2 Virkninger av endrede skatter og avgifter på lønn og arbeidsledighet
Av Michael Hoel
Innledning
Skattekilen mellom lønnskostnader og disponibel reallønn
Lønn som resultat av forhandlinger mellom fagforeninger og bedrifter/arbeidsgivere
Fagforeningenes mest foretrukne lønn, og hvordan denne avhenger av skatte- og avgiftssatser
Bedriftenes mest foretrukne lønn, og hvordan denne avhenger av skatte- og avgiftssatser
Teorier for utfallet av lønnsforhandlinger
Nærmere om miljøavgifter
Litt empiri.
Konklusjoner/oppsummering
Appendiks A: Den totale skattekilen med progressiv inntektsskatt
Appendiks B: Fagforeningenes mest foretrukne lønn
Appendiks C: Bedriftenes mest foretrukne lønn
Appendiks D: Lønnsforhandlinger
Referanser
2.1 Innledning
Arbeidsledighet har en rekke forklaringsfaktorer. I dette notatet innskrenker jeg meg til én av disse forklaringsfaktorene, nemlig lønnsdanningen. For å forenkle resonnementene vil jeg anta at det bare finnes en type arbeidskraft. Arbeidsledighet som har sin bakgrunn i mismatch mellom typer arbeidskraft etterspurt og typer arbeidskraft tilbudt vil derfor ikke bli berørt. Heller ikke vil jeg si noe om hvilken betydning selve lønnsstrukturen, dvs. de relative lønningene mellom ulike typer arbeidskraft, kan ha for arbeidsledigheten. Notatet konsentrerer seg om arbeidsledighet som har sin bakgrunn i selve lønns nivået.
Lønn er prisen på arbeidskraft, og under rimelige forutsetninger gir et høyere lønnsnivå (og alt annet gitt) lavere etterspørsel etter arbeidskraft. Notatet tar utgangspunkt i teori som forklarer hvordan en kan ha en langsiktig likevektverdi på lønnsnivået som er så høyt at en får arbeidsledighet (innen en modell-ramme hvor arbeidsledigheten ville vært mindre hvis lønningene var lavere).
En rekke forhold er med på å forklare lønnsdanningen. I dette notatet innskrenker jeg meg til å se på en situasjon hvor lønninger blir bestemt som resultat av forhandlinger mellom fagforeninger og bedrifter/arbeidsgiverorganisasjoner. Innenfor en slik ramme blir det vist hvordan endringer i skattesatser kan påvirke likevektslønna, og dermed arbeidsledigheten.
I avsnitt 2 ser jeg på sammenhengen mellom ulike typer skatter som alle påvirker lønnsdanningen. Der drøftes det i hvilken grad det bare er den totale skattekilen mellom lønnskostnader og disponibel reallønn som kan være av betydning for lønnsdanningen, eller om selve sammensetningen av den totale skattekilen på ulike skatteformer også kan være av betydning.
Avsnitt 3 gir en kortfattet skisse av teori som forklarer langsiktig arbeidsledighet som har sin bakgrunn i lønnsnivået, når lønninger blir bestemt av forhandlinger mellom fagforeninger og bedrifter/arbeidsgivere. Avsnittene 4 – 6 går i mer detalj inn på lønnsdannningen, og hvordan denne blir påvirket av skattekilen omtalt i avsnitt 2. Avsnitt 7 går nærmere inn på miljøavgifter, og mulige konsekvenser for lønnsdanning og arbeidsledighet av å øke slike avgifter samtidig som en senker andre skattter og avgifter som påvirker den totale skattekilen. Avsnitt 8 gir en kort gjennomgang av noe av empirien på området. De viktigste konklusjonene blir oppsummert i avsnitt 9.
2.2 Skattekilen mellom lønnskostnader og disponibel lønn
Det er særlig tre skatteformer som er viktige for lønnsdanningen, nemlig (i) direkte skatt på arbeidskraft, (ii) arbeidsgiveravgift, og (iii) indirekte skatter som påvirker konsumpriser, og dermed den disponible reallønna. I tillegg kan avgifter på bedriftenes innsatsfaktorer påvirke bedriftenes lønnsomhet, og dermed lønnsdanningen. Jeg kommer tilbake til betydningen av slike avgifter i avsnitt 7.
Jeg definerer den totale skattekilen som differansen mellom bedriftenes samlede lønnskostnader (inkl. arbeidsgiveravgift) og lønnstakernes realdisponible lønn. I det etterfølgende bruker jeg symbolene Q for bedriftenes totale lønnskostnader og q for lønnstagernes disponible lønn. Den totale skattekilen er da definert som Q-q. Den gjennomsnittlige skattekilen er skattekilen som andel av brutto lønnskostnader, i det etterfølgende betegner jeg denne med T. Den marginale skattekilen er definert som økningen i skattekilen per enhets økning i lønnskostnader. Med et progressivt skattesystem vil den marginale skattekilen være større enn den gjennomsnittlige skattekilen.
En nærmere omtale av skattekilen er gitt i appendiks A. For mitt formål er det viktigste resultatet at den totale og gjennomsnittlige skattekilen øker med
økt arbeidsgiveravgift
økt direkte skatt på lønnsinntekt
økt moms
økte særavgifter på konsumgoder
Den marginale skattekilen øker også når overnevnte størrelser øker, men når det gjelder direkte skatt på lønnsinntekt er det i dette tilfellet den marginale skattesatsen som er avgjørende.
Det kan argumenteres for at partene i arbeidslivet bare er opptatt av bedriftenes brutto lønnskostnader og av lønnstagernes realdisponible inntekt. I så fall burde det bare være den totale skattekilen, og ikke hvordan den er sammensatt av ulike skatteformer, som eventuelt har betydning for lønnsdanningen. Dette har i så fall viktige implikasjoner. Dersom en f.eks. mener at en økning i momsen ikke påvirker forhandlingsresultatet for lønnskostnadene, har en implisitt sagt at størrelsen på den totale skattekilen ikke har noen betydning for forhandlingsutfallet for lønnskostnadene (siden skattekilen T øker når momsen øker). Det innebærer spesielt at f.eks. en reduksjon i arbeidsgiveravgiften (som reduserer skattekilen) ikke vil påvirke lønnskostnadene og dermed sysselsettingen. Eller motsatt: Dersom en mener at en reduksjon i arbeidsgiveravgiften fører til lavere lønnskostnader, og dermed økt sysselsetting, har en implisitt sagt at forhandlingsutfallet for lønnskostnadene er en stigende funksjon av skattekilen. Det betyr spesielt at f.eks. økt moms (som øker skattekilen) vil gi økte lønnskostnader og dermed økt arbeidsledighet.
Dersom flere skattesatser blir endret samtidig på en slik måte at den totale skattekilen forblir uforandret, følger det av resonnementet over at lønnskostnader og sysselsetting forblir uendret. I appendiks A er det også vist at under visse forutsetninger vil en skatteomlegging som lar den totale skattekilen forbli uendret også la det totale skatteprovenyet forbli uendret.
Resonnementet over gjelder for de langsiktige verdiene for lønnskostnader etc. som kommer ut av forhandlingsprosessen. På kort sikt (som i denne sammenheng kan være en del år) er det imidlertid grunn til å tro at det er betydelige tregheter i lønnsdanningen. Dette betyr spesielt at den nominelle lønna bare vil endre seg langsomt. Det kan igjen bety at en kan ha perioder hvor det er avvik mellom den langsiktige verdien av lønnskostnadene som følger fra forhandlinger, og den mer kortsiktige verdien av lønnskostnadene. Lønnskostnadene, som jeg har betegnet med Q, er per definisjon lik W(1+τ), hvor W er nominell lønn og τ er arbeidsgiveravgiften. På kort sikt, dvs. når W er gitt, vil en reduksjon i arbeidsgiveravgiften τ senke lønnskostnadene W(1+τ), mens endringer i momsen eller inntektsskatten ikke vil ha noen kortsiktig effekt på lønnskostnadene.
Anta at en er i en situasjon hvor Q som følge av tregt bevegelig W er høyere enn sin langsiktige likevektsverdi. En slik situasjon kan ha oppstått f.eks som følge av en uventet lav produktitvitetsvekst. Over tid vil W gå ned 1 , slik at Q etterhvert går mot sin langsiktige likevektsverdi. I mellomtiden kan imidertid den høye verdien på Q føre til unormalt høy arbeidsledighet. En måte å fremskynde tilpasningen av Q til sin langsiktige verdi kan være å redusere arbeidsgiveravgiften samtidig som en øker momsen eller inntektsskatten. Hvis en gjennom en slik skatteomlegging lar skattekilen T forbli uendret, vil en ikke påvirke den langsiktige verdien på Q, og dermed på arbeidsledigheten. Derimot vil den kortsiktige vedien på Q falle (siden Q=W(1+τ) og W er mer eller mindre gitt på kort sikt), slik at en kan eliminere noe av den unormalt høye ledigheten i tilpasingsperioden.
I avsnittene 4-7 blir det vist at forholdet mellom den disponible realinntekten til arbeidsledige (bredt definert) og til de sysselsatte kan påvirke lønnsdanningen. I appendiks A har jeg vist at dette forholdstallet kan avhenge både av størrelsen på den totale skattekilen og av hvordan denne er sammensatt på ulike skatteformer. Dermed kan selve sammensetningen av den totale skattekilen være av betydnig for forhandlingsresultatet for lønnskostnadene, og dermed også for arbeidsledigheten.
2.3 Lønn som resultat av forhandlinger mellom fagforeninger og bedrifter/arbeidsgivere
Jeg skal anta at lønningene blir bestemt gjennom forhandlinger mellom fagforeninger og bedrifter/arbeidsgiverorganisasjoner. Samspillet mellom sysselsetting og arbeidsledighet er illustrert i figur 1. Her er som før Q nivået på lønnskostnadene, mens N måler samlet sysselsetting.

