3 Driftsresultat og fond

Utvalget anser netto driftsresultat som hovedindikatoren for å vurdere den økonomiske balansen i kommunesektoren. Netto driftsresultatet viser hvor mye den enkelte kommune og fylkeskommune kan disponere til avsetninger og investeringer etter at driftsutgifter, renter og avdrag er betalt.

Utvalget anbefaler at sektoren som helhet over tid har et netto driftsresultat på 2 prosent av inntektene, med et anbefalt nivå på 1¾ prosent for kommunene (inkl. Oslo) og 4 prosent for fylkeskommunene.

Utvalgets anbefalinger om nivå på netto driftsresultat er basert på at den kommunale formuen skal opprettholdes over tid. For at formuen skal opprettholdes må investeringene i realkapital fratrukket netto gjeldsøkningen være minst like stor som kapitalslitet. Utvalget beregner derfor et korrigert netto driftsresultat der avdrag erstattes med kapitalslit.

Disposisjonsfond er oppsparte midler som fritt kan benyttes til drift eller investeringer. Midlene stammer fra positive netto driftsresultater som ikke er bundet til særskilte formål og som ikke er benyttet til å finansiere investeringer. Disposisjonsfondet kan brukes til å spare egenkapital til investeringer og fungerer også som en buffer for driften. Kommuner som har underskudd i driften som ikke kan dekkes av disposisjonsfond har et akkumulert merforbruk.

3.1 Netto driftsresultat for kommunesektoren samlet

Netto driftsresultatet i kommunesektoren har de to siste årene ligget under den langsiktige anbefalingen til TBU. Fram til og med 2022 bidro til dels store engangsinntekter fra skatt, som ble kjent mot slutten av året, til gode driftsresultater. For kommunesektoren samlet har netto driftsresultat avtatt fra 2022 og utgjorde 1,3 prosent av driftsinntektene i 2023 og 0,1 prosent av driftsinntektene i 2024, se figur 3.1A. Resultatet i 2024 er det svakeste resultatet for kommunesektoren siden 2008, da det var -1,0 prosent1. Nedgangen og det lave nivået på netto driftsresultatet må blant annet ses i sammenheng med at skatteinntektene ble 8,5 mrd. kroner lavere enn lagt til grunn i kommunebudsjettene. Samtidig har økt kostnadsnivå de siste årene bidratt til å trekke ned realinntektene. Netto renteinntekter har falt med rundt 6 mrd. kroner hvert år de to siste årene, noe som også har bidratt til å trekke ned resultatet, se figur 3.1B. En tilleggsbevilgning til sektoren på 5 mrd. kroner mot slutten av fjoråret bidro til å dempe nedgangen. Utbetalingen fra Havbruksfondet ble rekordhøye i 2024 og bidro isolert sett til å trekke opp netto driftsresultatet for de kommunene og fylkeskommunene som mottar inntekter derfra.

Figur 3.1 Driftsresultatene i kommunesektoren

Figur 3.1 Driftsresultatene i kommunesektoren

1 Eksklusiv avskrivninger.

Kilde: Statistisk sentralbyrå

Brutto driftsresultat er lik forskjellen mellom driftsinntekter og driftsutgifter eksklusiv avskrivninger. Netto finansutgifter utgjør forskjellen mellom brutto driftsresultat og netto driftsresultat. Netto finansutgifter består av netto renteinntekter, utbytte, finansielle gevinster og netto avdrag og utlån. Figur 3.1B gir en oversikt over netto og brutto driftsresultat og de ulike bidragene til nettofinansinntektene. Størrelser over null viser positive resultater eller positive netto inntekter, mens verdier under null innebærer negative resultater eller netto utgifter.

I 2024 hadde kommunesektoren et brutto driftsresultat på 5,0 prosent av driftsinntektene. Brutto driftsresultatet har avtatt de siste tre årene etter å ha styrket seg fra 2020 til 2021. Nedgangen i brutto driftsresultatet fra 2023 til 2024 var mindre enn nedgangen i netto driftsresultat. Kommunesektorens netto renteinntekter falt fra 2023 til i 2024 som følge av økning i renteutgiftene. Det bidro til å trekke ned netto driftsresultatet, mens netto avdrag og utlån bidro i motsatt retning.

Regnskapene til kommunesektoren var i 2020, 2021 og 2022 i stor grad også påvirket av at sektoren hadde merutgifter og mindreinntekter som følge av koronapandemien. En arbeidsgruppe som vurderte de økonomiske virkningene av pandemien for kommunesektoren, anslo at kommunesektoren samlet sett ble kompensert for merkostnadene og mindreinntektene i løpet av pandemien.

3.2 Netto driftsresultat for kommunene

Kommunene inkludert Oslo

Figur 3.2 Driftsresultatene i kommunene

Figur 3.2 Driftsresultatene i kommunene

1 Eksklusiv avskrivninger.

Kilde: Statistisk sentralbyrå

Kommunene hadde i 2024 et negativt netto driftsresultat på 0,4 prosent av driftsinntektene, noe som er det svakeste resultatet siden 2008. I gjennomsnitt har netto driftsresultat for kommunene inkludert Oslo de siste fem årene ligget på 2,1 prosent og dermed vært høyere enn det anbefalte nivået på 1¾ prosent av driftsinntektene.

