1 Effektivitet i kommunale tjenester

Lars-Erik Borge og Mads Fjeld Wold, Senter for økonomisk forskning (SØF), NTNU Samfunnsforskning AS

Nær 1/5 av de sysselsatte i Norge jobber i kommunesektoren, og sektoren bringer til veie en betydelig del av tjenester som er svært viktige for innbyggerne. Det er derfor viktig at kommunene bruker ressursene sine til det beste for innbyggerne. Behovet for kommunale tjenester som omsorgstjenester vil framover bli stadig større samtidig som det vil være begrenset rom for økning i kommunale budsjetter. Gjennom effektivisering kan den kommunale tjenesteproduksjonen økes utover det som følger av inntektsveksten.

Dette vedlegget presenterer oppdaterte beregninger av effektivitet i kommunale tjenester. I tillegg til sektorvise analyser av barnehage, grunnskole og pleie og omsorg, beregnes en indikator for samlet effektivitet i disse tre sektorene. Analysene viser en svak økning i samlet effektivitet fra 2023 til 2024.

Det er vanskelig å måle produksjonen av tjenester som ikke omsettes i et marked og hvor heller ikke kvaliteten er lett å måle. Generelt kan det i denne type analyser være et motsetningsforhold i tolkningen av resultatene om i hvilken grad de indikerer høy(ere) effektivitet eller lav(ere) kvalitet. Dette problemet antas å være minst i grunnskolen, hvor det finnes gode mål på læringsutbytte, men større i barnehage og pleie og omsorg hvor det i mindre grad finnes gode mål på kvalitet. I barnehage og grunnskole er det innført bemanningsnormer med sikte på å heve kvalitet og læringsutbytte.

Effektivitetsanalysen gir et utgangspunkt for vurdering av effektivitet i kommunene samlet, i grupper av kommuner og i noen grad for enkeltkommuner. For at den enkelte kommune skal få en riktig forståelse av potensialet for effektivisering i tjenesteproduksjonen, må disse analysene suppleres med egne vurderinger.

1.1 Innledning

Så lenge kvaliteten opprettholdes, er det lett å argumentere for effektivisering av kommunal tjenesteproduksjon. Moderne teknologi og annen kunnskap gjør potensialet for slike effektiviseringsgevinster større over tid. Det foregår derfor et betydelig omstillings- og effektiviseringsarbeid for å frigjøre ressurser for å kunne gi innbyggerne flere og bedre tjenester. Det er imidlertid vanskelig å måle forbedringene. Produksjon er generelt vanskelig å tallfeste i offentlig sektor og effektivitet enda vanskeligere. Det har blant annet sammenheng med at det for de fleste offentlige tjenester ikke er noe marked hvor kjøpere indikerer hvor mye de verdsetter produktene gjennom den prisen de er villige til å betale.

Formålet med de analysene som presenteres i dette vedlegget er å få mer kunnskap om effektiviteten og effektivitetsutviklingen for de kommunale tjenestene. Vedlegget er i hovedsak basert på data for 2023 og 2024, men gir også informasjon om effektivitetsutviklingen i perioden 2008–2024.

For kommunene blir resultatene først interessante når det blir presentert tall for hver enkelt kommune. Kommunene kan se hvordan de utvikler seg over tid, og benytte analysene til å se hvordan de ligger an i forhold til sammenlignbare kommuner. Dermed kan kommunene bruke resultatene som et utgangspunkt i sitt eget effektiviseringsarbeid og vurdering av egne tjenester. Tall for enkeltkommuner vises i digitalt vedlegg og legges ut på Kommunal- og distriktsdepartementets nettsider på www.regjeringen.no/kommunedata.

1.2 DEA-metoden

Analysene i dette vedlegget er gjort ved bruk av DEA-analyse (Data Envelopment Analysis). Dette er den mest utbredte analyseteknikken i studier av offentlig sektors effektivitet. Beste observerte praksis identifiseres og de andre enhetene måles mot denne. Metoden beregner relativ effektivitet mellom enheter hvor produksjonsprosessen inkluderer flere innsatsfaktorer og flere produkter, og hvor det er vanskelig å fordele innsatsfaktorbruken mellom de ulike produktene.

Måler beste observerte praksis

Enhetenes effektivitet vurderes mot hverandre ved at enhetene med høyest målt effektivitet (beste observerte praksis) utgjør et referansesett som de andre enhetene måles mot. Effektivitetsscorene ligger mellom 0 og 1, og en verdi på 1 betyr at enheten representer beste observerte praksis.1 Metoden gir ikke informasjon om hvor produktive de mest effektive enhetene er i en større kontekst, men indikerer noe om effektiviseringspotensialet til de øvrige enhetene.