Figur 3.1 Lønn og sysselsetting som resultat av forhandlinger mellom fagforeninger og bedrifter/arbeidsgiverorganisasjoner.
Likevekten er i figuren gitt ved skjæringspunktet mellom de to kurvene, dvs. i punktet (N*,Q*), med tilhørende arbeidsledighet U*=
I en liten åpen økonomi med frie kapitalbevegelser kan det argumenteres for at lønnskostnadene er mer eller mindre gitt på lang sikt, nemlig slik at lønnsomheten i bedriftene svarer til det kapitaleierne alternativt kan få ved å investere i utlandet. I figur 1 svarer dette til at kurven N(Q) er horisontal. I så fall er likevektsverdien Q* uavhengig av skattekilen T og av andre egenskaper ved kurven Q(U,T). Den langsiktige likevektsverdien på arbeidsledigheten (dvs. U*) påvirkes imidlertid av beliggenheten av kurven Q(U,T) på samme måte som når kurven N(Q) heller nedover som i figur 1. Eventuelle virkninger på den langsiktige arbeidsledigheten av endrede skatter er derfor kvalitativt de samme enten vi ser på en fallende N(Q)-kurve, som i figur 1, eller en horisontal N(Q)-kurve.
Den gjennomsnittlige totale skattekilen er definert som