Brutto driftsresultat i kommunene avtok fra 2023 til 2024, men nedgangen var mindre enn nedgangen i netto driftsresultatet, se figur 3.2A. En økning i netto finansutgifter bidro også til svakere netto driftsresultat. Det skyldes høyere renteutgifter, mens lavere avdrag og utlån trakk i motsatt retning.

Store forskjeller mellom kommunene

Nivået på netto driftsresultatet varierte betydelige mellom kommunene både i 2023 og i 2024. Det var flere som hadde svake netto driftsresultater i 2024 enn i 2023, se figur 3.2B. Netto driftsresultat var negativt i 58 prosent av kommunene i 2024, mens 30 prosent av kommunene hadde netto driftsresultat høyere enn 1¾ prosent. Tilsvarende tall for 2023 var på henholdsvis 46 og 35 prosent.

Standardavviket kan oppsummere spredningen mellom kommunene. I 2024 var standardavviket for netto driftsresultat 5,1 mot 5,5 året før. Det innebærer en relativt stor spredning i resultatene mellom kommunene, men lavere spredning enn i 2023 til tross for høye utbetalinger fra Havbruksfondet i 2024. Eierinntekter og utbytte ble lavere i 2024 enn i 2023 og bidro til redusert spredning. Spredningen i resultatene har likevel de to siste årene vært klart høyere enn de foregående åtte årene. I 2024 var det Aukra som hadde høyest netto driftsresultat med 29,5 prosent, mens Moskenes hadde lavest med -19,4 prosent. Det gode resultatet til Aukra kommune skyldes i hovedsak store eiendomskatteinntekter.

For enkeltkommuner og fylkeskommuner kan netto driftsresultatet være betydelige påvirket av avsetning av øremerkede tilskudd og andre bundne inntekter på bundne fond, se figur 3.3. Når en sammenlikner resultatene på kommune- og fylkeskommunenivå, bør en derfor være oppmerksom på at resultatene i større eller mindre grad kan være påvirket av at inntektsføring og utgiftsføring av tilskudd og bundne inntekter skjer i ulike år. Vanligvis er spredningen i resultatene for kommunene mindre for netto driftsresultat etter avsetninger til bundne fond. Standardavviket for netto driftsresultat etter netto avsetninger til bundne fond var 4,9 i 2024. Normalt er avvikene mellom de to resultatmålene relativt små for sektoren samlet. I 2024 var netto driftsresultatet -0,6 prosent etter netto avsetninger til bundne fond for kommunene samlet sett. De årene det er store avvik for sektoren samlet sett mellom netto driftsresultat før og etter at det er tatt hensyn til netto avsetningen til bundne fond, skyldes det gjerne øremerkede tilskudd eller store anslagsendringer særlig knyttet til gebyrer som gir avvik i samme retning for mange kommuner.

Figur 3.3 Netto driftsresultat før og etter avsetninger til bundne fond for alle kommuner i 2024. Sortert etter størrelsen på netto driftsresultat. Prosent av driftsinntektene

Figur 3.3 Netto driftsresultat før og etter avsetninger til bundne fond for alle kommuner i 2024. Sortert etter størrelsen på netto driftsresultat. Prosent av driftsinntektene

Kilde: Statistisk sentralbyrå

3.3 Netto driftsresultat i ulike kommunegrupper

Kommunene gruppert etter fylke

I 2024 hadde kommunene i Rogaland og Trøndelag høyest netto driftsresultatet. Netto driftsresultatene for kommunene i Rogaland gikk samlet ned med 2,7 prosentpoeng fra året før, mens netto driftsresultatene i Trøndelag økte med 1,0 prosentpoeng, se tabell 3.1. Utviklingen for Trøndelagskommunene må ses i sammenheng med høy utbetaling fra Havbruksfondet i 2024. Dette er også en viktig forklaring på at netto driftsresultatet samlet sett økte for kommunene i de fire nordligste fylkene. For kommunene i de øvrige fylkene er det samlet sett en nedgang i netto driftsresultatene. Det var likevel kommunene i Troms som hadde lavest netto driftsresultat.

Kommunene i Buskerud hadde størst nedgang i brutto driftsresultatet, men samtidig hadde disse kommunene samlet sett en nedgang i netto finansutgifter. Det må ses i sammenheng med høyere utbytte fra kraftselskap og reduserte avdrag. Økningen i brutto driftsresultat var størst i kommunene i Nordland.

