6 Muligheter for preferanser ved import av jordbruksprodukter fra utviklingsland under den nye GATT-avtalen

ECON Energi, Oslo

Litteraturliste

Bagchee, A. (1994): Agricultural Extension in Africa, World Bank Discussion Paper Number 231, Washington.

Barghouti, S., Garbus, L. og Umali, D. (1992): Trends in Agricultural Diversification, Regional Perspectives, World Bank Technical Paper Number 180, Washington.

Berg, H. (1994): GATT-avtalen - Landbruk , Landbruksdepartementet, HOB/9286, Oslo.

Budsjettnemnda for jordbruket (1994): Jordbrukets totalregnskap for 1992 og 1993 - Jordbrukets totalbudsjett for 1994, Oslo.

Cleaver, K.M. (1993): A Strategy to Develop Agriculture in Sub-Saharan Africa and a Focus for the World Bank, World Bank Technical Paper Number 203, Washington.

ECON (1994): GATT-avtalens konsekvenser for utviklingslandenes eksport til Norge, ECON Rapport nr. 315/94, Oslo.

FAO (1992): Yearbook 1993 - Production, Food and Agriculture Organization of the United Nations, Roma.

FAO (1993a): Agriculture: Towards 2010, Food and Agriculture Organization of the United Nations, C 93/24, Roma.

FAO (1993b): The state of food and Agriculture 1993, Food and Agriculture Organization of the United Nations, Roma.

FAO (1993c): Yearbook 1992 Commerce, Food and Agriculture Organization of the United Nations, Roma.

Finansdepartementet (1994): St.prp. nr. 1. Tillegg nr. 9. Saldering av statsbudsjettet medregnet folketrygden 1995, Oslo.

Gaasland, I. (1994): Konsekvenser for Norge av jordbruksavtalen i GATT, Stiftelsen for samfunns- og næringslivsforskning.

Gaasland, I. og Nersten, N.K. (1993): Jordbruksmodellen , Stiftelsen for samfunns- og næringslivsforskning, Arbeidsnotat nr. 44/1993.

GATT (1993): An Analysis of the Proposed Uruguay Round Agreement, with Particular Emphasis on Aspects of Interest to Developing Economies, Trade Negotiations committee Group of Negotiations on Goods, Geneva.

Gjølberg, O., Lindstrøm, E., Melchior, A. og Strøm, Ø. (1988): Vekst gjennom handel: Hvordan øke Norges import fra utviklingslandene?, Fondet for Markeds- og Distribusjonsforskning, Oslo.

Goldin, I., Knudsen, O. og Menbrugghe, D. (1993): Trade Liberalisation: Global Economic Implications, Organisation for Economic Co-operation and Development, Paris, The World Bank, Washington DC.

Haaland, J.I. (1993): GATT og verdensøkonomien - en oppsummering, SNF-rapport nr. 18/93.

ILO (1993): Statistics on Occupational Wages and Hours of Work and on Food Prices - October Inquiry Results, International Labour Office, Geneva.

International Monetary Fund (1993): Direction of Trade Statistics - Yearbook, International Monetary Fund, Washington DC.

Kelly, M. og McGuirk, A.K. (1992): Issues and Developments in International Trade Policy, International Monetary Fund, Washington DC.

Landbruksdepartementet (1991): Norsk Landbrukspolitikk, utfordringer, mål og virkemidler, NOU 2/91

Madden, P. og Madeley, J. (1993): Winners and Losers - The Impact of the GATT Uruguay Round on Developing Countries, Christian Aid, London.

Norges Bindingsliste (1994): Schedule XIV-Norway, en oversikt over Norges forpliktelser etter Uruguay-runden m.h.t. tollnivå og vilkår.

Nortrade (1994): Uruguay-runden, nr. 1/94, Norimpod, Oslo.

Page, S., Davenport, M. og Hewitt, A. (1991): The GATT Uruguay Round: Effects on Developing Countries, Overseas Development Institutes, London.

Statistisk sentralbyrå (1993): Statistisk årbok 1993, Oslo.

Statistisk sentralbyrå (1993): Utenrikshandel 1993, Oslo.

The Economist Intelligence Unit Ltd (1994): The EIU guide to the new GATT, London.

UNCTAD (1993): Handbook of International Trade and Development Statistics, United Nations Publications, New York.

UNCTAD (1994): Review of the Implementation, Maintenance, improvement and Utilization of the Generalized System of Preferences, New York.

United Nations (1992): Handbook of International Trade and Development Statistics, United Nations Publication, Switzerland.

United Nations (1992): International Trade Statistics Yearbook, United Nations Publication.

United Nations (1994a): Commodity Yearbook, United Nations Publication, Geneva.

United Nations (1994b): Monthly commodity price Bulletin, United Nations Publication.

Utenriksdepartementet (1982): St.meld.nr. 33 - Om det norske tollpreferansesystem overfor utviklingsland, Oslo.

Utenriksdepartementet (1992a): St.meld.nr. 51 (1991-92) - Om utviklingstrekk i Nord-Sør forholdet og Norges samarbeid med utviklingslandene, Oslo.

Utenriksdepartementet (1992b): Norway - Generalized System of Preferences for Import of Goods from Developing Countries, Oslo.

Utenriksdepartementet (1994): St.prp.nr. 65 - Om resultatet av Uruguay-runden (1986-1993) og om samtykke til ratifikasjon av Avtale om opprettelse av Verdens Handelsorganisasjon (WTO) m.m., Oslo.

Vale, P.H. (1989): Etterspørsel etter matvarer, Norges Landbrukshøyskole, Melding nr.59, Ås.

6.1 Sammendrag

Uruguay runden om reforhandlingen av GATT-avtalen startet i Uruguay i 1986. Avtalen ble undertegnet i Marakech i 1994, og ikrafttredelse skjer fra januar 1995. Det er fem hovedelementer i den nye avtalen som får konsekvenser for handelen med jordbruksprodukter:

Tariffisering : Overgang fra ikke tollmessige handelshindre (kvoter m.v.) til tollsatser.

Tollnedtrapping : Tollsatsene på jordbruksvarer skal i gjennomsnitt reduseres med 36 prosent over en seksårsperiode.

Minimums markedsadgang : Krav om tvungen minimumsimport og videreføring av eksisterende markedsadgang for import.

Nedbygging av innenlands støtte : Reduksjon på 20 prosent i handelsvridende innenlands støtte over seks år.

Nedbygging av eksportsubsidier : Reduksjon på 36 prosent i eksportsubsidier og 21 prosent i subsidierte eksportkvanta over seks år.

Omleggingen av importvernet fra ikke tollmessige handelshindre til tollsatser åpner for at det norske systemet med generelle tollpreferanser (General System of Preferences, GSP) for import fra utviklingsland, kan få langt større betydning enn tidligere.

Denne rapporten analyserer effektene av den nye GATT-avtalen for Norges import av jordbruksprodukter fra utviklingsland under ulike utforminger av GSP-ordningen. Jordbruksvarer som vil være tollfrie eller ha svært lav toll etter gjennomføringen av den nye GATT-avtalen er holdt utenfor analysen. I rapporten skilles det mellom tre hovedgrupper av jordbruksvarer og to hovedgrupper av utviklingsland. De tre varegruppene består av produkter som vil få høye tollsatser etter implementeringen av den nye GATT-avtalen. Varegruppene som drøftes er:

Vanlige norske jordbruksprodukter for konsum Fôrprodukter Bearbeidede jordbruksprodukter

Blant utviklingsland skilles det mellom de minst utviklede landene (MUL) og øvrige utviklingsland (ØUL). Kina og India omtales særskilt. For de to første varegruppene beregnes konsekvenser for importen ved ulike varianter av positiv tolldiskriminering. For bearbeidede produkter drøftes problemstillingen prinsipielt.

Avvikling av kvoter, overgang til tollsatser som gradvis skal reduseres og GSP-behandling er en fordel for utviklingslandene, men for noen land kan det være en lang vei fram før de kan dra fordel av denne muligheten. I hvilken grad muligheten vil utnyttes avhenger av infrastruktur, reguleringer og andre hindringer i det enkelte land. Økonomier med en sammensatt næringsstruktur og en relativt åpen handel med jordbruksvarer vil trolig tilpasse seg raskest. Land i Sørøst-Asia og Latin Amerika vil i så henseende trolig ha lettere for å tilpasse seg enn flere av landene i Afrika syd for Sahara.

For jordbruksprodukter som i dag i liten grad blir importert fra utviklingsland, er det særlig på kort sikt sannsynlig at tekniske og kvalitetsmessige krav fortsatt vil være absolutte hindre for eksport til Norge, uansett GSP-ordning. Dette gjelder i særlig grad for MUL. Krav til kvalitet, manglende eller dårlig utbygde interne omsetnings- og distribusjonssystemer, samt phytosanitære og veterinære hensyn vil i praksis begrense importen fra disse landene. På lengre sikt er imidlertid slike hindringer mindre prohibitive. Til tross for at MUL med dagens norske GSP-ordning har tollfrihet for alle produkter, stod de for bare 1,6 prosent av Norges u-landsimport i 1993. MUL-importen er også lav for jordbruksprodukter som i dag ikke er underlagt kvoteregulering. Det kan indikere at det er handelshindre nevnt ovenfor som er en faktisk barriere mot import fra disse landene.

Fordi eksportpotensialet for jordbruksvarer varierer betydelig mellom utviklingslandene, vil det bli sentralt hvilke land som får tollfrihet for hvilke produkter i den nye GSP-ordningen.

Forøvrig konkluderer rapporten med at:

Importvernet for jordbruksvarer som konkurrerer med norsk produksjon vil, dersom det ikke gis tolllettelser etter i kraftredelsen av den nye GATT-avtalen, gi så sterk beskyttelse at det i praksis blir ingen eller svært lav import. En rekke vanlige jordbruksprodukter for konsum, fôrprodukter og bearbeidede jordbruksvarer vil få prohibitive tollsatser.

En videreføring av dagens GSP-ordning med full tollfritak for alle varer fra MUL og for visse varer angitt i en egen liste for ØUL vil gi styrkede preferanser, og ha betydelige konsekvenser for norsk import fra utviklingsland. Endringen vil bli særlig stor for fôr, grønt, frukt, korn og bearbeidede varer som ØUL i dag har tollfritak for. For ubearbeidet kjøtt vil videreføring av dagens GSP-ordning neppe føre til økt import. Årsakene er at ØUL i dag ikke har tollfrihet for kjøtt og at MUL på kort sikt har begrenset potensial for eksport av kjøtt. Forøvrig vil tollfritak for import av fôrprodukter fra utviklingsland dempe kostnadsnivået for norske kjøttprodusenter og dermed stimulere norsk kjøttproduksjon.

Fordi en videreføring av den nåværende GSP-ordningen har store konsekvenser for norsk landbruk er det aktuelt å vurdere andre utforminger av ordningen. I rapporten drøftes tre varianter av den framtidige GSP-ordningen for de tre hovedgruppene av jordbruksvarer:

  • Full tollfrihet for alle utviklingsland eller en gruppe av utviklingsland

  • En generell tollfrihet på 50 prosent

  • Full tollfrihet innenfor kvotene som tilsvarer opprettholdelse av eksisterende markedsadgang.

Full tollfrihet for alle utviklingsland vil gi dramatiske effekter for import og norsk produksjon av jordbruksvarer og forutsettes derfor ikke å være en aktuell ordning. En variant vil være full tollfrihet for alle jordbruksvarer til en gruppe utviklingsland. Dersom for eksempel MUL får full tollfrihet, mens ØUL betaler vanlig toll blir utslagene med unntak for fôrprodukter på kort sikt rolig relativt små for de fleste jordbruksvarene.

En generell tollfrihet på 50 prosent, dvs. at tollsatsene for utviklingsland settes lik 50 prosent av normal tollsats for alle utviklingsland, vil for de fleste produktene gi moderate effekter på import og produksjon i Norge. For noen produkter vil importen ikke endres. Årsaken til det er at tollsatsene i utgangspunktet er satt svært høyt.

Kvotene for opprettholdt markedsadgang representerer norsk import på 1986-88 nivå. Tollfrihet innenfor disse kvotene kan derfor i de fleste tilfellene brukes til å vri importen bort fra industriland over til utviklingsland uten å forstyrre norsk produksjon.

Hvilke land som får fullstendig eller delvis tollfrihet, og for hvilke produkter blir som tidligere nevnt et sentralt spørsmål i utformingen av GSP-ordningen. Dersom bare MUL får betydelige tollpreferanser vil på kort sikt virkningene bli små for import av jordbruksprodukter fra utviklingsland. MUL har lite eksportpotensial for de fleste av varegruppene hvor Norge får høye tollsatser med den nye GATT-avtalen. Kvalitetskrav og dårlig fungerende distribusjonssystemer vil også begrense eksporten til Norge. Det finnes imidlertid enkelte unntak, dvs. varer der import fra MUL ventelig vil øke som følge av tollfritak. Eksempler på slike unntak er fôrprodukter fra afrikanske land samt enkelte bearbeidede jordbruksvarer. På lengre sikt har MUL trolig et noe større eksportpotensial. Forøvrig har det stor betydning for Norges import av jordbruksprodukter i hvilken grad ØUL får tollfrihet i den nye GSP-ordningen.

