2 Europaparlaments- og rådsforordning (EU) 2025/2083 av 8. oktober 2025 om endring av forordning (EU) 2023/956 med hensyn til forenkling og styrking av karbongrensejusteringsmekanismen

EUROPAPARLAMENTET OG RÅDET FOR DEN EUROPEISKE UNION HAR

under henvisning til traktaten om Den europeiske unions virkemåte, særlig artikkel 192 nr. 1,

under henvisning til forslag fra Europakommisjonen,

etter oversending av utkast til regelverksakt til de nasjonale parlamentene,

under henvisning til uttalelse fra Den europeiske økonomiske og sosiale komité1,

etter samråd med Regionkomiteen,

etter den ordinære regelverksprosedyren2 og

ut fra følgende betraktninger:

  • 1) Siden overgangsperioden som er fastsatt i europaparlaments- og rådsforordning (EU) 2023/9563 begynte 1. oktober 2023, har Kommisjonen samlet inn data og informasjon om gjennomføringen av karbongrensejusteringsmekanismen («CBAM») som er fastsatt i den nevnte forordningen, blant annet gjennom analysen av kvartalsrapporter fra rapporterende deklaranter. Informasjonen som er samlet inn og informasjonsutvekslingen med interessentene, deriblant i ekspertgruppen om CBAM, har vist områder der CBAM kan forenkles og styrkes i samsvar med Unionens forpliktelse til å sikre en smidig gjennomføring av CBAM når overgangsperioden utløper 1. januar 2026.

  • 2) Erfaringene som er gjort og dataene som er samlet inn i overgangsperioden om fordelingen av importører til Unionen av varer oppført i vedlegg I til forordning (EU) 2023/956, tilsier at bare en liten andel av disse importørene står for de klart største utslippene som er innbakt i importerte varer. Unntaket som gjelder for import av varer med ubetydelig verdi, det vil si varer som ikke overstiger totalt 150 euro per sending, omhandlet i artikkel 23 i rådsforordning (EF) nr. 1186/20094, synes ikke tilstrekkelig til å sikre at CBAM får virkning for importører i forhold til disse importørenes påvirkning på utslippene som omfattes av forordning (EU) 2023/956. For importører av små varemengder kan det være urimelig belastende å oppfylle rapporteringsforpliktelsene og de økonomiske forpliktelsene fastsatt i forordning (EU) 2023/956. Det bør derfor innføres et nytt unntak slik at importører av små mengder, målt etter masse, av varer oppført i vedlegg I til forordning (EU) 2023/956 kan unntas fra forpliktelser i henhold til den nevnte forordningen, samtidig som miljømålet for CBAM og ordningens evne til å oppnå det forespeilede klimamålet opprettholdes.

  • 3) En ny terskelverdi basert på den samlede nettomassen av de importerte varene i et gitt kalenderår per importør (en «samlet massebasert terskelverdi») bør innføres i forordning (EU) 2023/956 og innledningsvis fastsettes til 50 tonn. En samlet massebasert terskelverdi bør gjelde kumulativt for alle varer i sektorene jern og stål, aluminium, gjødsel og sement. Dersom nettomassen av alle varer som er importert av en importør i et gitt kalenderår, ikke kumulativt overstiger den samlede massebaserte terskelverdien, bør en slik importør, herunder enhver importør med status som autorisert CBAM-deklarant, i et gitt kalenderår unntas fra forpliktelsene i henhold til forordning (EU) 2023/956 («de minimis-unntaket»). Dersom en importør i løpet av et relevant kalenderår overskrider den samlede massebaserte terskelverdien, bør denne importøren være underlagt forpliktelser i henhold til forordning (EU) 2023/956 med hensyn til alle utslipp som er innbakt i alle varer som er importert i det aktuelle kalenderåret, herunder særlig plikten til å oppnå status som autorisert CBAM-deklarant, plikten til å sende inn en CBAM-erklæring med hensyn til alle utslipp som er innbakt i alle varer som er importert i det aktuelle kalenderåret, og plikten til å kjøpe og innlevere CBAM-sertifikater med hensyn til alle disse utslippene.

  • 4) I sektorene for elektrisitet og hydrogen er viktige egenskaper som importmengde, handelsmønstre, tollinformasjon og utslippsintensiteter vesentlig forskjellige fra tilsvarende egenskaper i jern- og stål-, aluminium-, gjødsel- og sementsektorene. Disse forskjellene innebærer at en samlet massebasert terskelverdi for import av elektrisitet og hydrogen vil kreve at det innføres komplekse tilpasninger som ikke vil gjøre det mulig å redusere de administrative kostnadene betydelig for importørene i disse sektorene. Import av elektrisitet eller hydrogen bør derfor ikke omfattes av de minimis-unntaket.

  • 5) Fastsettelsen av den samlede massebaserte terskelverdien som gjenspeiler den gjennomsnittlige utslippsintensiteten for mengden importerte varer, har som mål å sikre at minst 99 % av utslippene som er innbakt i importerte varer, forblir innenfor virkeområdet for CBAM, og at de minimis-unntaket derfor får anvendelse på høyst 1 % av utslippene som er innbakt i importerte varer. De minimis-unntaket vil utgjøre en robust og målrettet tilnærming, ettersom det nøyaktig gjenspeiler CBAMs miljømessige natur og klimamål, samtidig som det i vesentlig grad reduserer den CBAM-relaterte administrative byrden for importører, der de aller fleste vil bli unntatt fra forpliktelsene i henhold til forordning (EU) 2023/956. Samtidig fortsetter CBAM å gjelde for minst 99 % av utslippene som er innbakt i de importerte varene. En slik samlet massebasert terskelverdi eliminerer også risikoen for at en enkelt importør forsøker å omgå reglene gjennom kunstig oppdeling av forsendelser.

  • 6) Kommisjonen bør hvert år på grunnlag av importdata for de foregående 12 kalendermånedene vurdere om det har skjedd en vesentlig endring i varenes gjennomsnittlige utslippsintensiteter eller i mønsteret for varehandelen, herunder metoder for omgåelse. For å sikre at minst 99 % av utslippene som er innbakt i de importerte varene, forblir innenfor virkeområdet for CBAM, bør Kommisjonen vedta delegerte rettsakter for å endre den samlede massebaserte terskelverdien ved å bruke metoden fastsatt i nr. 2 i vedlegg VII til forordning (EU) 2023/956. For å sikre effektivitet og sikkerhet bør Kommisjonen bare vedta slike rettsakter dersom verdien av den resulterende terskelverdien avviker fra den gjeldende terskelverdien med mer enn 15 tonn. Dersom den samlede massebaserte terskelverdien endres, bør den gjelde fra begynnelsen av det følgende kalenderåret.

  • 7) For å sikre at unntaket er tilstrekkelig målrettet, bør den samlede massebaserte terskelverdien gjelde for hver importør, herunder de importørene som har status som autoriserte CBAM-deklaranter. For dette formål bør det tas hensyn til en importørs import, uansett om den er deklarert av importøren selv eller av en indirekte tollrepresentant. Den indirekte tollrepresentanten bør på grunn av arten av sin virksomhet og de tilknyttede forpliktelsene i henhold til forordning (EU) 2023/956 alltid være pålagt å oppnå status som autorisert CBAM-deklarant før vedkommende handler på vegne av en importør med hensyn til varer oppført i vedlegg I til forordning (EU) 2023/956. Dersom en importør som er representert ved én eller flere indirekte tollrepresentanter, har overskredet den samlede massebaserte terskelverdien, bør hver indirekte tollrepresentant som opptrer som autorisert CBAM-deklarant, sende inn en CBAM-erklæring for varene som er importert til Unionens tollområde av denne indirekte tollrepresentanten, herunder eventuelle varer under den samlede massebaserte terskelverdien, for de representerte importørene som har overskredet den samlede massebaserte terskelverdien, og bør innlevere antallet CBAM-sertifikater som tilsvarer utslippene som er innbakt i disse varene.

  • 8) Av hensyn til rettslig forutsigbarhet bør det uttrykkelig fastsettes at dersom en indirekte tollrepresentant opptrer som en autorisert CBAM-deklarant på vegne av en importør, bør den indirekte tollrepresentanten være underlagt de forpliktelsene som gjelder for denne importøren i henhold til forordning (EU) 2023/956, særlig plikten til å sende inn en CBAM-erklæring for varer som er importert av den indirekte tollrepresentanten på vegne av denne importøren, og til å innlevere CBAM-sertifikatene for utslipp som er innbakt i disse varene. Som følge av dette bør det ved manglende overholdelse være den indirekte tollrepresentanten som blir ilagt overtredelsesgebyr i henhold til forordning (EU) 2023/956. Den indirekte tollrepresentanten bør imidlertid ikke ilegges overtredelsesgebyr dersom en indirekte tollrepresentant som handler på vegne av en importør etablert i en medlemsstat, ikke har samtykket i å fungere som autorisert CBAM-deklarant.

  • 9) På grunnlag av tollopplysninger bør Kommisjonen overvåke mengden importerte varer for å vurdere overholdelsen av den samlede massebaserte terskelverdien. Vedkommende myndigheter bør også kunne gjennomføre en slik overvåkning. For at vedkommende myndigheter skal kunne treffe en informert beslutning, er det nødvendig å fastsette egnede ordninger for å gjøre nødvendige opplysninger og data tilgjengelige for vedkommende myndigheter. Hver vedkommende myndighet bør kunne anmode om nødvendige opplysninger og bevis fra tollmyndighetene, herunder navn på, adresse til og kontaktopplysninger til importører, dersom vedkommende myndighet ikke på annen måte har tilgang til slike opplysninger. Dersom tollmyndighetene blir oppmerksomme på at en importør har overskredet den samlede massebaserte terskelverdien, herunder på grunnlag av opplysninger fra vedkommende myndighet, bør de ikke tillate ytterligere import av varer fra denne importøren før ved utgangen av det relevante kalenderåret, eller før denne importøren har fått status som autorisert CBAM-deklarant.

  • 10) En importør som forventer å overskride den årlige samlede massebaserte terskelverdien, bør søke om tillatelse. En slik importør bør oppnå status som autorisert CBAM-deklarant før den samlede massebaserte terskelverdien overskrides. Importører som ikke har fått tillatelse før de har overskredet den samlede massebaserte terskelverdien, bør ilegges overtredelsesgebyr.

  • 11) Plikten til å oppnå status som autorisert CBAM-deklarant før den samlede massebaserte terskelverdien overskrides, kan føre til at et stort antall søknader blir innlevert i begynnelsen av 2026. For å forenkle anvendelsen av forordning (EU) 2023/956 etter utløpet av overgangsbestemmelsene og unngå potensielle importforstyrrelser, bør det være tillatt for importører og indirekte tollrepresentanter som har inngitt en søknad om tillatelse innen 31. mars 2026 å fortsette å importere varene i 2026 selv etter å ha overskredet den samlede massebaserte terskelverdien, i påvente av vedtak om tillatelse. For å unngå omgåelse av forordning (EU) 2023/956 bør importører og indirekte tollrepresentanter som nektes tillatelse, ilegges overtredelsesgebyr i samsvar med artikkel 26 nr. 2a i den nevnte forordningen.

  • 12) For å sikre at definisjonen av en importør omfatter alle relevante tollprosedyrer, er det nødvendig å endre den slik at den omfatter tilfellet med den forenklede tollprosedyren der det bare framlegges et oppgjørsdokument i henhold til artikkel 175 nr. 5 i delegert kommisjonsforordning (EU) 2015/24465.