som innebærer at Q-funksjonen kan omskrives til

I en del arbeider blir det forutsatt at den disponible reallønna (q) er uavhengig av skattenivået (T), se f.eks. Bovenberg og van der Ploeg (1994b) og referansene der. Hvis q var uavhengig av T, følger det fra (2) at kurven Q(U,T) ville flytte seg oppover som følge av økt T. Som jeg skal vise i de neste avsnittene, er det imidlertid liten grunn til å tro at q er uavhengig av T.
I de senere år er det blitt publisert flere arbeider som omhandler utfallet av lønnsforhandlinger i ulike typer situasjoner. Likevel er vår kunnskap om hva som bestemmer utfallet av forhandlinger temmelig begrenset. I de to neste avsnittene skal jeg derfor bare bruke én antagelse om utfallet av forhandlinger: Jeg skal anta at hvis f.eks. en skattesats blir endret, og denne endringen påvirker både fagforeningens mest foretrukne lønn og bedriftenes mest foretrukne lønn i samme retning, så vil også det faktiske lønnsnivået (som altså blir bestemt i forhandlinger) bli endret i denne felles retningen. Selv om det ikke er opplagt at alle forhandlingsprosesser har denne egenskapen, er dette trolig en egenskap som i de aller fleste tilfeller er oppfylt.
Hva det er som bestemmer fagforeningens mest foretrukne lønn og bedriftenes mest foretrukne lønn er tema for de to neste avsnittene, som spesielt drøfter hvordan en endring i T endrer disse to lønnsnivåene. Hvis vi f.eks. konkluderer at det mest foretrukne Q-nivået både for fagforeningene og bedriftene avtar som følge av redusert T, følger det fra antagelsen over at redusert T fører til et skift nedover i kurven Q(U,T) i figur 1, slik at den langsiktige likevektsnivået U* for arbeidsledighet vil synke.
2.4 Virkning av redusert skatt på fagforeningenes mest foretrukne lønn
Hva bestemmer fagforeningenes mest foretrukne lønn? Spesielt: Hvorfor er ikke denne størst mulig? Svaret på det siste er at fagforeningene ikke bare er opptatt av sin disponible lønn, men også av sysselsettingen, eller av risikoen for å miste arbeidsplasser. Anta mer presist at vi ser på en fagforening i en enkelt bedrift (evt. enkelt bransje). Fagforeningen vil vite at jo høyere lønningene er, jo større er sjansen for at noen (eller i verste fall alle) av de ansatte blir sagt opp. Fordelen med en høy lønn må derfor avveies mot ulempen av en høy risiko for oppsigelser. Det er denne avveiningen som gir et bestent nivå på den mest foretrukne lønn.
Resonnementet over innebærer at fagforeningene er opptatt av begge størrelsene q og Q. Grunnen til at q inngår i fagforeningenes vurderinger er åpenbar, q er jo lik de ansattes realdisponible inntekt. Grunnen til at Q inngår i fagforeningenes vurderinger er at fagforeningene bryr seg om risikoen for redusert syselsetting, som avhenger av bedriftenes brutto lønnskostnader Q. I og med at begge de to størrelsene q og Q betyr noe for fagforeningenes avvininger, vil fagforeningenes mest foretrukne verdi av Q og/eller q avhenge av den totale skattekilen T=(Q-q)/Q.
Nivået på fagforeningens mest foretrukne lønn avhenger bl.a. av hvor ille det fortoner seg å miste arbeidet i bedriften vi ser på. Jo lettere det er å få ny jobb, jo mindre tungt vil risikoen for oppsigelse veie. Og hvor lett det å få ny jobb for oppsagte personer vil bl.a. avhenge av hvor høy den samlede arbeidsledigheten er. Jo høyere ledighet, jo vanskeligere er det normalt for en person som blir oppsagt å finne seg ny jobb. Jo høyere arbeidsledigheten er, jo lavere blir derfor fagforeningens mest foretrukne lønn. Dette er derfor den ene grunnen til at funksjonen Q(U,T) som var inntegnet i figur 1 var antatt å være avtagende i U (den andre grunnen blir gitt i avsnitt 5).
Det er rimelig å anta at det ikke bare er omfanget av arbeidsledigheten (U) som betyr noe for fagforeningenes avveininger, men også hvor ille det fortoner seg å være arbeidsledig. Mer presist er det rimelig å anta at jo lavere diponibel inntekt en har som arbeidsledig, jo lavere blir fagforeningenes mest ønkede lønn. Her må diponibel inntekt som arbeidsledig defineres vidt: Arbeidsledighetstrygd er én komponent, men inntekt fra ulike former for ufomelt arbeid inngår også.
Hva skjer med fagforeningens mest fortrukne lønn dersom skattekilen T blir redusert? Virkningen av en reduksjon i T kan deles i to virkninger, nemlig en nivåvirkning og en vridningsvirkning.
Nivåvirkningen av en redusert skattekile består i at kjøpekraften øker for samme lønn før skatt (dvs. q=(1-T)Q øker for gitt Q). Det er grunn til å tro at fagforeningen vil ønske å ta ut noe av denne gevinsten i form av å trygge sine arbeidsplasser. Det kan den gjøre ved å la Q gå noe ned, dog slik at q=(1-T)Q går opp. Denne nivåvirkningen trekker altså isolert sett i retning av at Q(U,T) går ned når T går ned.
Når det gjelder vridningsvirkningen, er utgangspunktet at den mest foretrukne lønn balanserer ulempen av å øke Q litt, som gir økt risko for tap av arbeidsplasser, med fordelen av å øke Q litt, som gir økt kjøpekraft q=(1-T)Q. Når T går ned, vil den negative effekten av en liten økning i Q være uforandret, mens den positive effekten øker (jo lavere marginalskatten er, jo mer har lønnstakerne igjen for en gitt lønnsøkning i form av høyere kjøpekraft). Fagforeningene vil derfor vri sin atferd i retning av å legge forholdsvis mindre vekt på sysselsettingshensyn og større vekt på lønnskrav. Lavere marginalskatt bidrar dermed isolert sett til å øke fagforeningenes mest ønskede lønnsnivå.
Nivå- og vridningsvirkningen av en redusert skattekile trekker altså i hver sin retning. Uten å gjøre ytterligere antagelser om fagforeningens preferanser kan en kan derfor ikke si noe sikkert om hvordan fagforeningens mest ønskede lønn blir endret som følge av en redusert sakttekile.
I appendiks B har jeg studert sammenhengen mellom T og fagforeningens mest foretrukne lønn i mer detalj. Spesielt har jeg sett på en utforming av fagforeningenes preferanser som kan motiveres ut fra standard teori for tilpasning under usikkerhet. Med denne spesifikasjonen kan vi trekke følgende konklusjoner (se bl.a. Hoel (1989b) og Johnson & Layard (1986) for en nærmere drøfting):
Dersom skattekilen blir redusert uten å endre progressiviteten i skattesystemet, vil fagforeningenes mest foretrukne lønnskostnader endre seg i en retning som avhenger av hvordan skattereduksjonen påvirker den disponible inntekten (bredt definert) til de arbeidsledige i forhold til den disponible inntekten til de sysselsatte. Hvis spesielt skattereduksjonen bidrar til å redusere den disponible inntekten til de arbeidsledige i forhold til den disponible inntekten til de sysselsatte, bidrar dette isolert sett til at skattereduksjonen reduserer fagforeningenes mest foretrukne lønnskostnader.
Dersom skatten blir endret på en måte som demper progressiviteten i skattesystemet (dvs. lar variabelen p definert i ligning A.8 i appendiks A øke for en gitt Q), går fagforeningenes mest foretrukne lønnskostnader opp. Dette resultatet gjelder under forholdsvis generelle forutsetninger om fagforeningenes avveininger mellom sysselsetting og lønn.
Resultatet (a) over innebærer at det er av stor betydning hvordan en reduksjon i skattekilen påvirker forholdet mellom den disponible inntekten til de arbeidsledige og den disponible inntekten til de sysselsatte. En følge av dette er at måten en reduserer den totale skattekilen kan ha betydning for lønnsdanningen. F. eks. vil en reduksjon i momsen, som både sysselsatte og arbeidsledige får glede av, ikke ha noen direkte effekt på forholdet mellom disponibel inntekt til ledige og til sysselsatte. Derimot kan en reduksjon i arbeidsgiveravgiften, når en holder brutto lønnskostnader konstant, øke den disponible lønna til sysselsatte i forhold til de arbeidsledige. Dette trekker i retning av at en reduksjon i arbeidsgiveravgiften trolig har en mer lønnsdempende effekt enn en reduksjon i momsen, selv om reduksjonen i skattekilen er den samme i begge tilfeller. Redusert direkte skatt kommer trolig i et mellomtilfelle, virkningen kan i dette tilfelle avhenge av i hvor stor grad inntekt opptjent i den uformelle del av økonomien blir skattlagt. Se slutten av appendiks A for en nærmere drøfting.
Konklusjonen under (b) gjelder virkningen av dempet progressivitet for en gitt verdi av forholdstallet mellom den disponible inntekten til de arbeidsledige og den disponible inntekten til de sysselsatte. I praksis vil imidlertid dempet progressivitet som oftest også innebære en reduksjon i dette forholdstallet, noe som trekker i retning av en reduksjon i fagforeningens mest foretrukne lønnskostnader. Totalresultatet på fagforeningens mest foretrukne lønnskostnader blir derfor usikkert.
I appendiks B har jeg også vist at det er en sterkt grad av formell likhet mellom virkningen av en skattereduksjon og virkningen av en produktivitetsøkning. Da vi over et langsiktig tidsperspektiv har hatt en vedvarende produktivitetsvekst, men ingen langsiktig trend i arbeidsledigheten, tilsier dette at vi ikke burde vente noen langsiktig virkning av en skattereduksjon på lønnskostnader og sysselsetting. En skal imidlertid være forsiktig med å trekke slike konklusjoner. Selv om analyseapparatet kan egne seg for resonnementer innen et tidsperspektiv på 5-10 år, er det ikke åpenbart at samme analyseapparat egner seg til å si noe om virkninger av produktivitetsendringer innen et tidsperspektiv over flere tiår. Også innenfor analyserammen som er brukt vil det være forskjeller mellom en skattereduksjon og en produktivitetsøkning i den grad disse to faktorene virker ulikt på forholdet mellom inntektsnivået til de arbeidsledige og til de sysselsatte.
Resonnementene i dette avsnittet er basert på at lønnsforhandlinger foregår såpass desentralisert at den enkelte fagforening betrakter den samlede arbeidsledigheten som gitt, uavhengig av hva den selv gjør. Ved en sterk grad av sentralisering er dette en urimelig antagelse. For (det urealistike) yttertilfellet hvor én fagforening forhandler på vegne av alle ansatte, vil fagoreningen vite at lønnsnivået den er med på å forhandle fram vil påvirke arbeidsledighetsnivået. Fagforeningens mest foretrukne lønn i dette tilfellet, og spesielt hvordan den avhenger av skattekilen, er behandlet av bl. a. Calmfors (1982) og Oswald (1985). Heller ikke i dette tilfellet er det mulig å si noe generelt om hvordan en reduksjon i skattekilen påvirker fagforeningens mest foretrukne lønnskostnader. Det er også rett fram å vise at med en spesifikasjon av fagforeningens preferanser som ligner på min spesifikasjon i appendiks B, vil konklusjonene (a) og (b) fortsatt være gyldige.
2.5 Virkning av redusert skatt på bedriftenes mest foretrukne lønn
Hva bestemmer bedriftenes mest foretrukne lønn? Spesielt: Hvorfor er ikke denne lavest mulig? Svaret på det siste spørsmålet er at lønnsnivået kan ha en positiv effekt på bedriftenes overskudd i tillegg til den direkte negative kostnadseffekten. I litteraturen er det gitt en rekke begrunnelser for en slik positiv effekt av lønnsnivået på bedriftenes overskudd: Et høyt lønnsnivå i en bedrift kan bidra til høy motivasjon og høy arbeidsinnsats fra de ansatte (se f.eks. Shapiro & Stiglitz (1984), Solow (1979) og Akerlof (1982)). Et høyt lønnsnivå kan også bidra til at bedriften kan holde på sin sine ansatte over lang tid, og dermed redusere opplæringskostnader (se f.eks. Salop (1979) og Schlicht (1978)), og det kan øke kvantitet og kvalitet på søkere ved ledige stillinger (se f. eks. Jackman, Layard og Pissarides (1984) samt Weiss (1980)).
Den optimale lønna sett for en bedrifts synspunkt finnes gjennom en avveining av de mulige positive effektene av høy lønn mot den negative kostnadseffekten av høy lønn. Det er grunn til å tro at i hvert fall noen av de positive virkningene av en høy lønn er lavere jo høyere arbeidsledigheten er: Jo høyere arbeidsledigheten er, jo mindre nødvendig blir det for en bedrift å bruke lønnsnivået for å holde på sin arbeidskraft. Ved en høy arbeidledighet vil det også være en forholdsvis stor søkermasse på ledige stillinger, selv om bedriften ikke har et særlig høyt lønnsnivå. Disse argumentene er grunnlaget for at bedriftens mest foretrukne lønn er høyere jo lavere arbeidsledigheten er. Dette er derfor den andre grunnen til at funksjonen Q(U,T) som var inntegnet i figur 1 var anntatt å være avtagende i U (den første grunnen ble gitt i avsnitt 4).
Hva skjer med bedriftens mest fortrukne lønn dersom skattekilen T blir redusert? Virkningen av en reduksjon i T kan som før deles i en nivåvirkning og en vridningsvirkning.
Uten nærmere spesifisering av hvordan lønningene påvirker bedriftens overskudd nevnt over, kan en ikke vite noe om hvordan nivåvirkningen av en lavere skattekile påvirker bedriftens mest foretrukne lønn.
Når det gjelder vridningsvirkningen, koster en bestemt lønnsøkning (dvs. økning i Q) bedriften like mye enten marginalskatten er høy eller lav. Men siden lønnstakerne får mer igjen for en bestemt lønnsøkning jo lavere marginalskatten er (samme Q-økning gir høyere økning i q=(1-T)Q jo lavere T er), blir den positive effekten for bedriften av å sette opp lønna (i form av bedre motivasjon, mindre gjennomtrekk, lettere rekruttering) høyere jo lavere marginalskatten er. De indirekte positive effektene av høye lønninger for bedriftene er derfor større jo lavere marginalskattene er. Bedriftene vil derfor tillegge de positive virkningene av en høy lønn større vekt. Lavere marginalskatt bidrar dermed isolert sett til at bedriftenes mest foretrukne lønn går opp.
Selv om vridningseffekten av lavere skatt trekker i retning av at bedriftene ønsker et høyere lønnsnivå jo lavere skattekilen T er, kan en ikke slutte noe om totalvirkningen uten en nærmere spesifisering av hvordan lønningene påvirker bedriftens overskudd.
Ser en på de ulike begrunnelsene for at høy lønn kan ha positive effekter på en bedrifts overskudd (i tillegg til den negative kostnadseffekten), er det klart at det i mange tilfeller ikke er det absolutte lønnsnivået som betyr noe, men bedriftens lønn i forhold til lønnsnivået i andre bedrifter. Spesielt gjelder dette momentene knyttet til mindre gjennomtrekk og lettere rekruttering ved nyansettelser. Trolig vil også motivasjon og innsats være mer påvirket av en bedrifts lønn i forhold til andre bedrifters lønn, enn av det absolutte lønnsnivået. I appendiks C har jeg derfor sett nærmere på tilfellet hvor de gunstige effekene av høy lønn kan modellers gjennom en variabel som påvirker arbeidskraftens effektivitet, og hvor denne effektivitetsvariabelen bare avhenger av tre størrelser, nemlig (i) forholdet mellom disponibel reallønn i bedriften en ser på i forhold til andre bedrifter, og (ii) nivået på arbeidsledigheten i økonomien, og (iii) inntektsnivået til de ledige i forhold til de sysselsatte. Sistnevnte størrelse er tatt med fordi det virker rimelig at det ikke bare er ledighetsnivået, men også hvor godt eller dårlig de ledige har det, som betyr noe for lønnsdanningen. Spesielt antas det at en forverring av situasjonen til de arbeidsledige i forhold til de sysselsatte virker på samme måten på bedriftenes mest foretrukne lønn som økt arbeidsledighet. Det antas at effektivitetsvariabelen er en voksende funksjon av de to første av de tre variablene, og avtagende i den tredje.