Fordi en ny GSP-ordning for jordbruksprodukter først vil foreligge etter januar 1995, har regjeringen foreslått en midlertidig GSP-ordning til den nye er på plass i Finansdepartementet (1994). I denne ordningen kombineres flere av de ovennevnte forhold. Fra og med 1. januar 1995, og til den nye GSP-ordningen er etablert er følgende retningslinjer foreslått:

MUL får full tollfrihet for alle jordbruksvarer unntatt korn, mel og fôrstoffer, som får 50 prosent redusert tollsats.

For ØUL utarbeides en ny positiv liste for tollfri import. Følsomme varer får en tollreduksjon på 50 prosent.

Dersom importen fører til større markedsforstyrrelser, blir det ansett som aktuelt å iverksette sikkerhetsmekanismer for å redusere importen.

Noen sentrale begreper og forkortelser

Ad valorem tollsats

Tollsats i forhold til pris/verdi. Regnes som prosent av importpris før toll.

Bindingsliste

Oversikt over hvert lands forpliktelse m.h.t. tollnivå og vilkår. Norges bindingsliste finnes som vedlegg til Utenriksdepartementet (1994).

Bundne tollsatser

Tollsatser som vil gjelde etter nedtrappingsperioden.

Eksisterende markedsadgangkvoter

Eksisterende markedsadgang forutsettes opprettholdt, dvs. at importen ikke skal reduseres i forhold til en 3-årig basisperiode (1986-88). Innenfor disse kvotene gjelder de bundne tollsatsene fra første dag.

FAO

Food and Agriculture Organisation of the United Nations.

GATT

General avtalen for toll og handel.

GSP

General System of Preferences (tollpreferansesystem overfor utviklingsland).

Harmoniserte system

System med koder (varenummer) for ulike produkter i utenrikshandelsstatistikken. (Harmonised Commodity Description and Coding System).

Hs. nr.

Varenummer i det harmoniserte system.

Minimumsmarkedsadgangkvoter

For produkter der det hittil har vært liten eller ingen import opprettes kvoter (3% av innenlandsk forbruk som økes til 5%) med lav tollsats.

MUL

Minst utviklede land.

Prohibitive tollsatser eller handelshindringer

Handelsbegrensende forhold, f.eks. toll, som gjør import ulønnsomt.

Spesifikk tollsats

Tollsats i forhold til mengde (for eksempel per kilo).

Tollekvivalenter

Nye tollsatser (før nedtrappingsperioden) som skal reflektere dagens importvern. I bindingslisten kalles disse basistollsatser.

UL

Utviklingsland.

WTO-avtalen

Multilateral avtale på grunnlag av GATT opprettet i 1994 gjennnom den såkalte under Uruguay-runden. I rapporten benyttes WTO-avtalen som betegnelse både for den totale avtalepakken som ble inngått og for avtalen om landbruksprodukter som er en del av den samlede pakken.

WTO

World Trade Organisation (Verdens Handelsorganisasjon).

ØUL

Utviklingsland som ikke er MUL.

6.2 Uruguay-runden og Norges tilpasning

Uruguay-runden om reforhandlingene av GATT-avtalen starten 1986. Uruguay-runden, som er den åttende forhandlingsrunden, omfatter utviklingsland i større grad enn i tidligere forhandlingsrunder. De viktigste resultatene fra Uruguay-runden er:

Jordbruk : Friere handel med jordbruksvarer.

Tekstiler : Multifiberavtalen (MFA) avvikles innen 10 år.

Tjenester : Tjenester blir i større grad integrert i GATT-regelverket.

Tariffisering : Overgang fra øvrige ikke tollmessige handelshindre til tollsatser som skal reduseres gradvis.

Verdens Handelsorganisasjon : Opprettelse av Verdens Handelsorganisasjon (WTO) med nye tvisteløsningsmekanismer m.v. Dette innebærer færre unntaksbestemmelser og tolkningsmuligheter, samt mekanismer som styrker beslutningsfatningen og dermed en mer konsekvent oppfølging av regelverket.

Den nye GATT-avtalen ble undertegnet på et ministermøte i Marrakech i Marokko 12. - 15. april 1994. Avtalen som nå er ratifisert i en rekke land vil gjelde fra januar 1995. Utenriksdepartementet (1994) og Finansdepartementet (1994) gir en oversikt over avtalen og Norges tilpasning.

Foruten tariffiseringen er det fire hovedelementer i den nye GATT-avtalen som får direkte konsekvenser for handelen med jordbruksprodukter:

Tollnedtrapping : Tollsatsene på jordbruksvarer skal i gjennomsnitt reduseres med 36 prosent over en seksårsperiode.

Minimums markedsadgang : Krav om tvungen minimumsimport og videreføring av eksisterende markedsadgang for import.

Nedbygging av innenlands støtte : Reduksjon på 20 prosent i handelsvridende innenlands støtte over seks år.

Nedbygging av eksportsubsidier : Reduksjon på 36 prosent i eksportsubsidier og 21 prosent i subsidierte eksportkvanta over seks år.

Omlegging av det norske importvernet

Den nye GATT-avtalen, heretter kalt WTO-avtalen, vil føre til en omlegging av det norske importvernet for jordbruket ved at man fjerner importvern i form av kvoter (mengderegulering). Det nye importvernet skal baseres på tollsatser som skal reduseres gradvis. Dette innebærer blant annet et absolutt forbud mot et kvantitativt importvern som kvoter og importforbud, variable importavgifter og avtaler om frivillige eksportbegrensninger.

De nye tollsatsene utgjør såkalte tollekvivalenter som skal reflektere dagens importvern og er fastsatt ut fra forskjellen mellom norske priser og prisene på verdensmarkedet i perioden 1986-88. I løpet av seks år fra avtalen trer i kraft skal disse tollsatsene, i bindingslisten kalt basisstollsatser, reduseres med i gjennomsnitt (uveid) 36 prosent for alle jordbruksvarer sett under ett. Ingen tollsats kan reduseres med mindre enn 15 prosent. De nedtrappede tollsatsene kalles heretter bundne tollsatser.

Norge har i likhet med andre land protokollert en bindingsliste med tollsatser, tollsatsreduksjoner og kvoter for minimumsimport og videreføring av eksisterende importmuligheter, se Utenriksdepartementet (1994). Tollsatsene for de viktigste norske jordbruksvarene som melk, kjøtt og frukt vil ligge mellom 200-500 prosent etter implementeringen. For disse varene vil minimumsreduksjonen på 15 prosent bli benyttet over seksårsperioden. Egg får en reduksjon på 20 prosent, mens korn og kraftfôr får en reduksjon på 30 prosent i tollsatsene. For øvrig vil både fôrprodukter og bearbeidede produkter få høye tollsatser etter implementeringen av WTO-avtalen. Varer som ikke konkurerer med norskproduserte varer får de største reduksjonene i tollsatsene (70-100 prosent).

I tillegg til omgjøring fra kvoter til tollsatser som skal reduseres gradvis, får Norge som følge av WTO-avtalen krav om minimumsimport og videreføring av eksisterende importmuligheter. Muligheten til markedsadgang tilsvarende import i perioden 1986-88, skal opprettholdes. I praksis er dette gjort ved å opprette 300 kvoter som tilsvarer importvolumet i denne perioden. For import innenfor disse kvotene benyttes allerede fra implementeringsdatoen de bundne tollsatsene. For produkter med liten eller ingen import skal det fram mot år 2000 opprettes minimumskvoter som tilsvarer 5 prosent av innenlandsk forbruk i basisperioden. Norge får slike minimumsimportkvoter med lave tollsatser for varekategoriene storfekjøtt, svinekjøtt, sauekjøtt, fjørfekjøtt, smør, egg og kål. Tollsatsene som vil brukes for de syv nevnte varekategoriene varierer mellom 60 og 162 prosent, mens importkvotene varierer mellom 0,2 og 1,4 millioner tonn utover dagens importkvantum. De norske minimumskvotene vil være importkvoter, dvs. ikke fordelt på bestemte land.

I følge en analyse av Gaasland (1994), vil det norske importvernet etter implementeringen av Uruguay-runden være svært restriktivt både før og etter nedtrappingsperioden. Årsakene er i følge denne studien at:

  1. De innenlandske prisene som ble benyttet ved utregningen av Norges tollekvivalenter er høyere enn gjennomsnittlige markedspriser i Norge. I tillegg ble det brukt lave anslag for verdensmarkedsprisene.

  2. Tollsatsene reduseres bare med minimumskravet på 15 prosent for de viktigste produktene. Det uveide gjennomsnittet på 36 prosent tilfredsstilles ved at tollsatsene reduseres med mer enn 36 prosent for produkter som ikke produseres i Norge.

  3. Norge kan selv velge spesifikk (per volumenhet) eller prosentvis (ad valorem) tollsats, og kan derfor velge den tollsatsen som gir best beskyttelse i hvert enkelt tilfelle.

  4. Importkvotene med reduserte tollsatser er svært lave. Norge importerer allerede store deler av kvotene på 5 prosent (dette er stort sett varer som ikke produseres i Norge eller jordbruksingredienser i importerte ferdigprodukter).

I kapittel 5 bekreftes punkt 1 ovenfor. I mange tilfeller vil tollsatsene etter 6 år fortsatt være prohibitive, slik at de ut fra kjente verdensmarkedspriser effektivt vil hindre import av jordbruksprodukter. Det må i midlertid tas visse forbehold om at prisvariasjoner periodevis kan gi andre effekter. Når det gjelder punkt 3 ovenfor fremgår det av Finansdepartementet (1994) at Norge vil ha en tolltariff som primært bygger på spesifikke tollsatser og ikke et alternerende satssystem som omtalt i Utenriksdepartementet (1994).

Reduksjon av innenlandsk jordbruksstøtte

Jordbruksstøtte er fordelt på gule, grønne og blå støtteordninger. Det er først og fremst gul støtte som skal reduseres som følge av WTO-avtalen. Gul støtte består av handelsvridende støtteordninger som inkluderer skjermingsstøtte og direkte tilskudd. Den gule støtten skal beregnes for basisperioden 1986-88 og skal reduseres med 20 prosent fram til 2000. I Norges bindingsliste er den gule støtten beregnet til å være 14.3 milliarder kroner i basisperioden. Den gule støtten skal ikke være høyere enn 11.4 milliarder kroner i 2000.

Grønn støtte har til hensikt å ivareta ikke-økonomiske mål som miljøvern, regionalpolitikk, sosiale hensyn og matvaresikkerhet. Grønn støtte er det ingen reduksjonsforpliktelser på. I 1988 var mer enn 40 prosent av Norges totalstøtte plassert i grønn del.

Blå støtte er støtte til produksjonsbegrensende tiltak. Foreløpig er det ingen forpliktelser på blå støtte.

Nedbygging av eksportstøtte

Eksportstøtte for jordbruksprodukter omfatter først og fremst direkte subsidier fra staten i tilknytning til eksport. Som følge av WTO-avtalen skal eksportstøtten reduseres med 36 prosent og subsidierte eksportkvanta med 21 prosent i forhold til nivået i perioden 1986-90. Norges årlige samlede eksportstøtte skal som en følge av dette reduseres fra 770 til 493 millioner kroner.

6.3 Preferanseordninger for utviklingsland

Tollpreferansesystemer for import fra utviklingsland er innført i en rekke industrialiserte land. Eksport fra utviklingsland til utviklede land under The General System of Preferences (GSP) ble vedtatt fritatt fra bestevilkårsklausulen i GATT under Tokyo-runden som ble avsluttet i 1970.

6.3.1 Fleksibilitet i utformingen av GSP

Praktiseringen av GSP gir betydelig fleksibilitet til den enkelte preferansegiver. Fleksibiliteten er ikke direkte regulert i GATT, men illustreres av etablert praksis. En oversikt over internasjonal praktisering finnes i Utenriksdepartementet (1982) og de endringer som rapporteres i UNCTADs årlige rapporter om GSP-ordningen. Tariffiseringen av det kvantitative importvernet, kan føre til økte ulikheter og variasjon i GSP-systemene, og at enkelte lands ordninger blir brakt inn for WTOs tvisteløsningsorganer.

Fleksibiliteten vedrører følgende områder:

Valg av mottakerland: Ulike givere kan velge å gi preferanser til ulike mottakerland. Selv om UNCTADs liste over 137 utviklingsland og 100 territorier ofte danner et utgangspunkt, har det enkelte giverland en betydelig mulighet til å bestemme hvilke land som skal tildeles preferanser. UNCTADs landliste synes ikke å være bindende.

Valg av varegrupper : Det enkelte giverland velger suverent sin vareliste. Varelisten kan være forskjellig for ulike eksportland, slik tilfellet er for Norge (se avsnitt 3.2).

Valg av preferansegrad : Giverlandene velger også fritt grad av handelspreferanse, for eksempel grad av tollreduksjon, omfang av preferansekvoter m.v. Enkelte land kan ha full tollfrihet, mens andre land har delvis tollfrihet eller kvantumsbegrenset tollreduksjon. Ekstra fortjeneste som skyldes knapphet på tollkvoter kan forbeholdes importør i giverlandet, ved importkvoter ellers tilføres eksportører eller kvoteforvaltere i eksportlandet ved eksportkvoter. Det er usikkert om Norge i dag, på basis av WTO-avtalen, kan fordele minimumskvotene på eksportland. USA tok inn slike klausuler i sine tilbud, og kan derfor gjøre dette. Norge har imidlertid ikke protokollert en slik rett. Gjennom utformingen av GSP-ordningen er det likevel sannsynlig at en landfordeling ut fra reelle utviklingshensyn kan gjennomføres.