  • 13) For å oppnå en balanse mellom effektive godkjenningsprosedyrer og søkernes risikoprofil bør høringsprosedyren være frivillig for vedkommende myndighet. Høringsprosedyren bør gjøre det mulig for vedkommende myndighet å rådføre seg med andre vedkommende myndigheter og Kommisjonen dersom det anses nødvendig på grunnlag av opplysningene som er framlagt av søkeren, og tollopplysninger som er gjort tilgjengelige i CBAM-registeret.

  • 14) For å gi ytterligere fleksibilitet bør den autoriserte CBAM-deklaranten kunne delegere innsendingen av CBAM-erklæringen til en tredjepart. Den autoriserte CBAM-deklaranten bør fortsatt stå ansvarlig for innsendingen av CBAM-erklæringen. For å gjøre det mulig for den autoriserte CBAM-deklaranten å foreta den nødvendige delegeringen og gi tilgang til en tredjepart, bør denne tredjeparten oppfylle visse tekniske krav, herunder inneha et EORI-nummer (Economic Operators Registration and Identification) og være etablert i en medlemsstat.

  • 15) Godkjente CBAM-deklaranter bør sende inn sin årlige CBAM-erklæring og innlevere det tilsvarende antall sertifikater innen 30. september i året etter importåret for varene. For å gi autoriserte CBAM-deklaranter fleksibilitet til å oppfylle sine forpliktelser, vil en senere innsendingsdato gi autoriserte CBAM-deklaranter mer tid til å samle inn nødvendig informasjon, sikre at innebygde utslipp verifiseres av en akkreditert verifikatør og kjøpe tilsvarende antall CBAM-sertifikater. Datoen for sletting av CBAM-sertifikater bør justeres tilsvarende.

  • 16) De innbakte utslippene fra enkelte aluminiums- og stålvarer som for tiden omfattes av virkeområdet for forordning (EU) 2023/956, bestemmes hovedsakelig av de innbakte utslippene av innsatsmaterialer (forløpere), mens utslippene som oppstår under produksjonstrinnene for disse varene, vanligvis er relativt lave. Disse produksjonstrinnene består av sluttbehandlingsprosesser som utføres av separate anlegg som ikke omfattes av EUs ordning for handel med utslippskvoter («EU ETS») som fastsatt i europaparlaments- og rådsdirektiv 2003/87/EF6, med unntak av integrerte anlegg. For å sikre sammenheng med EU ETS-reglene og for å forenkle anvendelsen av CBAM-reglene for operatører i tredjeland bør de innebygde utslippene fra disse produksjonsprosessene utelukkes fra systemgrensene for beregning av utslipp gjennom å tilpasse systemgrensene for produksjonsprosesser til dem som omfattes av EU ETS.

  • 17) Elektrisitet som produseres på kontinentalsokkelen eller i den eksklusive økonomiske sonen til en medlemsstat eller et tredjeland, anses å stamme fra henholdsvis denne medlemsstaten eller dette tredjelandet. Hydrogen med opprinnelse på kontinentalsokkelen eller i den eksklusive økonomiske sonen til en medlemsstat eller et tredjeland, anses å stamme fra henholdsvis denne medlemsstaten eller dette tredjelandet.

  • 18) Når innsatsmaterialer (forløpere) allerede har vært omfattet av EU ETS eller av et karbonprisingssystem som er fullt ut knyttet til EU ETS, bør de innbakte utslippene fra disse forløperne ikke tas med i beregningen av de innbakte utslippene fra sammensatte varer.

  • 19) Autoriserte CBAM-deklaranter er pålagt å sende inn en årlig CBAM-erklæring som inneholder beregningen av innebygde utslipp på grunnlag av enten standardverdier eller faktiske verdier verifisert av akkrediterte verifikatører. Kommisjonen bør beregne standardverdiene og gjøre dem tilgjengelige. Verifiseringen av innbakte utslipp bør derfor bare gjelde for faktiske verdier.

  • 20) Informasjon som er innhentet i overgangsperioden, indikerer at rapporterende deklaranter har vansker med å innhente de nødvendige opplysningene om karbonprisen som faktisk er betalt i et tredjeland. For å gjøre det enklere å trekke fra karbonprisen bør Kommisjonen, når det er mulig, fastsette en årlig gjennomsnittlig karbonpris uttrykt i euro/tonn CO2-ekvivalenter av den faktiske karbonprisen som er betalt, herunder på et konservativt grunnlag, basert på de beste tilgjengelige dataene fra pålitelige, offentlig tilgjengelige opplysninger og opplysninger fra tredjeland til Kommisjonen.

  • 21) Bevisene som kreves for å trekke fra en karbonpris som faktisk er betalt, er basert på informasjon som er relevant for fastsettelse og verifisering av faktiske innebygde utslipp. Dersom de innbakte utslippene er deklarert på grunnlag av standardverdier, bør det bare være mulig å kreve fradrag for karbonprisen med henvisning til årlige standardkarbonpriser, der dette er tilgjengelig. Siden de innbakte utslippene fra forløpere ikke bør tas med i beregningen når de allerede har vært omfattet av EU ETS eller av et karbonprisingssystem som er fullt ut knyttet til EU ETS, er dessuten karbonprisen knyttet til disse innbakte utslippene ikke relevant for fradraget.

  • 22) Autoriserte CBAM-deklaranter kan kreve en reduksjon i antall CBAM-sertifikater som skal innleveres, tilsvarende den karbonprisen som faktisk er betalt i opprinnelseslandet for de innbakte utslippene som er deklarert. Siden karbonprisen kan betales i et annet tredjeland enn opprinnelseslandet for de importerte varene, bør en slik karbonpris også kunne trekkes fra.

  • 23) For å forbedre påliteligheten av dataene om innbakte utslipp i CBAM-registeret og for å lette innsendingen av data bør akkrediterte verifikatører på anmodning fra operatører i tredjeland få tilgang til CBAM-registeret for å kontrollere de innbakte utslippene. I tillegg bør morselskaper eller kontrollerende enheter for disse operatørene gis tilgang til CBAM-registeret for å registrere og dele relevante data på vegne av disse operatørene. Operatørene bør pålegges å oppgi et organisasjons- eller aktivitetsregistreringsnummer for å sikre identifikasjon.

  • 24) For å sikre samsvar med europaparlaments- og rådsforordning (EF) nr. 765/20087 og Kommisjonens gjennomføringsforordning (EU) 2018/20678 bør en verifikatør være en juridisk person som er akkreditert i henhold til forordning (EU) 2023/956 ved en beslutning truffet av et nasjonalt akkrediteringsorgan. Når det nasjonale akkrediteringsorganet treffer denne beslutningen, bør det ta hensyn til de relevante aktivitetsgruppene i henhold til gjennomføringsforordning (EU) 2018/2067 ved vurderingen av den juridiske personens kvalifikasjoner.

  • 25) For å fremme gjennomføringen av forordning (EU) 2023/956 på nasjonalt plan bør medlemsstatene sikre at vedkommende myndigheter har alle nødvendige fullmakter til å utføre sine oppgaver og plikter.

  • 26) Kostnader som påløper i forbindelse med opprettelse, drift og forvaltning av den felles sentrale plattformen, bør finansieres av gebyrer som skal betales av autoriserte CBAM-deklaranter. Under varigheten av den første felles kontrakten om offentlige innkjøp for opprettelse, drift og forvaltning av den felles sentrale plattformen, bør disse kostnadene i utgangspunktet dekkes over Unionens alminnelige budsjett, og for dette formålet bør inntektene fra disse gebyrene overføres til Unionens budsjett for å dekke de relevante kostnadene. På bakgrunn av inntektenes art bør inntektene behandles som interne inntekter avsatt til bestemte formål. Eventuelle inntekter som gjenstår etter at disse kostnadene er dekket, bør overføres til unionsbudsjettet. Kommisjonen bør gis myndighet til å vedta delegerte rettsakter som fastsetter gebyrenes struktur og nivå, slik at organiseringen og bruken av den felles sentrale plattformen er kostnadseffektiv, at gebyrene fastsettes slik at de utelukkende dekker de relevante kostnadene, og at unødvendige administrative kostnader unngås. Kommisjonen bør også vedta delegerte rettsakter som fastsetter for varigheten av de påfølgende felles innkjøpskontraktene at gebyrene direkte bør finansiere kostnadene ved drift og forvaltning av plattformen.

  • 27) For å gi autoriserte CBAM-deklaranter tilstrekkelig tid til å forberede seg på å oppfylle de endrede forpliktelsene i henhold til forordning (EU) 2023/956, bør medlemsstatene begynne å selge CBAM-sertifikater i 2027 for utslipp innbakt i varer som er importert i løpet av 2026. Prisen på CBAM-sertifikater kjøpt i 2027 og tilsvarende utslipp som er innbakt i varer importert til Unionen i 2026, bør gjenspeile prisene på EU ETS-kvoter i 2026.

  • 28) Plikten for de autoriserte CBAM-deklarantene til å sikre at antallet CBAM-sertifikater på deres konto i CBAM-registeret ved utgangen av hvert kvartal tilsvarer minst 80 % av utslippene innbakt i varene de har importert siden begynnelsen av året, er ikke godt nok tilpasset til den forventede økonomiske justeringen. Det er derfor nødvendig både å redusere prosentandelen fra 80 % til 50 % og å integrere den vederlagsfrie tildelingen av EU ETS-kvoter. Videre bør den autoriserte CBAM-deklaranten kunne feste lit til opplysningene i CBAM-erklæringen fra det foregående året for de samme varene og de samme tredjelandene.

  • 29) På tilsvarende måte bør tilbakekjøpsgrensen tilpasses mer nøyaktig til antallet CBAM-sertifikater som de autoriserte CBAM-deklarantene er pålagt å kjøpe i importåret.

  • 30) Siden CBAM-sertifikater slettes uten kompensasjon, er det ikke behov for utveksling av informasjon fra den felles sentrale plattformen til CBAM-registeret på slutten av arbeidsdagen.

  • 31) Dersom en autorisert CBAM-deklarant ikke innleverer det korrekte antallet CBAM-sertifikater som følge av feilaktige opplysninger fra en tredjepart, nærmere bestemt en operatør, en verifikatør eller en uavhengig person som sertifiserer dokumentasjonen for karbonprisen, bør vedkommende myndigheter, når de anvender overtredelsesgebyr, kunne ta hensyn til de aktuelle omstendighetene, for eksempel varigheten, alvorligheten, omfanget, den forsettlige eller uaktsomme karakteren eller gjentakelsen av den manglende overholdelsen samt graden av samarbeid fra den autoriserte CBAM-deklarantens side. Dette vil gjøre det mulig å redusere overtredelsesgebyrene ved mindre eller utilsiktede feil.

  • 32) Andre importører enn autoriserte CBAM-deklaranter som har overskredet den samlede massebaserte terskelverdien, bør ilegges et overtredelsesgebyr fastsatt i artikkel 26 nr. 2a. For dette formålet bør det tas hensyn til alle utslippene innbakt i varene som er importert av en slik importør uten tillatelse i det relevante kalenderåret. Det bør fastsettes at betalingen av overtredelsesgebyret fritar importøren fra plikten til å sende inn en CBAM-erklæring og innlevere CBAM-sertifikater for denne importen. For å ta hensyn til at det dreier seg om en mindre eller utilsiktet overtredelse, bør vedkommende myndigheter kunne ilegge et lavere overtredelsesgebyr dersom den samlede massebaserte terskelverdien er overskredet med høyst 10 % av denne terskelverdien, eller dersom importøren midlertidig har fortsatt å importere varer og vedkommendes søknad om status som autorisert CBAM-deklarant er avslått.