For dette tilfelle kan vi trekke følgende konklusjoner 2 :
Dersom skattekilen blir redusert uten å endre progressiviteten i skattesystemet, vil bedriftenes mest foretrukne lønnskostnader endre seg i en retning som avhenger av hvordan skattereduksjonen påvirker den disponible inntekten (bredt definert) til de arbeidsledige i forhold til den disponible inntekten til de sysselsatte. Hvis spesielt skattereduksjonen bidrar til å redusere den disponible inntekten til de arbeidsledige i forhold til den disponible inntekten til de sysselsatte, bidrar dette isolert sett til at skattereduksjonen reduserer bedriftenes mest foretrukne lønnskostnader.
Dersom skatten blir endret på en måte som demper progressiviteten i skattesystemet (dvs. lar variabelen p definert i ligning A.8 i appendiks A øke for en gitt Q), går bedriftenes mest foretrukne lønnskostnader opp.
Konklusjonene (a)-(b) er identisk med konklusjonene jeg trakk om fagforeningenes mest foretrukne lønn. I begge tilfeller følger konklusjonene fra forutsetninger som ikke virker urimelige, men som likevel ikke er opplagt sanne. Trolig er forutsetningene bak konklusonenene (a)-(b) i dette avsnitt mer restriktive enn forutsetningene bak konklusjone (a)-(b) i forrige avsnitt.
Betrakningene i forrige avsnitt om hvordan ulike typer skattereduksjoner kan ha ulik effekt på forholdet mellom den disponible inntekten til ledige og til sysselsatte er selvsagt fortsatt gyldige. Derimot er det mer usikkert om dette forholdstallet er av betydning for bedriftenes mest foretrukne lønn enn at det betyr noe for fagforeningenes mest foretrukne lønn. Sammenhengen mellom redusert progressivitet og redusert forhold mellom den disponible inntekten til ledige og til sysselsatte er også fortsatt gyldig. Totaleffekten av dempet progressivitet er dermed usikker også for bedriftenes mest foretrukne lønnskostnader.
I Hoel (1989b) har jeg vist at det er en sterkt grad av formell likhet mellom virkningen av en skattereduksjon og virkningen av en produktivitetsøkning, på samme måte som det var for fagforeningenes mest foretrukne lønn. Som nevnt i avsnitt 4 gir dette en viss støtte til en konklusjon om at vi ikke burde vente noen langsiktig virkning av en skattereduksjon på lønnskostnader og sysselsetting, dog med de forbeholdene som ble gitt i avsnitt 4.
Resonnementene i dette avsnittet er basert på at lønnsforhandlinger foregår på bedriftsnivå, eller i hvert fall på et såpass desentralisert nivå at arbeidsgiversiden i hver sektor er tjent med å ha et høyt lønnsnivå i forhold til lønnsnivået i andre sektorer. Denne typen betraktninger om relative lønnsnivåer er selvsagt ikke meningsfylt for (det urealistike) yttertilfellet hvor én arbeidsgiverorganisasjon forhandler på vegne av alle arbeidsgivere. I sistnevnte tilfellet kan det likevel være gunstig for arbeidsgiversiden at lønnsnivået er høyere enn nivået som gir full sysselsetting, i den grad den tilhørende arbeidsledigheten bidrar til å senke bedriftenes kostnader, f.eks. gjennom høyere effektivitet eller lavere gjennomtrekk med tilsvarende lavere opplæringskostnader. (Se f.eks. Hoel (1989a) eller Rødseth (1993) for en nærmere drøfting.)
2.6 Teorier for utfallet av lønnsforhandlinger
Til nå har jeg bare sett på hhv. fagforeningens og bedriftenes mest foretrukne lønn. Under visse forutsetninger vil begge disse gå ned som følge av en reduksjon i skattekilen. For dette settet av forutsetninger er det derfor rimelig å anta at de faktiske lønnskostnadene (som blir bestemt i forhandlingene) også går ned hvis skattekilen blir redusert.
Det er flere grunner til å se mer eksplisitt på teorier som forklarer forhandlingsutfallet. For det første kan det tenkes at en skatteendring endrer fagforeningenes og bedriftenes mest ønskede lønn i hver sin retning. I så fall må en se nærmere på forhandlingsprosessen hvis en skal kunne si noe om hvordan det faktiske lønnsnivået blir påvirket av skatteendringen. For det andre kan det tenkes at både fagforeningens og bedriftenes mest ønskede lønn forblir uendret som følge av en skatteendring. I en slik situasjon er det ikke opplagt at også forhandlingsutfallet for lønnsnivået blir upåvirket av skatteendringen. For det tredje kan det være situasjoner hvor en fagforening tillegger sysselsettingshensyn så liten vekt at dens mest ønskede lønn er mest mulig. Likeledes kan det være situasjoner hvor det for en bedrift er så små positive effekter av høy lønn at bedriftens mest ønskede lønn er minst mulig.
Selv om det fins en del nyere litteratur om lønnsforhandlinger 3 , går svært lite av denne litteraturen inn på virkninger av skatteendringer på utfallet av forhandlingene. Spesielt kjenner jeg ikke til noe litteratur som eksplisitt ser på virkninger av skatteendringer innenfor et progressivt skattesystem.
Moene (1988) og Flanagan et al. (1993, kap. 12) viser at forhandlingsresultatet kan bli sterkt påvirket av hva slags konfikt-type som oppstår når partene ikke blir enige. Trolig avhenger også virkningen av en skatteendring i sterk grad av dette. I appendiks D har jeg brukt standard forhandlingsteori, og studert tilfellet hvor uenighet fører til arbeidsnedleggelse (dvs. streik/lockout). For dette tilfellet viser jeg at vi får svært like konklusjoner som vi fant for fagforeningens og bedriftenes mest ønskede nivå på lønnskostnadene:
Dersom skattekilen blir redusert uten å endre progressiviteten i skattesystemet, vil forhandlingsresultatet for lønnskostnadene endre seg i en retning som avhenger av hvordan skattereduksjonen påvirker den disponible inntekten (bredt definert) under en arbeidskonflikt i forhold til den disponible inntekten under normale arbeidsforhold. Hvis spesielt skattereduksjonen bidrar til å redusere den disponible inntekten under en arbeidskonflikt i forhold til den disponible inntekten under normale arbeidsforhold, bidrar dette isolert sett til at skattereduksjonen reduserer lønnskostnadene.
Dersom skatten blir endret på en måte som demper progressiviteten i skattesystemet (dvs. lar variabelen p definert i ligning A.8 i appendiks A øke for en gitt Q), går lønnskostnadene opp.
I konklusjon (a) spiller nå inntekten under en konflikt-situasjon samme rolle som inntekten under arbeidsledighet spilte for tilsvarened konklusjon i avsnitt 4 og 5.
Forutsetningene bak konklusonenene (a)-(b) i dette avsnittet er atskillig mer restriktive enn forutsetningene bak konklusjone (a)-(b) i avsnitt 4 og 5. Spesielt har jeg bare sett på én type konflikt-situasjon, og jeg har ikke forsøkt å gå i detalj inn på hvordan et progressivt skattesystem påvirker forhandlingsutfallet.
Betrakningene i avsnitt 4 om hvordan ulike typer skattereduksjoner kunne ha ulik effekt på forholdet mellom den disponible inntekten til ledige og til sysselsatte er nå av relevans for hvordan ulike typer skattereduksjoner kan tenkes å ha ulik effekt på forholdet mellom den disponible inntekten under en arbeidkonflikt og under normale arbeidsforhold. Hvorvidt det er noen forskjeller mellom ulike typer skattereduksjoner avhenger imidlertid av hva slags konflikt det er snakk om.
2.7 Nærmere om miljøavgifter
Det er hensiktsmessig å skille mellom to hovedtyper av miljøavgifter: avgifter på miljøskadelige konsumgoder og avgifter på produksjon knyttet til miljøskadelig utslipp eller miljøskadelig faktorbruk. En spesifikk avgift vil i mange tilfeller være en kombinasjon av de to typene, en CO2 -avgift er et godt eksempel på dette. Likevel er det hensiktsmessig i drøftingen å rendyrke de to hovedtypene.
Jeg ser først på en avgift på et konsumgode, og antar at skatteprovenyet som derved oppstår blir brukt til å redusere en av de tre hovedkomponentene i den totale skattekilen mellom lønnskostnader og disponibel reallønn, dvs. arbeidsgiveravgift, direkte inntektsskatt, eller moms. Som nevnt i avsnitt 2 vil særavgifter på konsumgoder også inngå i den totale skattekilen. Et viktig spørsmål er derfor hvordan den totale skattekilen blir endret når en øker en slik særavgift og bruker skatteprovenyet til å redusere en av de tre andre komponenetene i den totale skattekilen.
Anta først at skatteomleggingen ikke innebærer noen endring i skatteproveny fra andre enn lønnstagere. Da er det vist av Bovenberg og de Mooij (1994) og Bovenberg og van der Ploeg (1994a) at en omlegging fra en generell skatt til en avgift på en speisifikt konsumgode vil øke den totale skattekilen, når samlet skatteproveny er forutsatt konstant.
Dersom skatteomleggingen fører til økt skattlegging av andre enn lønnstakere, trekker dette i retning av en reduksjon i den totale skattekilen mellom lønnskostnader og disponibel reallønn. Dette kan være tilfelle hvis f.eks. skatteprovenyet blir brukt til å redusere arbeidgiveravgiften. Hvis derimot skatteprovenyet blir brukt til å redusere momsen, vil en neppe få noen merkbar økning i skatteprovenyet fra andre enn lønnstagere.
Det følger av resonnementet over at det ikke er mulig å si noe generelt om hvordan en skatteomlegging i retning av å skattlegge miljøskadelig konsum vil påvirke den totale skattekilen. Selv om vi visste hvordan en endring i den totale skattekilen påvirket lønnsdanningen, noe vi generelt ikke vet, er det derfor ikke mulig å si noe sikkert om hvordan en skatteomlegging i retning av økt skattlegging av miljøskadelig konsum vil påvirke lønnskostnader og sysselsetting.
Selv om den totale skattekilen som et spesialtilfelle forblir uendret, kan skatteomleggingen påvirke lønnsdanningen. Jeg har tidligere vist at forholdet mellom den disponible realinntekten til arbeidledige og sysselsatte kan bety noe for lønnsdanningen. Økt vekt på indirekte skatt (pga. økte særavgifter på miljøskadelige konsumgoder), kombinert med lavere arbeidsgiveravgift, vil trolig redusere dette forholdstallet. I så fall vil en slik skatteomlegging under visse forutsetninger føre til reduserte lønnskostnader, og dermed lavere arbeidsledighet.
Jeg går nå over til å se på virkningen av å innføre eller øke en avgift på produsentene knyttet til miljøskadelig utslipp eller miljøskadelig faktorbruk. Skatteprovenyet som derved oppstår antas brukt til å redusere en av de tre hovedkomponentene i den totale skattekilen mellom lønnskostnader og disponibel reallønn, dvs. arbeidsgiveravgift, direkte inntektsskatt, eller moms. Forutsatt at den økte miljøavgiften isolert sett bidrar til økt skatteproveny, vil en slik skatteomlegging helt sikkert redusere den totale skattekilen mellom lønnskostnader og disponibel reallønn. Som jeg har vist i tidligere avsnitt vil en slik reduksjon i den totale skattekilen under visse forutsetninger isolert sett bidra til lavere lønnskostnader og høyere sysselsetting. Samtidig kan imidlertid den økte miljøavgiften som produsentene må betale ha en direkte virkning på sysselssettingen, og kan også i seg selv påvirke lønnsdanningen og dermed sysselsettingen. Totaleffekten på sysselsettingen kan en derfor ikke si noe om uten en mer detaljert analyse hvor alle disse virkningene inngår.
I løpet av de siste årene har en rekke økonomer studert virkningene av økte miljøavgifter når skatteprovenyet blir brukt til å redusere andre skatter og avgifter. 4 I det aller meste av denne litteraturen er det imidlertid forutsatt full sysselsetting (eller en arbeidsledighet som per forutsetning ikke blir påvirket av en slik skatteomlegging). Her vil jeg bare se på noen av de arbeidene som eksplisitt studerer sammenhengen mellom miljøavgifter og arbeidsledighet.
Bovenberg og van der Ploeg (1994b) stiller opp en modell hvor produsentene bruker arbeidskraft og en en forurensende produksjonsfaktor som innsatsfaktorer. I tillegg er det en fast faktor (som bare kan tolkes som realkapital hvis en har et forholdsvis kortsiktig tidsperspektiv). Videre antar de at lønnstagernes disponible realinntekt (som jeg tidligere har kalt q) er eksogent gitt, eller at den eventuelt bare avhenger av arbeidsledigheten. Spesielt antas den å være uavhengig av den totale skattekilen mellom lønnskostnader og disponibel reallønn. Med denne forutsetningen vil derfor enhver reduksjon i skattekilen slå fullt ut i lavere lønnskostnader. Som vist i tidligere avsnitt er det vanskelig å gi en teoretisk begrunnelse for en slik forutsetning. Forutsetningen om gitt disponibel realinntekt tilsier isolert sett at en miljøavgift som muliggjør en reduksjon i den totale skattekilen skulle ha en positiv sysselsettingseffekt, siden en slik skatteomlegging vil slå direkte ut i lavere lønsskostnader. På den annnen side kan en økt miljøavgift isolert sett trekke i retning av lavere sysselsetting, og forutsetningen til Bovenberg og van der Ploeg innebærer at denne effekten ikke vil bli motvirket av lavere lønnskostnader.
Bovenberg og van der Ploeg studerer virknigen på sysselsettingen av å øke en avgift på den miljøskadelige produksjonsfaktoren (heretter kalt miljøavgiften), når en samtidig holder det totale skatteprovenyet konstant. De viser at en liten økning i miljøavgiften helt sikkert vil øke sysselsettingen hvis to forutsetninger er oppfylt, nemlig (i) miljøavgiften er null i utgangspunktet og (ii) det er mindre enn 100% beskatning av inntekten som går til den faste produksjonsfaktoren, dvs. grunnrenten. Hvis (i) ikke er oppfylt, kan en økning i miljøavgiften redusere bruken av den miljøskadelige faktoren så mye at avgiftsøkningen bidrar til redusert skatteproveny, i så fall må andre skatter økes. Hvis (ii) ikke er oppfylt viser det seg at den økte miljøavgiften helt sikkert bidrar til redusert skatteproveny, fordi den økte miljøavgiften reduserer grunnrenten med mer enn provenyøkningen fra miljøavgiften. Med 100% beskatning av grunnrenten vil derfor en økt miljøavgift helt sikkert bidra til redusert sysselsetting. Fra optimal skatteteori er det velkjent at grunnrente bør beskattes med 100% (se f.eks. Atkinson and Stiglitz (1980), pp.467-468). Hvis skattesystemet derfor er optimalt utformet i utgangspunktet når en ikke har tatt hensyn til miljøet, vil en økt miljøavgift helt sikkert redusere sysselsettingen. Den positive effekten på sysselsettingen en kan ha av en økning i miljøavgiften hvis grunntrenten ikke er 100% beskattet, skyldes at miljøavgiften er en indirekte måte å beskatte grunnrenten på.
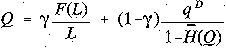
Bovenberg og van der Ploeg (1995) ser på en modell som har visse likhetstrekk med modellen nettopp omtalt. Imidlertid er det i Bovenberg og van der Ploeg (1995) ikke antatt noen fast produksjonsfaktor. Derimot inngår realkapital, og kapitalavkastningen er eksogent gitt i modellen, som er rimelig hvis en ser på en liten åpen økonomi. Lønnsdanningen er også eksplisitt modellert i Bovenberg og van der Ploeg (1995). Det antas at det er kostnader både for bedriften og hver potensiell ansatt knyttet til å finne fram til en match mellom arbeidsgiver og ansatt. Jo høyere arbeidsledigheten er, jo høyere er denne kostnaden for hver arbeider, og jo lavere er denne kostnaden for bedriftene. Når en match er funnet, deler bedriften og arbeideren gevinsten av å etablere et ansettelsesforhold i stedet for at hver av partene starter søkeprosessen på nytt. Med disse forutsetningene blir lønnskostnadene høyere (i) jo lavere arbeidsledigheten er (som illustert i figur 1 i avsnitt 3), (ii) jo høyere arbeidsproduktiviteten er, og (iii) jo høyere den disponible realinntekten (bredt definert) til de arbeidsledige er.