Valg av opprinnelsesregler : Opprinnelsesreglene skal sikre at preferanseordningen kommer de prefererte land til gode. Utformingen av opprinnelsesreglene kan påvirke preferanselandenes incitamenter til å videreforedle egen produksjon, videreforedle importerte råvarer.

Anvendelse av sikkerhetsventiler : Alle land kan innføre importovervåking gjennom lisensiering, eller trekke tilbake innrømmelser gitt under GSP-systemet, uten særskilt begrunnelse.

Endringer i GSP systemet skal alltid notifiseres til WTO. Endringene krever ingen forhåndsgodkjenning, men de kontraherende parter har anledningen til å klage en endring inn for GATT/WTO. Egenskapen vil så bli gjenstand for prøving ut fra spesifikke GATT-kriterier om ikke-diskriminering og mest-begunstigelse for alle kontraherende parter. Dersom en regel i et lands GSP-ordning fører til unødige avvik fra disse kriteriene, kan regelen bli funnet i strid med GATT.

6.3.2 Norges GSP-ordning

Det norske tollpreferansesystemet for import fra utviklingsland ble innført i 1971. Varer kan falle utenfor GSP-ordningen dersom de ikke tilfredsstiller kravet til opprinnelse. Det kan for eksempel skje på grunn av delvis foredling av et produkt i et land som ikke har tollfrihet. Den nåværende norske GSP-ordningen differensierer både mellom land og produkter. Alle varer som har opprinnelse i MUL får GSP-behandling. Andre utviklingsland får GSP-behandling for alle varer unntatt fottøy, visse teko-produkter og for visse varer angitt i en egen liste. Enkelte industrivarer fra noen utviklingsland omfattes ikke av GSP. Tabell 5.1 gir en oversikt over hvilke jordbruksprodukter ØUL i dag har tollfrihet for.

Av tabell 6.1 fremgår at ØUL i dag får tollfrihet for en rekke produkter. Produkter som mangler på listen og som det derfor ikke er tollfritak for i dagens GSP-ordning er blant annet en rekke kjøtt og kjøttprodukter, meieriprodukter og kornsorter som også produseres i Norge. GSP-importen har imidlertid vært underlagt det generelle importforbudet som gjelder for jordbruksvarer. Tollpreferansene under GSP har derfor bare vært reelle i de tilfeller det har vært åpnet for import.

I tillegg til GSP-ordningen har Norge enkelte importkvoter forbeholdt utviklingsland. Disse importkvotene som gjelder kjøtthermetikk (tunge, skinke og corned beef) og hermetiske grønnsaker (erter, snittebønner, brekkbønner og grønnsakblanding). Disse kvotene ble innført som en prøveordning i 1992. Lovligheten av kvotene er tvilsom i det de strider mot GATTs prinsipp om å unngå kvantitative handelsrestriksjoner. Disse ulands-spesifikke importkvotene er imidlertid aldri blitt klaget inn for GATT. Importkvotene vil bli gjort GATT-konforme og innordnes i den nye GSP-ordningen.

Fordi en ny GSP-ordning for jordbruksprodukter først vil foreligge etter januar 1995, har regjeringen foreslått en midlertidig GSP-ordning til den nye er på plass. Fra og med 1. januar 1995, og til den nye GSP-ordningen er etablert er følgende retningslinjer foreslått se Finansdepartementet (1994):

Tabell  Tabell 6.1 Tollfrihet under nåværende GSP-ordning for ØUL, jordbruksvarer

Vare-gruppe:Hs. nr.:Produkt:
02:Kjøtt0208Froskelår
04:Meieriprodukter0407 og 0409Egg, unntatt hønseegg og naturhonning
05:Produkter av animalsk opprinnelse0503/0505/0508/0511Div. produkter, eks. fjær og dun
06:Planter og blomster0601-0604Alle løker, planter og blomster
07:Grønnsaker0701-0712 og 0714Alle grønnsaker unntatt tørkede, avskallede, skrelte og splittede belgfrukter
08:Frukter og nøtter0801-0814Alle frukter og nøtter
09:Kaffe, te, maté og krydder0901, 0903, 0909-0910Kaffe, maté og noen krydderslag
10:Korn1006 og 1008Kun ris og bokhvete, hirse og kanarifrø
11:Mølleprodukter1106-1107 og 1109Kun visse typer mel
12:Oljeholdige frø og frukter1209-1210Kun visse typer oljeholdige frø og frukter
13:Skjellakk o.l.1302Vegetabilske safter og ekstrakter
15:Animalske og vegetabilske olje og fettstoffer1505-1506, 1508-1511, 1513, 1515-1516, 1518-1519Visse oljer og fettstoffer. Eksempler: Kokosolje, maisolje, jordnøttolje og olivenolje
17:Sukker og sukkervarer1701-1702 og 1704Alt unntatt melasse fremstilt ved utvinning eller raffinering av sukker
18:Kakao og kakaoprodukter1805-1806Kakaopulver og sjokolade
19:Produkter av korn mel, stivelse eller melk1901-1902, 1904-1905Alt unntatt tapioka og tapiokaerstatninger
20:Produkter av grønnsaker, frukter, nøtter og planter2001-2009Alle produkter, eksempler: Tomatpuré, konserverte grønnsaker, syltetøy og frukt- og grønnsaksafter
21:Tilberedte næringsmidler2101-2106Alle produkter, eksempler: Ekstrakter, gjær, sauser, majones, suppe, iskrem, drops og tyggegummi
22:Drikkevarer, sprit og eddik2201-2204, 2208-2209Vann, mineralvann, øl, noe vin og brennevin samt eddik
23:Reststoffer og avfall2309Hundemat, kattemat, fiskefôr og fuglemat
24:Tobakk og tobakksvarer2402Sigarer, cerutter, sigarilloer og sigaretter

Kilde: Kilde: Utenriksdepartementet (1992b)

  • MUL får full tollfrihet for alle jordbruksvarer unntatt korn, mel og fôrstoffer, som får 50 prosent redusert tollsats.

  • For ØUL utarbeides en ny positiv liste for tollfri import. Følsomme varer får en tollreduksjon på 50 prosent.

Dersom importen fører til større markedsforstyrrelser, anses det som aktuelt å iverksette sikkerhetsmekanismer for å redusere importen.

6.4 Utviklingslandenes potensial for eksport av jordbruksprodukter

6.4.1 Eksport til verdensmarkedet

Jordbruksvarer er viktig eksportvare i en rekke utviklingsland. Jordbruksprodukter utgjør 25 prosent av eksporten fra Latin Amerika, 16 prosent fra Afrika og 9 prosent fra Asia. Gjennomsnittet for hele verden er vel 12 prosent. Mens i underkant av 9 prosent av arbeidsstyrken er sysselsatt i jordbrukssektoren i Vest-Europa, er de tilsvarende tallene for Latin Amerika 25 prosent, for Afrika 67 prosent og 58 prosent for utviklingslandene som helhet.

Tabell  Tabell 6.2 Utviklingslandenes andel av verdens eksport av jordbruksvarer, hovedgrupper etter det Harmoniserte System 1990/92

Hs. nr.:HovedvaregruppeEksportandel, utviklingsland i prosent
02Kjøtt16
04Meieriprodukter2
05Animalske produkter*
06Planter og blomster27
07Grønnsaker31
08Frukt og nøtter41
09Kaffe, te, maté og krydder80
10Korn17
11Mølleprodukter26
12Oljeholdige frø og frukter30
13Skjellakk o.l.*
15Animalske og vegetabilske olje og fettstoffer43
17Sukker og sukkervarer63
18Kakao og kakaoprodukter23
19Produkter av korn, mel, stivelse eller melk*
20Produkter av grønnsaker, frukter, nøtter og planter34
21Tilberedte næringsmidler11
22Alkohol og ikke alkoholholdige drikkevarer6
23Dyrefôr40
24Tobakk og tobakksvarer22

HS-nr. er varenummer i det Harmoniserte system.

* = Ikke oppgitt

Note: Data fra 1990 for varegruppe 06-08 og 21-24, 1991 for varegruppe 10-11 og 1992 for alle øvrige varegrupper. For noen av varegruppene er det brukt approksimasjoner.

Kilde: Kilde: FAO (1992), UNCTAD (1993), UNCTAD (1994), UN (1992).

Figur 6.1 Figur 6.1 Utviklingslandenes andel av hele verdens eksport av noen viktige
 varer, 1992

Figur 6.1 Figur 6.1 Utviklingslandenes andel av hele verdens eksport av noen viktige varer, 1992

Tabell 6.1 viser eksportandeler for hovedgrupper av jordbruksvarer etter det Harmoniserte System. For samtlige varegrupper, unntatt meieriprodukter er eksportandelen høyere enn 5 prosent. Utviklingslandene har store eksportandeler for flere av varegruppene. Særlig for varegruppe 09 (kaffe, te, maté og krydder) og 17 (sukker og sukkervarer) er eksportandelene store. Fore varegruppene 08 (frukt og nøtter), 15 (animalske og vegetabilske oljer og fettstoffer), 07 (grønnsaker), 23 (dyrefôr) og 20 (produkter av grønnsaker og frukter) har utviklingsland en eksportandel på mer enn 30 prosent.

Figur 6.1 viser eksportandeler fra MUL, Kina, India og andre utviklingsland som andel av hele verdens eksport for noen viktige jordbruksprodukter innenfor varegruppene i tabell 4.1. Utviklingsland stod for mere enn halvparten av verdens eksport av kokosolje, bananer, te, kaffe, krydder, kakao, sukker og ris. MUL utgjorde relativt små andeler av verdenseksporten for de fleste av produktene. Unntak er krydder, kaffe, te, jordnøtter og oksekjøtt der eksport fra MUL utgjør mellom 0,5 og vel 8 prosent av verdens eksport.

Både Kina og India har betydelige andeler av verdensmarkedseksporten for te, krydder og ris. Kina har i tillegg stor eksport av grove kornsorter, soyabønner, jordnøtter og sukker. Med unntak av jordnøtter, er det imidlertid andre utviklingsland enn MUL, Kina og India som står for alt det vesentligste av u-landseksporten av varene i figur 6.1.

Figur 6.2 Figur 6.2 Andel av ulike jordbruksprodukter som Norge importerte fra
 utviklingsland i 1992, prosent

Figur 6.2 Figur 6.2 Andel av ulike jordbruksprodukter som Norge importerte fra utviklingsland i 1992, prosent

6.4.2 Eksport til Norge

Figur 6.2 viser andeler av total import av ulike jordbruksprodukter som Norge importerte fra utviklingsland i 1992. Jordbruksimporten fra utviklingsland er dominert av varer som jordbruket i Norge ikke kan produsere som for eksempel kaffe, te, kakao og krydder. Forøvrig er mindre enn 2 prosent av norsk u-landsimport av jordbruksprodukter fra MUL. Import av jordbruksprodukter fra MUL til Norge er først og fremst kaffe fra Etiopia og Uganda, tobakk fra Malawi og Tanzania og storfekjøtt fra Botswana.

En sammenligning av tabell 6.1 og figur 6.2 indikerer et delvis sammenfall mellom det utviklingslandene eksporterer til verdensmarkedet generelt og eksport til Norge spesielt. Norge importerer imidlertid relativt mindre av en rekke av varegruppene fra utviklingsland enn det utviklingslandenes andel av verdensmarkedets eksport isolert skulle tilsi. Dette gjelder i særlig grad for sukker og sukkervarer, dyrefôr, kaffe, te, kakao, oksekjøtt, oljefrø og oljeholdige frukter.

6.4.3 Langsiktig potensial for eksport fra de minst utviklede landene

I dette kapitlet identifiseres eksportpotensial for jordbruksprodukter fra verdens fattigste land ved å se på produksjonssiden. Drøftingen er konsentrert om de landene som regnes med blant de minst utviklede land (MUL) eller land med særlig lav velferd. Betydelige jordbruksland som ikke regnes blant MUL som Kina, India og Nigeria vil også bli omtalt.

Hovedkonklusjonen nedenfor er at det er begrensede muligheter for at tollpreferanser for import av jordbruksprodukter fra verdens fattigste land raskt vil kunne gi store utslag for norsk import. Slike preferanser kan imidlertid, dersom de praktiseres av et tilstrekkelig antall land, skape betydelig markedstilpasning og eksportorientering for MUL på lengre sikt.

Blant jordbruksprodukter med vesentlig tollbeskyttelse i Norge, vil bearbeidede kjøttvarer, grønnsaker, frukt og fôrprodukter være de mest aktuelle eksportproduktene for utviklingsland. Kina og India kan på kort sikt levere en rekke produkter. I tillegg vil enkelte Afrikanske land som Nigeria og Kenya trolig kunne levere ulike typer frukter og grønnsaker. For fôr vil trolig flere land blant MUL kunne forsyne det norske markedet.

Potensialet for eksport av jordbruksprodukter fra MUL er betydelig større på lang sikt fordi:

  1. Viktige langsiktige forutsetninger er tilstede for økt handel med jordbruksprodukter mellom industriland og fattige utviklingsland.

