4 Norsk valgdeltakelse i et makro-perspektiv
Prosjektleder Dag Arne Christensen, Kommunal- og regionaldepartementet Professor Tor Midtbø, Institutt for sammenlignende politikk, Universitetet i Bergen
4.1 Innledning
I mandatet til valglovutvalget heter det at; «utvalet skal drøfte årsaker til den låge valdeltakinga og vurdere om det kan etablerast tiltak i valordninga som kan motverke denne tendensen» (Kgl. Res. 3. Oktober 1997). I denne rapporten vil vi fokusere på årsaker til den lave valgdeltagelsen generelt, og effekten av institusjonelle faktorer på deltakelsen spesielt. Etter å ha diskutert teorier som kan forklare variasjoner i valgdeltakelsen, vil vi gjennomgå tidligere funn på området samt foreta egne empiriske tester av faktorer som kan påvirke den norske valgdeltakelsen.
Sammenliknet med andre deltakelsesformer er det å stemme ved valg en aktivitet som krever lite av den enkelte. Men selv om prisen for valgdeltakelse alltid har vært lav, synes åpenbart stadig flere av velgerne at prisen likevel ikke er lav nok. Figur 2.1 viser valgdeltakelsen i stortingsvalg, fylkestingsvalg og kommunestyrevalg over tid. Her ser vi at oppslutningen ved stortingsvalgene har vært relativt stabil, selv om det er tegn til en viss nedgang på 1990-tallet. Deltagelsen ved de lokale og regionale valgene ligger konsekvent lavere enn de nasjonale, og tendensen er i tillegg synkende. Tatt i betraktning av at det å stemme er den enkleste og minste krevende formen for politisk deltakelse, er det påfallende at «hjemmesitterpartiet» har endt opp som det største partiet ved de to siste kommune- og fylkestingsvalgene. I et ord: At vi alle stemmer, stemmer ikke lenger.
Sett i et tverrnasjonalt perspektiv er likevel den norske valgdeltakelsen ikke spesielt lav (se tabell 2.1 og 2.2). I forhold til de landene det her er sammenliknet med, er norske velgere noe mer aktive enn gjennomsnittet i nasjonale valg (81 versus 78,4 prosentpoeng), men litt mindre aktive ved lokale valg (68,9 versus 67,2 prosentpoeng ved de tre siste kommunevalgene). Deltakelsen er markert lavere enn i de to andre skandinaviske landene – både ved nasjonale og lokale valg.

Figur 4.1 Norsk valgdeltakelse i etterkrigstiden
Kilde: Statistisk årbok (ulike publikasjoner).
Tabell 4.1 Gjennomsnittlig valgdeltagelse i 35 land, 1960–1995 (Antall valg inkludert i snittet er angitt i parentes)
| Land | Valgdeltakelse i prosent | Land | Valgdeltakelse i prosent |
|---|---|---|---|
| Australia (14) | 95 | Norge (9) | 81 |
| Malta (6) | 94 | Israel (9) | 80 |
| Østerrike (9) | 92 | Portugal (9) | 79 |
| Belgia (12) | 91 | Finland (10) | 78 |
| Italia (9) | 90 | Canada (11) | 76 |
| Luxemburg (7) | 90 | Frankrike (9) | 76 |
| New Zealand (12) | 88 | Storbritannia (9) | 75 |
| Danmark (14) | 87 | Irland (11) | 74 |
| Venezuela (7) | 85 | Spania (6) | 73 |
| Bulgaria (2) | 80 | Japan (12) | 71 |
| Tyskland (9) | 86 | Estland (2) | 69 |
| Sverige (14) | 86 | Ungarn (2) | 66 |
| Hellas (10) | 86 | Russland (2) | 61 |
| Litauen (1) | 86 | India (6) | 58 |
| Tsjekkia (2) | 85 | USA (9) | 54 |
| Brasil (3) | 83 | Sveits (8) | 54 |
| Nederland (7) | 83 | Polen (2) | 51 |
| Costa Rica (8) | 81 |
Kilde: Franklin 1996 s .218.
Tallmaterialet reiser to generelle spørsmål: 1) Hvilke faktorer kan forklare variasjoner i valgdeltakelsen over tid og mellom land? 2) Hva er det som gjør at deltakelsen ved lokale valg er systematisk lavere enn ved nasjonale valg? Før vi drøfter de empiriske svarene på disse spørsmålene, vil vi se nærmere på hvordan man rent teoretisk kan angripe dem.
Tabell 4.2 Valgdeltagelse i nylige lokalvalg i EU-land
| Land | Prosent valgdeltagelse |
|---|---|
| Luxemburg* | 93 |
| Sverige | 90 |
| Italia* | 85 |
| Belgia* | 80 |
| Danmark | 80 |
| Tyskland | 72 |
| Frankrike | 68 |
| Spania | 64 |
| Irland | 62 |
| Portugal | 60 |
| Nederland | 54 |
| Storbritannia | 40 |
* Obligatorisk å stemme.
Kilde: Rallings og Thrasher 1997 s .47. og Hoffmann-Martinot et al. 1996 s .242
4.2 Teoretiske perspektiv på valgdeltakelse
For å forklare hvorfor vi stemmer er det rimelig å bruke de samme teoretiske perspektivene som forklarer hvilke partier vi stemmer på (se Listhaug 1989). Litteraturen som omhandler valgdeltakelse kan deles inn i tre kategorier; rasjonelle- sosiologiske og sosialpsykologiske modeller (Pattie og Johnston 1998 s .264–266).
De rasjonelle modellene tar utgangspunkt i den enkelte velger og dens avveininger mellom gevinster og kostnader knyttet til det å stemme. En rasjonell velger vil møte opp i valglokalet så lenge gevinstene ved stemmegivning er større enn kostnadene. Ifølge dette perspektivet vil det strengt tatt ikke være rasjonelt å delta ved valg i det hele tatt. Det er alltid kostnader forbundet med å delta – i form av utlegg for transport til og fra stemmelokalet, tapt inntekt og kostnader knyttet til å holde seg informert om hva de enkelte partiene står for. Gevinsten ved å stemme vil være avhengig av hvorvidt den enkeltes stemme påvirker valgutfallet og hvor viktig dette utfallet vurderes å være. Sannsynligheten for at en enkelt stemme skal påvirke mandatfordelingen er imidlertid tilnærmet lik null, og dermed vil gevinsten alltid være mindre enn kostnaden. Implikasjonen er dermed at det beste er å holde seg hjemme på valgdagen – og ikke nødvendigvis bare av egoistiske grunner (man kunne for eksempel benytte tiden det tar å stemme til å samle inn klær for Frelsesarmeen). Det er dette fenomenet som i litteraturen går under navnet «stemme paradokset». Nå kan imidlertid stemmegivning sies å ha en verdi utover det rent instrumentelle. Stemmegivning innehar et ekspressivt element ved at velgeren gis anledning til å uttrykke parti-tilhørighet og å utføre sin borgerplikt. Ettersom ikke bare gevinstene, men også kostnadene, ved stemmegivning alltid er lave (se Aldrich 1993), vil en streng Rational Choice fortolkning bare gi et begrenset bidrag til forståelse av variasjoner i valgdeltakelsen.