Tabell 3.1 Brutto driftsresultat, netto finansutgifter og netto driftsresultat i prosent av driftsinntekter. Endring fra året før i prosentpoeng. Kommuner gruppert etter fylker

2023

2024

Endring

Brutto driftsresultat

Netto finansutgifter

Netto driftsresultat

Brutto driftsresultat

Netto finansutgifter

Netto driftsresultat

Brutto driftsresultat

Netto finansutgifter

Netto driftsresultat

Østfold

5,4

5,5

-0,1

5,7

6,4

-0,8

0,3

0,9

-0,6

Akershus

7,3

5,8

1,5

6,5

6,6

-0,2

-0,9

0,8

-1,7

Oslo

3,7

4,6

-0,8

2,9

3,8

-0,9

-0,8

-0,7

-0,1

Innlandet

5,0

3,4

1,5

4,2

5,1

-0,9

-0,8

1,7

-2,4

Buskerud

4,9

3,7

1,2

3,5

3,5

0,0

-1,5

-0,3

-1,2

Vestfold

5,5

4,5

1,0

5,3

5,2

0,1

-0,2

0,7

-0,9

Telemark

5,5

4,5

1,0

5,3

5,2

0,1

-0,2

0,7

-0,9

Agder

4,9

2,9

2,0

3,0

2,9

0,1

-1,9

0,0

-1,9

Rogaland

5,5

1,8

3,8

4,2

3,2

1,0

-1,3

1,4

-2,7

Vestland

4,3

3,2

1,1

3,0

4,5

-1,5

-1,3

1,3

-2,6

Møre og Romsdal

6,5

6,2

0,3

5,9

7,2

-1,2

-0,6

1,0

-1,5

Trøndelag

5,8

5,7

0,1

7,0

6,0

1,0

1,2

0,3

1,0

Nordland

4,2

6,0

-1,7

6,4

6,7

-0,3

2,2

0,7

1,5

Troms

4,8

6,7

-1,9

6,0

7,5

-1,6

1,2

0,9

0,3

Finnmark

6,5

8,2

-1,8

8,1

9,1

-1,0

1,7

0,9

0,8

Landet

5,2

4,4

0,8

4,7

5,1

-0,4

-0,5

0,7

-1,2

Kilde: Statistisk sentralbyrå

Kommunene gruppert etter folketall

I 2024 hadde kommunene med mellom 3 000 og 5 000 innbyggere samlet det høyest netto driftsresultatet på 2,4 prosent av driftsinntektene, se tabell 3.2. Kommunene med mellom 10 000–20 000 og 20 000–50 000 innbyggere hadde de laveste resultatene. Sett under ett hadde begge disse kommunegruppene netto driftsresultat på -1,1 prosent.

Tabell 3.2 Brutto driftsresultat, netto finansutgifter og netto driftsresultat i prosent av driftsinntekter. Endring fra året før i prosentpoeng. Kommunene gruppert etter folketall per 1.1.2025

Antall innbyggere

2023

2024

Endring

Brutto driftsresultat

Netto finansutgifter

Netto driftsresultat

Brutto driftsresultat

Netto finansutgifter

Netto driftsresultat

Brutto driftsresultat

Netto finansutgifter

Netto driftsresultat

< 3 000

6,0

3,8

2,2

6,3

4,6

1,7

0,2

0,8

-0,5

3 – 5 000

8,2

3,8

4,4

6,7

4,2

2,4

-1,5

0,4

-2,0

5 – 10 000

4,9

5,2

-0,3

5,1

5,9

-0,8

0,2

0,7

-0,5

10 – 20 000

5,7

5,4

0,3

5,6

6,6

-1,1

-0,1

1,2

-1,3

20 – 50 000

4,9

4,6

0,3

4,6

5,7

-1,1

-0,3

1,1

-1,4

> 50 000

4,8

4,0

0,8

4,1

4,4

-0,3

-0,8

0,4

-1,2

Landet

5,2

4,4

0,8

4,7

5,1

-0,4

-0,5

0,7

-1,2

Kilde: Statistisk sentralbyrå

Alle kommunegruppene opplevde en nedgang i netto driftsresultatet. Kommunene med under 3 000 innbygger og mellom 3 000 og 5 000 innbygger hadde en liten økning i brutto driftsresultatet. Resultatene i de minste kommune har i stor grad vært påvirket av endringer i utbetaling fra Havbruksfondet.

Kommunene gruppert etter inntekter korrigert for utgiftsbehov

Kommunene med de høyeste inntektene hadde de beste netto driftsresultatene både i 2023 og i 2024. Det var kommunene med inntekter mellom 100 og 105 prosent av landsgjennomsnittet som hadde det laveste netto driftsresultatet i både 2023 og 2024. Denne gruppen påvirkes av svakt netto driftsresultat i Oslo begge årene. Uten Oslo ville resultatet for denne gruppen vært -0,8 prosent i 2024 og 0,4 prosent i 2023. Gruppert etter inntekt hadde alle kommunegruppene med inntekter under 105 prosent av landsgjennomsnittet nedgang i brutto driftsresultatet fra året før, se tabell 3.3. Nedgangen var størst blant kommunene med inntekter under 95 prosent av landsgjennomsnittet. Alle kommunegruppene hadde økning i netto finansutgifter.