  2. Naturlige handelsbarrierer vil begrense reaksjoner på tilbudssiden i de fattigste landene dersom det bare er Norge som innfører en særlig gunstig preferanseordning.

  3. De kortsiktige virkningene ved en særlig gunstig preferanseordning i Norge vil først og fremst kunne bestå i at allerede eksisterende eksport overføres fra andre markeder til Norge.

Konklusjonene er basert på tilgjengelig produksjonsstatistikk og enkelte beskrivelser av utviklingsprosesser i landbrukssektoren. Det hefter betydelig usikkerhet ved konklusjonene blant annet på grunn av:

  • Produksjon og avlinger er utsatt for stor usikkerhet (værforhold, krig etc.). Observerte endringer i produksjonstall kan derfor gjenspeile helt andre forhold enn underliggende dynamikk i jordbrukssektoren.

  • Ulike naturlige og tekniske handelsbarrierer spiller en stor rolle for handelen med jordbruksprodukter. Det å overkomme slike barrierer innebærer betydelige investeringer. Når en tilfredsstillende logistikk-løsning først er etablert, eller de veterinære forhold er godkjent av en gruppe industriland, kan endringer i handelsmønstrene trolig skje raskt. Slike endringer er vanskelige å forutse.

  • Kildematerialet for de fattigste landene er ufullstendig.

Denne usikkerheten er det forsøkt tatt hensyn til ved å påpeke muligheter mer enn forventninger.

Viktige muligheter for eksport

Underernæring fortsetter å utgjøre en hovedhindring for utvikling av jordbruksvareeksport fra de fattigste land. Det er likevel en økende erkjennelse av at en eksportorientert jordbruksutvikling kan være en forutsetning for en generell heving av levestandarden i disse landene. Tre hovedargumenter ligger bak denne erkjennelsen:

  • Underernæringsproblemet skyldes fattigdom. Fattigdom fører til en jordbruksøkonomisk ond sirkel der etterspørselen er utilstrekkelig for å gi utviklingsincentiver til landbruket. En voksende lokal befolkning møtes derfor med mer intensivt tradisjonelt landbruk. Utviklingen utarmer miljøet og produksjonsmulighetene.

  • Eksportorientert landbruk gir utviklingsincitamenter. Verdiskapningen i landbruket kan i mange tilfeller økes vesentlig ved orientering mot markedene i industriland. Viktige eksempler i denne sammenheng er hagebruksprodukter basert på kontraktsproduksjon i Kenya. Betalingsevnen for importerte basismatvarer styrkes gjennom eksport av slike høyverdiprodukter.

  • Eksportorientert landbruk er i tråd med ønskene om diversifisering av hensyn til miljø og bærekraft på lang sikt. Historisk har kolonialisering og produksjon for eksport ofte medført ensidige produksjonsmønstre. Ett eksempel er den ensidige satsingen fra rundt 1920 på bomullsproduksjon i Gezira området i Sudan. På grunn av økende handelsstrømmer og bedre logistikk-løsninger er det i dag større muligheter for en variert eksportorientert produksjon enn det var tidligere.

  • Den potensielle tilpasningsevne på tilbudssiden i MUL, illustreres ved utviklingen over de siste 10 år:

Figur 6.3 Figur 6.3 Utvikling i produksjon av ulike jordbruksvarer i ulike perioder.
 93 utviklingland, prosentvis årlig vekst. (Andel av produksjonsverdi
 1988/90 i parentes).

Figur 6.3 Figur 6.3 Utvikling i produksjon av ulike jordbruksvarer i ulike perioder. 93 utviklingland, prosentvis årlig vekst. (Andel av produksjonsverdi 1988/90 i parentes).

Vekstratene for jordbruksproduksjonen i utviklingsland er noe fallende, men fortsatt høye (figur 6.3). Det er først og fremst produktivitet og ikke økt areal som nå gir grunnlag for produksjonsøkning.

For enkeltvaregrupper observeres stor variasjon i endringsrater for nasjonal produksjon. Varegrupper med sterkest produksjonsvekst i Asia og Afrika er: Tomater (Afrika syd for Sahara, India, Vest Afrika), jordbær (foreløpig Nord Afrika, i liten grad de fattigste landene), plommer (Kina, India), hvete (Zambia, Sudan, Nigeria), kjøtt av fjørfe og hønseegg (India, Kambodsja, Kamerun, Laos, Kina, Vest Afrika), Svinekjøtt (Nigeria, Kambodsja, Uganda).

Prioriteringen av fattigdomsproblemet og en diversifisert, mer miljøvennlig landbruksproduksjon, tilsier derfor økte muligheter for markedsintegrasjon og eksport. WTO-avtalen vil i tillegg føre til en reduksjon av enkelte eksportbegrensende tiltak i utviklingsland som også vil forenkle markedsintegrasjonen. Til tross for at handelsbalansen for utviklingslandenes totale handel med jordbruksprodukter har vist et stadig synkende overskudd og sannsynligvis vil vise underskudd i nær framtid (figur 6.4), betyr de ovennevnte forhold at en sterkere handelsmessig integrasjon med økte varestrømmer i begge retninger, vil være sannsynlig.

Figur 6.4 Figur 6.4 Utviklingslandenes handelsbalanse for jordbruksprodukter.
 Volumindeks (1979/81=100) og løpende verdier.

Figur 6.4 Figur 6.4 Utviklingslandenes handelsbalanse for jordbruksprodukter. Volumindeks (1979/81=100) og løpende verdier.

Begrenset potensial på kort sikt

Hittil har den sterkeste veksten i eksport av jordbruksvarer fra utviklingsland skjedd fra middels fattige land, særlig i Nord Afrika, Amerika og Syd-Øst Asia. De fattigste landene har vist liten eksportvekst. Det kortsiktige potensialet for vesentlig økt eksport fra de fattigste utviklingslandene som følge av importpreferanser i enkelte industriland, må, med få unntak, anses for å være meget begrenset. De viktigste begrensende faktorer er beskrevet nedenfor.

  • Phyto-sanitære restriksjoner har relativt stor betydning for MUL på grunn av større sårbarhet for sykdommer. Dette skyldes ensidige driftsformer og mangel på veterinærmedisinsk kapasitet. Særlig for husdyr og rotvekster vil historiske sykdomsforløp kunne hindre eksport i mange år etter siste konstaterte sykdomstilfelle. For ubearbeidede produkter forutsettes som regel en forhåndsgodkjenning av leverandørlandet gjennom inspeksjon og undersøkelser i landet. En slik prosedyre er tidkrevende, og stiller store krav til eksportørlandenes kontroll- og rapporteringsevne.1 ) 1

  • Det stilles store krav til infrastruktur og økonomisk utvikling. De fleste produkter utenom korn og fôrprodukter i bulk krever kontrollerte temperaturer og tidsfølsom transport. Mange av de fattigste afrikanske landene mangler adkomst til havner. For ferskvarer av høy verdi forutsettes flytransport, effektive terminaler og lastehåndteringssystemer. Grunnlaget for de nødvendige investeringer er mangelfullt i de fleste minst utviklede landene. I Kenya har dette ført til at relativt store områder er blitt stilt til rådighet for utenlandske selskaper, og at handelsselskaper har tilbudt leveringskontrakter og forsyning av innsatsvarer som avlaster produsentene for tilnærmet all prisrisiko2 ) 2 . Politisk ustabilitet hindrer fremvekst av slike driftsformer i mange av de aktuelle landene.

  • Eksport av høyverdiprodukter er følsom for alternative logistikk løsninger. For ferskvarer vil flytransport eller spesielle intermodale transportløsninger være nødvendig. Et eksempel er intermodal transport av ferskvarer i container fra Nord Afrika til Italia, hvorfra enkeltcontainere spres med det Europeiske jernbanenettet. Direkte transport er viktig og kan redusere transportkostnaden med 50 prosent, dvs. 25 prosent av verdi inkl. frakt. For import til et så begrenset marked som det norske kan dette være vanskelig å oppnå.

  • Spesielle forhold i Afrika syd for Sahara og Syd-Asia gir ytterligere begrensninger på muligheten for eksport på kort sikt:

Figur 6.5 Figur 6.5 Underernæring i utviklingsland. Andel av befolkningen som
 lider av underernæring i prosent.

Figur 6.5 Figur 6.5 Underernæring i utviklingsland. Andel av befolkningen som lider av underernæring i prosent.

I Afrika sør for Sahara er underernærings- og fattigdomsproblemet størst og mest varig (figur 6.5).

Kina er et dynamiske jordbruksland. Økningen i jordbruksproduksjonen dekker et bredt spekter av produkter. Siden etterspørselsveksten i resten av Fjerne Østen er sterk, og økonomisk vekst i resten av regionen i stor grad er basert på industrialisering og import av jordbruksprodukter, er det sannsynlig at Kinas handel i hovedsak vil bli regional.

For tre land i Syd-Asia, alle med et vist produksjonspotensial; Kambodsja, Laos og Afganistan , er mangel på politisk stabilitet et hinder for utvikling av landbruksproduksjon for eksport. På lengre sikt er det imidlertid sannsynlig at disse landene vil markere seg i handel med jordbruksprodukter, i likhet med f.eks. Thailand og Vietnam.

Naturlige handelshindringer og regionale forhold tilsier derfor at eksportpotensialet er begrenset på kort sikt. I tillegg er det muligheter for økt eksport av produkter som ikke truer norsk produksjon direkte, og som derfor ikke er belagt med toll som eksotiske frukter og grønnsaker. En stor andel av eksporten i land som Chile, Kenya og Thailand er slike produkter.

For å overkomme de langsiktige hindringene mot eksport forutsettes sterke incitamenter. Preferanser bare i Norge vil først og fremst kunne ha effekt der det allerede finnes tilgjengelig produksjon, konkurransedyktige logistikkløsninger og akseptable hygieniske forutsetninger. For å virkeliggjøre det langsiktige potensialet,

Tabell  Tabell 6.3 Viktige jordbruksland og produktområder i vekst. Beskrivelse for utvalgte land og varer. Samlet vekst i prosent 1979/81-19901 )

ProdusentlandProdukt grupper
Svine kjøtt 3)Kjøtt av fjørfe 4)Storfe kjøtt 5)Hønse-egg 6)Jord-bær 7)Tomater 8)Hvete 9)Andre viktige produkter
Afrika totalt827115517318049
Asia totalt9711274113337558
Kina1351355552022)3670Sauekjøtt 174Plommer 160Pærer 75
India122404411022659Plommer 92
Senegal17510097235Hestekjøtt 70
Nigeria350-3566320
Uganda26555-1251Poteter 65
Kampuchea24317082159
Sudan441975340
Madagaskar3365848Havre 60
Poteter 60
Tanzania725442
Kenya5018111Hagebruks-produkter
Niger110-5540
Zambia54143590
Etiopia13-291144Havre 75

1) Kun land med signifikant produksjon er medregnet.

2) Kina har betydelig produksjon av jordbær i 1992, men vekstraten kan ikke beregnes.

3) Andre land med sterk økning i svinekjøttproduksjonen er Togo (270%), Angola (46%) og Mosambik (40%).

4) Andre land med sterk økning i fjørfekjøttproduksjonen er Mali (118%), Laos (135%) og Kamerun (140).

5) Andre land med sterk økning i storfekjøttproduksjonen er Kamerun (62%), Tsjad (123%) og S.Afr.Rep. (105%).

6) Andre land med sterk økning i hønse-eggproduksjonen er Benin (128%), Burkina Faso (116%) og Guinea (96%).

7) I tillegg har land i Nord-Afrika og Kenya hatt betydelig økning i jordbærproduksjonen.

8) Andre land med sterk økning i tomatproduksjonen er Elfenbenkysten (170%), Benin (91%) og Kamerun (45%).

9) I tillegg har Bangladesh hatt en vesentlig økning i hveteproduksjonen (33%).

Kilde: Kilde: FAO (1992)

har eksklusive norske preferanser liten betydning, preferanseordninger som omfatter større markedsområder er nødvendig. Under slike forutsetninger det sannsynlig at produksjonen i de fattigste landene vil tilpasse seg eksportmulighetene.

Tabell 6.3 viser produksjonsendringer for viktige jordbruksland. Landvise vekstrater for ulike produktgrupper gjengis for tiåret 1979/81-1992. Utvalget av varegrupper og land følger kriteriene: (1) høy importbeskyttelse i Norge, (2) betydelig produksjonsvolum og (3) høy vekstrate i produksjonen. Det fremgår at de generelt mest dynamiske jordbrukslandene er Kina, India, Senegal, Nigeria, Kambodsja, Uganda. I tillegg har Sudan, Madagaskar, Kenya og Zambia en relativt bred basis for sin jordbruksøkonomi, med vekst for et bredt sett av varer. Tanzania, Niger og Etiopia er også land som har vesentlig betydning i landbrukssammenheng.

De vesentlige fremskritt som er oppnådd i produksjonen, møter imidlertid betydelige hindringene for eksport. Tabell 4.3 oppsummerer både stimulerende og begrensende faktorer for eksport til vest-europeiske markeder for enkelte produktgrupper og land.