Tar hensyn til stordriftsfordeler og smådriftsulemper

I analyser av kommunesektoren er det av stor betydning om det tas hensyn til stordriftsfordeler og smådriftsulemper. I DEA-analysen er dette et spørsmål om det skal antas kontant eller variabelt skalautbytte. Kommunene er av svært ulik størrelse, og små kommuner kan oppleve skalaulemper i tjenesteproduksjonen. I inntektssystemet for kommunene legges det for eksempel til grunn at små kommuner har skalaulemper innen administrasjon, grunnskole, primærhelsetjeneste og pleie og omsorg. Det antas derfor variabelt skalautbytte i samtlige sektorer i dette vedlegget.

Begrensninger og svakheter

Som alle andre metoder har DEA-metoden begrensninger og svakheter. For det første vil datakvaliteten begrense kvaliteten på analysene. Metoden er spesielt følsom for målefeil knyttet til ekstreme observasjoner. For eksempel vil en kommune som kommer ut som effektiv fordi innsatsfaktorbruken er undervurdert, medføre at beregnet effektivitet i andre kommuner undervurderes fordi referansefronten feilaktig flyttes utover.

For det andre er det i flere sektorer krevende å finne gode indikatorer som er anvendelige og reflekterer effektene av tjenestene på brukerne og/eller kvaliteten i tjenestene. Innen grunnskole er det gode produktmål som tar utgangspunkt i reelle resultater av undervisningen slik, som skolebidrag og læringsmiljø. Dermed sier analysen noe om effekten tjenestetilbudet har på brukerne. I barnehage og pleie og omsorg finnes det foreløpig ikke tilsvarende data.

Analyse basert på data for 2023 og 2024

Analyseopplegget innebærer at vi først utfører sektorvise DEA-analyser basert på data for 2023 og 2024 innenfor de tre sektorene barnehage, grunnskole og pleie og omsorg. Vi beregner en felles referansefront for de to årene, det vil si at fronten inneholder observasjoner fra begge år. Hver enkelt kommune vil da få beregnet en effektivitetsscore for hvert av de to årene. Videre kan vi med utgangspunkt i de sektorvise effektivitetsscorene beregne en indikator for samlet effektivitet for den enkelte kommune. Indikatoren for samlet effektivitet vil være et veid gjennomsnitt av de sektorvise effektivitetsscorene med sektorenes budsjettandeler som vekter. Siden effektivitetsscorene er beregnet i forhold til samme referansefront, vil endringen i effektivitetsscore gi uttrykk for kommunens endring i beregnet effektivitet fra ett år til det neste.

Tabell 1.1 Innsatsfaktorer og produkter i de sektorvise DEA-analysene

Sektor

Innsatsfaktor

Produkter

Barnehage

Korrigerte brutto driftsutgifter (faste priser) fratrukket arbeidsgiveravgift og pensjon

Oppholdstimer 0–2 år i kommunale barnehager

Oppholdstimer 3–5 år i kommunale barnehager

Grunnskole

Korrigerte brutto driftsutgifter fratrukket arbeidsgiveravgift og pensjon

(Utgiftene er i faste priser og korrigert for bosettingsmønster ved bruk av delkostnadsnøkkelen i inntektssystemet)

Skolebidrag småskoletrinnet

Skolebidrag mellomtrinnet

Grunnskolepoeng (korrigert for sosioøkonomiske variabler)

Læringsmiljø

Elever

Elever i SFO

Pleie og omsorg

Brutto driftsutgifter fratrukket arbeidsgiveravgift og pensjon

(Utgiftene er i faste priser og korrigert for bosettingsmønster ved bruk av delkostnadsnøkkelen i inntektssystemet)

Liggedøgn i institusjoner

Institusjonsbeboere med omfattende bistandsbehov

Enerom i institusjon

Timer til hjemmesykepleie

Timer til praktisk bistand

Kilde: Senter for økonomisk forskning

Tabell 1.1 gir en oversikt over innsatsfaktorer og produkter for sektorene som inngår i analysen. Produktmålene i barnehage og grunnskole omfatter kun barn i kommunale barnehager og elever i kommunale grunnskoler. Av den grunn benytter vi et utgiftsbegrep (korrigerte brutto driftsutgifter) som bare omfatter kommunale virksomheter. Produksjonsindikatorene i pleie og omsorg omfatter all virksomhet finansiert av kommunen, og vi har derfor ikke gjort tilsvarende korrigering der. Alle utgifter er i faste 2023-priser omregnet med den kommunale deflatoren. I tillegg er utgiftene i grunnskole og pleie og omsorg korrigert for bosettingsmønster ved bruk av delkostnadsnøklene i inntektssystemet.