  • 33) Forordning (EU) 2023/956 får anvendelse på visse karbonintensive varer som importeres til Unionen. Varene oppført i vedlegg I til forordning (EU) 2023/956 omfatter «annen kaolinholdig leire» på listen over sementvarer. Mens kalsinerte kaolinholdige leirer er karbonintensive produkter, er dette ikke tilfelle for ikke-kalsinert kaolinholdig leire. Ikke-kalsinert kaolinholdig leire bør derfor ikke omfattes av virkeområdet for forordning (EU) 2023/956.

  • 34) Vedlegg II til forordning (EU) 2023/956 inneholder en liste over varer der det bare skal tas hensyn til direkte utslipp ved beregning av innbakte utslipp. For varer som ikke er oppført i det nevnte vedlegget, bør det tas hensyn til både direkte og indirekte utslipp. Siden indirekte utslipp ikke er relevante for elektrisitetsproduksjon, bør elektrisitet føres opp på listen over varer i det nevnte vedlegget.

  • 35) Det er nødvendig å forenkle metodene for å fastsette standardverdier når pålitelige data for eksportlandet ikke vil være tilgjengelige for en bestemt varetype. For å hindre karbonlekkasje bør standardverdien i slike tilfeller tilsvare den gjennomsnittlige utslippsintensiteten for de ti eksportlandene med de høyeste utslippsintensitetene som det foreligger pålitelige data for, noe som er et passende gjennomsnitt for å sikre miljømålet for CBAM. Dette berører ikke muligheten for å tilpasse disse standardverdiene på grunnlag av regionspesifikke egenskaper i henhold til nr. 7 i vedlegg IV til forordning (EU) 2023/956.

  • 36) For å utfylle og endre visse ikke-grunnleggende bestemmelser i forordning (EU) 2023/956 bør myndigheten til å vedta rettsakter i samsvar med artikkel 290 i traktaten om Den europeiske unions virkemåte delegeres til Kommisjonen med hensyn til endring av den samlede massebaserte terskelverdien i vedlegg VII til nevnte forordning, dersom det er nødvendig, som fastsatt i samsvar med artikkel 2 nr. 3a i nevnte forordning, og utfylling av nevnte forordning for å fastslå at gebyrene som skal betales av autoriserte CBAM-deklaranter, direkte finansierer kostnadene ved drift og forvaltning av den felles sentrale plattformen. Det er særlig viktig at Kommisjonen holder hensiktsmessige samråd under sitt forberedende arbeid, herunder på ekspertnivå, og at slike samråd gjennomføres i samsvar med prinsippene fastsatt i den tverrinstitusjonelle avtalen av 13. april 2016 om bedre regelverksutforming9. For å sikre lik deltakelse i forberedelsen av delegerte rettsakter skal Europaparlamentet og Rådet særlig motta alle dokumenter samtidig som medlemsstatenes eksperter, og deres eksperter gis systematisk adgang til møter i Kommisjonens ekspertgrupper som omhandler forberedelsen av delegerte rettsakter.

  • 37) Ettersom målene for denne forordningen, som er å forenkle visse forpliktelser og styrke ordningen Unionen har innført for å hindre risikoen for karbonlekkasje og dermed redusere de globale karbonutslippene, ikke kan nås i tilstrekkelig grad av medlemsstatene og derfor på grunn av tiltakets omfang og virkninger bedre kan nås på unionsplan, kan Unionen treffe tiltak i samsvar med nærhetsprinsippet som fastsatt i artikkel 5 i traktaten om Den europeiske union. I samsvar med forholdsmessighetsprinsippet fastsatt i den nevnte artikkelen, går denne forordningen ikke lenger enn det som er nødvendig for å nå disse målene.

  • 38) For å sikre at delegerte rettsakter og gjennomføringsrettsakter i henhold til forordning (EU) 2023/956 skal kunne vedtas rettidig, bør denne forordningen tre i kraft dagen etter at den er kunngjort i Den europeiske unions tidende.

  • 39) Forordning (EU) 2023/956 bør derfor endres.

VEDTATT DENNE FORORDNINGEN:

Artikkel 1

Endring av forordning (EU) 2023/956

I forordning (EU) 2023/956 gjøres følgende endringer:

  • 1) I artikkel 2 gjøres følgende endringer:

    • a) Nr. 3 skal lyde:

      • «3. Som unntak fra nr. 1 og 2 skal denne forordningen ikke gjelde for varer som skal flyttes eller brukes i forbindelse med militær virksomhet i henhold til artikkel 1 nr. 49 i delegert kommisjonsforordning (EU) 2015/2446(*).

      • (*) Delegert kommisjonsforordning (EU) 2015/2446 av 28. juli 2015 om utfylling av europaparlaments- og rådsforordning (EU) nr. 952/2013 med hensyn til nærmere regler for visse bestemmelser i Unionens tollkodeks (EUT L 343 av 29.12.2015, s. 1, ELI: http://data.europa.eu/eli/reg_del/2015/2446/oj).».

    • b) Nytt nummer skal lyde:

      • «3a. Denne forordningen får ikke anvendelse på

        • a) elektrisitet som produseres på kontinentalsokkelen eller i den eksklusive økonomiske sonen til en medlemsstat eller til et land eller territorium oppført i vedlegg III nr. 1 og 2,

        • b) hydrogen med opprinnelse på kontinentalsokkelen eller i den eksklusive økonomiske sonen til en medlemsstat eller til et land eller territorium oppført i vedlegg III nr. 1.».

  • 2) Følgende artikkel innsettes:

    «Artikkel 2a

    De minimis-unntak

    • 1. En importør, herunder enhver importør med status som autorisert CBAM-deklarant, skal unntas fra forpliktelsene i henhold til denne forordningen dersom nettomassen av de importerte varene i et gitt kalenderår ikke kumulativt overstiger den samlede massebaserte terskelverdien fastsatt i vedlegg VII nr. 1 («den samlede massebaserte terskelverdien»). Denne terskelverdien får anvendelse på den samlede nettomassen av varer under alle KN-koder aggregert per importør og per kalenderår. I så fall skal importøren, herunder en importør med status som autorisert CBAM-deklarant, angi dette unntaket i den relevante tolldeklarasjonen.

    • 2. Dersom en importør, herunder enhver importør med status som autorisert CBAM-deklarant, i løpet av det aktuelle kalenderåret overskrider den samlede massebaserte terskelverdien, skal importøren eller den autoriserte CBAM-deklaranten være underlagt alle forpliktelser i henhold til denne forordningen med hensyn til alle utslipp som er innbakt i alle varer som er importert i det aktuelle kalenderåret.

    • 3. Innen 30. april hvert kalenderår skal Kommisjonen på grunnlag av importdataene for de foregående 12 kalendermånedene vurdere om den samlede massebaserte terskelverdien sikrer at nr. 1 i denne artikkelen får anvendelse på høyst 1 % av utslippene som er innbakt i de importerte varene og de bearbeidede produktene. Kommisjonen skal vedta delegerte rettsakter i samsvar med artikkel 28 for å endre den samlede massebaserte terskelverdien ved å bruke metoden i nr. 2 i vedlegg VII dersom verdien av den resulterende terskelverdien avviker fra den gjeldende terskelverdien med mer enn 15 tonn. Den endrede samlede massebaserte terskelverdien skal gjelde fra 1. januar i det følgende kalenderåret.

    • 4. Denne artikkelen får ikke anvendelse på import av elektrisitet eller hydrogen.».

  • 3) I artikkel 3 gjøres følgende endringer:

    • a) Nr. 15 skal lyde:

      • «15) «importør» enten personen som inngir en tolldeklarasjon for overgang til fri disponering av varer eller et oppgjørsdokument i samsvar med artikkel 175 nr. 5 i delegert forordning (EU) 2015/2446 i eget navn og på egne vegne, eller, dersom tolldeklarasjonen inngis av en indirekte tollrepresentant i samsvar med artikkel 18 i forordning (EU) nr. 952/2013, personen som en slik deklarasjon inngis på vegne av,».

    • b) Nr. 31 skal lyde:

      • «31) «operatør» enhver person som driver eller kontrollerer et anlegg i et tredjeland, inkludert et morselskap som kontrollerer et anlegg i et tredjeland,».

  • 4) I artikkel 5 gjøres følgende endringer:

    • a) Nr. 1 skal lyde:

      • «1. Enhver importør etablert i en medlemsstat skal, før import av varer til Unionens tollområde, søke om status som autorisert CBAM-deklarant («søknad om autorisasjon»).».

    • b) Nye numre skal lyde:

      • «1a. En indirekte tollrepresentant skal oppnå status som autorisert CBAM-deklarant før import av varer til Unionens tollområde. En indirekte tollrepresentant skal fungere som en autorisert CBAM-deklarant dersom den indirekte tollrepresentanten er oppnevnt av en importør i samsvar med artikkel 18 i forordning (EU) nr. 952/2013 og samtykker i å fungere som en autorisert CBAM-deklarant, uavhengig av om importøren er fritatt for forpliktelsene i henhold til denne forordningen i henhold til artikkel 2a i denne forordningen.

      • 1b. Dersom artikkel 2a får anvendelse, skal importøren inngi søknad om autorisasjon i tilfeller der importøren forventer å overskride den samlede massebaserte terskelverdien.».

    • c) Nr. 2 skal lyde:

      • «2. Dersom en importør ikke er etablert i en medlemsstat, skal den indirekte tollrepresentanten oppnå status som autorisert CBAM-deklarant, uavhengig av om importøren er fritatt for forpliktelsene i henhold til denne forordningen i henhold til artikkel 2a.».

    • d) Nytt nummer skal lyde:

      • «2a. Dersom en indirekte tollrepresentant opptrer som en autorisert CBAM-deklarant på vegne av en importør, skal den indirekte tollrepresentanten være underlagt de forpliktelsene som gjelder for importøren i henhold til denne forordningen, når det gjelder varer som er importert av denne indirekte tollrepresentanten på vegne av denne importøren.».

    • e) I nr. 5 gjøres følgende endringer:

      • i) Bokstav g) skal lyde:

        • «g) Anslått mengde av varer importert til Unionens tollområde etter varetype, og opplysninger om hvilke medlemsstater varene importeres til, for kalenderåret søknaden inngis og for det påfølgende kalenderåret.».

      • ii) Ny bokstav skal lyde:

        • «ga) nummeret på sertifikatet som godkjent økonomisk aktør (AEO), dersom søkeren har fått status som autorisert økonomisk aktør i samsvar med artikkel 38 i forordning (EU) nr. 952/2013.».

    • f) Nytt nummer skal lyde:

      • «7a. En autorisert CBAM-deklarant kan delegere innsendingen av CBAM-erklæringer som nevnt i artikkel 6 til en person som opptrer på vegne av den autoriserte CBAM-deklaranten og i dennes navn. Den autoriserte CBAM-deklaranten skal fortsatt være ansvarlig for at de forpliktelsene som gjelder for vedkommende i henhold til denne forordningen, overholdes.».

  • 5) I artikkel 6 gjøres følgende endringer:

    • a) Nr. 1 og 2 skal lyde:

      • «1. Innen 30. september hvert år, og første gang i 2027 for 2026, skal hver autorisert CBAM-deklarant bruke CBAM-registeret nevnt i artikkel 14 til å sende inn en CBAM-erklæring for det foregående kalenderåret.

      • 2. CBAM-erklæringen skal inneholde følgende opplysninger:

        • a) Den samlede mengden av hver varetype som er importert i løpet av foregående kalenderår, uttrykt i megawattimer for elektrisitet og i tonn for andre varer, herunder importerte varer som faller under den samlede massebaserte terskelverdien.

        • b) De totale innbakte utslippene i varene nevnt i bokstav a) i dette nummeret, uttrykt i tonn CO2-ekvivalenter som slippes ut per megawattime elektrisitet eller, for andre varer, i tonn CO2-ekvivalenter som slippes ut per tonn av hver varetype, beregnet i samsvar med artikkel 7 og, der de innbakte utslippene bestemmes på grunnlag av faktiske utslipp, verifisert i samsvar med artikkel 8.