De oppnådde vekstratene for produksjon av viktige varer, indikerer at flere land allerede har en relativt dynamisk tilbudsside for produkter av vesentlig betydning for Norge. Phytosanitære restriksjoner og logistikk slår imidlertid ulikt ut for enkeltvarer. Ferskt kjøtt og rotvekster er sterkt utsatt for slike begrensninger, mens konserverte produkter og noen kornsorter vil møte mindre alvorlige restriksjoner.

Som det fremgår av tabell 6.4 er de viktigste potensialer for eksport konsentrert om produkter som hygienemessig er relativt ukompliserte. Dette gjelder jordbær, tomater, plommer, fôrprodukter og konserverte produkter. De mest aktuelle leverandørland er Kina, India, Kenya og enkelte land i Afrika syd for Sahara.

Tabell  Tabell 6.4 Eksportpotensial til Vest-Europa fra afrikanske og asiatiske land: Stimulerende og begrensende faktorer

VaregruppeLandPotensialBegrunnelse
Kraftfôr; f.eks. maisgrits, benmelDiverse MUL og ØULBegrensetBetydelig maisproduksjon og kvegsektor i Afrika syd for Sahara, men phyto-sanitære begrensninger er viktige. Benmel vil kunne innebære samme smittefare som kjøtt. Fare for salmonellainfeksjon. Fraktes i bulk.
Kraftfôr: f.eks. rismel, jordnøttmel, kokosmel, sitruspulp, kassavaDiverse MUL og ØULBetydeligBetydelig produksjon. Zaire har over ti prosent av verdensproduksjonen av kassava, Sudan og Zaire ca. tre prosent tilsammen av jordnøtt-produksjonen. Også disse produktene vil måtte kontrolleres for infisering av last, men de antas å være noe mindre risikable enn andre produkter. Fraktes i bulk.
Kjøtt fersktGenerelt (stor kvegsektor i Afrika syd for Sahara, økende produksjon av svinekjøtt)LiteStrenge veterinærbestemmelser. Særlig Afrika har en stor sykdomsbelastning. Gir lite effektiv utnyttelse av karbohydrater i fôringen, forutsetter konkurranseevne på fôrsiden (ofte mer rasjonelt å eksportere fôr enn kjøtt. Eksport forutsetter industrielt husdyrhold for de fleste slag utenom kveg, og effektiv slakterivirksomhet og logistikk.
Kjøtt konservertGenereltMuligEnklere veterinær-kontroll (engangsgodkjennelse og stikkprøver), enkel industrialisering og enkel logistikk.
Kjøtt genereltKinaLite (fjørfe, svin, sau)Sterkt voksende hjemmemarked, kjøtt er inntektselastisk. Dessuten er det sterk ekspansjon i nærliggende importmarkeder.
IndiaMulig (bearbeidet, fjørfe, svin)Enkel industrialisering nødvendig. Nærmere Europa.
Senegal, Nigeria, UgandaMulig (bearbeidet, storfe, fjørfe)Enkel industrialisering, svak etterspørsel hjemme
EggGenereltLiteVeterinærmessig komplisert. Få aktuelle, enkle bearbeidede former.

Tabell  Tabell 6.5 (forts.) Eksportpotensial i afrikanske og asiatiske land

VaregruppeLandPotensialBegrunnelse
Jordbær friskeGenereltBetydeligHøy betalingsevne, fjernimport vanlig til Europa utenom sesong. Avhengig av effektiv logistikk (flyfrakt), dvs store direkte volumer. Enklere veterinærmessig. Begrenset ekspansjonsevne i Nord Afrika.
KenyaMuligSvært gode resultater med hagebruksprodukter på kontraktsbasis i Kenya. Verdensbankstøttede diversifiseringsprogram.
Sudan, EtiopiaMulig (lang sikt)Stort område i Sudan har høy fruktbarhet (Gezira-området) med sterk og variert vekst. Etiopia bør ha sammenlignbare muligheter med Kenya.
Tomater ferskeGenereltBetydeligHøy betalingsevne, fjernimport mer vanlig til Europa. Avhengig av effektiv logistikk, kan dog skipes. Enklere veterinærmessig. Begrenset ekspansjonsevne i Nord Afrika.
IndiaMuligAvhengig av logistikk.
NigeriaBetydeligProduserer i dag nesten 1 % av verdensproduksjonen.
SenegalBetydeligTransportmessig nærmere enn Nigeria, liten produsent men sterkt voksende.
Sudan, EtiopiaMuligAvhengig av hagebruk forøvrig for å utvikle logistikk og infrastruktur. Henholdsvis noe større og like stor produsent som Senegal.
Tomater, konservertGenereltBetydeligEnklere logistikkmessig og i forhold til plantekontroll og veterinærmessig.
HveteGenereltLiteProduksjon i fattige land kan vanskelig bli konkurransedyktig med produksjonen i i-land og middels utviklede land pga. relativ knapphet på gode arealer og kapital. Komparative fortrinn i ris, mais og bomull.
Plommer, pærer ferskeKinaLiteMer attraktive markeder hjemme og i Fjerne Østen.
IndiaMulig (plommer)Enkelt veterinærmessig. Kan skipes.
Plommer, pærer konservertKina, IndiaBetydeligForskjeller i transportavstand spiller mindre rolle.

Kilde: Kilder: Barghouti et al. (1992), Cleaver (1993), FAO (1992), FAO (1993a).

Vridningseffekter mer nærliggende enn produksjonseffekter

Norske tollpreferanser for MUL vil kunne vri eksisterende vareeksport fra andre markeder over til Norge. Kostnadsulemper ved lengre transportavstander og indirekte frakter vil kunne oppveies av tollpreferanser på flere hundre prosent av verdensmarkedsprisene. For potensielle eksportørland som skal utvikle nye driftsformer og infrastrukturløsninger, kan en norsk preferanseordning imidlertid vanskelig ha noen innflytelse på kort sikt. De forventede effekter kan derfor bli:

  • Eksisterende eksport vris over til Norge som følge av tollpreferanser. For nåværende betydelige eksportørland som f.eks. India og Kina vil preferansene i Norge gi kunne dekke ekstra kostnader ved logistikk etc.:Dersom Kina og India inkluderes, vil import av frukt og jordbær i norsk sesong, når tollen er høy, kunne skje fra Asia. (Jordbær vil trolig også kunne bli importert fra Kenya (ikke MUL), selv om produksjonen her foreløpig er liten).Tomater vil ventelig kunne importeres fra diverse land i Afrika, vest og sør for Sahara og Asia.Bearbeidet kjøtt vil på sikt kunne bli importert fra en del afrikanske land, India og Kina.Fôrprodukter vil kunne importeres fra en rekke lavvelferdsland i Afrika og Asia.

  • Sterke tollpreferanser i Norge alene kan også tenkes å vri noe innenlandsk konsum over til eksport til Norge, siden merverdien er høy. Begrensninger av markedet tilsier imidlertid at varer som lett transporteres og som har enkle phyto-sanitære restriksjoner er mest aktuelle. Man kan derfor ikke se bort fra at også enkeltpartier av f.eks. hvete fra Zambia eller Sudan vil bli importert under en slik ordning.

  • For at det langsiktige utviklings- og produksjonspotensialet skal utnyttes forutsettes varige preferanser som dekker større markeder i industrilandene. Dersom både Norge og andre nord-europeiske land vedtar sammenlignbare, vesentlige preferanser, vil flere land kunne dra nytte av preferanseordningen gjennom endringer i egen landbruksproduksjon. De landene som tilsynelatende ligger best an til å nyttiggjøre seg et slikt regime over tid er:Diverse land i Afrika som Sudan, Etiopia, Nigeria, Senegal, Madagaskar, Tanzania, UgandaEnkelte land i Asia som Laos, Kambodsja og Afghanistan.

For utformingen av Norges GSP-ordning etter gjennomføringen av WTO-avtalen betyr det ovenstående at det bør skilles mellom ordninger som kun har vridningseffekter og de som fremmer ny, konkurransedyktig produksjonsaktivitet. For den økonomiske utviklingen er de kortsiktige vridningseffektene lite interessante. Utviklingsland tilføres lite verdi ved at eksisterende produksjon vris fra konsum i hjemmemarked eller nære eksportmarkeder over til Norge. Dersom eventuelle toll-kvoter er utformet som importkvoter, tilfaller kun en minimal andel av merverdien, som skyldes preferansene, eksportørene i lav-velferdslandene. Slike effekter kan bli de dominerende for land som India, Kina og trolig også i noen grad enkelte vest-afrikanske land.

På den annen side vil varige tollpreferanser i betydelige markeder i Vest-Europa trolig kunne fremme en diversifisering og langsiktig verdiskapende jordbruk i land som f.eks. Sudan, Etiopia, Zambia og Senegal

6.5 Norges import av jordbruksprodukter etter Uruguay-runden

Den videre analysen er konsentrert om produkter der utviklingsland har en stor andel av erdensmarkedet, og som etter implementeringen av WTO-avtalen vil ha tollsats av en viss betydning. For utvalgte produkter analyseres konsekvenser for norsk import ved ulike utforminger av GSP-ordningen. Meieriprodukter holdes utenfor den videre analysen da utviklingslandenes eksportmarkedsandel bare er 2 prosent for denne varegruppen. Ubearbeidede jordbruksprodukter som ikke er til fôrformål som for eksempel kaffe, te, kakao, krydder, mais, soyabønner, nøtter, sukker, ris, blomster og planter, tropiske frukter og nøtter holdes utenfor analysen på grunn av ingen eller lav tollsats.

Produkter som skal analyseres kan inndeles i følgende hovedgrupper:

  1. Ordinære jordbruksprodukter for konsum

  2. Fôrprodukter

  3. Bearbeidede jordbruksvarer

6.5.1 Ordinære jordbruksprodukter for konsum

6.5.1.1 Utvalg av produkter for nærmere analyse

Når en ser bort fra jordbruksprodukter med lav eller ingen tollsats og jordbruksprodukter som i liten grad eksporteres av utviklingsland, gjenstår følgende hovedgrupper av ordinære jordbruksprodukter for konsum:

  • Kjøtt

  • Grønnsaker

  • Frukt

  • Korn

Disse varegruppene produseres både i Norge og i utviklingsland. Det vil føre for langt å analysere konsekvenser av WTO-avtalen for alle frukter, grønnsaker og kornslag som konkurrerer med norsk produksjon. For eksempel vil eksport fra utviklingsland av pærer, kirsebær, jordbær og epler konkurrere med tilsvarende norsk produksjon og vil i perioder ha signifikante tollsatser. Som en forenkling er epler valgt som eksempelvare for frukter. Det er likevel viktig å presisere at utslagene av WTO-avtalen vil variere fra fruktslag til fruktslag.

Tilsvarende problemstilling gjelder for import av grønnsaker fra utviklingsland. Produkter som produseres i og eksporteres fra utviklingsland som for eksempel tomater, poteter og løk konkurrerer tildels med norsk produksjon. For grønnsaker er løk valgt som eksempelvare.

Problemstillingen gjelder også for korn. Hvete, bygg, havre og rug produseres og eksporteres av utviklingsland. For denne varegruppen analyseres hvetekorn nærmere. For kjøtt analyseres kjøtt av storfe, svin, fjørfe og sau.

Tabell  Tabell 6.6 Eksport av utvalgte varer fra utviklingsland, 1992

HS-nr.VareU-landenes andel av verdenseksporten i 1992 (prosent)Viktige leverandørland blant utviklingsland
0201-0202Storfe8,2Argentina (2,2%), Uruguay (1,0%), India (0,6%), Botswana (0,5%)
0203Svin13,9Kina (11,8%), Brasil (0,8%), Vietnam (0,5%), Korea (0,5%)
0204Sau6,8Korea (1,3%), Peru (1,0%), India (0,8%), Tyrkia (0,9%), Saudi Arabia (0,6%)
0207Fjørfe25,6Brasil (9,4%), Thailand (8,5%), Kina (3,8%)
070310Løk41,9India (8,1%), Argentina (3,4%), Tyrkia (3,4%), Egypt (1,7%)
080810Epler20,8Chile (9.9%), Argentina (4,3%), Korea (1,0%), Kina (0,8%)
1001Hvetekorn7,5Argentina (4,2%), Tyrkia (2;0%), Saudi Arabia (1,2%)

Kilde: Kilde: FAO (1993)

Figur 6.6 Figur 6.6 Import fra utviklingsland til Norge i prosent av samlet import,
 utvalgte produkter, 1993

Figur 6.6 Figur 6.6 Import fra utviklingsland til Norge i prosent av samlet import, utvalgte produkter, 1993

Kilde: Kilde: Statistisk sentralbyrå

Tabell 6.6 viser utviklingslandenes andel av verdens eksport av de utvalgte varene. Eksportandelene for produktene varierer, fra nær 7 prosent for sau til omlag 42 prosent for løk. Kjøtt er viktig eksportvare for Kina og utviklingsland i Latin-Amerika. Epler er viktig eksportvare i Chile og Argentina. Løk er viktig eksportvare i India og Argentina, mens eksport av hvete har betydning i Argentina og Tyrkia. Botswana er eneste MUL med eksport av en viss betydning av de utvalgte vareslagene. Det skal imidlertid ikke utelukkes at en annet utvalg av eksempelvarer ville gitt større innslag av MUL som leverandørland.