I de sosiologiske modellene relateres valgdeltakelse til sosial bakgrunn. Deltakelse ses i forhold til variabler som utdanning, kjønn, alder, inntekt, bosted osv. Selv om slike variabler tradisjonelt har hatt en stor betydning for velgeratferden, viser nyere internasjonale studier at effekten av sosiologiske bakgrunnsfaktorer nå er forbausende svak (se f.eks. Pattie og Johnston 1998 s .272). Utdanning er et godt eksempel. Selv om det muligens fortsatt eksisterer en positiv sammenheng mellom utdanning og deltakelse når vi sammenlikner mellom personer på et gitt tidspunkt, er dette en sammenheng som åpenbart ikke eksisterer over tid. I likhet med andre vestlige land, har vi i Norge vært vitne til en utdanningseksplosjon de siste tiårene samtidig som valgdeltakelsen har sunket. Når Norge i etterkrigstiden også har opplevd en sterk økonomiske vekst, en ekspanderende middelklasse samt en sterkere integrering av kvinnene på arbeidsmarkedet – alle faktorer som isolert sett skulle tilsi en oppgang i valgdeltakelsen – skulle dette mer enn antyde at sosiologiske faktorer har en begrenset forklaringskraft.
Et sosial-psykologisk perspektiv legger vekt på holdninger for å forklare politisk deltakelse. Hva man mener, bestemmer hva man gjør. Velgere som interesserer seg for politikk, som kan identifisere seg med de politiske partiene og som har tiltro til det politiske systemet forventes å delta oftere enn andre. I de sosialpsykologiske modellene tillegges lav valgdeltakelse politisk fremmedgjøring. Oppleves politikken som irrelevant og urettferdig skal den virke passiviserende. Politisk interesse er nok likevel ingen garanti for deltakelse. Og selv dem som betrakter stemmegivning som en plikt vil ikke alltid møte opp i valglokalene. En undersøkelse som Kommunenes Sentralforbund (KS) gjorde blant hjemmesitterne i 1995 viser at hele 46 prosent var helt enige i påstanden om at det faktisk er en borgerplikt å stemme. Borgerplikt som en forklaring på valgdeltakelse samsvarer heller ikke med det store gapet mellom deltakelse i lokalvalg og nasjonale valg (jf. figur 2.1). I litteraturen er det da også blitt konstatert at ideen om valg som borgerplikt er på retur, og at den står svakere blant de unge enn blant de eldre (Bjørklund 1998). Dette betyr ikke at normer og holdninger påvirker beslutningen om å stemme, men som ensidig forklaring er de utilstrekkelige.
4.2.1 Hva mobiliserer velgerne?
For den enkelte velger vil beslutningen om å delta eller ikke fremstå som produktet av deltakelsesfremmende og deltakelseshemmende faktorer. Her er det en rekke forhold velgeren direkte eller indirekte vil måtte ta stilling til: Er det snakk om et valg hvor politisk makt skal fordeles? Er valget viktig i forhold til utformingen av politikken? Finnes det reelle politiske styringsalternativ? Er sakene på den politiske dagsorden interessante?
Men selv om valget oppleves som interessant og viktig vil ulike deltakelseshemmende faktorer kunne bidra til at velgeren likevel avstår fra å delta. Ser vi bort fra mer prosaiske faktorer slik som været på valgdagen, vil nettopp en del av de administrative prosedyrene kunne øke graden av hjemmesitting. Registreringsplikten for amerikanske velgere er et klassisk eksempel på en slik deltakelseshemmende prosedyre.
Velgerne møter ikke opp på valgdagen uten videre, de trenger noe som kan mobilisere. Politiske partier og interesseorganisasjoner spiller en avgjørende rolle i så måte. Spørsmålet er om synkende valgdeltagelse kan være en konsekvens av at partier og interesseorganisasjoner ikke lenger makter å mobilisere velgerne? Det at både tallet på partimedlemmer har gått tilbake og at færre identifiserer seg med partiene kan peke i den retning. På den annen side vet vi for eksempel at de danske politiske partiene er svekket i mye større grad enn de norske (Bille 1995), noe som skulle tilsi en større nedgang i den danske deltakelsen enn i den norske. Det motsatte er imidlertid tilfellet.
Ikke bare partiene isolert sett, men også konkurransen mellom dem, vil kunne påvirke valgdeltakelsen. Jo mer usikkert valgutfallet er, og jo viktigere det er, desto større grunn er det til å forvente høy deltakelse. Sveits er et eksempel i så måte. De sveitsiske partiene er på forhånd garantert lik representasjon i Nasjonalrådet, noe som gjør at verken partiene eller velgerne har særlig grunn til å engasjere seg. Sett på denne bakgrunn er det ikke overraskende at den gjennomsnittlige deltakelsen i Sveits er svært lav sett i et internasjonalt perspektiv (se tabell 2.1).
Det at det faktisk finnes identifiserbare regjeringsalternativ, og at styrkeforholdet mellom disse i tillegg er usikkert, bør ikke bare ha en mobiliserende effekt på velgerne, men også på de politiske aktørene. Når regjeringsspørsmålet står på den politiske dagsorden vil oppmerksomheten rundt valgkampen øke, og den intense atmosfæren vil trekke partiene inn i rampelyset og velgerne ut av sofakroken. I den internasjonale litteraturen er det da også svært få som utelukker en effekt av partikonkurranse på valgdeltakelse (se f.eks. Pattie og Johnston 1998; Hoffmann-Martinot et al. 1996; Blais og Dobrzynska 1998; Leighley 1995). Det samme gjelder i norske undersøkelser. Narud og Valen (1996), for eksempel, poengterer at en intens valgkampanje er med på å klargjøre de politiske alternativene og dermed redusere velgernes informasjonskostnader. De mener at en gjennomgang av den norske valgdeltakelsen i etterkrigstiden viser at flere stemmer dersom regjeringsalternativene er klare (se også Pettersen 1988). Konkurransen mellom den sosialistiske og den ikke-sosialistiske blokken skal ha virket ekstra mobiliserende. Tilsvarende sier Aardal og Valen (1995) at mangelen på regjeringsalternativ var den mest nærliggende forklaringen på den lave valgdeltagelsen ved Stortingsvalget i 1993 (75,8 prosent). Det er imidlertid ikke bare regjeringsalternativ som mobiliserer, det samme gjelder konkrete politiske saker. Den høye deltakelsen ved EU-avstemningen i 1994 er et eksempel på det.
Spørsmålet vi så kan stille oss er om den lave deltakelsen ved norske lokalvalg skyldes at velgerne ser på utfallet av slike valg som mindre viktige enn utfallet i de nasjonale valgene. Det er vanskelig å argumentere mot at så er tilfellet, og undersøkelser viser da også at velgerne faktisk ser på stortingsvalg som langt viktigere enn lokalvalg. I lokalvalgundersøkelsen fra 1995 ble det spurt om hvilket valg som betydde mest for velgeren. Hele 60,8 prosent av respondentene svarte at stortingsvalget var viktigst, 0,8 prosent nevnte fylkestingsvalget, mens 28,3 prosent oppga kommunestyrevalget. At det er forskjell i nivået på valgdeltagelsen burde dermed ikke være overraskende. Dette sier likevel lite om trenden i den lokale deltagelsen. Spørsmålet er hva som har skjedd i kommunene over tid som kan forklare nedgangen. Baldersheim et al. (1997) hevder at det politiske handlingsrommet til kommunene er blitt mindre. Lokaldemokratiet skal nærmest ha blitt en illusjon, og det å stemme en ren symbolsk politisk handling. Staten skal sakte men sikkert ha tatt «kvelertak» på lokaldemokratiet. Dette argumentet understøttes ved at den partipolitiske sammensetningen av kommunestyrene skal ha liten effekt på hvordan utgiftene i kommunene blir prioritert (Sørensen 1989). Kommunene blir også framstilt som kollegiale styringsorgan som minimaliserer intern konflikt (Larsen 1995–1996). Aardal og Valen (1997 s .68) hevder nettopp at den lave valgdeltagelsen ved lokalvalg kan relateres til et synkende konfliktnivå.