        • c) Det totale antallet CBAM-sertifikater som skal innleveres, som tilsvarer de totale innbakte utslippene nevnt i bokstav b) i dette nummeret, etter reduksjonen som skal betales på grunn av karbonprisen som er betalt i et tredjeland i samsvar med artikkel 9, og justeringen som er nødvendig for å gjenspeile i hvilken grad EU ETS-kvoter tildeles vederlagsfritt i samsvar med artikkel 31.

        • d) Der det er relevant, kopier av verifiseringsrapporter utstedt av akkrediterte verifikatører i henhold til artikkel 8 og vedlegg VI.».

    • b) Nr. 6 skal lyde:

      • «6. Kommisjonen gis myndighet til å vedta gjennomføringsrettsakter om standardformatet for CBAM-erklæringen, herunder nærmere opplysninger for hvert anlegg og hvert opprinnelsesland eller annet tredjeland og hver varetype som skal rapporteres, som underbygger de totale mengdene og tallene nevnt i nr. 2 i denne artikkelen, særlig når det gjelder innbakte utslipp, betalt karbonpris, standard karbonpris med henblikk på artikkel 9 nr. 4, framgangsmåten for innsending av CBAM-erklæringen via CBAM-registeret og ordningene for innlevering av CBAM-sertifikatene nevnt i nr. 2 bokstav c) i denne artikkelen, i samsvar med artikkel 22 nr. 1, særlig når det gjelder prosessen og utvelgelsen av sertifikater som skal innleveres av den autoriserte CBAM-deklaranten. Disse gjennomføringsrettsaktene skal vedtas i samsvar med undersøkelsesprosedyren som det vises til i artikkel 29 nr. 2.».

  • 6) I artikkel 7 gjøres følgende endringer:

    • a) Nr. 2 skal lyde:

      • «2. Innbakte utslipp i andre varer enn elektrisitet skal fastsettes

      • a) på grunnlag av de faktiske utslippene i samsvar med metodene fastsatt i nr. 2 og 3 i vedlegg IV, eller

      • b) med henvisning til standardverdier i samsvar med metodene fastsatt i punkt 4.1 i vedlegg IV.».

    • b) Nr. 5 skal lyde:

      • «5. Den autoriserte CBAM-deklaranten skal oppbevare de opplysningene som er nødvendige for å beregne de innbakte utslippene i samsvar med kravene i vedlegg V. Denne dokumentasjonen skal være tilstrekkelig detaljert til at verifikatører som er akkreditert i henhold til artikkel 18, der dette er aktuelt, kan kontrollere de innbakte utslippene i samsvar med artikkel 8 og vedlegg VI, og til at Kommisjonen og vedkommende myndighet kan gjennomgå CBAM-erklæringen i samsvar med artikkel 19 nr. 2.».

    • c) I nr. 7 skal bokstav a) lyde:

      • «a) anvendelsen av elementene i beregningsmetodene fastsatt i vedlegg IV, herunder fastsettelse av systemgrenser for produksjonsprosesser, som skal tilpasses dem som omfattes av EU ETS, og relevante innsatsmaterialer (forløpere), utslippsfaktorer, anleggsspesifikke verdier for faktiske utslipp og standardverdier og deres respektive anvendelse på individuelle varer, samt fastsettelse av metoder for å sikre påliteligheten av data som danner grunnlag for fastsettelse av standardverdiene, herunder detaljnivået for dataene, og herunder ytterligere spesifisering av varer som skal anses som «enkle varer» og «sammensatte varer» med henblikk på vedlegg IV nr. 1. I disse gjennomføringsrettsaktene skal det også angis hvilke elementer av dokumentasjon som godtgjør at kriteriene som kreves for å rettferdiggjøre bruken av faktiske utslipp for importert elektrisitet og for elektrisitet som forbrukes i produksjonsprosessene for varer med henblikk på nr. 2, 3 og 4, og som er oppført i vedlegg IV nr. 5 og 6, er oppfylt, og».

  • 7) I artikkel 8 skal nr. 1 lyde:

    • «1. Når de innbakte utslippene fastsettes på grunnlag av faktiske utslipp, skal den autoriserte CBAM-deklaranten sikre at de samlede innbakte utslippene som er oppgitt i CBAM-erklæringen innsendt i henhold til artikkel 6, verifiseres av en verifikatør som er akkreditert i henhold til artikkel 18, på grunnlag av verifiseringsprinsippene fastsatt i vedlegg VI.».

  • 8) Artikkel 9 skal lyde:

    «Artikkel 9

    Karbonpris betalt i et tredjeland

    • 1. Når de innbakte utslippene fastsettes på grunnlag av faktiske utslipp, kan en autorisert CBAM-deklarant i CBAM-erklæringen kreve en reduksjon i antall CBAM-sertifikater som skal innleveres, for å ta hensyn til karbonprisen som er betalt i et tredjeland for de innbakte utslippene som er deklarert. Reduksjonen kan bare kreves dersom karbonprisen faktisk er betalt i et tredjeland. I et slikt tilfelle skal det tas hensyn til enhver rabatt eller annen form for kompensasjon som er tilgjengelig i landet, og som ville ha ført til en reduksjon av karbonprisen.

    • 2. Den autoriserte CBAM-deklaranten skal oppbevare dokumentasjonen som er nødvendig for å godtgjøre at de deklarerte innbakte utslippene var underlagt en karbonpris i et tredjeland for de varene som faktisk er betalt, som nevnt i nr. 1. Den autoriserte CBAM-deklaranten skal særlig holde dokumentasjon knyttet til enhver rabatt eller annen form for kompensasjon tilgjengelig, særlig henvisninger til lovgivningen i det aktuelle landet. Opplysningene i dokumentasjonen skal sertifiseres av en person som er uavhengig av den autoriserte CBAM-deklaranten og av myndighetene i tredjelandet. Den uavhengige personens navn og kontaktopplysninger skal være oppført på dokumentasjonen. Den autoriserte CBAM-deklaranten skal også oppbevare dokumentasjon for den faktiske betalingen av karbonprisen.

    • 3. Den autoriserte CBAM-deklaranten skal oppbevare dokumentasjonen nevnt i nr. 2 fram til utgangen av det fjerde året etter det året der CBAM-erklæringen ble eller burde ha blitt innsendt.

    • 4. Som unntak fra nr. 1, 2 og 3 kan en autorisert CBAM-deklarant i CBAM-erklæringen kreve en reduksjon i antall CBAM-sertifikater som skal innleveres, for å ta hensyn til karbonprisen som er betalt for de innbakte utslippene som er deklarert, med henvisning til de årlige standardkarbonprisene. I et slikt tilfelle skal det tas hensyn til enhver rabatt eller annen form for kompensasjon som er tilgjengelig i landet, og som ville ha ført til en reduksjon av standardkarbonprisen. Reduksjonen kan bare kreves dersom en karbonpris ble fastsatt ved gjeldende regler i tredjelandet, og en årlig standardkarbonpris kan fastsettes, også på et konservativt grunnlag, for det aktuelle tredjelandet. Når de innbakte utslippene bestemmes på grunnlag av standardverdier, kan en reduksjon bare kreves med henvisning til årlige standardkarbonpriser.

      Fra og med 2027 kan Kommisjonen, for tredjeland der regler for karbonprising er på plass, fastsette og gjøre tilgjengelig i CBAM-registeret nevnt i artikkel 14 standardkarbonprisene for disse tredjelandene og offentliggjøre metodikken for beregningen av dem. Kommisjonen skal gjøre dette på grunnlag av de beste tilgjengelige dataene fra pålitelige, offentlig tilgjengelige opplysninger og opplysninger fra disse tredjelandene. Kommisjonen skal ta hensyn til enhver rabatt eller annen form for kompensasjon som er tilgjengelig i det aktuelle tredjelandet, og som ville ha ført til en reduksjon av standardkarbonprisen.

    • 5. Kommisjonen gis myndighet til å vedta gjennomføringsrettsakter om omregning av den årlige gjennomsnittlige karbonprisen som faktisk er betalt i samsvar med nr. 1, og de årlige standardkarbonprisene fastsatt i samsvar med nr. 4, til en tilsvarende reduksjon av antall CBAM-sertifikater som skal innleveres. Disse rettsaktene skal også regulere omregning av karbonprisen uttrykt i utenlandsk valuta til euro med den årlige gjennomsnittlige valutakursen, dokumentasjonen som kreves for at karbonprisen faktisk er betalt, eksempler på enhver relevant rabatt eller annen form for kompensasjon nevnt i nr. 1 i denne artikkelen, kvalifikasjonene til den uavhengige personen nevnt i nr. 2 i denne artikkelen og vilkårene for å fastslå vedkommendes uavhengighet. Disse gjennomføringsrettsaktene skal vedtas i samsvar med undersøkelsesprosedyren som det vises til i artikkel 29 nr. 2.».

  • 9) Artikkel 10 skal lyde:

    «Artikkel 10

    Registrering av operatører og av anlegg i tredjeland

    • 1. Kommisjonen skal på anmodning fra en operatør av et anlegg i et tredjeland registrere opplysningene om operatøren og om anlegget i CBAM-registeret nevnt i artikkel 14.

    • 2. Anmodningen om registrering i henhold til nr. 1 skal inneholde følgende opplysninger som skal inngå i CBAM-registeret ved registrering:

      • a) Navn, adresse, organisasjons- eller aktivitetsregistreringsnummer og kontaktopplysninger for operatøren og, dersom det er relevant, for dennes kontrollerende enheter, inkludert morselskapet til denne operatøren, sammen med støttedokumenter.

      • b) Plasseringen av hvert anlegg, herunder den fullstendige adressen og de geografiske koordinatene, uttrykt i lengdegrad og breddegrad, med seks desimaler.

      • c) Anleggets viktigste økonomiske aktivitet.

    • 3. Kommisjonen skal underrette operatøren om registreringen i CBAM-registeret. Registreringen skal være gyldig i et tidsrom på fem år fra datoen for melding til operatøren for anlegget.

    • 4. Operatøren skal uten opphold underrette Kommisjonen om eventuelle endringer av opplysningene nevnt i nr. 2 foretatt etter registreringen, og Kommisjonen skal oppdatere de relevante opplysningene i CBAM-registeret.

    • 5. Operatøren skal

      • a) bestemme de innbakte utslippene beregnet i samsvar med metodene fastsatt i vedlegg IV, etter type varer produsert ved anlegget nevnt i nr. 1 i denne artikkelen,

      • b) sikre at de innbakte utslippene omhandlet i bokstav a) i dette nummer verifiseres i samsvar med verifiseringsprinsippene i vedlegg VI av en verifikatør som er akkreditert i henhold til artikkel 18,

      • c) oppbevare en kopi av verifiseringsrapporten samt registre over opplysningene som kreves for å beregne de innbakte utslippene i varer i samsvar med kravene fastsatt i vedlegg V i et tidsrom på fire år etter at verifiseringen er utført, og, dersom det er relevant, en kopi av dokumentasjonen som kreves for å godtgjøre at de deklarerte innbakte utslippene var underlagt en karbonpris i et tredjeland som faktisk er betalt, frem til utgangen av det fjerde året etter det året den uavhengige personen har sertifisert opplysningene i dokumentasjonen i samsvar med artikkel 9 nr. 2,

      • d) fastsette, dersom det er relevant, karbonprisen som er betalt i et tredjeland i samsvar med artikkel 9, og laste opp medfølgende dokumentasjon og bevis.