Figur 6.6 viser Norges import av de utvalgte vareslagene fra MUL og ØUL i prosent av samlet import. Norsk import fra MUL er lik null for alle varene unntatt hovedgruppene frukter og nøtter samt grønnsaker. I 1993 var import av grønnsaker fra MUL 20.000 kroner, mens import av frukter og nøtter fra MUL var 90.000 kroner. Disse tallene er så små i forhold til Norges samlede import av disse varene at de ikke synes i figur 1. Andre utviklingsland har, med unntak av frukt og grønnsaker samt noe kjøtt, også relativt lite eksport til Norge av disse varene.

6.5.1.2 Importvern etter implementering av Uruguay-runden, utvalgte produkter

Figur 6.7 viser tollekvivalenter i prosent (ad valorem) etter implementeringen av WTO-avtalen for de utvalgte eksempelvarene. Tollsatsene blir for de fleste varene svært høye etter implementeringen både før og etter nedtrappingsperioden.

Tabell 6.7 viser importpriser, produsentpriser og tollsatser som følger av WTO-avtalen etter nedtrappingsperioden. Verdensmarkedsprisen er justert for beregnede prisøkninger som følge av den nye GATT-avtalen estimert av OECD/Verdensbanken i Goldin et al. (1993). Kolonnen ytterst til høyre måler overbeskyttelsen med de nye tollsatsene. Overskuddsbeskyttelse er lik pris for importerte varer til konsument minus nåværende konsumpris. I praksis vil denne overbeskyttelsen variere sterkt over tid.

Figur 6.7 Figur 6.7 Importvern, Norges bindingsliste, tollekvivalenter i prosent (ad
 valorem)

Figur 6.7 Figur 6.7 Importvern, Norges bindingsliste, tollekvivalenter i prosent (ad valorem)

Kilde: Kilde: Norges bindingsliste (1994)

Tabell  Tabell 6.7 Importvern etter implementering av WTO-avtalen og nedtrapping av tollsatsene

VareImportpris kr.pr.kg.Produsentpris kr.pr.kg. i NorgeKonsumentpris kr.pr.kg. i NorgeToll, prosentToll, spesifikk kr.pr.kg.Overskudds beskyttelse kr.pr.kg.
Storfe12.434.580.034432.320.5
Svin7.824.367.036324.611.6
Sau14.831.771.042932.546.3
Fjørfe8.519.040.029025.715.2
Løk1.83.510.4852.10.5
Epler2.06.117.01884.80.7
Hvetekorn1.02.66.43472.12.0

Kilde: Kilde: Importpriser: FAO (1992) justert for prisendringer som følge av GATT-avtalen (Goldin et al (1993)). Konsumentpriser: International Labour Office (1993). Produsentpriser: Landbrukets prissentral. Tollsatser: Bindingslisten.

6.5.1.3 Konsekvenser for norsk import ved ulike utforminger av GSP-ordningen

For å gi et inntrykk av hva konsekvensene kan bli for norsk import utføres en partiell analyse for eksempelvarene innenfor varegruppen ordinære jordbruksvarer. Fire alternativ utforminger av GSP-ordningen vil bli drøftet. Forutsetninger og likninger bak beregningene gis sist i dette notatet. Det må presiseres at det er stor usikkerhet knyttet til beregningene, og at de derfor må tolkes med forsiktighet.

Ingen tollfrihet til utviklingsland

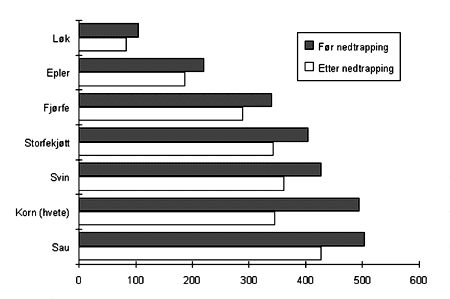
Et ekstremt alternativ er å ikke ha noen GSP-ordning, dvs. ingen tollpreferanser til utviklingsland. Dersom det etter implementering av WTO-avtalen ikke gis toll-lettelser vil det være en positiv overbeskyttelse for alle eksempelvarene, jf. tabell 6.7. Fordi pris på importerte varer til konsum blir høyere enn nåværende pris på konsum vil det ikke bli noen import. Dette resultatet er i overensstemmelse med Gaasland (1994) som vurderer konsekvenser av den nye GATT-avtalen uten tollfrihet. Selv uten høyere verdensmarkedspriser vil de norske tollsatsene etter implementeringen være så høye at de effektivt hindrer import av disse jordbruksproduktene til Norge.

Tabell  Tabell 6.8 Anslag for endring i import ved full eller delvis tollfrihet etter implementering av Uruguay-runden

VaregruppeImportøkning ved full tollfrihet, millioner kronerImportøkning ved 50% tollfrihet, millioner kronerImport som andel av norsk produksjon etter WTO-avtalen og full tollfrihetImport som andel av norsk produksjon etter WTO-avtalen og 50% tollfrihet
Storfekjøtt11924532,60,07
Svin688105utradering av norsk produksjon0,30
Sau32104,90,02
Fjørfe2706,50,14
Løk2384,81,00
Epler13657utradering av norsk produksjon4,80
Hvetekorn229020,90,94

Note: Anslagene som er beregnet etter likning (1) gjengitt helt til slutt i dette vedlegget, bygger på restriktive antagelser og må derfor tolkes med forsiktighet.

Fullstendig tollfrihet til utviklingsland

En annen ekstrem variant av GSP-ordningen er å gi fullstendig tollfritak til alle utviklingsland for jordbruksprodukter. Utviklingslandene som gruppe kan levere alle viktige kategorier av jordbruksvarer for konsum. Ved fullstendig tollfrihet blir derfor produsentpris lik importprisen, mens konsumentpris blir lik importpris pluss transport- og distribusjonskostnader. Dette følger av våre forutsetninger om perfekt substituerbarhet og fullstendig elastisk tilbud av importvarer. I praksis betyr dette at både konsument- og produsentprisen går kraftig ned. Prisfallet fører til økt konsum, redusert innenlandsk produksjon og økt import.

Den første kolonnen i tabell 6.8 gjengir anslag for importøkningen i millioner kroner, gitt forutsetningene som er gjengitt helt til slutt i dette vedlegget. Importen øker for alle produktene. Økningen varierer fra 23 millioner kroner for løk til 1192 millioner kroner for storfekjøtt. Full tollfrihet fører til et prisfall som gir økt konsum. For flere av vareslagene blir det en kraftig reduksjon i norsk produksjon fordi prisen til produsent blir kraftig redusert. Produksjon av svin og epler i Norge blir fullstendig utradert. Kolonnen nest ytterst til høyre i tabell 6.8 angir importens andel av norsk produksjon etter implementeringen av WTO-avtalen med full tollfrihet for utviklingsland. Importen av storfekjøtt blir mer enn 32 ganger så stor som norsk produksjon av storfekjøtt, mens import av hvetekorn blir omlag 21 ganger så stor som den tilsvarende norske produksjonen. For sau, fjørfe og løk blir importen mellom 4 til 7 ganger så stor som den tilsvarende norske produksjonen.

Beregningene i tabell 6.8 er imidlertid partielle. Det er ikke tatt hensyn til at tollfrihet for utviklingsland vil redusere priser på innsatsvarer i norsk kjøttproduksjon kraftig. Fôrproduktene vil gå kraftig ned i pris. Konsekvenser av tollfritak på fôrprodukter drøftes i kapittel 5.2. I tillegg overvurderes utslagene fordi det som tidligere nevnt ikke er tatt hensyn til at minimumskvotene for kjøtt vil ha lavere tollsats og at tollsatsene vil variere over året for frukt og grønnsaker.

Et sentralt spørsmål er hvor mye av importøkningen som vil rette seg mot MUL. Eksport fra MUL utgjør små andeler av verdens eksport av disse varene. Det er derfor sannsynlig at storparten av importøkningen på kort sikt vil rette seg mot ØUL. Et mer realistisk alternativ til full tollfrihet for alle utviklingsland er imidlertid tollfrihet til en gruppe utviklingsland, for eksempel MUL. Tollfrihet kun for MUL vil føre til vesentlig mindre utslag på importen enn det som fremgår av tabell 6.8. Forøvrig fremgikk det av diskusjonen i kapittel 4.3 at enkelte MUL har et visst potensial på lengre slikt for eksport av eksempelvarene i dette kapitlet.

Redusert tollsats

Den høye importøkningen ved fullstendig tollfrihet for alle utviklingsland gjør det aktuelt å vurdere konsekvensene av mellomvarianter av GSP-ordningen med delvis tollfrihet. I tabell 6.8 angir 2. kolonne importøkning ved 50 prosent tollfrihet. Virkningen på importen blir betydelig mindre enn ved full tollfrihet. For sau, fjørfe og hvetekorn blir det ingen importøkning, mens det for de andre vareslagene blir importøkninger på mellom 8 og 105 millioner kroner. Årsaken til at importen ikke øker for tre av varene er at tollsatsen etter en reduksjon på 50 prosent fremdeles vil være høyere enn konsumentprisen innenlands. Tollsatsene må for flere av vareslagene reduseres enda mer før de får effekt på prisnivå innenlands og import. Importens andel av norsk produksjon er for dette tilfellet angitt i kolonnen ytterst til høyre i tabell 6.8. For løk vil importen være like stor som norsk produksjon, men importen av epler vil være nærmere 5 ganger norsk produksjon. For samtlige av de andre produktene vil u-landsimporten være mindre enn norsk produksjon. Også i dette tilfellet vil trolig storparten av importøkningen rette seg mot ØUL som har størst eksportpotensial for de aktuelle varegruppene.

Tollfrihet innenfor u-landskvoter

Et alternativ til redusert tollsats for utviklingsland, er å opprette egne importkvoter med tollfritak forbeholdt utviklingsland. Ved fastsetting av slike kvoter kan en for eksempel ta utgangspunkt i kvotene som allerede er fastsatt i forbindelse med videreføringen av eksisterende importmuligheter, omtalt i avsnitt 2. Disse kvotene som er en del av den nye GATT-avtalen, tilsvarer norsk import i perioden 1986-88. Nedenfor omtales et forslag om at utviklingsland får tollfrihet innenfor disse kvotene.

Tabell 6.9 viser disse markedsadgangskvotene i tonn (1. kolonne) og omregnet til verdi etter 1993-verdensmarkedspriser (2. kolonne). Kolonnen ytterst til høyre viser endring i import fra utviklingsland ved full tollfrihet for utviklingslandene innenfor disse kvotene. Importen fra utviklingsland øker for alle varene unntatt epler. Årsaken til at importen fra utviklingsland blir redusert for epler er at epleimporten fra utviklingsland i 1993 var større enn samlet norsk import av epler i perioden 1986-88. Den samlede epleimporten til Norge var i 1993 38.650 tonn, mens markedsadgangskvoten er 8000 tonn. Kvotene for eksisterende markedsadgang ivaretar markedsadgangen slik den var for 6-8 år siden. For produkter som har hatt vesentlig importøkning vil derfor nåværende import avvike fra markedsadgangskvoten. For alle de andre varene øker u-landsimporten. Økningen er spesielt stor for hvetekorn, svin og fjørfe der det var ingen eller utbetydelig import fra utviklingland i 1993. En slik preferanseordning får ingen andre effekter i Norge enn det som følger av importkvotene. Dersom tollfriheten forbeholdes en gruppe utviklingsland, blir det sentralt hvilke utviklingsland som får tollfrihet innenfor disse kvotene. Hvis bare MUL får tollfrihet innenfor kvotene blir utslagene mindre enn det tabell 6.9 antyder, jf. diskusjonen i kapittel 4.3.

6.5.2 Fôrsektoren

Det er særlig store muligheter for økt import av fôrprodukter fra utviklingsland. I dag er beskyttelsen mot import av disse produktene svært streng og lite oversiktlig. WTO-avtalen innebærer at denne beskyttelsen synliggjøres gjennom omdanning til tollsatser som i Norge blir svært høye. Tollpreferanser på fôrprodukter kan derfor ha dramatisk innvirkning på importvolumet fra utviklingsland.

Tabell  Tabell 6.9 Tollfrihet innenfor kvoter for opprettholdelse av eksisterende markedsadgang. Endring i u-landsimport.

VareMarkedsadg.kvote i tonn = import 1986-88Markedsadg.kvote omregnet til mill. kr. i 1993-priserImport fra utviklingsland mill. kr. 1993Endring mill kr.
Storfe691.71.3+ 0.4
Svin98314.50+14.5
Fjørfe60010.90.1+10.8
Sau2653.40+3.4
Løk14885.70+5.7
Epler800035.457.2÷21.8
Hvetekorn241645237.80+237.8

Kilde: Kilde: Statistisk sentralbyrå, Bindingslisten

Figur 6.8 Figur 6.8 Levering av matkorn og fôrprodukter til det norske marked
 1993, 1000 tonn

Figur 6.8 Figur 6.8 Levering av matkorn og fôrprodukter til det norske marked 1993, 1000 tonn

Kilde: Kilde: Statkorn. Statistikk 1993; ECON

Høy fleksibilitet i fôrforbruket

Norsk kjøtt, melk og eggproduksjon forbruker store mengder fôrprodukter og er dominerende avtaker av norsk korn, se figur 6.8. For drøvtyggerne som forbruker halvparten av norsk kraftfôr består fôret av omlag 40 prosent kraftfôrblandinger og 60 prosent grovfôr, regnet etter fôrets energiinnhold. For andre dyreslag er det alt vesentligste fôrforbruket kraftfôr, supplert med matavfall fra bakerier, storhusholdninger m.v.