Argumentene ovenfor finner også støtte i den internasjonale litteraturen. For eksempel antyder Hoffmann-Martinot et al. (1996) at det store avviket mellom lokal og nasjonal valgdeltakelse i Storbritannia sammenliknet med Frankrike kan tillegges det faktum at hos de førstnevnte fremstår de lokale myndighetene i større grad som et avmektig administrerende organ for de sentrale myndighetene. De franske lokale myndighetene kan derimot bygge på et klarere og et mer veldefinert konstitusjonelt grunnlag.
Er nedgangen i den lokale valgdeltagelsen dermed en konsekvens av at de politikerne som skal velges lokalt har fått mindre å si når de store linjene i politikken skal utformes? Bjørklund (1997) viser med data fra 1971 og 1991 at velgerne faktisk mener det motsatte; kommunene har fått større innvirkning for deres egen hverdag. I tillegg poengterer Bjørklund at valgdeltagelsen har sunket både blant dem som sier at valget har stor innvirkning, og dem som sier at valget har liten eller ingen innvirkning. Tilbakegangen er litt større i den siste gruppen. Det er imidlertid rimelig å spørre hva kommunene har blitt viktigere i forhold til. Velferdskommunen , der kommunene tar seg av brorparten av produksjonen av tjenester i samfunnet er et sentralt begrep i så måte. Bjørklund viser nettopp at velgerne ser på produksjonen av tjenester som kommunens viktigste oppgave. Velgerne ser seg selv primært som brukere i forhold til kommunen, og ikke som politiske borgere (Rose og Pettersen 1998).
Valgdeltagelsen i lokalvalg kan også knyttes til rikspolitisk dominans (Aardal og Valen 1997). Et gjennomgående argumentet er at rikspolitikken har en negativ effekt: Når konkurransen i lokalvalg domineres av rikspolitiske aktører forsvinner de lokale sakene fra debatten (se Skare 1998). Et forslag som tar utgangspunkt i et slik syn er at det skal bli opp til kommunene selv å bestemme når det skal avholdes valg. Samtidig finnes det dem som ønsker å holde lokalvalg og nasjonale valg på samme dag. Dette siste forslaget bygger på en forestilling om at uten drahjelpen fra rikspoltikerne vil den lokale deltakelsen synke. Argumentet kan ha noe for seg. Sverige har en slik ordning, og der er det som kjent svært høy deltakelse ved lokalvalgene (se tabell 2). Et annet eksempel er lokalvalgene Storbritannia i 1979. Disse ble i motsetning til tidligere valg avholdt på samme dag som det nasjonale valget, og deltakelsen ble nesten doblet (Miller 1988).
4.3 På hvilket nivå bør forklaringene søkes?
Det er mulig å skille mellom mikro - og makro -forklaringer på valgdeltakelse (Crewe 1981). Mikro - forklaringer tar utgangspunkt i egenskapene ved den enkelte velger. Av slike egenskaper finner vi ikke bare sosiale bakgrunnsvariabler, men også politisk orientering, parti-identifikasjon og følelsen av «borgerplikt». Makro - forklaringer fokuserer derimot på hvordan omgivelsene legger føringer på deltakelsen. Eksempler på makro-forklaringer kan være institusjonelle faktorer slik som valgordning, politiske faktorer (slik som graden av konkurranse ved valget) og økonomiske faktorer (slik som arbeidsledighet og inntekt) Den variasjonen vi allerede har registrert mellom land (tabell 2.1 og 2.2) samt mellom ulike typer av valg i Norge (figur 2.1) antyder at makroforklaringer er sentrale.
4.3.1 Mikro-forklaringer
Hvordan kan individuelle sosiale kjennetegn (eventuelt via politiske holdninger) påvirke valgdeltagelsen? Tabell 2.3 gir en oversikt over ulike sosiale bakgrunnsvariabler som tradisjonelt har vært antatt å påvirke deltakelsesmønsteret. Skal vi tro denne tabellen, vil et besøk i valglokalet gi størst sannsynlighet for å møte en middelaldrende, gift mann med høy utdanning og inntekt som har vært bosatt lenge på samme sted og som er organisasjonsmedlem. Som vi allerede har vært inne på, har effekten av de fleste av disse faktorene avtatt sterkt over tid.
Tabell 4.3 Sosiale trekk som kan påvirke valg-deltagelse
| Høy deltagelse | Lav deltagelse |
|---|---|
| Høy inntekt | Lav inntekt |
| Høy utdanning | Lite utdanning |
| Yrke: | Yrke: |
| Næringsvirksomhet | Ufaglærte arbeider |
| Administrativt ansatte | Ansatte i service- næringer |
| Menn | Kvinner |
| Middelaldrende (35–55) | Ungdom (under 35) |
| Fastboende over tid | Mobile |
| Gift | Enslige |
| Medlemskap i organisasjoner | Isolerte individ |
Kilde: Crewe 1981.
En tverrnasjonal analyse av 22 land (der Norge riktignok ikke er inkludert) viser da også at individuelle sosiale kjennetegn har en langt svakere effekt enn faktorer på makro-nivå (Franklin 1996). Om du er amerikansk eller dansk sier mer om sannsynligheten for å stemme enn om du er rik eller fattig og har høy eller lav utdanning. Blant de mikro-faktorene som tross alt har en viss innvirkning finner Franklin at alder og deltakelse i politiske diskusjoner gir et visst utslag. Svekkelsen av mikro-forklaringen kan også leses ut av norske data. Bjørklunds (1997) studie av deltagelse i norske kommunestyrevalg viser at verken kjønn eller inntekt lenger kan bidra til å skille ut deltakerne fra hjemmesitterne.
Det at forklaringer på individnivå fremstår som mindre sentrale enn før kan for øvrig bidra til å sette spørsmålstegn ved bruken av målrettede informasjonskampanjer for å mobilisere spesielle sosiale grupper på valgdagen. Gitt de marginale forskjellene det etter hvert er snakk om, vil det (med spesielle unntak slik som innvandrere) ikke være lett å identifisere spesielt passive sosiale grupper. Det er derfor mulig at brede informasjonskampanjer rettet mot å mobilisere velgerne i sin alminnelighet, og ikke ulike grupper i særdeleshet, bør være å foretrekke.