Tabell 3.3 Brutto driftsresultat, netto finansutgifter og netto driftsresultat i prosent av driftsinntekter. Endring fra året før i prosentpoeng. Kommune gruppert etter størrelsen på korrigerte frie inntekter (KFI/U)1

inntekter

2023

2024

Endring

Brutto driftsresultat

Netto finansutgifter

Netto driftsresultat

Brutto driftsresultat

Netto finansutgifter

Netto driftsresultat

Brutto driftsresultat

Netto finansutgifter

Netto driftsresultat

under 95 pst

5,4

4,7

0,7

4,6

5,4

-0,8

-0,8

0,6

-1,4

95–100 pst

4,9

3,9

1,0

4,6

4,9

-0,3

-0,3

1,0

-1,3

100–105 pst

4,1

4,4

-0,2

3,7

4,5

-0,9

-0,5

0,2

-0,6

Over 105 pst

7,0

4,5

2,5

7,0

5,4

1,7

0,0

0,8

-0,8

Landet

5,2

4,4

0,8

4,7

5,1

-0,4

-0,5

0,7

-1,2

1 De korrigerte frie inntektene er. inkludert eiendomsskatt, konsesjonskraftsinntekter, inntekter fra havbruksfondet og fordelen av differensiert arbeidsgiveravgift (KFI/U) og kommunene grupperes etter størrelsen på korrigerte frie inntekter målt som andel av landsgjennomsnittet per innbygger i 2024.

Kilde: Statistisk sentralbyrå

3.4 Netto driftsresultat for fylkeskommunene

I 2024 hadde fylkeskommunene samlet et netto driftsresultat på 2,8 prosent av driftsinntektene. Også for fylkeskommunene har netto driftsresultatet avtatt klart de siste tre årene. I gjennomsnitt de siste fem årene har driftsresultatet ligget på 5,3 prosent, noe som er høyere enn det nivået utvalget anbefaler at resultatet bør ligge på over tid.

For fylkeskommunene var nedgangen i netto driftsresultatet om lag like stor som nedgangen i brutto driftsresultat, se figur 3.4. Nedgang i netto renteinntekter trakk resultatet ned også for fylkeskommunene, mens mindre netto avdrag og utlån trakk i motsatt retning.

Figur 3.4 Brutto driftsresultat1, netto renteinntekter, utbytte, finansielle gevinster, netto avdrag og utlån og netto driftsresultat i prosent av driftsinntektene. Fylkeskommunene

Figur 3.4 Brutto driftsresultat1, netto renteinntekter, utbytte, finansielle gevinster, netto avdrag og utlån og netto driftsresultat i prosent av driftsinntektene. Fylkeskommunene

1 Eksklusiv avskrivninger.

Kilde: Statistisk sentralbyrå

Mellom fylkeskommunene er det klart mindre forskjeller i nivåene på henholdsvis netto driftsresultat og netto finansutgifter enn mellom kommunene, se tabell 3.4. På grunn av endringer i fylkeskommunestrukturen er det bare sju fylkeskommuner som har sammenliknbare tall for 2023. Troms fylkeskommune hadde det høyeste netto driftsresultatet i 2024. Det skyldes i stor grad utbetalingene fra Havbruksfondet. I 2024 hadde Telemark fylkeskommune det laveste netto driftsresultatet med et underskudd på over 2 prosent.

Møre og Romsdal og Trøndelag hadde de høyeste netto finansutgiftene, mens Akershus og Østfold hadde høyere finansinntekter enn finansutgifter.

Flere fylkeskommuner satte av midler på bundne fond. For fylkeskommunene utenom Oslo samlet sett var netto driftsresultatet 2,2 prosent etter netto bundne fondsavsetning. Avviket mellom de to resultatmålene var dermed på hele 0,6 prosentpoeng.

Tabell 3.4 Brutto og netto driftsresultat og netto finansutgifter i prosent av driftsinntekter i fylkeskommunene. Endring fra året før i prosentpoeng

Antall innbyggere

2023

2024

Endring

Brutto driftsresultat

Netto finansutgifter

Netto driftsresultat

Brutto driftsresultat

Netto finansutgifter

Netto driftsresultat

Brutto driftsresultat

Netto finansutgifter

Netto driftsresultat

Østfold

4,1

-0,2

4,3

Akershus

2,0

-0,4

2,4

Innlandet

7,2

2,0

4,2

5,5

1,5

4,0

-1,7

-0,5

-1,2

Buskerud

7,3

3,9

3,3

Vestfold

6,3

4,3

2,1

Telemark

2,5

4,9

-2,4

Agder

12,0

5,3

6,7

5,5

3,5

2,0

-6,5

-1,8

-4,7

Rogaland

9,8

4,5

5,3

7,5

4,4

3,1

-2,3

0,0

-2,3

Vestland

11,7

6,6

5,1

8,9

6,3

2,6

-2,7

-0,3

-2,4

Møre og Romsdal

7,7

6,9

0,8

8,9

7,8

1,1

1,2

0,9

0,3

Trøndelag

7,3

6,2

1,1

9,0

6,8

2,1

1,7

0,6

1,1

Nordland

7,7

3,1

4,5

6,9

3,9

3,0

-0,8

0,8

-1,5

Troms

11,7

3,1

8,6

Finnmark

5,4

6,1

-0,6

Landet utenom Oslo

8,2

4,0

4,2

6,9

4,1

2,8

-5,2

-3,7

-1,5

Kilde: Statistisk sentralbyrå

3.5 Korrigert netto driftsresultat

Utvalgets anbefalinger om nivået på netto driftsresultat er basert på et prinsipp om at den kommunale formuen skal opprettholdes over tid. Utvalget beregner derfor et korrigert netto driftsresultat som skal vise i hvilken grad hensynet til kommunal formuesbevaring faktisk er ivaretatt. Dersom korrigert netto driftsresultat er null eller høyere, impliserer det at kommunens formue er uendret eller stiger.