I forhold til fjorårets analyser har vi gjort to endringer i utgiftsbegrepet. Den første er at utgiftene nå inkluderer avskrivninger i alle tre sektorer. Begrunnelsen for dette valget er oppnå større likebehandling av hjemmetjenester (lave avskrivninger) og institusjonsomsorg (høye avskrivninger). For det andre har vi utelatt funksjon 211 (tilrettelagte tiltak) fra utgiftene i barnehage. Begrunnelsen for dette valget er at tjenesten i stor grad drives ved at kommunalt ansatte oppsøker både kommunale og private barnehager.

I barnehage måles produksjonen ved avtalte oppholdstimer. For å hensynta at de yngre barna er mer ressurskrevende enn de eldre, skiller vi mellom barn 0–2 år og 3–5 år.

I grunnskolen benytter vi skolebidrag, publisert av Utdanningsdirektoratet, som indikator for læringsutbytte på småskole- og mellomtrinnet. Skolebidrag på småskoletrinnet er basert på nasjonale prøver i 5. trinn, mens skolebidrag på mellomtrinnet er basert på nasjonale prøver i 8. trinn. Elevenes resultater er blant annet korrigert for foreldrenes utdanning, innvandrerbakgrunn og husholdningsinntekt. For resultatene fra nasjonale prøver i 8. trinn er det i tillegg kontrollert for resultatene på nasjonale prøver i 5. trinn.

Koronapandemien medførte at eksamener i grunnskolen ble avlyst våren 2020, 2021 og 2022. Utdanningsdirektoratet har derfor ikke publisert skolebidragsindikatorer for 2023 for ungdomstrinnet som er basert på eksamenskarakter. I stedet har vi valgt å benytte grunnskolepoeng korrigert for sosioøkonomiske variabler for både 2023 og 2024. Det var en markant økning i grunnskolepoeng under pandemien. Økningen skyldes bedre standpunktkarakterer og avlyste eksamener. Avlyste eksamener trekker i retning av økte grunnskolepoeng fordi standpunktkarakterer har en tendens til å være bedre enn eksamenskarakter.

I grunnskolen inngår også læringsmiljø som produktindikator. Indikatoren er basert på elevundersøkelsen og fanger opp trivsel, elevdemokrati og medvirkning. Siden SFO betraktes som en del av grunnskolen, inngår antall elever i SFO som produktindikator.

I pleie og omsorg måler vi produksjonen i hjemmetjenesten ved timer praktisk bistand og hjemmesykepleie og i institusjonsomsorgen ved liggedøgn, enerom og beboere med omfattende bistandsbehov.

1.3 Resultater for 2023–2024

Resultatene fra DEA-analysene av de tre sektorene barnehage, grunnskole og pleie og omsorg, samt samlet effektivitet, er vist i Tabell 1.2. Det veide gjennomsnittet for samlet effektivitet er omtrent 0,81 både i 2023 og 2024. Det kan tolkes som at ressursbruken kan reduseres med 19 prosent uten at målt produksjon reduseres. Samtlige tre sektorer hadde en liten økning i beregnet effektivitet fra 2023 til 2024.2

Tabell 1.2 Deskriptiv statistikk for samlet effektivitet og de underliggende DEA-analyser1

Sektor

År

Antall komm.

Uveid snitt

Veid snitt

Min

1. kvartil

3. kvartil

Max

Barnehage

2023

291

0,774

0,833

0,475

0,725

0,837

0,959

2024

291

0,772

0,833

0,469

0,719

0,841

0,969

Grunnskole

2023

291

0,788

0,845

0,511

0,722

0,863

0,972

2024

291

0,784

0,851

0,509

0,718

0,855

0,974

Pleie og omsorg

2023

291

0,718

0,787

0,440

0,640

0,805

0,959

2024

291

0,721

0,788

0,389

0,637

0,808

0,952

Samlet

2023

291

0,750

0,813

0,570

0,700

0,806

0,925

2024

291

0,750

0,816

0,537

0,693

0,802

0,931

1 Samlet effektivitet er et veid gjennomsnitt av effektivitetsscorene for barnehage, grunnskole og pleie og omsorg med gjennomsnittlige budsjettandeler for 2024 som vekter. Beregningene omfatter de 291 kommunene som har rapportert tilstrekkelig med data til å få beregnet effektivitet i de tre sektorene for begge år.