4.3.2 Makro-forklaringer
I et makro-perspektiv vil velgernes individuelle sosiale resurser ha mindre betydning enn konteksten valget finner sted i. Denne konteksten forutsettes å påvirke hvordan vi som individer handler og tenker om politikk. Det er mulig å skille mellom to ulike makroforklaringer; henholdsvis kulturelle og institusjonelle. Mandatet for denne rapporten, kombinert med tverrnasjonale analyser som avviser betydningen av kulturelle faktorer på valgdeltakelsen (Jackman og Miller 1995), gjør at vi fokuserer på effekten av institusjonelle ordninger:
Proporsjonalitet
En proporsjonal valgordning ser ut til å fremme valgdeltagelsen. Jo større sammenheng mellom stemmer og mandater, desto høyere valgdeltagelse. I en omfattende tverrnasjonal studie av 324 demokratiske valg i 91 land i perioden 1972–1995 finner Blais og Dobrzynska (1998) at hjemmesittergruppen er noe mindre i land med PR systemer i særdeleshet og i land med proporsjonalitet i sin alminnelighet. Resultater fra andre tverrnasjonale undersøkelser støtter opp om denne konklusjonen (Jackman og Miller 1995; Franklin 1996). Betydningen av denne faktoren vil vi se nærmere på i en etterfølgende empirisk analyse.
Størrelsen til den politiske enheten
I analysen til Blais og Dobrzynska (1998) fremgår det at deltakelsen er høyere jo mindre landene er. Der ser dermed ut til at nærhet og oversiktelighet virkerer aktiviserende. Denne tendensen ser ut til å gjenspeile seg også innenfor de nasjonale systemene. Bjørklund (1998) finner blant annet at fra og med 1975 er den gjennomsnittlige norske valgdeltagelsen størst i de minste kommunene, og minst i de nest største.
Stemmeplikt
Blant de få faktorene som har en udiskutabel effekt på valgdeltakelse finner vi stemmeplikt. Dette til tross for at sanksjonene for ikke å stemme har fremstått som symbolske. Franklin (1996) finner at ordningen fører til omtrent en økning på seks prosentpoeng i valgdeltagelsen, mens Blais og Dobrzynska (1998) og Jackman og Miller (1995) anslår effekten til å være på rundt 11 til 12 prosentpoeng. Stemmeplikt finner vi blant annet i Australia, Belgia, Luxemburg, Venezuela, Hellas, og Costa Rica. Nederland hadde en slik ordning tidligere, og opphevelsen av stemmeplikten førte umiddelbart til en markert reduksjon i deltakelsen.
Stemmeplikt bidrar imidlertid til å øke antall ugyldige stemmer. I Belgia, Luxemburg, Australia og Hellas ligger andelen forkastede stemmer på rundt 5 prosent, mens tilsvarende tall for Norge er 0,1 prosent, Danmark 0,6, Finland 0,4, og Sverige 1,1 (Farell 1997).
Søndagsvalg og antall valgdager
I en komparativ analyse av lokalvalg, antyder Hoffmann-Martinot (1996) at noe av årsaken til at den franske deltakelsen er høyere enn den britiske kan tillegges det faktum at franskmennene har søndagsvalg mens britene har torsdagsvalg. Mer generelt antyder den tverrnasjonale analysen til Franklin (1996) at det å stemme på en hviledag gir en noe høyere valgdeltagelse enn for andre dager. Noe mer overraskende finner han en negativ sammenheng mellom antall valgdager og valgdeltagelse. Jo flere dager valglokalene er åpne, desto lavere valgdeltagelse. Ifølge Franklin er denne sammenhengen falsk («spuriøs») i den forstand at der det er mange stemmedager er det også vanskeligst å komme til stemmelokalet.
Antall valgdager varierer mellom norske kommuner (omtrent halvparten har én valgdag, mens den andre halvparten har to – hvorav den første på en søndag), og det samme gjelder antall stemmelokaler innenfor kommunene. For å gå Franklin’s konklusjon litt nærmere i sømmene, har vi estimert en enkel regresjonsmodell basert på samtlige norske kommuner ved stortingsvalget i 1997. Resultatene fra modellen er presentert i tabell A1 i undervedlegg A. Der kan vi se at det å ha søndagsåpne stemmelokaler ikke har noen positiv effekt på valgdeltakelsen, faktisk tvert imot. Antall stemmelokaler (kontrollert for velgermassens størrelse) har ingen effekt nasjonalt, men synes å spille en viss rolle i de nordnorske kommunene i den forstand at jo flere stemmelokaler desto høyere deltakelse.
Poststemmeordning
En poststemmeordning skal ifølge Franklin (1996) gi omtrent 4 prosent høyere valgdeltagelse. Dette peker i retning av at poststemmeordningen som ble innført i Norge i 1993 har påvirket valgdeltakelsen i positiv retning. Selv om det er for tidlig å trekke bastante konklusjoner, kan vi ikke se bort fra at noe av økningen i deltagelsen fra stortingsvalget i 1993 til 1997 har sammenheng med denne reformen.
Personvalg
I en sammenlignende studie av amerikanske og svenske velgere finner Granberg og Homberg (1988 s .103) at mens svenskene evaluerer de politiske lederne mer positivt enn de politiske partiene, er forholdet omvendt i USA. Forklaringen på denne forskjellen skal være at de politiske partiene spiller hovedrollen og kandidatene innehar birollen i svensk politikk, mens det motsatte er tilfellet i USA. Det norske politiske systemet har selvsagt flere likhetstrekk med det svenske systemet enn det amerikanske, og dermed skulle vi forvente at også de norske partiene figurerer sterkere i velgernes bevissthet enn partiene. Her må vi imidlertid skille mellom nasjonal og lokalpolitikk: Norske velgerne er nemlig mer opptatt av kandidatene ved kommunevalg enn vedstortingsvalg . I en undersøkelse fra 1991 svarte 21 prosent av velgerne at alminnelig partitillit var utslagsgivende for stemmegivningen ved stortingsvalg, mens 20 prosent sa at kandidater og ledere var viktig (se Rommetvedt 1998 s .67). I kommunevalg, derimot, nevnte bare 13 prosent betydningen av partitillit, mens hele 40 prosent understreket egenskapene ved kandidatene. Som Skare (1998 s .74) påpeker, vil skillelinjene i lokalpolitikken ofte krysse partigrensene slik at velgerne benytter egenskapene ved kandidatene, ikke partiene, som rettesnor for stemmegivningen. Innslag av personvalg ved lokalvalg kommer til utrykk ved liste-retting, og en slik retting kan sies å fange opp noe av velgernes politiske engasjement.
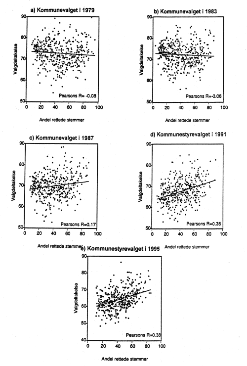
Sammenhengen mellom valgdeltakelse og andel rettede stemmer ved de fem siste kommunevalgene er gjengitt i figur 2.2. Av figuren fremgår det at sammenhengen mellom de to variablene er ikke-eksisterende i 1979 og 1983. Fra midten av 80-tallet og frem til i dag fremstår imidlertid korrelasjon som både sterk og stigende: Jo flere rettelser, desto høyere deltakelse. Dette skulle igjen tilsi at lokal personfokusering trekker velgerne mot stemmelokalene. At sammenhengen først har kommet til syne i løpet av det siste tiåret, kan nok sees i sammenheng med svekkelsen av partiidentifikasjon blant norske velgere. Striden mellom kandidatene har delvis erstattet den passive lojaliteten til partiene som en mobiliserende kraft.
