11 Kompetansefordeling mellom Norge, EU-Kommisjonen og EFTAs overvåkningsorgan
11.1 Innledning
Regjeringen vil fremme en egen stortingsproposisjon om samtykke til EØS-komiteens beslutning om å innlemme EUs reguleringspakke i EØS-avtalen. Kompetansefordelingen mellom nasjonale myndigheter, Kommisjonen og EFTAs overvåkningsorgan er sentral i den nye reguleringen.
Hovedregelen i dagens sektorspesifikke konkurranseregulering er som nevnt foran basert på terskelverdien sterk markedsstilling og automatisk inntreden av forpliktelser. I EUs nye regelverk gis de nasjonale tilsynsorganene omfattende kompetanse mht. å velge hvilke virkemidler som skal anvendes innenfor de enkelte produkt- eller tjenestemarkeder, når en tilbyder har sterk markedsstilling. Dette gjør det mulig å tilpasse forpliktelser i det enkelte tilfellet. Det gir også de enkelte nasjonale tilsynene større handlingsrom enn under det gjeldende reguleringsregimet. Det nye rammedirektivet sikrer at reguleringen skal praktiseres mest mulig likt i de ulike land innenfor EØS-området, ved at enkeltvedtak av en viss betydning skal følge en nærmere fastsatt konsultasjonsprosedyre. Konsulteringen skal føre til at regelverket, inkludert bruken av virkemidlene, praktiseres så likt som mulig i de ulike land.
11.2 Konsultasjonsprosedyrens innhold
Konsultasjonsprosedyren medfører at nasjonale tilsynsmyndigheter skal bidra til utviklingen av det indre marked ved at nasjonale myndigheter samarbeider seg imellom, og samarbeider med Kommisjonen/EFTAs overvåkningsorgan. Det oppstilles særlige prosedyrebestemmelser for de tilfellene der nasjonale myndigheter har til hensikt å fatte vedtak som kan få innvirkning på det indre marked for elektronisk kommunikasjon.
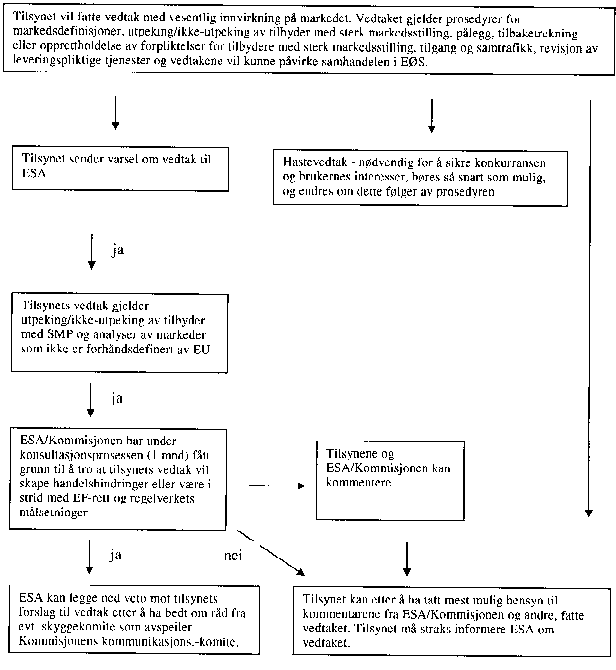
Når nasjonale myndigheter har til hensikt å treffe et enkeltvedtak som gjelder markedsdefinering, markedsanalyser, tilgang og samtrafikk, pålegg om eller tilbaketrekking av forpliktelser for tilbydere med sterk markedsstilling, eller revisjon av samfunnspålagte tjenester, og vedtaket kan påvirke handelen mellom EØS-landene, skal forslaget til vedtak gjøres tilgjengelig for Kommisjonen/EFTAs overvåkningsorgan. Nasjonale reguleringsmyndigheter i andre EØS-land skal også få det, og det skal følge med en begrunnelse for vedtaket. Nasjonale reguleringsmyndigheter, Kommisjonen og EFTAs overvåkningsorgan kan kommentere forslaget innen en frist på én måned. Synspunkter som fremkommer fra andre nasjonale myndigheter, Kommisjonen og EFTAs overvåkningsorgan skal vurderes, og den nasjonale myndigheten skal ta hensyn til disse synspunktene når vedtaket treffes. Synspunktene fra andre reguleringsmyndigheter og fra Kommisjonen vil ikke være juridisk bindende. Synspunkter fra EFTAs overvåkningsorgan vil måtte anses retningsgivende for norske myndigheter, fordi EFTAs overvåkningsorgan vil kunne ta ut åpningsbrev dersom overvåkningsorganet mener at det hørte vedtaksutkastet vil være i strid med EØS-avtalen dersom vedtaket blir fattet.