Kilde: Senter for økonomisk forskning (SØF)

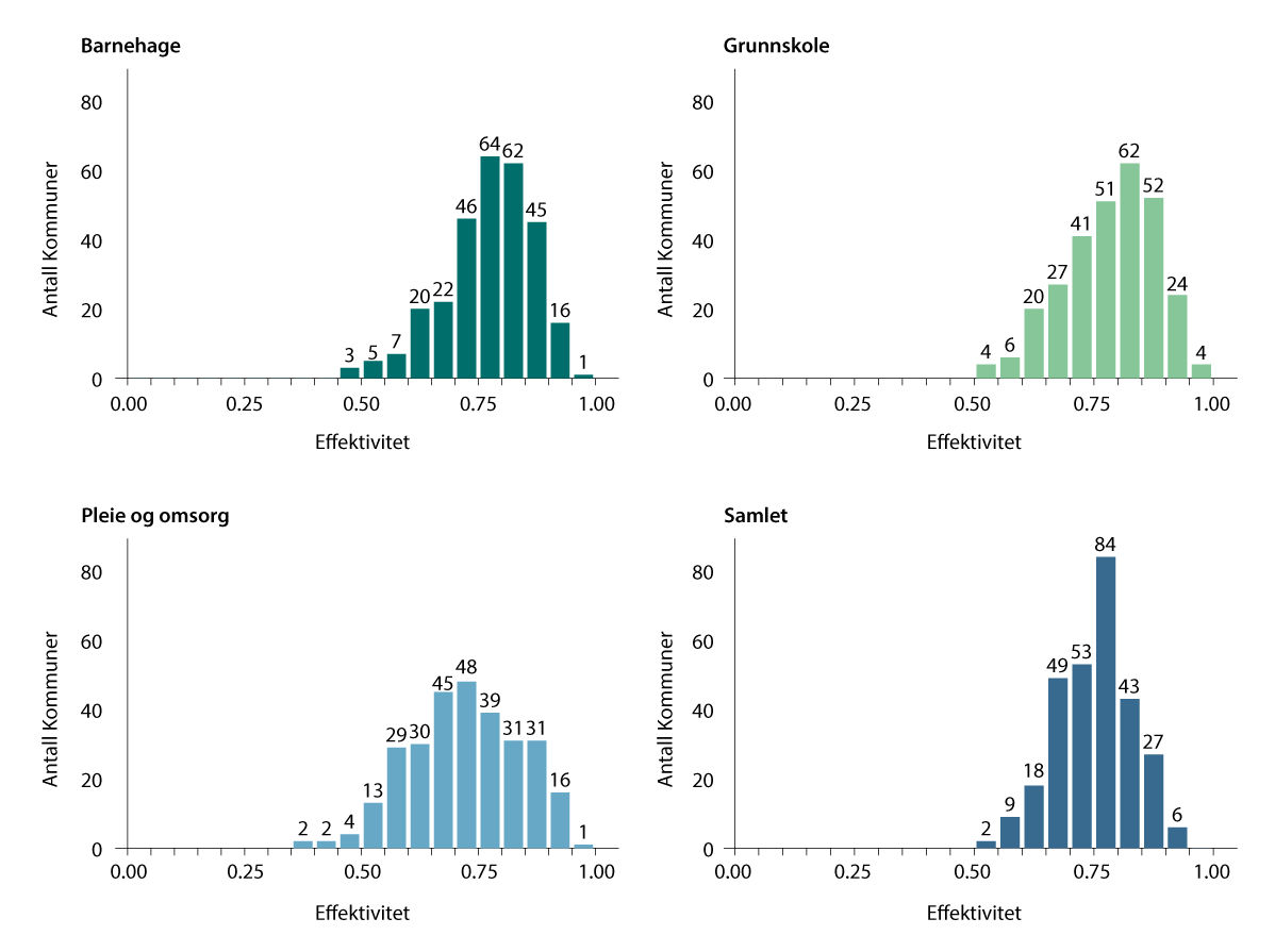
Figur 1.1 viser fordelingene av effektivitetsscorene for enkeltsektorene og samlet effektivitet. Det framgår at variasjonen er minst i barnehage og grunnskole og størst i pleie og omsorg. Videre er variasjonen mellom kommunene betydelig mindre for samlet effektivitet enn for de sektorvise effektivitetsscorene. Lavere variasjon i samlet effektivitet er et uttrykk for at det er få kommuner som er «dårlige i alt» og få kommuner som er «gode i alt».