    • 6. Registrene nevnt i nr. 5 bokstav c) i denne artikkelen skal være tilstrekkelig detaljerte til å muliggjøre verifisering av de innbakte utslippene i samsvar med artikkel 8 og vedlegg VI, og til å muliggjøre gjennomgang, i samsvar med artikkel 19, av CBAM-erklæringen som er framlagt av en autorisert CBAM-deklarant som de relevante opplysningene ble utlevert til i samsvar med nr. 7 i denne artikkelen.

    • 7. En operatør kan offentliggjøre opplysningene nevnt i nr. 5 i denne artikkelen om verifiseringen av innbakte utslipp og karbonprisen som er betalt i et tredjeland, til en autorisert CBAM-deklarant. Den autoriserte CBAM-deklaranten skal ha rett til å bruke den utleverte informasjonen for å oppfylle forpliktelsen nevnt i artikkel 8.

    • 8. Operatøren kan når som helst be om å bli avregistrert fra CBAM-registeret. Kommisjonen skal på en slik anmodning og etter å ha underrettet vedkommende myndigheter avregistrere operatøren og slette opplysningene i CBAM-registeret om vedkommende operatør og om anlegget, forutsatt at slike opplysninger ikke er nødvendige for gjennomgangen av CBAM-erklæringene som er innsendt. Kommisjonen kan, etter å ha gitt den berørte operatøren mulighet til å bli hørt og etter å ha rådført seg med de aktuelle vedkommende myndigheter, også avregistrere opplysningene dersom Kommisjonen finner at opplysningene om vedkommende operatør ikke lenger er nøyaktige. Kommisjonen skal underrette vedkommende myndigheter om slike avregistreringer.».

  • 10) Følgende artikkel innsettes:

    «Artikkel 10a

    Registrering av akkrediterte verifikatører

    • 1. Når det gis en akkreditering i samsvar med artikkel 18, skal verifikatøren fremme en anmodning om registrering i CBAM-registeret til vedkommende myndighet i medlemsstaten der det nasjonale akkrediteringsorganet er etablert. Verifikatøren skal fremme anmodning om registrering innen to måneder etter at akkrediteringen ble gitt, men ikke før 1. september 2026. Vedkommende myndighet skal registrere opplysningene om den akkrediterte verifikatøren i CBAM-registeret.

    • 2. Anmodningen om registrering i CBAM-registeret i henhold til nr. 1 skal minst inneholde følgende opplysninger:

      • a) Verifikatørens navn og unike identifikasjonsnummer for akkreditering.

      • b) Ethvert akkrediteringsområde som er relevant for CBAM.

      • c) Landet der verifikatøren er etablert.

      • d) Datoen der akkrediteringen trer i kraft og utløpsdato for akkrediteringssertifikatene som er relevante for CBAM.

      • e) Eventuelle opplysninger om administrative tiltak som verifikatøren er pålagt og som er relevante for CBAM.

      • f) Kopi av akkrediteringssertifikatet som er relevant for CBAM.

      Opplysningene nevnt i første ledd skal tas med i CBAM-registeret ved registrering av verifikatøren.

    • 3. Vedkommende myndighet skal underrette verifikatøren om registreringen i CBAM-registeret. Vedkommende myndighet skal også gjennom CBAM-registeret underrette Kommisjonen og de øvrige vedkommende myndigheter om registreringen.

    • 4. Verifikatøren skal underrette vedkommende myndighet om eventuelle endringer i opplysningene nevnt i nr. 2 som oppstår etter registreringen i CBAM-registeret. Vedkommende myndighet skal sikre at CBAM-registeret oppdateres tilsvarende.

    • 5. Med henblikk på artikkel 10 nr. 5 bokstav b) skal verifikatøren bruke CBAM-registeret til å verifisere de innbakte utslippene.

    • 6. Vedkommende myndighet skal avregistrere en verifikatør fra CBAM-registeret dersom verifikatøren ikke lenger er akkreditert i henhold til artikkel 18, eller dersom verifikatøren ikke har oppfylt forpliktelsen fastsatt i nr. 4 i denne artikkel. Vedkommende myndighet skal underrette Kommisjonen og de øvrige vedkommende myndigheter om avregistreringen. Vedkommende myndighet skal slette opplysningene i CBAM-registeret om den akkrediterte verifikatøren, forutsatt at slike opplysninger ikke er nødvendige for gjennomgangen av CBAM-erklæringene som er innsendt.».

  • 11) I artikkel 11 gjøres følgende endringer:

    • a) I nr. 1 skal første ledd lyde:

      «Hver medlemsstat skal utpeke den vedkommende myndigheten som skal utføre oppgavene og pliktene i henhold til denne forordningen, underrette Kommisjonen om dette og sikre at den vedkommende myndigheten har alle de fullmakter som er nødvendige for å utføre disse oppgavene og pliktene.».

    • b) Nytt nummer skal lyde:

      • «3. Med henblikk på rapporten nevnt i artikkel 30 nr. 6 skal vedkommende myndigheter på anmodning fra Kommisjonen og på grunnlag av spørreskjemaet framlegge relevante opplysninger om gjennomføringen av denne forordningen.».

  • 12) I artikkel 14 gjøres følgende endringer:

    • a) Nr. 3 og 4 skal lyde:

      • «3. CBAM-registeret skal i en egen del inneholde opplysninger om operatører og anlegg i tredjeland som er registrert i samsvar med artikkel 10 nr. 2, og opplysninger om akkrediterte verifikatører som er registrert i samsvar med artikkel 10a.

      • 4. Opplysningene i CBAM-registeret nevnt i nr. 2 og 3 skal være konfidensielle, med unntak av navn, adresser, organisasjons- eller aktivitetsregistreringsnumre, kontaktopplysningene til operatørene, plasseringen av anlegg i tredjeland og opplysningene om akkrediterte verifikatører omhandlet i artikkel 10a nr. 2. En operatør kan velge å ikke få sitt navn, sin adresse, sitt organisasjons- eller aktivitetsregistreringsnummer, sine kontaktopplysninger eller plasseringen av sine anlegg gjort tilgjengelig for allmennheten. Den offentlige informasjonen i CBAM-registeret skal gjøres tilgjengelig av Kommisjonen i et interoperabelt format.».

    • b) Nr. 6 skal lyde:

      • «6. Kommisjonen skal vedta gjennomføringsrettsakter for infrastrukturen og de spesifikke prosessene og framgangsmåtene i CBAM-registeret, herunder risikoanalysen nevnt i artikkel 15, de elektroniske databasene som inneholder opplysningene nevnt i nr. 2 og 3 i denne artikkelen, framgangsmåten og de tekniske kvalifikasjonene for delegeringen nevnt i artikkel 5 nr. 7a, opplysningene om kontoene i CBAM-registeret nevnt i artikkel 16, overføringen til CBAM-registeret av opplysningene om salg og tilbakekjøp av CBAM-sertifikater nevnt i artikkel 20, kryssjekkingen av opplysningene nevnt i artikkel 25 nr. 3 og opplysningene nevnt i artikkel 25a nr. 3. Disse gjennomføringsrettsaktene skal vedtas i samsvar med undersøkelsesprosedyren som det vises til i artikkel 29 nr. 2.».

  • 13) I artikkel 17 gjøres følgende endringer:

    • a) I nr. 1 skal andre ledd lyde:

      «Før vedkommende myndighet tildeler status som autorisert CBAM-deklarant, kan den via CBAM-registeret rådføre seg med relevante vedkommende myndigheter eller Kommisjonen om oppfyllelsen av kriteriene fastsatt i nr. 2. Høringsprosedyren skal ikke overstige 15 kalenderdager.».

    • b) Nr. 5 skal lyde:

      • «5. For å oppfylle kriteriene fastsatt i nr. 2 bokstav b) i denne artikkelen skal vedkommende myndighet kreve at det stilles en garanti dersom søkeren ikke var etablert i de to regnskapsårene før året da søknaden i samsvar med artikkel 5 nr. 1 ble inngitt.

        Vedkommende myndighet skal fastsette garantibeløpet til et beløp beregnet som den samlede verdien av antallet CBAM-sertifikater som den autoriserte CBAM-deklaranten ville måtte innlevere i samsvar med artikkel 22 med hensyn til import av varer rapportert i samsvar med artikkel 5 nr. 5 bokstav g), idet det tas hensyn til justeringen som er nødvendig for å gjenspeile i hvilken grad EU ETS-kvoter tildeles vederlagsfritt i samsvar med artikkel 31. Garantien som stilles, skal være en bankgaranti som skal betales ved første påkrav av en finansinstitusjon som driver virksomhet i Unionen, eller en annen form for garanti som gir tilsvarende sikkerhet.

    • c) Nr. 7 skal lyde:

      • «7. Vedkommende myndighet skal frigi garantien umiddelbart etter den 30. september i det andre året der den autoriserte CBAM-deklaranten har innlevert CBAM-sertifikater i samsvar med artikkel 22.

    • d) Nytt nummer skal lyde:

      • «7a. Som unntak fra artikkel 4 kan en importør eller en indirekte tollrepresentant som har inngitt en søknad i samsvar med artikkel 5 innen 31. mars 2026, midlertidig fortsette å importere varer inntil vedkommende myndighet treffer en beslutning i henhold til denne artikkel.

        Dersom vedkommende myndighet nekter å gi tillatelse i samsvar med nr. 3, skal vedkommende myndighet innen en måned etter datoen for vedtaket fastsette utslippene som er innebygd i varene som er importert mellom 1. januar 2026 og datoen for vedtaket, på grunnlag av opplysningene som er oversendt i samsvar med artikkel 25 nr. 3, og med henvisning til standardverdier i samsvar med metodene fastsatt i vedlegg IV, og på grunnlag av andre relevante opplysninger.

      Disse fastsatte utslippene skal brukes ved beregning av overtredelsesgebyr i samsvar med artikkel 26 nr. 2a.».

    • e) I nr. 8 skal andre ledd lyde:

      «Før vedkommende myndighet tilbakekaller status som autorisert CBAM-deklarant, skal den gi den autoriserte CBAM-deklaranten mulighet til å bli hørt. Vedkommende myndighet kan via CBAM-registeret rådføre seg med relevante vedkommende myndigheter eller Kommisjonen om vilkårene og kriteriene for tilbakekallingen. Høringsprosedyren skal ikke overstige 15 kalenderdager.».

    • f) I nr. 10 skal bokstav e) lyde:

      • «e) de konkrete tidsfristene, omfanget og formatet for høringsprosedyren nevnt i nr. 1 og 8 i denne artikkelen.».

  • 14) I artikkel 18 gjøres følgende endringer:

    • a) Nr. 1 utgår.

    • b) Nr. 2 skal lyde:

      • «2. Et nasjonalt akkrediteringsorgan kan på anmodning akkreditere en juridisk person som verifikatør i henhold til denne forordningen dersom organet på grunnlag av dokumentasjonen som det får tilsendt, anser at vedkommende er i stand til å anvende verifiseringsprinsippene nevnt i vedlegg VI når vedkommende utfører verifiseringsoppgavene for de innbakte utslippene i henhold til artikkel 8 og 10. Når den juridiske personen er akkreditert i samsvar med gjennomføringsforordning (EU) 2018/2067 for en relevant gruppe aktiviteter, skal det nasjonale akkrediteringsorganet ta hensyn til denne akkrediteringen ved vurderingen av kvalifikasjonene til en akkreditert verifikatør som er nødvendige for å utføre verifiseringen med henblikk på denne forordningen.».

  • 15) I artikkel 19 nr. 3 skal andre ledd lyde:

    «Kommisjonen skal også lette utvekslingen av opplysninger med vedkommende myndigheter om bedrageri, om konklusjonene som treffes i henhold til artikkel 25a og om overtredelsesgebyrene som ilegges i samsvar med artikkel 26.».