Den kommunale kapitalbeholdningen kan deles inn i realkapital og finanskapital. Driftsinntektene kan anvendes til driftsutgifter, netto renteutgifter og avdrag eller settes av som netto driftsresultat. Netto driftsresultat kan igjen brukes til egenfinansiering av investeringer eller avsettes i fond. Et eventuelt underskudd kan dekkes av fond. For at formuen ikke skal bygges ned, må investeringene i realkapital fratrukket netto gjeldsøkningen være minst like stor som kapitalslitet. Dersom avdragene hadde vært lik kapitalslitet og noen andre forenklende forutsetninger hadde vært oppfylt, ville netto driftsresultat nettopp ha vært uttrykk for økningen i formuen. Avdrag er imidlertid en dårlig indikator for forringelsen av realkapitalen. Når utvalget beregner korrigert netto driftsresultat, erstattes derfor avdragsbetalinger med beregnet kapitalslit. I tillegg legges det til en beregnet inflasjonsgevinst knyttet til gjelden, ettersom det er realverdien av formuen en er opptatt av. Til slutt legges inntekter fra bompenger og refundert investeringsmoms til. Det er inntekter som ikke er med i driftsinntektene og dermed ikke er inkludert i det ordinære netto driftsresultatet, men disse inntektene kan brukes til å finansiere investeringer.

Utvalgets anbefalinger av hva netto driftsresultat bør ligge på i gjennomsnitt over tid, er basert på forskjellene mellom ordinært netto driftsresultat og korrigert netto driftsresultat i perioden 2004 til 2013.

Boks 3.1 Beregningen av korrigert netto driftsresultat

Beregningen av korrigert netto driftsresultat tar utgangspunkt i ordinært netto driftsresultat.

I første trinn i korrigeringen legges netto avdrag til, mens beregnet kapitalslit trekkes fra.

I neste trinn legges inflasjonsgevinsten av netto gjeld til. For fylkeskommunenes legges deretter inntekter fra bompenger (som ellers er ført i investeringsregnskapet) til. Bompengene reduserer fylkeskommunenes behov for å bruke driftsinntekter til investeringer.

Til slutt legges kompensasjon for merverdiavgift som også er ført i investeringsregnskapet til. Mva-kompensasjonen reduserer også behovet for å bruke driftsinntekter til investeringer.

Tall for kapitalslit er hentet fra nasjonalregnskapet. Fordelingen av kapitalslit mellom fylkeskommuner og kommuner (inkl. Oslo) er basert på fordelingen av avskrivninger i KOSTRA, der det gjøres en beregningsmessig korreksjon for at fylkeskommunene fikk overført en stor andel av riksveiene i 2010 som ikke fanges opp av avskrivningene i KOSTRA. Data for netto gjeld hentes fra kredittmarkedsstatistikken, mens deflatoren for kommunal økonomi er brukt i beregningen av inflasjonsgevinst. Tallet for netto gjeld er uten pensjonsreserver, se tabell 2.1.

Tabell 3.5 Beregning av korrigert netto driftsresultat for kommunesektoren. Prosent av driftsinntekter1

2020

2021

2022

2023

2024

Gj.sn. 2020–2024

Netto driftsresultat

3,1

4,7

3,5

1,3

0,1

2,6

+

Netto avdrag

3,8

4,0

4,0

4,2

4,0

4,0

=

Netto driftsresultat eksklusive avdrag

6,9

8,7

7,5

5,5

4,1

6,5

-

Kapitalslit

9,5

9,4

9,8

9,9

9,8

9,7

+

Inflasjonsgevinst

0,4

1,7

2,3

1,6

2,2

1,6

Bompenger

0,6

0,5

0,6

0,6

0,6

0,6

+

Mva-kompensasjon investeringer

2,0

1,9

1,8

1,8

1,8

1,9

=

Korrigert netto driftsresultat

0,4

3,4

2,4

-0,4

-1,2

0,9

Avvik mellom netto og korrigert netto driftsresultat2

2,7

1,3

1,1

1,7

1,2

1,6

1 Eventuelle avvik i regnestykkene basert på prosentandeler skyldes avrunding.

2 Avvik i prosentpoeng.

Kilde: Teknisk beregningsutvalg for kommunal og fylkeskommunal økonomi

Nedbygging av formuen i kommunesektoren de to siste årene, men sett over flere år har formuen økt

Et positivt korrigert netto driftsresultat indikerer at formuen bygges opp. I 2024 hadde kommunesektoren samlet et negativt korrigert netto driftsresultat på 1,2 prosent av inntektene. Også i 2023 var det korrigerte netto driftsresultatet negativt. Fra 2023 til 2024 avtok det korrigert netto driftsresultat mindre enn det ordinære netto driftsresultatet. Det var høyere inflasjonseffekt på sektorens netto gjeld som bidro til forskjellen. I gjennomsnitt de siste fem årene har korrigert netto driftsresultat for kommunesektoren ligget på 0,9 prosent. Formuen i kommunesektoren er altså samlet bygget opp gjennom de fem siste årene. Resultatet var høyest i 2021 og lavest i 2024, se figur 3.5A og tabell 3.5. Det vises til vedlegg 15 for mer detaljerte tall.