Figur 1.1 Frekvensfordeling for samlet effektivitet og de underliggende DEA-analysene, 2024

Figur 1.1 Frekvensfordeling for samlet effektivitet og de underliggende DEA-analysene, 2024

Kilde: Senter for økonomisk forskning (SØF)

1.4 Effektivitetsutvikling 2008–2024

Figur 1.2 viser utviklingen i beregnet effektivitet i perioden 2008–2024. Figuren er basert på prosentvis endring i de veide gjennomsnittene for de enkelte år.3 I alle sektorer økte effektiviteten fra 2023 til 2024. Økningen var størst i grunnskole (0,7 prosentpoeng) og minst i barnehage (0,08 prosentpoeng). I pleie og omsorg økte effektiviteten med 0,14 prosentpoeng. Samlet sett var det en svak økning i effektiviteten (0,33 prosentpoeng) fra 2023 til 2024.

I årene 2008–2013 var det en økning i samlet effektivitet. Økningen kan ha sammenheng med flere forhold. Én mulig forklaring er at inntektsveksten var relativt lav i denne perioden og at mange kommuner samtidig iverksatte tiltak for å øke effektiviteten. På den andre siden kan utviklingen ha sammenheng med at (den uobserverte) kvaliteten i tjenestene ble redusert når inntektsveksten var lav.

Fra 2015 til 2019 gikk beregnet effektivitet ned i alle sektorer. For barnehage og grunnskole skyldes dette trolig innføring av bemanningsnormer for å øke kvaliteten i barnehage og å øke elevenes læringsutbytte i grunnskolen.

Figur 1.2 Beregnet effektivitet 2008–2024, 2008=100

Figur 1.2 Beregnet effektivitet 2008–2024, 2008=100

Kilde: Senter for økonomisk forskning (SØF)

Utviklingen i årene 2020–2022 har sammenheng med spesielle forhold knyttet til koronapandemien, og den målte effektivitetsutviklingen sier lite om den underliggende utviklingen. Figuren indikerer at effektivitetsnivået var lavere i 2023 og 2024 enn før pandemien (2019). Det er mulig at pandemien var et så stort sjokk at det er lite meningsfullt å sammenlikne effektivitetsnivået før og etter pandemien. Grundigere analyser er nødvendig for å undersøke om det er reelt at effektivitetsnivået var lavere etter pandemien.

1.5 Forklaring av forskjeller i effektivitet

Det er av stor interesse å undersøke hva som kan forklare forskjeller i effektivitet mellom kommuner. I det følgende belyser vi problemstillingen på to ulike måter. Først presenterer vi boksplott som viser sammenhengen mellom samlet effektivitet og hhv. innbyggertall og inntektsnivå. Deretter utfører vi mer omfattende regresjonsanalyser med flere forklaringsvariabler. I regresjonsanalysene analyser vi både samlet og sektorvis effektivitet. Det understrekes at resultatene ikke kan tolkes som kausale sammenhenger.

Figur 1.3 viser et boksplott for samlet effektivitet for kommunene gruppert etter antall innbyggere. Figuren viser at median effektivitet, representert ved den horisontale linjen inne i boksene, er nokså stabil for kommuner med under 5000 innbyggere. Deretter øker effektiviteten med økende innbyggertall. Dette er ikke uttrykk for stordriftsfordeler siden det tillates variabelt skalautbytte i de underliggende DEA-analysene. Denne gevinsten kommer i tillegg til tradisjonelle stordriftsfordeler. Det framgår av figuren at variasjonen i samlet effektivitet er stor blant kommuner med færre enn 50 000 innbyggere og minst i kommuner med over 50 000 innbyggere.