Når det planlagte vedtaket regnes for å være av særlig viktighet skjerpes konsultasjonsprosedyren. Dette gjelder forslag til vedtak som utpeker tilbyder med sterk markedsstilling eller som definerer produkt- og tjenestemarked på en måte som avviker fra Kommisjonens anbefalte produkt- og tjenestemarked. Det er i tillegg et vilkår at vedtaket kan påvirke handelen mellom EØS-landene og at Kommisjonen/EFTAs overvåkningsorgan mener at forslag til vedtak vil utgjøre en handelshindring eller for øvrig være i strid med fellesskapsretten. I slike tilfeller utvides tilbakemeldingsfristen med to måneder. (Utvidelsen medfører at vedtaket ikke kan fattes i løpet av de to nye månedene.) I løpet av denne perioden kan EFTAs overvåkningsorgan (for Norges vedkommende) kreve at utkast til vedtak trekkes tilbake. En slik beslutning skal ledsages av en detaljert og objektiv analyse/begrunnelse av hvorfor EFTAs overvåkningsorgan mener at det foreslåtte tiltak ikke skal gjennomføres samt spesifikke forslag til endringer av utkastet til vedtak. Når vedtak må fattes straks av hensyn til å sikre konkurransen eller ivareta brukernes interesser, kan det fattes midlertidige vedtak uten at konsultasjonsprosedyren følges, men da må prosedyren følges før endelig vedtak kan fattes.
For å lette forståelsen er denne prosedyren gjengitt nedenfor:

Figur 11.1 Prosedyre
11.3 Rettslig vurdering
Departementet har vurdert konsultasjonsordningen i forhold til Grunnlovens (Grl.) regler. Konsultasjonsprosedyren fremstår i utgangspunktet som et sterkt virkemiddel, idet det gir EFTAs overvåkningsorgan, Kommisjonen og andre EØS-land muligheten til å gripe inn overfor enkeltvedtak som fattes av nasjonale myndigheter.
Prosedyren innebærer ikke at EFTAs overvåkningsorgan fatter et enkeltvedtak med direkte virkning i Norge, men at norske myndigheter kan hindres i å fatte enkeltvedtak med et bestemt innhold. Skjønnstemaene fastlegges i rettsaktene, mens EFTAs overvåkningsorgan gis kompetanse til å påvirke skjønnsutøvelsen.
Vurderingen av en slik ordning i forhold til Grl. avhenger blant annet av dens rettslige grunnlag og dens inngripende karakter, samt om særlige forutsetninger/begrensninger gjør seg gjeldende.
Da det her er tale om utøvelse av forvaltningsmyndighet, er spørsmålet særlig hvorvidt Grl. § 3 tillater overføring av slik myndighet til EFTAs overvåkningsorgan og om dette kan gjøres ved anvendelse av Grl. § 26 (krav om Stortingets samtykke) eller krever vedtak etter Grl. § 93 (med 3/4 dels flertall av minst 2/3 av Stortingets medlemmer som må være tilstede).
Det er klart etter norsk statspraksis at det faktum at Grl. tillegger den utøvende makt til Kongen (regjeringen) ikke er til hinder for at myndighet kan overføres til andre ved folkerettslig avtale. Dette forutsetter imidlertid at overføringen ikke er av så inngripende karakter at det går utover det som kan besluttes etter Grl. §§ 26 og 93, f.eks. ved at suvereniteten begrenses i strid med utgangspunktet i Grl. § 1. Det legges til grunn at dette siste ikke er tilfellet.