I 2024 var forskjellen mellom ordinært og korrigert netto driftsresultat 1,2 prosentpoeng. Det var mindre enn i 2023. Forskjellen mellom ordinært og korrigert netto driftsresultatet viser hva ordinært netto driftsresultat må ligge på for at korrigert netto driftsresultat skal være lik null, og det er dette som er utgangspunktet for utvalgets anbefaling om størrelsen på netto driftsresultatet. De siste fem årene har forskjellen mellom ordinært og korrigert netto driftsresultat vært 1,6 prosentpoeng i gjennomsnitt. Forskjellen var størst i 2020. Utvalgets anbefaling om at ordinært driftsresultat i sektoren samlet burde ligge på 2 prosent av driftsinntektene for at verdien av formuen skal bevares i sektoren, er dermed noe høyere enn beregningene for de siste fem årene tilsier. De fire siste årene har særlig inflasjonsgevinsten fra redusert realverdi av gjeld økt betydelig, noe som må ses i lys av en generell høy prisvekst.

Figur 3.5 Ordinært og korrigert netto driftsresultat i prosent av driftsinntekt

Figur 3.5 Ordinært og korrigert netto driftsresultat i prosent av driftsinntekt

Kilde: Statistisk sentralbyrå og Teknisk beregningsutvalg for kommunal og fylkeskommunal økonomi

Kommunene inkludert Oslo

I 2024 hadde kommunene inkludert Oslo et negativt korrigert netto driftsresultat på 1,5 prosent. Dette var en nedgang fra året før. Nedgangen i korrigert netto driftsresultat fra 2023 til 2024 skyldtes først og fremst svakere netto driftsresultat, mens høyere inflasjonsgevinst på gjeld trakk i motsatt retning. De siste fem årene har korrigert netto driftsresultat for kommunene inkludert Oslo i gjennomsnitt vært positiv og dermed er formuen bygget opp.

Inntektene fra bompenger kommer til fratrekk i fylkeskommunenes behov for å spare til investeringer. Det er vanskelig å finne gode tall for Oslos andel av bompengene, blant annet fordi bompengene i Osloregionen i mindre grad går til Oslo kommune, og i større grad til de fylkeskommunale kollektivselskapene. Forsøk på å skille ut Oslos andel tyder imidlertid på at beløpene er i en slik størrelsesorden at det har lite å si for resultatene for kommunene samlet.

I 2024 var forskjellen mellom ordinært og korrigert netto driftsresultat 1,1 prosentpoeng i kommunene inkludert Oslo. De siste fem årene har forskjellen mellom ordinært og korrigert netto driftsresultat vært på 1,5 prosentpoeng i gjennomsnitt. Det er dermed noe lavere enn utvalgets anbefaling om et overskudd på netto driftsresultat i kommunene over tid på 1 ¾ prosent av driftsinntektene. Dette kan i stor grad forklares av ekstraordinær høy inflasjonsgevinst.

Fylkeskommunene

I 2024 hadde fylkeskommunene et korrigert netto driftsresultat på 0,6 prosent av inntektene. Det er en klar nedgang fra året før. Nedgangen i korrigert netto driftsresultat var mindre enn nedgangen i netto driftsresultat. Høyere inflasjonsgevinst på gjelden bidro til å dempe nedgangen i korrigert netto driftsresultat. Også fylkeskommunene har i de siste fem årene hatt et positivt korrigert netto driftsresultat, og dermed bygget opp formuen, se figur 3.5C. Det vises også til vedlegg 15 for mer detaljerte tall.

I 2024 var forskjellen mellom ordinært og korrigert netto driftsresultat i fylkeskommunene på 2,2 prosentpoeng. De siste fem årene har forskjellen mellom ordinært og korrigert netto driftsresultat ligget på 2,5 prosentpoeng i gjennomsnitt. Dette er klart lavere enn utvalgets anbefaling om et overskudd på netto driftsresultat i fylkeskommunene på 4 prosent av driftsinntektene.

Vanligvis føres investeringsinntekter direkte i investeringsregnskapet, og disse inntektene vil ikke påvirke netto driftsresultatet. De siste ti årene har imidlertid fylkeskommunene fått økte midler til særskilte fordelinger over rammetilskuddet til opprusting og fornying av fylkesveier, tunneloppgradering og skredsikring. Disse midlene kan brukes både til drift og til investeringer. I gjennomsnitt for fylkeskommunene utgjør disse inntektene om lag 3 prosent av driftsinntektene. Dersom driftsinntekter brukes til investeringer, vil driftsresultatet isolert sett trekkes opp siden inntektene føres i driftsregnskapet og utgiftene i investeringsregnskapet. Økte investeringer vil med et etterslep trekke opp kapitalslitet og dermed øke differansen mellom netto driftsresultat og korrigert netto driftsresultat. Økt merverdiavgiftskompensasjon fra investeringer vil på den andre siden bidra til å redusere avviket.