Bovenberg og van der Ploeg bruker modellen bl.a. til å studere hvordan sysselsettingen blir påvirket av en økt miljøavgift, når provenyøkningen av denne avgiftsøkningen blir brukt til å redusere arbeidsgiveravgiften. Resultatet avhenger av hva som blir forutsatt om de arbeidslediges disponible realiinntekten (bredt definert), og hvordan denne blir påvirket av både endringen i arbeidsgiveravgift og endringen i arbeidsproduktivitet som skyldes endringen i miljøavgiften. Modellen tar eksplisit hensyn til at situasjonen til de arbeidsledige avhenger både av arbeidsledighetstrygd, inntekt fra arbeid i den uformelle delen av økonomien, samt den direkte nytten eller ubehaget av å være arbeidsledig (dvs. parameteren β i ligning (B.6) i appendiks B). Bovenberg og van der Ploeg oppsummererer selv sine resultater på følgende måte (i Propsition 3): En økt miljøavgift vil øke sysselsettingen hvis de arbeidsledige har betydelige inntekter i den uformelle del av økonomien og den initiale miljøavgiften er liten. Dersom disse betingelser ikke er oppfylt, går sysslesettingen ned. Denne konklusjonen er helt i overenstemmelse med konklusjonene fra avsnittene 3-6: Her ble det vist at forholdet mellom den disponible inntekten til de arbeidsledige (bredt definert) og de sysselsatte kunne være avgjørende for hva det langsikte nivået på arbeidsledigheten blir. I modellen til Bovenberg og van der Ploeg vil skatteomleggingen i retning av en økt miljøavgift øke dette forholdstallet hvis ikke inntekten fra den uformelle delen av økonomien er tilstrekkelig stor under arbeidsledighet. Og tilstrekkelig stor er større jo større den initiale miljøavgiften er. 5
I et arbeid av Sørensen et al. (1994) er det forutsatt arbeidsledighet som har sin bakgrunn i lønnsdanningen. Det antas at lønningene blir bestemt av fagforeninger som balanserer hensynet til disponibel reallønn mot hensyn til jobbsikkerhet. Med forutsetningene som er gjort blir den disponible realinntekten uavhengig av den totale skattekilen, og den øker proporsjonalt med økt arbeidsproduktivitet. Bak denne egenskapen ligger en forutsetning om at den disponible inntekten til de arbeidsledige er uavhegig av den totale skattekilen og dens sammensetnig, som er en litt spesiell forutsetning.
I likhet med de to foregående arbeidene, forutsetter Sørensen et al. at produksjonen avhenger av arbeidskraft og bruken av en miljøskadelig faktor. Dessuten inngår realkapital, som blir endogent bestemt i modellen, som er dynamisk utformet. Endelig antas den samlede mengden av miljøskadelige utslipp å ha en negativ virkning på produksjonen, i tillegg til en direkte negativ effekt på husholdingenes nytte.
Forutsetningene som Sørensen et al. gjør om produksjonsteknologien 6 innebærer at miljøavgiften må være positiv: Med null avgift blir utslippene uendelig store, som blir meningsløst. Dessuten vil provenyet fra miljøavgiften være uavhengig av hvor stor avgiftssatsen er. Dette betyr at hvis miljøavgiften øker, blir det ikke noen økt skatteproveny som kan brukes til å redusere den totale skattekilen mellom lønnskostnader og disponibel reallønn 7 . Dermed blir også lønnskostnadene og sysselsettingen uavhengig av miljøavgiften i denne modellen.
Sørensen et al. ser også på virkningen av økt offentlig satsing på tiltak som gir et bedre miljø. Isolert sett bidrar dette til økt sysselsetting, siden et renere miljø bidrar til økt produksjon og økt etterspørsel etter arbeidskraft. Pga. forutsetningen om at lønningene øker prorsjonalt med arbeidsproduktiviteten, blir imidlertid denne positive effekten på sysselsettingen akkurat oppveiet av den negative effekten av økte lønnskostnader. Økt offentlig miljøsatsing må desuten i modellen til Sørensen et al. finansieres gjennom en økt skattekile mellom lønnskostnader og disponibel reallønn, noe som slår ut i økte lønnskostnader med de forutsetningene som er gjort. Totaleffekten av økt offentlig satsing på tiltak som gir et bedre miljø på sysselsettingen er derfor negativ i modellen til Sørensen et al.
Brunello (1995) kombinerer forutsetinger om lønnsdanningen av samme typen som omtalt i dette notatet med en økonometrisk modell for en rekke europeiske land. Modelldelen som omhandler lønnsdanning er konstruert slik at endret skattekile per forutsetning ikke påvirker lønnskostnadene på lang sikt. På kort sikt kan det imidlertid være virkninger, av grunner som nevnt i avsnitt 2. Brunello bruker modellen bl.a. til å se på virkningnen av en økt CO2 -avgift kombinert med en lavere arbeidsgiveravgift. En slik omlegging vil ha en positiv effekt på sysselsettingen, særlig på kort sikt (maks effekt etter ca. 3 år). Effekten er imidlertid forholdsvis liten. Da den økonometriske makro-modellen ikke er beskrevet i detalj i arbeidet, er det ikke klart hvilke mekanismer som gjør at sysselsettingseffekten er positiv på lang sikt på tross av forutsetningene som er gjort om lønnsdanningen.
I alle arbeidene drøftet ovenfor ser en på sysselsettingsvirkningen av skjerpede miljøkrav, når virkemiddelet for å oppnå et bedre miljø er økte miljøavgifter. En annen relevant problemstilling er å studere sysselsettingsvirkningen av endret virkemiddelbruk, uten å endre miljømålene. En særlig aktuell endring av virkemiddelbruken er å erstatte direkte regulering av et eller annet slag med en miljøavgift. En sammenligning av direkte regulering med en miljøavgift innenfor en modell med arbeidsledighet er gjort av Hoel (1995). Her er det antatt at lønningene blir bestemt gjennom forhandlinger på en liknende måte som skissert i Appendiks D. Ved en overgang fra direkte regulering til en utslippsavgift blir det videre antatt at avgiftsprovenyet blir brukt til å redusere skatten på arbeidsinntekt. Hvorvidt en omlegging av virkemiddelbruken reduserer arbeidsledigheten eller ikke avhenger av hvordan den direkte reguleringen er utformet. Hvis bedriftene i tilfellet med direkte regulering oppfatter den tillatte utslippsmengden som uavhengig av deres bruk av arbeidskraft og realkapital, vil en omlegging fra direkte regulering til en utslippsavgift helt sikkert redusere arbeidsledigheten. En annen aktuell utforming av den direkte reguleringen er at de tillatte utslippene er større for store bedrifter enn for små. I det refererte arbeidet antar jeg spesielt at det tillatte utslippsnivået er større jo større sysselsettingen er og jo mer realkapital bedriften bruker, og at tillatt utslippsmengde blir fordoblet hvis både sysselsettingen of bruken av realkapital blir fordoblet. Med denne formen for direkte regulering har bedriftene et incentiv til å holde høyere sysselsetting enn en ren sammenligning av arbeidskraftens grenseproduktivitet og lønnskostnadene skulle tilsi. Grunnen til dette er at ved å øke sysselsettingen får bedriftene lov til også ha høyere utslipp. I arbeidet er det vist at det ikke lenger er opplagt i hvilken retning arbeidsledigheten vil endre seg ved en omlegging fra denne typen direkte regulering til en utslippsavgift. Dette gjelder både når en antar at bruken av realkapital er uavhengig av hvilken type virkemiddel som blir brukt, og når en alternativet antar at mengden realkapital alltid blir tilpasset slik at et bestemt avkastningskrav blir oppnådd. Det er imidlertid mindre sannsynlig at omleggingen fra direkte regulering til en utslippsavgift vil redusere arbeidsledigheten i sistnevnte tilfellet enn i tilfellet med en gitt mengde realkapital.
2.8 Litt empiri
Teorien som jeg har presentert i de tidligere avsnittene viser at størrelsen på den totale skattekilen kan være av betydning for det langsiktige nivået av lønnskostnadene. Fortegnet på virkningen er imidlertid ikke entydig for det generelle tilfellet.
Selve sammensetningen av skattekilen kan også være av betydning. I følge den skisserte teorien vil sistnevnte virkning eventuelt gå via virkningen på forholdet mellom den disponible inntekten til arbeidsledige (og/eller lønnstagere i en arbeidskonflikt) og de sysselsatte.
I empiriske studier er det flere vanskeligheter som oppstår dersom en skal forsøke å tallfeste virkningen på lønnskostnadene av en endring i den skattekilen og/eller dens sammensetning. Ett problem er at det kan være vanskelig å rendyrke de langsiktige effektene. Som påpekt i avsnitt 2 kan virkningen både av en endring i den totale skattkilen og i dens sammenseting ha svært ulik effekt på lønnskostnadene på kort og på lang sikt. Et annet problem er at endrede indirekte skatter i mange empiriske arbeider behandles på samme måte som andre konsumprisendringer. Men andre konsumprisendringer vil ofte ha en annen virkning på lønnsdanningen enn endrede indirekte skatter, siden prisendringer som ikke skyldes avgiftsendringer i de mange tilfeller vil påvirke lønnsomheten av produksjonen 8 . I empiriske lønnslikninger hvor en ikke skiller mellom prisendringer som skyldes avgiftsendringer og andre prisendringer, er det derfor ingen grunn til å vente at en finner samme virkning på lønnsdanningen av endrede indirekte skatter og andre endringer i den totale skattekilen.
Layard et al. (1991, kap. 4) drøfter empiriske resultater vedrørende sammenhengen mellom den totale skattekilen og lønnskostnadene for en rekke OECD-land. Når det gjelder den langsiktige virkningen på lønnskostnadene av en endring i skattekilen er de empiriske konklusjonene noe blandet: Noen studier finner en langsiktig effekt (i retning av at en økt skattekile gir en varig økning i lønnskostnadene), mens andre studier ikke finner noen langsiktig sammenheng mellom skattekilen og lønnskostnadene. Layard et al. hevder imidlertid at den kortsiktige effekten av en endret skattekile på lønnskostnadene kan være betydelig, og at varigheten av virkningen kan være temmelig lang. Spesielt viser de til en studie som viser at for gjennomsnittet av 16 OECD-land vil en økning i skattekilen med 1 prosentpoeng gi 0,5 prosent økte lønnskostnader på kort sikt. 9 Av denne økningen i lønnskostnadene vil halvparten fortsatt gjøre seg gjeldene etter 5 år. Pga. ulike dynamiske makroøkonomiske sammenhenger kan det være virkninger på arbeidsledigheten av økningen i skattekilen selv etter 10 år. 10 Dette er en konklusjon som er i overenstemmelse med konklusjonen til f.eks. Brunello (1995) omtalt i forrige avsnitt: Her ville en økt CO2 -avgift kombinert med en lavere arbeidsgiveravgift gi en positiv effekt på sysselsettingen på lang sikt, til tross for at endret skattekile per forutsetning ikke hadde noen direkte virkning på lønnskostnadene på lang sikt.
Stølen (1994, kap. 4) har gjennomført en omfattende studie av lønnsdanningen i Norge. Her vises det bl.a. at virkningen på lønnskostnadene av en endring i den totale skattekilen eller i dens sammensetning
er ulik på kort og lang sikt, dvs. i overenstemmelse med hva en kan vente på teoretisk grunnlag;
avhenger av den detaljerte økonometriske spesifiseringen av lønnslikningene, uten at en kan si noe entydig om hvilken spesifisering som er best;
varierer mellom ulike sektorer i økonomien
En konklusjon fra drøftingen over er det ikke kan påvises noen klar og entydig langsiktig effekt av en endring i den totale skattekilen på lønnsdannningen. I den grad en slik effekt er til stede, synes virkningen å være positiv, dvs. at en økt skattekile gir økte lønnskostnader. Effekten er neppe spesielt stor, i så fall hadde den i sterkere grad blitt fanget opp i de empiriske undersøkelsene.
2.9 Konklusjoner/oppsummering
Mitt utgangspunkt var figur 1, som illustrerer hva som bestemmer likevektsstørrelsene for lønnsnivå og arbeidsledighet. Det sentrale spørsmålet var hva som skjer med Q(U,T)-kurven, og dermed med arbeidsledigheten, når skattekilen T blir redusert. De viktigste konklusjonene kan oppsummeeres som følger:
På teoretisk grunnlag er det ikke mulig å si noe entydig om hvordan lønnskostnader og arbeidsledighet blir endret som følge av en reduksjon i den totale skattekilen mellom lønnskostnader og disponibel reallønn.
Under spesifikke forutsetninger, som ikke virker urimelige og som ofte blir brukt i den teoretiske litteraturen på området, vil en reduksjon i den totale skattekilen gi reduserte lønnskostnader og redusert arbeidsledighet. I så fall går virkningen av en redusert skattekile via virkningen på lønnsdanningen av en reduksjon i forholdet mellom disponibel inntekt (bredt definert) under arbeidsledighet og/eller under en arbeidskonflikt og disponibel inntekt under normal sysselsetting.
Det følger av konklusjon (2) at ulike måter å endre den totale skattekilen på kan ha ulike virkinger på lønnsdanning og arbeidsledighet. Det er spesielt grunn til å tro at redusert arbeidsgiveravgift kan ha sterkere effekt enn redusert moms (for samme totalreduksjon i skattekilen).
Det er vanskelig å tro at lønnsdanning og arbeidsledighet kan bli sterkt påvirket av moderate endringer i forholdet mellom disponibel inntekt under arbeidsledighet/arbeidskonflikt og disponibel inntekt under normal sysselsetting. Det følger derfor fra konklusjon (2) at endringer i skattekilen neppe kan ha noen sterk langsiktig effekt på lønnsdanning og arbeidsledighet.
Virkningen på arbeidsledigheten av økte miljøavgifter kombinert med en reduksjon i skattekilen mellom lønnskostnader og disponibel reallønn er enda mer usikker enn virkningen av en ensidig reduksjon i skattekilen. Dette skyldes at økte miljøavgifter isolert sett kan ha en direkte effekt på arbeidsledigheten. Nyere teoretisk litteratur kan til en viss grad hjelpe oss til å finne ut når det er mest sannsynlig at en slik skatteomlegging kan gi lavere arbeidsledighet (jfr. omtalen i avsnitt 7).
Økte miljøavgifter kan være et element i en omlegging av virkemiddelbruken i miljøpolitikken, uten at miljøkravene blir skjerpet. Også i dette tilfellet kan provenyet fra miljøavgiftene bli brukt til å redusere skattleggingen av arbeidskraft. Heller ikke i dette tilfellet er opplagt at skatteomleggingen fører til lavere arbeidsledighet.
Empiriske studier bekrefter konklusjonene over: Det er vanskelig å påvise noen klar og entydig langsiktig effekt av en endring i den totale skattekilen på lønnsdannningen. Enkelte studier indikerer imidlertid at en reduksjon i skattekilen kan gi en viss reduksjon i lønnskostnadene, og dermed i arbeidsledigheten.
Appendiks A: Den totale skattekilen
For å se sammenhengen mellom arbeidsgiveravgift, direkte inntektsskatt, og indirikte skatter skal jeg anta at pris før avgift på alle konsumgoder er gitt og bare se på en generell avgift på alle konsumgoder.
Vi bruker følgende symboler:
- W =
nominell lønn
- Q =
bedriftenes lønnskostnader
- q =
disponibel reallønn
- τ =
avgiftssats for arbeidsgiveravgift (regnes i prosent av W)
- h(W)=
total direkte skatt
- Θ =
skattesats for indirekte skatt (regnes i prosent av prisnivået før skatt, som her er satt lik 1)
Da har vi følgende sammenhenger