Figur 1.3 Boksplott for samlet effektivitet, kommunene gruppert etter antall innbyggere, 2024

Figur 1.3 Boksplott for samlet effektivitet, kommunene gruppert etter antall innbyggere, 2024

Kilde: Senter for økonomisk forskning (SØF)

Figur 1.4 viser et boksplott for samlet effektivitet for kommunene gruppert etter inntektsnivå. Det inntektsbegrepet som benyttes er utgiftskorrigerte frie inntekter som inkluderer rammetilskudd, ordinære skatteinntekter, eiendomsskatt, konsesjonskraftinntekter, produksjonsavgift på vindkraft og havbruksinntekter, målt i prosent av landsgjennomsnittet.4 Dersom dette inntektsbegrepet legges til grunn, er kommuner med lavt inntektsnivå gjennomgående mer effektive enn kommuner med høyt inntektsnivå. Det er flere mulige forklaringer på denne sammenhengen. En forklaring kan være at kommuner med lavt inntektsnivå tvinges til å være mer effektive for at innbyggerne skal få et rimelig godt tjenestetilbud. En annen forklaring er at kommuner med høyt inntektsnivå kan prioritere høy kvalitet som i liten grad fanges opp av produktindikatorene.

Figur 1.4 Boksplott for samlet effektivitet, kommunene gruppert etter inntektsnivå, 2024

Figur 1.4 Boksplott for samlet effektivitet, kommunene gruppert etter inntektsnivå, 2024

Kilde: Senter for økonomisk forskning (SØF)

Det er en betydelig litteratur som undersøker faktorer som kan være assosiert med effektivitet i kommunene, både i Norge og internasjonalt. Det er fire norske studier som er særlig relevante, blant annet fordi DEA-score er avhengig variabel. Borge og Naper (2006) analyser ungdomsskolen og finner at høye kommunale inntekter, høy grad av partifragmentering og høy andel sosialister i kommunestyret er assosiert med lav effektivitet. Borge og Haraldsvik (2009) analyserer pleie og omsorg og finner også at høye kommunale inntekter og høy partifragmentering er assosiert med lav effektivitet. Borge og Hopland (2018) og Borge mfl. (2024) finner at høye kommunale inntekter er assosiert med lav effektivitet, mens effekten av partifragmentering er mer blandet. Den første studien finner ingen signifikant sammenheng mellom effektivitet og partifragmentering, mens den siste studien finner at partifragmentering er assosiert med høy samlet effektivitet. Altså det motsatte av studiene fra 2006 og 2009. I lys av at de ikke finner signifikante sammenhenger i barnehage, grunnskole og pleie og omsorg legger de ikke stor vekt på sammenhengen mellom partifragmentering og samlet effektivitet.

I tabell 1.3 presenter vi et sett av regresjonsanalyser med samlet og sektorvis effektivitet som avhengige variabler. Modellene er estimert med vanlig minste kvadraters metode (OLS) med robuste standardavvik. Effektivitetsdataene er fra 2024 og tar verdier mellom null og en. Blant forklaringsvariablene kan det skilles mellom økonomiske, politiske, demografiske og strukturelle variabler.

De økonomiske variablene som inngår er utgiftskorrigerte frie inntekter, Robek-status, disposisjonsfond, netto driftsresultat og renteeksponert gjeld. De utgiftskorrigerte frie inntektene er definert på samme måte som i figur 1.4, men er her målt i 10 000 kroner. Robek-status er operasjonalisert som en dummy-variabel som tar verdien 1 hvis kommunen var oppført i Robek i 2024. Disposisjonsfond, netto driftsresultat og renteeksponert gjeld er målt som andel av brutto driftsinntekter og er lagget ett år. Begrunnelse for å lagge er blant annet at politikerne ikke har informasjon om disse størrelsene når de vedtar budsjettet for kommende år.

Vi har inkluderte to politiske variabler som fanger opp partifragmentering og ideologiske forskjeller. Partifragmentering operasjonaliseres som effektivt antall partier. Effektivt antall partier er høyere jo flere partier som er representert i kommunestyret og jo mer jevnstore partiene er. Ideologi ivaretas ved andel sosialistiske partier i kommunestyret, dvs. Arbeiderpartiet og partier til venstre for Arbeiderpartiet.5

I tillegg kontrollerer vi for alderssammensetning målt ved andelen innbyggere i barnehagealder (0–5 år), grunnskolealder (6–15 år) og eldre 80 år og over. Videre kontrolleres det for bosettingsmønster gjennom det såkalte sonekriteriet (målt som indeks i forhold til landsgjennomsnittet) og antall innbyggere (målt i 10 000).

Det tas utgangspunkt i de 291 kommunene som har levert tilstrekkelig data til å beregne samlet effektivitet både i 2023 og 2024. Blant disse er dette en kommune som ikke har rapportert tall for renteksponert gjeld. Vi står da igjen med 290 observasjoner.