Byvekstavtalene er tidsavgrensede avtaler mellom staten og regionene der målet er nullvekst i persontransport med bil og god framkommelighet for alle trafikantgrupper. En relativt stor del av finanseringen i disse tidsavgrensede avtalene er bompenger. Gjennom bymiljøpakker bruker fylkeskommunene dermed bompenger til å finansiere investeringer utover det som det er grunnlag til i rammefinansieringen. Dette øker realformuen og behovet for fremtidige reinvesteringer. Når byvekstavtalene og bompengefinansieringen avsluttes, må kapitalslitet finansieres gjennom de ordinære rammene.

Analysene av korrigert netto driftsresultat viser at fylkeskommunene over tid har hatt tilstrekkelige netto driftsresultat til å bygge opp formuen og foreta investeringer. Samtidig viser analyser fra Statens vegvesen at det er betydelige vedlikeholdsetterslep på fylkesveiene.

3.6 Disposisjonsfond

Netto driftsresultat kan brukes til egenfinansiering av investeringer eller avsettes i fond. Flere år med merskattevekst mot slutten av året bidro til gode driftsresultat, og til at mange kommuner og fylkeskommuner har styrket disposisjonsfondene. Fri egenkapital i drift for den enkelte kommune og fylkeskommune er disposisjonsfond fratrukket regnskapsmessig merforbruk. Disposisjonsfondene kan benyttes til å dekke opp for negative utslag i økonomien slik som uforutsett økning i rentenivået eller skattesvikt. Det kan også brukes til å spare egenkapital til investeringer. De to siste årene har det i tråd med lavere netto driftsresultater, vært en nedgang i denne bufferkapitalen for kommunesektoren som helhet. Disposisjonsfond fratrukket akkumulert merforbruk for sektoren utgjorde 84 mrd. kroner ved utgangen av 2024. Det tilsvarer 11,3 prosent av sektorens driftsinntekter. Det er 3,1 prosentpoeng høyere enn i 2015, se figur 3.6. Disposisjonsfondene er relativt sett noe større i fylkeskommunene enn i kommunene.

Figur 3.6 Disposisjonsfond fratrukket akkumulert merforbruk i prosent av driftsinntektene

Figur 3.6 Disposisjonsfond fratrukket akkumulert merforbruk i prosent av driftsinntektene

Kilde: Teknisk beregningsutvalg for kommunal og fylkeskommunal økonomi

Størrelsen på disposisjonsfondene varierer betydelig mellom kommuner og i noen grad også mellom fylkeskommuner. Hvis verdien er negativ, innebærer det at kommunen har et akkumulert merforbruk som ikke kan dekkes ved hjelp av tilgjengelige disposisjonsfond. Hvis dette merforbruket er større enn 3 prosent, eller ikke dekkes inn i løpet av to år etter at det oppsto, tilsier det normalt sett at kommunen har blitt eller vil bli meldt inn i ROBEK.

I 2024 hadde 100 kommuner (28 prosent) akkumulert merforbruk eller disposisjonsfond som var under 5 prosent av driftsinntektene, mens 61 prosent av kommunene hadde disposisjonsfond på over 8 prosent av driftsinntektene. Spredningen er stor, og i 2024 var ytterpunktene et akkumulert merforbruk i Moskenes kommune på -95,6 prosent av driftsinntektene og et disposisjonsfond på 178,5 prosent i Aukra kommune.

Disposisjonsfond fordelt etter fylker

Kommunene i Troms og i Finnmark hadde de laveste disposisjonsfondene, mens kommunene i Akershus og Rogaland hadde de største, se figur 3.7A. Samlet sett gikk disposisjonsfondene ned i kommunene i alle fylker fra 2023 til 2024. Nedgangen var størst i Oslo og i kommunene i Vestland og Finnmark.

Figur 3.7 Disposisjonsfond fratrukket akkumulert merforbruk. I prosent av driftsinntekter. Kommuner gruppert etter fylker og fylkeskommunene

Figur 3.7 Disposisjonsfond fratrukket akkumulert merforbruk. I prosent av driftsinntekter. Kommuner gruppert etter fylker og fylkeskommunene

Kilde: Statistisk sentralbyrå

Disposisjonsfond i fylkeskommunene

De fleste fylkeskommunene hadde solid bufferkapital ved utgangen av 2024, se figur 3.7B. Ingen fylkeskommuner hadde akkumulert merforbruk. Disposisjonsfondene er relativt sett noe større i fylkeskommunene enn i kommunene. Det kan ha sammenheng med at investeringer utgjør en større del av aktiviteten i fylkeskommunene enn i kommunen. Disposisjonsfondene var lavest i Møre og Romsdal og i Vestland og høyest i Vestfold.

3.7 Nærmere om variasjoner i driftsresultat og disposisjonsfond

Gjennomgangen i dette kapittelet viser at det er store forskjeller mellom kommuner i både størrelsen på netto driftsresultat og på disposisjonsfond/akkumulert merforbruk. Det er de minste kommunene som i gjennomsnitt både hadde høyest netto driftsresultat og høyest disposisjonsfond i 2024, se figur 3.8A1. Innenfor denne gruppa var det også størst spredning både i resultat og disposisjonsfond. Lavest resultat og disposisjonsfond hadde kommunene med mellom 5 000 og 10 000 innbyggere.