  • 16) I artikkel 20 gjøres følgende endringer:

    • a) Nr. 1 skal lyde:

      • «1. Fra 1. februar 2027 skal en medlemsstat selge CBAM-sertifikater på en felles sentral plattform til autoriserte CBAM-deklaranter som er etablert i den aktuelle medlemsstaten.».

    • b) Nr. 3 skal lyde:

      • «3. Opplysningene om salg og tilbakekjøp av CBAM-sertifikater i den felles sentrale plattformen skal overføres til CBAM-registeret på slutten av hver virkedag.».

    • c) Nytt nummer skal lyde:

      • «5a. Kostnader som påløper i forbindelse med opprettelse, drift og forvaltning av den felles sentrale plattformen, skal finansieres av gebyrer som skal betales av autoriserte CBAM-deklaranter.

        Under varigheten av den første felles kontrakten om offentlige innkjøp for opprettelse, drift og forvaltning av den felles sentrale plattformen, skal disse kostnadene innledningsvis dekkes over Unionens alminnelige budsjett. For dette formålet skal inntektene fra gebyrene utgjøre interne inntekter avsatt til et bestemt formål i samsvar med artikkel 21 nr. 3 bokstav a) i europaparlaments- og rådsforordning (EU, Euratom) 2024/2509 (*).». Disse inntektene skal avsettes til å dekke kostnadene ved opprettelse, drift og forvaltning av den felles sentrale plattformen. Eventuelle inntekter som gjenstår etter at disse kostnadene er dekket, skal overføres til unionsbudsjettet.

        Under varigheten av de påfølgende felles kontraktene om offentlige innkjøp for drift og forvaltning av den felles sentrale plattformen, skal Kommisjonen vedta en delegert rettsakt i samsvar med artikkel 28, som skal utfylle denne forordningen, for å fastslå at gebyrene som skal betales av autoriserte CBAM-deklaranter, direkte skal finansiere kostnadene ved drift og forvaltning av den felles sentrale plattformen.

        (*) Europaparlaments- og rådsforordning (EU, Euratom) 2024/2509 av 23. september 2024 om finansielle regler for Unionens alminnelige budsjett (EUT L, 2024/2509, 26.9.2024, ELI: http://data.europa.eu/eli/reg/2024/2509/oj).».

    • d) Nr. 6 skal lyde:

      • «6. Kommisjonen gis myndighet til å vedta delegerte rettsakter i samsvar med artikkel 28 for å utfylle denne forordningen ved nærmere å angi tidsskjema, administrasjon, struktur og nivå på gebyrene og andre sider ved forvaltningen av salg og tilbakekjøp av CBAM-sertifikater, samt organisering og bruk av den felles sentrale plattformen, og søke å oppnå samsvar med framgangsmåtene i delegert kommisjonsforordning (EU) nr. 2023/2830(*). De delegerte rettsaktene skal sikre at organiseringen og bruken av den felles sentrale plattformen er kostnadseffektiv, at nivået på gebyrene fastsettes slik at de utelukkende dekker de relevante kostnadene, og at unødvendige administrative kostnader unngås.

      • (*) Delegert kommisjonsforordning (EU) 2023/2830 av 17. oktober 2023 om utfylling av europaparlaments- og rådsdirektiv 2003/87/EF ved fastsettelse av regler for tidsskjema, administrasjon og andre sider ved auksjonering av utslippskvoter for klimagasser (EUT L, 2023/2830, 20.12.2023, ELI: http://data.europa.eu/eli/reg_del/2023/2830/oj).

  • 17) I artikkel 21 gjøres følgende endringer:

    • a) I nr. 1 skal første ledd lyde:

      • «1. Kommisjonen skal beregne prisen på CBAM-sertifikater som gjennomsnittet av sluttprisene på EU ETS-kvoter på auksjonsplattformen, i samsvar med framgangsmåtene fastsatt i forordning (EU) 2023/2830, for hver kalenderuke.».

    • b) Nytt nummer skal lyde:

      • «1a. Som unntak fra nr. 1 skal Kommisjonen beregne prisen på CBAM-sertifikater som tilsvarer de innbakte utslippene som er oppgitt for 2026 i samsvar med artikkel 6 nr. 2 bokstav b), som det kvartalsvise gjennomsnittet av sluttprisene på EU ETS-kvoter på auksjonsplattformen, i samsvar med framgangsmåtene fastsatt i delegert forordning (EU) 2023/2830, for importkvartalet for varene som disse utslippene er innbakt i.».

    • c) Nr. 3 skal lyde:

      • «3. Kommisjonen gis myndighet til å vedta gjennomføringsrettsakter for anvendelsen av metoden fastsatt i nr. 1 og 1a i denne artikkel for å beregne prisen på CBAM-sertifikater og de praktiske ordningene for offentliggjøring av denne prisen. Disse gjennomføringsrettsaktene skal vedtas i samsvar med undersøkelsesprosedyren som det vises til i artikkel 29 nr. 2.».

  • 18) I artikkel 22 gjøres følgende endringer:

    • a) Nr. 1 skal lyde:

      • «1. Innen 30. september hvert år, og første gang i 2027 for 2026, skal den autoriserte CBAM-deklaranten innlevere via CBAM-registeret et antall CBAM-sertifikater som tilsvarer de innbakte utslippene som er oppgitt i samsvar med artikkel 6 nr. 2 bokstav c), og verifisert i samsvar med artikkel 8, for kalenderåret før innleveringen. Kommisjonen skal fjerne innleverte CBAM-sertifikater fra CBAM-registeret. Den autoriserte CBAM-deklaranten skal sikre at det nødvendige antallet CBAM-sertifikater er tilgjengelig på dennes konto i CBAM-registeret.».

    • b) Nr. 2 skal lyde:

      • «2. Fra 2027 skal den autoriserte CBAM-deklaranten sikre at antallet CBAM-sertifikater på vedkommendes konto i CBAM-registeret ved utgangen av hvert kvartal tilsvarer minst 50 % av de innbakte utslippene fra alle varer deklaranten har importert siden begynnelsen av kalenderåret, bestemt ved henvisning til enten

        • a) standardverdier i samsvar med metodene fastsatt i vedlegg IV uten påslaget omhandlet i nr. 4.1 i det nevnte vedlegget, eller

        • b) antallet CBAM-sertifikater som er innlevert i samsvar med nr. 1 for det siste kalenderåret før innleveringsåret, forutsatt at tolldeklarasjonen for import av varer refererer til de samme varene etter KN-kode og opprinnelsesland som CBAM-erklæringen innsendt i det siste kalenderåret før det inneværende året.

        Ved anvendelsen av dette nummeret skal det tas hensyn til justeringen for vederlagsfri tildeling som er nevnt i artikkel 31.».

    • c) Nytt nummer skal lyde:

      • «2a. Den autoriserte CBAM-deklaranten skal oppfylle forpliktelsen fastsatt i nr. 2 innen utgangen av kvartalet som følger etter det kvartalet der den samlede massebaserte terskelverdien overskrides.».

  • 19) I artikkel 23 gjøres følgende endringer:

    • a) I nr. 1 skal andre ledd lyde:

      «Kommisjonen skal kjøpe tilbake de overskytende CBAM-sertifikatene gjennom den felles sentrale plattformen nevnt i artikkel 20 på vegne av medlemsstaten der den autoriserte CBAM-deklaranten er etablert. Den autoriserte CBAM-deklaranten skal sende inn anmodningen om tilbakekjøp innen 31. oktober hvert år for de årene det ble innlevert CBAM-sertifikater.».

    • b) Nr. 2 skal lyde:

      • «2. Antall CBAM-sertifikater som er gjenstand for tilbakekjøp som nevnt i nr. 1, skal begrenses til det samlede antallet CBAM-sertifikater som den autoriserte CBAM-deklaranten hadde plikt til å kjøpe i henhold til artikkel 22 nr. 2 i løpet av kalenderåret der CBAM-sertifikatene ble kjøpt.

        Dersom en autorisert CBAM-deklarant som har kjøpt CBAM-sertifikater i et kalenderår på grunnlag av en forventning om å overskride den samlede massebaserte terskelverdien, ikke overskrider en slik terskelverdi, skal alle disse CBAM-sertifikatene kjøpes tilbake på anmodning fra den autoriserte CBAM-deklaranten i henhold til nr. 1 i denne artikkelen.»

    • c) Nytt nummer skal lyde:

      • «2a. Som unntak fra nr. 2 kan CBAM-sertifikater som er kjøpt i 2027 med hensyn til innbakte utslipp for året 2026, bare kjøpes tilbake i 2027.».

  • 20) Artikkel 24 skal lyde:

    «Artikkel 24

    Sletting av CBAM-sertifikater

    • 1. Den 1. november hvert år skal Kommisjonen slette alle CBAM-sertifikater som ble kjøpt i løpet av året før det foregående kalenderåret, og som ble stående på kontoen til en autorisert CBAM-deklarant i CBAM-registeret. Disse CBAM-sertifikatene skal slettes uten kompensasjon.

    • 2. Som unntak fra nr. 1 skal Kommisjonen den 1. november 2027 slette alle CBAM-sertifikater som er kjøpt med hensyn til innbakte utslipp for året 2026. Disse CBAM-sertifikatene skal slettes uten kompensasjon.

    • 3. Dersom antallet CBAM-sertifikater som skal innleveres, bestrides i en pågående tvist i en medlemsstat, skal Kommisjonen suspendere slettingen av CBAM-sertifikatene i et omfang som tilsvarer det omtvistede beløpet. Vedkommende myndighet i medlemsstaten der den autoriserte CBAM-deklaranten er etablert, skal uten opphold oversende alle relevante opplysninger til Kommisjonen.».

  • 21) I artikkel 25 skal nr. 1–4 lyde:

    • «1. Uten at det berører artikkel 2a, skal tollmyndighetene ikke tillate at varer importeres av andre personer enn en autorisert CBAM-deklarant.

    • 2. Tollmyndighetene skal periodisk og automatisk, særlig ved hjelp av tilsynsmekanismen som er fastsatt i henhold til artikkel 56 nr. 5 i forordning (EU) nr. 952/2013, meddele Kommisjonen spesifikke opplysninger om varene som er deklarert for import. Disse opplysningene skal omfatte importørens eller den autoriserte CBAM-deklarantens EORI-nummer eller identifikasjonsform som er meddelt i samsvar med artikkel 6 nr. 2 i delegert forordning (EU) 2015/2446, den autoriserte CBAM-deklarantens CBAM-kontonummer, varenes åttesifrede KN-kode, mengde, opprinnelsesland, datoen for tolldeklarasjonen og tollprosedyren. Dersom importøren ikke har et EORI-nummer, skal tollmyndighetene også meddele Kommisjonen importørens navn og adresse, samt kontaktopplysninger der slike er tilgjengelige.

    • 3. Kommisjonen skal periodisk oversende opplysningene nevnt i nr. 2 i denne artikkelen til vedkommende myndighet i medlemsstaten der den autoriserte CBAM-deklaranten eller importøren er etablert, og skal for hver CBAM-deklarant kryssjekke disse opplysningene med opplysningene i CBAM-registeret i henhold til artikkel 14.

    • 4. Tollmyndighetene kan i henhold til artikkel 12 nr. 1 i forordning (EU) nr. 952/2013 oversende fortrolige opplysninger som de har innhentet under utførelsen av sine oppgaver, eller som er gitt til tollmyndighetene på fortrolig grunnlag, til Kommisjonen og til vedkommende myndighet i medlemsstaten som har tildelt status som autorisert CBAM-deklarant, eller til vedkommende myndighet i medlemsstaten der den autoriserte CBAM-deklaranten eller importøren er etablert.».