Det prinsipielle utgangspunktet er at overføring av forvaltningsmyndighet fra et norsk statsorgan til å fatte vedtak med direkte virkning for private eller juridiske rettssubjekter i Norge, vil måtte fattes med hjemmel i Grl. § 93. Det var nettopp denne type vurderinger som lå til grunn for at Grl. § 93 måtte benyttes ved inngåelsen av EØS-avtalen. Motsatt retter i utgangspunktet Grl. § 26 annet ledd seg mot overføring av kompetanse til å binde Norge folkerettslig 1. Sett hen til konstruksjonen i den aktuelle saken antas det at det her ikke er tale om å fatte vedtak med direkte virkning, men at Norge bindes på et folkerettslig plan.
Det generelle utgangspunktet i norsk statspraksis er, slik det er henvist til i St.prp. nr. 50 (1998-99) at:
«...myndighet må kunne overføres etter Grunnloven § 26 annet ledd til organer for annen stat eller for en internasjonal organisasjon som ledd i et internasjonalt samarbeid basert på likeverdig deltakelse, når myndighetsoverføringen gjelder et saklig begrenset område og ikke er alt for omfattende.» 2
Paragraf 93 er imidlertid ikke forbeholdt tilfeller av direkte virkning. Kriteriet som det er blitt operert med i teorien og i statspraksis for når bruk av § 93 utløses, i motsetning til § 26, er således at det må dreie seg om myndighetsoverføring av «inngripende karakter». Det vil i denne sammenhengen være den samlede myndighetsoverføring som vil måtte underlegges en vurdering mht. grad av inngripen, og det er inngripen i kompetansen som i henhold til den norske konstitusjonen tillegger norske statsorganer, som er utgangspunktet for vurderingen.
Problemstillingen blir således om den myndighetsoverføring det her er tale om, er av så inngripende karakter at det krever vedtak etter Grl. § 93, eller om Grl. § 26 er anvendelig. Problemstillingen er også hvorvidt «likeverdskravet» i Grl. medfører en skranke i dette tilfellet.
Når det gjelder «likeverdskravet» i Grl. er det betydelig usikkerhet knyttet til hva som nærmere bestemt ligger i dette kravet. For at Grl. skal være til hinder for inngåelse av en traktat som forutsetter manglende likeverd mellom Norge og traktatmotparten, må det i alle fall være tale om manglende likeverd av kvalifisert art. I tillegg kan også omfanget og karakteren av det samarbeidet som traktaten omhandler, spille inn ved vurderingen. Sett hen til statspraksis knyttet til tilsvarende tilfeller med kompetanse til EØS-organer, antas det at dersom Norge ikke stilles i en dårligere stilling enn de andre deltakende statene, er kravet oppfylt.
Kriteriet «inngripende» gir anvisning på en skjønnsmessig helhetsvurdering hvor det er vanskelig å anføre noe konkret om hvilke parametre som vil være bestemmende, men hvor teori og praksis gir visse retningslinjer som nevnt ovenfor.
Konsultasjonsordningen innebærer for såvidt noe nytt ved at den gjelder for enkeltvedtak, mens de gjeldende notifikasjonsordninger hovedsaklig gjelder for forskrifter.
Prosedyremessig kan konsultasjonsordningen imidlertid langt på vei sammenlignes med den fremgangsmåten som følger av f.eks. Rådsdirektiv 98/34 om tekniske handelshindre forsåvidt gjelder prosedyrene for notifisering av tekniske forskrifter. Også her stilles det tidsfrister for ikrafttredelse, krav om høring blant medlemsland og i siste instans virkemidler for Kommisjonen som kan stoppe/be om endringer av forskriften med begrunnet uttalelse.
Det finnes også en rekke eksempler knyttet til produktgodkjenninger (f.eks. GMO'er eller Biocider), hvor forslag til vedtak skal notifiseres til andre stater og Kommisjonen. Dersom en av de andre medlemsstatene protesterer, oversendes saken til en komitéprosedyre under Kommisjonen - og hvor Kommisjonen fatter det endelige vedtaket (som evt. kan overprøves av Rådet). Flere av disse vedtakene kan sies å ligge i et grenseland mellom enkeltvedtak og forskrift.
Det har tidligere vært konkludert med at Norge kan slutte seg til disse prosedyrene uten at det kommer i strid med Grl. § 3 eller nødvendiggjør vedtak etter Grl. § 93, men at Grl. § 26 annet ledd kan anvendes.