Det bør imidlertid presiseres at for det første er dette funnet basert på en svært enkel modell. Antall rettinger er for eksempel mer omfattende i de mindre kommunene enn i de større, og det kan diskuteres hvorvidt det i stedet for engasjementet og personfokseringen heller er nærhet og oversiktlighet som bidrar til høy valgdeltakelse. 1 For det andre behøver ikke en større mulighet for å påvirke kandidatutvelgelsen i seg selv gi høyere deltakelse. Retting på listene kan være et resultat av økt engasjement, og ikke en årsak til dette engasjementet. En brennbar lokal sak som splitter kandidatene på tvers av partigrensene vil kunne bidra til både mer retting og økt valgdeltakelse. På den annen side vil retting gi velgerne adgang til å sende et svært konkret politisk signal, og kan da fungere som en egnet mekanisme til å gi velgerne utløp for sitt engasjement.

Figur 4.2 Korrelasjon mellom valgdeltakelse og andel rettede stemmer
Kilde: Norges offisielle statistikk, SSB (ulike utgaver).
Stemmerettsalder
Blais og Dobrzynska (1998) finner i sin tverrnasjonale undersøkelse at jo lavere stemmerettsalder, desto lavere valgdeltakelse. Nærmere bestemt indikerer modellen at en senkning av stemmerettsalderen fra 21 til 18 år reduserer deltakelsen med to prosentpoeng. Skal vi tro dette resultatet, vil en ytterligere reduksjon av den norske stemmerettsalderen, slik enkelte har foreslått, føre til en ytterligere reduksjon i deltakelsen.
I tillegg til ordningene skissert ovenfor er det gjennomført en rekke mindre tiltak i ulike land for å fremme valgdeltagelsen. Det kan være ordninger som er spesielt rettet mot dem som er bortreist på valgdagen, ordninger som gjør det mulig å overføre stemmer fra en valgkrets til en annen (noe som ikke er mulig i Norge), fullmaktsordninger der en verge eller familiemedlem kan stemme for andre (ikke mulig i Norge), ordninger der valglokaler legges til særskilte institusjoner (sykehus, gamlehjem, fengsler osv), og reduksjon av prisene på offentlige transportmidler på valgdagen. Effekten av disse ulike tiltakene er vanskelig å anslå.
4.4 En empirisk analyse av variasjoner i norsk valgdeltakelse på fylkesnivå
For å få en ytterligere innsikt i hvordan institusjoner kan påvirke den norske valgdeltakelsen vil vi estimere en makro-modell basert på den fylkesvise deltakelsen ved stortingsvalg i etterkrigstiden. Vi er interessert i å kartlegge hvordan kontekstuelle faktorer (i motsetning til individuelle ressurser) påvirker valgdeltakelsen. En slik kartlegging gjennomføres i form av en såkalt panelmodell som tar for seg variasjon både mellom fylker og over tid. Mer konkret estimeres en modell som omfatter 19 fylker i stortingsvalgene etter 1953. Her følger en kort gjennomgang av modell-spesifikasjonen. De mer tekniske aspektene ved modellen er behandlet i undervedlegg 2.
4.4.1 Beskrivelse av modellen
Det vi ønsker å forklare er altså valgdeltakelsen. I vår modell ser vi på deltakelsen i stortingsvalg i de enkelte fylkene over tid. Variasjonen i deltakelsen vil være betinget av en rekke faktorer. Som nevnt kan selve valgordningen være én slik faktor. På bakgrunn av den tidligere diskusjonen og funnene i den internasjonale litteraturen antar vi at jo mindre proporsjonalitet desto lavere valgdeltakelse. En slik sammenheng forventes for det første fordi graden av usikkerhet i forhold til mandatfordelingen reduseres med synkende proporsjonalitet. Når mandatfordelingen mer eller mindre er gitt på forhånd uavhengig av endringer i velgeroppslutningen, vil incentivene til å oppsøke valglokalet svekkes. For det andre har avviket mellom stemmer og mandater en tendens til å gi særlige utslag for mindre partier. Velgere som i utgangspunktet kunne tenke seg å stemme på slike partier vil kunne velge hjemmesitting fremfor stemmegivning ettersom det foretrukne partiet ikke har mulighet for å vinne noe mandat. For å fange opp effekten av valgordningens proporsjonalitet har vi med utgangspunkt i simuleringsprogrammet Celius estimert Gallaghers minste kvadraters indeks (LSQ) for hvert enkelt fylke ved hvert enkelt stortingsvalg i etterkrigstiden. Jo høyere verdi på denne indeksen, desto lavere proporsjonalitet.
Det er grunn til å forvente at en betydelig del av effekten av denne variabelen kommer i form av et tidsetterslep, nærmere bestemt at effekten av proporsjonalitet på valgdeltakelse først gir seg utslag etter én valgperiode. Velgere som skal stemme ved det nåværende stortingsvalget vil benytte graden av proporsjonalitet ved forrige valg som rettesnor for hvorvidt de vil delta eller ikke ved dette valget. Når en velger går til valgurnene er graden av proporsjonalitet ved forrige valg kjent informasjon, mens det naturlig nok hefter usikkerhet til proporsjonaliteten ved det nåværende valget (ettersom valgresultatet først er kjent etter at det eventuelle besøket i stemmelokalet er avlagt).
Når vi tester for betydningen av valgordningen på valgdeltakelse, bør vi kontrollere for effekten av andre relevante faktorer. Det er med andre ord nødvendig å estimere en multivariat modell , dvs. en modell bestående av flere forklaringsvariabler. Den kanskje viktigste tilleggs-variabelen i så henseende – og som vi har sett fremstår som en gjenganger i internasjonale studier – er viktigheten av valgutfallet. Konkurransen mellom de politiske partiene synes å være spesielt viktig i så henseende. Det er grunn til å forvente at variasjoner i den norske deltakelsen vil være avhengig av hvor entydige regjeringsalternativene fremstår for velgerne (Pettersen 1988; Aardal og Valen 1995). I gjennomgangen av regjeringsalternativene i etterkrigstiden, fremhever Aardal og Valen (ibid. s .50–53) valgene i 1965, 1969 og 1977–89 som særlig preget av en toblokksituasjon med veldefinerte ideologiske fronter. Valget i 1997, som ble etterfulgt av et regjeringsskifte, må også kunne innlemmes i denne gruppen. Med dette som utgangspunkt, velger vi å fange intensiteten i konkurransen om regjeringsmakten ved å inkludere en såkalt «dummy»-variabel som gis verdien 1 i de ovennevnte valgene, og verdien null ellers. Hypotesen vil være at en høy sannsynlighet for regjeringsskifte vil ha en positiv effekt på deltakelsen: I valg med klare regjeringsalternativ vil deltakelsen være høyere enn når slike alternativ ikke foreligger. 2
Analyser både i utlandet (e.g. Radcliff 1992) og i Norge (Midtbø og Strømsnes 1996) synes å kunne påvise en sammenheng mellom økonomiske indikatorer og valgdeltakelse. Det er mulig å foreta mer subtile spesifikasjoner av slike økonomiske variabler (ibid.), men ettersom det ikke fokuseres på slike effekter her, nøyer vi oss med å inkludere en indikator for den nasjonale arbeidsledigheten. Det vil selvfølgelig også være faktorer på lokalt nivå som påvirker valgdeltakelsen. I stedet for å forsøke og spesifisere disse faktorene direkte, er det inkludert «dummy»-variabler for hvert enkelt fylke. Denne gruppen av variabler er tatt med for å fange opp – uten dermed å «forklare» – effekten av lokale forhold.