  • 22) Følgende artikkel innsettes:

    «Artikkel 25a

    Overvåking og håndheving av den samlede massebaserte terskelverdien

    • 1. Kommisjonen skal overvåke importen av varer med sikte på å overvåke at den samlede massebaserte terskelverdien overholdes.

      Vedkommende myndigheter i medlemsstaten der importøren er etablert, kan også overvåke overholdelsen av den samlede massebaserte terskelverdien.

      Kommisjonen skal periodisk og automatisk utveksle med vedkommende myndigheter opplysninger som er nødvendige for å føre tilsyn med importører via CBAM-registeret. Slike opplysninger skal omfatte en liste over importører som overskrider 90 % av den samlede massebaserte terskelverdien.

    • 2. Dersom Kommisjonen på grunnlag av en foreløpig vurdering og opplysningene som tollmyndighetene har oversendt Kommisjonen i henhold til artikkel 25 nr. 2, anser at en importør har overskredet den samlede massebaserte terskelverdien, skal den oversende disse opplysningene samt grunnlaget for sin foreløpige vurdering til vedkommende myndighet i medlemsstaten der importøren er etablert.

      Vedkommende myndighet kan anmode om at importøren eller Kommisjonen framlegger dokumentasjon som er nødvendig for å vurdere om importøren har overskredet den samlede massebaserte terskelverdien. Dersom dokumentasjonen ikke er tilstrekkelig til å vurdere om importøren har overskredet denne terskelverdien, kan vedkommende myndigheter kreve ytterligere dokumentasjon fra tollmyndighetene dersom slik dokumentasjon foreligger.

    • 3. Dersom vedkommende myndighet konkluderer med at en importør som ikke er en autorisert CBAM-deklarant, har overskredet den samlede massebaserte terskelverdien, skal den uten unødig opphold treffe en beslutning om dette. Beslutningen skal begrunnes og inneholde opplysninger om klageadgang. Vedkommende myndighet skal underrette importøren om de forpliktelser som gjelder i henhold til denne forordningen, herunder, dersom det er relevant, plikten til å oppnå status som autorisert CBAM-deklarant i samsvar med artikkel 5 før import av ytterligere varer. Vedkommende myndighet skal også underrette tollmyndighetene og Kommisjonen om denne beslutningen via CBAM-registeret.

      Dersom en importør er representert ved en eller flere indirekte tollrepresentanter og overskrider den samlede massebaserte terskelverdien, skal vedkommende myndighet underrette de indirekte tollrepresentantene som er oppnevnt i samsvar med artikkel 5 nr. 1a eller artikkel 5 nr. 2.

      En klage på et vedtak som fastslår at importøren har overskredet den samlede massebaserte terskelverdien, skal ikke ha oppsettende virkning.

    • 4. For å avgjøre om en importør har overskredet den samlede massebaserte terskelverdien, skal vedkommende myndighet se bort fra en praksis, ordning eller serie av slike som er innført med hovedformål eller som ett av sine hovedformål å bringe importøren under den samlede massebaserte terskelverdien, og som ikke er reell.

      En praksis, ordning eller en serie av slike skal anses som ikke reell dersom den, idet det tas hensyn til alle relevante fakta og omstendigheter, ikke kan anses å ha blitt innført av gyldige kommersielle grunner knyttet til importørens økonomiske virksomhet.

      Med henblikk på artikkel 17 nr. 2 bokstav a) og artikkel 26 nr. 2a skal importøren anses å ha vært involvert i en alvorlig overtredelse av denne forordningen dersom vedkommende myndighet konkluderer med at importøren har utøvet en praksis, en ordning eller en serie av slike, som anses ikke å være reell.

    • 5. Med henblikk på overvåkingen i henhold til denne artikkel skal Kommisjonen med jevne mellomrom, minst én gang per kalenderår eller når det er nødvendig, identifisere spesifikke risikofaktorer og punkter som krever oppmerksomhet på grunnlag av en risikoanalyse i forbindelse med den samlede massebaserte terskelverdien, idet det tas hensyn til opplysningene i CBAM-registeret, opplysningene fra tollmyndighetene i samsvar med artikkel 25 og andre relevante informasjonskilder, herunder uregelmessigheter som er påvist som følge av kontrollene som er utført i samsvar med artikkel 15 nr. 1. Disse risikofaktorene og forholdene skal meddeles vedkommende myndigheter og, dersom det er relevant, tollmyndighetene.».

  • 23) I artikkel 26 gjøres følgende endringer:

    • a) Nr. 1 skal lyde:

      • «1. En autorisert CBAM-deklarant som ikke innleverer, innen 30. september hvert år, antallet CBAM-sertifikater som tilsvarer utslippene som er innbakt i varer importert i foregående kalenderår, skal pålegges å betale et overtredelsesgebyr. Et slikt overtredelsesgebyr skal være identisk med boten for utslippsoverskridelse fastsatt i artikkel 16 nr. 3 i direktiv 2003/87/EF og økt i henhold til artikkel 16 nr. 4 i det nevnte direktivet, som gjelder i importåret for varene. Et slikt overtredelsesgebyr skal gjelde for hvert CBAM-sertifikat som den autoriserte CBAM-deklaranten ikke har innlevert.».

    • b) Nytt nummer skal lyde:

      • «1a Som unntak fra nr. 1 i denne artikkelen kan vedkommende myndighet, dersom en autorisert CBAM-deklarant ikke innleverer det korrekte antallet CBAM-sertifikater som følge av feilaktige opplysninger fra en tredjepart, nærmere bestemt en operatør, en verifikatør eller en uavhengig person som sertifiserer dokumentasjonen for karbonprisen nevnt i artikkel 9 nr. 2, redusere overtredelsesgebyret nevnt i nr. 1 i denne artikkelen. Overtredelsesgebyrene som ilegges på denne måten, skal være virkningsfulle, stå i et rimelig forhold til overtredelsen og virke avskrekkende, og skal særlig ta hensyn til varigheten, alvorligheten, omfanget, den forsettlige karakteren eller gjentakelsen av den manglende overholdelsen, eller graden av samarbeid mellom den autoriserte CBAM-deklaranten og vedkommende myndighet.».

    • c) Nytt nummer skal lyde:

      • «2a. Nr. 2 får også anvendelse på andre importører enn godkjente CBAM-deklaranter dersom de overskrider den samlede massebaserte terskelverdien. For dette formålet skal det tas hensyn til alle utslippene innbakt i varene som er importert av en slik importør uten tillatelse i det relevante kalenderåret. Betalingen av overtredelsesgebyret fritar importøren fra plikten til å sende inn en CBAM-erklæring og innlevere CBAM-sertifikater for denne importen.

        Som unntak fra første ledd i dette nummeret kan vedkommende myndighet redusere overtredelsesgebyret fastsatt i nr. 2 i denne artikkelen dersom en importør har overskredet den samlede massebaserte terskelverdien med høyst 10 % av denne terskelverdien, eller i tilfellene nevnt i artikkel 17 nr. 7a. Et slikt overtredelsesgebyr skal være effektivt, stå i forhold til overtredelsen og virke avskrekkende, og skal ikke være lavere enn gebyret fastsatt i nr. 1. Betalingen av overtredelsesgebyret fritar importøren fra plikten til å sende inn en CBAM-erklæring og innlevere CBAM-sertifikater for denne importen.».

    • d) Artikkel 3 skal lyde:

      • «3. Betalingen av overtredelsesgebyret i henhold til nr. 1 og 1a skal ikke frita den autoriserte CBAM-deklaranten fra plikten til å innlevere det utestående antallet CBAM-sertifikater i et gitt år.».

    • e) Nytt nummer skal lyde:

      • «4a. Ved anvendelsen av nr. 1 og 2 i denne artikkelen skal vedkommende myndighet beregne det totale antallet CBAM-sertifikater som burde vært innlevert, basert på nettomassen av de importerte varene og med henvisning til de innbakte utslippene fastsatt ved hjelp av standardverdier i samsvar med metodene fastsatt i vedlegg IV, og idet det tas hensyn til justeringen for vederlagsfri tildeling som nevnt i artikkel 31.».

  • 24) I artikkel 27 nr. 2 skal bokstav b) lyde:

    • «b) kunstig oppdeling av import, herunder via ordninger som ikke er reelle, for å unngå å overskride den samlede massebaserte terskelverdien.».

  • 25) I artikkel 28 gjøres følgende endringer:

    • a) Nr. 2 og 3 skal lyde:

      • «2. Myndigheten til å vedta delegerte rettsaktene som nevnt i artikkel 2 nr. 10, artikkel 2 nr. 11, artikkel 2a nr. 3, artikkel 18 nr. 3, artikkel 20 nr. 5a, artikkel 20 nr. 6 og artikkel 27 nr. 6 gis Kommisjonen for en periode på fem år fra 20. oktober 2025. Kommisjonen skal utarbeide en rapport om den delegerte myndigheten senest ni måneder før utgangen av femårsperioden. Den delegerte myndigheten skal stilltiende forlenges med ytterligere perioder av samme varighet, med mindre Europaparlamentet eller Rådet motsetter seg en slik forlengelse senest tre måneder før utløpet av hver periode.

      • 3. Den delegerte myndigheten nevnt i artikkel 2 nr. 10, artikkel 2 nr. 11, artikkel 2a nr. 3, artikkel 18 nr. 3, artikkel 20 nr. 5a, artikkel 20 nr. 6 og artikkel 27 nr. 6 kan når som helst tilbakekalles av Europaparlamentet eller Rådet.».

    • b) Nr. 7 skal lyde:

      • «7. En delegert rettsakt vedtatt i henhold til artikkel 2 nr. 10, artikkel 2 nr. 11, artikkel 2a nr. 3, artikkel 18 nr. 3, artikkel 20 nr. 5a, artikkel 20 nr. 6 og artikkel 27 nr. 6 skal tre i kraft bare dersom verken Europaparlamentet eller Rådet har gjort innsigelse innen en frist på to måneder etter at rettsakten ble meddelt Europaparlamentet og Rådet, eller dersom Europaparlamentet og Rådet innen utløpet av denne fristen begge har underrettet Kommisjonen om at de ikke har til hensikt å gjøre innsigelse. Denne fristen skal forlenges med to måneder på Europaparlamentets eller Rådets initiativ.».

  • 26) I artikkel 30 nr. 6 andre ledd bokstav b) gjøres følgende endringer:

    • a) Punkt i) skal lyde:

      • «i) styringssystemet, herunder en vurdering av medlemsstatenes gjennomføring og forvaltning av garantiene og autoriseringen av CBAM-deklaranter,».

    • b) Nytt punkt skal lyde:

      • «v) anvendelsen av den samlede massebaserte terskelverdien, herunder muligheten til å heve denne terskelverdien og til å innføre en ytterligere forsendelsesbasert terskelverdi.».

  • 27) I artikkel 36 nr. 2 gjøres følgende endringer:

    • a) Bokstav b) skal lyde:

      «Artikkel 2 nr. 2 og artikkel 2a, 4, 6–9, 10a, 15, 19 og 21, artikkel 22 nr. 1 og 3, artikkel 23–27 og 31 får anvendelse fra 1. januar 2026.».

    • b) Nye bokstaver skal lyde:

    • «c) Artikkel 22 nr. 2 får anvendelse fra 1. januar 2027.».

    • d) Artikkel 20 nr. 1, 3, 4 og 5 får anvendelse fra 1. februar 2027.».

  • 28) I vedlegg I skal KN-kode «2507 00 80 – Annen kaolinholdig leire» endres til «ex 2507 00 80 – Annen kaolinholdig leire, unntatt ikke-kalsinert kaolinleire».

  • 29) I vedlegg II tilføyes følgende tabell:

    «Elektrisitet

    KN-kode

    Klimagass

    2716 00 00 – Elektrisk energi

    Karbondioksid»

  • 30) Vedlegg IV endres i samsvar med vedlegg I til denne forordningen.