Det er stor mulighet for å variere sammensetningen av fôrblandingene. Prisen har stor betydning for sammensetningen av optimale fôrblandinger. Tabell 6.9 viser indikasjoner på protein- og energiinnhold i noen utvalgte elementer i kraftfôrsammensetningen. En rekke produkter har ganske likt energiinnhold. Innenfor visse begrensninger kan lavere energikoeffisienter for karbohydratelementene og proteininnhold for proteinelementene kompenseres med tilsvarende økte volumer.

Tabell  Tabell 6.10 Energiinnhold og proteinverdier pr. volumenhet for utvalgte elementer i kraftfôrblandinger

ElementMulige leverandørland blant utviklingslandeneUtviklingslands eksportandel (1992)EnergikoeffisientProteininnholdSpesielle egenskaper
MaisgrøppArgentina, Kina og Pakistan20 prosent1,23126Betydelig risiko for salmonella infeksjon, lite egnet for omlasting i bulk
MaisgritsSamme som over, men leveres normalt til Norge fra i-land*1,3?Som over, men bedre egnet til omlasting
RisfôrmelIndia, Pakistan, Thailand, Kina, VietnamRis: 63 prosent1,13122
Durragrapp*1,22128
MelassePakistan, Cuba*1,0879Begrensninger på innhold i kraftfôrblandinger p.g.a. konsistens
SoyabønnerArgentina, Brasil, Paraguay, Kina26 prosent1,4594
Sitruspulp, tørketDiverse*1,1190
TapiokamelDiverse i Afrikahøy1,2399
JordnøttmelJordnøtter: Kina, Vietnam, Argentina, Gambia, ZambiaJordnøtter: 54 prosent1,13122
KokosmelKokosnøtter: Malaysia, Filippinene, Sri Lanka, ThailandKokosnøtter: 75 prosent1,18150

* = ikke oppgitt.

Note: Til sammenligning har ruggrøpp en energikoeffisient på 1,19 og vanlig norsk grasblanding, sen høsting 0,69.

Kilde: Kilde: Fôrtabell for kraftfôr og grovfôr til drøvtyggere, FAO (1993), UNCTAD (1994), STIL 11.03.92 og bransjeekspertise.

Forbruket av de enkelte komponentene i kraftfôrproduksjonen er svært prisfølsomt. En meget stor mengde alternative produkter kan innå i blandingene, og små prisvariasjoner kan gjøre det optimalt å erstatte et produkt med et helt annet. På grunn av den høye substituerbarheten er potensialet for import av produkter stort.

Tabell 6.10 viser ulike varer som kan brukes i kraftfôrblandingene, energikoeffisient, proteininnhold og mulige leverandørland. Utviklingslandene har betydelige andeler av verdensmarkedets eksport av en rekke elementer som kan brukes i kraftfôrblandinger.

Det er først og fremst ØUL som har store markedsandeler. Noen viktige land i denne sammenhengen er Argentina, Kina og Pakistan. MUL eksporterer lite av de fleste elementene i tabell 6.10. Det er imidlertid visse unntak. MUL står for 0,9 prosent av verdens eksport av ris og 2,2 prosent av eksporten av jordnøtter. MUL har derfor et visst potensial for eksport av kraftfôrelementer til Norge. Gambia og Zambia som begge er MUL står hver for 0,6 prosent av verdens jordnøtteksport.

Sterkt begrenset import

Statens kornforretning, senere Statkorn, har hatt monopol på import av korn og fôrprodukter i Norge. Monopolet har ut fra gitte retningslinjer sikret avsetningen for den innenlandske kornproduksjonen som i hovedsak går til kraftfôr. Pris til norsk produsent fastlegges i jordbruksavtalene. Produksjonsvolumet bestemmes av produsentpriser og avlingsforhold, mens importen bestemmes residualt.

Utover bruken av import for å regulere sammensetningen av dyrefôret, bidrar en kraftôravgift til å opprettholde produksjonen av norsk grovfôr som gras og høy. Kraftfôravgiften som pålegges alt kraftfôr fungerer dermed som en begrensende faktor på import av fôrprodukter.

Grovt regnet utgjør kornprisen på verdensmarkedet for fôrkorn omlag 35 prosent av prisen i Norge. I kraftfôrblandinger er kornet blandet med andre produkter og tilsatt ulike ekstra næringsstoffer. Inklusive kraftfôravgift er prisen omlag kr. 3,- pr. kilo for kraftfôr i Norge, mens prisen i EU er omlag kr. 1,70. Med fri tilpasning av kraftfôrblandingene til verdensmarkedspriser, kan det antas at kraftfôret vil koste omlag 40 prosent av nåværende pris til norsk kjøttprodusent. Redusert beskyttelse av norsk kraftfôrproduksjon vil derfor kunne føre til stimulert produksjon av kjøtt i Norge.

Betydelig endring gjennom Uruguay-runden

Begrensningen av importen av fôrprodukter som i dag skjer via det statlige innkjøpsmonopolet, skal etter gjennomføringen av WTO-avtalen omgjøres til tollsatser. Samtidig skal importmonopolet fjernes. På grunn av de store prisforskjellene mellom import og norsk leveranse, vil tollsatsene bli svært høye for å oppnå samme grad av beskyttelse. Tabell 6.11 viser eksempler på tollsatser som er inntatt i Norges tilbud i forbindelse med WTO-avtalen, dvs. tollsatser som er ansett nødvendige for uendret beskyttelsesgrad.

Tabell  Tabell 6.11 Norske basistollsatser etter WTO-avtalen for mulige kraftfôr-elementer, eksempler på varer som leveres av utviklingsland

ProduktTil fôrformålTil andre formål
Ad valorem (prosent)Spesifikk sats (kr/kg)Spesifikk sats(kr/kg)
Sitrus frukter og skall av slike4542.491.33/fri
Mais4902.54fri
Mel av ris og mais5294.71fri
Mel av tørkede grønnsaker, nøtter og frukter3562.860.20
Malt4854.733 prosent ad valorem
Frø og nøtter3834.87fri1 )
Fruktkjerner6041.91fri
Animalsk fett2435.50.04 - 0.16
Vegetabilsk fett (utenom jordnøttolje)2516.96fri - 0.16
Jordnøttolje2516.9617 prosent ad valorem

1) Med unntak av sennepsfrø hvor det er en viss tollsats også for andre formål.

Kilde: Kilde: Norges bindingsliste.

Tabell 6.11 viser tollsatser for fôrprodukter mellom 240 og 600 prosent. Fett og oljeprodukter for fôrformål får de laveste mens fruktkjerner, mel, is og mais for fôrformål får de høyeste satsene. For de fleste av produktene i tabellen er beskyttelsen null eller ubetydelig for alle andre ormål enn dyrefôr. Utviklingsland har betydelige markedsandeler for de fleste av produktene i tabellen. MUL har markedsandeler av betydning, for eksempel for visse nøtter og noen oljer.

Anvendelse av GSP for fôrprodukter vil kunne ha stor effekt

På grunn av det vide produktspekteret som kan inngå i fôrproduksjonen, kan det antas at utviklingsland er leveringsdyktige for produkter som kan utgjøre en stor andel av innsatsvarene i kraftfôr i Norge. En oppsplitting av potensialet på enkeltvaregrupper er mindre interessant fori det sentrale er leveranser av visse mengder karbohydrater hvor et stort antall produkter konkurrerer.

Til tross for at verdensmarkedsprisene forventes å øke noe for viktige kornsorter som følge av den nye GATT-avtalen, vil full tollfrihet gjennom en GSP-ordning kunne resultere i kraftfôrpriser ned mot 40 prosent av dagens priser. Dette er et grovt anslag, men neppe overdrevet ut fra de implisitte tollsatser som i følge Norges bindingsliste reflekterer dagens importbeskyttelse. En slik prisnedgang i det norske markedet vil ha betydelig effekt for de nåværende leverandører av fôr, hovedsaklig norsk fôrkorn og grovfôr, se tabell 6.12.

Tabell  Tabell 6.12 Levering av fôr til det norske markedet, 1993, tusen tonn

Nåværende kildeVolumMerknad
Dagens import fra utviklingsland44Mais fra Pakistan
Import fra industriland138Vesentlig korn og maisgrits
Norsk fôrkornproduksjon1145Vesentlig rug, bygg, havre og hvete
Norsk grovfôr (anslått fôrverdi)1350Inntil ca. 50% kan erstattes av kraftfôr1 )

1) Drøvtyggerne anvender i dag ca. 60 prosent grovfôr (gras, høy). Denne andelen kan normalt reduseres til 30 prosent.

Kilde: Kilde: ECON, NLH, NILF, Statkorn

Effektene av ulike preferanseordninger er illustrert ved regneeksempel i tabell 6.13. Tabellen viser, slik det følger av egenskapene ved kraftfôrmarkedet, at GSP med full tollfrihet vil føre til en omfattende strukturendring i landbruket i Norge, med redusert korn- og grasproduksjon, og økt oppfôring av dyr. Kornproduksjonen til kraftfôr faller nesten bort, mens grovfôrproduksjonen går ned med 40 prosent på grunn av økt husdyrhold og minimumskrav til grovfôr i foringen av drøvtyggere (siste kolonne i tabell 6.13). Konsekvenser av en slik prisnedgang på fôr ble holdt utenfor drøftingen i kapittel 5.1.

Tabell  Tabell 6.13 Illustrasjon på mulig importeffekt av ulike GSP alternativer, for import av kraftfôrelementer, tusen tonn

Kilde til økt import fra utviklingslandTollkvoterImport ved 50% tollfrihet under GSPImport ved 100% tollfrihet under GSP
Erstatning av i-lands import140140140
Reduksjon av norsk kornproduksjon01301111
Reduksjon av norsk grovfôrproduksjon0201 )5702 )
Økt norsk husdyrhold0250940
Totaleffekt i forhold til dagens situasjon1407302760
1)Det forutsettes at andelen grovfôr i drøvtyggerfôringen er konstant på grunn av liten endring i relative priser.
2)Andel grovfôr forutsettes å skifte fra 60 prosent til minimum 30 prosent for drøvtyggere.

Til sammenligning vil delvis tollfrihet på 50 prosent ha svært moderate effekter (nest siste kolonne). Dette skyldes at tollsatsene i bindingslisten er prohibitive. Verdensmarkedspris pluss bundet tollbeskyttelse er normalt høyere enn norsk produsentpris. I regneeksemplet ovenfor er det implisitt antatt at prisen for norske kornprodusenter etter tollnedtrapping og 50 prosent tollpreferanse er 6 prosent lavere enn dagens pris. Fordi prisene på verdensmarkedet varierer sterkt over året er det imidlertid stor usikkerhet knyttet til både prisberegning og utslagene av delvis tollfrihet.

Erstatning av import av kraftfôr fra industriland har et begrenset potensial, omlag 140 tusen tonn i 1993. Dette skyldes at norsk produksjon dominerer på fôrsiden. Imidlertid lar dette potensialet seg utnytte etter implementeringen av WTO-avtalen. Et virkemiddel for å realisere en effektiv, positiv diskriminering for utviklingsland generelt eller MUL spesielt er en tollkvote, et kvantum fritt for toll, som kun kan benyttes for import fra en bestemt gruppe utviklingsland. Dersom kvoten settes lik det nåværende nivå på totalimporten for fôrformål, er det sannsynlig at av importvolumet vil vris mot de prefererte utviklingland uten at prisnivået og dermed produksjonen i Norge påvirkes.

Forøvrig kan det tenkes en utforming av GSP-ordningen som muliggjør økt import uten betydelig reduksjon i norsk produksjon av fôrkorn og grovfôr. En reduksjon i kraftfôrprisene vil muliggjøre økt husdyrhold som øker etterspørselen og ikke norsk fôr. Verdien av kvotene kan benyttes til å redusere kraftfôrprisene til norsk landbruk. Verdien av kvotene refererer seg til den knapphetsverdien en tillatelse til tollfri import vil ha per volumenhet. Ved normale tollsatser på 250 til 600 prosent, vil denne verdien være betydelig. Husdyrholdet og kraftfôrforbruket kan øke relativt kraftig på lengre sikt ved lavere fôrpriser. Kvotene for tollfri import kan benyttes til å senke prisene på kraftfôr i Norge ved at kraftfôrforbrukerne får tilgang til kvotene avhengig av deres samlede forbruk. Det er imidlertid ingen generell grunn til at den beste fordelingen av preferansekvoter oppnås ved at forbrukerne av importvarene får tilgang til kvotene. I praktisk politikk er det imidlertid ikke så uvanlig. Som eksempel kan nevnes at spesielle produsent- og leiesømskvoter benyttes for å stimulere norsk produksjon av teko-produkter. En lignende ordning er antydet overfor næringsmiddelindustrien i Utenriksdepartementet (1994).

