren bærer en lavere andel av kapitalrisiko enn investorene i sektorer der det ikke er særskatt. Det er imidlertid vanskelig å korrigere denne vridningen på en presis måte ved hjelp av rentefradraget mot særskatten. Fradrag for en risikofri rente mot særskatten framstår dermed samlet sett som en rimelig tilnærming til et nøytralt system også når avskrivningene må fastsettes ex ante.
2.5 Oppsummering
Nøytral skattlegging under usikkerhet krever verdiadditivitet i markedene for verdifastsettelse og risikodeling mellom myndighetene og investorene.
Ved skattlegging av grunnrente må risikodelingen finne sted ved at myndighetene går inn og dekker en fast andel av alle utgifter og inntekter, enten på kontantstrømbasis eller ved en form for periodisering. Dersom verdien av de skattemessige fradragene er sikker, kan periodiseringen kompenseres ved å gi fradrag for en risikofri rente mot grunnrenteskatten. Dette svarer til rente på et risikofritt lån fra selskapet til staten.
Ved ordinær kapitalbeskatning (overskuddsskatt) tar staten en andel av det faktiske økonomiske resultatet i hver periode. For å sikre nøytralitet må det skattemessige resultatet være lik økonomisk resultat ex post (inkludert kapitalgevinster og -tap).
Ved en kombinasjon av grunnrenteskatt (særskatt) og ordinær kapitalbeskatning, kan det være vanskelig å beregne fradrag mot særskatten på grunnlag av faktisk økonomisk resultat ex post. Fradrag for en risikofri rente mot særskatten framstår imidlertid fortsatt som en rimelig tilnærming til et nøytralt system.
Fotnoter
Dette ble vist av R. Boadway og N. Bruce, 1984, « A general proposition on the design of a neutral business tax», Journal of Public Economics, s. 231-239, og generalisert til å gjelde også under usikkerhet av S.R. Bond og M.P. Devereux, 1995, «On the design of a neutral business tax under uncertainty», Journal of Public Economics,s 57-71.
Egenskapene til en skattlegging av økonomisk resultat ble drøftet av P.A. Samuelson, 1964, «Tax deductibility of economic depreciation to insure invariant valuations», Journal of Political Economy, 72, s. 604-606.
Dette er i prinsippet analogt med det tilfellet at et forbrukerkollektiv utnytter markedsmakt til monopolprising overfor sine kunder. Dette vil være til ugunst for dem som har større forbrukerinteresser enn eierinteresser i virksomheten, og omvendt dersom det er eierinteressen som dominerer.
Dette er helt analogt med investeringstilpasning under full sikkerhet, der eieren av en bedrift uansett preferanser mellom nåtidig og fremtidig konsum er best tjent med at bedriften maksimerer nåverdien av sine investeringer når eieren har tilgang til et perfekt eksternt kapitalmarked der en fritt kan tilpasse hvordan denne nåverdien skal fordeles mellom nåtidig og fremtidig konsum.
Dette vil alltid være oppfylt i en såkalt Arrow-Debreu økonomi med et fullt sett av tilstandsbetingede markeder.
En usikker inntekt kan betraktes som en «varevektor» bestående av tilstandsbetinget inntekt i de ulike tilstandene. Markedsverdien av slike varevektorer er åpenbart additiv når vareprisene forblir uendret.
Dette er en variant av det kjente Modigliani-Miller teoremet, jf. F. Modigliani og M.H.Miller: «The cost of capital, corporation finance, and the theory of investment», American Economic Review, 1958.
Dette ble påvist i J.E. Bulow og L.H. Summers, 1984, «The taxation of risky assets», The Journal of Political Economy, s. 20-39.
Dette ble vist av G. Fane, 1987, «Neutral taxation under uncertainty», Journal of Public Ecnomics, s. 95-105.