Blant de økonomiske variablene finner vi signifikant sammenheng mellom utgiftskorrigerte frie inntekter og samlet effektivitet. En økning i utgiftskorrigerte frie inntekter med 10 000 kroner reduserer samlet effektivitet med 2 prosentpoeng, for eksempel fra 0,80 til 0,78. Effekten er signifikant også i sektoranalysene. Dette er i tråd med tidligere norske studier. Vi finner ingen signifikante effekter av Robek-status, disposisjonsfond, netto driftsresultat og renteeksponert gjeld. Det eneste unntaket er at kommuner med store disposisjonsfond har høy effektivitet i barnehage. Den kvantitative sammenhengen er imidlertid beskjeden. En økning i disposisjonsfondet med ett prosentpoeng (en økning på 0,01) anslås øke effektiviteten i barnehage med i underkant av 0,1 prosentpoeng, for eksempel fra 0,800 til 0,801.

Blant de politiske variablene finner vi at høy grad av partifragmentering i kommunestyret er assosiert med høy samlet effektivitet. Ett ekstra effektivt parti anslås å øke samlet effektivitet med 1,7 prosentpoeng, for eksempel fra 0,800 til 0,817. Videre finner vi signifikant assosiasjon for to av tre sektorer, noe som gir grunnlag for å legge større vekt på disse funnene enn det Borge mfl. (2024) gjorde. Samlet sett indikerer dette at den empiriske sammenhengen mellom partifragmentering og effektivitet er lite robust. Andelen sosialistiske representanter i kommunestyret synes å øke effektiviteten i barnehage. En økning i sosialistandelen på 10 prosentpoeng (en økning 0,1) anslås å øke effektiviteten i barnehage med i underkant av ett prosentpoeng.

Tabell 1.3 Estimeringsresultater med samlet og sektorvis effektivitet som avhengige variabler, 2024

Samlet

Barnehage

Grunnskole

Pleie og omsorg

Korrigerte frie inntekter (10 000 kr)

-0.020 *** (-4.745)

-0.028 *** (-6.762)

-0.020 *** (-3.978)

-0.016 *** (-2.682)

Robek

0.005 (0.294)

0.004 (0.219)

-0.025 (-1.378)

0.023 (0.898)

Disposisjonsfond lagget (andel)

0.012 (0.200)

0.090 ** (2.188)

0.059 (1.180)

-0.048 (-0.475)

Netto driftsresultat lagget (andel)

0.127 (0.760)

-0.079 (-0.588)

0.004 (0.020)

0.285 (1.099)

Renteeksponert gjeld lagget (andel)

-0.017 (-0.880)

-0.010 (-0.499)

-0.024 (-0.947)

-0.017 (-0.525)

Partifragmentering

0.017 *** (4.241)

0.015 *** (3.682)

0.007 (1.541)

0.023 *** (3.760)

Andel sosialister

0.051 (1.344)

0.090 ** (2.264)

0.040 (0.838)

0.043 (0.686)

Andel innbyggere 0–5 år

1.671 ** (2.097)

3.275 *** (3.759)

2.606 *** (2.626)

0.458 (0.366)

Andel innbyggere 6–15 år

-0.057 (-0.130)

-1.040 ** (-2.276)

0.202 (0.324)

0.171 (0.249)

Andel innbyggere 80 år og over

0.768 * (1.723)

0.295 (0.475)

-0.397 (-0.646)

1.678 ** (2.194)

Sone

-0.002 (-0.368)

-0.011 *** (-3.249)

-0.002 (-0.275)

0.002 (0.517)

Antall innbyggere (10 000)

0.002 (1.648)

0.000 (0.463)

0.002 * (1.709)

0.003 * (1.785)

Antall kommuner

290

290

290

290

Forklaringskraft R²

0.342

0.497

0.337

0.143

T-verdiene i parentes er basert på robsuste standardavvik. *** p < 0.01; ** p < 0.05; * p < 0.1.

Blant de demografiske variable finner vi at både andelen barn i barnehagealder og eldre 80 år og over er assosiert med høyere samlet effektivitet. En økning i andel barn 0–5 år med ett prosentpoeng anslås øke samlet effektivitet med 1,7 prosentpoeng, mens en tilsvarende økning i eldreandelen anslås å øke samlet effektivitet med i underkant av 0,8 prosentpoeng. Det er en interessant observasjon at effekten av økt barneandel kommer fra tjenester rettet mot yngre og at effekten av økt eldreandel kommer fra pleie og omsorg som i stor grad er rettet mot eldre.