4.4.2 Empiriske resultater
La oss så gå over til å kommentere resultatene av den empiriske analysen slik de fremstår i tabell 2 i undervedlegg 1. Av tabellen fremgår følgende:
Den viktigste forklaringen på valgdeltakelse ser ut til å være graden av usikkerhet knyttet til regjeringsalternativene. Mulighetene for et regjeringsskifte virker med andre ord mobiliserende på velgerne. I de valgene en slik usikkerhet er til stede er den gjennomsnittlige oppslutningen mer enn 5 prosent høyere enn når regjeringsspørsmålet er avgjort på forhånd. Dette er i overensstemmelse med funn i både den internasjonale og den nasjonale litteraturen.
Selv om effekten av proporsjonalitet ikke er spesielt stor, fremstår sammenhengen som statistisk signifikant og i forventet retning: Jo lavere proporsjonalitet (dvs. jo høyere verdi på LSQ), desto lavere deltakelse. Som antatt er effekten sterkest når vi inkluderer effekten fra det forrige valget. Avviket mellom stemmer og mandater ved det siste valget påvirker altså deltakelsen ved dette valget. Det er også antydning til en umiddelbar sammenheng (dvs. at også ulikheten ved det nåværende valget påvirker deltakelsen). Det må imidlertid understrekes at effekten av proporsjonalitet ikke er ufølsom for endringer i modellspesifikasjonen. Selv om det ikke er vist her, vil det å inkludere en trend-variabel (som kan fange opp den generelle nedgangen i etterkrigstidens valgdeltakelse), svekke effekten av proporsjonalitet betraktelig.
Analysen synes også å vise at nasjonal arbeidsledighet fostrer politisk passivitet i den forstand at jo høyere ledighet desto lavere valgdeltakelse. I tillegg er det klare lokale variasjoner i deltakelsen, noe som gjenspeiles i en signifikant økning i modellens forklaringskraft når variablene som representerer disse faktorene inkluderes i modellen. Resultatet tilsier at geografiske skillelinjer ikke bare gir seg utslag i hva man stemmer (et resultat som er veletablert i den norske valgforskningen) men også i hvorvidt man stemmer. Blant annet har valgdeltakelsen tradisjonelt vært lavere i de nordligste fylkene, selv om denne forskjellen etter hvert er blitt mindre.
4.4.3 Oppsummering
Analysen har vist at dersom valget oppleves som viktig, og utfallet usikkert, vil valgdeltakelsen øke. Det kan se ut som selve innholdet i politikken, mer enn rammene rundt den, påvirker graden av hjemmesitting. Men selv om institusjonelle forhold neppe er like viktige som de rent politiske, er de ikke uvesentlige. Analysen her antyder at jo større samsvar mellom stemmer og mandater, desto høyere deltakelse.
4.5 Konklusjon
Vi har i denne rapporten drøftet en rekke faktorer som fremmer og hemmer valgdeltakelsen. Vi kan sortere de ulike varianter i tre kategorier; 1. Faktorer det er lite å gjøre med, 2. faktorer som man kan, men ikke vil, gjøre noe med og 3. faktorer det er mulig å gjøre noe med.
Enkelte faktorer ligger utenfor politisk kontroll. For å ta det mest åpenbare eksemplet: Det er umulig å gjøre noe med værforholdene på valgdagen (selv om man kunne velge å holde valget i en periode av året der været er forventet å være gunstig). En rekke av de individuelle sosiale bakgrunnsvariabler lar seg heller ikke utsette for politisk påvirkning – i hvert fall ikke på kort sikt. Undersøkelser har uansett vist at vi her har å gjøre med faktorer der effekten er blitt svekket over tid.
Det finnes faktorer som kan en heldig effekt på valgdeltakelsen men som samtidig har uheldig bi-effekter. Som vi har sett, vil det å gjøre stemmegivning obligatorisk fremme deltakelsen, men det finnes åpenbare argumenter som taler imot å tvinge folk til å delta. Tilsvarende er det for eksempel blitt hevdet at geografisk mobilitet kan ha bidratt til å svekke deltakelsen (se Pettersen 1988), men en slik mobilitet kan likevel være politisk ønskelig sett ut fra hensynet til et fleksibelt arbeidsmarked.
Rapporten har vist at politikk har betydning for valgdeltakelsen, og da både direkte i form av organisering og institusjonelle endringer, men også indirekte som følge av konkurransen mellom partiene på nasjonalt plan og kandidatutvelgelsen på lokalt plan. Den indirekte effekten synes å være viktigere enn den direkte. At det konkurreres er viktigere enn hvordan det konkurreres. Analysen ovenfor antyder at en større proporsjonalitet vil ha en viss, om enn ikke en spesielt stor, positiv effekt på valgdeltakelsen. Det er også mulig at poststemmereformen har hatt en mobiliserende virkning. Det å øke antall valgsteder eller innføre søndags-stemmegivning ser derimot ikke ut til å ha noen positiv effekt på valgdeltakelsen, selv om det å opprette flere valglokaler muligens vil ha en positiv effekt i Nord-Norge.
Lokalvalgene vil nok være det mest utfordrende for utvalget å ta fatt i. Det at stadig flere verken identifiserer seg med de politiske partiene eller ser det som en borgerplikt å stemme gjenspeiler seg sterkere i de lokale valgene enn i de nasjonale. Rapporten har vist at det ikke er en enkelt faktor som kan forklare mye av deltakelsen, men heller mange faktorer som kan forklare litt. Det mest interessante funnet er nok den sterke korrelasjonen mellom retting og valgdeltakelse ved de siste kommunevalgene. For å si det noe spisst: Mens konkurransen mellom partiene mobiliserer på nasjonalt nivå, er det konkurransen mellom kandidatene som mobiliserer på lokalt nivå. På den annen side er det ingen tvil om at nasjonale saker og politiske aktører bidrar til å mobilisere velgerne også ved lokalvalg. Større autonomi til kommunene gir dermed ikke nødvendigvis høyere deltakelse: Mange velgere stemmer lokalt, men tenker nasjonalt . Det klassiske eksempelet i så måte er den rekordhøye valgdeltakelsen ved kommunevalget i 1963, der velgerne ble mobilisert som følge av et nasjonalt stridsspørsmål, nemlig Kings Bay-saken.
På samme måte som termometeret skal si noe om pasientens helsetilstand, er det vanlig å betrakte valgdeltakelse som en indikasjon på demokratiets legitimitet. Valgdeltagelse er likevel ikke det eneste kriteriet på hvorvidt demokratiet fungerer eller ikke Det å stemme er en type politisk aktivitet som, fordi den involverer mange, krever lite. Andre mer direkte former for politisk deltagelse fordrer sterkere initiativ og større ressursbruk fra den enkelte, og vil dermed involvere færre. Tross synkende valgdeltagelse i lokalvalg i Norge, har det politiske engasjementet ikke forsvunnet. For eksempel viser Bjørklund (1997) at samtidig som valgdeltagelsen i 1995 var rekordlav, var aktiviteten i de andre deltakelseskanalene (slik som aksjoner, demonstrasjoner, underskriftskampanjer osv.) rekordhøyt. Deltagelse i valg ser dermed ut til å ha blitt erstattet av andre former for politisk deltagelse.