Figur 3.8 Netto driftsresultat og disposisjonsfond i 2024. Kommunene gruppert etter innbyggertall (A) og korrigerte frie inntekter (B), deretter sortert etter nivå på henholdsvis netto driftsresultat og disposisjonsfond

Figur 3.8 Netto driftsresultat og disposisjonsfond i 2024. Kommunene gruppert etter innbyggertall (A) og korrigerte frie inntekter (B), deretter sortert etter nivå på henholdsvis netto driftsresultat og disposisjonsfond

1 Veide gruppesnitt vist med mørkeblå linje. Resultater og fondsverdier over henholdsvis 25 og 50 prosent og under -10 prosent vises ikke i figuren.

2 De korrigerte frie inntektene er. inkludert eiendomsskatt, konsesjonskraftsinntekter, inntekter fra Havbruksfondet og fordelen av differensiert arbeidsgiveravgift (KFI/U) og kommunene grupperes etter størrelsen på korrigerte frie inntekter målt som andel av landsgjennomsnittet per innbygger i 2024.

Kilde: Statistisk sentralbyrå

Fordelt etter korrigerte frie inntekter er det kommunene med de høyeste inntektene som både hadde de beste resultatene og de høyeste disposisjonsfondene i 2024. Denne gruppen hadde likevel den største spredningen i både resultatene og fond. Det er kommunene med inntekter under 95 prosent av landsgjennomsnittet som i gjennomsnitt hadde lavest netto driftsresultat, mens kommuner med inntekter mellom 100 og 105 prosent av landsgjennomsnittet hadde de laveste disposisjonsfondene.

Kommuner med lite eller ingen disposisjonsfond er særlig utsatt ved uforutsette økninger i utgiftene eller reduserte inntekter. Disposisjonsfond bygges opp gjennom overskudd i driften og tæres på dersom kommunen har negative resultater. En kommune kan derfor en periode ha negative resultater dersom de har tilstrekkelig frie tilgjengelige midler.

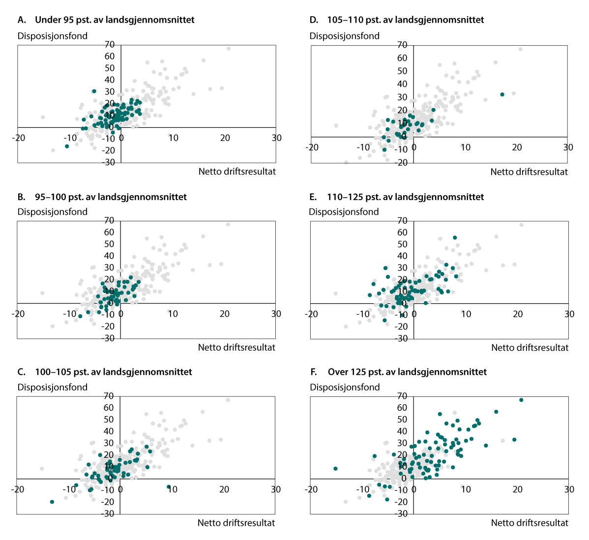
Figur 3.9 Netto driftsresultat og disposisjonsfond1 i 2024. I prosent av brutto driftsinntekter. Kommunene i aktuell inntektsgruppe2 er markert med farget observasjon

Figur 3.9 Netto driftsresultat og disposisjonsfond1 i 2024. I prosent av brutto driftsinntekter. Kommunene i aktuell inntektsgruppe2 er markert med farget observasjon

1 Disposisjonsfond fratrukket regnskapsmessig merforbruk.

2 Kommunene er inndelt i grupper etter nivå på korrigerte frie inntekter. De korrigerte frie inntektene er inkludert eiendomsskatt, konsesjonskraftsinntekter, inntekter fra havbruksfondet og fordelen av differensiert arbeidsgiveravgift (KFI/U) og kommunene grupperes etter størrelsen på korrigerte frie inntekter målt som andel av landsgjennomsnittet per innbygger i 2024.

Kilde: Statistisk sentralbyrå

Det var en tendens til at kommunene med lave netto driftsresultater også hadde lavere disposisjonsfond i 2024, se figur 3.9. Blant kommunene med lave korrigerte frie inntekter var det relativt mange kommuner med negative resultater, men de aller fleste hadde disposisjonsfond å trekke på. Blant kommunene med korrigerte frie inntekter over 125 prosent av landsgjennomsnittet finner vi kommunene som hadde de høyeste fondene og de høyeste resultatene, men også blant disse kommunene var det stor spredning, og enkelte kommuner hadde negative resultater og lave disposisjonsfond eller akkumulert merforbruk. Samlet sett var det 38 kommuner som i 2024 hadde et akkumulert merforbruk.

Fotnoter

1

I 2008 ble merverdiavgiftskompensasjon fra investeringer inntektsført i driftsregnskapet, mens kompensasjonen fra og med 2014 føres direkte i investeringsregnskapet. I tallet på -1,0 prosent er merverdiavgiftskompensasjonen trukket ut fra driftsinntektene slik at regnskapsresultatene skal være sammenliknbare.