siden prisnivået på konsumgoder med mine forutsetninger er 1 + Θ.
Totalskattekilen er definert som

Fra (A.1)-(A.3) følger det at

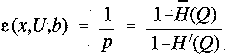
Den gjennomsnittlige og marginale totalskattekilen defineres som


hvor h' og
Definisjonen av progressiv skatt er at

Et vanlig brukt mål på progressiiteten i et skattesystem er størrelsen

som måler med hvor mange prosent disponibel reallønn øker med når lønnskostnadene øker med 1%. Jo lavere p er, jo mer progressivt er skattesystemet.
Fra (A.5), (A.6) og (A.8) følger det (etter rett fram regning) at

Progressiviteten i skattesystemet avhenger altså av inntektskattefunksjonen, og vil normalt også avhenge av hvor stor den nominelle lønna W = Q/(1+τ) er.
Det totale skatteprovenyet fra lønnsinntekt og konsum i et omfang likt med lønnsinntekten er

hvor summeringen er over alle sysselsatte. Det siste leddet følger av at Wi -h(Wi ) er disponibel nominell lønnsinntekt for sysselsatt nr. i, som gir kjøpekraft til å kjøpe konsumgoder i et omfang av (Wi -h(Wi ))/(1 + Θ) = qi (fra (A.2)), og dette konsumnivået blir avgiftsbelagt med satsen Θ. Setter vi nå inn fra (A.1) og (A.2) i (A.10) og bruker (A.5) gir rett fram regning at

Fra (A.11) ser vi altså at skatteprovenyet fra lønnsinntekt og konsum av lønnsinntekt forblir uendret dersom skattene legges om slik at summen av skattekilene over alle lønnstagere forblir uendret 11 .
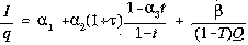
Spesialtilfellet med en proporsjonal inntektskatt har vi når h(W)=tW, hvor t er en proporsjonal inntektssatt. For dette tilfellet blir den gjennomsnittlige og den marginale skattekilen like. Jeg kaller denne skattekilen T, og den følger fra (A.5) med

som også kan skrives som

Vi ser til slutt på sammenhengen mellom inntekten under arbeidsledighet og skattekilen, under forutsetningen om en proporsjonal intektsskatt. Den realdisponible inntekten til de arbeidsledige er antatt gitt som