Lav nasjonal valgdeltagelse kan like gjerne reflektere tilfredshet med demokratiet snarere enn misnøye. De fleste internasjonale studier er da heller ikke i stand til å påvise signifikante forskjeller mellom de politiske holdningene til dem som stemmer og dem som ikke gjør det (Leighley 1995 s .196). De norske valgundersøkelsene viser da også at andelen som er misfornøyd med hvordan demokratiet fungerer forholder seg relativt stabilt (Kiberg et al.1995 s .98). Uansett er det mulig å argumentere for at det å avstå fra å stemme ikke bare er å betrakte som en rettighet på lik linje med det å stemme, men at hjemmesitterne også vil fungere som en viktig varsellampe i et demokrati. Endringer i deltakelsen bidrar til at debatten om demokratiet kontinuerlig holdes i live. Sagt på en annen måte: Hvis termometeret viser urovekkende høy feber vil legene behandle pasienten, ikke termometeret. På samme måte kan det kanskje være mer fruktbart å fokusere på tiltak som styrker demokratiets legitimitet og vitalitet generelt, ikke nødvendigvis valgdeltakelsen spesielt.
4A Tabeller
Tabell 4.4 Valgdeltakelsen i norske kommuner ved stortingsvalget i 1997. Antall enheter er henholdsvis 435 og 89
| Alle norske kommuner | Nord-norske kommuner | |||
|---|---|---|---|---|
| Koeffisient | T-verdi | Koeffisient | T-verdi | |
| Uavhengige variabler | ||||
| Søndagsvalg | -0,012 | -2,62 | - | - |
| Antall valgsteder ifht. antall stemmeberettigede | - | - | 0,013 | 1,81 |
| Justert R2 | 0,38 | 0,02 | ||
Note: Koeffisientene for dummy-variablene for landsdelene er ikke presentert i tabellen. Med unntak av dummy-variabelen for søndagsstemmegivning, har variablene vært utsatt for en (naturlig) logaritmetransformasjon.
Kilde: Norges offisielle statistikk, stortingsvalget 1997, Statistisk sentralbyrå.
Tabell 4.5 Valgdeltakelsen i norske fylker fra 1953 til 1997. Antall enheter er 190
| Uavhengige variabler | Koeffisienter | T-verdier |
|---|---|---|
| Proporsjonalitet, sist valg | -0,018 | -2,55 |
| Proporsjonalitet, dette valget | -0,022 | -2,94 |
| Regjeringsalternativ | 0,055 | 16,40 |
| Arbeidsledighet (nasjonal) | -0,018 | -4,80 |
| AR(1) | 0,275 | 1,71 |
| Justert R2 = 0.74 | ||
| DW = 2.04 |
Note: Koeffisientene for dummy-variablene for de enkelte fylkene er ikke presentert i tabellen. Alle variablene, med unntak av dummy-variabelen for regjeringsalternativ, har vært utsatt for en (naturlig) logaritmetransformasjon. T-verdiene er basert på White heteroskedastisk-konsitente standardfeil. Disse avviker i dette tilfellet ikke særlig fra tradisjonelle standardfeil.
Kilde: Statistisk årbok (ulike publikasjoner) og Celius for Windows.
4B En kort teknisk gjennomgang av den empiriske modellen for valgdeltakelse
Når vi har i = 1,2, …, N tverrsnittsenheter (i dette tilfellet fylker) og hver av disse enhetene er bygget opp som en tidsserie, t = 1,2, …, T, er det mulig å konstruere en panelmodell bestående av N*T enheter. I motsetning til tverrsnittsanalysen og tidsserieanalysen som bygger på enheter fra hver sin dimensjon, kombinerer panelanalysen data fra begge dimensjonene. Modellen består dermed av variabler som varierer i rom og over tid:
Yit = verdien for den avhengige variabelen, i vårt tilfelle valgdeltakelse, for enhet i på tidspunkt t , og
Xkit = verdien for forklaringsvariabelen k (der k = 1,2, …, K) for enhet i på tidspunkt t.
Modellen som estimeres her er en balansert modell , dvs. en modell der antall tidsenheter for hvert tverrsnitt er det samme. Avstanden mellom tidsenhetene forutsettes å være konstant, og i denne analysen lik en valgperiode, dvs. fire år.
Dersom vi antar en lineær, bivariat sammenheng, vil den generelle panelmodellen kunne skrives slik:
Yit = bk Xit + eit
der i = 1,2, …, N tverrsnittsenheter og, t = 1,2, …, T tidsenheter
Slik modellen er spesifisert, er det en forutsetning at konstantleddet og helningsleddet er det samme for alle i og t. I tillegg opererer vi med følgende antakelser:
E(ent ) = 0 for alle n
var(ent ) = s2 for alle n, hvor var står for varians
cov(eit ejt ) = 0 for enhver i, j og t, hvor cov står for kovarians
cov(eit Xjt ) = 0 for enhver i og t
ent ~ N(0, s2 )
La oss med en gang slå fast at samtlige av disse forutsetningene sjelden er oppfylt. Når det er snakk om paneldata er OLS estimatene for eksempel sjelden variansminimale, forventningsrette, eller konsistente. Den viktigste årsaken til det er at feilleddet inkluderer effekten fra tidsdimensjonen, fra den rommelige dimensjonen og den kombinerte effekten av disse to dimensjonene.
Til tross for at intervallet mellom tidsenenhetene er relativt langt, er det tegn til autokorrelasjon i residualene og disse er blitt spesifisert som AR(1) (dvs. at eit = ji ei,t-1 + mit , der mit er hvit støy). På samme måte som autokorrelasjon er regelen og ikke unntaket i tidsserieanalyse, er heteroskedastisitet et gjennomgående fenomen i tversnittsanalysen. I panelmodeller vil det imidlertid ofte forekomme en spesiell form for heteroskedastisitet der variansen ikke bare er forskjellig mellom ulike enheter men også mellom tverrsnittene. Dette betegnes som panelheteroskedastisitet eller enhetseffekter . Denne formen for heteroskedastisitet oppstår som følge av selve designet i panelmodellen. Variansen i feilleddet varierer mellom hvert tverrsnitt på grunn av nivåforskjeller i den avhengige variabelen. For å ta hensyn til dette er det tatt med «dummy»-variabler for de enkelte tverrsnittsenhetene – som her er fylkene – i modellen. Den resulterende modellen betegnes som LSDV (Least Squares Dummy Variable) -modellen. I stedet for å ha et felles konstantledd for hele modellen som i OLS, introduseres et eget konstantledd for hvert enkelt tverrsnitt (minus 1 hvis det generelle konstantleddet beholdes). «Dummy»-variablene vil ikke i seg selv «forklare» forskjellene mellom tverrsnittene, bare beskrive dem. «Dummy»-variablene i en LSDV modell kan derfor sies å være et uttrykk for vår «spesielle uvitenhet» i motsetning til den generelle uvitenheten representert ved feilleddet. Selv om det er en «dummy»-variabel for hvert fylke, er bare et enkelt helningsledd for hver av forklaringsvariablene i modellen (og ikke et helningsledd for hvert tverrsnitt). Dette innebærer at forklaringsvariabelen antas å ha den samme effekten for samtlige tverrsnitt. Selv om det ikke er vist her, ble det også estimert en såkalt avvik - komponent modell . En slik modell henviser forskjellene mellom de ulike tverrsnittene til feilleddet slik at forskjellen tar form av stokastiske variasjoner og ikke faste, deterministiske forskjeller som i LSDV modellen. Resultatene fra denne modellen avvek ikke vesentlig fra LSDV-modellen.