Et spredt bosettingsmønster er assosiert med signifikant lavere effektivitet i barnehage. En økning i sonekriteriet fra landsgjennomsnittet til 10 prosent over (en økning på 0,1) anslås å redusere effektiviteten i barnehage med 0,1 prosentpoeng. Kommuner med mange innbyggere har signifikant høyere effektivitet i grunnskole og pleie og omsorg, og sammenhengen med samlet effektivitet er i grenseland for å være signifikant. En økning i antall innbyggere med 10 000 anslås å øke samlet effektivitet med 0,2 prosentpoeng. Dette er konsistent med boksplottet i figur 1.3.

1.6 Oppsummering

I dette vedlegget har vi analysert effektiviteten i barnehage, grunnskole og pleie og omsorg i 2023 og 2024. Analysene indikerer et samlet effektiviseringspotensial på nær 20 prosent. Det betyr at utgiftene kan reduseres og/eller tjenesteproduksjonen kan øke betydelig dersom kommunene utnytter ressursene bedre.

I årene 2020–2022 var norsk økonomi og kommunene sterkt påvirket av koronapandemien. Dette er første gang vi analyserer data som ikke påvirket av koronapandemien. Det er derfor positivt at analysene indikerer en svak økning i samlet effektivitet fra 2023 til 2024, noe som først og fremst skyldes mer effektiv ressursbruk i grunnskolen.

Videre har vi gjennomført analyser for å identifisere faktorer som kan forklare forskjeller i samlet effektivitet mellom kommuner. Vi finner at lave kommunale inntekter og demografisk endring (flere barn i barnehagealder og flere eldre 80 år over) er assosiert med høy effektivitet. Det er interessant observasjon at økt barneandel synes å øke effektiviteten for tjenester rettet mot den yngre delen av befolkningen og at økt eldreandel er assosiert med høy effektivitet for tjenester rettet mot de eldre. I lys av tidligere studier er det litt overraskende at vi finner at partifragmentering er assosiert med høy effektivitet.

I digitalt vedlegg til denne rapporten presenteres kommunevise resultater.

Referanser

Borge, L.-E. og L.R. Naper (2006). Efficiency potential and efficiency variation in Norwegian lower secondary schools. FinanzArchiv 62, 221–249.

Borge, L.-E. og M. Haraldsvik (2009). Efficiency potential and determinants of efficiency: An analysis of the care for the elderly sector in Norway. International Tax and Public Finance 16, 468–486.

Borge, L.-E. og A.O. Hopland (2018). Effektivitet i kommunale tjenester. Praktisk økonomi & finans 34(1), 19–31.

Borge, L.-E., M.K. Asphjell, A. Lyshol, O.H. Nyhus, K. Vamsæther og M.F. Wold (2024). Måling av effektivitet i kommunale tjenester. SØF-rapport Nr. 04/24, NTNU Samfunnsforskning AS.

Fotnoter

1

I analysene beregnes såkalt bootstrappede effektivitetsscorer, noe som i praksis innebærer at ingen kommuner vil ha en effektivitetsscore på 1.

2

Det vises til punkt 4 i dette vedlegget, som dekker en lengre tidsperiode (2008–2024), for nærmere omtale av utviklingen over tid.

3

Det betyr at figuren tar hensyn til såkalte sammensetningseffekter. Et eksempel er at kommuner med mange innbyggere, som gjennomgående har høy effektivitet (se figur 1.3), lenge har hatt høyere prosentvis vekst i innbyggertallet enn kommuner med færre innbyggere. Hvis vi ikke tok hensyn til sammensetningseffekter, ville vi undervurdert effektivitetsutviklingen i kommunene. Rent teknisk tar vi hensyn til sammensetningseffekter ved at effektivitetsendringen fra år t-1 til år t beregnes som prosentvis endring i to veide gjennomsnitt med innbyggertallet i hhv. år t og år t-1 som vekter.

4

Det ses bort fra fordelen av den geografisk differensierte arbeidsgiveravgiften fordi utgiftene er eksklusive arbeidsgiveravgift.

5

Det betyr at Senterpartiet ikke regnes som et sosialistisk parti. Selv om Senterpartiet på nasjonalt nivå samarbeider med Arbeiderpartiet og Sosialistisk Venstreparti, er det mer vanlig at partiet samarbeider med andre borgerlige partier på lokalt nivå.