Telleren i brøken består av to ledd. Det første leddet kan tolkes som arbeidsledighetstrygd, som antas proporsjonal med lønnsnivået, og som det må betales innteksskatt av. Det andre leddet er inntekt fra den uformelle sektoren i økonomien. Det er antatt at denne er proporsjonal med brutto lønnskostnader, som avspeiler arbeidsproduktiviteteten i økonomien. Dessuten antas det at det bare betales inntektsskatt av en andel α3 av denne delen av inntekten under ledighet. Summen av disse to inntektskomponentene divideres med prisnivået 1+Θ for å få realverdien av denne summen.
Den tredje komponenten i I, dvs. β, kan tolkes som verdien av fritid under arbeidsledighet. En nærmere drøfting av denne parameteren er gitt etter likning (B.6) i appendiks B.
Forholdet mellom realinntekt til arbeidsledige (definert ved I over) og sysselsatte (gitt ved q) er altså I/q. Ved å bruke likningene over kan denne omskrives som

En reduksjon i T bidrar altså til å redusere I/q dersom β er positiv og reduksjonen i T innebærer en økning i (1-T)Q. Dersom reduksjonen i T skyldes at arbeidsgiveravgiften går ned, får vi en tilleggseffekt i retning av lavere I/q dersom α2 er positiv. Det samme gjelder om nedgangen i T skyldes en reduksjon i inntektsskatten, forutsatt at α3 <1.
Appendiks B: Fagforeningenes mest foretrukne lønn
Jeg skal først se på tilfellet hvor inntektsskatten er proporsjonal. Jeg kaller den gjennomsnittlige skattekilen T, og ser først på en ganske generell spesifikasjon. Deretter ser jeg på et spesialtilfelle hvor en endring i T under visse forutsetninger ikke endrer Q. Til slutt ser jeg se på tilfellet med en progressiv inntektsskatt.
Anta at fagforeningens preferanser knyttet til disponibel lønn og jobbsikkerhet kan skrives som

Det første argumentet i V er sannsynligheten for at et representativt medlem av fagforeningen mister arbeidet i bedriften. Denne sannsynligheten er stigende i lønnskostnadene Q, mens V er avtagende i sannsynligheten π. Det andre argumentet, q = (1 – T)Q, er disponibel reallønn i bedriften. V er stigende m.h.p. q. Det tredje argumentet q* = (1 – T)Q*, er disponibel reallønn andre steder det kan være aktuelt å få jobb hvis en mister jobben i bedriften en initielt tilhører. V er stigende m.h.p. q*. Da det normalt er lettere å finne ny jobb jo lavere den aggregerte arbeidsledigheten er, er V avtagende i U (d.v.s. det fjerde argumentet). Det femte argumentet, b, er forholdet mellom disponibel realinntekt under ledighet og disponibel reallønn q*. Jo høyere b er, jo høyere er inntekten under ledighet, som isolert sett er gunstig for fagforeningen, siden noen av medlemmene kan bli arbeidsledige. V er altså voksende i b.
Fagforeningens mest ønskede lønn følger fra maksimering av V m.h.p. Q, når Q*, T, b og U tas som gitt. Optimumsbetingelsen er

Likning (B.2) gir Q som en funksjon av Q*, T, U og b. I en langsiktig likevekt er lønningene like på tvers av bedrifter, slik at Q = Q*. Setter vi dette inn i nevnte funksjon får vi Q definert som en funksjon av U, T og b, d.v.s.

Under rimelige betingelser er QF avtagende i U og voksende i b. Jeg skal se nærmere på hvordan QF avhenger av T.
Anta først at V kan skrives som

hvor f er en funksjon med egenskapen f(T)>0 for alle T<1. I dette tilfellet er den optimale Q (som altså maksimerer V og

hvor ρ(U) er sannsynligheten for å finne en jobb dersom en blir oppsagt fra bedriften en initialt jobber. Denne sannsynligheten antas å være lavere jo høyere den aggregerte arbeidsledigheten er, dvs. ρ'(U)<0. Uttrykket i (B.5) er altså forventet nytte til et representativt fagforeningsmedlem, hvor v er nyttefunksjonen som gjelder når en er i arbeid, mens v0 er nytefunksjonen under ledighet.
Anta nå at v og v0 har formen

Her kan β tolkningen nytten av å være arbeidsledig 12 . Hvis β>0 kan dette tolkes som at personen isolert sett foretrekker å være arbeidsledig enn i arbeid, siden han eller hun har mer fritid under arbeidsledighet. Isolert sett betyr her at vi ser bort fra inntektsforskjellen i de to situasjonene, denne forskjellen blir fanget opp ved at variabelen y får ulik verdi i de to tilfellene. Hvis β<0 kan dette tolkes som at personen foretrekker å være i arbeid framfor å være arbeidsledig, selv når en ser bort fra inntektsforskjellen i de to tilfellene.
Ved å sette (B.5) inn i (B.6) får vi

Hvis β=0 er (B.7) et spesialtilfelle av den generelle formen (B.4). For tilfellet β=0 er altså QF (U,T,b) uavhengig av T.
Små modifikasjoner av eksemplet over modifiserer også resultatet.Det er forholdsvis rett fram å vise at QF er voksende i T hvis β>0, men avtagende i T hvis β<0, og eksemplet ellers er som før.
Til nå har jeg latt b være en konstant. Inntekten under ledighet vil ofte dels utgjøres av ledighetstrygd, og dels utgjøres av ulike former for uformelt arbeid. Inntekt av sistnevnte type faller ofte utenfor skattesystemet 13 . De er derfor ikke urimelig å anta at b i praksis er større jo større T er. I så fall vil en reduksjon i T også ha en effekt via redusert b, noe som bidrar til å senke Q.
I det generelle tilfellet (dvs. V gitt ved (B.1)) er virkningen av T på Q usikker. Det er imidlertid en sterk likhet mellom en produktivitetsøkning og en endring i skattekilen. For å se dettte innføres en produktivitetsparameter λ. Jeg antar nå at det avgjørende for arbeidsplassene er lønnskostnadene i forhold til produktivitetsparameteren, dvs. π=π(Q/λ). Jeg definerer

og skriver om (B.1) til

Fagforeningen velger den

Fra (B.10) er det klart at en reduksjon i T, dvs. en økning i 1-T, hvar samme virkning på
Til nå har jeg antatt en proporsjonal skatt. Anta nå at inntektsskatten er progressiv. Med en inntektsskatt lik h(W) blir sammenhengen mellom disponibel lønn og lønnskostnader gitt ved

Preferansefunksjonen (B.1) blir nå

og tilpasningsbetingelsen (B.2) blir nå

Se først på en skatteendring som er slik at ved den opprinnnelige Q-likevekten, som jeg kaller Q0 , forblir R(Q0 ) og b uendret, mens R'(Q0 ) øker. Dette betyr at den samlede progressiviteten i skattesystemet går ned (siden p=R'(Q0 )Q0 /R(Q0 ) øker). Alle størrelsene i (B.13) forblir uendret, unntatt R'(Q0 ), som øker. Etter skatteendringen får vi derfor

For å gjenopprette likhet må venstre side av (B.14) gå ned. Pga. annenordensbetingelsene innebærer dette at Q må øke. En omlegging av skattesystemet i mindre progressiv retning, med opprettholdelse av det samme skattenivået ved de opprinnelige lønnskostnadene, vil altså gi økte lønnskostnader.
Jeg skal nå rendyrke en nivåendring i skattene, uten at progressiviteten i skattesystemet blir endret. Dette gjør jeg gjennom å skrive

hvor γ (>0) er en skatteenivå-parameter. For gitt Q er p=R'Q/R uavhengig av γ, men skatte nivået er lavere jo høyere γ er. Setter vi (B.15) inn i (B.12) ser vi at γ inngår på nøyaktig samme måte i V som 1-T gjorde for tilfellet med en proporsjonal inntektsskatt. Virkningen av en ren nivåendring gjennom γ blir derfor helt like med med virkningen av en endring i skattekilen T for tilfellet med en proporsjonal inntektsskatt.
Appendiks C: Bedriftenes mest foretrukne lønn
En enkelt bedrift har produktfunksjon F(el), hvor l er sysselsetting og e er effektiviteten av arbeidskraften. Overskuddet til bedriften er da

hvor

og

x er altså lønnsnivået i bedriften vi ser på i forhold til lønnsnivået i andre bedrifter, og jeg antar at de ansattes effektivitet er stigende både i dette relative lønnsnivået og i nivået på arbeidsledigheten (siden økt U bl.a gir mindre gjennomtrekk og dermed mindre opplæringskostnader av nyansatte, og gjør det lettere å rekruttere nye ved ledige stillinger). Som nevnt i avsnitt 5 antas e å være avtagende i b, som angir relativ inntekt til de ledige i forhold til de sysselsatte.
Definerer vi L=e? kan overskuddet omskrives til

Bedriften ønsker å maksimere π. Dette maksimeringsproblemet kan deles i to: Først finnes nivået som minimenrer Q/e, deretter den L-verdi (gjennom valget av l) som maksimener F(L)-(Q/e)L til den minimerte verdien av Q/e. Jeg skal bare se på første del av problemet. Jeg definerer

Under rimelige betingelser er denne elastisiteten avtagende i x og U, og voksende i b. Det er nå rett fram å vise at verdien av x som minimerner Q/e (til en gitt verdi på U) er gitt ved

For å forenkle drøftingen antar jeg at p er uavhengig av Q. Da er bedriftens mest foretrukne lønnsnivå implisitt gitt av den verdien av U som tilfredsstiller ligning (C.6) når x=1, som er en likevektsbetingelse som sier at lønningene er like på tvers av bedriftene. Med forutsetningene jeg har gjort er denne U-verdien en stigende funksjon av variabelen b.
Det at U-verdien blir entydig bestemt uavhengig av etterspørselskurven for arbeidskraft, betyr at kurven for bedriftenes mest foretrukne lønn med min spesifikasjon er vertikal. Denne litt spesielle egenskapen skyldes at jeg som en forenkling har antatt b uavhegig av lønnsnivået. Dersom b er lavere jo høyere Q er, blir bedriftenes mest foretrukne lønn høyere jo lavere arbeidsledigheten er (dvs. som illustrert av Q(U,T)-kurven i figur 1).
Det er klart fra (C.6) at en reduksjon i skattekilen H(Q) ikke endrer likevektsverdien på U så lenge progressiviteten i skattesystemt (gitt ved p) ikke blir endret, og så lenge b holdes konstant. Dette er ekvivalent med at bedriftens mest foretrukne lønn heller ikke blir endret som følge av skattereduksjonen.
Så lenge b holdes konstant, vil en reduksjon i skattekilen som samtidig demper progressiviteten i skattesystemet, dvs. øker p, fører til at U-verdien som tilfredsstiller (C.6) (når x=1) går opp. Derimot vil en reduksjon i skattekilen som reduserer verdien på b føre til at likevektsverdien på U går ned, forutsatt at progressiviteten i skattesystemt (gitt ved p) ikke blir endret. For det mer generelle tilfellet hvor bedriftenes mest foretrukne lønn er høyere jo lavere arbeidsledigheten er, men sammenhengen ikke er vertikal, svarer disse to resultatene til at bedriftenes mest foretrukne lønn er lavere jo lavere b og p er.
Appendiks D: Lønnsforhandlinger
En mye brukt teori for utfallet av lønnsforhandlinger er Nash's forhandlingsløsning. Meget kort og upresist sier den at hvis et bestemt sett av aksiomer er oppfylt, så vil resultatet av lønnsforhandlingene være den Q-verdi som maksimerer følgende uttrykk:

Her er som før Q og Q-H(Q) hhv. lønnskostnadere og disponibel reallønn. F(L) er bedriftens bruttoinntekt minus kostnader utenom lønnskostnader, L er sysselsetting, QL er altså bedriftenes totale lønnskostnader. qD er de ansattes disponible inntekt under en arbeidskonflikt, mens πD er bedriftenes overskudd i en konfliktsituasjon. Størrelsene qD og πD er viktige for resultatet av maksimereingen, og vil avhenge av hva slags konflikt som er aktuell. Parameteren α er en konstant som tilfredstiller 0<α<1 (med det strengeste settet av aksiomer som Nash innførte blir α=0,5).
Som nevnt kan maksimering av uttrykket i (D.1) gis en aksiomatisk begrunnelse. Nyere forhandlingsteori har også vist at under visse forutsetninger vil en eksplisitt modellering av forhandlingsprosessen som et ikke-kooperativet spill lede til samme forhandlingsløsning. Størrelsene qD og πD , og også parameteren α, vil avhenge av den nærmere spesifisering av et slikt ikke-koopersativt forhandlingsspill. Det vises til Moene (1988), Flanagan et. al (1993, kap. 12) og Holden (1990) for en nærmere drøfting.
Det er rett fram å vise at Q-verdien som maksimerer uttrykket (D.1) er

hvor γ=αp/(1-α+αp) og p er gitt ved (A.8); vi har altså 0<γ<1, og at γ er større jo større p er (dvs. jo mindre progressivt skattesystemet er).
Den enkleste formen for konflikt, som ofte forutsettes å være den mest relevante, er at det blir arbeidsnedleggelse i dersom en ikke blir enige om lønna 14 . I så fall kan jeg anta at qD er en eksogen størrelse, som representerer ufomelt arbeid av ulike slag i en konflikt-situasjon. Jeg antar at qD er uavhengig av skattereglene, det som er viktig for de kvalitative konklusjonene er bare at dersom
Med forutsetningene over kan (D.2) omskrives til

Fra dette utrykket følger det umiddelbart at Q øker hvis
Referanser:
Akerlof, G.A. (1982), Labor contracts as a partial gift exchange, Quarterly Journal of Economics 87 (November), 543-69.
Atkinson, A.B. og Stiglitz, J.E. (1980), Lectures on Public Economics, McGraw Hill.
Bovenberg, A.L. and de Mooij, R. (1994), Environamental levies and distortiuonary taxation, American Economic Review 84, 1085-89.
Bovenberg, A.L. and van der Ploeg, F. (1994a), Environmental policy, public finance and the labour market in a second-best world, Journal of Public Economics 55, 349-390.
Bovenberg, A.L. and van der Ploeg, F. (1994b), Consequences of environmental tax reform for involuntary unemployment and welfare, CentER discussion paper no. 9408.
Bovenberg, A.L. and van der Ploeg, F. (1995), Tax reform, structural unemployment and the environment, Nota di Lavoro 17.95, Fondazione Eni Enrico Mattei.
Brunello, G. (1995), Labour market instittutions and the double dividend hypothesis, Nota di Lavoro 3.95, Fondazione Eni Enrico Mattei.
Calmfors, L. (1982), Employment policies, wage formation and trade union behavior in a small open economy, Scandinavian Journal of Economics 84, 345-373.
Flanagan, R.J., Moene, K.O., og Wallerstein, M. (1993), Trade Union Behaviour, Pay Bargaining and Economic Performance, Clarendon Press, Oxford.
Goulder, L.H. (1994), Environmental taxation and the double dividend: a reader's guide, paper presented at 50th Congress of the International Institute of Public Finance, Harvard, 22-25 August 1994.
Hoel, M. (1989a) Efficiency wages and local versus central wage bargaining, Economics Letters 30, 175-179.
Hoel, M. (1989b), The effects of tax and productivity changes on equilibrium unemployment, upublisert notat.
Hoel, M. (1990), Efficiency wages and income taxes, Journal of Economics 51, 89-99.
Hoel, M. (1995), Coordination of Environmental Policy for Transboundary Environmental Problems?, upublisert notat.
Holden, S. (1990), Wage drift in Norway: A bargaining approach, i L. Calmfors (red.): Wage Formation and Macroeconomic Policy in the Nordic Countries, Oxford University Press.
Jackman, R., Layard, R. and Pissarides, C. (1984), On vacancies, London School of Economics, Centre for Labour Economics, Discussion Paper No. 165 (revised).
Johnson, G.E. and Layard, P.R.G. (1986), The Natural Rate of Unemployment: Explanation and Policy, in O. Asenfelter and R. Layard (eds.): Handbook of Labor Economics (Vol. II), North-Holland, pp. 921-999.
Layard, R., Nickell, S. og Jackman, R. (1991), Unemployment. Macroeconomic Performance and the Labour Market, Oxford University Press.
Moene, K. (1988), Union threats and wage determination, Economic Journal 96, 98-109.
Oswald, A.J. (1985), The Economic Theory of Trade Unions: An Introductary Survey, Scandinavian Journal of Economics 87, 160-193.
Rødseth, A. (1993), Efficiency wages and local versus central bargaining, Oxford Economic Papers 45, 470-481.
Salop, S.C. (1979), A model of the natural rate of unemployment, American Economic Review 69, 117-25.
Schlicht, E. (1978), Labour turnover, wage structure and natural unemployment, Zeitschrift fÜr die gesamte Staatswissenschaft 134, 337-46.
Shapiro, C. and Stiglitz, J.E. (1984), Equilibrium unemployment as a worker diciplin device, American Economic Review 74 (June), 433-44.
Solow, R. (1979), Another possible source of wage stickiness, Journal of Macroeconomics 1, 79-82.
Strand, J. (1994?), Er miljøpolitikk sysselsettingsfremmende? En analyse av mulighetene for doble gevinster gjennom skjerpet miljøbeskatning»
Strøm, S., Stølen, N.M. and Torp, H.(1988): Inntektsdannelsen i Norge , Oslo.
Stølen, N.M. (1994), Wage Formation and the Macroeconomic Functioning of the Labour Market, Økonomiske doktoravhandlinger nr. 18-1994, Sosialøkonomisk institutt, Univ. i Oslo.
Sørensen, P.B., Pedersen, L.H. and Nielsen, S.B. (1994), Taxation, pollution, unemploymenrt and growth: could there be a 'triple dividend' from a green tax reform?, paper presented at 50th Congress of the International Institute of Public Finance, Harvard, 22-25 August 1994.
Weiss, A. (1980), Job queues and layoffs in layoffs in labor markets with flexible wages, Journal of Political Economy 88 (June), 526-38.
Barker, T. and Gardiner, B. (1994), Employment, wage formation and pricing in the European Union: empirical modelling of environmental tax reform, paper presentet at the workshop Envoronmental Taxation, Revenue Recycling and Unemployment, Milano, December 1994.
Malcomson, J.M. and Sartor, N. (1987), Tax push inflation in a unionized labour market, European Economic Review 31, 1581-96.
Sampson, A.A. (1983), Employment policy in a model with a rational trade union, Economic Journal 93, 297-311 (1983).
Fotnoter
I en mer fullstendig dynamisk analyse ville W ikke nødvendigvis gå ned, men over en tid økt langsommere enn sin langsiktige trend.
For en grundigere analyse vises til Hoel (1990).
Se f.eks. Flanagan et al. (1993, kap. 12) for en drøfting av noe av denne litteraturen.
Oversikter over noe av denne litteraturen er gitt av bl.a. Goulder (1994) og Strand (1994).
Resultatet kan forstås enklest hvis en ser på likning (A.14) i Appendiks A. Det viser seg at skatteomleggingen, som reduserer T, vil gi en reduksjon i (1-T)Q. Dette skyldes at Q går ned når arbeidsproduktiviteten går ned (som følge av den økte miljøavgiften), og dette vil mer enn oppveie økningen i 1-T. Nedgangen i (1-T)Q er større jo større miljøavgiften er initialt. Med β>0 bidrar dette altså til at I/q går opp. Dersom α2 >0, kan imidlertid denne effekten bli oppveiet av at det andre av de tre leddene i (A.14) går ned når τ går ned.
Produktfunksjonen er av Cobb Douglas typen.
Hvis det hadde vært mulig å redusere denne skattekilen, følger det fra modellesens forutsetninger at lønnskostnadene hadde gått ned og sysselsettingen økt.
Dette gjelder både for endringer i prisene på produkter som blir produsert i Norge og for endringer i priser på utenlandske varer og tjenester som konkurrerer med norske produkter (hjemme eller ute).
Det går ikke klart fram hvilken av komponentene av skattekilen som antas å øke.
En viktig dynamisk sammenheng i arbeidsmarkedet er såkalt hysterese, dvs. at lønnsdanning og arbeidsledighet i én periode avhenger av arbeidsledigheten i tidligere perioder.
Dersom endringen i skattesatsene innebærer en økning i Θ, og totalkonsumet er høyere enn lønnsinntkten, vil en slik skatteommlegging alt i alt gi økt skatteproveny.
En nyttefunksjonn av denne typen, med tilsvarende tolkning av β, er bl.a. brukt av Bovenberg og van der Ploeg (1995).
Jfr. drøftingen i slutten av appendiks A.
Se litteraturen referert til over for en kritisk drøfting av relevansen av en slik form for konflikt i lokale lønnsforhandlinger i Norge.