Litteratur:
Aldrich, John H. (1993) «Rational Choice and Turnout», American Journal of Political Science, 37, pp. 246–278.
Bille, Lars (1995) «Medlemsudviklingen i otte danske partier 1953–1993. Et demokratisk problem?», i Morten Madsen, Hans Jørgen Nielsen og Gunnar Sjöblom (red.), Demokratiets mangfoldighedTendenser i dansk politik , Odense, Odense Universitetsforlag.
Bjørklund, Tor (1997) Et lokalvalg i perspektiv. Valget 1995 i lys av sosiale og politiske endrigner , Oslo, Institutt for samfunnsforskning.
Bjørklund, Tor (1998) «Den synkende valgdeltakelsen. Kommunale variasjoner og mulige forklaringer», i Audun Offerdal og Jacob Aars (red.), LokaldemokratietStatus og utfordringer , Oslo, Kommunenes Sentralforbund.
Blais, Andre og Agnieszka Dobrzynska (1998) «Turnout in electoral democracies», European Journal of Political Science, 33, pp. 239–261.
Crewe, Ivor (1981) «Electoral Participation», i David Butler, Howard R. Penniman, og Austin Ranney (red.), Democracy at the Polls. A Comparative Study of Competitive National Elections , Washington, American Enterprise Institute for Public Policy Research.
Farrell, David M (1997) Comparing Electoral Systems , London, Prentice Hall.
Franklin, Mark N. (1996) «Electoral Participation», i Lawrence LeDuc, Richard G. Niemi og Pippa Norris (red), Comparing Democracies. Elections and Voting in Global Perspective , London, Sage.
Granberg Donald og Sören Holmberg (1988) The Political System Matters . Cambridge, Cambridge University Press.
Green, Donal P og Ian Shapiro (1994) The Pathologies of Rational Choice Theory , London, Yale University Press.
Hoffmann-Martinot, Vincent, Colin Rallings & Michael Thrasher (1996) «Comparing local electoral turnout in Great Britain and France. More simmilarities than differences?», European Journal of Political Science, 30. pp.241–257.
Jackman, Robert W. og Ross A. Miller (1995) «Voter Turnout in Industrial Democracies druing the 1980s», Comparative Political Studies , 27, pp. 467–492.
Kiberg, Dag, Kristin Strømsnes og Erik Vasstrand (1995) De norske valgundersøkelsene 1977, 1981, 1985, 1989 og 1993, Dokumentasjon, frekvenser, Norsk Samfunnsvitenskapelig Datatjeneste, Rapport nr. 105.
KS 20.09.(1995) Hjemmesitterundersøkelsen.
Larsen, Helge O (1995–1996) «Ordførervervet og politisk mistillit», vedlegg til Ot.prp.nr. 58, Om lov om endring i Lov av 25 september 1992 nr. 107, om kommunar og fylkeskommunar m.v.
Leighley, Jan E. (1995) «Attitudes, Opportunities and Incentives. A Field essay on Political Participation», Political Research Quarterly, 48, pp.181–209.
Listhaug, Ola (1989) «Gamle og nye modellar i valforskinga eit oversyn», Tidsskrift for samfunnsforskning 30.
Midtbø, Tor og Kristin Strømsnes (1996) «Voter Turnout in Norway. Time, Space, and Causality», Scandinavian Political Studies, 19, pp. 379–400.
Miller, William L (1988) Irrelevant Elections? The quality of Local Democracy in Britain, Oxford, Clarendon Press.
Narud, Hanne M. og Henry Valen (1996) Decline of electoral turnout. The case of Norway, European Journal of Political Science 29, pp. 235–256.
Norges offisielle statistikk, Stortingsvalget 1997, Statistisk sentralbyrå.
Pattie, Charles og Ron Johnston (1998) «Voter turnout at the British General Election of 1992. Rational choice, social standing or political efficacy?», European Journal of Political Science 33, pp. 263–283.
Rallings, Colin og Michael Thrasher (1997) Local Elections in Britain , London, Routledge.
Rokkan, Stein (1968) «Norway Numerical Democracy and Corporate Pluralism», pp. 70–115, I Dahl, R.E. (red.) Political Opposition in Western Democracies . New Haven and London Political Opposition in Western Democracies . New Haven and London Yale University Press.
Rommetvedt, Hilmar (1998) «Kommune- og fylkestingsvalg lokaldemokrati eller riksgallup?», i Offerdal A. Og Aars J. (red.) LokaldemokratietStatus og utfordringer . Oslo Kommunenes Sentralforbund
Rose. Lawrence E og Per Arnt Pettersen (1998) «The Legitimacy of Local Government What makes a difference?, Evidence from Norway», Paper prepared for presentation at session 15, «Citizens and Cities. How do Citizens Provide Input and Asesses Their Localities», World Congress of Sociology, Montreal, Canada July 26- August 1998.
Rose, Richard (1997) «Evaluating Election Turnout», i Voter Turnout from 1945 to 1997.A Global Report on Political Participation , International IDEA (Institute for Democracy and Electoral Assistance).
Skare, Audun (1998) «Jo mer lokalpolitikk, dess mindre partipolitikk», i Offerdal A. Og Aars J. (red.) LokaldemokratietStatus og utfordringer. Oslo, Kommunenes Sentralforbund.
Sørensen, Rune (1989) «Det kommunale demokrati. En fortsettelse av rikspolitikken med andre midler», Norsk Statsvitenskaplig Tidsskrift 3.
Aardal, Bernt og Henry Valen (1995) Konflikt og opinion , Oslo, NKS-Forlaget.
Aardal, Bernt og Henry Valen (1997) «The Storting Elections of 1989 and 1993, Norwegian Politics in Perspective», i Kaare Strøm og Lars Svåsand (red), Challenges to Political Parties. The Case of Norway , Michigan, The University of Michigan Press.
Fotnoter
Vi har forsøkt å teste dette ved å spesifisere en regresjonsmodell som i tillegg til antall rettelser også inkluderer en indikator for kommunestørrelse. Resultatene fra denne testen er uklare, avhengig av hvorvidt man kontrollerer for heteroskedastisitet og ikke-linearitet ved å log-transformere variablene eller benytte Whites heteroskedastisitets-konsistente kovarians-matrise.
Oppslutningen om landets statsbærende parti, Arbeiderpartiet, ble forsøkt inkludert i modellen som en indikator både på graden av partikonkurranse og som en mobiliserende kraft på enkelte velgergrupper (se Rokkan 1968). Denne variabelen hadde ingen signifikant effekt på valgdeltakelsen, og den ble derfor utelatt av modellen.