6.5.3 Bearbeidede jordbruksprodukter

Norges handelspolitikk beskytter både råvareproduksjon og innenlandsk bearbeiding av jordbruksprodukter. I mange tilfeller er beskyttelsen av bearbeiding prosentvis høyere enn av råvareproduksjonen. Virkemidlene er imidlertid mer sammensatte, og reflekterer en tilpasning til internasjonale handelsavtaler for bearbeidede jordbruksprodukter. WTO-avtalen innebærer en forenkling av beskyttelsessystemet. Særlig for konservesprodukter, hvor det har vært vanlig med kvantitative importreguleringer, blir tollbeskyttelsen høy. GSP-ordningen vil derfor kunne få endret betydning og innhold for denne varegruppen.

Tabell  Tabell 6.14 Handelspolitiske virkemidler, bearbeidede jordbruksprodukter

VaregruppeVirkemidler før WTO- avtalenVirkemidler etter WTO-avtalen
De fleste bearbeidede jordbruksprodukterToll og bilaterale handelsavtalerToll som nedtrappes over 6 år
KonservesprodukterKvantumsbegrenset import (importkvoter)Tariffisering, dvs. tollsatsene i bindingslisten skal uttrykke kvotenes tollekvivalent
RÅK-varer, dvs. varer hvor kvantitative importrestriksjoner ikke gir tilfredsstillende vern.a. Variabel importavgift: Tollsats basert på råvareinnhold og prisforholda. Varierende tollsats innen de begrensninger som følger av bindingslisten.
b. Kompensasjon for råvareprisulempe til norsk eksport (eksportrestitusjon)b. Modifisert ordning med prisnedskrivning og utjevningsavgift.
c. Nedskriving av innenlandske råvarepriserc. Redusert eksportrestitusjon (forpliktelse til reduksjon i eksportsubsidier).
d. Utjevningsavgift på både import og norsk produksjon

Kilde: Kilde: Statkorn Forvaltning, Landbruksdepartementet, ECON

Nedenfor gjennomgås virkemiddelbruken slik den er i dag, endringene som følge av WTO-avtalen og en vurdering av anvendelse av GSP-ordningen for å fremme import av bearbeidede jordbruksprodukter fra utviklingsland. Gjennomgangen er kun ment som en introduksjon til problemstillingen. Kvantitative anslag forutsetter en mer inngående og detaljert analyse enn det som blir gitt nedenfor.

Importvernets utforming

Bruken av handelspolitiske og relaterte virkemidler for vern av norsk bearbeiding av jordbruksprodukter er skissert i tabell 6.14. De tre hovedvirkemidlene i dagens importvern er toll, kvantitative begrensninger og råvarepris-kompensasjoner (RÅK). RÅK-systemet innebærer at innenlandske jordbruksråvarer nedskrives til verdensmarkedspris og at importerte ferdigvarer pålegges en avgift for å utjevne forskjeller i råvarekostnader. Hensikten er å gi norsk næringsmiddelindustri like konkurransevilkår som industrien i andre land når det gjelder råvarekostnader.

Beskyttelsen av bearbeidingen innenlands er tildels progressiv, dvs. at den prosentvise beskyttelsen av bearbeidede produkter er høyere enn for råvareproduksjonen, se tabell 6.15.

Tabell  Tabell 6.15 Sammenligning av tollsatser, råvarer og bearbeidede produkter, basisrater hvis ikke annet er angitt, utvalgte eksempler

Ubearbeidet vareBearbeidet vare
VareHS nr.TollsatsVareHS nr.TollsatsEndring med WTO-avtalen
Korn/mel
Hvete1001495%Hvetemel1101530%Tariffisering
Rug1002428%Rugmel1102529%Tariffisering
Ris10060Ris malt1006kr. 0.6/kgIngen endring
Mais0Corn flakes1903kr. 0.4/kgIngen endringSøtvarer/ sjokolade
Sukker1701kr. 0.1/kg, <10%Pastiller, drops, sukkertøy170457%Tariffisering, modifisert RÅK
Kakao-bønner18010Ren sjokolade180659%Tariffisering, modifisert RÅKOlje
Soyabønner12010Soyaolje raffinert150717%Ingen endringKjøtt
Storfekjøtt0201405%Bearbeidet el. konservert1602405%Tariffisering
Svinekjøtt0203428%Bearbeidet el. konservert1602428%TariffiseringFrukt og grønnsaker1 )
Agurker0707161%Nedlagte agurker2001262%Tariffisering
Løk0703106%Nedlagte løk2001262%Tariffisering
Bønner070863%Bønner nedlagt, skoldet2005713%Tariffisering
Jordbær (bundet rate etter 6 år)0801100%Syltetøy (ikke av sitrus)2007102%Tariffisering
Epler0808221%Eplejuice2009400%Tariffisering

Note: HS nr. er varenummer i det internasjonale harmoniserte system.

1) For råvarene der tollsatsen varierer sterkt over året er den høyeste tollsatsen benyttet. For konserverte produkter er tollsatsen konstant over året.

Kilde: Kilde: Den norske bindingsliste. Samtaler med eksperter i landbruksadministrasjonen.

Det fremgår av tabellen at de viktigste endringene for bearbeidede jordbruksvarer for utviklingsland ventes å skje innen konservesproduktene, inklusive konservert kjøtt. For korn og melvarer hvor utviklingslandene kan ha vesentlig betydning, er det små forskjeller i tollsatser mellom bearbeidede og ubearbeidede varer. For konservesproduktene reflekterer de nye tollsatsene omfattende anvendelse av kvantitative restriksjoner før implementeringen av WTO-avtalen. Innen denne gruppen vil tollpreferanser kunne ha vesentlig betydning for importvolumer og fordeling på eksportland.

Flere av utviklingslandene har betydelig konservesindustri. Tre eksempler på produkter er gjengitt i tabell 6.16. Viktige land som potensielt kan levere bearbeidede produkter er Kina og enkelte land i Afrika som Egypt, Marokko og Kamerun. Effekter av GSP-behandling vil avhenge av status for slike land. Dersom det blir aktuelt å inkludere tidligere Sovjet republikker i GSP-ordningen, kan enkel konservering og bearbeiding av frukt, kjøtt og grønnsaker i Norge bli ytterligere påvirket av import. Av tilgjengelige data fremgår det at MUL i dag har relativt lite eksport av bearbeidede jordbruksvarer. Ett unntak er Botswana som eksporterer hermetisk kjøtt.

Tabell  Tabell 6.16 Utviklingslands andel av verdens eksport for enkelte bearbeidede jordbruksprodukter

VareUtviklingslands eksport andel i prosentEksportører (eksempler)
Hermetisk kjøtt30Kina, Botswana, Egypt, Kenya, Argentina
Sjokolade11Kamerun, Elfenbenskysten, Egypt, Ecuador, Kina, Pakistan
Hermetisk ananas94Thailand, Filippinene, Kina, Indonesia etc.

Kilde: Kilde: FAO (1992)

GSP-ordning for bearbeidede jordbruksprodukter

I det følgende redegjøres kort for de tre hovedalternativer ved utformingen av GSP-ordningen for bearbeidede jordbruksprodukter. Det minst radikale alternativet er å innføre tollkvote for GSP-land, med kvote lik at kvantum som tilsier opprettholdt markedsadgang. Alternative GSP-ordninger er delvis eller fullstendig eliminering av tollen for alle eller en gruppe utviklingsland. For alle variantene av GSP-ordningen vil effektene avhenge av utformingen av opprinnelsesreglene og hvilke land som skal omfattes av ordningen.

Tollkvoter

Kvotene for opprettholdt markedsadgang representerer i prinsippet nærmest uendret importpenetrasjon på det norske markedet. Tollpreferanser innen kvotene kan derfor benyttes til å vri importen i retning av utviklingsland uten å forstyrre norsk foredlingsindustri.

I dag er importen av konservesprodukter i følge kvotene for opprettholdelse av markedsadgang totalt omlag 25.000 tonn. Denne kvoten er i hovedsak fordelt på grønnsaker og frukt. Viktige varer er erter, juice, hermetisk frukt og syltetøy. For kjøtt er det svært lite import. En spesiell importkvote tillater import av 200 tonn corned beef.

Overføring av kvotene for opprettholdt markedsadgang til utviklingsland er antageligvis mulig ved fullt tollfritak for en gruppe utviklingsland innen tollkvotens grenser. Full eliminering av de tildels meget høye tollsatsene på konservesprodukter kan antas å være tilstrekkelig til å gjøre produkter fra utviklingslandene konkurransedyktige. MUL utgjør små andeler av verdenseksporten for en rekke konservesprodukter. Dersom det etableres forskjellsbehandling mellom utviklingsland, vil Kinas status være viktig. Behandlingen av import fra Øst-Europa og stater i det tidligere Sovjet, vil være av stor betydning for varer som utgjør en stor del av forbruket i Norge.

Delvis tollfritak

Virkningene av en delvis tollreduksjon på for eksempel 50 prosent er vanskelig å forutse uten mer detaljerte analyser. To faktorer er avgjørende:

  • Effekten av bindingslistens tollsatser: I likhet med flere av de vanlige jordbruksvarene og fôrproduktene vil tollsatsene for bearbeidede jordbruksprodukter i stor grad reflektere prohibitive importbegrensninger i utgangspunktet. Dette betyr at tollpreferansene må ha et visst omfang før de i det hele tatt begynner å påvirke import og innenlandske priser.

  • Ulike produktkvaliteter: De bearbeidede landbruksproduktene har mer varierende kvalitet enn råvarene. Oppfatninger om kvalitet vil variere både mellom varemerker og opprinnelsesland. Det blir dermed også en svakere sammenheng mellom endringer i priser på import fra utviklingsland og norske produkter.

Full tollfrihet under GSP

Full tollfrihet må antas å innebære så omfattende prisfordeler at konservesprodukter fra utviklingsland innen de fleste kategorier, vil bli konkurransedyktige på det norske marked forutsatt at Kina og India inkluderes. Full tollfrihet kan derfor ha betydelige konsekvenser for norsk foredling av jordbruksvarer.

Forutsetningene bak beregningene i avsnitt 5

For å gi et inntrykk av hva konsekvensene kan bli for norsk import utføres en partiell analyse for varegruppen ordinære jordbruksvarer . Følgende forenklinger og forutsetninger ligger bak beregningene:

  • Norske og utenlandske produkter er likeverdige alternativer

  • Det er ingen begrensninger på tilbudet av jordbruksvarer fra utviklingsland

  • Konsekvenser av støttereduksjoner og strukturendringer i jordbruket holdes utenfor analysen

  • Antar en viss økning i verdensmarkedsprisene som følger av GATT-avtalen (Goldin et al, 1993)

  • Antar en tilbudselastisitet (hvor mange prosent produksjonen i Norge endres når prisen øker med en prosent) lik 1,5 og etterspørselselastisiteter (hvor mange prosent etterspørselen i Norge forandres når prisen øker med en prosent) estimert i Rickertsen (1993) og Vale (1989).

  • Der ad valorem og spesifikk tollsats gir ulik beskyttelse, velges den som gir høyest beskyttelse. Denne forutsetningen er i samsvar med Utenriksdepartementet (1994), men ikke Finansdepartementet (1994). (Alternerende tollsatssystem vs. tollsatssystem som bygger på spesifikke tollsatser.)

Beregningene er i utgangspunktet partielle, i det vi kun ser på effektene av prisendringer på import, produksjon og konsum av den varen prisen gjelder. Det innebærer at inntekts- og kryssprisvirkninger ikke blir tatt hensyn til. For fôrprodukter som er en typisk innsatsvare, utvides resonnementet noe i kapittel 5.2. Forøvrig ses det bort fra sesongvariasjoner i tollsatsene.

Av forutsetningene ovenfor følger at det ikke blir toveishandel, og følgende likning uttrykker endring i norsk import for hvert vareslag:

  1. dM=C0 XEc •dPc /Pc - X0 EX •dPp /Pp

    Der:

    dM

    = endring i norsk import

    C0

    = konsum i Norge, basisåret

    EC

    = etterspørselselastisitet

    PC

    konsumpris

    dPC

    = endring i konsumpris

    X0

    = produksjon i Norge, basisåret

    EX

    = tilbudselastisitet

    PP

    = produsentpris

    dPP

    = endring i produsentpris

    Følgende likninger uttrykker hhv. konsumentpris og produsentpris:

  2. PC =PP +d

  3. PP =PV (1+tav ), eller PP =PV +tS

    der:

    d

    = transport og distribusjonskostnader

    PV

    = verdensmarkedspris

    tav

    = tollsats, ad valorem

    tS

    = tallsats, spesifikk

Hvorvidt importen vil endres som beregnet i kapittel 5 avhenger av i hvilken grad forutsetningene er i overensstemmelse med den faktiske situasjonen. Fordi forutsetningene er svært restriktive må resultatene tolkes med forsiktighet.

Fotnoter

1

En vurdering av potetleveranser fra Egypt, utført for NORAD, resulterte i at et klart avgrenset areal innen landet kunne godkjennes for leveranse til Norge. En gjennomføring ville kreve at Egypt selv sørget for sertifisering etter den lokale opprinnelse innenlands.

2

Omfanget av kontraktsbasert jordbruk er sterkt økende i Afrika. I fem land (Kenya, Kamerun, Burkina Faso, Senegal og Mali) engasjerer slike arrangementer minst 75.000 små produsenter. Bare i Kenya engasjerer kontraktsbasert produksjon mer enn 250.000 småbruk i eksportorientert eller industriell produksjon (Barhhouti et al. 1992)