Notifikasjonsdelen av det aktuelle forslaget anses ikke å være problematisk i forhold til Grl. Problemene knytter seg evt. til EFTAs overvåkningsorgans adgang til å gripe inn med krav om å trekke tilbake/endre vedtak.
Som det fremgår av beskrivelsen av regelverket, gis EFTAs overvåkningsorgan under nærmere angitte forutsetninger adgang til å stoppe foreslåtte vedtak fra nasjonal forvaltningsmyndighet. Samtidig pålegges EFTAs overvåkningsorgan å begrunne sin beslutning i form av en objektiv analyse samt komme med spesifikke forslag til endringer av det aktuelle vedtak. Det er mao. ikke snakk om at andre gis kompetanse til å treffe vedtak i stedet for norske myndigheter, men at norske myndigheters adgang til å utøve skjønn i forbindelse med vedtak begrenses som følge av konsultasjonsprosedyren.
Den aktuelle begrensningen av forvaltningsmyndighetens kompetanse refererer seg videre til et saklig sett avgrenset område, nærmere angitte elektronisk kommunikasjons vedtak av konkurransemessig art som EFTAs overvåkningsorgan finner å være i strid med fellesskapsretten. Det er her grunn til å påpeke at konsultasjonsordningen begrenser EFTAs overvåkningsorgans adgang til å gripe inn med anmodning om å trekke/endre vedtak, til de typer enkeltvedtak som har konkurransemessig betydning i relevant EØS-/fellesskapsrettslig sammenheng, i situasjoner der EFTAs overvåkningsorgan mener at det aktuelle vedtak vil være en barriere for det indre marked eller er i alvorlig tvil mht. til lovligheten av tiltaket.
Det skal videre påpekes at EFTAs overvåkningsorgan allerede har omfattende adgang til å gripe inn forhold til de private aktører i forbindelse med konkurransemessige forhold, jf. EØS-avtalens art. 53 og 54. Hittil har imidlertid EFTAs overvåkningsorgan vært nødt til å iverksette en traktatbruddsprosedyre mot medlemsstatene i ettertid (basert på art. 59) der hvor de anser at myndighetene bryter eller tilskynder selskapene til brudd på konkurranseregelverket.
Adgangen for EFTAs overvåkningsorgan til å gripe inn overfor nasjonale myndigheters enkeltvedtak innebærer således et ytterligere virkemiddel for EFTAs overvåkningsorgan på det konkurranserettslige området. EFTAs overvåkningsorgan vil ved innføringen av den nye konsultasjonsordningen også få en bedret oversikt over ulike lands enkeltvedtak på området og derved større forutsetninger for å gripe inn - både i forkant og i etterkant.
Samlet sett anses den myndighet av forvaltningsmessig art som overføres å være på et saklig begrenset område som totalt sett ikke er av spesielt inngripende karakter eller omfang. Også sett hen til den statspraksis som har utviklet seg rundt disse spørsmålene ansees det at tilslutning til dette regelverket, slik det nå foreligger, vil kunne besluttes etter Grl. § 26 annet ledd.
11.4 Konsultasjonsprosedyrens gjennomføring i praksis for EFTA/EØS-landene
Kompetansen til konkurranserettslig kontroll er i EØS-avtalen delt mellom Kommisjonen og EFTAs overvåkningsorgan. I forhold til medlemsstatenes anvendelse av regelverket og ev. statlige brudd på dette er det EFTAs overvåkningsorgan som er det kompetente organ i forhold til Norge.
EFTA/EØS-landenes konsultasjonsprosedyre vil så langt det er praktisk mulig måtte gå om EFTA-pillaren. Dette medfører at forslag til enkeltvedtak skal sendes til EFTAs overvåkningsorgan som deretter vil videresende forslagene til Kommisjonen. Det legges opp til at Kommisjonen skal videresende forslagene til sine medlemsland. Det er noe usikkert hvordan dette vil bli gjennomført i praksis, da en vesentlig del av harmoniseringen vil foregå i Kommisjonens arbeidsgrupper, dvs. i Kommunikasjonskomiteen og i ERG (European Regulators Group), der Norge og de andre EFTA/EØS-landene gis observatørstatus.