  • 31) I vedlegg V nr. 2 skal ny bokstav lyde:

    • «e) Opplysninger og metoden som er brukt til å beregne de innbakte utslippene.».

  • 32) I vedlegg VI nr. 2 bokstav k) skal punkt iii) lyde:

    • «iii) Identifikasjon av anleggene der innsatsmaterialet (forløperen) er produsert, og de faktiske utslippene fra produksjonen av dette materialet.».

  • 33) Teksten i vedlegg II til denne forordningen tilføyes som et nytt vedlegg VII.

Artikkel 2

Ikrafttredelse

Denne forordningen trer i kraft den tredje dagen etter at den er kunngjort i Den europeiske unions tidende.

Denne forordningen er bindende i alle deler og kommer direkte til anvendelse i alle medlemsstater.

Utferdiget i Strasbourg 8. oktober 2025.

For Europaparlamentet

For Rådet

R. Metsola

M. Bjerre

President

Formann

Vedlegg I

I vedlegg IV gjøres følgende endringer:

  • 1) Nr. 3 skal lyde:

    • «3. Bestemmelse av faktiske innbakte utslipp for sammensatte varer

      For å bestemme de spesifikke faktiske innbakte utslippene av sammensatte varer produsert i et gitt anlegg, brukes følgende ligning:

      Figur  

      der

      AttrEmg

      er de tildelte utslippene til varer g,

      ALg

      er varenes aktivitetsnivå, som er mengden varer produsert i rapporteringsperioden i det aktuelle anlegget, og

      EEInpMat

      er de innbakte utslippene av innsatsmaterialene (forløperne) som forbrukes i produksjonsprosessen. Kun innsatsmaterialer (forløpere) oppført i vedlegg I og med opprinnelse i tredjeland og territorier som ikke er unntatt i henhold til nr. 1 i vedlegg III, skal vurderes. De relevante EEInpMat beregnes som følger:

      Figur  

      der

      Mi

      er massen av innsatsmaterialene (forløperne) som brukes i produksjonsprosessen, og

      SEEI

      er de spesifikke innbakte utslippene for innsatsmaterialet (forløperen) i. For SEEi skal operatøren av anlegget bruke verdien av utslippene fra det anlegget der innsatsmaterialet (forløperen) ble produsert, forutsatt at dette anleggets data kan måles på en tilfredsstillende måte.».

  • 2) Nr. 4 skal lyde:

    • «4. Fastsettelse av standardverdier omhandlet i artikkel 7 nr. 2 og nr. 3

      Ved fastsettelse av standardverdier skal bare faktiske verdier brukes til å bestemme innbakte utslipp. Om det ikke foreligger faktiske verdier, kan litteraturverdier brukes. Standardverdiene skal fastsettes på grunnlag av de beste tilgjengelige dataene. De beste tilgjengelige dataene skal være basert på pålitelige og offentlig tilgjengelige opplysninger. Standardverdiene skal revideres med jevne mellomrom gjennom gjennomføringsrettsaktene vedtatt i henhold til artikkel 7 nr. 7 på grunnlag av de mest oppdaterte og pålitelige opplysningene, herunder på grunnlag av opplysninger fra et tredjeland eller en gruppe tredjeland.».

  • 3) Nr. 4.1 skal lyde:

    • «4.1. Standardverdier som nevnt i artikkel 7 nr. 2

      Standardverdiene skal tilsvare den gjennomsnittlige utslippsintensiteten for hvert eksportland og for hver av varene som er oppført i vedlegg I, bortsett fra elektrisitet, økt med et forholdsmessig beregnet påslag. Dette påslaget skal fastsettes i gjennomføringsrettsaktene vedtatt i henhold til artikkel 7 nr. 7 og skal fastsettes på et hensiktsmessig nivå for å sikre CBAMs miljøintegritet, på grunnlag av de mest oppdaterte og pålitelige opplysningene, herunder opplysninger innhentet i overgangsperioden. Når pålitelige data for eksportlandet ikke kan anvendes for en varetype, skal standardverdiene baseres på den gjennomsnittlige utslippsintensiteten for de ti eksporterende landene med høyest utslippsintensitet som det kan anvendes pålitelige data for den aktuelle typen varer for.».

  • 4) I nr. 7 skal andre ledd lyde:

    «Dersom deklaranter for varer produsert i et tredjeland, en gruppe tredjeland eller en region i et tredjeland på grunnlag av pålitelige data kan påvise at alternative regionspesifikke tilpasninger av standardverdier er lavere enn standardverdiene fastsatt av Kommisjonen, kan slike regionspesifikke tilpasninger brukes.».

Vedlegg II

Nytt vedlegg VII skal lyde:

«Vedlegg VII

Den samlede massebaserte terskelverdien

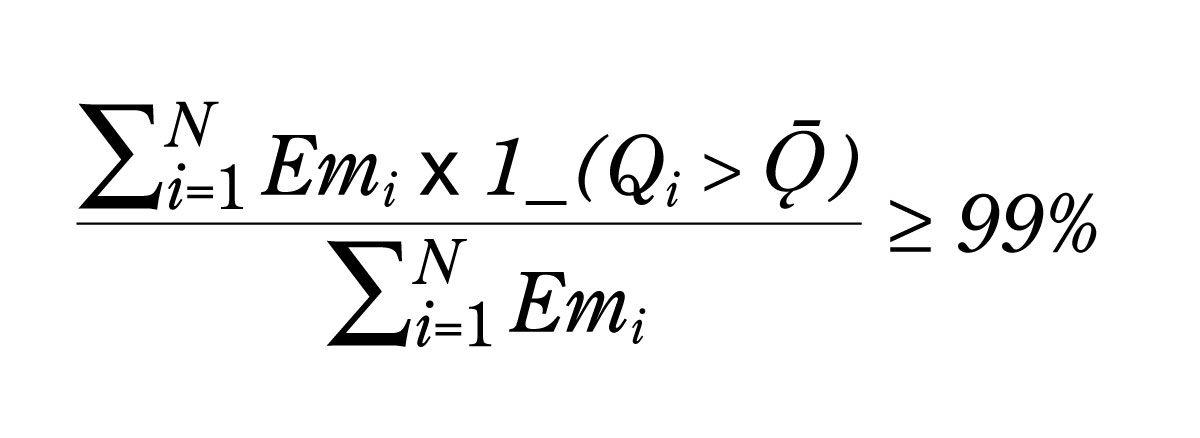
  • 1. Den samlede massebaserte terskelverdien nevnt i artikkel 2a skal fastsettes til 50 tonn nettomasse.

  • 2. Med henblikk på artikkel 2a nr. 3 benyttes følgende metode:

    Ǭ

    valgt slik at

    Figur  

    der

    99 %

    er målandelen for utslipp,

    Ǭ

    er masseterskelen i tonn for å fange en gitt målandel av utslippene,

    Årlige utslipp per importør

    Figur  

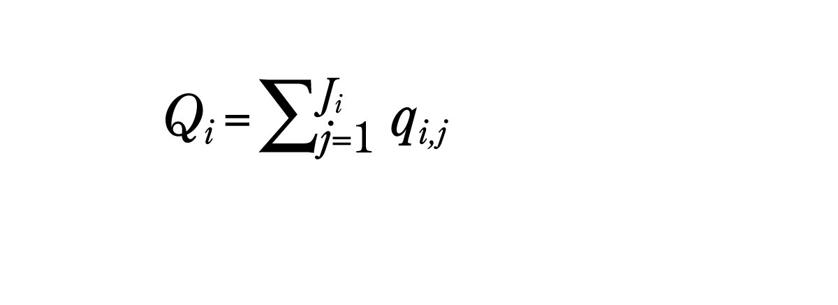
    qi,j

    er importmengden i tonn for importør i av KN-kode j,

    Ji

    er antall KN-koder importert av importør i, blant de fire sektorene som vurderes (aluminium, sement, gjødsel, jern og stål),

    EIj

    er utslippsintensiteten for KN-kode j1,

    Samlede utslipp:

    samlede utslipp i CO2 av de fire CBAM-sektorene som vurderes, det vil si summen av tilsvarende utslipp for alle importører:

    total emissions =

    Figur  
    ,

    der n er antall importører,

    Figur  
    :

    den samlede mengden i tonn av varer oppført i vedlegg I som importeres av importør i,

    1(Qi > Ǭ)

    er en indikatorfunksjon lik 1 når Qi > Ǭ (det vil si når en importør importerer mengder som er høyere enn masseterskelen Ǭ), ellers 0.

    1 Utslippsintensitetene Ej er basert på standardverdier (uten påslag) for utslipp publisert for overgangsperioden. For sement- og gjødselprodukter tas det hensyn til direkte utslipp og indirekte utslipp, mens det for aluminiums-, jern- og stålprodukter kun tas hensyn til direkte utslipp. For framtidige oppdateringer av den samlede massebaserte terskelverdien skal standardverdiene fastsettes i samsvar med metodene fastsatt i vedlegg IV uten påslaget omhandlet i vedlegg IV nr. 4.1.

    For å fange opp usikkerhet om endringer i handelsmønstre, samtidig som miljømålet for denne forordningen opprettholdes, legges det til en margin på 0,25 prosentpoeng til den ovennevnte målandelen av utslippene.

    Den samlede massebaserte terskelverdien skal avrundes til nærmeste titall.».

Fotnoter

1

EUT C, C/2025/3201, 2.7.2025, ELI: http://data.europa.eu/eli/C/2025/3201/oj.

2

Europaparlamentets holdning av 10. september 2025 (ennå ikke offentliggjort i EUT) og rådsbeslutning av 29. september 2025.

3

Europaparlaments- og rådsforordning (EU) 2023/956 av 10. mai 2023 om opprettelse av en karbongrensejusteringsmekanisme (EUT L 130 av 16.5.2023, s. 52, ELI: http://data.europa.eu/eli/reg/2023/956/oj).

4

Rådsforordning (EF) nr. 1186/2009 av 16. november 2009 om en fellesskapsordning for tollfritak (EUT L 324 av 10.12.2009, s. 23, ELI: http://data.europa.eu/eli/reg/2009/1186/oj).

5

Delegert kommisjonsforordning (EU) 2015/2446 av 28. juli 2015 om utfylling av europaparlaments- og rådsforordning (EU) nr. 952/2013 med hensyn til nærmere regler for visse bestemmelser i Unionens tollkodeks (EUT L 343 av 29.12.2015, s. 1, ELI: http://data.europa.eu/eli/reg_del/2015/2446/oj).

6

Europaparlaments- og rådsdirektiv 2003/87/EF av 13. oktober 2003 om opprettelse av en ordning for handel med utslippskvoter for klimagasser i Fellesskapet og om endring av rådsdirektiv 96/61/EF (EUT L 275 av 25.10.2003, s. 32, ELI: http://data.europa.eu/eli/dir/2003/87/oj).

7

Europaparlaments- og rådsforordning (EF) nr. 765/2008 av 9. juli 2008 om fastsettelse av kravene til akkreditering og om oppheving av forordning (EØF) nr. 339/93 (EUT L 218 av 13.8.2008, s. 30, ELI: http://data.europa.eu/eli/reg/2008/765/oj).

8

Kommisjonens gjennomføringsforordning (EU) 2018/2067 av 19. desember 2018 om verifisering av data og akkreditering av miljøkontrollører i samsvar med europaparlaments- og rådsdirektiv 2003/87/EF (EUT L 334 av 31.12.2018, s. 94, ELI: http://data.europa.eu/eli/reg_impl/2018/2067/oj).

9

EUT L 123 av 12.5.2016, s. 1, ELI: http://data.europa.eu/eli/dir/2016/512/oj.