Selv om lovforslaget inneholder konkrete tidsfrister som gjennomfører tilsvarende tidsfrister i rammedirektivet, kan konsultasjonsprosedyren medføre at enkeltvedtakene på dette området vil ta lengre tid enn dagens vedtak. EFTA/EØS- landenes ekstraprosedyrer vil imidlertid i utgangspunktet ikke føre til at våre vedtak tar lengre tid enn medlemsstatenes. Tidsfristene må overholdes slik at EFTA/EØS-landenes markedsaktører får samme vilkår som medlemslandenes markedsaktører. Dette kan medføre at realitetsbehandlingen av EFTA/EØS-landenes forslag i praksis må gjennomføres på kortere tid enn hva som er angitt i lovforslaget.
Kravet om engelskspråklig saksbehandling i EØS-samarbeidet medfører at alle forslag til enkeltvedtak som skal følge konsultasjonsordningen vil måtte oversettes til engelsk før oversendelse til EFTAs overvåkningsorgan. Det tas sikte på å etablere en så rask og effektiv ordning for dette som mulig. Dette kravet vil imidlertid føre til forsinkelser i forhold til dagens ordning.
I tillegg er det verdt å merke seg at konsultasjonsordningen også må sees i sammenheng med den nasjonale klageordningen. Forpliktelser som følger av beslutninger fra EFTAs overvåkningsorgan binder Norge som stat, og vil også sette skranker for klageinstansens behandling av enkeltvedtak.
Konsultasjonsordningen vil bidra til en harmonisert gjennomføring av den nye reguleringen i EØS-området, og vil kunne gi like markedsvilkår og lettere markedsadgang for tilbyderne innenfor EØS-området.
11.5 Høringsinstansenes syn
Det er svært få høringsinstanser som kommenterer de statsrettslige eller de praktiske spørsmål konsultasjonsprosedyren reiser. Telenor mener imidlertid at det ikke kommer tydelig frem i lovforslaget at forslag til vedtak skal sendes på EØS-høring samtidig med den nasjonale høringen. Høringsfristen er svært kort, noe som kan bli problematisk for aktørene i bransjen. Telenor ønsker derfor at bransjen bør trekkes tidligere inn i prosessen, ved at den nasjonale høringen uformelt starter i forkant av at forslag til vedtak blir sendt til ESA. Videre er Telenor bekymret over at det ikke legges opp til å invitere representanter fra industrien i EØS-landene til Kommunikasjonskomiteen. Dette i tillegg til at norske myndigheter kun vil få observatørstatus i Kommunikasjonskomiteen, antas samlet sett å svekke norsk industris mulighet til å påvirke og bli informert om spørsmål av stor viktighet for den norske reguleringen.
El & IT Forbundet anser konsultasjonsprosedyren som en uakseptabel suverenitetsavståelse. Lovforslaget vil etter forbundets mening sterkt redusere regjeringens politiske spillerom og er i tillegg altfor tids- og ressurskrevende.
11.6 Departementets vurderinger
Høringsfristens lengde følger av EØS-rettslige forpliktelser. Det er imidlertid viktig at industrien gis anledning til å uttale seg, og departementet vil derfor vurdere om det er mulig å finne praktiske løsninger innenfor de EØS-rettslige rammene. En praktisk løsning som vil bli vurdert er å informere interesserte, nasjonale aktører om forslag til vedtak før forslaget er oversatt til engelsk.
Departementet ser det som viktig av hensyn til den europeiske harmoniseringen at myndighetene får tilgang til så mye informasjon som mulig. Deltakelsen i Kommunikasjonskomiteen blir besluttet av EU-siden. Norske myndigheter får observatørstatus i komiteen. I tillegg får markedsaktørenes viktigste europeiske interesseorganisasjoner tilgang som observatører, herunder organisasjoner der Telenor er medlem.
Når det gjelder EL & IT Forbundets kommentar vises det til vurderingen av norsk suverenitetsavståelse i pkt. 11.3 ovenfor.
Fotnoter
Jf. St.prp. nr. 100 (1991-92) Om samtykke til ratifikasjon av Avtale om Det europeiske økonomiske samarbeidsområde (EØS), s. 337, sp. 1.
St.prp. nr. 50 (1998-99) Om samtykke til inngåelse av en avtale med Rådet for Den europeiske union og Republikken Island og Kongeriket Norge om de sistnevnte staters tilknytning til gjennomføringen, anvendelsen og videreutviklingen av Schengenregelverket. (Schengen-II), s. 34, sp. 1.